Abstract
Litter of different species coexists in the natural ecosystem and may induce non-additive effects during decomposition. Identifying and quantifying the origins of species in litter mixtures is essential for evaluating the responses of each component species when mixed with co-occurring species and then unraveling the underlying mechanism of the mixing effects of litter decomposition. Here, we used near-infrared spectroscopy (NIRS) to predict the species composition and proportions of four-tree species foliage mixtures in association with litter crude ash and litter decomposition time. To simulate the whole mixed litter decomposition process in situ, a controlled mixture of four tree species litter leaves consisting of 15 tree species combinations and 193 artificial mixed-species samples were created for model development and verification using undecomposed pure tree species and decomposed litter of single tree species over one year. Two series of NIRS models were developed with the original mass and ash-free weight as reference values. The results showed that these NIRS models could provide an accurate prediction for the percentage of the component species from in the litter leaf mixture’s composition. The predictive ability of the near-infrared spectroscopy model declined marginally with the prolonged litter decomposition time. Furthermore, the model with ash-free litter mass as a reference exhibited a higher coefficient of determination (R2) and a lower standard error of prediction (RMSECV). Thus, our results demonstrate that NIRS presents great potential for not only predicting the organic composition and proportion in multi-species mixed samples in static conditions, but also for samples in dynamic conditions (i.e., during the litter decomposition process), which could facilitate evaluation of the species-specific responses and impacts on the interspecific interactions of co-occurring species in high-biodiversity communities.
1. Introduction
As an important process in the biogeochemical cycle in the ecosystem, litter decomposition regulates the mineral nutrients for plant growth [1,2], carbon emission and soil organic composition [3,4]. It has been estimated that 90% of nitrogen and phosphorus, and more than 60% of mineral elements absorbed by plants were derived from this process [5]. Among them, leaves account for about 70% of forest litter [6]. Many studies have investigated the decomposition dynamics of single tree species litter leaves using litterbag methods. Nevertheless, the decomposition rate showed synergistic or antagonistic effects when different species litter were mixed together, which is ubiquitous in natural forest ecosystems [7]. Among them, the additive or non-additive effects were evaluated based on the total remaining weight during the mixed litter decomposition process in different climatic zones. The species-specific decomposition responses to the mixing for each component species, however, were not well elucidated; this was mainly due to the difficulties of distinguishing and separating component species during decomposition incubation, especially for the remaining residues in the late stages of decomposition. Therefore, distinguishing and quantifying the species composition of plant leaves in the mixed decomposition of litter is essential for studying the interaction between species in the forest ecosystem.
Near-infrared spectroscopy (NIRS) is a non-destructive and rapid technology, which has been widely used in food quality evaluation, agricultural analysis, drug testing, water quality testing and assessment, grain breeding, etc. [8,9,10]. Based on the different absorbance of C-H, N-H and O-H bonds of organic compounds, an holistic NIRS model has been developed and applied to estimate the constituents and chemical compounds simultaneously, speeding up analysis, reducing the use toxic of reagents that pollute the environment, preventing damage to the sample itself, and reducing the need for sample preparation [11,12]. Recent studies revealed that near-infrared spectroscopy has also shown great potential in ecological research. For example, in the case of limited samples, it can be used to determine the concentration of total carbon and total nitrogen in the soil (Xie et al., 2011), evaluate soil quality quickly and conveniently [13], and be more accurate in principal component analysis of soil properties [14]. In forest ecology research, it can predict and estimate leaves’ chemical content in deciduous and coniferous species and the organic leaf components of several woody plants [15,16]. It also has a pronounced effect on analyzing organic matter content in the litter [17]. Near-infrared spectroscopy has become an important analytical method for determining the components of forest ecosystems.
To distinguish and quantify multi-species mixtures, Lei and Bauhus [18] established robust NIRS models by preparing fine root samples of the artificial mixture to predict the proportion of component species in root mixtures. Some scholars have used the prediction model created by two species of beech and spruce with rich site conditions and at all decomposition stages, and the results were satisfactory [19]. However, almost all the NIRS model development was conducted in a static state with samples collected over one short period of time. During litter decomposition, the organic compounds may change due to mass loss and nutrient release. Furthermore, the litter decomposition rate changes continuously over time. In addition, the mineral soil would enter the litterbag and adhere to the litter inevitably after several months of laying on the forest floor, which will induce spectral noise in NIRS model development. Therein, the objectives of this study were to explore the potential of the NIRS model to predict the proportions of component species in one real mixed foliage decomposition experiment with four tree species in the field. More specifically, we proposed the following hypotheses:
- The four component tree species—Pinus massoniana Lamb., Choerospondias axillaris (Roxb.) Burtt et Hill, Cyclobalanopsis glauca (Thunb.) Oerst. and Lithocarpus glaber (Thunb.) Nakai—are different in chemical composition and spectral performance, and they are also different from the mineral soil on the surface of the forest floor in chemical composition. Therefore, the NIRS model can be used to separate and predict the composition of the foliage mixtures of four tree species.
- Litter decomposition is a dynamic and continuous process, and chemical composition will change continuously. The prediction accuracy of the NIRS model declines with the prolonged time in this 1-year foliage litter decomposition experiment.
- A certain amount of adhered soil and crude ash in plant dry matter varies with different plant species and decomposition time. The NIRS models with ash-free weight as reference value perform better than the ones with crude ash content.
2. Materials and Methods
2.1. Experimental Site and Experimental Design
The study was conducted in Dashanchong Forest Park, Changsha County, Hunan Province, China. It is a typical hilly landform with an altitude ranging from 55 m to 260 m, and the soil type is red soil developed from slate and shale. This is classified as Alliti-Udic Ferrosol, which corresponds to Acrisol in the World Reference Base for Soil Resource [20]. The area has a subtropical monsoon humid climate, with an annual average temperature of 16.6–17.6 °C and an annual average rainfall of 1412 mm–1559 mm [21]. The research area is mainly covered by plantations and secondary natural regenerated forest composed of various natural tree species communities, which is a typical site for studying forest plant communities in subtropical low mountains and hilly areas.
A permanent plot of one hectare was established in the evergreen broad-leaved forest of Lithocarpus glaber-Cyclobalanopsis glauca, and a series of tree clusters in gradient of tree species diversity were set up in the sample plot (Figure 1). Four dominant tree species, namely P. massoniana (PM), C. axillaris (CA), C. glauca (CG) and L. glaber (LG), were selected as the potential target trees to form neighboring tree clusters varying in tree species richness from 1-, 2-, 3- and 4-species combinations, followed by methods introduced by M Jacob, K Viedenz, A Polle and FM Thomas [22]. Therein, there were in total 15 tree clusters, consisting of four pure species combinations, six 2-species combinations, four 3-species and one 4-species combination. For each tree cluster, there were 3 replicates. Accordingly, the pure species and mixed leaf litter were prepared for further mixed decomposition experiments.
Figure 1.
Site location and experimental design. (a) Site location. (b) Layout of tree clusters in gradient of tree species. (c) Tree cluster experimental design. PM, Pinus massoniana; CA, Choerospondias axillaris; CG, Cyclobalanopsis glauca; LG, Lithocarpus glaber.
2.2. Experimental Setup and Artificial Mixture Preparation
In the central point of each selected neighboring tree cluster, one litter trap with 1 m2 was set up for litter collection from December 2018 to January 2019. The litterfall samples were collected monthly, sorted for species, and oven-dried at 40 °C. Thereafter, we set up a mixed litter decomposition experiment with leaves using the litterbag method. Leaf litter samples of 10 g for the 15 combinations mentioned above were prepared as follows: 10.00 g for 1-species combinations, 5.00 g for each species for 2-species combinations, 3.33 g for each species for 3-species combinations, and 2.50 g for each 4-species combinations, respectively. The litter bags were placed back at the central points of each corresponding combination in the field in ambient light conditions in February 2019, and were extracted and taken back to the laboratory monthly until January 2020. The collected litterbags were oven dried at 60 °C and weighed to record the monthly remaining weight of litter leaf decomposition.
To distinguish and quantify the remaining composition of each species in the mixed litter bags, artificial mixtures were prepared for NIRS development with undecomposed pure species leaf samples and pure species litter bags collected from the field. Firstly, in order to test the possibility of separating and quantifying the proportion of each species component, we prepared 73 artificial mixed samples using the method proposed by Lei and Bauhus [18], with incremental additions of species-specific leaves in steps of approximately 16.7% for each component, using undecomposed pure species leaf samples. Secondly, as the chemical composition would change during the decomposition process, the decomposed single species samples were used for further mixed leaf samples to mimic the decomposition dynamics. Therein, 10 mixed leaf samples were prepared with single species samples collected from the field each month from February 2019 to January 2020; these ranged from approximately 25.0%, 33.3% and 66.7% for each species component, which accounts for 120 artificial decomposed mixed samples. Subsequently, all the samples were ground to a fine powder with a Mixer Mill 301 (Retsch) for NIRS spectral measurement.
2.3. Crude Ash Content Determination
The ash content derived from litter leaves could be changed and the decomposed material would inevitably be stained with soil after several months lying on the forest floor. To test whether the crude ash affects the stability of the spectrum model and to improve the accuracy of the remaining mass estimation, we put all artificial scanned samples into a crucible and burned them in a muffle furnace at 550 °C for 4 h to obtain the crude ash of leaves of different tree species. The crude ash content was calculated with the following formula:
where M was the crude ash content of plants, M0 was the original weight of the crucible, M1 was the weight after adding plant samples into the crucible, and M2 was the weight of the crucible and crude ash after burning. Additionally, the relationship between crude ash content and decomposition time of different tree species was analyzed by linear regression.
2.4. Spectral Measurement
The spectrum measurement was conducted using FT-NIR TENSOR37 infrared spectrometer (manufactured by Bruker Optics, Ettlingen, Germany), and the spectral collection followed the principle of near-infrared diffuse reflection. Each litter leaf sample contained near-infrared spectral information centered on the wavelength range 4200 nm–9500 nm. A pure gold back mirror measured the background spectrum to ensure that the spectrum’s fundamental background contrast was constant to minimize experimental error. The same sample was measured five times and the average value was taken to mitigate spectral measurement errors. In total, 193 samples of measured spectral data were used to verify and calibrate the model.
2.5. Model Development and Evaluation
Modeling was carried out using the partial least squares regression (PLS) method with software OPUS QUANT 2 (version 7.5). The samples were subjected to principal component analysis (PCA) before modeling. Due to the small sample size, the model was calibrated using cross-validation, which is a standard technique for small data sets. Certain researchers established that the cross-validation calibration method was appropriate for developing the NIR model [6,18,23]. To begin, we fitted the model with 73 non-decomposed samples, and then gradually added 120 decomposed artificial mixed samples month by month for model calibration and validation based on the relevant results, as illustrated in Figure 2. The modeling samples were randomly divided into two groups, with 70% used for calibration and validation and 30% being left out for external independent validation. Therein, we compared the results of different tree species components to ascertain the effect of the number and combination of tree species on the model’s prediction quality. To determine whether time affects the model’s prediction quality, we recorded the results of months of adding artificially mixed samples based on 73 undecomposed samples and analyzed the monthly prediction data to obtain the dynamic changes for 12 months. Additionally, a comparison group was established to determine whether the model’s robustness was affected by plant crude ash. Model 1 was a calibration model constructed by fitting spectral data with the original mass values, and Model 2 was a calibration model constructed by using ash-free weight mass as reference values.
Figure 2.
Flowchart of near-infrared model development and evaluation for predicting the composition of litter leaves.
The standard of model selection was the highest coefficient of determination (R2) and the lowest cross-validation standard error of prediction (RMSECV/RMSEP). Relative Analysis Error (RPD), i.e., the ratio of standard deviation to root mean square error, was used to further prove the robustness of the model. OPUS software was used for all modeling processes.
3. Results
3.1. Model Development for Undecomposed Leaf Samples
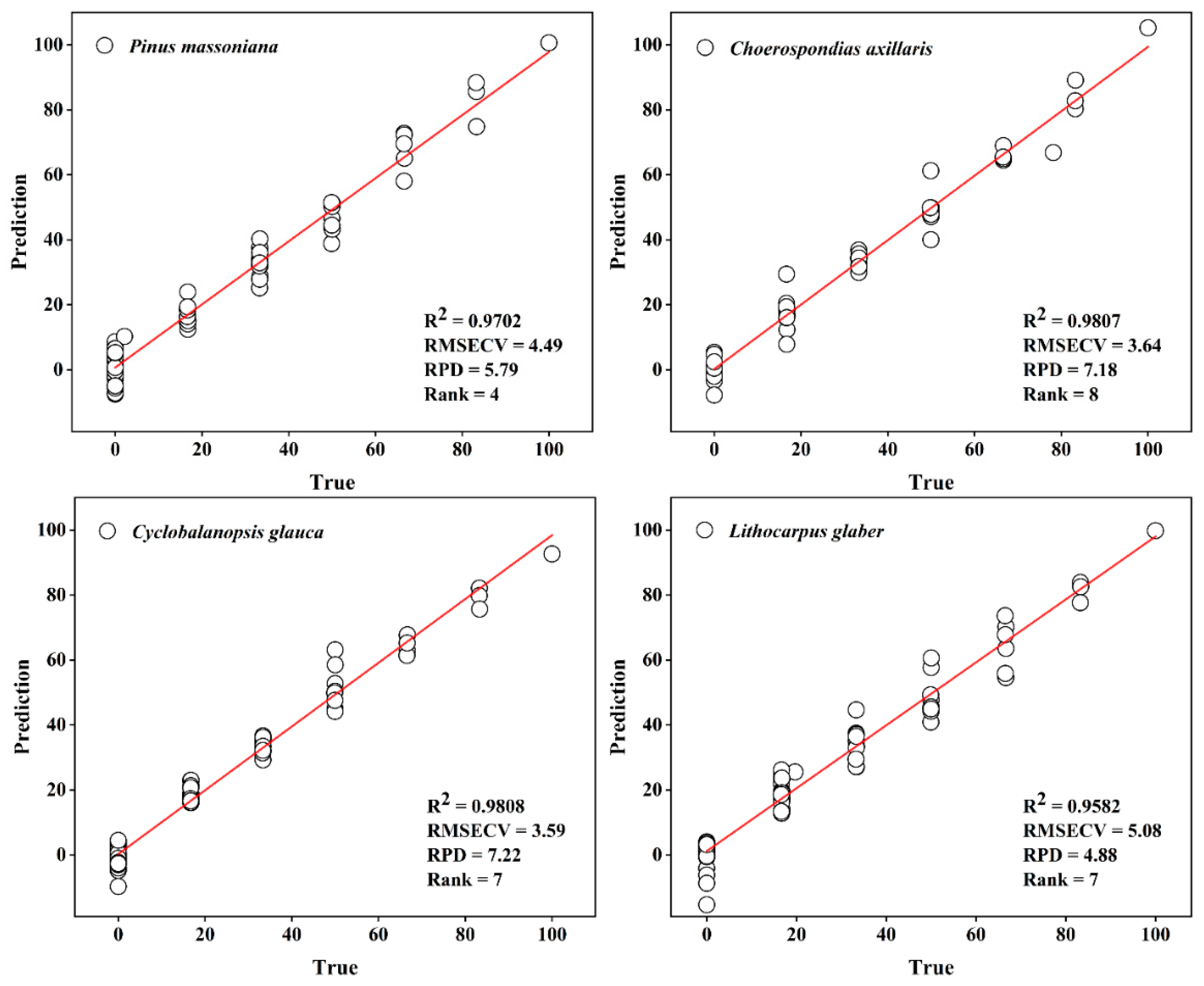
The results of principal component analysis (PCA) showed that the four tree species displayed distinct spectral characteristics (Figure 3). The scores of the coniferous species, Pinus massoniana, were distributed separately from the other three broad-leaved species. With the undecomposed leaf mixture samples, leave-one-out cross-validation produced extremely satisfactory results (R2 > 0.95, RPD > 4.88, 3.59 < RMSECV < 5.08) (Figure 4), demonstrating that the near-infrared spectrum can potentially be used to predict the components of litter leaves under static conditions.
Figure 3.
Relative scores of principal component analysis (PCA) of four tree species. PM, P. massoniana; CA, C. axillaris; CG, C. glauca; LG, L. glaber.
Figure 4.
Relationship between the measured value and predicted value with pure samples of undecomposed litter leaves of four tree species.
3.2. Model Prediction Ability with Ash-Containing Litter Mass
The results showed that the model created by cross-validation can predict the components of mixed samples of litter leaves well for all the species investigated (Table 1). The complexity of the NIRS model, the number of component species and the combination of different tree species did not affect the results of the calibration outcomes much for each specific species. The prediction quality was promising as R2 > 0.86, RMSECV < 10.9 and RPD > 2.7 for all the 11 series of artificial mixtures ranging from two-component, three-component, or four-component combinations (Table 1). The R2 and RPD of P. massoniana and C. axillaris were slightly higher than that of C. glauca and L. glaber, and the value of RMSECV was lower than those of C. glauca and L. glaber. Among them, the prediction quality of C. axillaris was highest, and the prediction quality of L. glaber was lowest, with RMSECV values higher than 8.8, and an RPD lower than 3.
Table 1.
Prediction of species composition of litter mixture using the cross-validation method.
3.3. Influence of Litter Decomposition Rate and Crude Ash Content over Time
The total weight of litter residues decreased gradually over the litter decomposition time (Figure 5). The weight of four tree species declined slowly until April, and then decreased rapidly. The decomposition rate of Lithocarpus glaber was the fastest, and that of Choerospondias axillaris was the slowest. The results of linear regression showed that the crude ash content of all tree species has a significant positive correlation with litter decomposition time, among them the L. glaber (p < 0.001) and C. axillaris (p < 0.01) has an extremely significant positive correlation, which means that with the increase of decomposition time, the crude ash content of all tree species also increases (Figure 6). The crude ash content of different tree species varies, and the coniferous P. massoniana was lower than that of three broad-leaved tree species.
Figure 5.
Comparison of remaining mass of different tree species with prolonged decomposition time.
Figure 6.
The crude ash content of different tree species changed with the extension of decomposition time. PM = P. massoniana; CA = C. axillaris; CG = C. glauca; LG = L. glaber. * p < 0.05 ** p < 0.01 *** p < 0.001.
Decomposition time was a critical factor affecting the model’s prediction quality. The predictive quality of models of all tree species continuously declined with the increase of litter decomposition time (Figure 7). The L. glaber with the fastest decomposition rate has the lowest predicted quality among the four tree species (lowest R2, highest RMSECV, lowest RPD). The crude ash content of litter leaves also has an effect on the model’s robustness during the dynamic decomposition process. The model with ash-free litter mass exhibited a higher R2, a lower RMSECV and a higher RPD than the model with ash-containing litter mass. The change degree of ash-containing litter mass and ash-free litter mass of P. massoniana was smaller than other tree species.
Figure 7.
Comparison of prediction quality of models including crude ash or excluding crude ash, with prolonged decomposition time.
3.4. Model Development and Validation with Ash-Free Litter Mass
The results of cross-validation and external independent test set validation were both satisfactory, and cross-validation results were superior to those of external independent test set validation (Table 2). Models created using different modeling techniques exhibit different results. Model 2, with ash-free litter mass, had higher R2 (>0.9), lower RMSECV (<8.28) and higher RPD (>3.2) than Model 1. This proved that the model with ash-free litter mass was more robust. For L. glaber, the prediction result with ash-free litter mass was further optimized.
Table 2.
Different models established according to different validation methods. Model 1 (Original value creation); Model 2 (Ash-free litter mass).
4. Discussion
4.1. NIRS Models to Quantify the Composition of Litter Leaves
Our findings demonstrated that a model based on near-infrared spectroscopy can accurately predict the composition of a litter leaf mixture under static conditions (Figure 4). They had similar chemical structures based on the spectral shapes of litter leaves from four tree species. However, because the stretching and bending vibrations of molecular chemical bonds (e.g., C-H, O-H and N-H) vary between tree species, each sample has its own spectral characteristics [24]. This enables us to use near-infrared spectroscopy to distinguish between different litter leaves.
All of our models with ash-containing litter mass demonstrated good results (Table 1). However, our results fall short of those obtained by Gruselle and Bauhus [19]. There could be several reasons for this. We included more tree species in our research than they did, and the mixed litter of different species would have synergistic or antagonistic effects on litter decomposition, depending on the mechanism of litter decomposition [19,25]. In the process of mixed decomposition, the change of decomposition of individual species may not be detected because we cannot evaluate the mass loss of each species in the mixture [26], which is a complicated process that poses a significant challenge to litter prediction in the later stages of decomposition. Secondly, our sample plot was located in a warm, humid environment that was conducive to animal [27], plant, and microorganism, which accelerate the decomposition of litter leaves [28]. This litter decomposition experiment lasted for one year in the field and its habitat structure and community composition were complex, and at the dynamic level. The mixed decomposition of litter leaves was caused by uncontrollable factors in different seasons. Additionally, our sample area was classified as secondary mixed forest, and there was evidence that forest ground developed under broad-leaved or mixed forest was more conducive to decomposition [29,30]. The faster the decomposition rate of litter leaves, the faster its attenuation rate, and the different substrates presented after decomposition may lead to error or change in spectral characteristics, which can affect the fitting effect [31].
Overall, our modeling sample contained litter leaf mixtures that had decomposed continuously for one year and regardless of how the sample was combined—i.e., the number of components, or the proportion of components (Table 1)—the model’s prediction quality remained high, indicating that it has a great deal of potential for predicting the components of litter leaf mixtures using near-infrared spectroscopy under dynamic conditions.
4.2. Influence of Litter Decomposition Rate and Crude Ash Content along with Time
In this study, the L. glaber’s fitted and predicted capabilities were always inferior to those of other tree species. The weight remain rate of L. glaber decreased the fastest (Figure 5), indicating that the decomposition rate of tree species may have an effect on model fitting, and the proportion of individual tree species appears to be more important than the diversity of tree species [22]. With the faster decomposition rate of litter, there is more active microbial activity and a more complex chemical composition, which increase the measurement errors due to the accumulation of spectral and other components in the mixed litter, and the prediction effect of the model is also affected.
“Crude ash” refers to the residue left after all water has been removed and the dry matter has been carbonized and decomposed, and this usually includes plant residues and soil [32]. Different tree species produce ash with varying compositions, and the ash produced by mixed tree species also contain varying compositions compared to that produced by single tree species [33]. Broad-leaved trees frequently produce more crude ash than conifers due to their larger leaf area (Figure 6). In our research, the coniferous species P. massoniana has less crude ash content, so the fitting effect of ash inclusion and ash removal was not as obvious as that of broad-leaf species (Figure 7). During the actual decomposition process, some soil tends to adhere to the leaves. Removed litter residue after burning may help reduce the error associated with spectral measurements of soil and litter leaves and thus make the model more robust, as demonstrated by our research results (Figure 7). However, a precise definition of crude ash and soil content was lacking in our study, and plant crude ash was typically associated with nutrient cycling; for example, crude ash was used in agriculture to provide nutrients for crop growth [34]. We only consider the possibility that removing crude ash can help reduce the error associated with predicting the litter species composition, and it is debatable whether the model developed using this method is applicable for predicting the nutrient content of litter. The model created using the original value may be expected to be more applicable.
We gradually add decomposed litter leaf samples to the pure sample month by month and observed that the prediction accuracy of all tree species gradually decreased with decomposition time as the r2 values decreased from 0.957 in February to 0.875 in January next year (Figure 7), which was consistent with Gruselle’s findings [19]. Increase in the decomposition time of litter leaves alters its chemical composition because litter serves as a medium for the dynamic cycle exchange of carbon, nitrogen and phosphorus between plants in the forest and nutrients in the soil [1]. As time passes, litter leaves from various resource structures and tree species become mixed for decomposition, altering the chemical environment and total surface layer decomposition of litter at the physical level [19,35]. It was frequently influenced by nutrients, water-soluble carbon compounds, and structural carbon compounds during the early stages of litter decomposition, but was strongly related to lignin content during the later stages [36]. As a difficult component of litter decomposition, lignin can have an effect on the rate of decomposition. In general, the longer litter takes to decompose, the more similar components there are in the mixture, which affects the spectral signal of specific species [19].
External stimuli such as climate factors (amount of rainfall, changes in temperature and humidity), animal activity in the soil, and microbial activity all play a role in the actual decomposition process [1,35]. Studies have established that litter decomposition was consistent with the annual variations in precipitation and temperature, implying that temperature and humidity were significant factors affecting litter decomposition [37,38]. June to September in our study received more precipitation, had higher relative humidity, more active biological activities, and faster decomposition, which make the prediction quality of the models consistently decrease.
4.3. Model Development and Validation
We used 30% of random samples as an external independent validation set, the model was validated by the external independent set, and it retained a high predictive ability. However, it lacked the robustness of cross-validation when compared the fundamental parameters. According to the majority of studies, the cross-validated model has a higher fitting effect and a higher prediction quality than the external independent validation set [17,39], which was consistent with our findings.
The final model results demonstrated the great potential of near-infrared spectroscopy for predicting litter composition and proportions of different tree species under dynamic decomposition conditions. Additionally, the results of Model 1 (ash-containing litter mass) and Model 2 (ash-free litter mass) demonstrated that crude ash exclusion improved the model’s prediction quality and robustness. In multi-species forests, the composition of litter leaves will be influenced by other factors aside from site conditions; for example, a more heterogeneous understory structure with more species [19]. Furthermore, the fact that the litter’s physical and chemical properties could change over time will obstruct the differentiate of different species after a period of decomposition.
5. Conclusions
Near-infrared spectroscopy has enormous potential to predict the composition of mixed litter leaves decomposition under dynamic conditions. Our findings demonstrated that the model with ash-free litter mass was more promising. The species composition and the number of components had little effect on the model’s fitting and prediction quality as the calibration, validation, and test sets all yielded satisfactory results, indicating that near-infrared spectroscopy can be used as an auxiliary and supplementary method for investigating component discrimination in litter mixtures. The applications of near-infrared spectroscopy could help unravel the species-specific contributions in mixed forest and regulate the nutrient cycling process by selecting suitable tree species in established mixed forest. However, whether our modeling method was suitable for distinguishing multi-site mixtures, the model’s predicted decomposition time limit and the number of species composition fits require further investigation.
Author Contributions
Conceptualization, P.L., W.X. and R.Z.; methodology, R.Z. and N.Z.; investigation, Y.W., N.Z. and R.Z.; data curation, S.O. and L.C.; writing—original draft preparation, N.Z. and R.Z.; writing—review and editing, P.L.; visualization, W.Y.; funding acquisition, P.L. All authors have read and agreed to the published version of the manuscript.
Funding
This research was funded by the National Natural Science Foundation of China (31971455 and 31670448), National Key R&D Program of China (2023YFE0105100), Research Foundation of the Department of Natural resources of Hunan Province (20230169TD) and National Natural Science Foundation of Hunan (2023JJ60572).
Data Availability Statement
The data in this study are available from the corresponding author upon request.
Acknowledgments
We are thankful to Guotai Zhang, Jinling Ouyang and Jin Liu for assistance with sample collection and laboratory pretreatment. We are grateful to all the staff of Dashanchong Forest Park for their support.
Conflicts of Interest
The authors declare no conflicts of interest.
References
- Krishna, M.P.; Mohan, M. Litter decomposition in forest ecosystems: A review. Energy Ecol. Environ. 2017, 2, 236–249. [Google Scholar] [CrossRef]
- Hättenschwiler, S.; Tiunov, A.V.; Scheu, S. Biodiversity and litter decomposition in terrestrial ecosystems. Annu. Rev. Ecol. Evol. Syst. 2005, 36, 191–218. [Google Scholar] [CrossRef]
- Jiang, Y.F.; Yin, X.Q.; Wang, F.B. The influence of litter mixing on decomposition and soil fauna assemblages in a Pinus koraiensis mixed broad-leaved forest of the Changbai Mountains, China. Eur. J. Soil Biol. 2013, 55, 28–39. [Google Scholar] [CrossRef]
- Prescott, C.E. Litter decomposition: What controls it and how can we alter it to sequester more carbon in forest soils? Biogeochemistry 2010, 101, 133–149. [Google Scholar] [CrossRef]
- Garnier, E.; Navas, M.L. A trait-based approach to comparative functional plant ecology: Concepts, methods and applications for agroecology. A review. Agron. Sustain. Dev. 2011, 32, 365–399. [Google Scholar] [CrossRef]
- Parsons, S.A.; Lawler, I.R.; Congdon, R.A.; Williams, S.E. Rainforest litter quality and chemical controls on leaf decomposition with near-infrared spectrometry. J. Plant Nutr. Soil Sci. 2011, 174, 710–720. [Google Scholar] [CrossRef]
- Hui, D.F.; Jackson, R.B. Assessing interactive responses in litter decomposition in mixed species litter. Plant Soil 2009, 314, 263–271. [Google Scholar] [CrossRef]
- Sarraguca, M.C.; Matias, R.; Figueiredo, R.; Ribeiro, P.R.S.; Martins, A.T.; Lopes, J.A. Near infrared spectroscopy to monitor drug release in-situ during dissolution tests. Int. J. Pharm. 2016, 513, 1–7. [Google Scholar] [CrossRef] [PubMed]
- Xu, P.L. Research and application of near-infrared spectroscopy in rapid detection of water pollution. Desalin Water Treat. 2018, 122, 1–4. [Google Scholar] [CrossRef]
- Gehlken, J.; Nikfardjam, M.P.; Kleb, M.; Zorb, C. Near-infrared spectroscopy in process control and quality management of fruits and wine. J. Appl. Bot. Food Qual. 2021, 94, 26–38. [Google Scholar]
- Batten, G.D. Plant analysis using near infrared reflectance spectroscopy: The potential and the limitations. Anim. Prod. Sci. 1998, 38, 697–706. [Google Scholar] [CrossRef]
- Wang, Y.Z.; Xiang, J.Y.; Tang, Y.; Chen, W.J.; Xu, Y.J. A review of the application of near-infrared spectroscopy (NIRS) in forestry. Appl. Spectrosc. Rev. 2021, 57, 300–317. [Google Scholar] [CrossRef]
- Islam, K.; Singh, B.; McBratney, A. Simultaneous estimation of several soil properties by ultra-violet, visible, and near-infrared reflectance spectroscopy. Soil Res. 2003, 41, 1101–1114. [Google Scholar] [CrossRef]
- Lopo, M.; Teixeira dos Santos, C.A.; Pascoa, R.; Graca, A.R.; Lopes, J.A. Near infrared spectroscopy as a tool for intensive mapping of vineyards soil. Precis. Agric. 2018, 19, 445–462. [Google Scholar] [CrossRef]
- Card, D.H.; Peterson, D.L.; Matson, P.A.; Aber, J.D. Prediction of leaf chemistry by the use of visible and near infrared reflectance spectroscopy. Remote Sens. Environ. 1988, 26, 123–147. [Google Scholar] [CrossRef]
- Petisco, C.; Garcia-Criado, B.; Mediavilla, S.; Vazquez de Aldana, B.R.; Zabalgogeazcoa, I.; Garcia-Ciudad, A. Near-infrared reflectance spectroscopy as a fast and non-destructive tool to predict foliar organic constituents of several woody species. Anal. Bioanal. Chem. 2006, 386, 1823–1833. [Google Scholar] [CrossRef]
- Terhoeven-Urselmans, T.; Michel, K.; Helfrich, M.; Flessa, H.; Ludwig, B. Near-infrared spectroscopy can predict the composition of organic matter in soil and litter. J. Plant Nutr. Soil Sci. 2006, 169, 168–174. [Google Scholar] [CrossRef]
- Lei, P.F.; Bauhus, J. Use of near-infrared reflectance spectroscopy to predict species composition in tree fine-root mixtures. Plant Soil 2010, 333, 93–103. [Google Scholar] [CrossRef]
- Gruselle, M.C.; Bauhus, J. Assessment of the species composition of forest floor horizons in mixed spruce-beech stands by near infrared reflectance spectroscopy (NIRS). Soil Biol. Biochem. 2010, 42, 1347–1354. [Google Scholar] [CrossRef]
- Chen, L.; Xiang, W.H.; Wu, H.L.; Ouyang, S.; Zhou, B.; Zeng, Y.L.; Chen, Y.L.; Kuzyakov, Y. Tree species identity surpasses richness in affecting soil microbial richness and community composition in subtropical forests. Soil Biol. Biochem. 2019, 130, 113–121. [Google Scholar] [CrossRef]
- Zhao, L.J.; Xiang, W.H.; Li, J.X.; Lei, P.F.; Deng, X.W.; Fang, X.; Peng, C.H. Effects of topographic and soil factors on woody species assembly in a chinese subtropical evergreen broadleaved forest. Forests 2015, 6, 650–669. [Google Scholar] [CrossRef]
- Jacob, M.; Viedenz, K.; Polle, A.; Thomas, F.M. Leaf litter decomposition in temperate deciduous forest stands with a decreasing fraction of beech (Fagus sylvatica). Oecologia 2010, 164, 1083–1094. [Google Scholar] [CrossRef] [PubMed]
- Niederberger, J.; Todt, B.; Boča, A.; Nitschke, R.; Kohler, M.; Kühn, P.; Bauhus, J. Use of near-infrared spectroscopy to assess phosphorus fractions of different plant availability in forest soils. Biogeosciences 2015, 12, 3415–3428. [Google Scholar] [CrossRef]
- Richardson, A.D.; Reeves Iii, J.B. Quantitative reflectance spectroscopy as an alternative to traditional wet lab analysis of foliar chemistry: Near-infrared and mid-infrared calibrations compared. Can. J. For. Res. 2005, 35, 1122–1130. [Google Scholar] [CrossRef]
- Sheffer, E.; Canham, C.D.; Kigel, J.; Perevolotsky, A. Countervailing effects on pine and oak leaf litter decomposition in human-altered mediterranean ecosystems. Oecologia 2015, 177, 1039–1051. [Google Scholar] [CrossRef]
- Lin, H.; Li, Y.N.; Bruelheide, H.; Zhang, S.R.; Ren, H.B.; Zhang, N.L.; Ma, K.P. What drives leaf litter decomposition and the decomposer community in subtropical forests-The richness of the above-ground tree community or that of the leaf litter? Soil Biol. Biochem. 2021, 160, 108314. [Google Scholar] [CrossRef]
- Li, R.S.; Yang, Q.P.; Guan, X.; Chen, L.C.; Wang, Q.K.; Wang, S.L.; Zhang, W.D. High quality litters with faster initial decomposition produce more stable residue remaining in a subtropical forest ecosystem. Catena 2022, 213, 106134. [Google Scholar] [CrossRef]
- Ge, J.L.; Xie, Z.Q.; Xu, W.T.; Zhao, C.M. Controls over leaf litter decomposition in a mixed evergreen and deciduous broad-leaved forest, Central China. Plant Soil 2016, 412, 345–355. [Google Scholar] [CrossRef]
- Zhang, P.; Tian, X.J.; He, X.B.; Song, F.Q.; Ren, L.L.; Jiang, P. Effect of litter quality on its decomposition in broadleaf and coniferous forest. Eur. J. Soil Biol. 2008, 44, 392–399. [Google Scholar] [CrossRef]
- Wang, W.B.; Chen, D.S.; Zhang, Q.; Sun, X.M.; Zhang, S.G. Effects of mixed coniferous and broad-leaved litter on bacterial and fungal nitrogen metabolism pathway during litter decomposition. Plant Soil 2020, 451, 307–323. [Google Scholar] [CrossRef]
- Prescott, C.E.; Zabek, L.M.; Staley, C.L.; Kabzems, R. Decomposition of broadleaf and needle litter in forests of British Columbia: Influences of litter type, forest type, and litter mixtures. Can. J. For. Res. 2000, 30, 1742–1750. [Google Scholar] [CrossRef]
- Zhang, L.; Chen, G.L.; Wu, J.G.; Variath, M.T.; Shi, C.H. Developmental genetic analysis for crude fiber content and crude ash content of rapeseed meal in two different growing years. J. Food Qual. 2011, 34, 284–297. [Google Scholar] [CrossRef]
- Babayemi, J.O.; Dauda, K.T.; Nwude, D.O.; Kayode, A.A.A. Evaluation of the composition and chemistry of ash and potash from various plant materials-a review. J. Appl. Sci. 2010, 10, 1820–1824. [Google Scholar] [CrossRef]
- Schiemenz, K.; Eichler-Löbermann, B. Biomass ashes and their phosphorus fertilizing effect on different crops. Nutr. Cycling Agroecosyst. 2010, 87, 471–482. [Google Scholar] [CrossRef]
- Gartner, T.B.; Cardon, Z.G. Decomposition dynamics in mixed-species leaf litter. Oikos 2004, 104, 230–246. [Google Scholar] [CrossRef]
- Ge, X.G.; Zeng, L.X.; Xiao, W.F.; Huang, Z.L.; Geng, X.S.; Tan, B.W. Effect of litter substrate quality and soil nutrients on forest litter decomposition: A review. Acta Ecol. Sin. 2013, 33, 102–108. [Google Scholar] [CrossRef]
- Li, G.L.; Liu, Y.; Li, R.S.; Guo, B.; Xu, Y. Responses of decomposition rate, nutrient return, and composition of leaf litter to thinning intensities in a Pinus tabulaeformis plantation. Front. For. China 2009, 4, 458–463. [Google Scholar] [CrossRef]
- Gao, S.Q.; Song, Y.Y.; Song, C.C.; Wang, X.W.; Ma, X.Y.; Gao, J.L.; Cheng, X.F.; Du, Y. Effects of temperature increase and nitrogen addition on the early litter decomposition in permafrost peatlands. Catena 2022, 209, 105801. [Google Scholar] [CrossRef]
- Moron, A.; Cozzolino, D. Determination of potentially mineralizable nitrogen and nitrogen in particulate organic matter fractions in soil by visible and near-infrared reflectance spectroscopy. J. Agric. Sci. 2004, 142, 335–343. [Google Scholar] [CrossRef]
Disclaimer/Publisher’s Note: The statements, opinions and data contained in all publications are solely those of the individual author(s) and contributor(s) and not of MDPI and/or the editor(s). MDPI and/or the editor(s) disclaim responsibility for any injury to people or property resulting from any ideas, methods, instructions or products referred to in the content. |
© 2024 by the authors. Licensee MDPI, Basel, Switzerland. This article is an open access article distributed under the terms and conditions of the Creative Commons Attribution (CC BY) license (https://creativecommons.org/licenses/by/4.0/).






