Exploration and Empirical Study on Spatial Distribution of SOC at the Core Area in Coastal Tamarix Forests’ Inland Side of Changyi National Marine Ecological Area
Abstract
1. Introduction
2. Materials and Methods
2.1. Research Object and the Layout of Sampling Points
2.2. Sampling and Sampling Method
2.3. Method of Differences Analysis of Each Layer
3. Results and Discussion
3.1. Comparative Analysis of the Proportion and Magnitude of Surface SOC
3.2. Analysis of the Proportion of the Surface and Subsurface SOC
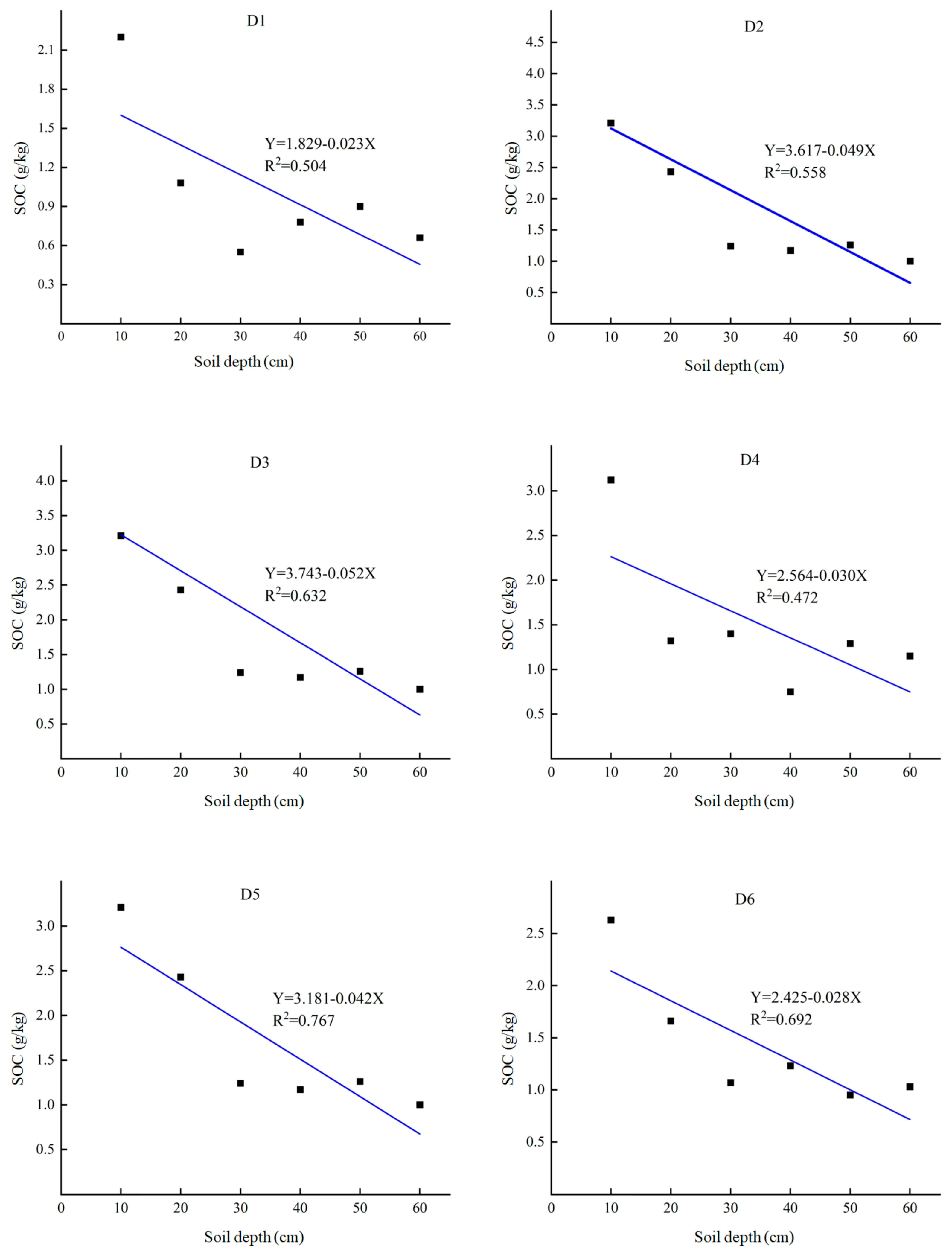
3.3. Vertical Distribution Characteristics of SOC
- (1)
- In the core area of the Tamarix forest in the coastal wetland on the southern shore of Laizhou Bay, the physical structure of the soil becomes progressively denser with increasing depth, leading to an increase in bulk density and a decrease in porosity and aeration. These changes in physical properties are unfavorable to the long-term accumulation and stable existence of SOC [36,37].
- (2)
- Changes in chemical properties may also affect the SOC content. However, a short-term reduction in root input may temporarily increase the SOC content in certain soil layers by weakening the rhizosphere priming effect. In the long run, the lack of root input will directly lead to a decrease in SOC, as it eliminates the organic matter source provided by plant roots and the promotion of soil carbon cycling by root activities [38].
3.4. Horizontal Distribution Characteristics of SOC
3.4.1. SOC Horizontal Comparison Analysis of Each Soil Layer at 0 m and 2 m
3.4.2. Analysis of the Overall Horizontal Variation Trend of SOC in Each Soil Layer from 0 m to 10 m
3.5. Limitations Discussion
4. Conclusions
Author Contributions
Funding
Data Availability Statement
Conflicts of Interest
References
- Liu, X.; Zhang, Y. Identification of key factors limiting topsoil organic carbon in China. Environ. Earth Sci. 2022, 81, 533. [Google Scholar] [CrossRef]
- Liu, H.; Sun, Z.; Cui, Y. Storage, pattern and driving factors of soil organic carbon in the desert rangelands of northern Xinjiang, north-west China. Front. Earth Sci. 2024, 18, 598–610. [Google Scholar] [CrossRef]
- Xu, S.; Song, X.; Zeng, H. Soil microbial necromass carbon in forests: A global synthesis of patterns and controlling factors. Soil Ecol. Lett. 2024, 6, 240237. [Google Scholar] [CrossRef]
- Kennedy, W.; Dieu, T.B.; Øystein, B.D. A comparative assessment of support vector regression, artificial neural networks, and random forests for predicting and mapping soil organic carbon stocks across an Afromontane landscape. Ecol. Indic. 2015, 52, 394–403. [Google Scholar]
- Zeyn, Z.; Tonggang, Z.; Yang, Y. Evaluating indices of soil organic carbon stability. A case study for forest restoration projects near Beijing, China. Ecol. Indic. 2022, 142, 109222. [Google Scholar]
- Lee, J.; Oh, Y.; Lee, S.T. Soil organic carbon is a key determinant of CH4 sink in global forest soils. Nat. Commun. 2023, 14, 3110. [Google Scholar] [CrossRef] [PubMed]
- Yang, Y.; Chen, Y.; Li, W. Distribution of soil organic carbon under different vegetation zones in the Ili River Valley, Xinjiang. J. Geogr. Sci. 2010, 20, 729–740. [Google Scholar] [CrossRef]
- Zhu, X.; Shao, M. Distribution, stock, and influencing factors of soil organic carbon in an alpine meadow in the hinterland of the Qinghai-Tibetan Plateau. J. Earth Syst. Sci. 2018, 127, 71. [Google Scholar] [CrossRef]
- Chen, G.S.; Yang, Z.J.; Gao, R. Carbon storage in a chronosequence of Chinese fir plantations in southern China. Forest Ecol. Manag. 2013, 300, 68–76. [Google Scholar] [CrossRef]
- Dawud, S.M.; Raulund-Rasmussen, K.; Domisch, T. Is Tree Species Diversity or Species Identity the More Important Driver of Soil Carbon Stocks, C/N Ratio, and pH? Ecosystems 2016, 19, 645–660. [Google Scholar] [CrossRef]
- Yan, F.; Huang, L.; Yang, R. Vertical distribution and storage of soil organic and inorganic carbon in a typical inland river basin, Northwest China. J. Arid Land 2018, 10, 183–201. [Google Scholar]
- Cai, Y.; Yue, W.; Xia, J. Leaf carbon, nitrogen and phosphorus stoichiometry of Tamarix chinensis Lour. in the Laizhou Bay coastal wetland, China. Ecol. Eng. 2015, 76, 57–65. [Google Scholar]
- Xie, L.; Wang, B.; Xin, M. Characteristics of Vegetation Carbon, Nitrogen, and C/N Ratio in a Tamarix chinensis Coastal Wetland of China. CLEAN Soil Air Water 2019, 47, 1800452. [Google Scholar] [CrossRef]
- Xie, L.; Wang, B.; Xin, M.; Wei, Q.; Wang, W.; He, X.; Wang, J.; Shi, X.; Sun, X. Impacts of coppicing on Tamarix chinensis growth and carbon stocks in coastal wetlands in northern China. Ecol. Chem. Eng. A 2020, 147, 105760. [Google Scholar] [CrossRef]
- Hou, J.F.; Li, F.; Wang, Z.H.; Li, X.Q.; Cao, R.; Yang, W.Q. Seasonal Dynamics of Sediment Organic Carbon Storage for the Upper Streams of the Yangtze River. Front. Ecol. Evol. 2023, 11, 1093448. [Google Scholar] [CrossRef]
- LY/T 1237-1999; Determination of Organic Matter in Forest Soil and Calculation Carbon-Nitrogen Ratio, Forestry Industry Standard of the People’s Republic of China. State Forestry Administration of China: Beijing, China, 1999.
- Malla, R.; Neupane, P.R. Spatial Distribution of Soil Organic Carbon in the Forests of Nepal. Land 2024, 13, 378. [Google Scholar] [CrossRef]
- Fang, Y.; Xu, H.; Han, H.Y. Study on the Improvement Effect of Tamarix chinensis Forest on Soil in Changyi National Marine Ecological Special Protection Zone. Wetl. Sci. 2023, 21, 35–43. (In Chinese) [Google Scholar]
- Bao, S.D. Soil Agrochemical Analysis, 3rd ed.; China Agriculture Press: Beijing, China, 2000; p. 27. (In Chinese) [Google Scholar]
- Kong, F.L.; Xi, M.; Li, Y. Distribution and storage of DOC in a typical annular wetland of Sanjiang Plain. Bull. Soil Water Conserv. 2013, 33, 176–179. (In Chinese) [Google Scholar]
- Du, X.; Wang, H.Y.; Zou, J.H. Distribution characteristics and influencing factors of soil organic carbon in a spruce-fir-broadleaved mixed forest on the northern slope of Changbai Mountain. Ecol. Environ. Sci. 2022, 31, 663. (In Chinese) [Google Scholar]
- Kafle, G. Vertical distribution of soil organic carbon and nitrogen in a tropical community forest of Nepal. Int. J. For. Res. 2019, 2019, 3087570. [Google Scholar] [CrossRef]
- Wang, L.Y.; Zhou, G.N.; Zhu, X.Y. Effects of litter on soil organic carbon and microbial functional diversity. Acta Ecol. Sin. 2021, 41, 2709–2718. (In Chinese) [Google Scholar]
- Chen, X.H.; Chen, Z.Z.; Lei, J.R. Content of soil organic carbon and its active fractions in surface soils of different community zones in Dongzhaigang Mangrove. Wetl. Sci. 2022, 20, 499–506. (In Chinese) [Google Scholar]
- Massaccesi, L.; De Feudis, M.; Leccese, A. Effects of altitude and vegetation on soil organic carbon, basal respiration, and microbial biomass in Apennine forest soils. Forests 2020, 11, 710. [Google Scholar] [CrossRef]
- Álvarez-Arteaga, G.; Krasilnikov, P.; García-Calderón, N.E. Vertical distribution and soil organic matter composition in a montane cloud forest, Oaxaca, Mexico. Eur. J. Forest Res. 2012, 131, 1643–1651. [Google Scholar] [CrossRef]
- Eid, E.M.; El-Bebany, A.F.; Alrumman, S.A. Soil organic carbon distribution in mangrove forests along the southern Saudi Arabian Red Sea coast. Rend. Lincei 2016, 27 (Suppl. S1), 629–637. [Google Scholar] [CrossRef]
- Nie, H.L.; Bo, H.J.; Zhang, R.Z. Vertical distribution characteristics of soil organic carbon content and density in typical forest stands of Haidian Mountain, Beijing. For. Sci. Res. 2020, 33, 155–162. (In Chinese) [Google Scholar]
- Yu, F.Z.; Zhang, Z.Q.; Chen, L.Q.; Wang, J.X.; Shen, Z.P. Spatial Distribution Characteristics of Soil Organic Carbon in Subtropical Forests of Mountain Lushan, China. Environ. Monit. Assess 2018, 190, 545. [Google Scholar] [CrossRef] [PubMed]
- Zhu, L.F.; Dai, Y.H.; Li, L.G.; Wu, Y.; Song, X.C.; Wang, H.L.; Qin, Z.; Tan, Y.B.; Deng, X.J. Soil Organic Carbon Storage and Profile Distribution Characteristics in Different Forest Types of Maoershan Nature Reserve, China. Soil Bull 2024, 55, 968–973. (In Chinese) [Google Scholar]
- Cabezas, A.; Comín, F.A. Carbon and nitrogen accretion in the topsoil of the Middle Ebro River Floodplains (NE Spain): Implications for their ecological restoration. Ecol. Eng. 2010, 36, 640–652. [Google Scholar] [CrossRef]
- Hobley, E.; Wilson, B.; Wilkie, A. Drivers of soil organic carbon storage and vertical distribution in Eastern Australia. Plant Soil 2015, 390, 111–127. [Google Scholar] [CrossRef]
- Tao, Y.H.; Huang, X.; Wang, X.P. Spatial distribution of soil carbon and nitrogen stocks in Xindao Park and Shajing mangrove forests, Guangxi, China. Prog. Fish. Sci. 2020, 41, 38–45. (In Chinese) [Google Scholar]
- Wang, S.; Huang, M.; Shao, X. Vertical distribution of soil organic carbon in China. Environ. Manag. 2004, 33, S200–S209. [Google Scholar] [CrossRef]
- Fu, P.; Zhang, J.; Yuan, Z. Estimating the Heavy Metal Contents in Entisols from a Mining Area Based on Improved Spectral Indices and Catboost. Sensors 2024, 24, 1492. (In Chinese) [Google Scholar] [CrossRef] [PubMed]
- Li, P.; Wang, Q.; Endo, T. Soil organic carbon stock is closely related to aboveground vegetation properties in cold-temperate mountainous forests. Geoderma 2010, 154, 407–415. [Google Scholar] [CrossRef]
- Zhou, H.P.; Wang, X.B.; Cao, Y.H. Study on the vertical distribution characteristics of soil organic carbon in a juniper plantation. For. Resour. Manag. 2019, 6, 108–114. (In Chinese) [Google Scholar]
- Huang, Z.J.; Xu, X.; Zhang, H.G. Research progress on the effects of root inputs on forest soil carbon pools and carbon cycling. J. Nanjing For. Univ. 2022, 46, 25. (In Chinese) [Google Scholar]










| (I) SoilLayer | (J) SoilLayer | Mean Different (I–J) | Standard Error | Significance | 95% Confidence Interval | |
|---|---|---|---|---|---|---|
| Lower Limit | Upper Limit | |||||
| 10 | 20 | 1.39667 * | 0.26674 | 0.000 | 0.5461 | 2.2472 |
| 30 | 2.19000 * | 0.26674 | 0.000 | 1.3394 | 3.0406 | |
| 40 | 2.20833 * | 0.26674 | 0.000 | 1.3578 | 3.0589 | |
| 50 | 2.13167 * | 0.26674 | 0.000 | 1.2811 | 2.9822 | |
| 60 | 2.17667 * | 0.26674 | 0.000 | 1.3261 | 3.0272 | |
Disclaimer/Publisher’s Note: The statements, opinions and data contained in all publications are solely those of the individual author(s) and contributor(s) and not of MDPI and/or the editor(s). MDPI and/or the editor(s) disclaim responsibility for any injury to people or property resulting from any ideas, methods, instructions or products referred to in the content. |
© 2025 by the authors. Licensee MDPI, Basel, Switzerland. This article is an open access article distributed under the terms and conditions of the Creative Commons Attribution (CC BY) license (https://creativecommons.org/licenses/by/4.0/).
Share and Cite
Liu, R.; Han, P.; Wang, J.; Zong, H.; Zhang, X.; Chen, Q.; Chen, F.; Du, Y.; Li, Z.; Liu, Y.; et al. Exploration and Empirical Study on Spatial Distribution of SOC at the Core Area in Coastal Tamarix Forests’ Inland Side of Changyi National Marine Ecological Area. Forests 2025, 16, 169. https://doi.org/10.3390/f16010169
Liu R, Han P, Wang J, Zong H, Zhang X, Chen Q, Chen F, Du Y, Li Z, Liu Y, et al. Exploration and Empirical Study on Spatial Distribution of SOC at the Core Area in Coastal Tamarix Forests’ Inland Side of Changyi National Marine Ecological Area. Forests. 2025; 16(1):169. https://doi.org/10.3390/f16010169
Chicago/Turabian StyleLiu, Ruiting, Ping Han, Jin Wang, Huiqian Zong, Xuewan Zhang, Qianxun Chen, Feiyong Chen, Yufeng Du, Zhao Li, Yaohui Liu, and et al. 2025. "Exploration and Empirical Study on Spatial Distribution of SOC at the Core Area in Coastal Tamarix Forests’ Inland Side of Changyi National Marine Ecological Area" Forests 16, no. 1: 169. https://doi.org/10.3390/f16010169
APA StyleLiu, R., Han, P., Wang, J., Zong, H., Zhang, X., Chen, Q., Chen, F., Du, Y., Li, Z., Liu, Y., Fu, P., Cheng, X., & Xu, J. (2025). Exploration and Empirical Study on Spatial Distribution of SOC at the Core Area in Coastal Tamarix Forests’ Inland Side of Changyi National Marine Ecological Area. Forests, 16(1), 169. https://doi.org/10.3390/f16010169

