Serum microRNA 143 and 223 Gene Expression Profiles as Potential Biomarkers in Individuals with Hepatitis and COVID-19
Abstract
1. Introduction
2. Materials and Methods
2.1. Patient Selection and Collection of Biological Material
2.2. Detection and Diagnosis of Hepatitis
2.3. Detection and Diagnosis of COVID-19
2.4. MiRNA Isolation, Complementary DNA (cDNA) Synthesis and Quantification in Real-Time PCR
2.5. Biochemical and Hematological Tests
2.6. Statistical Analysis
3. Results
3.1. Study Population
3.2. Serum miRNA Expression in Relation to Groups
3.3. Correlation Between miRNA Expression and Hematological and Biochemical Markers
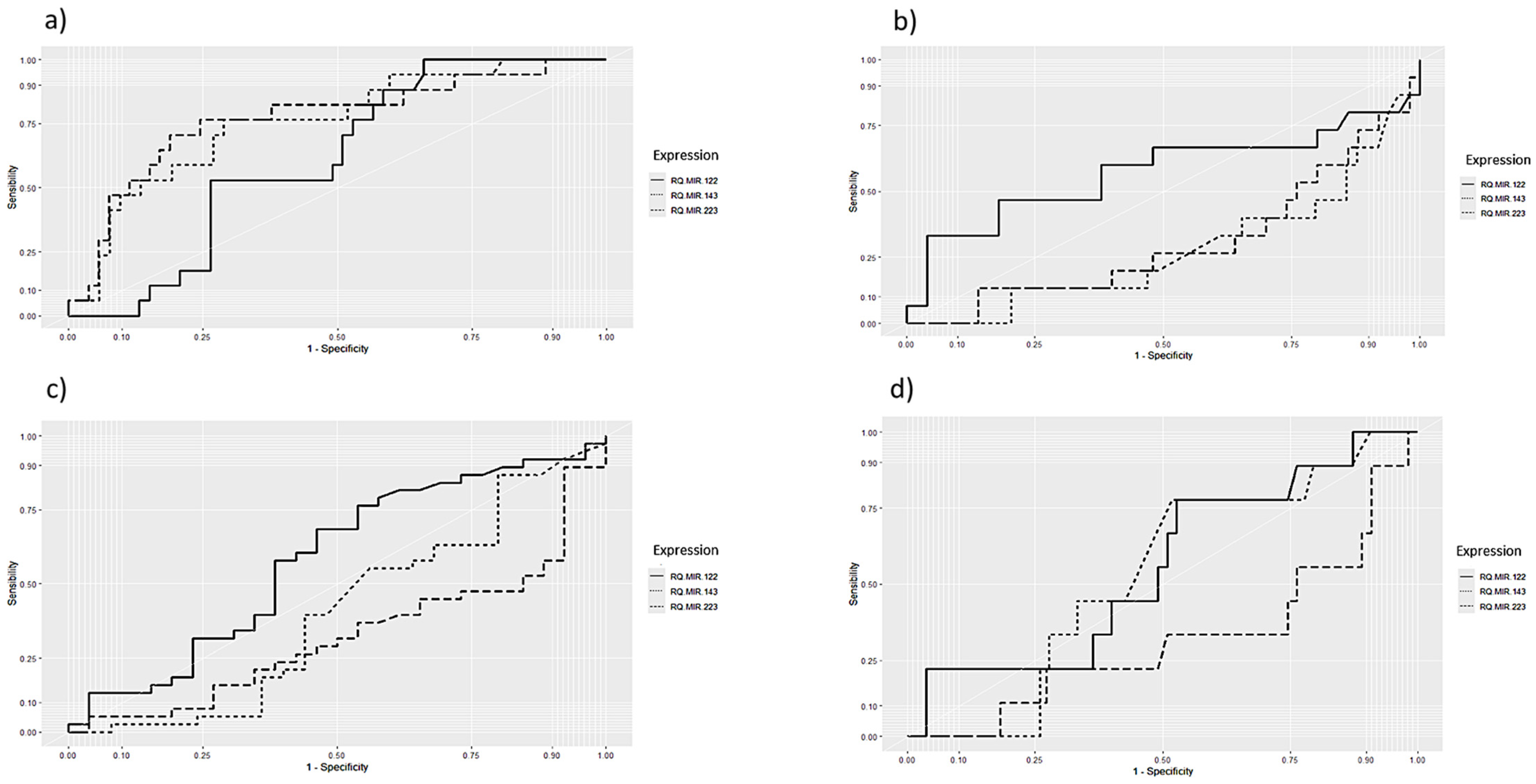
3.4. Evaluation of Sensitivity and Specificity of miRNAs and Significant Variables
4. Discussion
5. Conclusions
Author Contributions
Funding
Institutional Review Board Statement
Informed Consent Statement
Data Availability Statement
Conflicts of Interest
References
- Gupta, T.; Sharma, H. World Journal of Gastroenterology COVID-19 and the liver: Are footprints still there? World J. Gastroenterol. 2023, 29, 656–669. [Google Scholar] [CrossRef] [PubMed]
- Cai, Q.; Huang, D.; Yu, H.; Zhu, Z.; Xia, Z.; Su, Y.; Li, Z.; Zhou, G.; Gou, J.; Qu, J.; et al. COVID-19: Abnormal liver function tests. J. Hepatol. 2020, 73, 566–574. [Google Scholar] [CrossRef] [PubMed]
- Yip, T.C.-F.; Lui, G.C.-Y.; Wong, V.W.-S.; Chow, V.C.-Y.; Ho, T.H.-Y.; Li, T.C.-M.; Tse, Y.-K.; Hui, D.S.-C.; Chan, H.L.-Y.; Wong, G.L.-H. Liver injury is independently associated with adverse clinical outcomes in patients with COVID-19. Gut 2020, 70, 733–742. [Google Scholar] [CrossRef]
- Association for the Study of the Liver E. EASL Clinical Practice Guidelines on the management of benign liver tumours. J. Hepatol. 2016, 65, 386–398. [Google Scholar] [CrossRef]
- Loureiro, D.; Tout, I.; Narguet, S.; Benazzouz, S.M.; Mansouri, A.; Asselah, T. miRNAs as Potential Biomarkers for Viral Hepatitis B and C. Viruses 2020, 12, 1440. [Google Scholar] [CrossRef]
- WHO. Hepatitis C. 2023. Available online: https://www.who.int/news-room/fact-sheets/detail/hepatitis-c (accessed on 24 January 2024).
- WHO. Hepatitis B. 2023. Available online: https://www.who.int/news-room/fact-sheets/detail/hepatitis-b (accessed on 24 January 2024).
- Vos, T.; Lim, S.S.; Abbafati, C.; Abbas, K.M.; Abbasi, M.; Abbasifard, M.; Abbasi-Kangevari, M.; Abbastabar, H.; Abd-Allah, F.; Abdelalim, A.; et al. Global burden of 369 diseases and injuries in 204 countries and territories, 1990–2019: A systematic analysis for the Global Burden of Disease Study 2019. Lancet 2020, 396, 1204–1222. [Google Scholar] [CrossRef]
- Adams, L.A.; Lymp, J.F.; Sauver, J.S.; Sanderson, S.O.; Lindor, K.D.; Feldstein, A.; Angulo, P. The natural history of nonalcoholic fatty liver disease: A population-based cohort study. Gastroenterology 2005, 129, 113–121. [Google Scholar] [CrossRef]
- Han, S.K.; Baik, S.K.; Kim, M.Y. Non-alcoholic fatty liver disease: Definition and subtypes. Clin. Mol. Hepatol. 2023, 29, S5–S16. [Google Scholar] [CrossRef]
- Colapietro, F.; Maisonneuve, P.; Lytvyak, E.; Beuers, U.; Verdonk, R.C.; van der Meer, A.J.; van Hoek, B.; Kuiken, S.D.; Brouwer, J.T.; Muratori, P.; et al. Incidence and predictors of hepatocellular carcinoma in patients with autoimmune hepatitis. J. Hepatol. 2024, 80, 53–61. [Google Scholar] [CrossRef]
- Kim, V.N. MicroRNA biogenesis: Coordinated cropping and dicing. Nat. Rev. Mol. Cell Biol. 2005, 6, 376–385. [Google Scholar] [CrossRef]
- Alam, T.; Lipovich, L. Mircovid-19: Potential targets of human mirnas in SARS-CoV-2 for rna-based drug discovery. Non-Coding RNA 2021, 7, 18. [Google Scholar] [CrossRef] [PubMed]
- Hochreuter, M.Y.; Dall, M.; Treebak, J.T.; Barrès, R. MicroRNAs in non-alcoholic fatty liver disease: Progress and perspectives. Mol. Metab. 2022, 65, 101581. [Google Scholar] [CrossRef] [PubMed]
- Schueller, F.; Roy, S.; Vucur, M.; Trautwein, C.; Luedde, T.; Roderburg, C. Molecular Sciences The Role of miRNAs in the Pathophysiology of Liver Diseases and Toxicity. Int. J. Mol. Sci. 2018, 19, 261. [Google Scholar] [CrossRef]
- Wang, H.; Peng, R.; Wang, J.; Qin, Z.; Xue, L. Circulating microRNAs as potential cancer biomarkers: The advantage and disadvantage. Clin. Epigenetics 2018, 10, 59. [Google Scholar] [CrossRef]
- Aly, D.M.; Gohar, N.A.H.; El-Hady, A.A.A.; Khairy, M.; Abdullatif, M.M. Serum microRNA let-7a-1/let-7d/let-7f and miRNA 143/145 Gene Expression Profiles as Potential Biomarkers in HCV Induced Hepatocellular Carcinoma. Asian Pac. J. Cancer Prev. 2020, 21, 555–562. [Google Scholar] [CrossRef]
- Takagi, T.; Iio, A.; Nakagawa, Y.; Naoe, T.; Tanigawa, N.; Akao, Y. Decreased Expression of MicroRNA-143 and -145 in Human Gastric Cancers. Oncology 2009, 77, 12–21. [Google Scholar] [CrossRef]
- Gjorgjieva, T.; Chaloemtoem, A.; Shahin, T.; Bayaraa, O.; Dieng, M.M.; Alshaikh, M.; Abdalbaqi, M.; Del Monte, J.; Begum, G.; Leonor, C.; et al. Systems genetics identifies miRNA-mediated regulation of host response in COVID-19. Hum. Genom. 2023, 17, 49. [Google Scholar] [CrossRef]
- Ye, D.; Zhang, T.; Lou, G.; Liu, Y. Role of miR-223 in the pathophysiology of liver diseases. Exp. Mol. Med. 2018, 50, 1–12. [Google Scholar] [CrossRef]
- Bao, S.; Zheng, J.; Li, N.; Huang, C.; Chen, M.; Cheng, Q.; Yu, K.; Chen, S.; Zhu, M.; Shi, G. Serum MicroRNA Levels as a Noninvasive Diagnostic Biomarker for the Early Diagnosis of Hepatitis B Virus-Related Liver Fibrosis. Gut Liver 2017, 11, 860. [Google Scholar] [CrossRef]
- Shi, M.; Lu, Q.; Zhao, Y.; Ding, Z.; Yu, S.; Li, J.; Ji, M.; Fan, H.; Hou, S. miR-223: A key regulator of pulmonary inflammation. Front. Med. 2023, 10, 1187557. [Google Scholar] [CrossRef]
- Brunetto, M.R.; Ricco, G.; Negro, F.; Wedemeyer, H.; Yurdaydin, C.; Asselah, T.; Papatheodoridis, G.; Gheorghe, L.; Agarwal, K.; Farci, P.; et al. EASL Clinical Practice Guidelines on hepatitis delta virus. J. Hepatol. 2023, 79, 433–460. [Google Scholar] [CrossRef] [PubMed]
- Lampertico, P.; Agarwal, K.; Berg, T.; Buti, M.; Janssen, H.L.; Papatheodoridis, G.; Zoulim, F.; Tacke, F. EASL 2017 Clinical Practice Guidelines on the management of hepatitis B virus infection. J. Hepatol. 2017, 67, 370–398. [Google Scholar] [CrossRef] [PubMed]
- Dalton, H.R.; Kamar, N.; Baylis, S.A.; Moradpour, D.; Wedemeyer, H.; Negro, F.; Dalton, H.R.; Kamar, N.; Baylis, S.A.; Moradpour, D.; et al. EASL Clinical Practice Guidelines on hepatitis E virus infection. J. Hepatol. 2018, 68, 1256–1271. [Google Scholar] [CrossRef]
- Pawlotsky, J.M.; Negro, F.; Aghemo, A.; Berenguer, M.; Dalgard, O.; Dusheiko, G.; Marra, F.; Puoti, M.; Wedemeyer, H.; European Association for the Study of the Liver. EASL recommendations on treatment of hepatitis C: Final update of the series. J. Hepatol. 2020, 73, 1170–1218. [Google Scholar] [CrossRef]
- CDC Viral Hepatitis—STI Treatment Guidelines. 2021. Available online: https://www.cdc.gov/std/treatment-guidelines/hav.htm (accessed on 22 October 2024).
- Ministério da Saúde do Brasil. Protocolo Clínico e Diretrizes Terapêuticas da Hepatite Autoimune—Comissão Nacional de Incorporação de Tecnologias no Sistema Único de Saúde—CONITEC 2024. Available online: https://www.gov.br/conitec/pt-br/midias/protocolos/portaria-conjunta-14_pcdt-hai_final1_sctie-1.pdf/view (accessed on 31 October 2024).
- Lindor, K.D.; Bowlus, C.L.; Boyer, J.; Levy, C.; Mayo, M. Primary Biliary Cholangitis: 2018 Practice Guidance from the American Association for the Study of Liver Diseases. Hepatology 2018, 69, 394–419. [Google Scholar] [CrossRef]
- SBH. Esteatose Hepática|Sociedade Brasileira de Hepatologia. 2016. Available online: https://sbhepatologia.org.br/imprensa/esteatose-hepatica/ (accessed on 19 September 2021).
- Li, Q.; Lu, C.; Li, W.; Huang, Y.; Chen, L. Impact of age on the diagnostic performances cut-offs of, A.P.R.I.; FIB-4 for significant fibrosis cirrhosis in chronic hepatitis, B. Oncotarget 2017, 8, 45768–45776. [Google Scholar] [CrossRef]
- Lee, J.; Vali, Y.; Boursier, J.; Spijker, R.; Anstee, Q.M.; Bossuyt, P.M.; Zafarmand, M.H. Prognostic accuracy of FIB-4, NAFLD fibrosis score and APRI for NAFLD-related events: A systematic review. Liver Int. 2021, 41, 261–270. [Google Scholar] [CrossRef]
- Chen, C.-J.; Hsieh, L.-L.; Lin, S.-K.; Wang, C.-F.; Huang, Y.-H.; Lin, S.-Y.; Lu, P.-L. diagnostics Optimization of the CDC Protocol of Molecular Diagnosis of COVID-19 for Timely Diagnosis. Diagnostics 2020, 10, 333. [Google Scholar] [CrossRef]
- Corman, V.M.; Landt, O.; Kaiser, M.; Molenkamp, R.; Meijer, A.; Chu, D.K.W.; Bleicker, T.; Brünink, S.; Schneider, J.; Schmidt, M.L.; et al. Detection of 2019 novel coronavirus (2019-nCoV) by real-time, R.T.-P.C.R. Eurosurveillance 2020, 25, 2000045. [Google Scholar] [CrossRef]
- Livak, K.J.; Schmittgen, T.D. Analysis of relative gene expression data using real-time quantitative PCR and the 2(-Delta Delta C(T)) Method. Methods 2001, 25, 402–408. [Google Scholar] [CrossRef]
- Mjelle, R.; Dima, S.O.; Bacalbasa, N.; Chawla, K.; Sorop, A.; Cucu, D.; Herlea, V.; Sætrom, P.; Popescu, I.; Mjelle, R.; et al. Comprehensive transcriptomic analyses of tissue, serum, and serum exosomes from hepatocellular carcinoma patients. BMC Cancer 2019, 19, 1007. [Google Scholar] [CrossRef] [PubMed]
- Wang, W.J.; Lai, R.T.; Lu, J.; Xiang, X.G.; De Zhao, G.; Tang, W.L.; Cai, W.; Wang, H.; Zhou, H.J.; Xie, Q. Correlation between circulating miR-122 and prognosis of chronic HBV-related liver failure. J. Dig. Dis. 2016, 17, 334–339. [Google Scholar] [CrossRef] [PubMed]
- Long, J.-K.; Dai, W.; Zheng, Y.-W.; Zhao, S.-P. miR-122 promotes hepatic lipogenesis via inhibiting the LKB1/AMPK pathway by targeting Sirt1 in non-alcoholic fatty liver disease. Mol. Med. 2019, 25, 26. [Google Scholar] [CrossRef]
- KKasho, A.K.A.; Nahand, J.S.; Salmaninejad, A.; Mirzaei, H.; Moghoofei, M.; Bazmani, A.; Aghbash, P.S.; Rasizadeh, R.; Farsad-Akhtar, N.; Baghi, H.B. PBMC MicroRNAs: Promising Biomarkers for the Differential Diagnosis of COVID-19 Patients with Abnormal Coagulation Indices. Curr. Microbiol. 2023, 80, 248. [Google Scholar] [CrossRef]
- Shaker, O.G.; Senousy, M.A. Serum microRNAs as predictors for liver fibrosis staging in hepatitis C virus-associated chronic liver disease patients. J. Viral Hepat. 2017, 24, 636–644. [Google Scholar] [CrossRef]
- Elmougy, F.A.F.; Mohamed, R.A.; Hassan, M.M.; Elsheikh, S.M.; Marzban, R.N.; Ahmed, F.-E.M.; Elaraby, R.E. Study of serum microRNA19a and microRNA223 as potential biomarkers for early diagnosis of hepatitis C virus-related hepatocellular carcinoma. Gene Rep. 2019, 15, 100398. [Google Scholar] [CrossRef]
- Curcio, R.; Poli, G.; Fabi, C.; Sugoni, C.; Pasticci, M.B.; Ferranti, R.; Rossi, M.; Folletti, I.; Sanesi, L.; Santoni, E.; et al. Exosomal miR-17-5p, miR-146a-3p, and miR-223-3p Correlate with Radiologic Sequelae in Survivors of COVID-19-Related Acute Respiratory Distress Syndrome. Int. J. Mol. Sci. 2023, 24, 13037. [Google Scholar] [CrossRef]
- Ho, P.T.B.; Clark, I.M.; Le, L.T.T. MicroRNA-Based Diagnosis and Therapy. Int. J. Mol. Sci. 2022, 23, 7167. [Google Scholar] [CrossRef]
- Hosseini, A.; Ghaedi, K.; Tanhaei, S.; Ganjalikhani-Hakemi, M.; Teimuri, S.; Etemadifar, M.; Esfahani, M.H.N. Upregulation of CD4+T-Cell Derived MiR-223 in The Relapsing Phase of Multiple Sclerosis Patients. Cell J. 2016, 18, 371–380. [Google Scholar] [CrossRef]
- Fulci, V.; Scappucci, G.; Sebastiani, G.D.; Giannitti, C.; Franceschini, D.; Meloni, F.; Colombo, T.; Citarella, F.; Barnaba, V.; Minisola, G.; et al. miR-223 is overexpressed in T-lymphocytes of patients affected by rheumatoid arthritis. Hum. Immunol. 2010, 71, 206–211. [Google Scholar] [CrossRef]
- Liu, C.-C.; Miao, Y.; Chen, R.-L.; Zhang, Y.-Q.; Wu, H.; Yang, S.-M.; Shang, L.-Q. STIM1 mediates IAV-induced inflammation of lung epithelial cells by regulating NLRP3 and inflammasome activation via targeting miR-223. Life Sci. 2020, 266, 118845. [Google Scholar] [CrossRef] [PubMed]
- Tu, H.; Chen, D.; Cai, C.; Du, Q.; Lin, H.; Pan, T.; Sheng, L.; Xu, Y.; Teng, T.; Tu, J.; et al. microRNA-143-3p attenuated development of hepatic fibrosis in autoimmune hepatitis through regulation of TAK1 phosphorylation. J. Cell Mol. Med. 2020, 24, 1256–1267. [Google Scholar] [CrossRef] [PubMed]
- Wong, V.C.-L.; Wong, M.-I.; Lee, V.H.-F.; Man, K.; Ng, K.T.-P.; Cheung, T.T. Prognostic MicroRNA Fingerprints Predict Recurrence of Early-Stage Hepatocellular Carcinoma Following Hepatectomy. J. Cancer 2023, 14, 480–489. [Google Scholar] [CrossRef]
- Chen, W.-C.; Hu, S.-Y.; Shen, C.-F.; Cheng, M.-H.; Hong, J.-J.; Shen, C.-J.; Cheng, C.-M. COVID-19 Vaccination in Pregnancy: Pilot Study for Maternal and Neonatal MicroRNA Profiles. Vaccines 2023, 11, 1814. [Google Scholar] [CrossRef]
- Dias, T.R.; Dias, F.; Teixeira, A.L.; Sousa, H.; Oliveira, J.; Medeiros, R. MicroRNAs as Potential Tools for Predicting Cancer Patients’ Susceptibility to SARS-CoV-2 Infection and Vaccination Response. Cells 2022, 11, 2279. [Google Scholar] [CrossRef]
- Ma, Z.-H.; Sun, C.-X.; Shi, H.; Fan, J.-H.; Song, Y.-G.; Cong, P.-J.; Kong, X.-M.; Hao, D.-L. Detection of miR-122 by fluorescence real-time PCR in blood from patients with chronic hepatitis B and C infections. Cytokine 2020, 131, 155076. [Google Scholar] [CrossRef]
- Serdar, C.C.; Cihan, M.; Yücel, D.; Serdar, M.A. Sample size, power and effect size revisited: Simplified and practical approachin pre-clinical, clinical and laboratory studies. Biochem. Med. 2021, 31, 27–53. [Google Scholar] [CrossRef]



| Characteristics | Control (n:20) | Hepatitis (n:20) | COVID-19 (n:19) | Hepatitis + COVID-19 (n:11) | Total (n:70) |
|---|---|---|---|---|---|
| Mean Age (±SD) | 47 (±15.87) | 51 (±13.49) | 47 (±14.34) | 50 (±16.32) | 49 (±14.67) |
| Gender (%) | |||||
| Male | 11 (55) | 9 (45) | 6 (32) | 7 (64) | 33 (47) |
| Female | 9 (45) | 11 (55) | 13 (68) | 4 (36) | 37 (53) |
| Mean laboratory markers (±SD) | |||||
| Hemoglobin g/dL | 13.67 (±1.74) | 13.61 (±1.33) | 13.82 (±1.39) | 13.54 (±1.94) | 13.67 (±1.53) |
| Leukocytes mm | 6.437 (±1.403) | 6.214 (±2.498) | 12.136 (±2.207) | 5.546 (±3.092) | 7.739 (±11.590) |
| Band Cells mm3 | 143.9 (±63.73) | 413.5 (±620.5) | 133 (±66) | 529 (±915.5) | 270 (±484) |
| Eosinophils mm3 | 156.81 (±205.9) | 144.4 (±204.4) | 32 (± 51.8) | 125 (±134.3) | 115 (± 172) |
| Basophils mm3 | 6.35 (±19.8) | 4.42 (±13.09) | 4.9 (±21.47) | 0 (±0) | 4.7 (±17.4) |
| Segmented neutrophils mm3 | 3.572 (± 1.246) | 3.865 (±2.215) | 4.510 (±2.530) | 3.708 (±1.894) | 3.936 (±2.012) |
| Lymphocytes mm3 | 2.070 (± 815) | 1.325 (±698) | 1.765 (±890) | 1.148 (±660) | 1.657 (±845) |
| Monocytes mm3 | 408.5 (±136.1) | 397.11 (±180.19) | 543.94 (±305.33) | 493.76 (±318.39) | 425.63 (±232.62) |
| Platelets mm3 | 255.050 (±520.38) | 211.895 (±891.20) | 270.471 (±799.54) | 308.375 (±267.535) | 253.000 (±116.812) |
| Glucose mg/dL | 100 (±36) | 101 (±33) | 121 (±64) | 117 (±34) | 108 (±44) |
| C-reactive protein mg/L | 0.49 (±0.51) | 9.5 (±21.7) | 3.9 (±6.09) | 36.48 (±93.97) | 9.13 (±37.09) |
| Alanine aminotransferase U/L | 35 (±15) | 86 (±125) | 28 (±17) | 44 (±10) | 48 (±72) |
| Aspartate aminotransferase U/L | 20 (±7) | 49 (±35) | 27 (±25) | 46 (±28) | 35 (±27) |
| Gamma-glutamyl transferase U/L | 43 (±29) | 151 (±169) | 49 (±50) | 92 (±75) | 82 (±109) |
| Alkaline phosphatase U/L | 20 (±26) | 106 (±61) | 70 (±22) | 118 (±115) | 87 (±57) |
| Total bilirubin mg/dL | 0.65 (±0.44) | 1.01 (±0.84) | 0.51 (±0.20) | 1.17 (±0.71) | 0.77 (±0.60) |
Disclaimer/Publisher’s Note: The statements, opinions and data contained in all publications are solely those of the individual author(s) and contributor(s) and not of MDPI and/or the editor(s). MDPI and/or the editor(s) disclaim responsibility for any injury to people or property resulting from any ideas, methods, instructions or products referred to in the content. |
© 2024 by the authors. Licensee MDPI, Basel, Switzerland. This article is an open access article distributed under the terms and conditions of the Creative Commons Attribution (CC BY) license (https://creativecommons.org/licenses/by/4.0/).
Share and Cite
da Silva, L.L.; Leon, L.A.A.; da Cruz Moreira, O.; da Costa Nunes Pimentel Coelho, W.L.; da Costa, V.D.; Ivantes, C.A.P.; Pollo-Flores, P.; Lewis-Ximenez, L.L.; de Paula, V.S.; Villar, L.M. Serum microRNA 143 and 223 Gene Expression Profiles as Potential Biomarkers in Individuals with Hepatitis and COVID-19. Viruses 2024, 16, 1734. https://doi.org/10.3390/v16111734
da Silva LL, Leon LAA, da Cruz Moreira O, da Costa Nunes Pimentel Coelho WL, da Costa VD, Ivantes CAP, Pollo-Flores P, Lewis-Ximenez LL, de Paula VS, Villar LM. Serum microRNA 143 and 223 Gene Expression Profiles as Potential Biomarkers in Individuals with Hepatitis and COVID-19. Viruses. 2024; 16(11):1734. https://doi.org/10.3390/v16111734
Chicago/Turabian Styleda Silva, Lucas Lima, Luciane Almeida Amado Leon, Otacílio da Cruz Moreira, Wagner Luis da Costa Nunes Pimentel Coelho, Vanessa Duarte da Costa, Claudia Alexandra Pontes Ivantes, Priscila Pollo-Flores, Lia Laura Lewis-Ximenez, Vanessa Salete de Paula, and Livia Melo Villar. 2024. "Serum microRNA 143 and 223 Gene Expression Profiles as Potential Biomarkers in Individuals with Hepatitis and COVID-19" Viruses 16, no. 11: 1734. https://doi.org/10.3390/v16111734
APA Styleda Silva, L. L., Leon, L. A. A., da Cruz Moreira, O., da Costa Nunes Pimentel Coelho, W. L., da Costa, V. D., Ivantes, C. A. P., Pollo-Flores, P., Lewis-Ximenez, L. L., de Paula, V. S., & Villar, L. M. (2024). Serum microRNA 143 and 223 Gene Expression Profiles as Potential Biomarkers in Individuals with Hepatitis and COVID-19. Viruses, 16(11), 1734. https://doi.org/10.3390/v16111734

