Next Article in Journal
Evaluation of the Morphological and Physicochemical Diversity of Carob (Ceratonia siliqua, Fabaceae) Germplasm from Algeria
Next Article in Special Issue
Subsidies for Forest Environment and Climate: A Viable Solution for Forest Conservation in Romania?
Previous Article in Journal
Forest Products Trade-Environment Nexus through the Lens of Carbon Neutrality Targets: The Role of Rural Bioenergy
Previous Article in Special Issue
A Multi-Criterion Evaluation Process for Determining Cost-Effective Harvesting Systems in Fragmented Boreal Forests
 
 
Font Type:
Arial Georgia Verdana
Font Size:
Aa Aa Aa
Line Spacing:
Column Width:
Background:
Article

Timber Extraction by Farm Tractors in Low-Removal-Intensity Continuous Cover Forestry: A Simulation of Operational Performance and Fuel Consumption

by
Gabriel Osei Forkuo
,
Marina Viorela Marcu
,
Eugen Iordache
and
Stelian Alexandru Borz
*
Department of Forest Engineering, Forest Management Planning and Terrestrial Measurements, Faculty of Silviculture and Forest Engineering, Transilvania University of Brasov, Şirul Beethoven 1, 500123 Brasov, Romania
*
Author to whom correspondence should be addressed.
Forests 2024, 15(8), 1422; https://doi.org/10.3390/f15081422
Submission received: 27 June 2024 / Revised: 25 July 2024 / Accepted: 9 August 2024 / Published: 13 August 2024
(This article belongs to the Special Issue Sustainable Forest Operations Planning and Management)

Abstract

Farm tractors represent a possible option for forwarding operations in continuous cover forestry, given the generally lower removal intensities, relatively high dispersion of timber, and heightened concerns regarding the environmental impact of operations. This study evaluated the performance of a farm tractor fitted with an externally operated crane and a bunk for forwarding operations, using field-documented data on operational speed, production, and fuel use, as well as data from high-resolution video recordings for a detailed time-and-motion study. Using this knowledge, performance simulations were run based on extraction distance and log size, to describe the variability in fuel use, cycle time, and productivity, and to estimate the operational cost. The results of the simulation showed important differences in operational speed across different work elements, involving machine movement. Although the extraction distance had effects, log size was found as the important factor driving the variability in cycle time, productivity, fuel use, and cost. The differences in performance based on the variability in extraction distance and log size may serve as a guideline for operational planning, costing, and environmental assessment regarding emissions under various operating conditions.

1. Introduction

Forest operations are crucial in providing renewable energy sources and building materials while supporting global biodiversity [1,2]. Particularly, forest operations that mimic natural disturbances, retain key habitat elements like deadwood and old-growth trees, and maintain a diversity of forest ages and structures can enhance biodiversity by providing a variety of habitats and resources for a wide range of species [3,4]. Nevertheless, conventional clearcutting and modern industrial forestry methods have resulted in the loss of approximately 420 million hectares of forest due to deforestation between 1990 and 2020, with an annual rate of approximately 10 million hectares in 2015–2020 [5,6]. This poses a significant threat to ecosystems worldwide, including soil degradation and carbon emissions. Therefore, there is a need to develop sustainable and eco-friendly forest management strategies [7,8,9]. Continuous cover forestry (CCF) involves low-intensity silviculture and selective harvesting methods that maintain the forest canopy at one or more levels, promoting sustainable forest conservation and minimizing adverse effects compared to conventional clearcutting [7,8,9,10,11,12,13,14,15]. Furthermore, low-removal-intensity CCF involves harvesting trees at levels of around 10%–30% of standing volume to maintain the forest cover, vertical and horizontal diversity, and natural regeneration of the forest while minimizing soil disturbance, damage to residual trees, and negative impacts on the forest ecosystem [7,9,13,14,15]. This approach is particularly important in mitigating the effects of climate change [9,15]. However, implementing CCF’s low-intensity harvesting methods has its operational challenges, especially in terms of extracting and transporting timber due to the need for specialized equipment that can efficiently operate in the forest environment [12,13].
Forwarding operations using specialized machines have been employed in different parts of the world [10,11,12,13]. Forwarders and skidders are commonly used for timber extraction and have proven to be efficient in various operational contexts in Europe [16,17,18,19,20,21,22,23,24,25,26,27,28,29]. However, their suitability for CCF harvesting depends on the specific type of machine [18] and the unique requirements of CCF practices [5,6,7,22]. For instance, their bulky size and weight make it challenging to use them in low-access CFF, since they require careful maneuvering to avoid residual tree damage and soil compaction. Furthermore, their expensive price as compared to farm tractors discourages such investments targeted to operate in CCF operations with low removals. Although some traditional logging equipment, such as forwarders and skidders, can be adapted for selective and low-intensity harvesting methods in CCF, modified farm tractors are often considered as the best option for wood extraction [30,31,32,33,34]. In some European countries, including Romania, the use of farm tractors for wood extraction is an important technical option, while forwarders are not widespread [26,35]. For instance, in small-scale forestry operations, farm tractors were used in 82% and 77% of all harvesting operations during the logging seasons of 1982–1983 and 1989–1990, respectively, in Finland [36], and modified farm tractors are commonly used for timber extraction in European countries like Turkey, Italy, and Croatia [37]. However, modifications are needed to adapt these tractors, which are not originally designed for forest operations [38,39,40], and they are often equipped to facilitate timber extraction. Additionally, farm tractors offer versatility as they can be used in both agricultural and forestry applications year-round with a range of equipment and attachments [41]. Consequently, farm tractors used for forwarding operations in low-removal-intensity CCF are popular in some countries such as Romania [42], but limited research has been conducted on their operational performance and cost.
The forest industry values high productivity, low time consumption, and low cost achieved by using minimal resources during extended work periods [34,43,44]. Productivity in forwarding operations is measured by the quantity of material extracted within a specific time frame, and loading and unloading of logs are critical components of the process [44]. Several studies have evaluated the productivity of farm tractors used for forwarding based on the amount of timber payload transported within the productive system time [33,34,37,41,45]. According to [41], the productivity of a farm tractor with a trailer equipped with a hydraulic crane can be influenced by factors such as forwarding distance and load volume. However, at the moment there are no scientific studies regarding the simulation of their productivity as a function of extraction distance and log size, although productivity in forest operations depends on various factors, including the organization of work [46].
Besides, fuel consumption significantly impacts the economic and environmental sustainability of forest operations [23,47,48,49], but limited research exists on fuel use by farm tractors in forwarding operations, making it difficult to develop effective fuel-saving methods [49]. The use of fossil fuels contributes to greenhouse gas emissions, air pollution, and climate change, making it essential to identify fuel-efficient, cost-effective, and environmentally friendly forwarding systems to promote low-intensity removal CCF while reducing greenhouse gas emissions, fossil fuel use, and air pollution in forest operations [23,48].
Moreover, forwarding wood with farm tractors can be a cost-effective alternative to using specialized forwarders, because compared to specialized forwarders, farm tractors have a lower purchase price [50] and their equipment purchase costs are recovered faster [51]. For instance, a study by [50] revealed that replacing a forestry trailer with a two-wheel trailer attached to the farm tractor could result in cost savings of up to 44% if only the economic goal of wood extraction is considered. Several studies suggest that forwarding costs using a farm tractor can be accurately calculated by considering machine hour costs and productivity rates, which are commonly expressed as forwarding costs per cubic meter of wood, allowing for a comprehensive approach that reflects economic efficiency of the forwarding process [41,52,53,54]. However, the costs may vary depending on the type of cuts and forwarding productivity [41]. For example, higher direct costs of forwarding may be recorded for stands with group cutting due to lower forwarding productivity [41]. Nevertheless, there is no scientific study on simulations of the costs of farm tractor forwarding in low-removal-intensity continuous cover forestry. Therefore, this study hypothesizes that the cycle time, productivity, fuel use, and production cost are influenced by the extraction distance and log size, such that longer distances and smaller log sizes result in lower productivity and higher unit fuel consumption, as observed in, e.g., [34,41,55].
Simulation modeling involves creating a computer model that imitates a real-life system or process to study its behavior under different scenarios and inform better decisions about its design, operation, and management [56,57,58,59]. Researchers have developed various simulation models to optimize forest operations, including using network simulation, interactive graphics, a systems dynamic model, and the Monte Carlo Simulation (MCS) method [58,59,60]. These models are useful in representing the complexity, variability, and interconnectivity of forest operations, and have been used for planning and evaluating various harvesting operations, including the performance of farm tractors used in forwarding operations in comparative designs and assessing operational costs [61,62,63]. These models can estimate productivity, time consumption, and operational costs of farm tractors for forwarding in CCF under specific conditions such as load size, travel distance, and terrain slope [63]. According to [64], the current state of computer simulation is well understood, as much learning has occurred during the generation of relevant models. Despite this progress, various modeling and implementation issues have been identified that remain unresolved [64]. Specifically, there is currently no simulation model for predicting productivity or operational fuel consumption for benchmarking and estimating productivity in low-intensity removal operations, despite numerous studies evaluating the cost and productivity of farm tractors for forwarding operations in different regions worldwide, e.g., [41,49,55,65].
This study aimed to simulate the time consumption, productivity, fuel use, and cost of modern farm tractors used in forwarding operations implemented in low-removal-intensity continuous cover forestry settings. The objectives were to (i) develop the descriptive statistics needed for simulating time consumption, productivity, fuel use, and cost, and to (ii) develop and run time consumption, productivity, fuel use, and cost simulation models that account for different extraction distances and log sizes.

2. Materials and Methods

2.1. Study Area

The study area was in the Racoviţa forest, Timiș County, Romania, bounded by agricultural fields and roads. The area of the study site was about 80 hectares with a network of extraction roads and log landings (Figure 1). The forest is located on a generally flat terrain with an average inclination of less than 5 degrees, at geographical coordinates of approximately 45°43.644′ N and 21°33.713′ E and at an altitude of approximately 116 m above sea level. This forest is in the Banat region, which is characterized by a temperate continental climate with high tree diversity and productivity. The forest is composed mainly of pedunculate oak (Quercus robur L.), Austrian oak (Quercus cerris L.), and Hungarian oak (Quercus frainetto Ten.).
Felling intensity at the study area is managed based on established forestry principles that aim to maintain a balance between timber harvesting and natural regeneration. The prevailing harvesting method is the tree length, where trees are felled and processed by chainsaw and then the tree lengths are extracted to the roadside. When the local conditions and available machines allow it, and typically on flatlands, the cut-to-length method is used, as in this study. The main wood assortments that were produced in the area of study included sawlogs and some firewood from the tree tops and branches. The extracted logs, including tops and branches, had a wide range of diameters over bark ranging from 8 to 82 cm, with a mix of quality grades, and common defects like buds, insect holes, wane, and biotic damage. The logs were typically 3–4 m long. The skid trails already in place were utilized to extract the wood to the roadside where it was piled. Wood piling was performed along the forest road and required the tractor with payloads to move to reach the individual pile locations. By field observation, the extraction took place under favorable soil conditions, with good bearing capacity, and some of the logs were pre-bunched most likely by horses.

2.2. Description of the Equipment

This study considered a Deutz Fahr Agrofarm 430 as the base machine for forwarding operations. The tractor was fitted with a PALMS 15U trailer with a payload capacity of about 10 m3 and a PALMS 7.94 crane that was used for loading and unloading (Table 1; Figure 2).
This forwarding equipment is ideal for transporting wood harvested in varying lengths, thanks to the trailer’s appropriate spacing and number of stanchions. The PALMS 15U forest trailer, with a 15-ton nominal load capacity, is built for professional forestry work in challenging conditions, with a high clearance and oval frame to avoid getting stuck on stumps and securely housed hydraulic and electronic components [67]. Moreover, the PALMS 7.94 forest crane has a double telescopic extension boom, making it suitable for daily professional forestry operations and compatible with PALMS double-beam and unibody trailers, with a higher lifting capacity and slewing torque that also makes it suitable for working with chippers and harvester heads [67]. The Deutz Fahr Agrofarm 430 is a tractor that can be fitted for timber extraction operations [66,68,69,70,71,72,73]. Additionally, the tractor’s long wheelbase and high ground clearance provide stability and traction, enabling it to operate effectively on rough terrain [66,68,72]. However, its suitability for timber extraction depends on specific requirements, terrain conditions, and the extraction scale [34,41].

2.3. Work Structure and Data Collection

The fieldwork for this study was carried out over five days, from 4 to 8 August 2022, during favorable weather conditions on dry land. The tractor used in the study was operated by a male Romanian who was about 50 years old and had extensive experience operating the machine for Romsilva, the Romanian National Forestry Agency, who owns the tractor. Initially, trees were motor-manually felled and processed using a chainsaw. The tractor-based extraction produced both sawlogs and fuelwood, which were stored at a landing area for subsequent transportation. Different assortments were transported mixed-up in a load, and after that, sorting was done at the landing and at the processing facility, respectively. Following felling and processing, the logs were placed irregularly in small bunches at the skid trails before extraction. The driver performed all forwarding tasks, including driving, loading and unloading logs, occasional repairs, and maintenance. A total of nineteen work cycles were observed during the study, with logs extracted to the landing area. These work cycles were segmented into elemental tasks for easy monitoring (Figure 2; Table 2). The way the work was organized in this study was similar to previous research on tractor forwarding operations [34,41,43,55]. The study used a time and motion approach, based on the principles of time consumption and productivity evaluation presented in [74,75]. The process of wood extraction using the farm tractor involved several steps, including driving the empty tractor from the roadside to the felling area (hereafter empty turn, ET), positioning the tractor with its bunk towards the wood to be loaded (hereafter maneuvering, MAN), loading the wood (hereafter loading, LD), which included swinging the crane to reach the log, grappling the log, lifting the log to load it, and releasing the log into the bunk, moving between bunches (hereafter MV), driving the loaded tractor from the forest roadside to the designated area (hereafter loaded turn, LT), and landing operations, which involved unloading the log by lifting it and releasing it onto the landing (hereafter unloading, UL).
Field data collection involved recording the farm tractor’s cycle time, operational speed, travel distance, production, and fuel consumption. Using the method of cumulative timing [75], time consumption was documented at an elemental level by studying the work elements described in Table 2. Operational activity was documented using a GoPro 10 Black video camera (GoPro Inc., San Mateo, CA, USA) mounted at the rear of the cabin. After each day of observation, the video files were downloaded and stored onto a personal computer, where they were organized for further analysis. Time consumption and operational speed were measured using a Garmin GPSMAP 64 STC unit fixed at the rear of the tractor’s cab with a sampling rate of one second. The extraction distances for the ET and LT were documented by downloading and storing the resulting data in the form of .GPX files onto a personal computer. The video files were coded and organized into days and paired with GPS data to extract time elements related to various stages of the wood extraction process (Table 2).
Additionally, fuel consumption was measured using the method of refilling to full, which involves estimating the amount of fuel used based on the amount of fuel needed to refill the tank to its maximum capacity [74,76]. In this study, fuel consumption was measured at the forwarding work cycle level, with readings taken using graded hard-polymer recipients and recorded to the nearest 100 centiliters. Measurements were taken after the tractor engine was shut down and the machine was situated on leveled ground. Data on extraction distance, log biometrics, fuel consumption, and other relevant events were documented using a pen-and-paper approach [77].

2.4. Data Processing and Statistical Analysis

Data processing and statistical analysis were conducted using Microsoft Excel® software (Microsoft, Redmond, WA, USA, 2013 version) equipped with the Real Statistics add-in (https://www.real-statistics.com/ accessed on 19 April 2024). Simple computations and descriptive statistics were performed using Microsoft Excel, while Real Statistics enabled advanced statistical analysis. In the office phase of the study, time consumption data were obtained by processing the video files. Although video-based analysis allowed for detailed observation of events, it required significant time resources for data processing [42]. However, this method was selected for its accuracy and the ability to track any potential data-related issues. Using a Microsoft Excel® spreadsheet, the initial and final times of each work element were recorded based on the concepts outlined in Table 2. Elemental time consumption was calculated by subtracting the final and initial times in seconds and corresponding codes (Table 2) were assigned to each observed event. Delays resulting from the study and technical reasons were documented separately.
Standard data transfer protocols were used to download location data from the GPS unit as a .GPX file, which was then uploaded into Garmin® BaseCamp (version 4.7.4.0; Garmin International Inc., Olathe, KS, USA) for additional analysis. The time labels for each collected location, as well as the time (s) and speed (km/h), were extracted as text strings and recorded in a Microsoft Excel® spreadsheet, where time and speed were transformed into numerical values using basic Excel functions. The data extraction and processing techniques used in this study were comparable to those of previous studies [25]. The .GPX files of the five days of observation were merged into a single Microsoft Excel® spreadsheet. Video files were analyzed using the time and date labels included in the .GPX files, and two additional attribute fields were established to document the engine state and the task performed by text coding. The GPS track data were examined in the running mode of Garmin BaseCamp® software (version 4.7.4.0) to identify events that took place in the field, the beginning and ending times of these events, and the operational distances, all of which were noted.
Work elements and events such as the empty turn (ET), study delays (SD), preparing for loading (PL), maneuvering (MAN), moving between piles (MV), loaded turn (LT), preparing for unloading (PU), and unloading (UL) were encompassed in the time consumption data recorded in this study. The duration of the primary tasks involved in moving the grapple of the crane in a three-dimensional space path was identified and recorded solely through video files to estimate the time consumption for the crane’s movements for subsequent simulation.
Volumes of individual logs, payloads, and production were estimated using data on the biometrics of the logs. These estimates were manually entered into the database. Moreover, operational distances, including empty turn distance, distance covered by moving between bunches of logs, maneuvering distance, and loaded turn distance, were estimated from the collected GPS location data. These distances were extracted cycle-wise using the measurement capabilities of Garmin BaseCamp® software. The estimated distances were included in the database developed at the work cycle level, which enabled the calculation of total moving distance and average forwarding distance. Additionally, to categorize the movement speed per work task, including maneuvering speed (MANS), empty turn speed (ETS), moving between bunches or locations speed (MVS), and loaded turn speed (LTS), logical functions similar to those used to extract time consumption data were employed. The speed datasets were examined and prepared for simulation of productivity outside the range of data gathered for the lowest and highest extraction distances.
Hourly fuel consumption (L/h) and unit fuel consumption (UFC, L/m3) data were also processed at an overall forwarding operations level using recordings from the 22 observed work cycles. The data included the engine running time at different engine output levels, including idle running. These data were manually transferred into the database and used to compute HFC based on engine working time. UFC was also estimated at this resolution. Cycle-wise fuel consumption data were then prepared to develop simulation models explaining the variation in UFC as a function of extraction distance and log size at an overall resolution.
The statistical methods used in this study were comparable to those described and used in previous studies on time consumption and productivity [34]. The statistical analysis was performed in a Microsoft Excel® spreadsheet to provide a description of the data and generate simulation models that predict the time consumption, productivity, and fuel use in relation to the extraction distance, distance between bunches of logs, log size, number of logs, and movements. The statistical analysis involved a series of descriptive steps that were used to statistically analyze time consumption and operational distances, including empty turn (dET), moving between locations (dMV), loaded turn (dLT), and maneuvering (dMAN) distances. Specifically, descriptive statistics were calculated to represent the central tendency and dispersion of the operational distances and time consumption, including minimum, maximum, mean, median, standard deviation, and sample variance values. Additionally, descriptive statistics and boxplots were developed to analyze and visualize the GPS speed data. Key descriptive statistics, such as the minimum and maximum values, median (second quartile), mean, first and third quartiles, and inter-quartile range, were calculated for the GPS speed data. Then, boxplots were constructed to graphically display the tractor speed data, including the minimum, first quartile, median, third quartile, and maximum values. All outliers in the data were removed by unchecking the “show outlier points” in the “format data series options” in the MS Excel spreadsheet.

2.5. Simulation of Time Consumption, Productivity, and Fuel Use

A simulation-based approach using an MS Excel spreadsheet was taken to model the farm tractor forwarding operations, based on the work elements and time components described in Table 2. Consequently, a simulation method was employed to study how the full load capacity and different extraction distances, distances between bunches of logs, log size, number of logs, number of movements, and number of logs per location affect the time consumption, as well as to obtain productivity and fuel use functions that describe such systems [63,78]. The simulations on time consumption, productivity, and fuel consumption were run by considering the extraction distance and log size as main factors affecting these performance metrics. The simulations were similar to the tractor simulation models developed in previous studies [34,41], with extended functionalities derived from other published simulation models [79,80], harvesting operations in similar forest environments to those considered in this study [42], the type of cuts performed, e.g., clear cutting, low removal intensity, and thinning [8,9,81] and farm tractor working patterns [34,41,43,82].
A total of 300 simulations were run on operational variables (extraction distance, distance between bunches of logs, log size, number of logs, and number of movements) resulting in outputs on total cycle time, productivity, unit fuel consumption, and net unit cost in different forwarding scenarios. The simulations considered a full loading capacity (10 m3), 5 variations in extraction distance (100, 200, 300, 400, and 500 m, respectively), 6 variations in distance between locations/log bunches (10, 20, 30, 40, 50, and 100 m, respectively), 10 variations in log size (0.10 to 1.00 m3, with a step of 0.10 m3), and 8 variations in the number of movements (5 to 20). Some of the parameters, such as the number of logs per turn and the number of logs per location, were directly computed from the simulation scenarios. It was assumed that the extraction distance affects the empty turn time and the loaded turn time linearly, based on knowledge from previous studies [34,41,43,82].
The performance indicators for each scenario, such as total time consumption/cycle time (CT), productivity (P), unit fuel consumption (UFC), and net unit cost (NUC), were calculated according to Equations (1)–(9).
C T = t T E + t M V + t P L + t P U + t L D + t U L ,
where CT is the cycle time in hours, and the other terms denote the elemental time consumption in hours: tTE is the extraction time including empty and loaded turns, tMV is the time consumption of moving between locations, tPL is the time consumption of preparing for loading, tPU is the time consumption of preparing for unloading, tLD is loading time, and tUL is unloading time.
t T E = D E 1000 × 1 S E T + D E 1000 × 1 S L T ,
where DE is stimulated extraction distance in meters, SET is the average speed of empty turn (SET = 5.36 km/h), and SLT is the average speed of loaded turn (SLT = 5.49 km/h).
t M V = 0.0011 × D P 0.764 × N M ,
where DP denotes simulated distance between bunches/locations in meters, and NM denotes the simulated number of movements. Equation (3) was modeled based on the field-collected data on distance between the piles and the time consumption during movement, whereas the simulated number of movements was taken from the scenarios.
t P L = 0.007 × N M ,
t P U = 0.008 ,
t L D = 0.0011 × N L ,
where tPU is a fixed portion taken as the average from the field-collected data whereas NL denotes simulated number of logs.
t U L = 0.008 × N L ,
Moreover, the productivity (P) was computed using Equation (8). The productivity was defined as the ratio of the total volume of logs forwarded to the total time spent on forwarding operations.
P = L C C T ,
where LC denotes the full load capacity of 10 m3.
Then, using the COST model developed by [53], and the productivity, expressed as m3 × PMH−1, the unit cost of each scenario (€/m3) was calculated and recorded into a Microsoft Excel spreadsheet. The assumptions for the cost calculation are shown in Table 3. Moreover, the unit fuel consumption (UFC) was calculated using Equation (9).
U F C = C T × H F C ,
where HFC is the hourly fuel consumption rate, which was 3.117 L/h in this study. The HFC was calculated based on the engine running time and the amount of fuel consumed in the field.

2.6. Development of Performance Simulation Models

Simulation models were developed to examine the dependence relationships between total time consumption (cycle time), productivity, unit fuel consumption, and net unit cost as dependent variables (response/target variables), and extraction distance and log size as independent variables (predictor or explanatory variables). These were carried out in Microsoft Excel by varying the independent variables, based on which the values of response variables were computed.

3. Results

3.1. Descriptive Statistics of the Operational Variables and Time Consumption

Table 4 presents the descriptive statistics of operational variables and time consumption, as these were observed based on field-collected data. On average, empty and loaded turn elements required a time that was proportional to their respective travel distances. On average, the maneuvering time accounted for approximately 1.28 min. The first category of time consumption shown in Table 4 (study delay) describes the activities undertaken during clearing and crosscutting long logs which were difficult to load due to obstruction from neighboring trees and branches, waiting or resting, and fixing and removing the GPS unit from the machine, and it was excluded from simulation. Based on the information shown in Table 4 and the supporting data for these statistics, the average distance for wood extraction was approximately 1126 m, ranging from 1099 to 1152 m. The average maneuvering distance was approximately 46 m. Overall, the data reveal that there is a wide range of values for both distance and time variables, with certain factors returning relatively high standard deviations, indicating significant variability in the observed datasets. According to the provided statistics, the most variable factors were found to be loading time and empty turn distance.
In the observed time, productive time accounted for 67.25%. In this category, the work elements ET, PL, LD, MV, LT, PU, UL, and MAN accounted for 22.84, 5.07, 20.67, 15.28, 21.40, 1.00, 10.54, and 3.20%, respectively.

3.2. Descriptive Statistics of the Operational Speed

The results shown in Figure 3 describe how the speed differed meaningfully across the work elements and provide important insights into the operational speed of the studied farm tractor during different work elements that involved movement. For MANS, the median and mean speeds were low, and the IQR was narrow (Q1 = 0.9 km/h, Q3 = 1.9 km/h), indicating little variation in observed speed. Additionally, the range of maneuvering speed recorded in the study was 3.3 km/h. However, ETS had the highest speed overall, while MVS had an intermediate speed range between MANS and ETS, with a median of 2.5 km/h. LTS outputted a higher speed than MANS, but a lower speed than ETS, with a median and mean of 6 and 5.49 km/h, respectively. The finding that each work element had varying speed profiles is important, as it highlights the need to optimize different tasks to enhance the process efficiency. For example, maneuvering speed was low, reflecting the careful and precise nature of maneuvering tasks, whereas empty turns allowed for faster movement between locations without payload restrictions.

3.3. Models of Time Consumption, Productivity, Fuel Use, and Unit Cost

The simulation models shown in Figure 4a,b indicate that increasing the size of logs forwarded can enhance operational productivity by reducing the cycle time consumption. The results show that at every extraction distance, the largest log size of 1.0 m3 leads to the lowest cycle time, while the smallest log size of 0.1 m3 leads to the highest.
Moreover, the rate of decrease in cycle time with increasing extraction distance becomes lower as the log size increases. Additionally, the simulation models in Figure 4c suggest that loading and unloading times reduce with an increase in log size, and both loading and unloading times decrease gradually as log size increases. This is a valuable insight for forest management practices, since larger logs can be more efficient to handle as they may require fewer movements to load and unload, ultimately leading to reduced time consumption and increased productivity. However, there may be limitations to log size, such as the capacity of the equipment and trailer used.
The simulation models presented in Figure 5a,b indicate that productivity tends to increase with increasing log size but decreases with increasing extraction distance, and the rate of increase in productivity becomes steeper for larger log sizes.
The results suggest that working with larger logs can lead to increased productivity, but these benefits can be canceled by increased extraction distances. Moreover, the study found that the effects of extraction distance and log size on productivity tend to be more pronounced for log size.
The results presented in Figure 6a show that there is a consistent trend of increasing unit fuel consumption with increasing extraction distance. This highlights the importance of optimizing the extraction distances to minimize fuel consumption. Additionally, Figure 6b shows that unit fuel consumption decreases sharply with larger log sizes. Therefore, shortening the extraction distance and operating with larger logs ultimately reduces the fuel consumption.
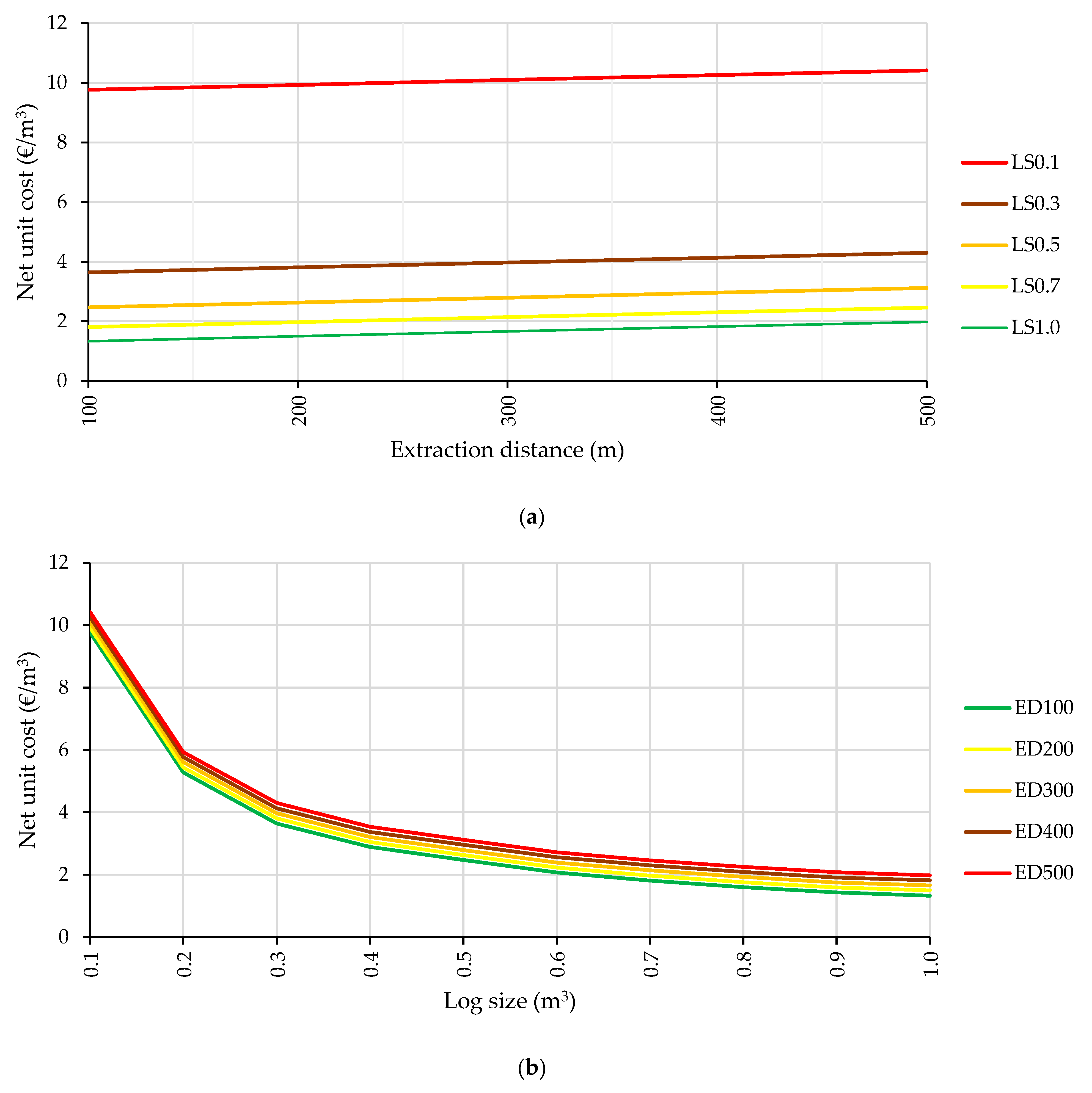
The simulation models presented in Figure 7a,b show that as extraction distance increases, net unit cost increases, indicating that longer distances increase the cost of forwarding operations. On the other hand, an increase in log size results in a decrease in net unit cost.
This suggests that larger logs are more cost-efficient than smaller logs in forwarding operations, as well as the fact that the size of the logs forming a payload would be the driving cost factor for the considered extraction distances.

4. Discussion

Time-and-motion studies have been widely used to evaluate the performance of logging equipment and harvesting systems, even under similar working conditions [42,81,83]. These studies helped determine the machine’s productivity and utilization rates, hence helping in predicting the logging practices’ economic worth [84], since it is important to economically plan and implement logging practices while maintaining knowledge of their limitations and potential [85]. Numerous studies have been carried out on different site characteristics to evaluate the performance of various wood extraction methods using farm tractors and to establish the logistics of extraction activities [85,86]. Previous research indicates that loading and unloading processes consume considerable amounts of time, although the time spent decreases as the size of logs increases [34]. As the extraction distance increases, there is a subsequent increase in travel time, resulting in decreased productivity [87]. Accordingly, reducing the extraction distance can have a significant impact on the overall cost and productivity [87,88].
In this study, simulation models were developed by combining empirical observations of farm tractor forwarding operations analyzed using statistical methods to predict system behavior as an inductive method [89,90,91], while the deductive approach provided behavior predictions based on particular scenarios relevant to low-removal-intensity continuous forestry settings [8,9,77,81]. This was because simulation models of forest machines have been noted to operate between the inductive and deductive approaches by several studies [63,78,89,90,91]. The results reveal a broad range of values for both distance and time consumption variables, with certain factors exhibiting considerable variability, as indicated by their relatively high standard deviations. Among the operational variables associated with wood extraction in this study, the most significant variability was observed in study delays, loading time, and empty turn distance, although the mean distance of wood extraction was approximately 1126 m. Similar studies have been conducted in the past and the results differ depending on the location and equipment used. For instance, a study was carried out in a 95-year-old pine stand, where forwarding with the Zetor 8045 tractor combined with a trailer with a capacity of 12 tons was characterized by an average extraction distance of about 200 m [86], whereas another study by [43] found that the mean extraction distance for tractor forwarding was 167 m in plantations in even-terrain conditions. These differences in results can be attributed to the variability in forest conditions and management practices [34,41]. Moreover, average maneuvering distance was found to be 46 m, while maneuvering time accounted for roughly 1.28 min. The distance variables reported in this study appear to be significant factors that influence the overall time consumption in wood extraction. These findings underscore the diverse operational challenges and complexities inherent in wood extraction processes in this condition [11]. The variability in key operational variables poses a challenge for forest managers to ensure the efficiency and sustainability of wood extraction, but addressing these sources of variability presents opportunities for improving forest management practices [11]. Therefore, the study highlights the need for landowners and forest managers to explore new approaches and consider the most appropriate method of wood extraction concerning accessibility, environmental impact, and cost-effectiveness [11]. In this regard, the use of farm tractors in low-removal-intensity CCF settings can be an attractive alternative method to meet these requirements. The implications of the findings for forest management and operations are significant. It is important for forest managers to consider the terrain and density of the stand when choosing an appropriate machine for wood extraction [40,41,43,92]. Low-intensity-removal CCF settings require sustainable harvesting practices that minimize soil damage and protect the residual stand [11]. While the use of farm tractors is feasible in low-impact harvesting, other factors such as cost, operator experience, and labor availability must also be considered when making decisions regarding their use in forest management and operations [40,41,43].
The operational speeds observed in four different types of tasks involved in machine movement were consistent with previous studies. For instance, [43] found that the average speed of loaded travel of the farm tractor was slower than the average speed during empty travel. Similarly, the study’s simulation results showed that loaded turn speed (LTS) was higher than maneuvering speed (MANS) but lower than empty turn speed (ETS), potentially due to the absence of a loaded trailer. Maneuvering (MAN) speed, on the other hand, was found to be lower in this study as compared to that found by [93]. Additionally, results of previous research showed that average speeds up to 9 km/h can be specific to farm tractors [62], which matched the top speed recorded for empty turn in this study, supporting the plausibility of outliers eliminated from the dataset. The lower quartile value of 1.6 km/h suggested that a significant proportion of movements occurred at relatively lower speeds [93]. Besides, loaded turn (LT) exhibited a speed distribution ranging from 0.6 to 10 km/h, with a median speed of 6 km/h and a mean of 5.49 km/h. This suggests that the speed during loaded turns is similar to those observed during empty turns [41,93], highlighting the consistency in tractor behavior during turning maneuvers. Generally, the speed of these tasks is low due to the complexity and difficulty of movement in low-removal-intensity continuous cover forestry [8,9,77,81]. Nonetheless, the identified trends in speed for the four work elements provide valuable insights for forest management practices and operational planning. The speed distributions observed in this study have various implications that may affect productivity, safety, workload distribution, time, cost considerations, and equipment selection. Therefore, understanding these distributions can help in streamlining operations and minimizing the time lost by identifying slower tasks or bottlenecks to optimize efficiency [94]. It can also aid in determining the time required for specific work elements, ensuring a balanced workload distribution among tractor operators, and guiding the selection of equipment and infrastructure design [45]. Overall, leveraging this information can enhance forest operational efficiency, productivity, and sustainability.
Moreover, the study suggests that cycle time consumption decreases with increased log size and decreased extraction distance. This finding aligns with previous studies such as [82,95], who identified the size of the extracted load as an important factor affecting forwarding cycle duration. Additionally, the study found that extraction distance had a greater effect on cycle time for smaller log sizes, and the rate of decrease in time consumption slowed with increasing log size. This trend is similar to the findings of [43] who found that the time consumption was related to the number of logs. Furthermore, the simulation models developed in this study suggest that loading and unloading times decrease gradually as log size increases. According to [96], the number of assortments being extracted, or their concentration, can influence loading and unloading cycle duration. These findings highlight the importance of considering log size, concentration, and extraction distance when planning forwarding operations to optimize productivity and reduce time consumption. Such findings also have significant implications for forwarding with farm tractors, as tractor operators may need to consider the log size being extracted and the distance of the extraction to achieve maximum efficiency.
The study found similar trends in productivity. The simulation models suggest that productivity increases with increasing log size but decreases with increasing extraction distance. However, in a distance range of 100 to 500 m, the log size had a more substantial impact on productivity than extraction distance. These findings are supported by those from previous studies [34,41,42,55]. For example, [55] found that the productivity of farm tractor forwarding increased with an increase in diameter and a decrease in extraction distance. In contrast, [42] reported that productivity decreased as distance increases and trees’ size is reduced in low-access and low-intensity timber removals. The implications of these findings for forwarding with farm tractors are important as they demonstrate that managers can plan for optimal productivity by selecting the optimal combination of extraction distance and log size, ultimately leading to more efficient and sustainable forestry practices [34,41]. Thus, foresters in charge with planning can use the results to make their choice on the equipment to be used when several options are available, including that described in this study. As such, selecting large log sizes can significantly improve productivity, but operators must also consider the distance involved [34,41]. Moreover, forestry practices that help reduce time consumption and enhance productivity can lead to sustainable and efficient management practices [34,41]. These findings support decision making by providing indicative figures on what factors there are and how they are affecting productivity.
Furthermore, there were important variations found in unit fuel consumption depending on extraction distance and log size. As the extraction distance increases, there is a general trend of increasing unit fuel consumption, as reported by [42], who found that fuel consumption increased with extraction distance in skidding operations. However, when log size increases, unit fuel consumption tends to decrease, which suggests that shorter extraction distances and larger logs can be more fuel-efficient compared to longer extraction distances and smaller logs. Moreover, [48] explain that the use of a tractor and forest trailer led to the lowest GHG emissions due to the low fuel consumption of the system. In terms of the implications for forwarding with farm tractors, the findings suggest that factors such as extraction distance and log size need to be carefully considered to minimize fuel consumption. Low-access and low-intensity timber removals may benefit from the use of a tractor and forest trailer or a tractor and winch, as reported by [48]. Additionally, the study carried out by [23] highlights the importance of selecting the most appropriate machines for the given harvest block to avoid high fuel consumption rates. Therefore, choosing the right equipment and managing operational parameters such as extraction distance and log size could lead to more sustainable and fuel-efficient forest operations.
In terms of unit costs, the findings highlight the importance of considering both extraction distance and log size when planning and optimizing forwarding operations to minimize costs. Shorter extraction distances and larger logs are more cost-effective; similarly, [41] found that the unit forwarding cost decreases with an increase in extraction distance and log size. Likewise, [43] found that forwarding with farm tractors is more efficient and cost-effective than skidding in certain situations. The study of [55] shows that using farm tractors for forwarding could be a more cost-effective and sustainable alternative to traditional methods for small-scale forestry. The study of [54], on the other hand, revealed that a combination of elephants and tractors is the most efficient and cost-effective method of timber extraction in steep terrain.
The limitations of this study include a lack of consideration for the effect of terrain and weather conditions, which may impact the productivity and fuel use of the farm tractor. Another limitation is that the study was carried out on a single farm tractor and may not be representative of the performance of other farm tractors or forwarding machines. Still, the methodological approach described by this study could be used to simulate cycle time, productivity, fuel use, and costs for other machines and operational settings. Additionally, the simulation results are based on local cost assumptions and may not accurately reflect the actual costs and performance of the machine in other places [79]. Therefore, some results should be interpreted with caution and further research is needed to confirm the findings and address these limitations. For instance, future studies may focus on investigating the influence of terrain conditions or operator experience on the observed speed patterns to optimize efficiency and productivity in tractor operations within continuous cover forestry systems. For instance, [65] suggest further studies to optimize productivity and reduce energy consumption in operations. The development of a general model to predict and benchmark productivity levels could be a significant contribution towards efficiency and profitability in tractor forwarding operations. Overall, the study suggests that careful planning, optimization, and consideration of variables impacting productivity are necessary for efficient and profitable forwarding operations in low-removal-intensity continuous cover forestry systems.

5. Conclusions

This study successfully measured and simulated time consumption, productivity, fuel use, and cost of modern farm tractors used in forwarding operations in low-removal-intensity continuous cover forestry settings for different extraction distances and log sizes using deductive and inductive reasoning. The study’s descriptive statistics of operational speeds provided valuable insights into optimizing task efficiency and highlighted the varying speed profiles of each work element. Moreover, the simulation models highlighted the critical impact of log size and extraction distance on time consumption, productivity, fuel use, and net unit cost. These findings are consistent with earlier research and emphasize the importance of considering various factors to streamline operations, enhance efficiency, and promote sustainability. Additionally, the findings provide essential information for operational planning, costing, and environmental assessment in terms of emissions under various operating conditions, supporting better decision making in the forestry industry. Future research should investigate the influence of terrain conditions and operator experience, with an aim to develop a general model predicting productivity levels in pursuit of more efficient and profitable forwarding operations with farm tractors.

Author Contributions

Conceptualization, M.V.M., E.I. and S.A.B.; data curation, G.O.F.; formal analysis, G.O.F.; funding acquisition, S.A.B.; investigation, G.O.F.; methodology, M.V.M., E.I. and S.A.B.; project administration, M.V.M. and E.I.; resources, G.O.F. and S.A.B.; supervision, S.A.B.; validation, G.O.F. and S.A.B.; visualization, M.V.M. and S.A.B.; writing—original draft, G.O.F., M.V.M., E.I. and S.A.B.; writing—review and editing, S.A.B. All authors have read and agreed to the published version of the manuscript.

Funding

This work was supported by the RNP Romsilva (the National Forest Administra-tion)—grant “Studiu privind stabilirea consumurilor de combustibili și a normelor de timp și producție în activitatea de colectare a lemnului ca urmare a modernizării parcului de utilaje al unităților regiei”, grant number: 4522/14.05.2020.

Data Availability Statement

The data can be provided by the first author of the study based on a reasonable request.

Acknowledgments

The authors would also like to thank the Department of Forest Engineering, Forest Management Planning, and Terrestrial Measurements, Faculty of Silviculture and Forest Engineering, Transilvania University of Brasov, for providing some of the equipment needed for this study, as well as to the team of the project supporting this study.

Conflicts of Interest

The authors declare no competing interests.

References

  1. Michelsen, O.; Solli, C.; Strømman, A.H. Environmental impact and added value in forestry operations in Norway. J. Ind. Ecol. 2008, 12, 69–81. [Google Scholar] [CrossRef]
  2. Arce, J.J.C. Forests, inclusive and sustainable economic growth and employment. In Background Study Prepared for the Fourteenth Session of the United Nations Forum on Forest (UNFF); Forests and SDG8; United Nations: New York, NY, USA, 2019; Available online: https://www.un.org/esa/forests/wp-content/uploads/2019/04/UNFF14-BkgdStudy-SDG8-March2019.pdf (accessed on 20 May 2024).
  3. Ezquerro, M.; Pardos, M.; Diaz-Balteiro, L. Operational research techniques used for addressing biodiversity objectives into forest management: An overview. Forests 2016, 7, 229. [Google Scholar] [CrossRef]
  4. Picchio, R.; Mercurio, R.; Venanzi, R.; Gratani, L.; Giallonardo, T.; Lo Monaco, A.; Frattaroli, A.R. Strip clear-cutting application and logging typologies for renaturalization of pine afforestation—A case study. Forests 2018, 9, 366. [Google Scholar] [CrossRef]
  5. FAO. Global Forest Resources Assessment 2020—Main Report; FAO: Rome, Italy, 2020; p. 184. ISBN 978-92-5-132974-0. [Google Scholar] [CrossRef]
  6. FAO. The State of the World’s Forests 2022: Forest Pathways for Green Recovery and Building Inclusive, Resilient and Sustainable Economies; FAO: Rome, Italy, 2022; Available online: https://www.fao.org/3/cb9360en/online/cb9360en.html (accessed on 10 April 2024).
  7. Forestry Commission. The UK Forestry Standard; Forestry Commission: Edinburgh, UK, 1998; p. 105. Available online: https://forestry.gov.scot/publications/105-the-uk-forestry-standard (accessed on 27 May 2024).
  8. Mason, W.L.; Kerr, G.; Simpson, J. What is Continuous Cover Forestry? Forestry Commission: Edinburgh, UK, 1999; p. 8. Available online: https://www.researchgate.net/publication/238711245 (accessed on 20 May 2024).
  9. Mason, W.L.; Diaci, J.; Carvalho, J.; Valkonen, S. Continuous cover forestry in Europe: Usage and the knowledge gaps and challenges to wider adoption. Int. J. For. Res. 2022, 95, 1–12. [Google Scholar] [CrossRef]
  10. Lundmark, T.; Bergh, J.; Nordin, A.; Fahlvik, N.; Poudel, B.C. Comparison of carbon balances between continuous-cover and clear-cut forestry in Sweden. Ambio 2016, 45, 203–213. [Google Scholar] [CrossRef] [PubMed]
  11. Kiisel, M.; Remm, L. Continuous cover forestry practitioners in a clear-cutting-oriented system: Assessing the potential to foster the practice. Small-Scale For. 2022, 21, 325–348. [Google Scholar] [CrossRef]
  12. Pommerening, A.; Murphy, S.T. A review of the history, definitions and methods of continuous cover forestry with special attention to afforestation and restocking. Forestry 2004, 77, 27–44. [Google Scholar] [CrossRef]
  13. Ashton, M.S.; Kelty, M.J. The practice of silviculture: Applied forest ecology. For. Perspect. 2019, 76, 101–104. [Google Scholar]
  14. Vitkova, L.; Dhubháin, Á.N. Transformation to continuous cover forestry—A review. Ir. For. 2013, 70, 119–140. [Google Scholar]
  15. Vanclay, J.K. Modelling continuous cover forests. In Continuous Cover Forestry; Springer: Dordrecht, The Netherland, 2012; pp. 229–241. [Google Scholar] [CrossRef]
  16. Dudáková, Z.; Allman, M.; Merganič, J.; Merganičová, K. Machinery-induced damage to soil and remaining forest stands—Case study from Slovakia. Forests 2020, 11, 1289. [Google Scholar] [CrossRef]
  17. Picchio, R.; Mederski, P.S.; Tavankar, F. How and how much, do harvesting activities affect forest soil, regeneration and stands? Curr. For. Rep. 2020, 6, 115–128. [Google Scholar] [CrossRef]
  18. Puche, C.; Erber, G.; Hasenauer, H. Europe’s potential wood supply by harvesting system. Forests 2023, 14, 398. [Google Scholar] [CrossRef]
  19. Tavankar, F.; Bonyad, A.E.; Nikooy, M.; Picchio, R.; Venanzi, R.; Calienno, L. Damages to soil and tree species by cable-skidding in Caspian forests of Iran. For. Syst. 2017, 26, e009. [Google Scholar] [CrossRef]
  20. Tepp, J.S. Assessing Visual Soil Disturbance on Eight Commercially Thinned Sites in Northeastern Washington; USDA Forest Service Report 14; Pacific Northwest Research Station: Corvallis, OR, USA, 2002. Available online: https://www.fs.usda.gov/research/treesearch/download/5055.pdf (accessed on 8 July 2024).
  21. Lindroos, O.; Wasterlund, I. Larger loads and decreased damage—The potential of a new forwarding concept. In Proceedings of the FORMEC 2011, Graz, Austria, 9–13 October 2011; p. 166. Available online: https://www.formec.org/images/proceedings/2011/formec2011_paper_lindroos_waesterlund.pdf (accessed on 12 June 2024).
  22. Cambi, M.; Giannetti, F.; Bottalico, F.; Travaglini, D.; Nordfjell, T.; Chirici, G.; Marchi, E. Estimating machine impact on strip roads via close-range photogrammetry and soil parameters: A case study in central Italy. iForest—Biogeosc. For. 2018, 11, 148. [Google Scholar] [CrossRef]
  23. Labelle, E.R.; Lemmer, K.J. Selected environmental impacts of forest harvesting operations with varying degree of mechanization. Croat. J. For. Eng. 2019, 40, 239–257. [Google Scholar] [CrossRef]
  24. Lindroos, O.; La Hera, P.; Häggström, C. Drivers of advances in mechanized timber harvesting—A selective review of technological innovation. Croat. J. For. Eng. 2017, 38, 243–258. [Google Scholar]
  25. Borz, S.A.; Marcu, M.V.; Cataldo, M.F. Evaluation of an HSM 208F 14tone HVT-R2 forwarder prototype under conditions of steep-terrain low-access forests. Croat. J. For. Eng. 2021, 42, 185–200. [Google Scholar] [CrossRef]
  26. Proto, A.R.; Macriì, G.; Visser, R.; Harrill, H.; Russo, D.; Zimbalatti, G. Factors affecting forwarder productivity. Eur. J. For. Res. 2018, 137, 143–151. [Google Scholar] [CrossRef]
  27. Borz, S.A.; Rommel, D.; Ziesak, M.; Vasiliauskas, G. Operational requirements and preferences towards forwarder technology. In Bulletin of the Transilvania University of Brasov. Series II: Forestry• Wood Industry• Agricultural Food Engineering; Transilvania University Press: Brasov, Romania, 2019; pp. 1–12. [Google Scholar] [CrossRef]
  28. Naghdi, R.; Lotfalian, M.; Bagheri, I.; Jalali, A.M. Damages of skidder and animal logging to forest soils and natural regeneration. Croat. J. For. Eng. 2009, 30, 141–149. [Google Scholar]
  29. Nichols, M.T.; Lemin, R.C., Jr.; Ostrofsky, W.D. The impact of two harvesting systems on residual stems in a partially cut stand of northern hardwoods. Can. J. For. Res. 1994, 24, 350–357. [Google Scholar] [CrossRef]
  30. Savelli, S.; Cavalli, R.; Baldini, S.; Picchio, R. Small scale mechanization of thinning in artificial coniferous plantation. Croat. J. For. Eng. 2010, 31, 11–21. [Google Scholar]
  31. Spinelli, R.; Magagnotti, N.; Facchinetti, D. Logging companies in the European mountains: An example from the Italian Alps. Int. J. For. Eng. 2013, 24, 109–120. [Google Scholar] [CrossRef]
  32. Ünver-Okan, S. Modelling of work efficiency in cable traction with tractor implementing the least-squares methods and robust regression. Croat. J. For. Eng. 2020, 41, 109–117. [Google Scholar] [CrossRef]
  33. Ghaffariyan, M.R. An overview of work productivity evaluation of farm tractors in timber skidding operations. Silva Balcan. 2022, 23, 21–36. [Google Scholar] [CrossRef]
  34. Kulak, D.; Szewczyk, G.; Stańczykiewicz, A. Productivity and working time structure of timber forwarding in flatland thinned pine stand with the use of farm tractors. Croat. J. For. Eng. 2023, 44, 57–67. [Google Scholar] [CrossRef]
  35. Stoilov, S.; Proto, A.R.; Oslekov, D.; Angelov, G.; Papandrea, S.F. Forest operations using a combi–forwarder in deciduous forests. Small-Scale For. 2024, 23, 25–40. [Google Scholar] [CrossRef]
  36. Akay, A.E. Using farm tractors in small-scale forest harvesting operations. J. Appl. Sci. Res. 2005, 1, 196–199. [Google Scholar]
  37. Gülci, S.; Büyüksakalli, H.H.; İnanç, T.A.Ş.; Akay, A.E. Productivity analysis of timber skidding operation with farm tractor. Eur. J. For. Eng. 2018, 4, 26–32. [Google Scholar] [CrossRef][Green Version]
  38. Shaffer, R.M. Farm Tractor Logging for Woodlot Owners; Publication 420-090; Virginia Cooperative Extension (VCE): Blacksburg, VA, USA, 2005; Available online: https://vtechworks.lib.vt.edu/bitstream/handle/10919/54926/420-090.pdf (accessed on 23 June 2024).
  39. Gülci, S. Productivity of a farm tractor with single drum winch during whole-tree timber extraction. J. For. Soc. Croat./Sumarski List Hrvatskoga Sumarskoga Drustva 2020, 144, 35. [Google Scholar] [CrossRef]
  40. Leszczyński, K.; Stańczykiewicz, A.; Kulak, D.; Szewczyk, G.; Tylek, P. Estimation of productivity and costs of using a track mini-harvester with a stroke head for the first commercial thinning of a Scots pine stand. Forests 2021, 12, 870. [Google Scholar] [CrossRef]
  41. Dudek, T.; Janas, D. The productivity and the costs forwarding wood of a farm tractor with a trailer in late thinning and cutting in gaps of forests. Forests 2022, 13, 1309. [Google Scholar] [CrossRef]
  42. Borz, S.A.; Mariş, A.C.; Kaakkurivaara, N. Performance of skidding operations in low-access and low-intensity timber removals: A simulation of productivity and fuel consumption in mature forests. Forests 2023, 14, 265. [Google Scholar] [CrossRef]
  43. Mousavi, R.; Naghdi, R. Comparison of productivity and cost of timber extraction by farm tractor, skidding vs. forwarding in Northern Iran. HortFlora Res. Spectr. 2014, 3, 201–210. [Google Scholar]
  44. Dong, X.; Mendoza-Trejo, O.; Morales, D.O.; Lindroos, O.; La Hera, P. Simulation-based comparison between two crane-bunk systems for loading work when considering energy-optimal motion planning. Int. J. For. Eng. 2020, 31, 70–77. [Google Scholar] [CrossRef]
  45. Gilanipoor, N.; Najafi, A.; Heshmat Alvaezin, S.M. Productivity and cost of farm tractor skidding. J. For. Sci. 2012, 58, 21–26. [Google Scholar] [CrossRef]
  46. Häggström, C.; Lindroos, O. Human, technology, organization and environment–a human factors perspective on performance in forest harvesting. Int. J. For. Eng. 2016, 27, 67–78. [Google Scholar] [CrossRef]
  47. Vusić, D.; Šušnjar, M.; Marchi, E.; Spina, R.; Zečić, Ž.; Picchio, R. Skidding operations in thinning and shelterwood cut of mixed stands–Work productivity, energy inputs and emissions. Ecol. Eng. 2013, 61, 216–223. [Google Scholar] [CrossRef]
  48. Kühmaier, M.; Kral, I.; Kanzian, C. Greenhouse gas emissions of the forest supply chain in Austria in the year 2018. Sustainability 2022, 14, 792. [Google Scholar] [CrossRef]
  49. Magagnotti, N.; Mihelic, M.; Perazzolo, A.; Spinelli, R. Seventeen years of forest restoration with small-scale technologies: Time and fuel consumption for alternative operations and techniques. Small-Scale For. 2023, 22, 557–581. [Google Scholar] [CrossRef]
  50. Hejazian, M.; Lotfalian, M.; Lindroos, O.; Mohammadi Limaei, S. Wood transportation machine replacement using goal programming. Scand. J. For. Res. 2019, 34, 635–642. [Google Scholar] [CrossRef]
  51. Naskrent, B.; Polowy, K.; Grzywinski, W.; Sobczak, A. Timber extraction in thinned stands using agricultural tractor coupled with a trailer with a hydraulic crane. Sylwan 2019, 163, 121–129. [Google Scholar]
  52. Spinelli, R.; Owende, P.M.; Ward, S.M.; Tornero, M. Comparison of short-wood forwarding systems used in Iberia. Silva Fenn. 2004, 38, 85–94. [Google Scholar] [CrossRef]
  53. Ackerman, P.; Belbo, H.; Eliasson, L.; de Jong, A.; Lazdins, A.; Lyons, J. The COST model for calculation of forest operations costs. Int. J. For. Eng. 2014, 25, 75–81. [Google Scholar] [CrossRef]
  54. Kaakkurivaara, N.; Kaakkurivaara, T. Productivity and cost analysis of three timber extraction methods on steep terrain in Thailand. Croat. J. For. Eng. 2018, 39, 213–221. [Google Scholar]
  55. Mousavi, S.R.; Nikooy, M. Evaluation of tree forwarding by farm tractor in patch cutting of poplar plantations in Northern Iran. Small-Scale For. 2014, 13, 527–540. [Google Scholar] [CrossRef]
  56. Banks, J.; Carson, J.S.; Nelson, B.L.; Nicol, D.M. Discrete-Event System Simulation, 5th ed.; Prentice-Hall: Hoboken, NJ, USA, 2010; 622p. [Google Scholar]
  57. Cutini, M.; Brambilla, M.; Pochi, D.; Fanigliulo, R.; Bisaglia, C. A simplified approach to the evaluation of the influences of key factors on agricultural tractor fuel consumption during heavy drawbar tasks under field conditions. Agronomy 2022, 12, 1017. [Google Scholar] [CrossRef]
  58. Visser, R.J.; McDonagh, K.D.; Meller, R.D.; McDonald, T.P. Harvesting system simulation using a systems dynamic model. South. J. Appl. For. 2004, 28, 91–99. [Google Scholar] [CrossRef]
  59. Wang, J.; LeDoux, C.B. Estimating and validating ground-based timber harvesting production through computer simulation. For. Sci. 2003, 49, 64–76. [Google Scholar] [CrossRef]
  60. McDonagh, K.D. Systems Dynamics Simulation to Improve Timber Harvesting System Management. Ph.D. Thesis, Virginia Tech, Blacksburg, VA, USA, 2002. [Google Scholar]
  61. Claar, P.W. Simulation Modelling of Agricultural Tractor Performance and Mobility; SAE Technical Paper 872015; SAE International: Warrendale, PA, USA, 1987; 20p. [Google Scholar] [CrossRef]
  62. Gibson, H.G.; Ki, N.; Queiroz, D.M.; Parsons, N.J. Dynamic simulation techniques for steering of tracked agricultural and forestry vehicles. SAE Trans. 1999, 108, 87–92. [Google Scholar] [CrossRef]
  63. Ziesak, M.; Bruchner, A.K.; Hemm, M. Simulation technique for modelling the production chain in forestry. Eur. J. For. Res. 2004, 123, 239–244. [Google Scholar] [CrossRef]
  64. Goulet, D.V.; Iff, R.H.; Sirois, D.L. Analysis of five forest harvesting simulation models. II. Paths, pitfalls, and other considerations. For. Prod. J. 1980, 30, 18–22. [Google Scholar]
  65. Spinelli, R.; Magagnotti, N. Wood extraction with farm tractor and sulky: Estimating productivity, cost and energy consumption. Small-Scale For. 2012, 11, 73–85. [Google Scholar] [CrossRef]
  66. AGRIster. Deutz-Fahr Agrofarm 430 Tractor Specification: Deutz-Fahr Agrofarm 430 Tractor Specs, Dimensions, Fuel Consumption, Transmission, Drive, Equipment. 2023. Available online: https://www.agrister.com/tractors/deutz-fahr-agrofarm-430 (accessed on 10 June 2024).
  67. Palmse Mehaanikakoda OÜ. Trailers. Palms. 2024. Available online: https://www.palms.eu/forest-trailers (accessed on 13 June 2024).
  68. Deutz-Fahr. Deutz Fahr Agrofarm 430. 2017. Available online: https://www.deutz-fahr.com/en-nd/search?q=430 (accessed on 8 June 2024).
  69. Galli, L.E.; Facchinetti, D.; Gibin, M.; Pessina, D. Environmental impact of real gaseous pollutants emission of agricultural tractors. In Conference of the Italian Society of Agricultural Engineering; Springer International Publishing: Cham, Switzerland, 2022; pp. 555–563. [Google Scholar] [CrossRef]
  70. AgroDane. Deutz Fahr Agrofarm 85/100/410/420/430 Technical Data. 2023. Available online: https://www.agrodane.pl/ciagniki-rolnicze/deutz-fahr/agrofarm-85-100-410-420-430-dane-techniczne/ (accessed on 31 May 2024).
  71. Lectura. DEUTZ-FAHR Agrofarm 430 DT 4WD Farm Tractor Specifications & Technical Data (2015–2017). 2023. Available online: https://www.lectura-specs.com/en/model/agricultural-machinery/4wd-tractors-deutz-fahr/agrofarm-430-dt-1163451 (accessed on 10 June 2024).
  72. Deutz-Fahr. Agrofarm 430 Series. 2022. Available online: https://www.deutz-fahr.com/en-INT/products/models/tractors/agrofarm/agrofarm430/ (accessed on 7 June 2024).
  73. Editorial Team. Tractorinfo.com. DEUTZ-FAHR Agrofarm 430 Specs, Price, Review & Features. 2023. Available online: https://www.deutz-fahr.com/en-eu/tractors/agrofarm-g-410-430-series (accessed on 12 June 2024).
  74. Acuna, M.; Bigot, M.; Guerra, S.; Hartsough, B.; Kanzian, C.; Kärhä, K.; Lindroos, O.; Magagnotti, N.; Roux, S.; Spinelli, R.; et al. Good Practice Guidelines for Biomass Production Studies. CNR-IVALSA. 2012. Available online: https://pub.epsilon.slu.se/id/document/8261535 (accessed on 25 May 2024).
  75. Björheden, R.; Apel, K.; Shiba, M.; Thompson, M.A. IUFRO Forest Work Study Nomenclature; Swedish University of Agricultural Science: Grapenberg, Sweden, 1995; p. 16. [Google Scholar]
  76. Ignea, G.; Ghaffaryian, M.R.; Borz, S.A. Impact of operational factors on fossil energy inputs in motor-manual tree felling and processing: Results of two case studies. Ann. For. Res. 2017, 60, 161–172. [Google Scholar] [CrossRef]
  77. Borz, S.A.; Mititelu, V.B. Productivity and fuel consumption in skidding roundwood on flat terrains by a Zetor farm tractor in group shelterwood cutting of mixed oak forests. Forests 2022, 13, 1294. [Google Scholar] [CrossRef]
  78. Hemm, M.; Ziesak, M.; Warkotsch, W. Simulating harvesting procedures to evaluate different working systems based on discrete single tree events. In Proceedings of the International Precision Forestry Symposium, Stellenbosch, South Africa, 5–10 March 2006; p. 26. Available online: https://tinyurl.com/ycywdmcc (accessed on 15 July 2024).
  79. Sängstuvall, L.; Bergström, D.; Lämås, T.; Nordfjell, T. Simulation of harvester productivity in selective and boom-corridor thinning of young forests. Scand. J. For. Res. 2012, 27, 56–73. [Google Scholar] [CrossRef]
  80. Wang, J.; LeDoux, C.B.; Li, Y. Simulating cut-to-length harvesting operations in Appalachian hardwoods. Int. J. For. Eng. 2005, 16, 11–27. [Google Scholar] [CrossRef]
  81. Nurminen, T.; Korpunen, H.; Uusitalo, J. Time consumption analysis of the mechanized cut-to-length harvesting system. Silva Fenn. 2006, 40, 335–363. [Google Scholar] [CrossRef]
  82. Proto, A.R.; Macrì, G.; Visser, R.; Russo, D.; Zimbalatti, G. Comparison of timber extraction productivity between winch and grapple skidding: A Case study in Southern Italian Forests. Forests 2018, 9, 61. [Google Scholar] [CrossRef]
  83. She, J.; Chung, W.; Kim, D. Discrete-event simulation of ground-based timber harvesting operations. Forests 2018, 9, 683. [Google Scholar] [CrossRef]
  84. Lee, E.; Han, S.K.; Im, S. Performance analysis of log extraction by a small shovel operation in steep forests of South Korea. Forests 2019, 10, 585. [Google Scholar] [CrossRef]
  85. Visser, R.; Stampfer, K. Expanding ground-based harvesting onto steep terrain: A review. Croat. J. For. Eng. 2015, 36, 321–331. [Google Scholar]
  86. Zychowicz, W.I.; Kasprzyk, K.A. Effectiveness of agricultural tractor utilization in the wood skidding and forwarding. Ann. Warsaw Univ. Life Sci.-SGGW. Agric. 2014, 63, 113–123. [Google Scholar]
  87. Danilović, M.; Stojnić, D.; Karić, S.; Sućević, M. Transport of technical roundwood by forwarder and tractor assembly from poplar plantation. Nova Mech. Šumarstva 2014, 35, 11–21. [Google Scholar]
  88. Spinelli, R.; Kováč, B.; Heger, P.; Heilig, D.; Heil, B.; Kovács, G.; Magagnotti, N. The effect of target log length on log recovery and harvesting cost: The example of short-rotation poplar plantations. Forests 2022, 13, 669. [Google Scholar] [CrossRef]
  89. Sundberg, B.; Silversides, C.R. Operational Efficiency in Forestry: Vol. 1: Analysis; Springer Science & Business Media: Dordrecht, The Netherland, 1988; p. 29. ISBN 9024736838. [Google Scholar] [CrossRef]
  90. Samset, I. Some Observations on Time and Performance Studies in Forestry; Norsk Institutt for Skogforskning: Trondheim, Norway, 1990; p. 43. ISSN 0332-5709. Available online: https://nibio.brage.unit.no/nibio-xmlui/bitstream/handle/11250/2979624/Norsk-institutt-for-skogforskning-Meddelelser-1990-43.5.pdf?sequence=1&isAllowed=y (accessed on 12 May 2024).
  91. Sängstuvall, L. Improved Harvesting Technology for Thinning of Small Diameter Stands; Department of Forest Resource Management, Swedish University of Agricultural Sciences: Umeå, Sweden, 2018; Volume 66, ISSN 1652-6880. Available online: https://pub.epsilon.slu.se/15761/1/sangstuvall_l_181123.pdf (accessed on 28 April 2024).
  92. Poudyal, B.H.; Maraseni, T.N.; Cockfield, G. Implications of selective harvesting of natural forests for forest product recovery and forest carbon emissions: Cases from Tarai Nepal and Queensland Australia. Forests 2019, 10, 693. [Google Scholar] [CrossRef]
  93. Kaakkurivaara, N.; Kaakkurivaara, T.; Ketkaew, C.; Sakulya, T.; Borz, S.A. Modelling productivity in extraction operations by simulations based on GNSS documented data: An example from skidding teak wood in Thailand. In Bulletin of the Transilvania University of Brasov. Series II: Forestry• Wood Industry• Agricultural Food Engineering; Transilvania University Press: Brasov, Romania, 2022; pp. 13–32. [Google Scholar] [CrossRef]
  94. Hota, S.; Tewari, V.K.; Chandel, A.K. Workload assessment of tractor operations with ergonomic transducers and machine learning techniques. Sensors 2023, 23, 1408. [Google Scholar] [CrossRef] [PubMed]
  95. Proto, A.R.; Bernardini, V.; Cataldo, M.F.; Zimbalatti, G. Whole tree system evaluation of thinning a pine plantation in southern Italy. Ann. Silv. Res. 2020, 45, 44–52. [Google Scholar] [CrossRef]
  96. Manner, J.; Nordfjell, T.; Lindroos, O. Effects of the number of assortments and log concentration on time consumption for forwarding. Silva Fenn. 2013, 47, 1030. [Google Scholar] [CrossRef]
Figure 1. Study area map showing the tracks and routes used for wood extraction with the farm tractor.
Figure 1. Study area map showing the tracks and routes used for wood extraction with the farm tractor.
Forests 15 01422 g001
Figure 2. The key operational activities involved in forwarding with the farm tractor: (a)—empty turn, (b)—loading, (c)—loaded turn, (d)—unloading.
Figure 2. The key operational activities involved in forwarding with the farm tractor: (a)—empty turn, (b)—loading, (c)—loaded turn, (d)—unloading.
Forests 15 01422 g002
Figure 3. Boxplots showing the descriptive statistics of operational speed in different types of tasks involving machine movement: MANS—maneuvering speed, ETS—empty turn, MVS—moving between bunches, LTS—loaded turn.
Figure 3. Boxplots showing the descriptive statistics of operational speed in different types of tasks involving machine movement: MANS—maneuvering speed, ETS—empty turn, MVS—moving between bunches, LTS—loaded turn.
Forests 15 01422 g003
Figure 4. Simulated cycle time against the extraction distance and log size: (a)—cycle time depending on extraction distance for the same log size, (b)—cycle time depending on log size for the same extraction distance, (c)—loading and unloading time depending on log size. Legend: LS0.1 to LS1.0 stand for log sizes between 0.1 and 1.0 m3, ED100 to ED500 stand for the extraction distances from 100 to 500 m, tLD denotes loading time, tUL denotes unloading time.
Figure 4. Simulated cycle time against the extraction distance and log size: (a)—cycle time depending on extraction distance for the same log size, (b)—cycle time depending on log size for the same extraction distance, (c)—loading and unloading time depending on log size. Legend: LS0.1 to LS1.0 stand for log sizes between 0.1 and 1.0 m3, ED100 to ED500 stand for the extraction distances from 100 to 500 m, tLD denotes loading time, tUL denotes unloading time.
Forests 15 01422 g004aForests 15 01422 g004b
Figure 5. Simulated productivity against the extraction distance and log size: (a)—productivity depending on extraction distance for the same log size, (b)—productivity depending on log size for the same extraction distance. Legend: LS0.1 to LS1.0 stand for log sizes between 0.1 and 1.0 m3, ED100 to ED500 stand for the extraction distances from 100 to 500 m.
Figure 5. Simulated productivity against the extraction distance and log size: (a)—productivity depending on extraction distance for the same log size, (b)—productivity depending on log size for the same extraction distance. Legend: LS0.1 to LS1.0 stand for log sizes between 0.1 and 1.0 m3, ED100 to ED500 stand for the extraction distances from 100 to 500 m.
Forests 15 01422 g005
Figure 6. Simulated unit fuel consumption against the extraction distance and log size: (a)—unit fuel consumption depending on extraction distance for the same log size, (b)—unit fuel consumption depending on log size for the same extraction distance. Legend: LS0.1 to LS1.0 stand for log sizes between 0.1 and 1.0 m3, ED100 to ED500 stand for the extraction distances from 100 to 500 m.
Figure 6. Simulated unit fuel consumption against the extraction distance and log size: (a)—unit fuel consumption depending on extraction distance for the same log size, (b)—unit fuel consumption depending on log size for the same extraction distance. Legend: LS0.1 to LS1.0 stand for log sizes between 0.1 and 1.0 m3, ED100 to ED500 stand for the extraction distances from 100 to 500 m.
Forests 15 01422 g006
Figure 7. Simulated net unit cost against the extraction distance and log size: (a)—net unit cost depending on extraction distance for the same log size, (b)—net unit cost depending on log size for the same extraction distance. Legend: LS0.1 to LS1.0 stand for log sizes between 0.1 and 1.0 m3, ED100 to ED500 stand for the extraction distances from 100 to 500 m.
Figure 7. Simulated net unit cost against the extraction distance and log size: (a)—net unit cost depending on extraction distance for the same log size, (b)—net unit cost depending on log size for the same extraction distance. Legend: LS0.1 to LS1.0 stand for log sizes between 0.1 and 1.0 m3, ED100 to ED500 stand for the extraction distances from 100 to 500 m.
Forests 15 01422 g007
Table 1. Description of the extraction set used in this study. Source: [66,67].
Table 1. Description of the extraction set used in this study. Source: [66,67].
Machine Specifications
Deutz Fahr Agrofarm 430Forest Trailer PALMS 15UForest Crane PALMS 7.94
Cylinders4Loading area cross section, m23.2Max outreach, m9.4
Engine power (kW)80Loading area length, mm4175Lifting capacity at full reach, kg540
Weight (kg)4100Frame extension length, m1.085Lifting capacity at 4 m, kg1410
Engine typeDiesel engineGross weight, kg19,000Brutto lifting torque 215 Bar, kN m83
Engine capacity (L)4.038
Wheelbase (mm)23,400
Travel speed (km/h)40Total length, mm6415Telescopic boom stroke length, m3.8
Transmission30/30Width with standard wheels2450Slewing torque, kN m21
Length (mm)3990FrameUnibodyWorking pressure, bar215
Height (m)2810Max crane size by lifting torque, kN m120Rotator maximum load, kN60
Width (mm)2458
Three-point hitch performance56 L/minStandard wheel size500/50-22.5Crane weight without support leg and valve block, kg1310
Maximum torque (N m/rmp)400 N m/rmp Pillar slewing angle, degrees380
Table 2. Description of the work and time consumption elements.
Table 2. Description of the work and time consumption elements.
CodeTime Component Description
SDs tSDStudy delay: delays resulting from human, mechanical, or operational factors that prevent the tractor from doing its usual tasks.
ET tETEmpty turn (traveling unloaded): starts when the tractor departs from the landing location and ends when it stops to start loading or to perform another activity.
PL tPLPrepare for loading: starts when the operator gets out of the cabin, climbs the trailer, and begins to adjust the crane/boom from its stationary position to reach the logs for loading.
LD tLDLoading: starts when the tractor begins to load logs including adjusting the logs in the bunk and finishes when the boom is rested in a stationary position, prepared for a machine movement.
MV tMVMoving between bunches: starts when the crane or boom is positioned on the bunk and ends after the tractor has stopped moving after reaching another bunch of logs.
LT tLTLoaded turn (traveling loaded): begins when the crane/boom is rested stationary on the bunk, and ends when the tractor stops at the landing area.
PU tPUPrepare for unloading: starts when the operator exits the cabin, ascends to the space between the trailer and cabin, and starts to operate the crane or boom from its still position to reach the logs for unloading.
UL tULUnloading: starts with the crane moving near the tractor’s bunk with an empty grapple and ends when the tractor starts another element or with the boom being rested immobile on the bunk for a trip back to the forest or other tasks. It incorporates adjustments to the log stack.
MAN tMANManeuvering: maneuvers taken to enter or exit the strip road once arrived or leaving a given bunch of logs.
Table 3. Cost elements used in calculation.
Table 3. Cost elements used in calculation.
ParameterDescription
Machine typeDeutz Fahr Agrofarm 430
Currency
Unit of costingm3
Machine fixed cost inputs
Purchase price (base machine/attachment)33,000.00/23,000.00
Salvage price (base machine/attachment)10% of purchase price
Expected economic life (base machine/attachment)15,000.00/15,000.000 per PMH
Interest rate10%
Machine tax/registration (base machine/attachment)50.00
Machine insurance (base machine/attachment)250.00
Machine transfers2000.00 per annum
Garaging for machine0.00 per annum
Machine variable cost inputs
Fuel cost (€/L)1.50
Fuel consumption (L/PMH)3.12
Oil and lubricant cost10% of fuel cost per PMH of base machine
Maintenance and repair cost (base machine/attachment)(80%/100%) of purchase price
Tire cost per set of 42000.00
Operator costs
Number of operators/shift1
Average net wage10 per hour
Social charges48% of operator wages
PPE (cost per annum)100.00
Productivity and operations (general inputs)
Number of working days per year210.00
Scheduled hours per shift8.00
Scheduled hours per annum1680
Production (unit/PMH)variable
Productive hours per annum1176
Productivity: m3/PMHvariable
Machine utilization: MU (%) = PMH/SMH0.70
Overhead costs as absolute value (costs per annum) 12,000.00
Table 4. Descriptive statistics of operational distances and time consumption.
Table 4. Descriptive statistics of operational distances and time consumption.
Variable (Description and Code)Descriptive Statistics
No. of ObservationsMinimum ValueMaximum ValueMean ValueMedian ValueStandard Deviation
Distance (m)
Empty turn distance, dET1917621281152.371195398.91
Distance covered when moving between locations, dMV1993988392.84334266.73
Loaded turn distance, dLT1962614281099.321199231.76
Maneuvering distance, dMAN19410946.163328.54
Time (s)
Study delay, tSD1917340051623.9514281100.73
Empty turn time, tET192211207775.26771248.96
Time spent when preparing for loading, tPL1944302162.3716564.67
Loading time, tLD192921819695.84537441.79
Time spent when moving between locations, tMV191841351510.63438285.02
Loaded turn time, tLT19378973720.32748176.56
Time spent when preparing for unloading, tPU19186432.683011.78
Unloading time, tUL19155722354.37341126.54
Maneuvering time, tMAN1915311104.057785.12
Disclaimer/Publisher’s Note: The statements, opinions and data contained in all publications are solely those of the individual author(s) and contributor(s) and not of MDPI and/or the editor(s). MDPI and/or the editor(s) disclaim responsibility for any injury to people or property resulting from any ideas, methods, instructions or products referred to in the content.

Share and Cite

MDPI and ACS Style

Forkuo, G.O.; Marcu, M.V.; Iordache, E.; Borz, S.A. Timber Extraction by Farm Tractors in Low-Removal-Intensity Continuous Cover Forestry: A Simulation of Operational Performance and Fuel Consumption. Forests 2024, 15, 1422. https://doi.org/10.3390/f15081422

AMA Style

Forkuo GO, Marcu MV, Iordache E, Borz SA. Timber Extraction by Farm Tractors in Low-Removal-Intensity Continuous Cover Forestry: A Simulation of Operational Performance and Fuel Consumption. Forests. 2024; 15(8):1422. https://doi.org/10.3390/f15081422

Chicago/Turabian Style

Forkuo, Gabriel Osei, Marina Viorela Marcu, Eugen Iordache, and Stelian Alexandru Borz. 2024. "Timber Extraction by Farm Tractors in Low-Removal-Intensity Continuous Cover Forestry: A Simulation of Operational Performance and Fuel Consumption" Forests 15, no. 8: 1422. https://doi.org/10.3390/f15081422

APA Style

Forkuo, G. O., Marcu, M. V., Iordache, E., & Borz, S. A. (2024). Timber Extraction by Farm Tractors in Low-Removal-Intensity Continuous Cover Forestry: A Simulation of Operational Performance and Fuel Consumption. Forests, 15(8), 1422. https://doi.org/10.3390/f15081422

Note that from the first issue of 2016, this journal uses article numbers instead of page numbers. See further details here.

Article Metrics

Back to TopTop