Abstract
Wildfires, whether natural or human-caused, significantly alter soil properties and increase soil erosion susceptibility, particularly through changes in rill detachment capacity (Dc). This study aimed to evaluate the influence of fire intensity on key soil properties and to recognize their relationships with Dc under controlled laboratory conditions. The research was conducted in the Darestan Forest, Guilan Province, northern Iran, a region characterized by a Mediterranean semi-arid climate. Soil samples were collected from three fire-affected conditions: unburned (NF), low-intensity fire (LF), and high-intensity fire (HF) zones. A total of 225 soil samples were analyzed using flume experiments at five slope gradients and five flow discharges, simulating rill erosion. Soil physical and chemical characteristics were measured, including hydraulic conductivity, organic carbon, sodium content, bulk density, and water repellency. The results showed that HF soils significantly exhibited higher rill detachment capacity (1.43 and 2.26 times the values compared to the LF and NF soils, respectively) and sodium content and lower organic carbon, hydraulic conductivity, and aggregate stability (p < 0.01). Strong correlations were found between Dc and various soil properties, particularly a negative relationship with organic carbon. The multiple linear equation had good accuracy (R2 > 0.78) in predicting rill detachment capacity. The findings of the current study show the significant impact of fire on soil degradation and rill erosion potential. The study advocates an urgent need for effective post-fire land management, erosion control, and the development of sustainable soil restoration strategies.
1. Introduction
Fire is a normal and human-induced event that can significantly alter the properties and dynamics of soil [1]. The effects of fire on soil have garnered considerable attention in ecological and environmental research, particularly related to rill detachment capacity (Dc), which refers to soil’s vulnerability to erosion [2,3,4]. This hydraulic parameter, as one of the key concepts in the rill erosion process, refers to the maximum rate of detachment of soil particles from the matrix by clear water. Fires can significantly alter the physical, chemical and biological properties of soil and can thus cause changes in soil erosion rates. These soil properties are influenced by various factors, including moisture content, wind, air humidity, topography, temperature, and fire intensity [5,6].
Fire leads to immediate changes in soil physical and chemical characteristics as a consequence of combustion of organic matter. A study has shown that fire can reduce soil aggregate stability, leading to increased soil erosion potential [7]. Recent studies have further demonstrated that fire can lead to immediate changes in soil aggregate stability and porosity [8]. The removal of protective vegetation cover and changes in soil hydrophobicity compound this issue by increasing runoff and decreasing infiltration rates [9]. For example, after a fire, the formation of water-repellent layers in the soil can lead to increased surface runoff, enhancing the detachment of soil particles [10,11,12]. Soil erosion occurs when soil particles detach and sediments are carried away by surface runoff [13]. In addition, overland flow contributes to sediment generation by dislodging soil particles within rills [14]. Therefore, understanding Dc and its relationship with various influencing factors is vital for assessing the rill erosion potential [15].
Among the factors affecting the occurrence of fire, human activities are a key factor contributing to the occurrence of wildfires [6,16]. In forest ecosystems, these activities are the primary cause, and there is a positive relationship between wildfire and human activity [17,18]. Unauthorized fires often show different intensity, resulting in considerable harm to the natural ecosystem. These fires consume shrubs and herbaceous plants, and thus, in this condition, the soil is susceptible to water erosion [19]. Additionally, the increased temperature produced by these fires can considerably alter the hydrological characteristics of the soil [20].
In relation to the intensity of the fire, fires with high intensity cause more severe changes to soil structure and chemistry than fires with low intensity [21]. These changes lead to significant variations in soil processes, which require further investigation and research [22]. Moreover, the intensity of fire influences soil fertility, alters plant communities, and increases sedimentation in waterways [23,24,25].
Some semi-arid areas in northern Iran are highly susceptible to soil erosion [26] because the soil in these areas has low organic matter and high clay contents, which weakens its structure and makes it susceptible to fire. Moreover, Iran has experienced soil erosion problems due to climate change, extreme weather events (such as heavy rainfall and floods), and human activities [27,28]. These factors primarily affect soil properties and then alter soil erosion rates. In this regard, Nezhadgholam-Zardroodi et al. [29] found that forest fires increase soil bulk density due to changes in soil structure caused by low-intensity wildfires in northern Iran. Moreover, various studies have documented that forest fires can significantly increase surface runoff and soil erosion [19,30,31,32,33,34]. For example, Nasirzadehdizaji and Akyuz [25] found that forest fires resulted in more than a 14% increase in surface runoff and a 6.5-fold rise in sediment yield. Furthermore, Evelpidou et al. [35], noted that areas burned in Greece in 2021 are at high risk for future erosion and runoff. Although many reports discuss the impacts of fire on soil erosion, there are still limited studies on how fire intensity affects soil structure and parameters related to rill erosion, particularly rill detachment capacity. This study aims to (1) analyze the impacts of fire intensity on rill detachment capacity; (2) examine effects of fire on various soil characteristics; and (3) find relationships between the rill detachment capacity and soil properties using a regression relationship. This knowledge is important for land managers and hydrologists to predict soil detachment rates under different fire intensities in delicate ecosystems, where rill erosion is one of the most severe agents of land degradation.
2. Materials and Methods
2.1. Study Area
The study area is the Darestan Forest, a village in south of Rudbar City, Guilan Province, Iran (outlet coordinates 36°52′48″ N, 49°23′28″ E) (Figure 1). The forest is 2350 m above the mean sea level with a typically Mediterranean climate and belongs to a semi-arid climate (Csb-type, Koppen–Geiger classification) [36]. The mean annual temperature and precipitation are 18.3 °C and 286 mm, respectively. Information on temperature and precipitation in 2024 is presented in Table 1.
Figure 1.
Geographic position (a) and aerial view of the rill erosion observed in the study area (b).
Table 1.
Average temperature, minimum temperature, maximum temperature, and precipitation in Rudbar City in 2024.
From an ecological perspective, the biodiversity of this forestland is high, thanks to the presence of many trees, shrubs, and herbaceous species (e.g., Zelkova carpinifolia; Alnus glutinosa; Quercus castaneifolia; Berberis vulgaris; Celtis australis; Astragalus, Mespilus) based on field observations.
The geological composition of the soil in the study area includes limestone, sandstone, and shale, which are often derived from ancient marine environments [37]. These marine sediments are particularly vulnerable to erosion, especially when there is not enough vegetation cover. According to primary analysis, the soil texture is clay loam (USDA classification) with average clay, silt, and sand percentages of 39.4%, 22.8%, and 37.8%.
2.2. Fire Intensity Categorization
Many fires have started in the study area in the past few years (Figure 2a). Therefore, this region seems to be suitable for collecting soil samples (Figure 2b) and investigations related to soil erosion. These human-induced fires lead to the elimination of various plant species, resulting in a decline in biodiversity and the formation of rills on steep slopes of hillslopes. The forest was examined from September to November 2024. During this time, specific locations were chosen for soil sampling. These sites were chosen based on their similar vegetation characteristics, morphology (slope and length), soil type, and texture, ensuring the comparability of the soil samples [2]. The fires were categorized into two intensities at the ground surface as low-intensity fire (LF) and high-intensity fire (HF), based on flame heights of (1.8–2.3 m) and (3–5 m) (Figure 2c,d), respectively [38]. Temperature was measured immediately after the fire at a 2 cm depth [39,40]. Compared to low-intensity fires, high-intensity fires destroyed almost all plant species. In addition to sampling burned soils, unburned soils (NF) were also taken as controls. These sites were selected close to the burned areas to allow for a comparison of the conditions studied in this investigation [41].
Figure 2.
Human-caused fires (a), soil sampling from the burned areas (b), soil burning with high intensity (c), and soil burning with low intensity (d), in Darestan forest (Guilan Province, northern Iran).
2.3. Soil Sampling and Analyses
The soil was sampled from the study area by collecting cores of about 500 g in the surface layer between 0 and 10 cm. A steel ring with a diameter of 10 cm and a height of 5 cm was used to extract samples. A total of 225 samples for flume experiments and 25 additional samples for measuring soil properties were collected. After that, the samples were transported to the laboratory at the University of Guilan in Rasht for experiments.
Flume experiments were conducted to assess the rill detachment capacity under five different bed slopes (3.5, 8.8, 16.9, 27.2, and 36.3%) and five flow discharges (0.22, 0.33, 0.44, 0.56, and 0.67 Lm−1 s−1). These values were selected based on the prevalent steepness of the hillslopes and field measurements of flow discharges in the study area.
Each experiment was carried out to measure the rill detachment capacity in rills on samples collected under three conditions. This experiment was repeated in three replications under each soil slope and water discharge in the flume. Therefore, the experimental design consisted of three soil conditions (burned soils with low and high intensity and unburned soils as controls, five bed slopes × five water discharges × three replications), totaling 225 experiments.
2.4. Flume Experiments to Measure Rill Detachment Capacity
A hydraulic flume was used with a length of 3.5 m, width of 0.2 m, and a rectangular cross section. Soil samples were first weighed and then placed in a hole of 10 cm in diameter at a distance of 1 m from the outlet of the hydraulic flume [4] (Figure 3a). The slope of the flume could be adjusted at the range of slope steepness values from 4% to 38%. A 5 mm soil layer was evenly put over the flume bed to maintain a constant roughness all the tests [42].
Figure 3.
The experimental flume used to measure the rill detachment capacity (a), and the sample placement in the flume and measuring water depth with digital depth probe (b) under the studied conditions.
In the laboratory and on the hydraulic flume, the soil samples were saturated with water for 24 h and then covered with a plastic panel to prevent scouring while adjusting water discharge and soil slope prior to the experiment. Once the flow from the upstream side of the flume stabilized, water discharge was set by measuring the volume over a specific time interval using a plastic cylinder. Additionally, a digital probe with a 1 mm accuracy was used to measure the water depth (Figure 3b). Both hydraulic parameters were measured three times per experiment (Figure 4). The average water velocity (V, [ms−1]) was also determined using the fluorescent dye technique and applying a reduction coefficient of 0.6 (based on the calculated Reynolds number), as the flow was laminar [43]. The mean flow velocity and flow depth were used to calculate the shear stress. For each soil condition, an undisturbed soil sample was placed in a hole near the downstream outlet of the flume. The experiment started after removing the plastic cover from the soil sample and finished after 5 min [42]. After completing each test, the wet soil samples were oven-dried at 105 °C for 24 h to calculate their final dry weight. The rill detachment capacity in rills (DC [kg s −1 m −2]) was calculated by following equation [44]:
where Dc is rill detachment capacity [kg m−2 s−1], ΔM is the dry weight of soil erosion, A is the cross-sectional area of the soil sample [m2], and Δt is the scouring duration [s]. The flow shear stress (τ [Pa]) [45], stream power (ω, [kg s−3]) [46], and unit stream power (φ, [m s−1]) [47] were calculated using the following equations:
where ρ is the water mass density [kg m−3], g is the gravitational acceleration [m s−2], and S is the slope steepness [m m−1]. Values of shear stress are shown in Table 2.
τ = ρghS
ω = ρgRSV = τV
φ = SV
Figure 4.
Schematic of experimental design.
Table 2.
Flow characteristics in the experiments carried out for measuring the rill detachment capacity under the studied conditions.
In the rill erosion process, in addition to Dc, the rill erodibility (Kr) [s m−1] and critical shear stress (τc) [Pa] can be evaluated by analyzing the slope and intercept of the linear regression between the rill detachment capacity and shear stress, following the methodology defined in the Water Erosion Prediction Project (WEPP) model [48]:
2.5. Measurement of Soil Physical and Chemical Characteristics
The physical and chemical characteristics of the soil were measured, such as the soil bulk density, organic carbon (OC, using the Walkley–Black technique), saturated hydraulic conductivity (Ks), [49,50,51,52], and mean weight diameter (MWD). Sodium (Na) was analyzed using the methods reported by Claessen [53]. The calcium carbonate (CaCO3) content was determined through titration [54]. Soil texture was calculated based on the measured contents of clay, silt, and sand by the hydrometer method [55].
The actual water repellency was evaluated using the water drop penetration time (WDPT) method. To determine the repellency, three drops of distilled water were applied to the smoothed surface of a field-moist soil sample with a standard glass pipette. The time required for the drops to be absorbed was recorded. Potential water repellency was subsequently assessed on the same samples after they were dried at 35 °C for two weeks [56].
2.6. Statistical Analysis
Statistical analysis was conducted using the SAS 9.1 (v2004) software. The normality of sample distribution was checked using QQ-plots. Moreover, the homogeneity of variance and normality of data were checked using Levene’s and Shapiro–Wilk’s tests, respectively. Initially, differences in rill detachment capacity across the three studied conditions—unburned soil, and soil affected by low- and high-intensity fires—were assessed using a one-way ANOVA at significance levels of p < 0.05 and p < 0.01. Following this, Tukey’s test was performed at the p < 0.05 level to compare statistically significant differences among the conditions.
A subsequent one-way ANOVA was conducted to evaluate significant differences in soil characteristics among the independent factor conditions—unburned soil and soil burned at low and high fire intensities—at significance levels of p < 0.01. Mean comparisons were again performed using the Tukey method at a significance level of p < 0.01. Additionally, possible correlations between rill detachment capacity (Dc) and the characteristics of unburned (NF), low-intensity fire (LF), and high-intensity fire (HF) soils were analyzed using linear multiple regression equations [57]. This analysis was performed using the SPSS 27.0 (v2020) software.
To examine the relationship between rill detachment capacity and hydraulic parameters, a nonlinear regression analysis was performed using a power function model.
3. Results
3.1. Effects of Fire on Soil Characteristics
All soil characteristics were significantly different among the conditions investigated, with differences observed at a highly significant level (p < 0.01) (Table 3). In particular, the control soils exhibited the highest values for Ks, CaCO3, and OC, while soils with high-intensity fires showed the lowest values Ks and OC values. Conversely, HF soils had the highest WDPT and BD values compared to NF and LF soils. Moreover, the sodium concentration increased with increasing fire intensity, such that HF soils exhibited the highest Na levels. The average comparisons for MWD showed the highest value in unburned soil and the lowest value for soils with high-intensity fires.
Table 3.
Values of the soil characteristics under the studied conditions.
3.2. Rill Detachment Capacity
Figure 5 illustrates a comparison of the rill detachment capacity (Dc) among the conditions studied. This indicated that soil with high-intensity fire exhibited the highest rill detachment capacity (0.137 kg m−2 s−1), which was significantly different from the other two conditions (p < 0.01). In contrast, unburned soil (NF) had the lowest Dc (0.059 kg m−2 s−1), and soil with low-intensity fire showed an intermediate value of Dc.
Figure 5.
A bar chart of rill detachment capacity (Dc) measured for samples collected from NF = unburned soil, LF = low-intensity burned soil, and HF = high-intensity burned soil. Different lowercase letters in three conditions indicate significant differences at p < 0.01. The average of 25 replicates for each studied condition is marked with a multiplication sign.
3.3. Correlation Analysis of Soil Characteristics
The correlation analysis revealed several significant relationships among the studied soil characteristics. Rill detachment capacity was negatively correlated with OC, CaCO3, MWD, and Ks (p < 0.01). Moreover, Dc exhibited a positive correlation with bulk density (r = 0.844) and water drop penetration time (WDPT) (r = 0.937) and sodium content (r = 0.973) (p < 0.01). Other significant correlations were also observed among the soil properties. For example, organic carbon was positively correlated with MWD, CaCO3, and Ks. Conversely, a negative correlation was observed between OC and BD, WDPT, and Na. The negative correlations between BD and MWD, CaCO3, and Ks were also significant, while this soil property showed positive correlations with WDPT and Na. A significant positive correlation was found between MWD and CaCO3 (r = 0.914 and 0.981). Other correlations can be seen in Table 4.
Table 4.
Pearson’s correlation among the soil properties for three studied conditions in the Darestan watershed (northern Iran).
3.4. Modeling Rill Detachment Capacity Using Soil Properties
The regression analysis between rill detachment capacity (Dc) and various soil characteristics revealed both positive and negative correlations. The proposed model for estimating rill detachment capacity is the following:
where Dc = rill detachment capacity, OC = organic carbon, BD = bulk density, MWD = mean weight diameter of soil aggregates, WDPT = water drop penetration time, CaCO3 = calcium carbonate, Na = sodium, and Ks = saturated hydraulic conductivity. The accuracy of this equation was high for predicting rill detachment capacity (R2 equal to 0.78), such that the prediction of rill detachment capacity was close to the line of perfect agreement (Figure 6). Moreover, the root mean square error (RMSE) showed an appropriate value for this equation, close to zero (0.08).
Dc = 0.682 − 0.050(OC) + 0.106(BD) − 0.124(MWD) + 0.237(WDPT) − 0.020(CaCO3) + 0.004(Na) − 0.051(Ks)
Figure 6.
Scatterplots of observed and predicted rill detachment capacity using soil properties and the multiple regression model.
3.5. Relationships Between Rill Detachment Capacity and Hydraulic Parameters
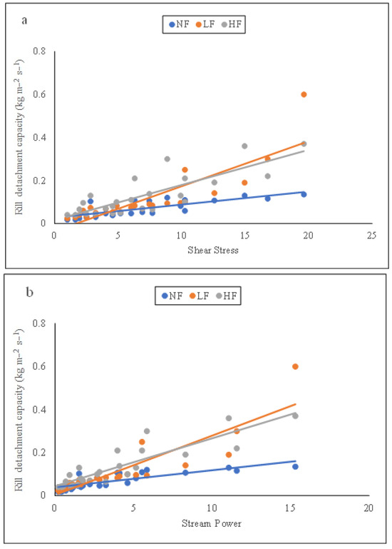
Figure 7 illustrates the regression analysis of the relationships between shear stress, stream power, and unit stream power with rill detachment capacity for the three studied conditions. Table 5 reports the power equations for the rill detachment capacity with hydraulic parameters. Each condition exhibits a positive trend between shear stress and rill detachment capacity. However, this increase varies among the conditions, as reflected in the distinct regression slopes and correlation coefficients. Among the studied conditions, low-intensity fire displays the highest coefficient of determination (R2 = 0.71), indicating a strong linear correlation between shear stress and rill detachment capacity.

Figure 7.
Relationships between rill detachment capacity and three hydraulic parameters for the three conditions analyzed. Dc–shear stress (a); Dc–stream power (b), and Dc–unit stream power (c).
Table 5.
The equation correlating rill detachment capacity (Dc) with hydraulic parameters (shear stress, stream power, and unit stream power) for the three conditions studied.
The relationships between stream power and rill detachment capacity were evaluated for three studied conditions. In all cases, the trend indicates a positive relationship between these two parameters. Among the three conditions, LF and HF showed a strong correlation, with a coefficient of determination of R2 = 0.78, suggesting a high correlation between stream power and rill detachment capacity. Finally, Figure 7c presents the relationship between unit stream power and Dc. This figure shows that compared to shear stress and stream power, unit stream power has lower accuracy in terms of its relationship with rill detachment capacity.
4. Discussion
4.1. Changes in Soil Properties with Fire Intensity
Fires are recognized worldwide as one of the most important threats to forest ecosystems [2]. The findings of this study show the significant effect of fire intensity on soil characteristics, particularly in the context of properties related to soil erosion among the studied conditions. The observed variations in soil properties among the different fire intensity conditions are consistent with the recent literature, which shows that fire can alter soil characteristics in complex ways [4]. Specifically, the reduction in hydraulic conductivity by 75.61% and organic carbon by 36.51% in soils with a high fire intensity, compared to the other conditions, can be attributed to the effects of intense heating, which disrupts soil structure and organic matter content. These results were as initially expected: This disturbance indeed removes plant species of the forest, but soil heating due to fire intensity also further changes these main soil properties. A deeper analysis of the measured hydraulic conductivity and organic carbon shows that these two properties could have influenced the soil response to fire intensity. The severity of the fire was high, which could have exacerbated the destructive impacts that more severe fires exert on soil properties, such as the reduction in hydraulic conductivity and organic carbon [58,59]. Particularly in relation to the soil organic layer, presumably, the soil temperature was so high as to result in the total combustion of the soil organic carbon. The higher organic carbon content in soils with low-intensity fires in comparison to soils with high-intensity fires may be explained by the incomplete combustion of the organic carbon in the surface layer [60].
The decrease in Ks in soils with high-intensity fire compared to the control soils is indicative of soil compaction and changes in pore structure, likely caused by the high temperatures that altered the soil’s permeability, as shown by Stoof et al. [52]. This reduced permeability can lead to poorer water infiltration and increased surface runoff, exacerbating soil erosion potential. In relation to other soil properties, Parhizkar et al. [2] observed that the bulk density increased due to fire while organic carbon and soil stability decreased. These authors showed that fire, even in low-severity conditions, resulted in a significant disturbance to soil in rills. Soil with surface burning showed a comparable soil detachment capacity when the number of fires was limited, but noticeable increases were observed when fire was repeatedly lit on the soil. The significant increase in bulk density and water drop penetration time in soils with high-intensity fire suggests that fire can lead to more compaction, which is less conducive to water infiltration and more prone to surface runoff. This result is in line with a study showing the formation of water-repellent layers in soils subjected to high-intensity fires [61]. In contrast, the lower values of the bulk density and water drop penetration time in the other two conditions highlight the potential for better water infiltration and reduced surface runoff in these conditions, making them less prone to erosion. A fire incident can induce hydrophobicity in the uppermost layers of the soil and damage root systems of various plant species through heat transfer and may lead to increased runoff [62].
4.2. Impact of Soil Properties on Rill Detachment Capacity
The changes in soil properties reflect the soil’s hydrological parameters, such as rill erodibility. This property can be directly linked to the rill detachment capacity, which, as has been shown in this study, is significantly influenced by fire with different intensities. The higher rill detachment capacity in soils with high-intensity fires is consistent with the hypothesis that high-intensity fires lead to soils with lower organic matter and weaker soil structure, making them more susceptible to rill erosion. In particular, the strong negative correlation between DC and organic carbon suggests that soils with higher organic matter are more resistant to erosion, since organic matter helps to bind soil particles together and, thus, improves soil structure [63].
Similarly, the negative correlations between DC on one side and calcium carbonate, mean weight diameter of soil aggregates, and hydraulic conductivity on the other side highlight the role of soil structure on soil erodibility. High severities of fire appear to break down soil aggregates and reduce the overall cohesion between soil particles, making the soil more easily detached by water flow. Moreover, the positive correlations between DC and bulk density, water drop penetration time, and sodium show the role of compaction, water repellency, and ion concentration in increasing the susceptibility of soil to detachment [64].
Undoubtedly, the findings of the measurements of fire effects on rill detachment capacity in rills are limited by the spatial scale of the flume experiments (i.e., tests on small samples of soil) and specific soil characteristics, by the short observation period of the fire effects, as well as by the climatic and geomorphological characteristics of the specific environment (degraded lands of northern Iran) investigated in the case study. To overcome these limitations, these findings should be validated by field-scale monitoring (perhaps in field rills) studies in the same and other conditions. Their extrapolation to other climatic and soil characteristics must be controlled in a specific experimental environment, preferably under natural conditions of overland flow.
4.3. Hydraulic Parameters and Predictive Model for Predicting Rill Detachment Capacity
The analysis of the relationship between hydraulic parameters and rill detachment capacity revealed key differences and shows how fire intensity influences soil response. The positive relationships between shear stress, stream power, and unit stream power with DC indicate that as the force of water increases, the potential for soil detachment also rises. As shown above, when the best equation needs to be determined among the analyzed parameters, the stream power is the most representative hydraulic variable for the studied forestland. Conversely, the use of the unit stream power should be avoided to estimate the rill detachment capacity, since the established equations with this hydraulic parameter had low accuracy and thus may lead to large overestimation or underestimation of the rill detachment capacity. The higher accuracy of the stream power may be due to the fact that this hydraulic parameter takes into account both the flow velocity and slope as important parameters affecting rill erosion [4]. Moreover, the multiple regression analysis demonstrated that Dc can be predicted from the studied soil characteristics using a multiple regression model. The values of the regression coefficients of the obtained model show that the water drop penetration time, mean weight diameter of soil aggregates and bulk density have much more influence than the other soil properties (identified by the coefficients of these characteristics), respectively. Among these characteristics, soil aggregate stability, as estimated from the mean weight diameter of soil aggregates, plays an important role in modeling rill detachment capacity in burned forest ecosystems and deforested lands [65,66]. This variable can, therefore, be adopted as an indicator of the impacts of fire on the forest ecosystem, since it synthesizes the variability in more properties among various soil conditions in one parameter.
The soil characteristics are simple variables, but, under the specific same slope and water discharge conditions, they allow for a suitable estimation of the rill detachment capacity. The lack of validation is undoubtedly a limitation of this study, but the high coefficient of determination confirming this model’s reliability does not discourage its application, at least in the same environmental conditions. The model developed in this study should be considered as a “black-box” approach to the prediction of soil’s hydrological and erosive response to high-intensity fires. In other words, this model is not based on the simulation of physical mechanisms governing rill detachment capacity. However, the input data required for the use of a physically based model is low, and a simple linear model is better applicable in such data-poor environments, being a viable alternative to the most complex tools [67]. Several studies have adopted the multiple regression approach to predict soil erosion rates under different climatic and geomorphological conditions. For example, the multiple regression analysis developed by Arnaez et al. [68] predicted soil loss with great certainty under simulated rainfall in Mediterranean vineyards. Moreover, Zhao et al. [69] used multiple regression analysis to explore the impacts of soil slope length or soil erodibility on soil loss in China.
4.4. Implications for Soil Erosion Management
The results of this study carry significant consequences for soil erosion control in areas influenced by fire. The significant impacts of fire on soil characteristics, particularly in high-intensity fire conditions, suggest that post-fire management practices should prioritize restoring soil structure and organic matter content to reduce erosion risk. This may involve strategies such as the application of organic amendments (e.g., mulch or compost) to improve soil organic carbon levels and enhance soil structure. Moreover, the use of soil stabilization techniques, such as hydroseeding or the installation of erosion control barriers, could help mitigate the erosion potential of soils exposed to high-intensity fires [70].
Furthermore, the relationship between fire intensity and increased rill detachment capacity highlights the need for careful monitoring of post-fire areas to prevent soil degradation and the subsequent loss of productive soil. The high erodibility of soils with high-intensity fires could lead to significant erosion and sedimentation problems, potentially impacting water quality and downstream ecosystems.
The findings of this study, although showing the variability in some soil properties after fire and rill formation, should be considered with caution due to some limitations. First, the current study was carried out at the laboratory scale and after overland flow simulations. Upscaling through studies on real hillslopes and under natural overland flow considering the variability in weather inputs is advised. Artificial runoff and hydraulic flumes for monitoring soil detachment capacity can overestimate this hydraulic parameter compared to field experiments. Therefore, future studies should test the variability in soil properties and rill detachment capacity in steep and long hillslopes throughout a long observation period, where soil detachment rates after three or four overland flow events can accumulate. Second, an important variable, the rill depth, was not considered in this investigation among the studied different fire intensities due to experimental constraints. Therefore, other studies specifically focusing on fire intensities and rill depth are needed, since the mean depth is one of the main morphometric indexes of rill development under overland flow. Third, the multiple regression equation suggested in this investigation is specifically calibrated for the simulated overland flow and the specific geomorphological conditions. A broader applicability of this model requires considering the variability in water discharge and bed slope, adding these two variables to the dataset of input parameters. Fourth, due to experimental limitations, the number of fire repetitions was not considered in this investigation among the studied different fire intensities. Therefore, in future studies, it is necessary to focus on this variable, because the number of fire repetitions can affect the rill erosion process.
5. Conclusions
Fire intensity has a significant influence on soil characteristics. High-intensity fires lead to a significant decline in soil stability, characterized by lower hydraulic conductivity and organic carbon content and higher water repellency, which, in turn, increase the soil’s detachment capacity. The findings suggest that soils subjected to high-intensity fires are more prone to erosion, particularly under increased hydraulic stress, due to the loss of protective organic material and changes in soil structure.
Understanding the relationships among fire-related alterations in soil characteristics and rill detachment capacity is essential for effective soil and water management, especially in fire-prone areas. This study emphasizes the need for finding erosion control strategies that account for fire intensity, which could help mitigate the influence of post-fire soil erosion and improve land restoration efforts. Further research is needed to explore long-term recovery patterns of soil characteristics, as well as to investigate potential techniques to enhance soil stability after fire events. It has also been confirmed that rill detachment capacity in rills can be accurately modelled by a multiple regression approach using soil properties as predictors. Overall, this study has demonstrated that high-intensity fires have an important role in increasing soil detachment in rills of degraded lands.
Author Contributions
Conceptualization, M.I.N. and M.P.; methodology, M.P.; software, S.A.; validation, M.I.N., M.P. and M.S.; formal analysis, M.P.; investigation, M.I.N.; resources, M.S.; data curation, S.A.; writing—original draft, M.I.N.; writing—review and editing, M.S., S.A. and M.P.; visualization, M.P.; supervision, M.S.; project administration, M.S.; funding acquisition, M.S. All authors have read and agreed to the published version of the manuscript.
Funding
This research received no external funding.
Data Availability Statement
The original contributions presented in this study are included in the article. Further inquiries can be directed to the corresponding author.
Acknowledgments
The authors express their sincere gratitude to the Faculty of Agricultural Science at the University of Guilan for their invaluable encouragement and assistance with the experimental work.
Conflicts of Interest
The authors declare no conflicts of interest.
References
- Lucas-Borja, M.E.; Jing, X.; Van Stan, J.T., II; Plaza-Álvarez, P.A.; Gonzalez-Romero, J.; Pena, E.; Moya, D.; Zema, D.A.; de las Heras, J. Changes in soil functionality eight years after fire and post-fire hillslope stabilisation in Mediterranean forest ecosystems. Geoderma 2022, 409, 115603. [Google Scholar] [CrossRef]
- Parhizkar, M.; Lucas-Borja, M.E.; Denisi1, P.; Zema, D.A. Effects of repeated low-severity fires on particle detachment capacity and soil properties in rills of semi-arid forests. Land Degrad. Dev. 2025, in press. [Google Scholar] [CrossRef]
- Ben-Hur, M.; Fernandez, C.; Sarkkola, S.; Cerezal, J.C.S. Overland flow, soil erosion, and stream water quality in forest under different perturbations and climate conditions. In Forest Management and the Water Cycle, Ecological Studies; Bredemeier, M., Cohen, S., Godbold, D.L., Lode, E., Pichler, V., Schleppi, P., Eds.; Springer: Dordrecht, The Netherlands, 2011; pp. 263–289. [Google Scholar]
- Parhizkar, M.; Shabanpour, M.; Khaledian, M.; Cerdà, A.; Rose, C.; Asadi, H.; Lucas-Borja, M.E.; Zema, D.A. Assessing and Modeling Rill detachment capacity by Overland Flow in Forest and Woodland of Northern Iran. Forests 2020, 11, 65. [Google Scholar] [CrossRef]
- Gonzáles, H.; Ocaña, C.L.; Cubas, J.A.; Vega-Nieva, D.J.; Ruíz, M.; Santos, A.; Barboza, E. Impact of forest fire severity on soil physical and chemical properties in pine and scrub forests in high Andean zones of Peru. Trees For. People 2024, 18, 100659. [Google Scholar] [CrossRef]
- Zhang, Y.; Wu, T. Effects of water temperature on soil aggregate stability between soils developed from different parent materials in the subtropical hilly area of China. Catena 2024, 241, 108080. [Google Scholar] [CrossRef]
- Chandra, K.K.; Bhardwaj, A.K. Incidence of forest fire in India and its effect on terrestrial ecosystem dynamics, nutrient and microbial status of soil. Int. J. Agric. For. 2015, 5, 69–78. [Google Scholar]
- Hrelja, I.; Šestak, I.; Bogunović, I. Wildfire impacts on soil physical and chemical properties—A short review of recent studies. Agric. Conspec. Sci. 2020, 85, 293–301. [Google Scholar]
- Zema, D.A.; Lucas-Borja, M.E. Effects of prescribed fire on the post-fire hydrological processes in agro-forest ecosystems: A systematic review and a meta-analysis. Hydrol. Process. 2023, 37, e14957. [Google Scholar] [CrossRef]
- Shakesby, R.A.; Doerr, S.H. Wildfire as a hydrological and geomorphological agent. Earth-Sci. Rev. 2006, 74, 269–307. [Google Scholar] [CrossRef]
- Shakesby, R.A. Post-wildfire soil erosion in the mediterranean: Review and future research directions. Earth-Sci. Rev. 2011, 105, 71–100. [Google Scholar] [CrossRef]
- Lowe, M.-A.; McGrath, G.; Leopold, M. The impact of soil water repellency and slope upon runoff and erosion. Soil Tillage Res. 2021, 205, 104756. [Google Scholar] [CrossRef]
- Zhang, G.H.; Liu, G.B.; Tang, K.M.; Zhang, X.C. Flow detachment of soils under different land uses in the Loess Plateau of China. Trans. Am. Soc. Agric. Biol. Eng. 2008, 51, 883–890. [Google Scholar]
- Di Stefano, C.; Ferro, V.; Palmeri, V.; Pampalone, V. Flow resistance equation for rills. Hydrol. Process. 2017, 31, 2793–2801. [Google Scholar] [CrossRef]
- Sun, D.; Zhang, W.; Lin, Y.; Liu, Z.; Shen, W.; Zhou, L.; Rao, X.; Liu, S.; Cai, X.; He, D.; et al. Soil erosion and water retention varies with plantation type and age. For. Ecol. Manag. 2018, 422, 1–10. [Google Scholar] [CrossRef]
- Ochoa, P.; Fries, A.; Mejía, D.; Burneo, J.I.; Ruíz-Sinoga, J.D.; Cerdà, A. Effects of climate, land cover and topography on soil erosion risk in a semiarid basin of the Andes. CATENA 2016, 140, 31–42. [Google Scholar] [CrossRef]
- Benali, A.; Sa, A.C.; Ervilha, A.R.; Trigo, R.M.; Fernandes, P.M.; Pereira, J.M. Fire spread predictions: Sweeping uncertainty under the rug. Sci. Total Environ. 2017, 592, 187–196. [Google Scholar] [CrossRef]
- Sjostrom, J.; Granstrom, A. Human activity and demographics drive the fire regime in a highly developed European boreal region. Fire Saf. J. 2023, 136, 103743. [Google Scholar] [CrossRef]
- Moody, J.A.; Shakesby, R.A.; Robichaud, P.R.; Cannon, S.H.; Martin, D.A. Current research issues related to post-wildfire runoff and erosion processes. Earth-Sci. Rev. 2013, 122, 10–37. [Google Scholar] [CrossRef]
- Cawson, J.G.; Sheridan, G.J.; Smith, H.G.; Lane, P.N.J. Surface runoff and erosion after prescribed burning and the effect of different fire regimes in forests and shrublands: A review. Int. J. Wildland Fire 2012, 21, 857–872. [Google Scholar] [CrossRef]
- Zema, D.A.; Plaza-Alvarez, P.A.; Xu, X.; Carra, B.G.; Lucas-Borja, M.E. Influence of forest stand age on soil water repellency and hydraulic conductivity in the mediterranean environment. Sci. Total Environ. 2021, 753, 142006. [Google Scholar] [CrossRef]
- Robichaud, P.R.; Lewis, S.A.; Brown, R.E.; Bone, E.D.; Brooks, E.S. Evaluating post-wildfire logging-slash cover treatment to reduce hillslope erosion after salvage logging using ground measurements and remote sensing. Hydrol. Process. 2020, 34, 4431–4445. [Google Scholar] [CrossRef]
- Alcaniz, M.; Úbeda, X.; Cerdà, A. A 13-year approach to understand the effect of prescribed fires and livestock grazing on soil chemical properties in Tivissa, NE Iberian Peninsula. Forests 2020, 11, 1013. [Google Scholar] [CrossRef]
- Carrà, B.G.; Bombino, G.; Lucas-Borja, M.E.; Plaza-Alvarez, P.A.; D’Agostino, D.; Zema, D.A. Prescribed fire and soil mulching with fern in Mediterranean forests: Effects on surface runoff and erosion. Ecol. Eng. 2022, 176, 106537. [Google Scholar] [CrossRef]
- Nasirzadehdizaji, R.; Akyuz, D.E. Predicting the potential impact of forest fires on runoff and sediment loads using a distributed hydrological modeling approach. Ecol. Model. 2022, 468, 109959. [Google Scholar] [CrossRef]
- Khalili Moghadam, B.; Jabarifar, M.; Bagheri, M.; Shahbazi, E. Effects of land use change on soil splash erosion in the semi-arid region of Iran. Geoderma 2015, 241–242, 210–220. [Google Scholar] [CrossRef]
- Doulabian, S.; Shadmehri Toosi, A.; Calbimonte, G.H.; Ghasemi Tousi, E.; Alaghmand, S. Projected climate change impacts on soil erosion over Iran. J. Hydrol. 2021, 598, 126432. [Google Scholar] [CrossRef]
- Emadodin, I.; Bork, H.R. Degradation of soils as a result of long-term human-induced transformation of the environment in Iran: An overview. J. Land Use Sci. 2012, 7, 203–219. [Google Scholar] [CrossRef]
- Nezhadgholam-Zardroodi, M.; Pourbabaei, H.; Ghodskhah-Daryaei, M.; Salehi, A.; Enayati- Charvadeh, S.; Eslamdoust, J. Vegetation dynamics and soil properties following low-intensity wildfire in loblolly pine (Pinus taeda L.) planted forest in Northern Iran. J. For. Sci. 2022, 68, 145–155. [Google Scholar] [CrossRef]
- González-Pelayo, O.; Andreu, V.; Gimeno-García, E.; Campo, J.; Rubio, J.L. Rainfall influence on plot-scale runoff and soil loss from repeated burning in a Mediterranean-shrub ecosystem, Valencia, Spain. Geomorphology 2010, 118, 444–452. [Google Scholar] [CrossRef]
- Lindenmayer, D.B.; Noss, R.F. Salvage logging, ecosystem processes, and biodiversity conservation. Conserv. Biol. 2006, 20, 949–958. [Google Scholar] [CrossRef]
- Parhizkar, M.; Lucas-Borja, M.E.; Zema, D.A. Rill Erosion Due to Wildfire or Deforestation in Forestlands of Northern Iran. Forests 2024, 15, 1926. [Google Scholar] [CrossRef]
- Wang, J.; Stern, M.A.; King, V.M.; Alpers, C.N.; Quinn, N.W.T.; Flint, A.L.; Flint, L.E. PFHydro: A new watershed-scale model for post-fire runoff simulation. Environ. Model. Softw. J. 2020, 123, 104555. [Google Scholar] [CrossRef]
- Parhizkar, M.; Ghasemzadeh, Z.; Shabanpour, M. Reduction in rill detachment capacity by inoculation of Bacillus polymyxa strain BcP26 in deforested lands. Rhizosphere 2023, 25, 100658. [Google Scholar] [CrossRef]
- Evelpidou, N.; Tzouxanioti, M.; Gavalas, T.; Spyrou, E.; Saitis, G.; Petropoulos, A.; Karkani, A. Assessment of fire effects on surface runoff erosion susceptibility: The case of the summer forest fires in Greece. Land 2021, 11, 21. [Google Scholar] [CrossRef]
- Kottek, M.; Grieser, J.; Beck, C.; Rudolf, B.; Rubel, F. Worldmap of the Köppen-Geiger climate classification updated. Meteorol. Z. 2006, 15, 259–263. [Google Scholar] [CrossRef]
- Ramezanpour, H.; Esmaeilnejad, L.; Akbarzadeh, A. Influence of soil physical and mineralogical properties on erosion variations in Marlylands of Southern Guilan Province, Iran. Int. J. Phys. Sci. 2010, 5, 365–378. [Google Scholar]
- Ryan, K.C. Dynamic interactions between forest structure and fire behavior in boreal ecosystems. Silva Fenn 2002, 36, 13–39. [Google Scholar] [CrossRef]
- Wieting, C.; Ebel, B.A.; Singha, K. Quantifying the effects of wildfire on changes in soil properties by surface burning of soils from the Boulder Creek Critical Zone Observatory. J. Hydrol. Reg. Stud. 2017, 13, 43–57. [Google Scholar] [CrossRef]
- Fornwalt, P.J.; Kaufmann, M.R.; Stohlgren, T.J. Impacts of mixed severity wildfire on exotic plants in a Colorado ponderosa pine—Douglas-fir forest. Biol. Invasions 2010, 12, 2683–2695. [Google Scholar] [CrossRef]
- Parhizkar, M.; Shabanpour, M.; Lucas-Borja, M.E.; Zema, D.A.; Li, S.; Tanaka, N.; Cerdà, A. Effects of length and application rate of rice straw mulch on surface runoff and soil loss under laboratory simulated rainfall. Int. J. Sediment Res. 2021, 36, 468–478. [Google Scholar] [CrossRef]
- Zhang, G.-H.; Liu, B.-Y.; Nearing, M.A.; Huang, C.-H.; Zhang, K.-L. Soil detachment by shallow flow. Trans. ASAE 2002, 45, 351. [Google Scholar]
- Abrahams, A.D.; Parsons, A.J.; Luk, S.-H. Field measurement of the velocity of overland flow using dye tracing. Earth Surf. Process Landf. 1986, 11, 653–657. [Google Scholar] [CrossRef]
- Wang, B.; Zhang, G.H.; Yang, Y.F.; Li, F.F.; Liu, J.X. Response of rill detachment capacity to plant root and soil properties in typical grasslands on the Loess Plateau. Agric. Ecosyst. Environ. J. 2018, 266, 68–75. [Google Scholar] [CrossRef]
- Zhang, G.H.; Liu, B.Y.; Liu, G.B.; He, X.W.; Nearing, M.A. Detachment of undisturbed soil by shallow flow. Soil Sci. Soc. Am. J. 2003, 67, 713–719. [Google Scholar] [CrossRef]
- Bagnold, R.A. An approach to the sediment transport problem for general physics. In U.S. Geological Survey Professional Paper 422-I; U.S. Government Printing Office: Washington, DC, USA, 1966. [Google Scholar]
- Yang, C.T. Unit stream power and sediment transport. J. Hydrol. Div. ASCE 1972, 98, 1805–1826. [Google Scholar] [CrossRef]
- Nearing, M.A.; Foster, G.R.; Lane, L.J.; Finkner, S.C. A process-based soil erosion model for USDA-Water Erosion Prediction Project technology. Trans. ASAE 1989, 32, 1587–1593. [Google Scholar] [CrossRef]
- García-Corona, R.; Benito, E.; De Blas, E.; Varela, M.E. Effects of heating on some soil physical properties related to its hydrological behaviour in two north-western Spanish soils. Int. J. Wildland Fire 2004, 13, 195–199. [Google Scholar] [CrossRef]
- Léonard, J.; Richard, G. Estimation of runoff critical shear stress for soil erosion from soil shear strength. Catena 2004, 57, 233–249. [Google Scholar] [CrossRef]
- Martin, D.A.; Moody, J.A. Comparison of soil infiltration rates in burned and unburned mountainous watersheds. Hydrol. Process. 2001, 15, 2893–2903. [Google Scholar] [CrossRef]
- Stoof, C.R.; Wesseling, J.G.; Ritsema, C.J. Effects of fire and ash on soil water retention. Geoderma 2010, 159, 276–285. [Google Scholar] [CrossRef]
- Claessen, M.E.C. Manual for Methods of Soil Analysis; Embrapa Solos: Rio de Janeiro, Brazil, 1997. [Google Scholar]
- Horváth, B.; Opara-Nadi, O.; Beese, F. A simple method for measuring the carbonate content of soils. Soil Sci. Soc. Am. J. 2005, 69, 1066–1068. [Google Scholar] [CrossRef]
- Gee, G.W.; Bauder, J.W. Particle size analysis. In Methods of Soil Analysis. Part 1. Physical and Mineralogical 603 Methods, 2nd ed.; Klute, A., Ed.; ASA and SSSA: Madison, WI, USA, 1986; pp. 404–408. [Google Scholar]
- Dekker, L.W.; Ritsema, C.J. How water moves in a water repellent sandy soil: 1. Potential and actual water repellency. Water Resour. Res. 1994, 30, 2507–2517. [Google Scholar] [CrossRef]
- Parhizkar, M.; Cerdà, A. Modelling effects of human- caused fires on rill detachment capacity based on surface burning of soils in forest lands. J. Hydrol. 2023, 624, 129893. [Google Scholar] [CrossRef]
- Holden, J.; Wearing, C.; Palmer, S.; Jackson, B.; Johnston, K.; Brown, L.E. Fire decreases near-surface hydraulic conductivity and macropore flow in blanket peat. Hydrol. Process. 2014, 28, 2868–2876. [Google Scholar] [CrossRef]
- Alfaro-Leranoz, A.; Badía-Villas, D.; Martí-Dalmau, C.; Escuer-Arregui, M.; Quintana-Esteras, S. The Effects of Fire Intensity on the Biochemical Properties of a Soil Under Scrub in the Pyrenean Subalpine Stage. Fire 2024, 7, 452. [Google Scholar] [CrossRef]
- Alcañiz, M.; Outeiro, L.; Francos, M.; Úbeda, X. Effects of Prescribed Fires on Soil Properties: A Review. Sci. Total Environ. 2018, 613, 944–957. [Google Scholar] [CrossRef]
- Chen, H.; Liu, F. Soil depth and recovery interval mediate soil water repellency under different forest types and fire intensity levels in China: Evidence for ecosystem resiliency. Soil Tillage Res. 2024, 237, 105982. [Google Scholar] [CrossRef]
- Jiménez-Morillo, N.T.; Spangenberg, J.E.; Miller, A.Z.; Jordán, A.; Zavala, L.M.; González-Vila, F.J.; González-Pérez, J.A. Wildfire effects on lipid composition and hydrophobicity of bulk soil and soil size fractions under Quercus suber cover (SW-Spain). Environ. Res. 2017, 159, 394–405. [Google Scholar] [CrossRef]
- Halder, M.; Islam, M.U.; Liu, S.; Guo, Z.; Zhang, Z.; Peng, X. Organic materials quality to control soil aggregation: A meta-analysis. J. Soil Sci. Plant Nutr. 2024, 24, 1857–1870. [Google Scholar] [CrossRef]
- Okebalama, C.B.; Udeani, C.M.; Awaogu, C.E. Aggregate stability and the influence of sodium chloride on dispersion of sandy clay loam soils in Southeastern Nigeria. Glob. J. Agric. Sci. 2024, 23, 49–60. [Google Scholar]
- Parhizkar, M.; Shabanpour, M.; Khaledian, M.; Asadi, H. The evaluation of soil detachment capacity induced by vegetal species based on the comparison between natural and planted forests. J. Hydrol. 2021, 595, 126041. [Google Scholar] [CrossRef]
- Sedaghatkish, F.; Asadi Kapourchal, S.; Parhizkar, M. Oriental beech roots improve soil aggregate stability and reduce soil detachment rate in forest lands. Rhizosphere 2023, 7, 100744. [Google Scholar] [CrossRef]
- Ghasemzadeh, Z.; Parhizkar, M.; Mirmohammadmeygooni, S.; Shabanpour, M.; Chalmers, G. Forest soil inoculation with Bacillus subtilus reduces soil detachment rate to mitigate rill erosion. Rhizosphere 2023, 26, 100707. [Google Scholar] [CrossRef]
- Arnaez, J.; Lasanta, T.; Ruiz-Flaño, P.; Ortigosa, L. Factors affecting runoff and erosion under simulated rainfall in Mediterranean vineyards. Soil Tillage Res. 2007, 93, 324–334. [Google Scholar] [CrossRef]
- Zhao, J.; Wang, Z.; Dong, Y.; Yang, Z.; Govers, G. How soil erosion and runoff are related to land use, topography and annual precipitation: Insights from a meta-analysis of erosion plots in China. Sci. Total Environ. 2022, 802, 149665. [Google Scholar] [CrossRef]
- Kong, J.; Ding, Z.; Cai, W.; Zu, J.; Liu, B.; Yang, J. Topography and wildfire jointly mediate postfire ecosystem multifunctionality in a Chinese boreal forest. Fire 2024, 7, 417. [Google Scholar] [CrossRef]
Disclaimer/Publisher’s Note: The statements, opinions and data contained in all publications are solely those of the individual author(s) and contributor(s) and not of MDPI and/or the editor(s). MDPI and/or the editor(s) disclaim responsibility for any injury to people or property resulting from any ideas, methods, instructions or products referred to in the content. |
© 2025 by the authors. Licensee MDPI, Basel, Switzerland. This article is an open access article distributed under the terms and conditions of the Creative Commons Attribution (CC BY) license (https://creativecommons.org/licenses/by/4.0/).







