Abstract
Flash drought (FD) has attracted much attention due to its severe stress on vegetation ecosystems. Yet to date, the impacts of FD on vegetation ecosystems in different regions have not been fully evaluated and explored, especially for ecologically fragile areas. In this study, we identified the FD events in the Loess Plateau from 2000 to 2023 based on the attenuation rate in soil moisture percentile over time. The evolution process of FD, the driving roles of meteorological conditions and the responses of different vegetation types to FD were explored by vegetation indicators such as solar-induced chlorophyll fluorescence (SIF), SIFyield, SIF-RCI, etc. The results showed that FD events were predominantly concentrated in wetter areas with dense vegetation, with the highest frequency being 29. Meteorological factors contributed differently to the occurrence and development of FD. The responses of vegetation to FD were not only related to vegetation types (cropland was more sensitive to FD than forest and grassland) but were also significantly influenced by background climate. The SIFyield anomaly of vegetation was more sensitive than SIF anomaly and SIF-RCI. The results advance our understanding of the formation mechanisms of FD and facilitate the exploration of vegetative photosynthetic responses to FD.
1. Introduction
Drought, as an extreme climatic event characterized by frequent occurrences, prolonged durations, and wide-ranging impacts, poses a severe threat to ecosystem stability [1,2]. It arises from a prolonged absence of precipitation combined with insufficient soil moisture (SM) and runoff and is typically considered to be a slowly evolving climatic phenomenon [3]. Nevertheless, drought events erupted in the Midwestern and Northern United States, southern China, and southern Africa during 2012–2017, suggesting that if extreme weather anomalies linger for a few weeks or months in the same region, SM may rapidly deplete, resulting in the rapid development of drought [4]. Unlike traditional slow-onset drought, flash drought (FD) exhibits faster development and shorter lead times [5]. Global warming may accelerate and accentuate the drying process, which will make such FD events more widespread than anticipated [6,7,8,9]. Given its flash onset, FDs do not allow sufficient time for preparedness against their adverse impacts, posing significant challenges to drought monitoring and early warning.
Svoboda first proposed FD in 2002 to describe drought events that rapidly occurred and intensified, with significant threats to agriculture [5,10]. With advancements in understanding FD, reports on FDs have significantly increased since 2013 [11]. Various methods for identifying FD have been developed based on key variables of hydro-meteorology and ecosystems, including temperature, precipitation, evapotranspiration, SM, spectral vegetation indices (VIS), and gross primary productivity (GPP). Among these variables, SM, closely related to plant growth, is considered the most effective indicator for identifying FDs [12,13]. Consequently, characterizing the rapid onset and intensification of FD based on the decline in SM percentile is the most widely applied method for identifying FD. Various identification standards for FDs have also been formed around the decline in SM percentile [14,15,16] but have not yet been effectively unified. Regardless of the standard employed, the ultimate impact of FD is on vegetation ecosystems. From the multiple identification criteria of flash drought, it can be inferred that the mechanism of flash drought is very complex. Abnormally high temperature, insufficient precipitation, and strong evapotranspiration may lead to rapid reduction of soil moisture in a short period of time, so the relationship between FD and meteorological factors is inseparable [14,17,18,19]. Moreover, there are relatively few studies on the mechanism of FD, and its development mechanism is still in the stage of exploration and research [20,21]. Therefore, it is necessary to study the factors that may trigger or increase the likelihood of FD.
As a crucial component of terrestrial ecosystems, vegetation exhibits high dependency on climate conditions and is sensitive to climate change [22]. Under drought conditions, ecosystems and their associated vegetation are inhibited from growth or even face mortality due to rising temperature or water deficiency, ultimately weakening terrestrial carbon absorption [23]. FD has emerged in recent years as a frequent extreme drought event of global significance, with the increasing scale and scope being attributable to climate change and posing a significant threat to ecosystem. Notably, not all droughts have the same effects on the natural environment and ecosystems [24]. Generally, according to Hazbavi et al. [25], environments that are diverse, healthy, and rich in biodiversity tend to be more resilient to extreme weather events. Due to differences in physiological structures, the responses of different vegetation to drought are also different [26,27]. Furthermore, regional background climate differences also affect how different vegetation ecosystems perform during drought. Hence, assessing the responses of various vegetation ecosystems to FD is crucial for disaster monitoring and promoting sustainable vegetation development.
When FD occurs, the photosynthesis and respiration of vegetation respond to the high temperature and reduced soil moisture with stomatal closure, leading to reduced stomatal conductance and weakening of leaf transpiration, inevitably impacting vegetation photosynthesis and ultimately reducing GPP [28,29]. VIs calculated using remote sensing reflectance can identify drought deterioration by monitoring large-scale vegetation anomalies, making them a key tool for early drought warning and drought impact assessment. However, VIs primarily reflect vegetation greenness and coverage rather than directly measuring plant physiological activities or photosynthetic efficiency [30]. Moreover, the greenness of vegetation does not significantly change in the initial stages of drought [29,31]. Therefore, VIs cannot capture changes in vegetation status in a timely manner. Sun-induced chlorophyll fluorescence (SIF) is a light signal emitted by chlorophyll molecules excited after absorbing light energy, accurately describing the dynamic changes of vegetation during the actual photosynthesis process [32,33], and thus directly relates to vegetation photosynthesis. Compared to VIs, SIF can rapidly respond to changes in plant physiological status caused by drought stress, typically manifested as decreases in photosynthesis and fluorescence quantum yield [27,34]. Despite the extensive application of SIF in drought monitoring, there is limited reporting on its research progress in FDs.
The Loess Plateau (LP) is one of the vital agricultural production areas in China, where issues such as soil erosion not only cause soil degradation but also lead to sedimentation of the Yellow River, triggering severe ecological problems [35]. Although soil and water conservation measures have been taken to mitigate severe erosion, excessive revegetation has led to the emergence of dry soil layers. In addition, the current total vegetation productivity is close to the carrying capacity of total water resources on the Loess Plateau, posing a major challenge to the sustainability of vegetation [36,37]. Additionally, with global warming, the average annual temperature on the LP continues to rise, and extreme weather events occur frequently. Against this backdrop, the superimposition of FD events complicates and exacerbates the drought situation on the LP, potentially exerting serious impacts on ecosystem processes and functions. Therefore, accurate identification and monitoring of FD events on the LP, as well as analysis of their impact on the vegetation ecosystem, are extremely important for future agricultural production and vegetation restoration.
In this study, we identified FD events on the LP from 2000 to 2023 based on the attenuation rate of SM percentile. We analyzed the evolution process of FD and its correlation with meteorological conditions. By analyzing temporal variations of vegetation indicators and SIF, we evaluated the responses of different vegetation ecosystems across different climatic areas on the LP to FD. Specifically, this study aims to: (1) analyze the evolution characteristics of FD; (2) explore the driving roles of meteorological conditions in the occurrence of FD; and (3) investigate the responses of different vegetation types across different climatic areas to FD. This study emphasizes the heterogeneous ecological impacts of FD by analyzing the response mechanism of vegetation photosynthetic capacity to FD.
2. Materials and Methods
2.1. Study Area
The LP is located in the middle and upper reaches of the Yellow River Basin (33°43′–41°16′ N, 100°54′–114°33′ E), with a total area of approximately 650,000 square kilometers (Figure 1a). The LP is characterized by a temperate continental monsoon climate, with the annual average temperature and precipitation being 8.6 °C and 454 mm, respectively. The region is predominantly covered by thick layers of loess, with deep and loose soil layers and fragmented terrain [38]. The LP was divided into four climate areas based on the drought index proposed by the United Nations Environment Programme (UNEP), namely arid (A), semi-arid (S-A), semi-humid (S-H), and humid (H) (Figure 1b). The climate conditions determine the growth season of vegetation; April to October is the most active period for vegetation growth on the Loess Plateau, which is used as the vegetation growth season in this study (Figure 1d). The types of LP vegetation utilization mainly include cultivated land, forests, and grasslands (Figure 1d–f). To curb the harm caused by soil erosion, the Chinese government initiated the “Grain for Green” project in 1999. The implementation of this project has achieved remarkable effects, not only increasing vegetation coverage and the greenness of the LP (Figure 1c), achieving the transformation of the LP from yellow to green, but also enhancing the water conservation capacity and stability of the carbon cycle (Figure 1d–f).
Figure 1.
(a) The location of the study area, China’s LP; (b) The climate areas and distribution of meteorological stations in the LP; (c) Annual trend of NDVI in the LP from 1999 to 2020; (d–f) Land uses of the LP in 1990, 2010, and 2020, respectively.
2.2. Data Sources
2.2.1. Meteorological Data
This study collected daily observation meteorological station data from the China Meteorological Data Network (http://data.cma.cn/) (accessed on 16 February 2024), including precipitation (P), maximum temperature (Tmax), relative humidity (RH), mean temperature (Tmean), and wind speed (WS). After filtering and preprocessing, the thin plate smooth spline method was used to interpolate the meteorological station data into spatial grid data with 0.05° spatial resolution. The potential evapotranspiration (PET) data were calculated using the physically-based Penman equation [39]. To monitor meteorological conditions during FD, daily meteorological data were unified to a 5-day time resolution.
The SM data used were sourced from the reanalysis version 5 Land (ERA5-Land) product of the European Centre for Medium Range Weather Forecasts (ECMWF). Compared to other SM datasets, ERA5-Land product offers higher accuracy [33], and is available at https://cds.climate.copernicus.eu/cdsapp#!/home (accessed on 9 November 2023). The ERA5-Land reanalysis product provides hourly SM data for four different soil layers at a spatial resolution of 0.1°: 0–7 cm, 7–28 cm, 28–100 cm, and 100–289 cm. Considering that the SM in the root area can meet the needs of most crop roots for water and nutrient absorption, this study selected surface (0–100 cm) SM information to identify FD events. A weighted method was applied to synthesize SM of the top three layers into 1 m root area SM [40], with the calculation method being as follows:
where, , , and represent SM in the 0–7 cm, 7–28 cm, and 28–100 cm layers, respectively.
Given that the time scale used in this study is a pentad time scale (5-day), prior to identifying FD, the hourly SM was synthesized into a pentad average SM and converted into the percentile of SM by the appropriate theoretical probability distribution function. To ensure the accuracy of data calculation, we validated the quality of EAR5-Land data using in-situ observation station data. This study used a total of 11 measured SM stations (Table 1), sourced from the Loess Plateau Ecological Process Network Monitoring System (http://159.226.153.73:8080/stjcxt/login.jsp) (accessed on 12 November 2023). To maintain consistency in temporal resolution, we also aggregated hourly root zone in-situ observation station data into a 5-day average and compared them with ERA5-Land data.
Table 1.
Attributes of the in-situ observation station.
2.2.2. Satellite SIF Data
Eight-day global spatial continuous OCO-2-based SIF (GOSIF) data with a 0.05° spatial resolution were used in this study. This dataset was developed by data-driven methods based on land cover data from discrete orbital carbon observation stations (OCO-2) SIF, medium resolution imaging spectrometers (MODIS), and meteorological reanalysis data (https://globalecology.unh.edu/data/GOSIF.html) (accessed on 22 April 2024). GOSIF has been proven to be directly related to vegetation photosynthesis, capable of capturing seasonal changes in vegetation activity and responding quickly to environmental changes. Currently, it has been widely applied in carbon cycling, productivity assessment, and drought monitoring research [1]. SIFyield represents the proportion of photosynthetically active radiation (PAR) absorbed by plants that is released in the form of fluorescence, which can provide more accurate photosynthetic efficiency. Therefore, this study used SIFyield to investigate the physiological response of vegetation to water stress. The following are the calculating formulas:
where, APAR is the absorbed PAR and FPAR is the fraction of APAR. η is a term used to explain the proportion of leaf-level SIF photons escaping the canopy, which can be assumed to be 1 for vegetation with simple canopy structure and a low absorptance in the near-infrared wavelengths [34,41].
2.2.3. Auxiliary Data
The MODIS products used in this study include surface reflectance data (MOD09A1) products and fraction of absorbed photosynthetically active radiation MODIS-FPAR (MOD15A2H) products (https://lpdaac.usgs.gov/)(accessed on 4 March 2024). The MOD09A1 product is employed for calculating the normalized difference vegetation index (NDVI) data, with 250 m spatial and 8 days temporal resolutions. The MOD15A2H product is used to derive APAR and SIFyield information. The PAR dataset is sourced from Global Land Surface Satellite (GLASS) products (http://www.glass.umd.edu/Download.html) (accessed on 9 March 2024). The spatial and temporal resolutions are 0.05° and 1-day, respectively. To minimize errors caused by mismatches in spatial and temporal resolution, all variables are unified to a spatial resolution of 0.05° and a 5-day time resolution to maintain consistency with the resolution of the GOSIF data. Land cover type data with a spatial resolution of 1000 m are provided from the Resource and Environment Data Cloud Platform (http://www.resdc.cn/)(accessed on 15 March 2024). Land cover classification includes farmland, forest, grassland, water, and construction land as well as desert. Specifically, the data of GOSIF, NDVI, and FPAR with a time resolution of 8 days were linearly interpolated into a daily scale and then aggregated to a pentad scale.
2.2.4. Identification of FD
In 2002, Svoboda first proposed FD and defined it as drought that develops rapidly [5]. FD is more sensitive to global warming than traditional slow drought [15]. According to the U.S. Drought Monitor System, the 20th and 40th percentile of SM represents the threshold of moderate drought and the soil being drier than normal soil conditions, respectively. This study used the FD definitions proposed by Ford and Labosier [14] and Yuan et al. [15,16], as well as the characteristic of rapid decrease in actual moisture conditions. The FD events were identified using the following criteria:
- The pentad average SM percentile decreases from above 40% to below 20% within four pentads or less;
- The average intensification rate (RI) per pentad is not less than 5%;
- The entire process lasts for at least four pentads, including both the development and recovery stages;
- A FD event ends once the declined SM rises back to the 20th percentile.
In this study, the frequency, average duration, RI, and average intensity of FDs were used to describe the characteristics of FD. The frequency is the number of FD events during the research period and the average duration is the average number of pentads an event persists. The concept of the average RI measures the average decline rate of SM, with the formula as follows:
where, is the start time of FD; is the end time of FD; is the duration of the whole SM decline stage; and and are the percentiles of SM at and , respectively.
Considering the impacts of the duration of the FD and the degree of SM deficit on the ecosystem, the intensity of the FD in this study is the shaded area enclosed by the SM percentile curve and the 40th percentile of SM from the beginning to the end of a FD event (Figure 2).
Figure 2.
Pentad average SM percentile in the LP of 2017. The data come from a grid unit on the Loess Plateau (39.399° N, 108.299° E).
2.3. Data Analysis
This study used SM data to identify FD events and examined their impacts on various vegetation types, with the overall framework depicted in Figure 3. We first eliminated the influences of seasonality in data preprocessing and processed the original hourly SM data into average pentad SM data. Subsequently, we fit the time series of SM data at each grid point using multiple distribution functions, calculated the cumulative probability through the optimal theoretical distribution, and converted the soil volume moisture content into SM percentile. To ensure the quality of the data calculation, the accuracy of ERA5-Land SM data was validated using in-situ SM data from the LP (Figure S1). On this basis, according to the defined criteria for FD, FD events on the LP from 2000 to 2023 were detected and characteristics such as the frequency, average severity, and average duration of FD events, as well as the evolution processes, were analyzed. Furthermore, the meteorological driving force for the FD was determined by exploring the spatiotemporal variations of various meteorological and hydrological parameters during FD. Lastly, we analyzed the responses of different vegetation types to FD by temporal variations of SIF, SIFyield, SIF-RCI, NDVI, and APAR for a few pentads before and after the onset of the FD event, thereby providing necessary suggestions for vegetation recovery and sustainable development on the LP.
Figure 3.
Data processing framework diagram.
2.3.1. SIF Rapid Change Index (SIF-RCI)
To evaluate the temporal dynamics of GOSIF data in capturing photosynthesis, we calculated 8-day SIF-RCI data based on Otkin’s [42] RCI formula to quantify the degree to which the temporal change rate of SIF deviates from its climate average. For convenience, the following description refers to the 8-day period as “one week”. SIF-RCI refers to the cumulative amplitude of the abnormal change rate of SIF per week. The estimation of SIF-RCI involves two steps, namely, the calculation of standardized anomalies for SIF time change rate and the calculation of RCI.
First, the standardized anomaly calculation of SIF time change rate is as follows:
where, and are the two 8-days used to calculate the difference and is the GOSIF composite value for the Kth 8-day in year A. The first and second terms in the numerator represent the change rate of between 8-days of and over N years and the climatological average rate of change within N years, respectively; the denominator is the SD of the climatological average change rate within N years. A negative denotes that the GOSIF increases slowly or decreases fast than usual, while a positive means the opposite.
Long-term abnormal weather patterns provide favorable conditions for the formation of drought and exacerbate it. GOSIF has been proven to be directly related to vegetation photosynthesis, so the response of vegetation under water stress can be observed through long-term abnormal changes in GOSIF. The calculation formula for RCI is as follows:
where, is the previous 8-ady’s RCI value. The RCI value resets to zero when the sign of differs from that of the previous 8-day. However, it remains unchanged if keeps the same sign as the previous 8-day but its magnitude falls below the specified threshold of 0.75. During the growing season, the negative RCI values correspond to an imminent onset of drought, while positive values indicate approaching recovery from drought [43].
2.3.2. Standardized Anomaly
To investigate the degree of deviation of various variables from normal conditions during drought, this study used the spatial anomaly calculation formula to calculate the standardized anomaly of each variable pixel by pixel. The calculation formula is as follows:
where, is the standardized anomaly at time t at the positions of each variable pixel (a, b); is each variable pixel’s initial value at time t; is the average value of each variable over N years at pixel (a, b) positions; and is the standard deviation of each variable over N years at pixel (a, b) positions.
3. Result
3.1. Detection of FD from 2000 to 2023
The frequency of FDs is notably higher in the northern part of the A area, the northeastern and southwestern parts of the S-A area, and the southern part of the S-H area, with the maximum occurrence frequency exceeding 20 (Figure 4a). Notably, high RI values are almost entirely distributed in areas with high frequency of FDs (Figure 4b), especially in areas covered by dense vegetation with abundant water resources. The distribution frequency and average RI of FDs gradually increase from A area to H area (Figure 5a,b). The duration of FD events is quite short, mostly between 4 to 12 pentads, and the average duration of the entire LP is 11.8 pentads (59 days). The distribution characteristics of the average duration and severity of FD events across the LP are remarkably similar (Figure 4c,d); the longer the average duration of a flash drought event, the greater the average drought severity caused. Moreover, larger average duration and severity values are mainly distributed in A and S-A areas, especially in the A area (Figure 5c,d).
Figure 4.
Frequency (a), average decline rate (b), average duration (c), and average severity (d) of FDs on the LP from 2000 to 2023.
Figure 5.
Statistical charts for different climate areas. Subfigures (a–d) represent the frequency, average RI, average duration and average severity of flash drought, respectively.
The number of onset dates of FD events annually from 2000 to 2023 is different (Figure S2), with the highest number occurring in 2017, followed by 2013 and 2022. Hence, we selected 2017 as a typical year for analysis in this study. The FD events are primarily concentrated in the S-A area, with relatively fewer events occurring in the S-H and A areas (Figure S3). The H area did not experience any FD events in 2017. Additionally, except for some regions in area A with a frequency of two FDs, other areas only experienced one FD event.
3.2. The Evolution of FD
To elucidate the evolutionary process, we conducted a specific investigation into the drought event that occurred in 2017 (June to July) (Figure 2). The onset of FD is the first pentad when SM percentile drops below the 40% (e.g., t0 in Figure 2). The time when the SM percentile decreases to the lowest point is defined as the peak of the event (e.g., t4 in Figure 2). The FD event ends when the SM percentile rises again to 20% (e.g., t5 in Figure 2). The average SM percentile on the LP sharply decreased from 41% (Day 160) to 18% (Day 185) within four pentads, then slightly rebounded to 20% (Day 190). The duration of this FD event period was 25 days, where Day 165–185 represented the development phase of the FD and Day 185–190 marked the recovery phase. Notably, the end of the FD did not signify the end of the drought. After the end of the FD, the SM percentile again declined from 20% (Day 190) and temporarily remained at low values until Day 285. Furthermore, the rate and development of SM percentile decline varies among different climate zones in LP (Figure 6). The H area has the largest average SM percentile deficit with the fastest recovery rate. The average duration of the S-H area is the longest, which is consistent with Figure 5c.
Figure 6.
Variation of SM percentile FD events of all grids in four different climate areas. The t represents the onset of FD. The t − 2 and t − 1 denote the 1 pentad and 2 pentads prior to t, while t + 1–t + 7 represent the lagged 1–7 pentads of t, respectively.
Based on the drought status criteria established in previous studies by Svoboda et al. [5] and Ford et al. [6], droughts were classified into six categories, exceptional (<2), extreme (2–5), severe (5–10), moderate (10–20), mild (20–30), and abnormal (30–40), to track the evolution trajectory of drought (numbers represent SM percentile values). The drought events mainly occur in the central and southern regions of the LP, especially in S-A and S-H areas (Figure 7). For instance, the western and southern border areas in S-A area suffered a significant drought attack in July, with the initial onslaught occurring on 10th July and peaking on 20th July. Afterward, the drought conditions began to ease, with some areas returning to normal levels in early August. When the RI value falls below −5%/pentad, a stage of rapid decline in SM can be identified.
Figure 7.
Changes of SM percentile in 2017.
As demonstrated in Figure 8, the western region of S-A area on 10th July showed low RI values (less than −5% percentiles/pentad), signifying these periods as typical flash intensification processes. Notably, RI had no significant response to changes in drought intensity. For example, even when the SM percentiles in the central and southern LP reached the lowest on 20th July, the RI values did not show substantial variations (Figure 8).
Figure 8.
Changes of RI in 2017.
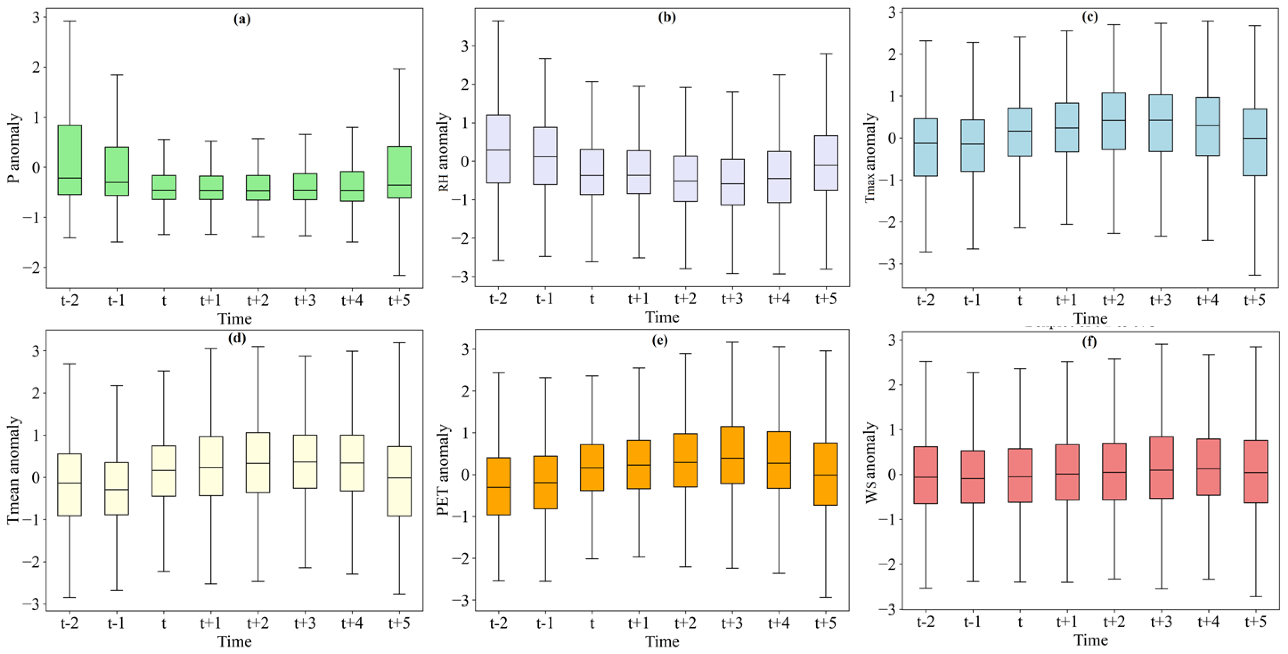
3.3. Meteorological Conditions of FD
Figure 9 shows the standardized anomalies of meteorological factors during the FD events. Overall, the trends of P and RH from t − 2 to t + 4 were both to decrease and then increase. Before the two pentads of FD, about 50% of FD events had negative P anomalies (Figure 9a), and P anomalies were almost below 0 from the t to t + 4 pentads. However, for RH, less than 30% of the drought events were below 0 in the two pentads preceding the drought, and not all RH anomalies of the FD events were negative from the t to t + 4 pentads (Figure 9b), indicating that RH’s response to FD was not as sensitive as P.
Figure 9.
Variations in meteorological factors during the FD period. Subfigures (a–f) represent the Rainfall, relative humidity, maximum temperature, mean temperature, potential evapotranspiration and average wind speed, respectively.
In contrast to P, Tmean, Tmax, and PET exhibited a trend of increasing followed by decreasing from t − 2 to t + 4. In the two pentads prior to the drought, 30% of the FD events already showed positive anomalies in Tmax (Figure 9c). Over 50% of the events had Tmax positive anomalies between pentad t and t + 4. A similar pattern was also observed in Tmean and PET (Figure 9d,e). WS anomaly did not show significant changes from t to t + 4, suggesting a weak correlation with FD events (Figure 9f). The correlation between the six meteorological factors and SM during the occurrence of FD is consistent (Figure S4). SM is positively correlated with RH and P, negatively correlated with Tmax, Tmean, and PET, and not significantly correlated with WS.
To further illustrate the variation characteristics of the above meteorological factors, we analyzed the spatial variations of meteorological factors from June to July 2017. Figure 10 shows that the Tmax and PET anomalies in the western S-A area of the LP were slightly higher than normal before the FD on 10 July 2017 and increased to high positive values following the onset of drought, while P and RH anomalies showed opposite trends. WS did not exhibit significant changes before and after the FD, indicating that WS may not be an effective indicator for identifying FD, consistent with the descriptions in Figure 9.
Figure 10.
Spatial variations in meteorological factors anomalies during the FD period from June to July 2017.
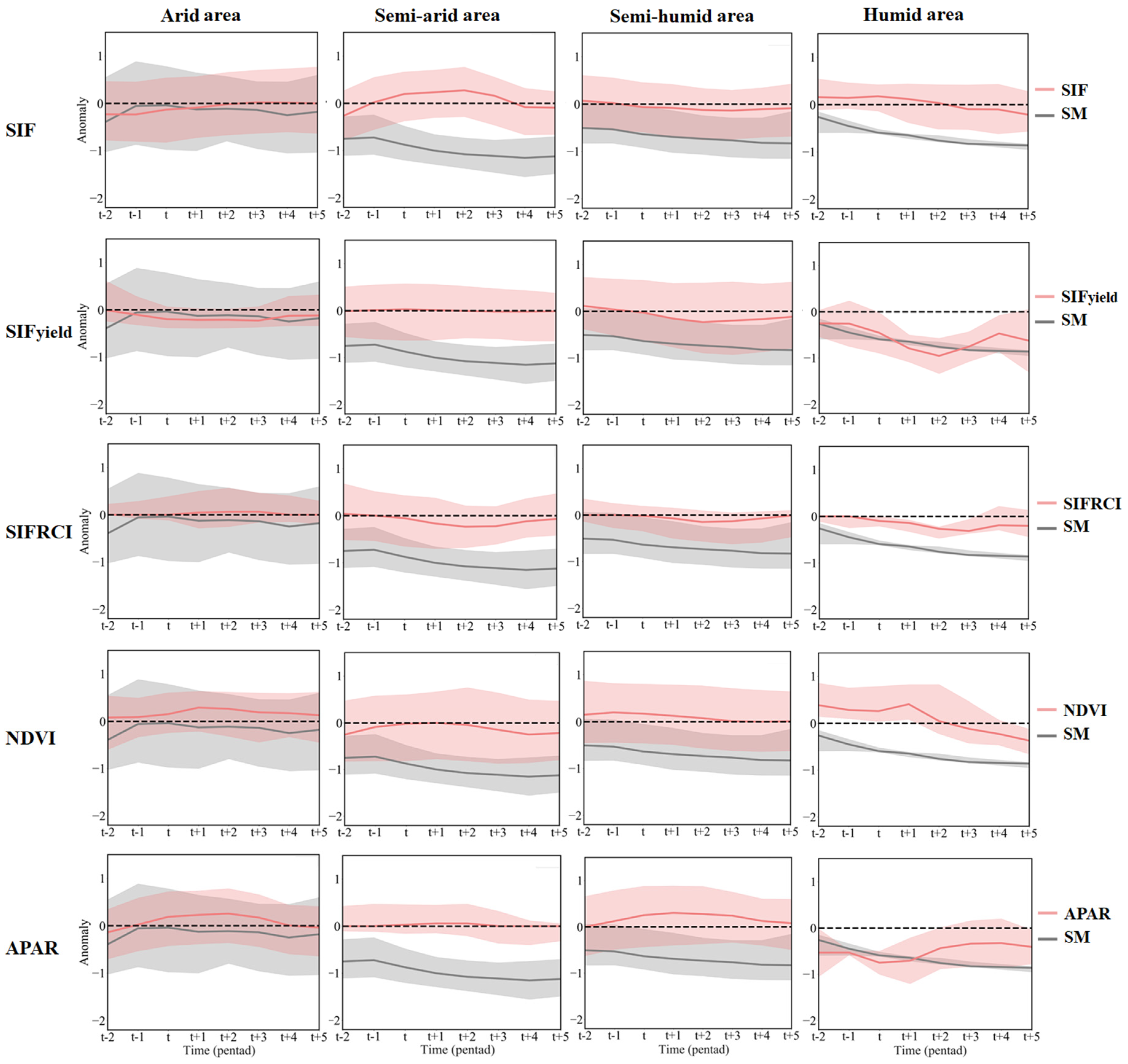
3.4. Responses of Different Vegetation Types to FD
In this study, we analyzed the temporal evolution of normalized anomalies in SM and various ecological indicators during FD events in different climatic areas (Figure 11). The SM anomaly in the entire LP showed a rapid decreasing trend, as expected when defining FD in this study. However, significant regional disparities were noted in the recovery process and the magnitude of SM anomaly. The range of average SM anomaly varied from −0.28 to −1.09, while the recovery time (defined as the time for SM percentile increased to 20% after the drought peak) ranged from 3.1 to 6.4 pentads. Furthermore, compared with SM, the temporal changes of different ecological indicators showed significant regional differences.
Figure 11.
Temporal variations in SM and ecological indicators of SIF, SIFyield, SIF-RCI, NDVI, and APAR during FD events for the four climate areas. Thick lines indicate the median values, while the shaded regions depict the range of variability, spanning from the 25th to the 75th percentiles observed during flash drought events.
Figure 11 illustrates that ecological indicator anomalies are not always related to the SM anomaly, especially in the A and S-A areas, where cropland and grassland are the main vegetation types. SIF and NDVI anomalies in the A and S-A areas first increased and then decreased during FD, with the onset of decline in NDVI gradually advancing from the A to the S-H area. In contrast, in the S-H area dominated by cropland and forest, as well as in the H area dominated by forest, ecological indicators exhibited a close correlation with SM, with temporal trends generally aligned. From the S-H to the H area, the onset of decline in SM and ecological indicators (excluding APAR) advanced, with the duration of negative anomalies in ecological indicators gradually increasing.
During FD, the performances of three parameters related to vegetation photosynthesis, namely SIF, SIFyield, and SIF-RCI, varied across different areas. In A and S-A areas, the anomaly of SIF exhibited a similar trend to SIF-RCI, with an initial increase followed by a decrease, while SIFyield showed a trend consistent with SM, initially decreasing before increasing. In S-H and H areas, the trend of changes in the three indicators was first decreasing and then increasing. However, in the S-H area, the occurrence of negative anomalies was gradually delayed during FD. In the H area, anomaly in SIFyield was the first to be less than 0 and reached its valley value, followed by SIF-RCI and SIF. Additionally, the decrease in SIFyield anomaly was the largest and it closely resembled the curve of the SM anomaly. Thus, overall, SIFyield exhibited higher sensitivity to FD and responded fastest. Furthermore, compared to NDVI in the same area, SIFyield showed a faster decline under water stress conditions, with a negative anomaly appearing earlier. This indicates that SIFyield is more sensitive to drought, particularly in the H area.
To further elucidate the responses of three different vegetation types (cropland, forest, and grassland) to FD across different climatic areas in LP (Figure 12), we took the FD event that occurred on 10 June (the onset of the FD) in 2017 as an example for specific explanation. SM began to decline one pentad before the onset of FD (6.05), and there was no significant difference between the different vegetation. Similar to SM, SIFyield also decreased before the onset of FD, but there were differences in several vegetation types in different areas. The vegetation SIF-RCI of each area decreased significantly later than SIFyield, but the performances of the same vegetation in different areas were not consistent. The variation trends of SIF and SIF-RCI in the three areas were very similar. Conversely, the NDVI anomaly varied greatly in the three climate areas, especially for cropland. The NDVI anomaly of farmland in the S-H area not only decreased earlier than that of forest and grassland, but also decreased earlier than that in the S-A and A areas. Therefore, compared to grassland and forest, cropland was more sensitive to FD. Moreover, compared to SIFyield, the photosynthetic response of NDVI to water stress also exhibited hysteresis, as described above.
Figure 12.
SM and photosynthesis anomalies of different vegetation types in three climate areas during the FD in 2017.
4. Discussion
FD is a special type of drought characterized by rapid development and intensification within a short time, usually triggered by a flash decrease in rainfall and/or abnormally high-temperature conditions [15,44]. In this study, we found that FD events on the LP predominantly occurred in relatively humid areas, especially in areas with high vegetation coverage and high SM content from surface to deep layers, which was consistent with the description in Mo and Lettenmaier [18] and Wang et al. [45]. This phenomenon is primarily attributed to the ample atmospheric moisture in humid areas, where high temperatures enhance evapotranspiration, facilitating a rapid reduction in SM conducive to the emergence of FD [46,47]. From the perspective of causation, meteorological variables may play important roles in driving the development of FDs. Most meteorological variables exhibited significant deviations from the onset to the end of the FD (Figure 9). Liu et al. [33,48] also noted that abnormal changes in meteorological factors such as P, RH, PET, and Tmax prior to the onset were critical in determining the pace of drought development.
During the FD event in western LP in 2017, P and RH, indicators of atmospheric moisture supply to the land surface, both exhibited negative anomalies before the onset of FD (Figure 9). Conversely, variables related to atmospheric energy demand, such as Tmax and PET, gradually became positive anomalies as P and RH decreased. This indicates that precipitation deficiency was a primary cause of this FD and provided favorable conditions for its development. This pattern of FD formation differed from that described by Ye et al. [46] regarding high-temperature-induced outbreaks. Notably, changes in WIN before and after the onset of FD were insignificant, suggesting a minimal impact on moisture supply, aligning with conclusions by Ford and Labosier [14] and Liu et al. [48]. Analyzing the characteristics of meteorological variables before and after FDs aids in understanding the mechanisms underlying their formation. Nevertheless, due to the complexity of weather systems and the diversity of underlying surface conditions, the causes of FDs in different regions vary, particularly concerning the driving mechanism of water vapor changes in FDs, requiring further exploration.
Our results emphasized that vegetation responses to flash drought vary in different areas, as well as the spatially heterogeneous timing and degree of vegetation with different types in water stress. We found that the responses of vegetation to FD were not only related to vegetation types but were also significantly influenced by background climate. The vegetation of forest, cropland, and grassland exhibited significant variations in their responses to FD. During FD, the SIFyield anomaly in the H area dominated by forest declined later than that in the S-H area, which is dominated by cropland, with a similar trend observed in NDVI (Figure 11). Additionally, for the specific event in 2017, the NDVI anomaly of cropland in the S-H area decreased earlier than that of forest and grassland, and the SIF anomaly of cropland also decreased earlier than that of grassland (Figure 12). The differences in performance between different vegetation largely stemmed from the differences in vegetation physiological structure and mechanisms. Forests with well-developed root systems can avoid drought stress through specific strategies [28]. For example, the roots of trees can utilize water stored in the deep soil layer in advance during water scarcity, thereby alleviating drought stress [49]. Additionally, dense canopies can reduce solar radiation, thus decreasing the demand for photosynthesis and providing a buffering effect during FD, which mitigates abnormal changes in ecological indicators [21,50,51]. By comparison, cropland and grassland with shallow roots have lower water and carbon storage capacity and are less resilient to drought [23]. Therefore, their physiological activities are primarily determined by topsoil moisture, rendering them highly sensitive to changes in water availability.
In addition to vegetation types, the response of vegetation to FD is also related to local background climate. The sensitivity of the same vegetation type to FD varied across different climatic areas. Vegetation in relatively humid areas exhibited higher sensitivity to FD (Figure 11 and Figure 12). Generally, the vegetation in the A area demonstrated a stronger tolerance to water stress than that in the H area. Consequently, when subjected to drought stress, vegetation in arid environments responded more slowly, especially for shallow-rooted, small vegetation such as grassland and cropland. For example, the NDVI anomaly in the A area declined later than that in the S-H area, while the SIF anomaly and SIF-RCI exhibited similar trends (Figure 11). Additionally, in the 2017 FD event, the NDVI anomaly of cropland in S-H area decreased earlier than that in the A and S-A areas, and the SIFyield anomaly in S-H area also declined earlier than in the S-A area (Figure 12). Therefore, the response of vegetation to FD is significantly influenced by the local background climate, which has also been reported by O and Park [28].
The responses of the photosynthesis parameters to FD varied greatly. Regardless of the climate area, the SIFyield anomaly of several vegetation types decreased earlier than the SIF anomaly and SIF-RCI, with its variation trend aligning most closely with SM. In 2017, although the timing of the decline and occurrence of negative SIFyield anomaly varied among different vegetation types, all began to decline before the onset of the drought. This suggests that SIFyield is more sensitive to FDs and can respond more quickly, which is consistent with the conclusion drawn by Yao et al. [41]. The advantages of SIFyield may be related to the removal of APAR influence, allowing SIFyield to better represent the true photosynthetic effect of vegetation. As a result, fluorescence responds more directly and more quickly to drought [52].
Prior studies have confirmed that SIF responds faster to drought stress than VIS based on vegetation greenness [53,54]. In our study, SIFyield decreased earlier than NDVI, and negative anomalies appeared earlier (Figure 11), which coincides with the previous conclusion [26,47]. Notably, this study introduces a new approach to quantify the deviation rate of SIF over time from the average value. Figure 12 shows that SIF-RCI not only declined later than the negative SIFyield anomaly during the FD but also that the negative value appeared slightly later. This is largely due to the inclusion of APAR-related information in SIF-RCI. Although this study did not provide definitive evidence that SIF-RCI was superior to SIFyield in monitoring FD, existing research has demonstrated that SIF-RCI calculated from GOME-2 SIF data possesses potential for FD early warning [43]. However, the FD monitoring method based on SIF-RCI has not been constructed yet, and this will become a new direction for our future research. Furthermore, current observations of vegetation SIF largely rely on satellite sensors with relatively low spatial resolution, limiting their capability to precisely detect local or small-scale drought events and vegetation photosynthetic activity. In the future, the development and deployment of satellite sensors with higher spatial and temporal resolution, such as the Fluorescence Explorer satellite planned for launch by the European Space Agency in 2025, will provide more accurate data for detecting terrestrial vegetation photosynthetic activity, thereby broadening its application prospects.
5. Conclusions
This study analyzed the spatiotemporal characteristics of FD events across the LP from 2000 to 2023 as well as their meteorological driving mechanism. The responses of various vegetative ecosystems to FDs were investigated through ecological indicators. Over the observed period, the maximum occurrence frequency exceeded 20, and high RI values were distributed in areas with high frequency of FDs. Meteorological variables played a significant role in facilitating the onset of FDs, with decline trends in precipitation and RH aligning with that of SM, whereas the trends for Tmax and PET were inverse. Notably, insufficient precipitation was identified as the primary cause for the sharp decrease in SM in the semi-arid western part of the LP in 2017. The responses of vegetation to FD were not only related to vegetation type (cropland is more sensitive to FD than grassland and forest) but were also influenced by background climate (vegetation in the H area is more sensitive to FD than vegetation in the A areas). The SIFyield anomaly of vegetation began to decline before the onset of FD and declined earlier than the SIF anomaly and SIF-RCI, with its variation trend aligning most closely with SM. The photosynthetic response of NDVI to water stress was less sensitive than that of SIFyield. The results of this study confirmed the reliability and effectiveness of vegetation photosynthetic capacity in monitoring and evaluating regional FD. This provides an effective means for evaluating the impact of FD and predictive accuracy.
Supplementary Materials
The following supporting information can be downloaded at: https://www.mdpi.com/article/10.3390/f15081455/s1, Figure S1: Scatter plot of comparison between ERA5-Land soil moisture data and in-situ soil moisture data; Figure S2: The number of onset dates of flash drought in different grids of the Loess Plateau; Figure S3: Spatial distribution of flash drought events in 2017; Figure S4: The correlation coefficient between meteorological factors and soil moisture during flash drought.
Author Contributions
Conceptualization, investigation, writing–original draft, visualization, Y.J.; supervision, project administration, methodology, H.S.; resources, funding acquisition, Z.W.; conceptualization, writing–original draft, funding acquisition, X.Y.; investigation, writing–review and editing, Y.W.; investigation, software, L.L.; data Curation, formal analysis, Y.M.; methodology, writing–review and editing, J.R.D.; formal analysis, writing–review and editing, M.G.; project administration, methodology, J.S.; writing–review and editing, H.H. All authors have read and agreed to the published version of the manuscript.
Funding
This research was funded by the CAS “light of West China” program (XAB2020YN04), the National Natural Science Foundation of China (41501055), the High-end Foreign Experts Recruitment Plan of China (G2022172016L), and the National R&D Infrastructure and Facility Development Program of China (2005DKA32300).
Data Availability Statement
Dataset available on request from the authors.
Acknowledgments
We gratefully acknowledge the data support from the Loess Plateau Science Data Center, National Earth System Science Data Sharing Infrastructure, National Science and Technology Infrastructure of China (http://loess.geodata.cn) (accessed on 13 March 2024).
Conflicts of Interest
The authors declare that the research was conducted in the absence of any commercial or financial relationships that could be construed as a potential conflict of interest.
References
- Li, X.; Xiao, J. Global climatic controls on interannual variability of ecosystem productivity: Similarities and differences inferred from solar-induced chlorophyll fluorescence and enhanced vegetation index. Agric. For. Meteorol. 2020, 288–289, 108018. [Google Scholar] [CrossRef]
- Xiao, J.F.; Zhuang, Q.L.; Liang, E.Y.; Shao, X.M.; McGuire, A.D.; Moody, A.; Kicklighter, D.W. Twentieth-century droughts and their impacts on terrestrial carbon cycling in China. Earth Interact. 2009, 13, 1–31. [Google Scholar] [CrossRef]
- Allen, C.D.; Macalady, A.K.; Chenchouni, H.; Bachelet, D.; McDowell, N.; Vennetier, M.; Kitzberger, T.; Rigling, A.; Breshears, D.D.; (Ted) Hogg, E.H.; et al. A global overview of drought and heat-induced tree mortality reveals emerging climate change risks for forests. For. Ecol. Manag. 2010, 259, 660–684. [Google Scholar] [CrossRef]
- Otkin, J.A.; Svoboda, M.; Hunt, E.D.; Ford, T.W.; Anderson, M.C.; Hain, C.; Basara, J.B. Flash droughts: A Review and Assessment of the Challenges Imposed by Rapid-Onset Droughts in the United States. Bull. Am. Meteorol. Soc. 2018, 99, 911–919. [Google Scholar] [CrossRef]
- Svoboda, M.; LeComte, D.; Hayes, M.; Heim, R.; Gleason, K.; Angel, J.; Rippey, B.; Tinker, R.; Palecki, M.; Stooksbury, D.; et al. The Drought Monitor. Bull. Am. Meteorol. Soc. 2002, 83, 1181–1190. [Google Scholar] [CrossRef]
- Ford, T.W.; McRoberts, D.B.; Quiring, S.M.; Hall, R.E. On the utility of in situ soil moisture observations for flash drought early warning in Oklahoma, USA. Geophys. Res. Lett. 2015, 42, 9790–9798. [Google Scholar] [CrossRef]
- Osman, M.; Zaitchik, B.F.; Badr, H.S.; Christian, J.I.; Tadesse, T.; Otkin, J.A.; Anderson, M.C. Flash drought onset over the contiguous United States: Sensitivity of inventories and trends to quantitative definitions. Hydrol. Earth Syst. Sci. 2021, 25, 565–581. [Google Scholar] [CrossRef]
- Zhang, Q.; Li, Q.; Singh, V.P.; Shi, P.; Huang, Q.Z.; Sun, P. Nonparametric Integrated Agrometeorological Drought Monitoring: Model Development and Application. J. Geophys. Res.-Atmos. 2018, 123, 73–88. [Google Scholar] [CrossRef]
- Trenberth, K.E.; Dai, A.; van der Schrier, G.; Jones, P.D.; Barichivich, J.; Briffa, K.R.; Sheffield, J. Global warming and changes in drought. Nat. Clim. Chang. 2013, 4, 17–22. [Google Scholar] [CrossRef]
- Senay, G.B.; Budde, M.B.; Brown, J.F.; Verdin, J.P. Mapping flash drought in the US: Southern Great Plains. In Proceedings of the 22nd Conference on Hydrology, New Orleans, LA, USA, 20–24 January 2008; AMS: New Orleans, LA, USA, 2008. [Google Scholar]
- Lisonbee, J.; Woloszyn, M.; Skumanich, M. Making sense of flash drought: Definitions, indicators, and where we go from here. J. Appl. Serv. Climatol. 2021, 2021, 1–19. [Google Scholar] [CrossRef]
- Zhang, S.Y.; Li, M.X.; Ma, Z.G.; Jian, D.N.; Lv, M.X.; Yang, Q.; Duan, Y.W.; Amin, D. The intensification of flash droughts across China from 1981 to 2021. Clim. Dyn. 2023, 62, 1233–1247. [Google Scholar] [CrossRef]
- Liu, Y.; Zhu, Y.; Ren, L.L.; Singh, V.P.; Yuan, S.S. flash drought fades away under the effect of accumulated water deficits: The persistence and transition to conventional drought. Environ. Res. Lett. 2023, 18, 114035. [Google Scholar] [CrossRef]
- Ford, T.W.; Labosier, C.F. Meteorological conditions associated with the onset of flash drought in the Eastern United States. Agric. For. Meteorol. 2017, 247, 414–423. [Google Scholar] [CrossRef]
- Yuan, X.; Wang, L.; Wu, P.; Ji, P.; Sheffield, J.; Zhang, M. Anthropogenic shift towards higher risk of flash drought over China. Nat. Commun. 2019, 10, 4661. [Google Scholar] [CrossRef] [PubMed]
- Yuan, X.; Wang, Y.M.; Wu, P.L.; Sheffield, J.; Wood, E.F. A global transition to flash droughts under climate change. Science 2023, 380, 187–191. [Google Scholar] [CrossRef]
- Zhang, Y.; You, Q.; Chen, C.; Li, X. Flash droughts in a typical humid and subtropical basin: A case study in the Gan River Basin, China. J. Hydrol. 2017, 551, 162–176. [Google Scholar] [CrossRef]
- Mo, K.C.; Lettenmaier, D.P. Heat wave flash droughts in decline. Geophys. Res. Lett. 2015, 42, 2823–2829. [Google Scholar] [CrossRef]
- Mo, K.C.; Lettenmaier, D.P. Precipitation deficit flash droughts over the United States. J. Hydrometeorol. 2016, 17, 1169–1184. [Google Scholar] [CrossRef]
- Christian, J.I.; Basara, J.B.; Hunt, E.D.; Otkin, J.A.; Furtado, J.C.; Mishra, V.; Xiao, X.M.; Randall, R.M. Global distribution, trends, and drivers of flash drought occurrence. Nat. Commun. 2021, 12, 6330. [Google Scholar] [CrossRef] [PubMed]
- Jiang, Y.; Yang, M.; Liu, W.; Mohammadi, K.; Wang, G. Eco-hydrological responses to recent droughts in tropical South America. Environ. Res. Lett. 2022, 17, 024037. [Google Scholar] [CrossRef]
- Orimoloye, I.R.; Belle, J.A.; Ololade, O.O. Drought disaster monitoring using MODIS derived index for drought years: A space-based information for ecosystems and environmental conservation. J. Environ. Manag. 2021, 284, 112028. [Google Scholar] [CrossRef]
- Xu, H.; Wang, X.; Zhao, C. Assessing the response of vegetation photosynthesis tometeorological drought across northern China. Land Degrad Dev. 2020, 32, 20–34. [Google Scholar] [CrossRef]
- Anderegg, W.R.L.; Trugman, A.T.; Badgley, G.; Konings, A.G.; Shaw, J. Divergent forest sensitivity to repeated extreme droughts. Nat. Clim. Chang. 2020, 10, 1091–1095. [Google Scholar] [CrossRef]
- Hazbavi, Z.; Baartman, J.E.M.; Nunes, J.P.; Keesstra, S.D.; Sadeghi, S.H.R. Changeability of reliability, resilience and vulnerability indicators with respect to drought patterns. Ecol. Indic. 2018, 87, 196–208. [Google Scholar] [CrossRef]
- Chen, X.J.; Mo, X.G.; Zhang, Y.C.; Sun, Z.; Liu, Y.; Hu, S.; Liu, S. Drought detection and assessment with solar-induced chlorophyll fluorescence in summer maize growth period over North China Plain. Ecol. Indic. 2019, 104, 347–356. [Google Scholar] [CrossRef]
- Tian, F.; Wu, J.J.; Liu, L.Z.; Leng, S.; Yang, J.H.; Zhao, W.H.; Shen, Q. Exceptional Drought across Southeastern Australia Caused by Extreme Lack of Precipitation and Its Impacts on NDVI and SIF in 2018. Remote Sens. 2019, 12, 54. [Google Scholar] [CrossRef]
- Sungmin, O.; Park, S.K. Global ecosystem responses to flash droughts are modulated by background climate and vegetation conditions. Commun. Earth Environ. 2024, 5, 88. [Google Scholar] [CrossRef]
- Yoshida, Y.; Joiner, J.; Tucker, C.G.; Berry, J.A.; Lee, J.-E.; Walker, G.; Reichle, R.; Koster, R.; Lyapustin, A.; Wang, Y.J.; et al. The 2010 Russian drought impact on satellite measurements of solar-induced chlorophyll fluorescence: Insights from modeling and comparisons with parameters derived from satellite reflectances. Remote Sens. Environ. 2015, 166, 163–177. [Google Scholar] [CrossRef]
- Sun, Y.; Fu, R.; Dickinson, R.; Joiner, J.; Frankenberg, C.; Gu, L.H.; Xia, Y.L.; Fernando, N. Drought onset mechanisms revealed by satellite solar-induced chlorophyll fluorescence: Insights from two contrasting extreme events. J. Geophys. Res.-Biogeosci. 2015, 120, 2427–2440. [Google Scholar] [CrossRef]
- Dobrowski, S.; Pushnik, J.; Zarco-Tejada, P.; Ustin, S. Simple reflectance indices track heat and water stress-induced changes in steady-state chlorophyll fluorescence at the canopy scale. Remote Sens. Environ. 2005, 97, 403–414. [Google Scholar] [CrossRef]
- Baker, N.R. Chlorophyll fluorescence: A probe of photosynthesis in vivo. Annu. Rev. Plant Biol. 2008, 59, 89–113. [Google Scholar] [CrossRef]
- Liu, Y.; Dang, C.Y.; Yue, H. Enhanced drought detection and monitoring using sun-induced chlorophyll fluorescence over Hulun Buir Grassland, China. Sci. Total Environ. 2021, 770, 145271. [Google Scholar] [CrossRef] [PubMed]
- Liu, L.Z.; Yang, X.; Zhou, H.K.; Liu, S.S.; Zhou, L.; Li, X.H.; Yang, J.H.; Han, X.Y.; Wu, J.J. Evaluating the utility of solar-induced chlorophyll fluorescence for drought monitoring by comparison with NDVI derived from wheat canopy. Sci. Total Environ. 2018, 625, 1208–1217. [Google Scholar] [CrossRef] [PubMed]
- Shen, N.; Wang, Z.L.; Guo, Q.; Zhang, Q.W.; Wu, B.; Liu, J.E.; Ma, C.Y.; Delang, C.; Zhang, F.B. Soil detachment capacity by rill flow for five typical loess soils on the Loess Plateau of China. Soil Tillage Res. 2021, 213, 105159. [Google Scholar] [CrossRef]
- Fu, B.J. Ecological and environmental effects of land-use changes in the LP of China. Chin. Sci. Bull. 2022, 67, 1–11. (In Chinese) [Google Scholar] [CrossRef]
- Feng, X.M.; Fu, B.J.; Piao, S.L.; Wang, S.; Ciais, P.; Zeng, Z.Z.; Lü, Y.H.; Zeng, Y.; Li, Y.; Jiang, X.H.; et al. Revegetation in China’s Loess Plateau is approaching sustainable water resource limits. Nat. Clim. Chang. 2016, 6, 1019–1022. [Google Scholar] [CrossRef]
- Guo, Y.Q.; Wang, N.J.; Chu, X.S.; Wu, X.; Zhang, Z.H.; Li, L.H.; Zhang, H.Y.; Sun, Y.L. Analyzing vegetation coverage changes and its reasons on the Loess Plateau based on Google Earth Engine. China Environ. Sci. 2019, 39, 4804–4811. (In Chinese) [Google Scholar]
- Penman, H.L. Natural evaporation from open water, bare soil and grass, natural evaporation from open water, bare soil and grass. Proc. R. Soc. Lond. 1948, 193, 120–145. [Google Scholar] [CrossRef]
- González-Zamora, Á.; Sánchez, N.; Martínez-Fernandez, J.; Wagner, W. Root-zone plant available water estimation using the SMOS-derived soil water index. Adv. Water Resour. 2016, 96, 339–353. [Google Scholar] [CrossRef]
- Yao, T.; Liu, S.; Hu, S.; Mo, X.G. Response of vegetation ecosystems to flash drought with solar-induced chlorophyll fluorescence over the Hai River Basin, China during 2001–2019. J. Environ. Manag. 2022, 313, 114947. [Google Scholar] [CrossRef]
- Otkin, J.A.; Anderson, M.C.; Hain, C.; Svoboda, M. Examining the Relationship between Drought Development and Rapid Changes in the Evaporative Stress Index. J. Hydrometeorol. 2014, 15, 938–956. [Google Scholar] [CrossRef]
- Mohammadi, K.; Jiang, Y.; Wang, G. Flash drought early warning based on the trajectory of solar-induced chlorophyll fluorescence. Proc. Natl. Acad. Sci. USA 2022, 119, e2202767119. [Google Scholar] [CrossRef] [PubMed]
- Otkin, J.A.; Woloszyn, M.; Wang, H.; Svoboda, M.; Skumanich, M.; Pulwarty, R.; Lisonbee, J.; Hoell, A.; Hobbins, M.; Haigh, T.; et al. Getting ahead of Flash Drought: From Early Warning to Early Action. Bull. Amer. Meteorol. Soc. 2022, 103, E2188–E2202. [Google Scholar] [CrossRef]
- Wang, L.Y.; Yuan, X. Two types of flash drought and their connections with seasonal drought. Adv. Atmos. Sci. 2018, 35, 1478–1490. [Google Scholar] [CrossRef]
- Ye, T.; Yu, J.H.; Ye, M.X.; Xie, J.H. Analysis of the characteristics of regional flash drought in China. J. Meteorol. Sci. 2021, 41, 295–303. (In Chinese) [Google Scholar]
- Wang, L.Y.; Yuan, X.; Xie, Z.H.; Wu, P.L.; Li, Y.H. Increasing flash droughts over China during the recent global warming hiatus. Sci. Rep. 2016, 6, 30571. [Google Scholar] [CrossRef] [PubMed]
- Liu, Y.; Zhu, Y.; Zhang, L.Q.; Ren, L.L.; Yuan, F.; Yang, X.L.; Jiang, S.H. Flash droughts characterization over China: From a perspective of the rapid intensification rate. Sci. Total Environ. 2020, 704, 135373. [Google Scholar] [CrossRef]
- van der Molen, M.K.; Dolman, A.J.; Ciais, P.; Eglin, T.; Gobron, N.; Law, B.E.; Meir, P.; Peters, W.; Phillips, O.L.; Reichstein, M.; et al. Drought and ecosystem carbon cycling. Agric. For. Meteorol. 2011, 151, 765–773. [Google Scholar] [CrossRef]
- Jin, C.; Luo, X.; Xiao, X.M.; Dong, J.W.; Li, X.M.; Feng, Z.X.; Yang, J.; Zhao, D.Y. The 2012 flash drought threatened US midwest agroecosystems. Chin. Geogr. Sci. 2019, 29, 768–783. [Google Scholar] [CrossRef]
- Sungmin, O.; Park, S.K. Flash drought drives rapid vegetation stress in arid regions in Europe. Environ. Res. Lett. 2023, 18, 014028. [Google Scholar] [CrossRef]
- Doughty, R.; Xiao, X.M.; Qin, Y.W.; Wu, X.C.; Zhang, Y.; Moore, B. Small anomalies in dry-season greenness and chlorophyll fluorescence for Amazon moist tropical forests during El Niño and La Niña. Remote Sens. Environ. 2021, 253, 112196. [Google Scholar] [CrossRef]
- Magney, T.S.; Barnes, M.L.; Yang, X. On the covariation of chlorophyll fluorescence and photosynthesis across scales. Geophys. Res. Lett. 2020, 47, e2020GL091098. [Google Scholar] [CrossRef]
- Wang, C.; Guan, K.Y.; Peng, B.; Chen, M.; Jiang, C.Y.; Zeng, Y.Y.; Wu, G.H.; Wang, S.; Wu, J.; Yang, X.; et al. Satellite footprint data from OCO-2 and TROPOMI reveal significant spatio-temporal and inter-vegetation type variabilities of solar-induced fluorescence yield in the US Midwest. Remote Sens. Environ. 2020, 241, 111728. [Google Scholar] [CrossRef]
Disclaimer/Publisher’s Note: The statements, opinions and data contained in all publications are solely those of the individual author(s) and contributor(s) and not of MDPI and/or the editor(s). MDPI and/or the editor(s) disclaim responsibility for any injury to people or property resulting from any ideas, methods, instructions or products referred to in the content. |
© 2024 by the authors. Licensee MDPI, Basel, Switzerland. This article is an open access article distributed under the terms and conditions of the Creative Commons Attribution (CC BY) license (https://creativecommons.org/licenses/by/4.0/).











