Autumn Frost Hardiness in Six Tree Species Subjected to Different Winter Storage Methods and Planting Dates in Iceland
Abstract
1. Introduction
2. Materials and Methods
2.1. Plant Material
2.2. Field Planting and Experimental Design
2.3. Assessment of Autumn Frost Hardiness
2.4. Weather Data
2.5. Statistical Analysis
2.5.1. Probability of Damage
2.5.2. Annual Growth in Field Trials
2.5.3. Mortality and Initial Seedling Height
3. Results
3.1. Initial Height and Annual Increment Measured in the Nursery
3.2. Seedling Mortality
3.3. Weather Data
3.4. Cumulative Heat Sum
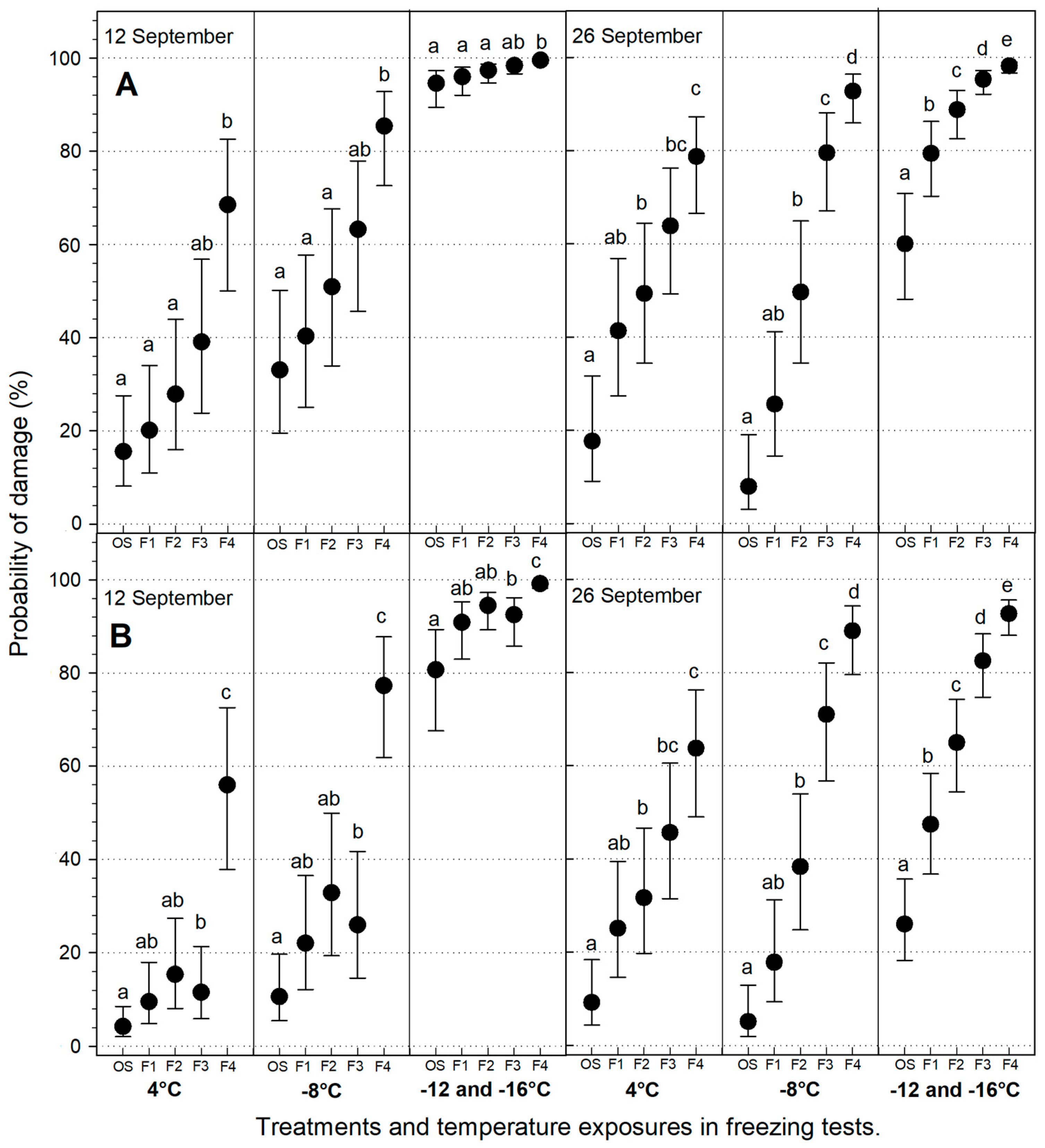
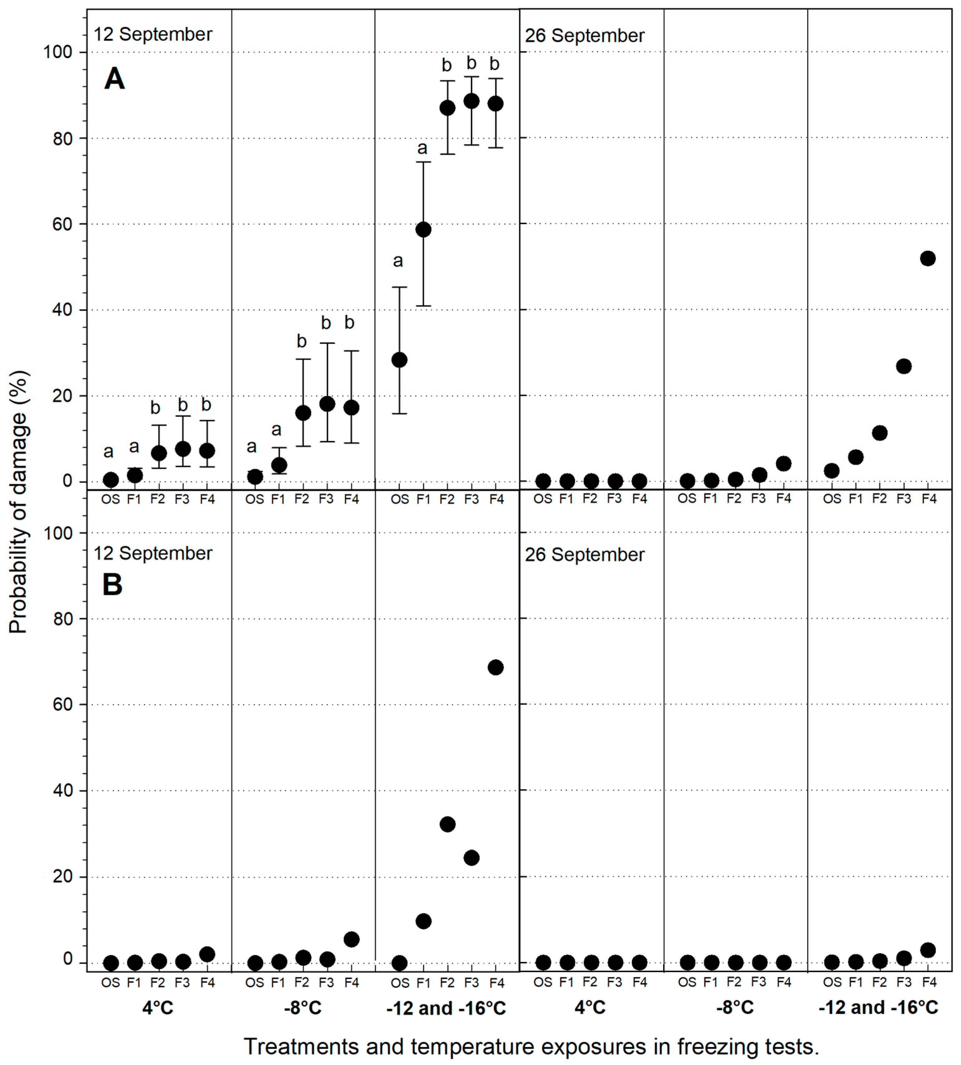
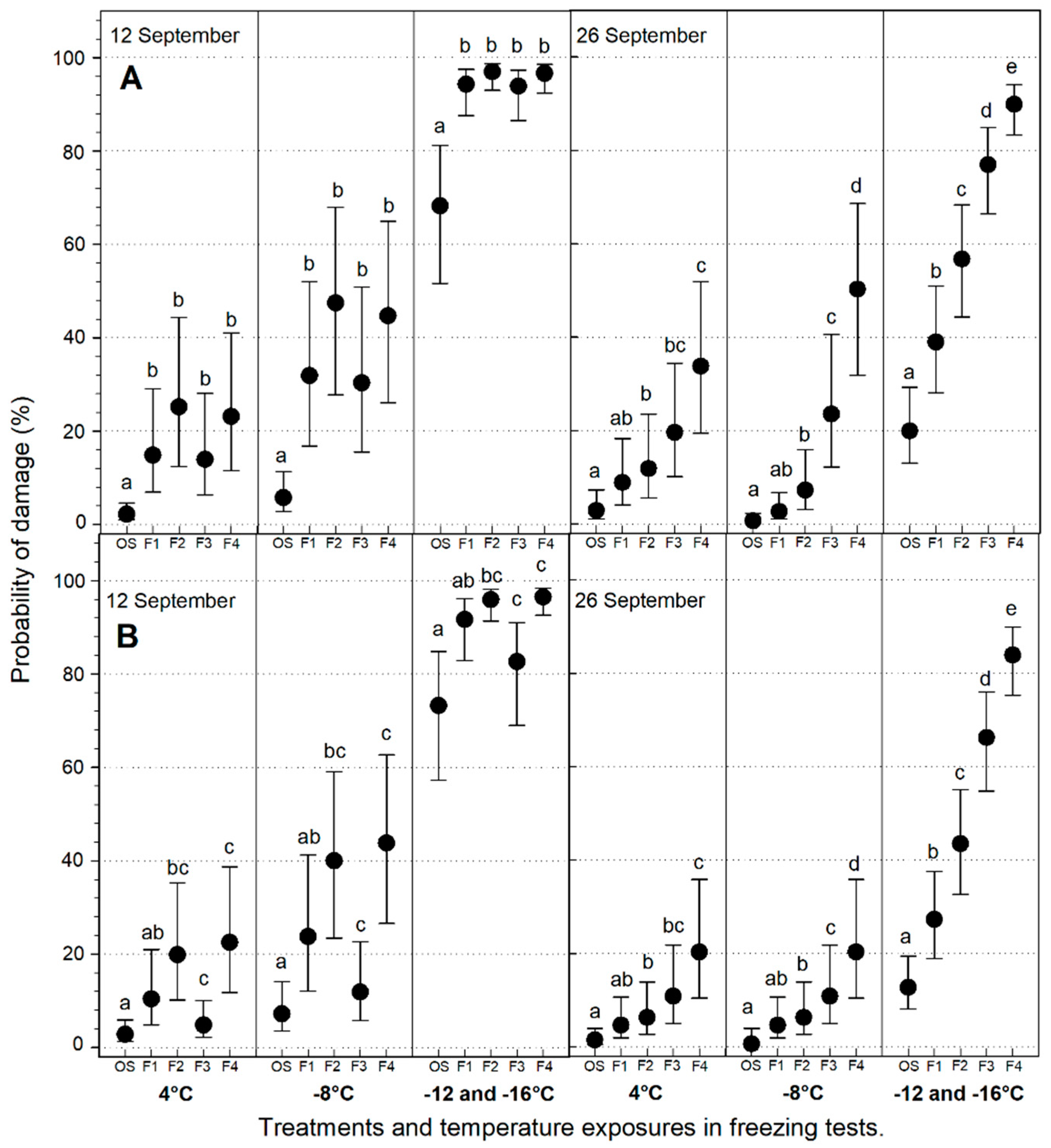
3.5. Probability of Frost Damage
3.5.1. Probability of Frost Damage in Downy Birch
3.5.2. Probability of Frost Damage in Larch Species
3.5.3. Probability of Damage in Lodgepole Pine Seed Sources
3.5.4. Probability of Damage to Spruce Species
3.5.5. Annual Growth in Field Trial
4. Discussion
4.1. Lodgepole Pine
4.2. Spruce
4.3. Larch
4.4. Downy Birch
4.5. Weather Data and Heat Sum Accumulation
5. Conclusions
Author Contributions
Funding
Data Availability Statement
Acknowledgments
Conflicts of Interest
References
- Sakai, A.; Larcher, W. Frost Survival of Plants. Responses and Adaptation to Freezing Stress; Sakai, A., Larcher, W., Eds.; Springer: Berlin/Heidelberg, Germany, 1987; p. 317. ISBN 3-540-17332-3. [Google Scholar]
- Hänninen, H. The Annual Cycle of Frost Hardiness. In Boreal and Temperate Trees in a Changing Climate: Modelling the Ecophysiology of Seasonality; Springer: Dordrecht, The Netherlands, 2016; pp. 173–216. [Google Scholar] [CrossRef]
- Fuchigami, L.H.; Nee, C.C. Degree Growth Stage Model and Rest-Breaking Mechanisms in Temperate Woody Perennials. Hortscience 1987, 22, 836–845. [Google Scholar] [CrossRef]
- Wisniewski, M.; Nassuth, A.; Arora, R. Cold Hardiness in Trees: A Mini-Review. Front. Plant. Sci. 2018, 9, 1394. [Google Scholar] [CrossRef] [PubMed]
- Levitt, J. Responses of Plants to Environmental Stresses, Chilling, Freezing and High Temperature Stress, 2nd ed.; Academic Press: London, UK, 1980; Volume 1, p. 510. [Google Scholar]
- Fuchigami, L.; Weiser, C.; Kobayashi, K.; Timmis, R.; Gusta, L. A degree growth stage (GS) model and cold acclimation in temperate woody plants. In Plant Cold Hardiness and Freezing Stress. Mechanisms and Crop Implications; Li, P.H., Sakai, A., Eds.; Academic Press: New York, NY, USA, 1982; Volume 2, pp. 93–116. [Google Scholar]
- Koski, V.; Sievanen, R. Timing of growth cessation in relation to the variations in the growing season. In Crop Physiology of Forest Trees; Tigerstedt, P.M.A., Puttonen, P., Koski, V., Eds.; University of Helsinki: Helsinki, Finnland, 1985; pp. 167–194. [Google Scholar]
- Dormling, I. Bud dormancy, frost hardiness, and frost drought in seedlings of Pinus sylvestris and Picea abies. In Advances in Plant Cold Hardiness; Li, P.H., Christersson, L., Eds.; CRC Press: Boca Raton, FL, USA, 2018; pp. 285–298. [Google Scholar]
- Hannerz, M.; Westin, J. Growth cessation and autumn-frost hardiness in one-year-old Picea abies progenies from seed orchards and natural stands. Scand. J. For. Res. 2000, 15, 309–317. [Google Scholar] [CrossRef]
- Hänninen, H.; Luoranen, J.; Rikala, R.; Smolander, H. Late termination of freezer storage increases the risk of autumn frost damage to Norway spruce seedlings. Silva Fenn. 2009, 43, 817–830. [Google Scholar] [CrossRef]
- Cannell, M.G.R.; Sheppard, L.J. Seasonal changes in the frost hardiness of provenances of Picea sitchensis in Scotland. Forestry 1982, 55, 137–153. [Google Scholar] [CrossRef]
- Krutzsch, P. The IUFRO 1964/68 provenance test with Norway spruce (Picea abies (L.) Karst.). Silva. Gen. 1974, 23, 58–62. [Google Scholar]
- Luoranen, J.; Rikala, R.; Konttinen, K.; Smolander, H. Extending the planting period of dormant and growing Norway spruce container seedlings to early summer. Silva Fenn. 2005, 39, 481–496. [Google Scholar] [CrossRef]
- Grossnickle, S.C.; Kiiskila, S.B.; Haase, D.L. Seedling Ecophysiology: Five Questions To Explore in the Nursery for Optimizing Subsequent Field Success. Tree Plant. Notes 2020, 63, 112–127. [Google Scholar]
- Grossnickle, S.C.; South, D.B. Fall acclimation and the lift/store pathway: Effect on reforestation. Open For. Sci. J. 2014, 7, 1–20. [Google Scholar] [CrossRef]
- Camm, E.; Goetze, D.; Silim, S.; Lavender, D. Cold storage of conifer seedlings: An update from the British Columbia perspective. For. Chron. 1994, 70, 311–316. [Google Scholar] [CrossRef][Green Version]
- Lindström, A. Winter Storage and Root Hardiness of Containerized Conifer Seedlings [Open Land Storage, Exposure Time, Lethal Temperatures, Stomatal Conductance]. Doctoral’s Thesis, Swedish University of Agricultural Sciences, Garpenperg, Sweden, 1987. ISPN 91-576-3021-6. [Google Scholar]
- Mckay, H.M.; Mason, W.L. Physiological indicators of tolerance to cold-storage in Sitka spruce and Douglas-fir seedlings. Can. J. For. Res. 1991, 21, 890–901. [Google Scholar] [CrossRef]
- Nilsson, U.; Luoranen, J.; Kolström, T.; Örlander, G.; Puttonen, P. Reforestation with planting in northern Europe. Scand. J. For. Res. 2010, 25, 283–294. [Google Scholar] [CrossRef]
- Colombo, S.J.; Menzies, M.I.; O’Reilly, C. Influence of nursery cultural practices on cold hardiness of coniferous forest tree seedlings. In Conifer Cold Hardiness; Bigras, F.J., Colombo, S.J., Eds.; Springer: Boston, MA, USA, 2001; pp. 223–252. ISBN 9780792366362. [Google Scholar]
- Lindström, A. Outdoor winter storage of container stock on raised pallets—Effects on root zone temperatures and seedling growth. Scand. J. For. Res. 1986, 1, 37–47. [Google Scholar] [CrossRef]
- Bigras, F.J.; Ryyppö, A.; Lindström, A.; Stattin, E. Cold acclimation and deacclimation of shoots and roots of conifer seedlings. In Conifer Cold Hardiness; Bigras, F.J., Colombo, S.J., Eds.; Springer: Boston, MA, USA, 2001; pp. 57–88. ISBN 9780792366362. [Google Scholar]
- Lindström, A. How can we minimize storage damage. In Seedling Production and Seedling Damage—Conference Held in Uppsala, Sweden 30 January 1996; Hannerz, M., Ed.; The Forestry Research Institute of Sweden: Uppsala, Sweden, 1996; pp. 34–44. [Google Scholar]
- Partanen, J. Regulation of Growth Onset and Cessation in Norway Spruce, Scots Pine and Silver Birch. Ph.D. Thesis, The Finnish Forest Research Institute, Punkaharju, Finland, 2004; p. 33, ISBN 951-40-1921-0. [Google Scholar]
- Ericsson, A.; Lindgren, A.; Mattsson, A. Effects of cold-storage and planting date on subsequent growth, starch and nitrogen content in Scots pine (Pinus sylvestris) and Norway spruce (Picea abies) seedlings. Stud. For. Suec. 1983, 165, 1–17. [Google Scholar]
- Jóhannsdóttir, Þ.; Jóhannesdóttir, H.; Snorrason, A. Forestry in numbers for the year 2022. J. Icel. For. Assoc. 2023, 2, 89–105. (In Icelandic) [Google Scholar]
- Jóhannsdóttir, Þ.; Snorrason, A.; Brynleifsdóttir, S.J. Forestry in numbers for the year 2021. J. Icel. For. Assoc. 2022, 2, 101–112. (In Icelandic) [Google Scholar]
- Jónsdóttir, R.J.; Jóhannesdóttir, H. Freezer storage of forest seedlings, freezing tests and quality control. J. Icel. For. Assoc. 2009, 1, 66–73. (In Icelandic) [Google Scholar]
- Landis, T.D.; Dumroese, R.K.; Haase, D.L. Seedling processing, storage, and outplanting. The container tree nursery manual. In Agricultural Handbook 674; Department of Agricultural Forest Service: Washington, DC, USA, 2010; Volume 7, p. 199. [Google Scholar]
- Björnsson, H.; Sigurðsson, B.D. Ræktunarskilyrði í dag og í framtíðinni. In Umfang og Afleiðingar Hnattrænna Loftslagsbreytinga á Íslandi; Icelandic Metorology: Reykjavík, Iceland, 2023; pp. 121–122, (In Icelandic). ISBN 978-9935-9414-3-5. Available online: https://cdn.loftslagsbreytingar.is/pdf/2023/10/skyrsla_visindanefndar.pdf (accessed on 2 February 2024).
- Davis, A.S.; Pinto, J.R. The scientific basis of the target plant concept: An overview. Forests 2021, 12, 1293. [Google Scholar] [CrossRef]
- Fedorkov, A. Variation in shoot elongation patterns in and in north-west Russia. Scand. J. For. Res. 2010, 25, 208–212. [Google Scholar] [CrossRef]
- Lukkarinen, A.J.; Ruotsalainen, S.; Peltola, H.; Nikkanen, T. Annual growth rhythm of Larix sibirica and Larix gmelinii provenances in a field trial in southern Finland. Scand. J. For. Res. 2013, 28, 518–532. [Google Scholar] [CrossRef]
- Duong, M.L. The Potential for Using Spruce (Picea) in Icelandic Forestry. Master’s Thesis, University of Iceland, Reykjavík, Iceland, 2023. Available online: https://skemman.is/bitstream/1946/43327/1/The%20Potential%20for%20Using%20Spruce%20%28Picea%29%20in%20Icelandic%20Forestry%20-%20Mai%20Duong.pdf (accessed on 8 May 2024).
- Jonsdottir, R.J.; Sigurdsson, B.D.; Lindström, A. Effects of nutrient loading and fertilization at planting on growth and nutrient status of Lutz spruce (Picea × lutzii) seedlings during the first growing season in Iceland. Scand. J. For. Res. 2013, 28, 631–641. [Google Scholar] [CrossRef]
- Lilja, A.; Poteri, M.; Petäistö, R.-L.; Rikala, R.; Kurkela, T.; Kasanen, R. Fungal diseases in forest nurseries in Finland. Silva Fenn. 2010, 44, 525–545. [Google Scholar] [CrossRef]
- Burr, K.E.; Hawkins, C.D.; L’Hirondelle, S.J.; Binder, W.D.; George, M.F.; Repo, T. Methods for measuring cold hardiness of conifers. In Conifer Cold Hardiness; Bigras, F.J., Colombo, S.J., Eds.; Springer: Boston, MA, USA, 2001; pp. 369–401. ISBN 9780792366362. [Google Scholar]
- Langvall, O.; Ottosson Lofvenius, M. Long-term standardized forest phenology in Sweden: A climate change indicator. Int. J. Biometeorol. 2021, 65, 381–391. [Google Scholar] [CrossRef] [PubMed]
- Icelandic Meteorological Office. Daglegt Yfirlit/Daily Observations. Available online: https://www.vedur.is/vedur/vedurfar/manadayfirlit (accessed on 23 January 2024).
- Zuur, A.F.; Ieno, E.N. A protocol for conducting and presenting results of regression-type analyses. Methods Ecol. Evol. 2016, 7, 636–645. [Google Scholar] [CrossRef]
- Zuur, A.F.; Ieno, E.N.; Walker, N.J.; Saveliev, A.A.; Smith, G.M. Mixed Effects Models and Extensions in Ecology with R; Springer: New York, NY, USA, 2009; ISBN 978-0-387-87457-9. [Google Scholar]
- Bates, D.; Mächler, M.; Bolker, B.M.; Walker, S.C. Fitting linear mixed-effects models using lme4. J. Stat. Softw. 2015, 67, 1–48. [Google Scholar] [CrossRef]
- R Core Team. R: A Language and Environment for Statistical Computing. Available online: https://www.R-project.org/ (accessed on 11 November 2023).
- Lenth, R. Emmeans: Estimated Marginal Means, aka Least-Squares Means. R Package Version 1.8.8. Available online: https://CRAN.R-project.org/package=emmeans (accessed on 11 November 2023).
- Luoranen, J.; Riikonen, J.; Saksa, T. Factors affecting winter damage and recovery of newly planted Norway spruce seed-lings in boreal forests. For. Ecol. Manag. 2022, 503, 119759. [Google Scholar] [CrossRef]
- Aitken, S.N.; Hannerz, M. Genecology and gene resource management strategies for conifer cold hardiness. In Conifer Cold Hardiness; Bigras, F.J., Colombo, S.J., Eds.; Springer: Boston, MA, USA, 2001; pp. 23–53. ISBN 9780792366362. [Google Scholar]
- Fedorkov, A.; Gutiy, L. Performance of lodgepole pine and Scots pine in field trials located in north-west Russia. Silva Fenn. 2017, 51, 1692. [Google Scholar] [CrossRef]
- Luoranen, J.; Rikala, R. Paleltuminen uhkaa kesäkuun alun jälkeen pakkasvarastosta istutettuja männyntaimia [Frost threatens pine seedlings from cold storage planted after the beginning of June]. Taimiuutiset 2011, 2011/2, 6–7. (In Finnish) [Google Scholar]
- Thompson, S. Some observations on the shoot growth of pine seedlings. Can. J. For. Res. 1976, 6, 341–347. [Google Scholar] [CrossRef]
- Skulason, B.; Sigurgeirsson, A.; Guðleifsson, B.E.; Edvardsen, Ø.M. Samanburður á kvæmum og systkinahópum sitkagrenis, hvítgrenis og sitkabastarðs, með tilliti til frostþols að vori og hausti/Frost tolerance among provenances and families from the Picea complex originating in Alaska. Mógilsárrit 2004, 23, 91, (In Icelandic with English Abstract). [Google Scholar]
- Dietrichson, J. Genetic variation in early frost tolerance of spruce from northwestern North America. In Forest Development in Cold Climates; Alden, J., Mastrantonio, J.L., Ødum, S., Eds.; Springer: Boston, MA, USA, 1993; pp. 383–391. ISBN 978-1-4899-1602-0. [Google Scholar]
- Junttila, O.; Skaret, G. Growth and survival of seedlings of various species under northern climatic conditions. Scand. J. For. Res. 1990, 5, 69–81. [Google Scholar] [CrossRef]
- Murray, M.B.; Cannell, M.G.R.; Smith, R. Date of budburst of fifteen tree species in Britain following climatic warming. J. Appl. Ecol. 1989, 26, 693–700. [Google Scholar] [CrossRef]
- Repo, T.; Nilson, J.-E.; Rikala, R.; Ryyppö, A.; Sutinen, M.L. Cold hardiness of Scots pine (Pinus sylvestris L.). In Conifer Cold Hardiness; Bigras, F.J., Colombo, S.J., Eds.; Springer: Boston, MA, USA, 2001; pp. 463–493. ISBN 9780792366362. [Google Scholar]
- Grossnickle, S.C. Ecophysiology of Northern Spruce Species: The Performance of Planted Seedlings; NRC Research Press: Ottawa, ON, Canada, 2000; p. 409. [Google Scholar]
- Simak, M. Photo-and Thermoperiodic Responses of Different Larch Provenances (Larix decidua Mill.). Master’s Thesis, Royal College of Forestry, Stockholm, Sweden, 1970. [Google Scholar]
- Eysteinsson, T.; Skulason, B. Adaptation of Siberian and Russian larch provenances to spring frosts and cold summers. Icel. Agric. Sci. 1995, 9, 91–97. [Google Scholar]
- Carswell, C.; Morgenstern, E. Phenology and growth of nine larch species and hybrids tested in New Brunswick, Canada. In Ecology and Management of Larix Forests: A Look Ahead; Proceedings of an International Symposum: Whitefish, MT, USA, 1995; Volume 521, pp. 318–322. [Google Scholar]
- Skulason, B.; Jonsdottir, R.J. Is it Possible to Increase Autumn Frost Hardiness in the Hybrid Larch ‘Hrymur’? In Proceedings of the Annual Conference of the Forestry Sector in Iceland, Akureyri, Iceland, 20–21 March 2024; Available online: https://assets.ctfassets.net/8k0h54kbe6bj/CiG9mwWUp0KyhWl3rupws/1ae5d083f6dfd44988cde0e78ed80f00/Fagr__stefna_2024_-__tdr_ttir_veggspjalda.pdf (accessed on 7 May 2024).
- Birgisdóttir, A.B. Bestandstettheter og Stammeform i 10-15 år Gamle Plantefelt av Russisk Lerk (Larix sukaczewii) på Øst Island. Master’s Thesis, Norwegian Univerisity of Life Sciences, Ås, Norway, 2005. [Google Scholar]
- Wöll, C. Treeline of Mountain Birch (Betula pubescens Ehrh.) in Iceland and Its Relationship to Temperature. Diploma Thesis in Forest Botany, Thechnical University Dresden, Dresden, Germany, 2008. Available online: https://skemman.is/bitstream/1946/7559/1/11855%20Birch%20treeline%20in%20Iceland_Christoph.pdf (accessed on 8 May 2024).
- Langvall, O. Interactions between Near-Ground Temperature and Radiation, Silvicultural Treatments and Frost Damage to Norway Spruce Seedlings. Doctoral’s Thesis, Swedish University of Agricultural Sciences, Alnarp, Sweden, 2000. ISBN 91-576-5874-9. [Google Scholar]







| Species | Site of Seed Source | Latitude of Seed Source | Origin | Latitude of Origin | Sowing Date | Moved Outdoors | Short-Day Treatment (SDT) |
|---|---|---|---|---|---|---|---|
| Downy birch | Bolholt | 1 | Bæjarstaður | 63°93′ N * | 9 Jun | 5 Jul | Without SDT |
| Lodgepole p. | Närlinge | 60°03′ N 2 | Canada | 60°44′–63°40′ N 2 | 9 Apr | 15 Jun | Without SDT |
| Lodgepole p. | Iceland | 1 | Skagway | 59°27′ N * | 9 Apr | 15 Jun | Without SDT |
| Russian larch | Lassinmaa | 62°04′ N 3 | Raivola | 60°14′ N 3 | 21 Jun | Early Nov | 16–19 Aug |
| Hybrid larch | Hrymur | 65°43′ N 4 | 4 | 4 | 21 Jun | Early Nov | 16–19 Aug |
| Sitka spruce | Stálpastaðir | 64°31′ N * | Cordova | 60°32′ N 5 | 25 Mar | Early Nov | 2–12 Aug |
| Lutz spruce | Haukadalur | 64°19′ N * | Seward | 60°06′ N 6 | 25 Mar | Early Nov | 2–12 Aug |
| Treat-ments | Winter Storage Method | Planting Date | Number of Species and Seed Sources | Number of Seedlings in Each Species Plot | Blocks | Seedlings Planted | Usable Seedlings on 12 September Freezing Test | Usable Seedling on 26 September Freezing Test |
|---|---|---|---|---|---|---|---|---|
| OS | Outdoor | 24 May | 7 | 60 | 4 | 1680 | 748 | 798 |
| F1 | Frozen | 24 May | 7 | 60 | 4 | 1680 | 688 | 741 |
| F2 | Frozen | 7 June | 7 | 60 | 4 | 1680 | 688 | 747 |
| F3 | Frozen | 21 June | 7 | 60 | 4 | 1680 | 680 | 742 |
| F4 | Frozen | 5 July | 7 | 60 | 4 | 1680 | 695 | 766 |
| Total | 8400 | 3499 | 3794 |
| Temperature Sum 1 | Probability of First Autumn Frost ≥ −5 °C | ||||||
|---|---|---|---|---|---|---|---|
| Place | Coordinates | Altitude (m asl) | Min | Mean | Max | Average Date, 50% Probability | Earliest Date, 5% Probability |
| Þingvellir | 64°16′ N, 21°05′ E | 110 | 587.8 | 735.2 | 931.7 | 3 October | 8 September |
| Akureyri | 65°41′ N, 18°06′ E | 31 | 571.1 | 771.6 | 955.4 | 22 October | 29 September |
| Reykjavík | 64°12′ N, 21°90′ E | 52 | 553.7 | 800.8 | 1044.5 | 14 November | 15 October |
| Hallormsst. | 65°05′ N, 14°44′ E | 60 | 554.7 | 737.5 | 898.1 | 20 October | 2 October |
| Mývatn | 65°37′ N, 16°58′ E | 282 | 382.6 | 559.8 | 758.2 | 10 October | 10 September |
| Höfn | 64°16′ N, 15°12′ E | 5 | 580.8 | 728.3 | 886.3 | 18 November | 3 October |
| Stafholtst. | 64°38′ N, 21°35′ E | 14 | 524 | 699.1 | 1003.2 | 6 October | 8 September |
| Hella | 63°49′ N, 20°21′ E | 20 | 627 | 788 | 949 | 16 October | 13 September |
| Month | Mean Temperature (°C) | Total Precipitation (mm) | Proportion of Average Precipitation (%) |
|---|---|---|---|
| May | 6.3 | 50.6 | 200 |
| June | 9.7 | 19.9 | 96 |
| July | 11.2 | 47.5 | 140 |
| August | 10 | 28.6 | 69 |
| September | 8.7 | 13.8 | 26 |
| Treatments | |||||
|---|---|---|---|---|---|
| Species | Mortality (%) | ||||
| OS ** | F1 ** | F2 *** | F3 *** | F4 ** | |
| Sitka spruce | 10.8 | 37.5 | 43.3 | 44.6 | 39.2 |
| Lutz spruce | 12.9 | 31.0 | 28.8 | 25.0 | 23.3 |
| Lodgepole pine, Skagway | 5.0 | 13.7 | 8.3 | 19.2 | 10.8 |
| Lodgepole pine, Närlinge | 3.9 | 1.3 | 0.4 | 2.5 | 2.1 |
| Hybrid larch | 0.8 | 6.3 | 0.0 | 0.4 | 1.3 |
| Russian larch | 0.4 | 0.8 | 1.3 | 0.0 | 0.4 |
| Downy birch | 0.0 | 1.3 | 0.0 | 0.0 | 0.0 |
| Time Periods in 2022 | Explanation | Heat Sum | Treatments and Planting Dates | ||||
|---|---|---|---|---|---|---|---|
| OS | F1 | F2 | F3 | F4 | |||
| 24 May | 24 May | 7 June | 21 June | 5 July | |||
| 1 January–24 May | C.h.s until 24/5 | 106 | 106 | 0 | 0 | 0 | 0 |
| 25 May–7 June | C.h.s between planting dates 1 and 2 | 62.5 | 168.5 | 62.5 | 0 | 0 | 0 |
| 8 June–21 June | C.h.s between planting dates 2 and 3 | 81.9 | 250.4 | 144.4 | 81.9 | 0 | 0 |
| 22 June–5 July | C.h.s between planting dates 3 and 4 | 43.7 | 294.1 | 188.1 | 125.6 | 43.7 | 0 |
| 6 July–12 September | C.h.s between planting date 4 to 12 September | 386.3 | 680.4 | 574.4 | 511.9 | 430 | 386.3 |
| 13 September–26 September | C.h.s between freezing tests | 50.3 | 730.7 | 624.7 | 562.2 | 480.3 | 436.6 |
| 27 September–31 December | C.h.s throughout the year after 26 September | 38.1 | 768.8 | 662.8 | 600.3 | 518.4 | 474.7 |
| Total cumulative heat sum for 2022 | 768.8 | 662.8 | 600.3 | 518.4 | 474.7 | ||
| Proportion of total heat sum for 2022 | 100% | 86% | 78% | 67% | 62% | ||
| Proportion of total heat sum 12 September | 100% | 84% | 75% | 63% | 57% | ||
| Proportion of total heat sum 26 September | 100% | 86% | 77% | 66% | 60% | ||
Disclaimer/Publisher’s Note: The statements, opinions and data contained in all publications are solely those of the individual author(s) and contributor(s) and not of MDPI and/or the editor(s). MDPI and/or the editor(s) disclaim responsibility for any injury to people or property resulting from any ideas, methods, instructions or products referred to in the content. |
© 2024 by the authors. Licensee MDPI, Basel, Switzerland. This article is an open access article distributed under the terms and conditions of the Creative Commons Attribution (CC BY) license (https://creativecommons.org/licenses/by/4.0/).
Share and Cite
Jonsdottir, R.J.; Sturludóttir, E.; Fløistad, I.S.; Skulason, B. Autumn Frost Hardiness in Six Tree Species Subjected to Different Winter Storage Methods and Planting Dates in Iceland. Forests 2024, 15, 1164. https://doi.org/10.3390/f15071164
Jonsdottir RJ, Sturludóttir E, Fløistad IS, Skulason B. Autumn Frost Hardiness in Six Tree Species Subjected to Different Winter Storage Methods and Planting Dates in Iceland. Forests. 2024; 15(7):1164. https://doi.org/10.3390/f15071164
Chicago/Turabian StyleJonsdottir, Rakel J., Erla Sturludóttir, Inger Sundheim Fløistad, and Brynjar Skulason. 2024. "Autumn Frost Hardiness in Six Tree Species Subjected to Different Winter Storage Methods and Planting Dates in Iceland" Forests 15, no. 7: 1164. https://doi.org/10.3390/f15071164
APA StyleJonsdottir, R. J., Sturludóttir, E., Fløistad, I. S., & Skulason, B. (2024). Autumn Frost Hardiness in Six Tree Species Subjected to Different Winter Storage Methods and Planting Dates in Iceland. Forests, 15(7), 1164. https://doi.org/10.3390/f15071164

