A Comparative Analysis of Tannin and Commercial Fire Retardants in Wood Fire Protection
Abstract
1. Introduction
2. Materials and Methods
2.1. Materials
2.2. Application of Fire Retardants
2.3. Colorimetry
2.4. Mass Retention
2.5. Thermal Stability
2.6. Burning Test with Short Exposure to Flame
2.7. Statistical Analysis
3. Results
3.1. Colorimetry
3.2. Mass Retention
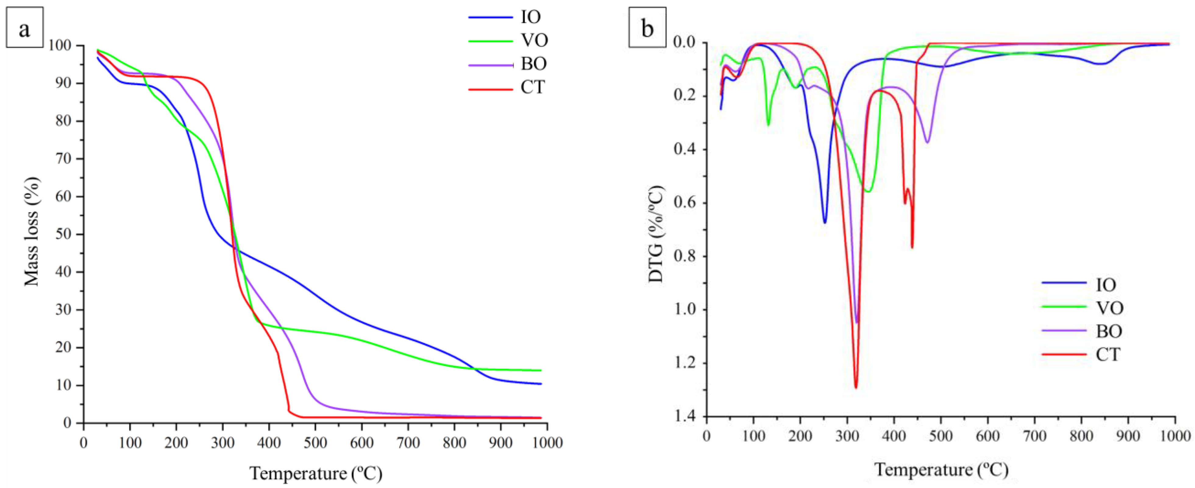
3.3. Thermal Stability
3.4. Burning Test with Short Exposure to Flame
4. Discussion
4.1. Colorimetry
4.2. Mass Retention
4.3. Thermal Stability
4.4. Burning Test with Short Exposure to Flame
5. Conclusions
Author Contributions
Funding
Data Availability Statement
Acknowledgments
Conflicts of Interest
References
- Ramage, M.H.; Burridge, H.; Busse-Wicher, M.; Fereday, G.; Reynolds, T.; Shah, D.U.; Wu, G.; Yu, L.; Fleming, P.; Densley-Tingley, D.; et al. The Wood from the Trees: The Use of Timber in Construction. Renew. Sustain. Energy Rev. 2017, 68, 333–359. [Google Scholar] [CrossRef]
- Cabral, J.P.; Kafle, B.; Subhani, M.; Reiner, J.; Ashraf, M. Densification of Timber: A Review on the Process, Material Properties, and Application. J. Wood Sci. 2022, 68, 20. [Google Scholar] [CrossRef]
- Khatib, J.M. Sustainability of Construction Materials; Woodhead Publishing Limited: Cambridge, UK, 2009. [Google Scholar]
- Wells, M. Tall timber buildings: Applications of solid timber construction in multi-storey buildings. CTBUH 2011, 1, 24–26. [Google Scholar]
- Gan, W.; Chen, C.; Wang, Z.; Song, J.; Kuang, Y.; He, S.; Mi, R.; Sunderland, P.B.; Hu, L. Dense, self-formed char layer enables a fire-retardant wood structural material. Adv. Funct. Mater. 2019, 29, 1807444. [Google Scholar] [CrossRef]
- Lubloy, E.; Takács, L.G.; Enczel, D.I.; Cimer, Z. Examination of the effect of fire retardant materials on timbes. J. Struct. Fire Eng. 2021, 12, 429–445. [Google Scholar] [CrossRef]
- Mensah, R.A.; Jiang, L.; Renner, J.S.; Xu, Q. Characterisation of the fire behaviour of wood: From pyrolysis to fire retardant mechanisms. J. Therm. Anal. Calorim. 2022, 148, 1407–1422. [Google Scholar] [CrossRef] [PubMed]
- Lowden, L.; Hull, T. Flammability behaviour of wood and a review of the methods for its reduction. Fire Sci. Rev. 2013, 2, 4. [Google Scholar] [CrossRef]
- Paris, O.; Zollfrank, C.; Zickler, G.A. Decomposition and carbonization of wood biopolymers—A microstructural study of softwood pyrolysis. Carbon 2005, 43, 53–66. [Google Scholar] [CrossRef]
- Figueroa, M.J.M.; Moraes, P.D. Comportamento da madeira a temperaturas elevadas. Rev. Amb. Constr. 2009, 9, 157–174. [Google Scholar] [CrossRef]
- Lublóy, É.; Mészáros, D.T.; Takács, L.G.; Cimer, Z.; Norbert, H. Examination of the fire performance of wood materials treated with different precautions. J. Therm. Anal. Calorim. 2023, 148, 4129–4140. [Google Scholar] [CrossRef]
- Zhang, M.F.; Wang, D.; Li, T.; Jiang, J.; Bai, H.Y.; Wang, S.B.; Wang, Y.; Dong, W.F. Multifunctional Flame-Retardant, Thermal Insulation, and Antimicrobial Wood-Based Composites. Biomacromolecules 2023, 24, 957–966. [Google Scholar] [CrossRef] [PubMed]
- Lian, M.; Huang, Y.; Liu, Y.; Jiang, D.; Wu, Z.; Li, B.; Xu, Q.; Murugadoss, V.; Jiang, Q.; Huang, M.; et al. An overview of regenerable wood-based composites: Preparation and applications for flame retardancy, enhanced mechanical properties, biomimicry, and transparency energy saving. Adv. Compos. Hybrid Mater. 2022, 5, 1612–1657. [Google Scholar] [CrossRef]
- Dogan, M.; Dogan, S.D.; Savas, L.A.; Ozcelik, G.; Tayfun, U. Flame Retardant Effect of Boron Compounds in Polymeric Materials. Compos. Part B Eng. 2021, 222, 109088. [Google Scholar] [CrossRef]
- Pan, F.; Jia, H.; Huang, Y.; Chen, Z.; Liang, S.; Jiang, P. Analyzing Temperature Distribution Patterns on the Facing and Backside Surface: Investigating Combustion Performance of Flame-Retardant Particle Boards Using Aluminum Hypophosphite, Intumescent, and Magnesium Hydroxide Flame Retardants. Polymers 2023, 15, 4479. [Google Scholar] [CrossRef] [PubMed]
- Sauerwein, R. Mineral filler flame retardants. In Non-Halogenated Flame Retardant Handbook; Morgan, A.B., Wilkie, C.A., Eds.; Scrivener Publishing LLC: Salem, MA, USA, 2014; pp. 117–119. [Google Scholar]
- Zhao, W.; Kumar Kundu, C.; Li, Z.; Li, X.; Zhang, Z. Flame Retardant Treatments for Polypropylene: Strategies and Recent Advances. Compos. Part A Appl. Sci. Manuf. 2021, 145, 106382. [Google Scholar] [CrossRef]
- Chen, X.; Li, J.; Xi, X.; Pizzi, A.; Zhou, X.; Fredon, E.; Du, G.; Gerardin, C. Condensed Tannin-Glucose-Based NIPU Bio-Foams of Improved Fire Retardancy. Polym. Degrad. Stab. 2020, 175, 109121. [Google Scholar] [CrossRef]
- Wang, X.; Yang, G.; Guo, H. Tannic Acid as Biobased Flame Retardants: A Review. J. Anal. Appl. Pyrolysis 2023, 174, 106111. [Google Scholar] [CrossRef]
- Silveira, M.R.; Peres, R.S.; Moritz, V.F.; Ferreira, C.A. Intumescent Coatings Based on Tannins for Fire Protection. Mater. Res. 2019, 22, e20180433. [Google Scholar] [CrossRef]
- Tondi, G.; Wieland, S.; Wimmer, T.; Thevenon, M.F.; Pizzi, A.; Petutschnigg, A. Tannin-Boron Preservatives for Wood Buildings: Mechanical and Fire Properties. Eur. J. Wood Wood Prod. 2012, 70, 689–696. [Google Scholar] [CrossRef]
- N’Guessan, J.L.L.; Niamké, B.F.; Yao, J.C.N.; Amusant, N. Wood Extractives: Main Families, Functional Properties, Fields of Application and Interest of Wood Waste. For. Prod. J. 2023, 73, 194–208. [Google Scholar] [CrossRef]
- Fraga-Corral, M.; Otero, P.; Echave, J.; Garcia-Oliveira, P.; Carpena, M.; Jarboui, A.; Nuñez-Estevez, B.; Simal-Gandara, J.; Prieto, M.A. By-products of agri-food industry as tannin-rich sources: A review of tannins’ biological activities and their potential for valorization. Foods 2021, 10, 137. [Google Scholar] [CrossRef] [PubMed]
- Pizzi, A.; Laborie, M.P.; Candan, Z. A review on sources, extractions and analysis methods of a sustainable biomaterial: Tannins. J. Renew. Mater. 2024, 12, 397–425. [Google Scholar] [CrossRef]
- Naima, R.; Oumam, M.; Hannache, H.; Sesbou, A.; Charrier, B.; Pizzi, A.; El Bouhtoury, F.C. Comparison of the impact of different extraction methods on polyphenols yields and tannins extracted from Moroccan Acacia mollissima barks. Ind. Crop. Prod. 2015, 70, 245–252. [Google Scholar] [CrossRef]
- Ky, I.; Le Floch, A.; Zeng, L.; Pechamat, L.; Jourdes, M.; Teissedre, P.L. Tannins. Encycl. Food Health 2015, 7, 247–255. [Google Scholar] [CrossRef]
- Vuolo, M.M.; Lima, V.S.; Maróstica Junior, M.R. Phenolic compounds: Structure, classification, and antioxidant power. In Bioactive Compounds: Health Benefits and Potential Applications; Elsevier Inc.: Amsterdam, The Netherlands, 2018; pp. 33–50. ISBN 9780128147757. [Google Scholar]
- Titto, R.J.; Häggman, H. Focus on Tannins. In Handbook of Natural Colorants; Wiley: Hoboken, NJ, USA, 2023; pp. 333–350. ISBN 9781119811718. [Google Scholar]
- Vera, M.; Urbano, B.F. Tannin polymerization: An overview. Polym. Chem. 2021, 12, 4272–4290. [Google Scholar] [CrossRef]
- Valente, F.; Laurini, M. A spatio-temporal analysis of fire occurrence patterns in the Brazilian Amazon. Sci. Rep. 2023, 13, 12727. [Google Scholar] [CrossRef] [PubMed]
- Ter Steege, H.; Pitman, N.C.A.; Sabatier, D.; Baraloto, C.; Salomão, R.P.; Guevara, J.E.; Phillips, O.L.; Castilho, C.V.; Magnusson, W.E.; Molino, J.F.; et al. Hyperdominance in the Amazonian Tree Flora. Science 2013, 342, 1243092. [Google Scholar] [CrossRef] [PubMed]
- Silva, L.F.; Silva, M.L.; Cordeiro, S.A. Análise do mercado mundial de madeiras tropicais. Rev. Pol. Agri. 2012, 21, 48–54. [Google Scholar]
- Kerber, P.R.; Stangerlin, D.M.; Pariz, E.; de Melo, R.R.; de Souza, A.P.; Calegari, L. Colorimetry and surface roughness of three amazonian woods submitted to natural weathering. Nativa 2016, 4, 303–307. [Google Scholar] [CrossRef]
- de Melo, R.R.; Dacroce, J.M.F.; Rodolfo, F.; dos Santos Lisboa, G.; de Jesus França, L.C. Lumber Yield of Four Native Forest Species of the Amazon Region. Flor. Amb. 2019, 26, e20160311. [Google Scholar] [CrossRef]
- da Silva Luz, E.; Soares, Á.A.V.; Goulart, S.L.; Carvalho, A.G.; Monteiro, T.C.; de Paula Protásio, T. Challenges of the Lumber Production in the Amazon Region: Relation between Sustainability of Sawmills, Process Yield and Logs Quality. Environ. Dev. Sustain. 2021, 23, 4924–4948. [Google Scholar] [CrossRef]
- Sousa, W.; Barbosa, L.D.; Soares, A.A.V.; Goulart, S.L.; Protasio, T.D. Wood colorimetry for the characterization of amazonian tree species: A subsidy for a more efficient classification. Cerne 2019, 25, 451–462. [Google Scholar] [CrossRef]
- Sharma, K.; Kumar, V.; Kaur, J.; Tanwar, B.; Goyal, A.; Sharma, R.; Gat, Y.; Kumar, A. Health effects, sources, utilization and safety of tannins: A critical review. Toxin Rev. 2019, 40, 432–444. [Google Scholar] [CrossRef]
- ASTM D2244-21; Standard Practice for Calculation of Color Tolerances and Color Differences from Instrumentally Measured Color Coordinates. American Society for Testing and Materials: West Conshohocken, PA, USA, 2021.
- ASTM E2550-21; Standard Test Method for Thermal Stability by Thermogravimetry. American Society for Testing and Materials: West Conshohocken, PA, USA, 2021.
- TAPPI T 257 sp-21; Sampling and Preparing Wood for Analysis. Technical Association of the Pulp and Paper Industry: Atlanta, GA, USA, 2021.
- R Core Team. R: A Language and Environment for Statistical Computing; R Foundation for Statistical Computing: Vienna, Austria, 2023; Available online: https://www.R-project.org/ (accessed on 10 January 2024).
- Ferreira, E.B.; Cavalcanti, P.P.; Nogueira, D.A. ExpDes.Pt: Pacote Experimental Designs (Portuguese); R Foundation for Statistical Computing: Vienna, Austria, 2021; Available online: https://cran.r-project.org/web/packages/ExpDes.pt/index.html (accessed on 10 January 2024).
- Bonfatti Júnior, E.A.; Lengowski, E.C. Colorimetria aplicada à ciência e tecnologia da madeira. Pesq. Flor. Bras. 2018, 38, e201601394. [Google Scholar] [CrossRef]
- Camargos, J.A.A.; Gonçalez, J.C. A colorimetria aplicada como instrumento na elaboração de uma tabela de cores de madeira. Bras. Florest. 2001, 71, 30–41. [Google Scholar]
- Tondi, G.; Schnabel, T.; Wieland, S.; Petutschnigg, A. Surface properties of tannin treated wood during natural and artificial weathering. Int. Wood Prod. J. 2013, 4, 150–157. [Google Scholar] [CrossRef]
- Baar, J.; Paschová, Z.; Čermák, P.; Wimmer, R. Color changes of various wood species in response to moisture. Wood Fiber Sci. 2019, 51, 119–131. [Google Scholar] [CrossRef]
- Cejudo-Bastante, M.J.; Rivero-Granados, F.J.; Heredia, F.J. Improving the color and aging aptitude of Syrah wines in warm climate by wood–grape mix maceration. Eur. Food Res. Technol. 2017, 243, 575–582. [Google Scholar] [CrossRef]
- Atayde, C.M.; Gonçalez, J.C.; Camargos, J.A.A. Características colorimétricas entre as seções anatômicas da madeira de Muirapiranga (Brosimum sp.). Cerne 2011, 17, 231–235. [Google Scholar] [CrossRef]
- Tondi, G.; Hu, J.; Rizzo, F.; Buh, J.; Medved, S.; Petutschnigg, A.; Thevenon, M.F. Tannin-Caprolactam and Tannin-PEG Formulations as Outdoor Wood Preservatives: Weathering Properties. Ann. For. Sci. 2017, 74, 9. [Google Scholar] [CrossRef]
- Silva, T.A.L.; da Silva, A.C.; Pasquini, D. Synthesis and Characterization of Acid-Activated Carbon Prepared from Sugarcane Bagasse for Furfural Production in Aqueous Media. Catalysts 2023, 13, 1372. [Google Scholar] [CrossRef]
- Keskin, H.; Atar, M.; Izciler, M. Impacts of impregnation chemicals on combustion properties of the laminated wood materials produced combination of beech and poplar veneers. Constr. Build. Mater. 2009, 23, 634–643. [Google Scholar] [CrossRef]
- Marney, D.C.O.; Russell, L.J. Combined fire retardant and wood preservative treatments for outdoor wood applications- A review of the literature. Fire Technol. 2008, 44, 1–14. [Google Scholar] [CrossRef]
- Thybring, E.E.; Fredriksson, M.; Zelinka, S.L.; Glass, S.V. Water in wood: A review of current understanding and knowledge gaps. Forests 2022, 13, 2051. [Google Scholar] [CrossRef]
- Duval, A.; Couture, G.; Caillol, S.; Avérous, L. Biobased and aromatic reversible thermoset networks from condensed tannins via the Diels–Alder reaction. ACS Sustain. Chem. Eng. 2017, 5, 1199–1207. [Google Scholar] [CrossRef]
- Kim, Y.-O.; Cho, J.; Yeo, H.; Lee, B.W.; Moon, B.J.; Ha, Y.-M.; Jo, Y.R.; Jung, Y.C. Flame Retardant Epoxy Derived from Tannic Acid as Biobased Hardener. ACS Sustain. Chem. Eng. 2019, 7, 3858–3865. [Google Scholar] [CrossRef]
- Xia, Z.; Singh, A.; Kiratitanavit, W.; Mosurkal, R.; Kumar, J.; Nagarajan, R. Unraveling the Mechanism of Thermal and Thermo-Oxidative Degradation of Tannic Acid. Thermochim. Acta 2015, 605, 77–85. [Google Scholar] [CrossRef]
- Yang, H.; Yan, R.; Chen, H.; Lee, D.H.; Zheng, C. Characteristics of hemicellulose, cellulose and lignin pyrolysis. Fuel 2007, 86, 1781–1788. [Google Scholar] [CrossRef]
- Sebio-Puñal, T.; Naya, S.; López-Beceiro, J.; Tarrío-Saavedra, J.; Artiaga, R. Thermogravimetric analysis of wood, holocellulose, and lignin from five wood species. J. Therm. Anal. Calorim. 2012, 109, 1163–1167. [Google Scholar] [CrossRef]
- Gašparovič, L.; Koreňová, Z.; Jelemenský, Ľ. Kinetic study of wood chips decomposition by TGA. Chem. Pap. 2010, 64, 174–181. [Google Scholar] [CrossRef]
- Soto, N.; Machado, W.; López, D. Determinación de los parámetros cinéticos en la pirólisis del pino ciprés. Quim. Nova 2010, 33, 1500–1505. [Google Scholar] [CrossRef][Green Version]
- Slopiecka, K.; Bartocci, P.; Fantozzi, F. Thermogravimetric analysis and kinetic study of poplar wood pyrolysis. Appl. Energy 2012, 97, 491–497. [Google Scholar] [CrossRef]
- González-Díaz, E.; Alonso-López, J.M. Characterization by thermogravimetric analysis of the wood used in Canary architectural heritage. J. Cult. Herit. 2017, 23, 111–118. [Google Scholar] [CrossRef]
- Lu, Y.; Lu, L. Thermal properties and thermal decomposition kinetics of tannic acid. Chen. Ind. For. Prod. 2022, 42, 83–89. [Google Scholar] [CrossRef]
- Sai, T.; Ran, S.; Guo, Z.; Song, P.; Fang, Z. Recent advances in fire-retardant carbon-based polymeric nanocomposites through fighting free radicals. SusMat 2022, 2, 411–434. [Google Scholar] [CrossRef]
- Nam, S.; Condon, B.D.; Xia, Z.; Nagarajan, R.; Hinchliffe, D.J.; Madison, C.A. Intumescent flame-retardant cotton produced by tannic acid and sodium hydroxide. J. Anal. Appl. Pyrol. 2017, 126, 239–246. [Google Scholar] [CrossRef]
- Borisovich, S.A.; Alexandrovich, B.A.; Abdukadirovich, M.B.; Maratovich, A.M.; Kuandykovich, M.Z.; Rakhmetulin, Z. Fire Hazard and Fire Resistance of Wooden Structures; Springer: Cham, Switzerland, 2023. [Google Scholar] [CrossRef]
- Yang, Y.X.; Li, Z.; Wu, G.; Chen, W.; Huang, G.Y. A novel biobased intumescent flame retardant through combining simultaneously char-promoter and radical-scavenger for the application in epoxy resin. Polym. Degrad. Stab. 2022, 196, 109841. [Google Scholar] [CrossRef]
- Jaramillo, A.F.; Díaz-Gómez, A.; Ramirez, J.; Berrio, M.E.; Cornejo, V.; Rojas, D.; Montoya, L.F.; Mera, A.; Melendrez, M.F. Eco-Friendly Fire-Resistant Coatings Containing Dihydrogen Ammonium Phosphate Microcapsules and Tannins. Coatings 2021, 11, 280. [Google Scholar] [CrossRef]









| Material | Application Technique | Acronym |
|---|---|---|
| Tannin | 48 h of immersion | IT |
| Tannin | 2 h of immersion with vacuum | VT |
| Tannin | brushing in three coats | BT |
| Commercial flame retardant | 48 h of immersion | IO |
| Commercial flame retardant | 2 h of immersion with vacuum | VO |
| Commercial flame retardant | brushing in three coats | BO |
| Tannin + Varnish | brushing in three coats | BTV |
| Varnish | brushing in three coats | BV |
| Control | - | CT |
| Treatment | L* | a* | b* | C* | h* |
|---|---|---|---|---|---|
| IT | 61.96 f (0.61) | 6.94 b (0.49) | 19.38 d (0.49) | 20.59 e (0.60) | 70.30° cd (1.11) |
| VT | 65.39 e (1.24) | 6.98 b (0.31) | 21.22 c (0.61) | 22.35 d (0.65) | 71.78° c (0.92) |
| BT | 62.80 f (1.04) | 8.36 a (0.32) | 22.47 b (0.40) | 23.98 b (0.31) | 69.58° d (0.95) |
| IO | 79.59 c (0.65) | 2.67 c (0.20) | 24.65 a (1.30) | 24.80 b (0.61) | 83.79° b (0.64) |
| VO | 80.79 ab (0.51) | 2.52 c (0.18) | 23.10 b (0.39) | 23.24 c (0.39) | 83.78° b (0.47) |
| BO | 80.57 b (0.33) | 2.56 c (0.14) | 21.71 c (0.27) | 21.86 de (0.25) | 83.28° b (0.42) |
| BTV | 54.98 g (0.94) | 12.78 a (0.30) | 23.25 b (0.58) | 26.53 a (0.42) | 61.18° e (1.10) |
| BV | 78.26 d (0.51) | 2.01 d (0.18) | 24.44 a (0.44) | 24.52 b (0.43) | 85.29° a (0.46) |
| CT | 81.37 a (0.40) | 1.86 d (0.15) | 18.89 d (0.40) | 18.98 f (0.40) | 84.38° a (0.47) |
| Treatment | Ignition Time (s) | Flame Time (s) | Ember Time (s) |
|---|---|---|---|
| IT | 16.56 b (3.20) | 119.49 b (8.46) | 68.98 c (6.89) |
| VT | 11.54 c (1.61) | 152.13 b (4.63) | 276.21 b (7.32) |
| BT | 15.95 b (2.84) | 161.77 b (4.18) | 285.09 b (3.74) |
| IO | >120.00 | 0 | 0 |
| VO | >120.00 | 0 | 0 |
| BO | 34.56 a (8.51) | 27.21 c (2.42) | 0 |
| BTV | 9.97 c (2.71) | 151.15 b (4.43) | 411.01 b (4.46) |
| BV | 12.39 c (2.64) | 194.93 ab (4.92) | 357.85 b (7.58) |
| CT | 10.58 c (2.59) | 209.41 a (3.97) | 698.63 a (2.33) |
| Treatment | R (%) | Sample after Burning | Cross-Section |
|---|---|---|---|
| IT | 57.25 cd (1.51) | ![]() | ![]() |
| VT | 45.87 de (2.58) | ![]() | ![]() |
| BT | 41.58 e (2.43) | ![]() | ![]() |
| IO | 82.02 a (2.58) | ![]() | ![]() |
| VO | 78.17 ab (1.45) | ![]() | ![]() |
| BO | 70.66 bc (1.73) | ![]() | ![]() |
| BTV | 52.52 de (2.64) | ![]() | ![]() |
| BV | 45.23 e (6.96) | ![]() | ![]() |
| CT | 28.48 f (7.04) | ![]() | ![]() |
Disclaimer/Publisher’s Note: The statements, opinions and data contained in all publications are solely those of the individual author(s) and contributor(s) and not of MDPI and/or the editor(s). MDPI and/or the editor(s) disclaim responsibility for any injury to people or property resulting from any ideas, methods, instructions or products referred to in the content. |
© 2024 by the authors. Licensee MDPI, Basel, Switzerland. This article is an open access article distributed under the terms and conditions of the Creative Commons Attribution (CC BY) license (https://creativecommons.org/licenses/by/4.0/).
Share and Cite
Bonfatti Júnior, E.A.; de Barros, J.M.R.; Silva, G.F.; Lengowski, E.C. A Comparative Analysis of Tannin and Commercial Fire Retardants in Wood Fire Protection. Forests 2024, 15, 951. https://doi.org/10.3390/f15060951
Bonfatti Júnior EA, de Barros JMR, Silva GF, Lengowski EC. A Comparative Analysis of Tannin and Commercial Fire Retardants in Wood Fire Protection. Forests. 2024; 15(6):951. https://doi.org/10.3390/f15060951
Chicago/Turabian StyleBonfatti Júnior, Eraldo Antonio, Jeinna Michelly Rodrigues de Barros, Gustavo Felizardo Silva, and Elaine Cristina Lengowski. 2024. "A Comparative Analysis of Tannin and Commercial Fire Retardants in Wood Fire Protection" Forests 15, no. 6: 951. https://doi.org/10.3390/f15060951
APA StyleBonfatti Júnior, E. A., de Barros, J. M. R., Silva, G. F., & Lengowski, E. C. (2024). A Comparative Analysis of Tannin and Commercial Fire Retardants in Wood Fire Protection. Forests, 15(6), 951. https://doi.org/10.3390/f15060951



















