Abstract
Eucalyptus cultivation in Brazil benefits from techniques such as mini cutting; however, adverse climatic conditions in the southern region of the country limit seedling production. This study evaluated the effects of LED lighting (blue, red, combined, and natural) and cultivation environments (greenhouse with and without heating, and conventional nursery) on the propagation of Eucalyptus dunnii. The experiment, conducted in Otacílio Costa, SC, followed a two-factor (4 × 4) design with biweekly data collection from March to September 2024. Variables analyzed included sprout productivity, rooting performance, phytosanitary status (powdery mildew incidence), physiological parameters (photosynthetic rate, stomatal conductance, transpiration), and nutritional content. The results showed that LED lighting and cultivation environments did not affect the incidence of powdery mildew. Rooting was enhanced during winter in the heated mini-tunnel system. Sprout productivity was highest in the mini tunnel (~360 sprouts/m2 under red light in winter), while heated environments led to a reduction in sprout production. Physiological variables such as photosynthetic rate and stomatal conductance were improved in the heated mini-tunnel, and transpiration responded to the interaction between light spectrum and environment. The evaluated factors did not cause significant changes in the nutritional profile of the mini stumps. It is concluded that the mini tunnel, particularly when heated during winter, enhances rooting and physiological responses, while red LED light increases sprout productivity. Supplemental LED lighting proved to be a strategic tool for overcoming seasonal limitations in Eucalyptus propagation.
1. Introduction
In Brazil, the total area dedicated to tree plantations surpassed 10 million hectares for the first time in 2023, with Eucalyptus accounting for about 76% of that area (7.8 million hectares). This represents a 41% increase over the past decade, highlighting the growing importance of this crop in Brazil’s forest economy [1].
In regions with well-defined seasons, particularly in southern Brazil, winters are characterized by lower temperatures and reduced photoperiods. In the mini-garden system, the most common propagation method for the Eucalyptus, these climatic characteristics can reduce the branching, which is one of the main indicators of the viability of propagation for a given clone [2], thus, limiting the availability of seedlings during key planting periods, such as September and October.
To cope with climatic conditions in the context of clonal propagation of forest species, different cultivation environments have been tested, among which the mini tunnel stands out [3,4,5]. The mini tunnel consists of a metal frame in a tunnel shape covered with transparent plastic, which helps to maintain a warm and humid environment around the mini stumps [6]. Although relatively recent, this technology shows potential for use in the clonal propagation of Eucalyptus, increasing the productivity of mini gardens [7].
In this context, rooting-zone heating is another option for cultivation environments. In this system, the substrate can be heated by pipes containing hot water, regulated by a thermostat [8]. In agricultural crops, rooting-zone heating can benefit morphological and physiological traits, as well as the productivity of various species [9,10,11]. For forest species, however, information is limited, although earlier references exist in the literature [8], and there is a growing recent interest in this technique from the forestry sector.
To cope with the reduced photoperiod, light supplementation is a promising alternative. A range of artificial light sources has been used for cultivated plant production, including incandescent, fluorescent, and high-intensity discharge lamps [12]. Nevertheless, light-emitting diodes (LEDs) currently represent the most advanced, energy-efficient, and environmentally friendly technology for supplementing light in plant cultivation [13]. For Eucalyptus species, LED light supplementation can increase the mini cuttings’ production during winter, as well as elongate shoots and enhance leaf canopy coverage [14].
Given this, although the individual potential of different cultivation environments and LED light supplementation is reasonably well established in the literature, the combined benefits of these factors for E. dunnii remain unexplored. Therefore, the present study aimed to evaluate the effect of artificial light supplementation, provided by different types of LED lamps, in various clonal mini-garden cultivation environments on the propagation of E. dunnii.
2. Materials and Methods
2.1. Plant Material
The experiment was conducted at the research nursery of a forestry company located in Otacílio Costa, Santa Catarina, Brazil. This region belongs to the Southern Plateau and has a humid subtropical climate (Cfb, Köppen classification), characterized by well-distributed rainfall throughout the year and a high incidence of cloudy days, especially during autumn and winter. Between March and September 2024—corresponding to the local autumn and winter seasons—minimum and maximum temperatures averaged 2.1 °C and 29.3 °C, respectively. Average relative humidity was 91.1%, and average solar radiation was 90,110.5 Wh/m2, according to the company’s weather station.
To mitigate the impact of adverse environmental conditions, mini-tunnel structures covered with transparent plastic were installed inside greenhouses, where average internal temperatures reached 22.4 °C and light intensity measured 4,273.21 lux, as recorded every 10 min using thermo-hygrometers (Datalogger Hobo®, Onset, Lages, SC, Brasil) Onset—Lages/SC—Brasil (Figure 1).
Figure 1.
Average temperatures (°C) recorded inside the greenhouses, as measured by dataloggers, from September 2023 to August 2024.
The Eucalyptus dunnii mini stumps were established in channel-type clonal mini gardens, following the standard protocol adopted by the company. Four mini gardens were set up inside two polyethylene-covered greenhouses, using sand as the substrate. All mini gardens were equipped with drip irrigation and fertigation systems calibrated for the subtropical Eucalyptus species. The clone used in the experiment is one of the company’s commercial clones, and each treatment consisted of 84 mini stumps arranged in a 6400 cm2 area, spaced at 10 × 10 cm intervals.
2.2. Experimental Treatments
Four cultivation environments with distinct characteristics were evaluated (Table 1). These included traditional open beds, mini tunnels, sand beds with heating, and mini tunnels with heating. In environments equipped with sand bed heating, the system was automatically activated whenever the temperature dropped below 15 °C.
Table 1.
Characteristics of the cultivation environments and specifications of the LED lamps used in the clonal mini-garden experiment with Eucalyptus dunnii.
In parallel, artificial light supplementation was tested using LED lamps with different spectral compositions: red, blue, and a red/blue combination, along with a control treatment under natural light. The technical specifications of the lamps used are provided in Table 1. All cultivation environments were equipped with LED lighting systems managed by automated timers to maintain a 16-h photoperiod (from 6:00 a.m. to 10:00 p.m.).
The experiment followed a randomized block design in a 4 × 4 bifactorial arrangement, where factor A corresponded to light treatments and factor B to cultivation environments. Each block consisted of four treatments, with 84 mini stumps per treatment arranged in channel-type beds. The spatial distribution of treatments within the experimental layout is illustrated in Figure 2.
Figure 2.
Schematic representation of the channel-type beds distributed among blocks and their respective treatments.
2.3. Phenotypic, Physiological, and Nutritional Evaluation
2.3.1. Sprout Productivity
Data collection began in March and continued biweekly through September 2024. During colder periods with reduced sprouting, the interval between collections was extended. For each treatment, the number of sprouts with potential for mini-cutting production was counted and expressed per square meter.
2.3.2. Rooting Performance
Rooting was assessed using 27 mini cuttings per plot. The cuttings, ranging from 8 to 10 cm in length and containing the apical portion, were pruned with sanitized shears (70% alcohol and water between groups), and retained one or two leaf pairs, which were reduced by 50%. The mini cuttings were transplanted into paperpot tubes (~50 cm3) filled with a substrate of peat, vermiculite, dolomitic limestone, and agricultural gypsum, enriched with 1500 kg/m3 of controlled-release fertilizer (19:6:10, 3–4 months release). Rooting was performed in a greenhouse under controlled conditions (RH > 80%, temperature ~25 °C) for 30 days. Rooting success was recorded by counting propagules with visible roots at the base of the container.
2.3.3. Phytosanitary Status
Throughout the experiment, mini stumps were visually inspected for phytopathological symptoms. Powdery mildew (Oidium eucalyptus) was detected early on, leading to the implementation of a standardized evaluation of disease severity using the visual scale provided by the company (Figure 3). During low-incidence periods, control was achieved using water. During higher incidence periods, chemical control was applied using microbiological fungicides, systemic products, and resistance inducers, following the nursery’s pre-established protocols.
Figure 3.
Visual scale of severity of Oidium eucalyptus infection (%) and corresponding scores on leaves of Eucalyptus dunnii mini stumps. Source: [15].
2.3.4. Physiological Parameters
Physiological measurements were performed once per season using a portable photosynthesis meter (LI-6400XT, LI-COR Biosciences, Lincoln, NE, USA) with five replicates per treatment. The evaluated variables included net assimilation rate (A), stomatal conductance (gs), transpiration rate (E), intercellular to atmospheric CO2 concentration ratio (Ci/Ca), and water-use efficiency (WUE). Photosynthetically active radiation (PAR) was set at 800 µmol photons m−2 s−1, based on the light saturation curve for Eucalyptus species Navroski [16]. PAR was supplied by an artificial source (LI-6400-40, LI-COR Biosciences, Lincoln, NE, USA), with 10% blue light. Atmospheric CO2 during measurements ranged from 390 to 400 µmol mol−1.
2.3.5. Nutritional Composition
Nutritional analyses were conducted at the end of the experiment according to the methodologies described in the EMBRAPA [17] manual “Análises Bromatológicas de Alimentos: Métodos Físicos, Químicos e Bromatológicos”. The evaluated nutrients included crude protein (CP), total nitrogen (N), phosphorus (P), potassium (K), calcium (Ca), sulfur (S), magnesium (Mg), iron (Fe), manganese (Mn), copper (Cu), zinc (Zn), and boron (B). Except for nitrogen, determined via sulfuric digestion, all other elements were quantified following nitric-perchloric digestion.
2.4. Statistical Analyses
The data were subjected to residual normality (Shapiro–Wilk) and homogeneity of variances (Bartlett) tests. When these assumptions were not met, common data transformations (x2, x0.5, log(x), x−0.5 or x−1) were applied. Once assumptions were met, analysis of variance (ANOVA) was performed, and in cases where isolated effects or interactions between factors were detected, averages were compared using Tukey’s test. The significance level adopted for all tests and analyses was 5% (α = 0.05). All procedures were carried out using RStudio 4.3.2—“Eye Holes”.
3. Results
The study demonstrated that the cultivation environment directly influences sprout productivity, with better results observed in the mini-tunnel and traditional environments, while heating—especially when combined with the mini tunnel—reduced performance. In terms of rooting, only the heated mini tunnel showed an advantage during winter. Powdery mildew severity was lower in the mini tunnel.
Physiologically, the heated mini tunnel favored CO2 assimilation, stomatal conductance, and transpiration, particularly under blue and red light. Nutritionally, heated environments increased crude protein content, with the traditional system standing out for certain macronutrients and blue light enhancing the majority of nutrient levels.
3.1. Sprout Productivity
No significant interaction was observed between the factors during the autumn and winter seasons. Only the cultivation environment factor resulted in significant differences in both seasons. In autumn (Figure 4A), the mini-tunnel environment recorded the highest number of sprouts, with values close to 170 sprouts/m2 under blue light. The traditional environment showed slightly lower productivity compared to the mini tunnel, with average values around 130 sprouts/m2, differing statistically from the other treatments. The heated and the combination of heated and mini-tunnel environments showed a significant reduction in sprout productivity, with average values below 100 sprouts/m2, with no statistical differences between them.
Figure 4.
Sprout productivity per square meter in Eucalyptus dunnii mini stumps as a function of LED light type and cultivation environment during autumn (A) and winter (B). * Environments with the same uppercase letter do not differ among the others according to Tukey’s test at 5% error.
In winter (Figure 4B), the traditional and mini-tunnel environments presented the highest sprout densities, with no significant differences between them. The mini-tunnel treatment achieved the highest productivity, with approximately 360 sprouts/m2 under red light. The heated environment showed intermediate productivity, with around 100 sprouts/m2, while the combination of mini tunnel and heating resulted in the lowest sprout density, ranging between 70 and 80 sprout/m2.
3.2. Rooting of Mini Cuttings
No significant interaction between factors was observed in either of the seasons analyzed. During autumn (Figure 5A), the isolated factors (LEDs and cultivation environments) did not show statistically significant differences, with an average rooting rate of 50%.
Figure 5.
Rooting percentage of Eucalyptus dunnii mini cuttings in relation to LED light and cultivation environment factors during autumn (A) and winter (B). * Environments with the same uppercase letter do not differ among the others according to Tukey’s test at 5% error; ns: non-significative.
In winter (Figure 5B), the cultivation environments differed significantly from each other. The mini-tunnel environment combined with heating resulted in the highest rooting percentage, with an average above 40%, showing a statistically significant difference compared to the other treatments. In contrast, the other environments presented lower rooting percentages, with an overall average slightly above 20%, without statistically significant differences among them (p > 0.05).
3.3. Phytosanitary Variable
The data show variation in the intensity of disease severity across each cultivation environment throughout the sampling period, considering both seasons analyzed (Figure 6). In general, the highest severity was observed during autumn, reaching level 6 on the assessment scale (Figure 6) in all systems except the mini tunnel. This environment presented the lowest average levels of infection, with a maximum rating of 4 during periods of highest incidence.
Figure 6.
Severity level of Oidium eucalyptus infection in Eucalyptus dunnii mini stumps over the months of evaluation in relation to the cultivation environments.
In addition to this, approximately 15 days before the peak in severity, the environments with heating and the mini tunnel combined with heating recorded the lowest severity levels compared to the other treatments. However, no interaction was identified between the LED light supplementation and cultivation environment factors, nor was any significant effect observed for these factors individually.
3.4. Physiologic and Nutritional Variables
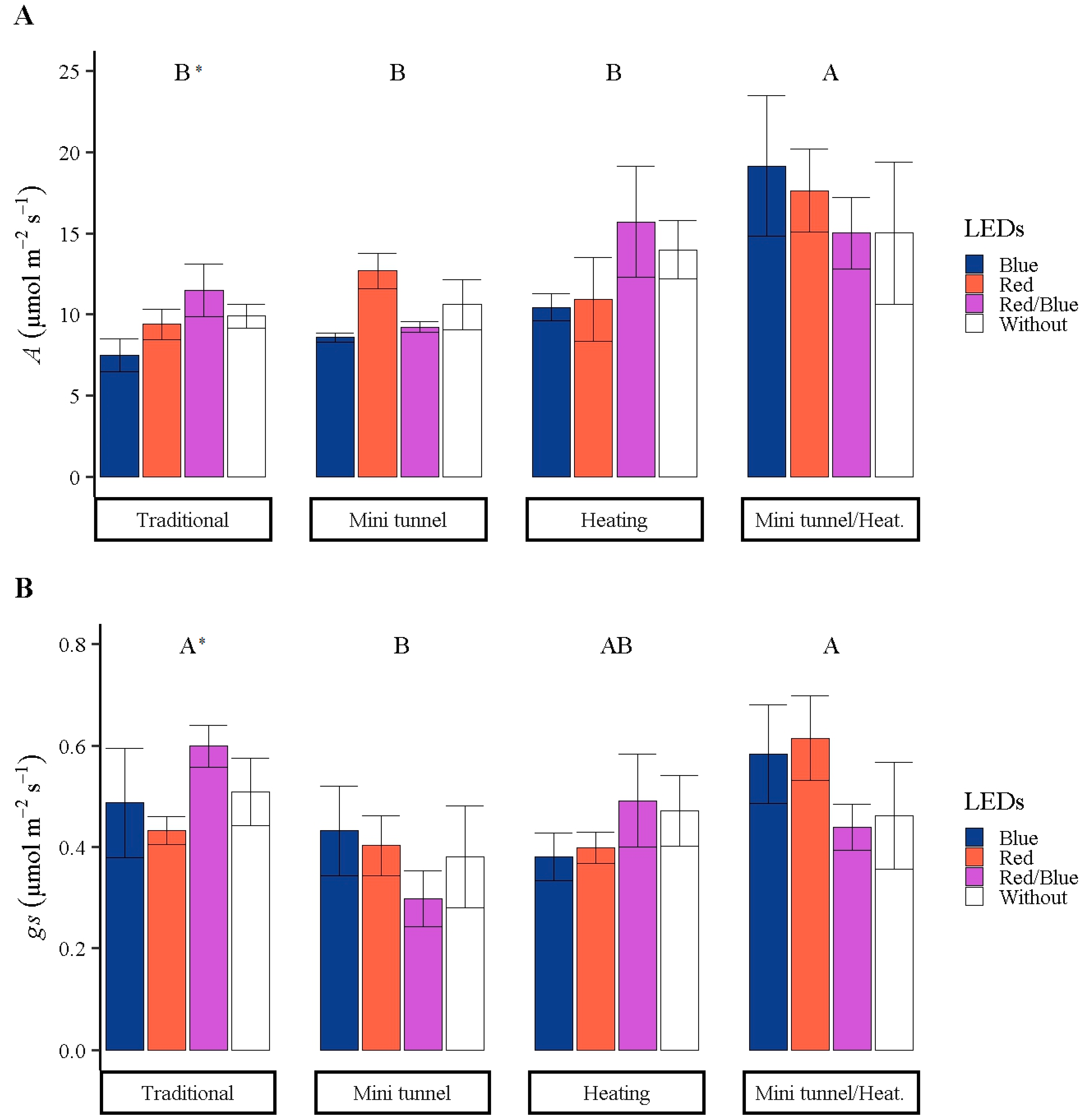
For the physiological variables, a significant interaction was observed only for transpiration. Among all the evaluated variables, only the assimilation rate and stomatal conductance presented differences in relation to the cultivation environments when analyzed separately. It is worth noting that the seasons were not evaluated separately for these variables.
For the assimilation rate variable (Figure 7A), the treatment that combined mini-tunnel and heating showed higher values, with an average of 16.71 µmol CO2 m−2 s−1, differing statistically from the other systems, which were statistically similar to each other, with an average of 10.87 µmol CO2 m−2 s−1.

Figure 7.
Average assimilation rate (A), stomatal conductance (B), and transpiration rate (C) from four evaluations conducted throughout the year in Eucalyptus dunnii mini stumps, as a function of LED light supplementation and cultivation environments. * Environments with the same uppercase letter (environments) and lowercase letters (lights) do not differ among the others according to Tukey’s test at 5% error; ns: non-significative.
Corroborating the assimilation rate variable, the highest values of stomatal conductance were observed in the mini tunnel combined with the heating environment (0.52 µmol H2O m−2 s−1). However, this environment did not differ statistically from the traditional and heating environments (0.50 and 0.43 µmol H2O m−2 s−1, respectively) (Figure 7B). For transpiration (Figure 7C), a significant interaction was observed only within the same factor, that is, for the same light across different environments. However, no interaction was found between different types of light within the same system.
It was found that, under blue light, the mini tunnel and mini tunnel combined with heating environments presented the highest transpiration values, 4.76 and 5.17, respectively, although not statistically different from the heating environment (4.33). Under red light, the same systems also achieved the best results (average value 5.25). For red/blue light, the heating environment presented the highest values (5.42), but without statistical difference compared to the traditional system and the mini tunnel combined with heating. White light did not show significant differences among the environments, with an average transpiration of 4.37.
For the nutritional variables, the results indicate that the heated environments exhibited the highest crude protein values (Supplementary Table S1). The highest average levels of macronutrients such as P, Ca, S, and Mg were observed in the traditional system, with averages of 2.6 g/kg, 9.9 g/kg, 2.10 g/kg, and 3.11 g/kg, respectively. On the other hand, the highest average values of K (15.9 g/kg) and total N (33.2 g/kg) were found in the mini-tunnel system combined with heating.
Regarding micronutrients, the distribution of the highest contents among the cultivation systems presented greater variation. The mini-tunnel recorded the highest average levels of Fe (183.0 mg/kg) and Mn (840.5 mg/kg), while the mini-tunnel combined with heating showed the highest averages for Cu (8.19 mg/kg). On the other hand, the traditional system stood out with the highest average levels of Zn (33.5 mg/kg) and B (115.2 mg/kg).
Regarding the light sources, blue LED light stood out by presenting the highest average contents for most of the evaluated macro and micronutrients: P (2.64 g/kg), K (16.32 g/kg), Ca (9.26 g/kg), S (2.13 g/kg), Mg (2.69 g/kg), Fe (168.0 mg/kg), Mn (744.4 mg/kg), and B (139.4 mg/kg). The highest values of crude protein (19.82%), total N (31.7 g/kg), and Zn (32.0 mg/kg) were observed under red/blue LED light. Finally, treatments under natural light showed the highest values of Cu (8.06 mg/kg).
4. Discussion
The mini-tunnel environment was, overall, the cultivation condition that showed the best performance in terms of sprout productivity (sprouts/m2) during both seasons studied. This result is consistent with Oliveira [18], in which the use of the mini tunnel in the clonal nursery of eucalyptus increased temperature and CO2 concentration in the plots, resulting in a higher production of cuttings per mini stump compared to those not grown under the mini tunnel, with this increase being more pronounced during the warmer months. In addition to preventing CO2 dissipation, the mini tunnel allows greater control of internal temperature and maintains relative air humidity at higher levels. The effects of mini-tunnel use were studied on Corymbia and Eucalyptus species throughout the seasons and it was found that the environmental changes in mini-tunnels minimize stress on the stock plant and promote higher photosynthetic rates due to the higher concentrations of chlorophyll A and B [4].
It is noteworthy that the mini tunnel and traditional systems, which showed the best results compared to the others, also had higher sprout production during winter.
The productivity of the mini stumps stands out as a key deciding factor for the success of mini cuttings. The productivity of the mini stumps is influenced by variables such as the type of clonal mini garden, the nutritional management used, and seasonality [19]. According to Lima [4], the higher productivity of mini cuttings during the winter, especially in channels covered with mini tunnels, may be related to temperature fluctuations near the shoot apex of the mini stumps.
Another relevant aspect to highlight is the low sprout productivity observed in the systems with heated sand beds. This result differs from the findings of Cunha [20], who reported a positive effect of increased temperature in the cultivation bed on the production of mini cuttings, regardless of the type of clonal mini garden (sand bed or tube-based). Hartmann et al. [8] mention that an increase in temperature, up to a certain threshold, favors the process of cell division, stimulating sprouting and root formation. Therefore, it was expected that heating would contribute to increased sprout production. However, it is believed that, under the conditions of this study, the heating of the sand bed may not have been sufficient to create a favorable environment for sprout development, or that other factors, such as water balance, nutrient availability, or localized thermal stress, may have negatively influenced this process.
Regarding the effect of LED light supplementation on the production of mini cuttings, the results indicated that the lights did not significantly influence sprout production. However, previous studies, such as that by Konzen et al. [21], observed that supplementation with red/far-red light had a significant positive effect on the production of mini cuttings. The number of sprouts per square meter (NS m−2) varied throughout the months, depending on the different light treatments and clones evaluated. These results highlight the potential for optimizing clonal propagation techniques in eucalyptus cultivation.
In this context, future studies may explore LED light supplementation using specific spectra in order to investigate potential effects on sprout induction and development. Given that, LEDs have been widely used in the research, production, and cultivation of economic crops such as wasabi (Wasabia japonica L.)21 [22], tomato (Solanum lycopersicum L.) [23], strawberry (Fragaria × ananassa Duch.) [24], and grape (Vitis vinifera L.) [25]; however, research on their application in forestry is rarely reported.
The rooting of mini cuttings is directly influenced by environmental conditions. Therefore, the season in which the vegetative material is collected is a key factor for the success of cloning [8]. In this study, the evaluated seasons were characterized by lower temperatures and reduced photoperiods, which resulted in rooting percentages of around 48% in autumn and less than 30% in winter. These results contrast with those found by Brondani et al. [26], who reported rooting rates ranging from 20% to 39% in autumn and from 34% to 56% in winter for different E. dunnii clones. These findings reinforce that, in addition to environmental conditions, the genetic material might exert a strong influence on the rooting process of mini cuttings.
In the literature, there are studies demonstrating the influence of LED lighting on plant rooting. For example, Rocha et al. [27] observed that red light stimulated adventitious rooting in raspberry. On the other hand, in Morinda citrifolia L. [28], the combination of red and blue lights did not favor the induction of adventitious roots. Similarly, the use of different LED lights did not influence the rooting of mini cuttings of E. benthamii and E. dunnii [13]. It is worth noting, however, that in those studies, artificial light supplementation was applied during the rooting process, whereas in the present study, lights were applied during sprout production, which may have influenced the observed results, in which no significant differences were found among the different lights tested.
However, studies evaluating plant morphology and physiology demonstrated differences in responses according to the light. According to Ou Yang et al. [29], red light promotes, whereas blue and far-red light inhibit Norway spruce (Picea abies (L.) H. Karst) growth, which are accompanied by corresponding changes in photosynthetic physiology and gene expression regulation. Nevertheless, to Wang et al. [30], far-red light was particularly effective in promoting height increase, while blue light had a mixed effect, enhancing leaf growth but inhibiting root growth of Quercus variabilis.
Artificial lighting is essential in some tree seedling cultivation processes. Unpredictable weather and the need for diverse stock types for different planting periods have increased the demand for year-round pre-cultivation systems. These systems involve growing transplant seedlings in mini containers in indoor facilities. Consequently, light conditions must be adjusted to meet the specific needs of the seedlings and ensure optimal growth [31].
Regarding the cultivation environments, the mini tunnel combined with heating presented the best rooting results during winter. This finding is consistent with Khoshnevisan et al. [32], who identified the use of plastic greenhouses as a good option to overcome issues related to mini-cutting production and rooting, as they provide a more controlled and favorable environment.
The mini tunnel ensures plant protection against low temperatures and maintains adequate humidity, while the heated sand bed raises the temperature, favoring plant physiological processes, especially under winter conditions. The emission of sprouts and root formation during the cold season are enhanced when the environment is conditioned with increased temperature, which positively influences the process of cell division [8].
According to Alfenas et al. [33], powdery mildew, caused by the fungus Oidium eucalyptus Rostrup, is one of the main diseases in clonal nurseries of Eucalyptus spp., occurring mainly in covered clonal mini gardens and greenhouses. If not controlled quickly, this disease can cause significant losses in the quality and yield of sprouts. [34]. In the present study, all systems were similarly affected throughout the evaluation period. However, the mini-tunnel system stood out, presenting a lower severity level during the most critical period. It is believed that the mini tunnel, being a more controlled environment, may offer more efficient regulation of variables such as temperature, humidity, and air circulation, which are important factors in the propagation of the fungus.
Low relative humidity and temperatures ranging between 20 and 25 °C are conditions that favor the development of powdery mildew [35]. This may partially explain why the mini-tunnel system combined with heating was less effective than the mini-tunnel system alone during the most critical period, as heating the sand bed may have intensified the ideal conditions for fungal proliferation.
Another relevant factor is related to the timing of the fungal attack, with observations indicating that the severity of the infection was lower during the winter. This phenomenon may be associated with the lower temperatures typical of the season and/or the greater effectiveness of the control method adopted by the company. The reduced intensity of the attack may also be linked to the higher productivity of mini stumps during the winter compared to autumn, considering that one of the consequences of the disease is the reduction in the number of mini cuttings produced by the mother plants in the clonal mini garden [36].
The higher assimilation rate observed in the heated mini-tunnel environment indicates that this condition favored photosynthetic activity. According to Hartmann et al. [8], environmental factors such as relative humidity, light intensity, temperature, and CO2 concentration directly influence the physiology of the mini stumps. In this context, thermal stability and the maintenance of humidity in the heated environment may have contributed to the increase in photosynthetic efficiency.
Stomatal conductance followed the same trend as CO2 assimilation, showing the highest values in the heated mini-tunnel environment. This suggests that, under these conditions, the stomata remained more open, facilitating CO2 uptake and optimizing photosynthetic efficiency. However, the absence of a statistical difference in relation to the traditional and isolated heating systems indicates that stomatal regulation remained relatively balanced among treatments. According to Flexas et al. [37], heating in protected environments can influence stomatal conductance, but its response is conditioned by the interaction with other environmental factors, such as humidity and light availability.
Transpiration was the only physiological variable that presented a significant interaction within the same factor (different environments under the same light). The highest values were observed under blue light in the mini-tunnel and heated mini-tunnel environments, which may be related to the effect of blue light on stomatal opening. Similarly, the systems with heating maintained high levels of transpiration under red and red/blue light, indicating that the combination of temperature and light spectrum can modulate water loss in plants. According to Pacheco et al. [38], stomata open in response to both blue and red light, as both stimulate the photosynthetic process in guard cells. However, Shimazaki et al. [39] report that blue light is 20 times more effective than red light in promoting stomatal opening on a quantum basis.
The absence of significant differences between the environments under white light suggests that this spectrum did not induce expressive physiological variations, maintaining transpiration at similar levels across the systems. This result may indicate that white light does not have a selective effect on stomatal regulation, unlike blue and red lights, which appear to play a more active role in the physiological responses of plants.
According to the reference values of macro and micronutrients for Eucalyptus sprouts in mini/micro clonal gardens, established by Higashi et al. [40], it was observed that, in general, the levels of N, Mg, Cu, Fe, and Zn remained within the range considered adequate in all treatments. In contrast, P and K presented concentrations below the ideal levels. Ca and B, on the other hand, were elevated in most treatments, while Mn reached high levels in the traditional and mini-tunnel systems, remaining within the adequate range in the other treatments. S varied between adequate and low, depending on the system or light source.
Unlike the results of the present study, where no influence of light sources on the nutritional status of the mini stumps was observed, some studies report the effect of artificial lighting on the nutritional profile of plants. Konzen et al. [21] observed that, although the variation among the LED lamps used was small, red/far-red LED light, as well as the combination of red and blue light, showed a slight superiority in the levels of K, Ca, Mg, and Mn in mini cuttings of E. dunnii and E. benthamii. Similarly, Schroeter-Zakrzewska and Kleiber [41] demonstrated that light color and intensity influence the nutritional composition of Michaelmas daisy leaves, significantly affecting the absorption of N, Na, Fe, and Mn, while the type of light source impacts the levels of Ca, Na, and Fe in the aerial parts of the plants.
In the literature, there are limited studies evaluating the influence of cultivation systems directly on nutrient absorption, which hinders the discussion regarding the impact of these environments on the nutritional profile of plants. Further research is needed to understand how different cultivation environments, with variations in their infrastructure and conditions, can affect nutrient uptake and the development of mini stumps.
In general, there were no major variations in the nutritional levels among the tested treatments, suggesting that neither the cultivation systems nor the light sources directly influenced the nutritional profile of the mini stumps. Most nutrient levels remained within the reference ranges [40], with no significant differences between treatments. Furthermore, apart from powdery mildew symptoms, no other visible signs of nutritional deficiencies or imbalances were observed in the mini stumps.
5. Conclusions
In general, supplementation with LED lights did not have a significant impact on the variables analyzed. However, the cultivation environments significantly influenced the results. The mini tunnel was the most efficient in shoot productivity, especially in winter under red light. Heating, both alone and combined with the mini-tunnel, reduced shoot density.
The rooting efficiency of Eucalyptus dunnii mini-cuttings was optimized in the mini-tunnel with heated sand beds, proving to be a suitable alternative during periods of low temperatures. The mini tunnel with heating also increased assimilation rate and stomatal conductance. Transpiration varied depending on the environment and light spectrum, with higher values observed under blue and red light in the heated mini tunnel.
Disease severity varied between environments and over time, being highest in autumn, with the mini tunnel showing the lowest infection indexes. There were no significant changes in the nutritional profile of Eucalyptus dunnii mini cuttings due to the different cultivation environments and LED light sources used.
Further research is recommended to deepen understanding and improve clonal propagation strategies for the species under adverse climatic conditions, including the exploration of different LED light spectra and characteristics.
Supplementary Materials
The following supporting information can be downloaded at: https://www.mdpi.com/article/10.3390/f16060901/s1, Figure S1: Visual demonstration of treatments, T1: natural light (control); T2: Blue LED, T3: Blue/Red LED; T4: Red LED; Table S1: Nutrient contents in Eucalyptus dunnii mini-stumps under LED light supplementation in different cultivation environments.
Author Contributions
Conceptualization, T.S. and M.C.N.; methodology, T.S., A.C.S.S. and M.C.N.; software, T.S., A.C.S.S., D.P.d.S.F. and M.C.N.; validation, T.S., A.C.S.S. and M.C.N.; formal analysis, M.C.N., L.M. and R.A.E.; investigation, T.S., A.C.S.S. and M.C.N.; resources, T.S., A.C.S.S., D.P.d.S.F., V.M.d.S., M.C.N., M.d.O.P., B.N., C.M., R.S.d.A., R.A.E. and L.M.; data curation, T.S., L.M., A.C.S.S. and D.P.d.S.F.; writing—original draft preparation, T.S., M.C.N. and A.C.S.S.; writing—review and editing, T.S., M.C.N. and A.C.S.S.; visualization, T.S. and M.C.N.; supervision, M.C.N., M.d.O.P., L.M. and A.C.S.S.; project administration, T.S., M.C.N. and L.M.; funding acquisition, M.C.N., L.M. and R.A.E. All authors have read and agreed to the published version of the manuscript.
Funding
This research was funded by the Santa Catarina State University (UDESC, Brazil) and the Santa Catarina Research and Innovation Support Foundation (FAPESC, Brazil) Nº 2023TR000369.
Data Availability Statement
The data presented in this study are available on request from the corresponding author.
Acknowledgments
Coordenação de Aperfeiçoamento de Pessoal de Nível Superior (Capes), for the scholarship granted.
Conflicts of Interest
Authors Regiane Abjaud Estopa and Leticia Miranda were employed by the company Forest Company, Klabin SA. The remaining authors declare that the research was conducted in the absence of any commercial or financial relationships that could be construed as a potential conflict of interest.
References
- Indústria Brasileira de Árvores. Anuário Estatístico do IBÁ; Ano-Base 2023; Associação Brasileira de Árvores: São Paulo, Brazil, 2023; p. 88. Available online: https://iba.org/datafiles/publicacoes/relatorios/relatorio2024.pdf (accessed on 18 January 2025).
- Vilasboa, J.; Da Costa, C.T.; Fett-Neto, A.G. Environmental modulation of mini-clonal gardens for cutting production and propagation of hard- and easy-to-root Eucalyptus spp. Plants 2022, 11, 3281. [Google Scholar] [CrossRef] [PubMed]
- Canguçu, V.d.S.; Titon, M.; Silva, L.F.M.; Pena, C.A.A.; Júnior, S.L.d.A.; dos Santos, P.H.R.; de Oliveira, M.L.R. Mini-tunnel models influence the productivity of eucalyptus mini-stumps? Bosque 2022, 43, 211–219. [Google Scholar] [CrossRef]
- de Lima, M.S.; Araujo, M.M.; Berghetti, Á.L.P.; Aimi, S.C.; Costella, C.; Griebeler, A.M.; Somavilla, L.M.; dos Santos, O.P.; dos Reis Teixeira Valente, B.M. Mini-cutting technique application in Corymbia and Eucalyptus: Effects of mini-tunnel use across seasons of the year. New For. 2022, 53, 161–179. [Google Scholar] [CrossRef]
- Navroski, M.C.; Schicora, L.; Pereira, M.d.O.; Silva, J.J.d.N.; Duarte, L.F.C.; Schilisting, T. Influence of shadowing in Sequoia sempervirens (D. Don) Endl. mini-stumps and mini-cuttings. Rev. Ceres 2022, 69, 443–448. [Google Scholar] [CrossRef]
- Assis, T.F. Hybrids and mini-cutting: A powerful combination that has revolutionized the Eucalyptus clonal forestry. In BMC Proceedings; BioMed Central: London, UK, 2011; Volume 5. [Google Scholar]
- Rocha, F.M.; Maravilha, L.F.; Titon, M.; De-Oliveira-Fernandes, S.J.; Mendonça-Machado, E.L.; De-Souza-Martins, N. Productivity of mini-cuttings of a hybrid clone of Eucalyptus urophylla x Eucalyptus pellita as a function of exposure time of mini-stumps to mini-tunnel. Bosque 2023, 44, 595–603. [Google Scholar] [CrossRef]
- Hartmann, H.T.; Kester, D.E. Plant Propagation Principles and Practices, 1st ed.; Pearson Education Limited: London, UK, 2014; 927p. [Google Scholar]
- Jo, W.J.; Shin, J.H. Effect of root-zone heating using positive temperature coefficient film on growth and quality of strawberry (Fragaria x ananassa) in greenhouses. Hortic. Environ. Biotechnol. 2022, 63, 89–100. [Google Scholar] [CrossRef]
- Bi, X.; Wang, X.; Zhang, X. Effects of different root zone heating methods on the growth and photosynthetic characteristics of cucumber. Horticulturae 2022, 8, 1137. [Google Scholar] [CrossRef]
- Shin, J.; Lee, B.; Cui, M.; Lee, H.; Myung, J.; Na, H.; Chun, C. Effects of supplemental root-zone pipe heating systems on the growth and development of strawberry plants in a greenhouse during the winter season. N. Z. J. Crop Hortic. Sci. 2023. [Google Scholar] [CrossRef]
- Nhut, D.T.; Nam, N.B. Light-emitting diodes (LEDs): An artificial lighting source for biological studies. In The Third International Conference on the Development of Biomedical Engineering in Vietnam; Springer: Berlin/Heidelberg, Germany, 2010; pp. 134–139. [Google Scholar]
- Ramesh, T.; Hariram, U.; Srimagal, A.; Sahu, J.K. Applications of light emitting diodes and their mechanism for food preservation. J. Food Saf. 2023, 43, e13040. [Google Scholar] [CrossRef]
- Konzen, E.R.; Saudade de Aguiar, N.; Navroski, M.C.; Mota, C.S.; Miranda, L.; Estopa, R.A.; Tonett, E.L.; Pereira, M.D.O. Artificial light improves productivity of mini-cuttings in a clonal minigarden of E. benthamii and E. dunnii. South. For. J. For. Sci. 2022, 83, 310–320. [Google Scholar] [CrossRef]
- Ruiz, A.M.M. Escala diagramática para avaliação da severidade de oídio em eucalipto. Ciência Florest. 2021, 31, 1535–1546. [Google Scholar] [CrossRef]
- Navroski, M.C.; Pereira, M.d.O.; Konzen, E.R.; Miranda, L.; Estopa, R.A.; Mota, C.S. Photosynthetic light response curves in Eucalyptus benthamii and Eucalyptus dunnii clones. Aust. J. Crop Sci. 2022, 16, 949–954. [Google Scholar] [CrossRef]
- Rodrigues, R.C. Métodos de Análises Bromatológicas de Alimentos: Métodos Físicos, Químicos e Bromatológicos. 2010. Available online: https://www.infoteca.cnptia.embrapa.br/handle/doc/884390 (accessed on 30 January 2025).
- Oliveira, A.S. Propagação Clonal de Eucalipto em Ambiente Protegido por Estufins: Produção, Ecofisiologia e Modelagem do Crescimento das Miniestacas. Ph.D. Thesis, Universidade Federal de Viçosa, Viçosa, Brazil, 2016. [Google Scholar]
- Pimentel, N.; Lencina, K.H.; Kielse, P.; Rodrigues, M.B.; Somavilla, T.M.; Bisognin, D.A. Produtividade de minicepas e enraizamento de miniestacas de clones de erva-mate (Ilex paraguariensis A. St.-Hil.). Cienc. Florest. 2019, 29, 559–570. [Google Scholar] [CrossRef]
- Cunha, A.C.M.C.M.; Paiva, H.N.; Leite, H.G.; Barros, N.F.; Leite, F.P. Relações entre variáveis climáticas com produção e enraizamento de miniestacas de eucalipto. Rev. Árvore 2009, 33, 195–203. [Google Scholar] [CrossRef]
- Konzen, E.R.; Navroski, M.C.; Pereira, M.O.; Nascimento, B.; Meneguzzi, A.; E Souza, P.F. Genetic variation for growth variables of Eucalyptus benthamii Maiden & Cambage and E. smithii R. T. Baker provenances in Southern Brazil. Cerne 2017, 23, 359–366. [Google Scholar]
- Kim, H.R.; You, Y.H. Effects of Red, Blue, White, and Far-red LED Source on Growth Responses of Wasabia japonica Seedlings in Plant Factory. Hortic. Sci. Technol. 2013, 31, 415–422. [Google Scholar]
- Fanwoua, J.; Vercambre, G.; Buck-Sorlin, G.; Dieleman, J.A.; de Visser, P.; Génard, M. Supplemental LED lighting affects the dynamics of tomato fruit growth and composition. Sci. Hortic. 2019, 256, 108571. [Google Scholar] [CrossRef]
- Choi, H.G.; Moon, B.Y.; Kang, N.J. Effects of LED light on the production of strawberry during cultivation in a plastic greenhouse and in a growth chamber. Sci. Hortic. 2015, 189, 22–31. [Google Scholar] [CrossRef]
- Li, C.X.; Chang, S.X.; Khalil Ur Rehman, M.; Xu, Z.G.; Tao, J.M. Effect of irradiating the leaf abaxial surface with supplemental light-emitting diode lights on grape photosynthesis. Aust. J. Grape Wine Res. 2017, 23, 58–65. [Google Scholar] [CrossRef]
- Brondani, G.E.; Wendling, I.; Grossi, F.; Dutra, L.F.; Araujo, M.A. Miniestaquia de Eucalyptus benthamii × Eucalyptus dunnii: Sobrevivência de minicepas e produção de miniestacas em função das coletas e estações do ano. Ciênc. Florest. 2010, 22, 11–21. [Google Scholar] [CrossRef]
- Rocha, P.S.G.; Oliveira, R.P.; Scivittaro, W.B. Uso de LEDs na multiplicação e enraizamento in vitro de framboeseiras. Pesqui. Agropecu. Gaúch. 2013, 19, 95–101. [Google Scholar]
- Baque, M.A.; Hahn, E.J.; Paek, K.Y. Induction mechanism of adventitious root from leaf explants of Morinda citrifolia as 673 affected by auxin and light quality. In Vitro Cell. Dev. Biol. Plant 2010, 46, 71–80. [Google Scholar] [CrossRef]
- Ou Yang, F.; Ou, Y.; Zhu, T.; Ma, J.; An, S.; Zhao, J.; Wang, J.; Kong, L.; Zhang, H.; Tigabu, M. Growth and Physiological 625 Responses of Norway Spruce (Picea abies (L.) H. Karst) Supplemented with Monochromatic Red, Blue and Far-Red 626 Light. Forests 2021, 12, 164. [Google Scholar] [CrossRef]
- Wang, Z.; Luo, H.; Liu, B.; Song, S.; Zhang, X.; Song, Y.; Liu, B. Response of Morphological Plasticity of Quercus variabilis Seedlings to Different Light Quality. Forests 2024, 15, 2153. [Google Scholar] [CrossRef]
- Riikonen, J. Applications of Different Light Spectra in Growing Forest Tree Seedlings. Forests 2021, 12, 1194. [Google Scholar] [CrossRef]
- Khoshnevisan, B.; Rafiee, S.; Mousazadeh, H. Environmental impact assessment of open field and greenhouse strawberry production. Eur. J. Agron. 2013, 50, 29–37. [Google Scholar] [CrossRef]
- Alfenas, A.C.; Zauza, E.A.V.; Mafia, R.G.; Assis, T.F. Clonagem e Doenças do Eucalipto; Editora UFV: Viçosa, Brazil, 2009; Volume 2. [Google Scholar]
- Zauza, E.A.V.; Santos, Á.F.; Alfenas, A.C.; Barros, N.F.; Maia, M.L. Doenças em viveiros e em plantios de eucalipto. In Eucalyptus: Doenças e Pragas, 1st ed.; Alfenas, A.C., Ed.; UFV: Viçosa, Brazil, 2010; pp. 125–196. [Google Scholar]
- Martins, M.V.V.; Lima, J.S. Flutuação do Inóculo Nas Epidemias de Oídio do Cajueiro-Anão. Boletim de Pesquisa e Desenvolvimento. n. 256, 2025. Available online: https://www.infoteca.cnptia.embrapa.br/infoteca/handle/doc/1172444 (accessed on 22 January 2025).
- Krugner, T.L.; Auer, C.G. Doenças dos eucaliptos. In Manual de Fitopatologia: Doenças das Plantas 681 Cultivadas, 4th ed.; Kimati, H., Ed.; Agronômica CERES: São Paulo, Brazil, 2005; pp. 319–332. [Google Scholar]
- Flexas, J.; Carriquí, M. Photosynthesis and photosynthetic efficiencies along the terrestrial plant’s phylogeny: Lessons for improving crop photosynthesis. Plant J. 2019, 101, 964–978. [Google Scholar] [CrossRef]
- Pacheco, F.; Lazzarini, L.; Alvarenga, I. Metabolismo relacionado com a fisiologia dos estômatos. Enciclopédia Biosf. 2021, 18, 186–206. [Google Scholar] [CrossRef]
- Shimazaki, K.I.; Doi, M.; Assman, S.M.; Kinoshita, T. Ligth regulations of stomatal movement. Annu. Rev. Plant Biol. 2007, 58, 219–247. [Google Scholar] [CrossRef]
- Higashi, E.N.; Silveira, R.L.V.A.; Gonçalves, A.N. Monitoramento nutricional e fertilização em macro, mini microjardim clonal de Eucalyptus. In Nutrição e Fertilização Florestal; Gonçalves, J.L.M., Benedetti, V., Eds.; Ipef: Piracicaba, Brazil, 2000; pp. 191–217. [Google Scholar]
- Schroeter-Zakrzewska, A.; Kleiber, T. The effect of light colour and type of lamps on rooting and nutrient status in cuttings of Michaelmas daisy. Bulg. J. Agric. Sci. 2014, 20, 1426–1434. [Google Scholar]
Disclaimer/Publisher’s Note: The statements, opinions and data contained in all publications are solely those of the individual author(s) and contributor(s) and not of MDPI and/or the editor(s). MDPI and/or the editor(s) disclaim responsibility for any injury to people or property resulting from any ideas, methods, instructions or products referred to in the content. |
© 2025 by the authors. Licensee MDPI, Basel, Switzerland. This article is an open access article distributed under the terms and conditions of the Creative Commons Attribution (CC BY) license (https://creativecommons.org/licenses/by/4.0/).







