Application of Physiologically Based Pharmacokinetic Modeling to Predict Maternal Pharmacokinetics and Fetal Exposure to Oxcarbazepine
Abstract
1. Introduction
2. Materials and Methods
2.1. Software, Clinical Data, and General Workflow
2.2. Development of a Non-Pregnant Population Model
2.3. Development of Pregnancy Population PBPK Models
2.4. Dose Simulations Based on the Pregnancy Model
2.5. Parameterization of Placental Transfer
- (1)
- In vitro cotyledon perfusion experiment
- (2)
- Two other methods
2.6. Evaluation of the PBPK Models
3. Results
3.1. OXC Model Development and Verification
3.2. PK Prediction in the Pregnant Population
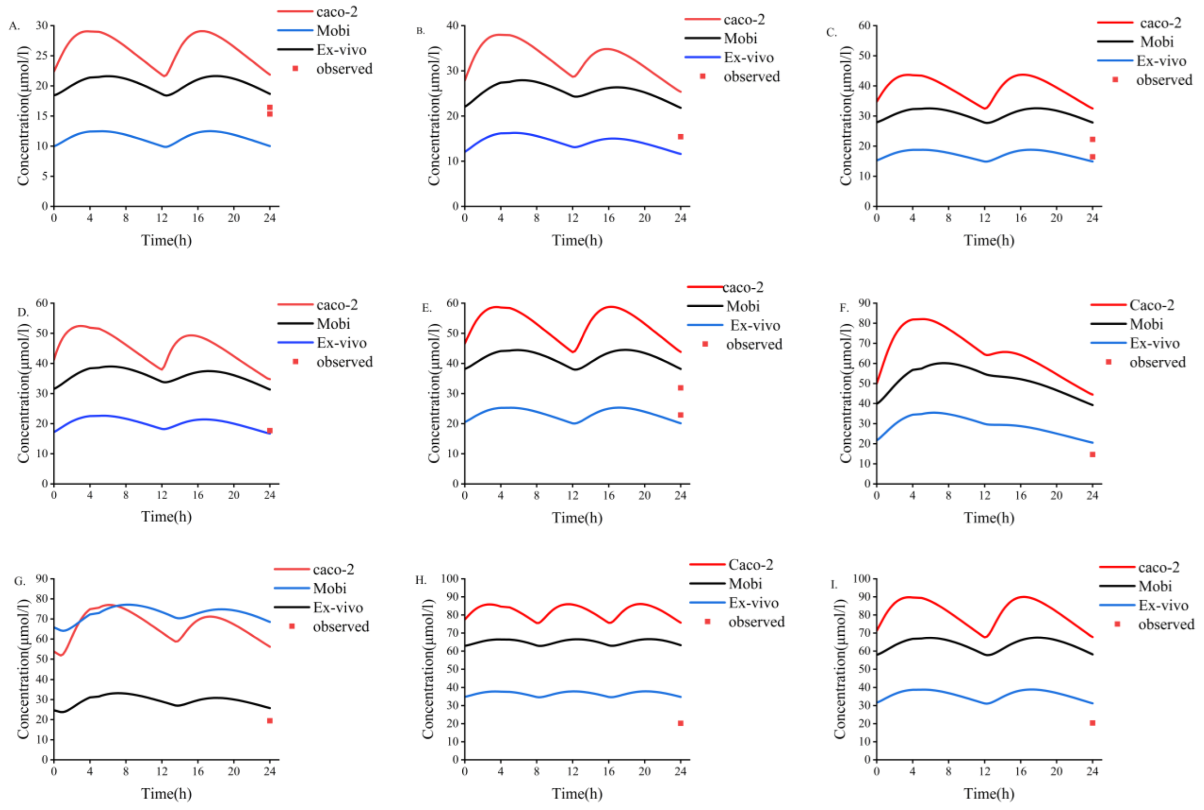
3.3. Dose Simulation in Pregnancy
3.4. Comparison of Different Estimation Methods of Placental Permeability
4. Discussion
5. Conclusions
Supplementary Materials
Author Contributions
Funding
Institutional Review Board Statement
Informed Consent Statement
Data Availability Statement
Conflicts of Interest
References
- Pienimäki, P.; Lampela, E.; Hakkola, J.; Arvela, P.; Raunio, H.; Vähäkangas, K. Pharmacokinetics of oxcarbazepine and car-bamazepine in human placenta. Epilepsia 1997, 38, 309–316. [Google Scholar] [CrossRef] [PubMed]
- May, T.W.; Korn-Merker, E.; Rambeck, B. Clinical Pharmacokinetics of Oxcarbazepine. Clin. Pharmacokinet. 2003, 42, 1023–1042. [Google Scholar] [CrossRef] [PubMed]
- Jang, Y.; Yoon, S.; Kim, T.-J.; Lee, S.; Yu, K.-S.; Jang, I.-J.; Chu, K.; Lee, S.K. Population pharmacokinetic model development and its relationship with adverse events of oxcarbazepine in adult patients with epilepsy. Sci. Rep. 2021, 11, 658–666. [Google Scholar] [CrossRef]
- Sabers, A.; Petrenaite, V. Pharmacokinetics of antiepileptic drugs in pregnancy. Expert Rev. Clin. Pharmacol. 2008, 1, 129–136. [Google Scholar] [CrossRef] [PubMed]
- Mazzucchelli, I.; Onat, F.Y.; Ozkara, C.; Atakli, D.; Specchio, L.M.; La Neve, A.; Gatti, G.; Perucca, E. Changes in the Disposition of Oxcarbazepine and Its Metabolites during Pregnancy and the Puerperium. Epilepsia 2006, 47, 504–509. [Google Scholar] [CrossRef] [PubMed]
- Voinescu, P.E.; Park, S.; Chen, L.Q.; Stowe, Z.N.; Newport, D.J.; Ritchie, J.C.; Pennell, P.B. Antiepileptic drug clearances during pregnancy and clinical implications for women with epilepsy. Neurology 2018, 91, e1228–e1236. [Google Scholar] [CrossRef]
- Arfman, I.J.; der Heijden, E.A.W.-V.; ter Horst, P.G.J.; Lambrechts, D.A.; Wegner, I.; Touw, D.J. Therapeutic Drug Monitoring of Antiepileptic Drugs in Women with Epilepsy before, During, and after Pregnancy. Clin. Pharmacokinet. 2020, 59, 427–445. [Google Scholar] [CrossRef]
- Yin, X.; Liu, Y.; Guo, Y.; Zhao, L.; Li, G.; Tan, X. Pharmacokinetic changes for newer antiepileptic drugs and seizure control during pregnancy. CNS Neurosci. Ther. 2022, 28, 658–666. [Google Scholar] [CrossRef]
- The EURAP Study Group. Seizure control and treatment in pregnancy: Observations from the EURAP Epilepsy Pregnancy Registry. Neurology 2005, 66, 354–360. [Google Scholar] [CrossRef]
- Montouris, G. Safety of the newer antiepileptic drug oxcarbazepine during pregnancy. Curr. Med. Res. Opin. 2005, 21, 693–701. [Google Scholar] [CrossRef]
- Perucca, E. Birth defects after prenatal exposure to antiepileptic drugs. Lancet Neurol. 2005, 4, 781–786. [Google Scholar] [CrossRef]
- Blotière, P.-O.; Raguideau, F.; Weill, A.; Elefant, E.; Perthus, I.; Goulet, V.; Rouget, F.; Zureik, M.; Coste, J.; Dray-Spira, R. Risks of 23 specific malformations associated with prenatal exposure to 10 antiepileptic drugs. Neurology 2019, 93, e167–e180. [Google Scholar] [CrossRef] [PubMed]
- Uziel, D.; Rozental, R. Neurologic birth defects after prenatal exposure to antiepileptic drugs. Epilepsia 2008, 49, 35–42. [Google Scholar] [CrossRef] [PubMed]
- Veroniki, A.A.; Rios, P.; Cogo, E.; Straus, S.E.; Finkelstein, Y.; Kealey, R.; Reynen, E.; Soobiah, C.; Thavorn, K.; Hutton, B.; et al. Comparative safety of antiepileptic drugs for neurological development in children exposed during pregnancy and breast feeding: A systematic review and network meta-analysis. BMJ Open 2017, 7, e017248. [Google Scholar] [CrossRef] [PubMed]
- Tomson, T.; Battino, D.; Bonizzoni, E.; Craig, J.; Lindhout, D.; Perucca, E.; Sabers, A.; Thomas, S.V.; Vajda, F.; Faravelli, F.; et al. Comparative risk of major congenital malformations with eight different antiepileptic drugs: A prospective cohort study of the EURAP registry. Lancet Neurol. 2018, 17, 530–538. [Google Scholar] [CrossRef]
- Kapraun, D.F.; Wambaugh, J.F.; Setzer, R.W.; Judson, R.S. Empirical models for anatomical and physiological changes in a human mother and fetus during pregnancy and gestation. PLoS ONE 2019, 14, e0215906. [Google Scholar] [CrossRef]
- Dallmann, A.; Solodenko, J.; Ince, I.; Eissing, T. Applied Concepts in PBPK Modeling: How to Extend an Open Systems Pharmacology Model to the Special Population of Pregnant Women. CPT Pharmacometrics Syst. Pharmacol. 2018, 7, 419–431. [Google Scholar] [CrossRef]
- Mian, P.; Allegaert, K.; Conings, S.; Annaert, P.; Tibboel, D.; Pfister, M.; van Calsteren, K.; Anker, J.N.V.D.; Dallmann, A. Integration of Placental Transfer in a Fetal–Maternal Physiologically Based Pharmacokinetic Model to Characterize Acetaminophen Exposure and Metabolic Clearance in the Fetus. Clin. Pharmacokinet. 2020, 59, 911–925. [Google Scholar] [CrossRef]
- Flesch, G.; Czendlik, C.; Renard, D.; Lloyd, P. Pharmacokinetics of the Monohydroxy Derivative of Oxcarbazepine and Its Enantiomers after a Single Intravenous Dose Given as Racemate Compared with a Single Oral Dose of Oxcarbazepine. Drug Metab. Dispos. 2011, 39, 1103–1110. [Google Scholar] [CrossRef]
- Lloyd, P.; Flesch, G.; Dieterle, W. Clinical Pharmacology and Pharmacokinetics of Oxcarbazepine. Epilepsia 1994, 35, S10–S13. [Google Scholar] [CrossRef]
- Van Heiningen, P.N.M.; Eve, M.D.; Oosterhuis, B.; Jonkman, J.H.G.; De Bruin, H.; Hulsman, J.A.R.J.; Richens, A.; Jensen, P.K. The influence of age on the pharmacokinetics of the antiepileptic agent oxcarbazepine. Clin. Pharmacol. Ther. 1991, 50, 410–419. [Google Scholar] [CrossRef] [PubMed]
- Flesch, G.; Tudor, D.; Denouel, J.; Bonner, J.; Camisasca, R. Assessment of the bioequivalence of two oxcarbazepine oral suspensions versus a film-coated tablet in healthy subjects. Int. J. Clin. Pharmacol. Ther. 2003, 41, 299–308. [Google Scholar] [CrossRef] [PubMed]
- Larkin, J.; McKee, P.; Forrest, G.; Beastall, G.; Park, B.; Lowrie, J.; Lloyd, P.; Brodie, M. Lack of enzyme induction with oxcarbazepine (600 mg daily) in healthy subjects. Br. J. Clin. Pharmacol. 1991, 31, 65–71. [Google Scholar] [CrossRef] [PubMed]
- Rouan, M.C.; Lecaillon, J.B.; Godbillon, J.; Menard, F.; Darragon, T.; Meyer, P.; Kourilsky, O.; Hillion, D.; Aldigier, J.C.; Jungers, P. The effect of renal impairment on the pharmacokinetics of oxcarbazepine and its metabolites. Eur. J. Clin. Pharmacol. 1994, 47, 161–167. [Google Scholar] [CrossRef]
- Zheng, L.; Yang, H.; Dallmann, A.; Jiang, X.; Wang, L.; Hu, W. Physiologically Based Pharmacokinetic Modeling in Pregnant Women Suggests Minor Decrease in Maternal Exposure to Olanzapine. Front. Pharmacol. 2022, 12, 793346. [Google Scholar] [CrossRef]
- Sinha, J.; Karatza, E.; Gonzalez, D. Physiologically-Based Pharmacokinetic Modeling of Oxcarbazepine and Levetiracetam During Adjunctive Antiepileptic Therapy in Children and Adolescents. CPT Pharmacomet. Syst. Pharmacol. 2021, 11, 225–239. [Google Scholar] [CrossRef]
- Zheng, L.; Tang, S.; Tang, R.; Xu, M.; Jiang, X.; Wang, L. Dose Adjustment of Quetiapine and Aripiprazole for Pregnant Women Using Physiologically Based Pharmacokinetic Modeling and Simulation. Clin. Pharmacokinet. 2020, 60, 623–635. [Google Scholar] [CrossRef]
- Dallmann, A.; Ince, I.; Solodenko, J.; Meyer, M.; Willmann, S.; Eissing, T.; Hempel, G. Physiologically Based Pharmacokinetic Modeling of Renally Cleared Drugs in Pregnant Women. Clin. Pharmacokinet. 2017, 56, 1525–1541. [Google Scholar] [CrossRef]
- Dallmann, A.; Ince, I.; Meyer, M.; Willmann, S.; Eissing, T.; Hempel, G. Gestation-Specific Changes in the Anatomy and Physiology of Healthy Pregnant Women: An Extended Repository of Model Parameters for Physiologically Based Pharmacokinetic Modeling in Pregnancy. Clin. Pharmacokinet. 2017, 56, 1303–1330. [Google Scholar] [CrossRef]
- Berezhkovskiy, L.M. A Valid Equation for the Well-Stirred Perfusion Limited Physiologically Based Pharmacokinetic Model that Consistently Accounts for the Blood–Tissue Drug Distribution in the Organ and the Corresponding Valid Equation for the Steady State Volume of Distribution. J. Pharm. Sci. 2010, 99, 475–485. [Google Scholar] [CrossRef]
- Berezhkovskiy, L.M. Exploration of PBPK Model—Calculation of Drug Time Course in Tissue Using IV Bolus Drug Plasma Concentration-Time Profile and the Physiological Parameters of the Organ. J. Pharm. Sci. 2016, 105, 2453–2458. [Google Scholar] [CrossRef] [PubMed]
- Malátková, P.; Havlíková, L.; Wsól, V. The role of carbonyl reducing enzymes in oxcarbazepine in vitro metabolism in man. Chem. Interact. 2014, 220, 241–247. [Google Scholar] [CrossRef] [PubMed]
- Patsalos, P.N.; Berry, D.J.; Bourgeois, B.F.D.; Cloyd, J.C.; Glauser, T.A.; Johannessen, S.I.; Leppik, I.E.; Tomson, T.; Perucca, E. Antiepileptic drugs—Best practice guidelines for therapeutic drug monitoring: A position paper by the subcommission on therapeutic drug monitoring, ILAE Commission on Therapeutic Strategies. Epilepsia 2008, 49, 1239–1276. [Google Scholar] [CrossRef] [PubMed]
- Schachter, S.; Vazquez, B.; Fisher, R.; Laxer, K.; Montouris, G.; Combs-Cantrell, D.; Faught, E.; Willmore, L.; Morris, G.; Ojemann, L.; et al. Oxcarbazepine: Double-blind, randomized, placebo-control, monotherapy trial for partial seizures. Neurology 1999, 52, 732. [Google Scholar] [CrossRef]
- Beydoun, A.; Sachdeo, R.; Rosenfeld, W.; Krauss, G.; Sessler, N.; Mesenbrink, P.; Kramer, L.; D’Souza, J. Oxcarbazepine monotherapy for partial-onset seizures. Neurology 2000, 54, 2245–2251. [Google Scholar] [CrossRef]
- Sachdeo, R.; Beydoun, A.; Schachter, S.; Vazquez, B.; Schaul, N.; Mesenbrink, P.; Kramer, L.; D’Souza, J. Oxcarbazepine (Trileptal) as monotherapy in patients with partial seizures. Neurology 2001, 57, 864–871. [Google Scholar] [CrossRef]
- Schmidt, D.; Sachdeo, R. Oxcarbazepine for Treatment of Partial Epilepsy: A Review and Recommendations for Clinical Use. Epilepsy Behav. 2000, 1, 396–405. [Google Scholar] [CrossRef]
- Mendes, M.D.S.; Hirt, D.; Vinot, C.; Valade, E.; Lui, G.; Pressiat, C.; Bouazza, N.; Foissac, F.; Blanche, S.; Lê, M.P.; et al. Prediction of human fetal pharmacokinetics using ex vivo human placenta perfusion studies and physiologically based models. Br. J. Clin. Pharmacol. 2016, 81, 646–657. [Google Scholar] [CrossRef]
- Liu, X.I.; Momper, J.D.; Rakhmanina, N.Y.; Green, D.J.; Burckart, G.J.; Cressey, T.R.; Mirochnick, M.; Best, B.M.; Anker, J.N.V.D.; Dallmann, A. Prediction of Maternal and Fetal Pharmacokinetics of Dolutegravir and Raltegravir Using Physiologically Based Pharmacokinetic Modeling. Clin. Pharmacokinet. 2020, 59, 1433–1450. [Google Scholar] [CrossRef]
- Liu, X.I.; Momper, J.D.; Rakhmanina, N.; Anker, J.N.D.; Green, D.J.; Burckart, G.J.; Best, B.M.; Mirochnick, M.; Capparelli, E.V.; Dallmann, A. Physiologically Based Pharmacokinetic Models to Predict Maternal Pharmacokinetics and Fetal Exposure to Emtricitabine and Acyclovir. J. Clin. Pharmacol. 2019, 60, 240–255. [Google Scholar] [CrossRef]
- Zhang, Z.; Unadkat, J.D. Development of a Novel Maternal-Fetal Physiologically Based Pharmacokinetic Model II: Verification of the Model for Passive Placental Permeability Drugs. Drug Metab. Dispos. 2017, 45, 939–946. [Google Scholar] [CrossRef] [PubMed]
- Huang, S.-M.; Rowland, M. The Role of Physiologically Based Pharmacokinetic Modeling in Regulatory Review. Clin. Pharmacol. Ther. 2012, 91, 542–549. [Google Scholar] [CrossRef] [PubMed]
- Degen, P.H.; Flesch, G.; Cardot, J.-M.; Czendlik, C.; Dieterle, W. The influence of food on the disposition of the antiepileptic oxcarbazepine and its major metabolites in healthy volunteers. Biopharm. Drug Dispos. 1994, 15, 519–526. [Google Scholar] [CrossRef] [PubMed]
- Open-Systems-Pharmacology. Available online: https://github.com/Open-Systems-Pharmacology/OSPSuite.Documentation/blob/master/PK-Sim%20Ontogeny%20Database%20Version%207.3.pdf (accessed on 31 August 2022).
- Lu, Y.; Fang, Y.; Wu, X.; Ma, C.; Wang, Y.; Xu, L. Effects of UGT1A9 genetic polymorphisms on monohydroxylated derivative of oxcarbazepine concentrations and oxcarbazepine monotherapeutic efficacy in Chinese patients with epilepsy. Eur. J. Clin. Pharmacol. 2016, 73, 307–315. [Google Scholar] [CrossRef]
- Christensen, J.; Sabers, A.; Sidenius, P. Oxcarbazepine concentrations during pregnancy: A retrospective study in patients with epilepsy. Neurology 2006, 67, 1497–1499. [Google Scholar] [CrossRef]
- Pennell, P.B.; Karanam, A.; Meador, K.J.; Gerard, E.; Kalayjian, L.; Penovich, P.; Matthews, A.; McElrath, T.M.; Birnbaum, A.K.; Cohen, M.; et al. Antiseizure Medication Concentrations During Pregnancy. JAMA Neurol. 2022, 79, 370. [Google Scholar] [CrossRef]
- Fortuna, A.; Alves, G.; Soares-Da-Silva, P.; Falcão, A. Optimization of a Parallel Artificial Membrane Permeability Assay for the Fast and Simultaneous Prediction of Human Intestinal Absorption and Plasma Protein Binding of Drug Candidates: Application to Dibenz[b,f]azepine-5-Carboxamide Derivatives. J. Pharm. Sci. 2012, 101, 530–540. [Google Scholar] [CrossRef]
- Myllynen, P.; Pienimäki, P.; Jouppila, P.; Vähäkangas, K. Transplacental Passage of Oxcarbazepine and Its Metabolites In Vivo. Epilepsia 2002, 42, 1482–1485. [Google Scholar] [CrossRef]
- Bülau, P.; Paar, W.D.; Von Unruh, G.E. Pharmacokinetics of oxcarbazepine and 10-hydroxy-carbazepine in the newborn child of an oxcarbazepine-treated mother. Eur. J. Clin. Pharmacol. 1988, 34, 311–313. [Google Scholar] [CrossRef]
- Myllynen, P.; Pienimäki, P.; Raunio, H.; Vähäkangas, K. Microsomal metabolism of carbamazepine and oxcarbazepine in liver and placenta. Hum. Exp. Toxicol. 1998, 17, 668–676. [Google Scholar] [CrossRef]
- Antunes, N.D.J.; van Dijkman, S.C.; Lanchote, V.L.; Wichert-Ana, L.; Coelho, E.B.; Junior, V.A.; Takayanagui, O.M.; Tozatto, E.; van Hasselt, J.C.; Della Pasqua, O. Population pharmacokinetics of oxcarbazepine and its metabolite 10-hydroxycarbazepine in healthy subjects. Eur. J. Pharm. Sci. 2017, 109, S116–S123. [Google Scholar] [CrossRef] [PubMed]
- Song, L.; Yu, Z.; Xu, Y.; Li, X.; Liu, X.; Liu, D.; Zhou, T. Preliminary Physiologically Based Pharmacokinetic Modeling of Renally Cleared Drugs in Chinese Pregnant Women. Biopharm. Drug Dispos. 2020, 41, 248–267. [Google Scholar] [CrossRef] [PubMed]






| Reference | Drug | Form | Dose (mg) | Dosing Frequency | Weight (kg) | Age (Year) | Number of Participants (%Female) |
|---|---|---|---|---|---|---|---|
| Flesch et al., 2011 [19] | OXC | Tablets | 300 | Single | NR | NR | 12 (50%) |
| MHD | solution | 250 | |||||
| Lloyd et al. [20] | OXC | NR | 600 | Single | NR | NR | NR |
| 300 bid | Multiple | ||||||
| pauline et al. [21] | OXC | Tablets | 600 | Single | 47.6–80.7 | 60–79 | 12 (100%) |
| 150(1) 300 bid | Multiple | ||||||
| Flesch et al., 2003 [22] | OXC | Tablets | 600 | Single | 53–87 | 21–37 | 12 (0%) |
| suspension | |||||||
| Larkin et al. [23] | OXC | Tablets | 300 bid | Multiple | 70–89 | 22–43 | 8 (0%) |
| Degen et al. [24] | OXC | Tablets | 600 | Single | 70–93 | 37–51 | 6 (0%) |
| Rouan et al. [24] | OXC | Tablets | 300 | Single | 70 (mean) | 24–35 | 6 (0%) |
| Parameter (Unit) | Oxcarbazepine | References | 10-Monohydroxy Derivative | References |
|---|---|---|---|---|
| Molecular weight (g/mol) | 252.27 | drug bank | 254.28 | drug bank |
| Lipophilicity (log units) | 1.31 | drug bank | 1.2 | drug bank |
| pKa (acid) | 13.73 | drug bank | NA | |
| Fraction unbound | 0.35 | drug bank | 0.6 | drug bank |
| Major binding protein | Unknown | albumin | ||
| Solubility (pH 7) (mg/mL) | 0.3 | [15] | NA | |
| Weibull 50% dissolution time (min) | 98.66 | fitted | NA | |
| Intestinal permeability (transcellular) (cm/min) | 4.45 × 10−5 | [9] | 3.79 × 10−5 | fitted |
| Model for estimating organ-to-plasma partition coefficients | PK-sim Standard | Berezhkovskiy | ||
| Metabolic clearance parameters | ||||
| CLintAKR1C1 (µL/min/pmol enzyme) | 0.465 | [9,17] | NA | |
| CLintAKR1C2 (µL/min/pmol enzyme) | 0.53 | [9,17] | NA | |
| CLintAKR1C3 (µL/min/pmol enzyme) | 0.392 | [9,17] | NA | |
| CLintAKR1C4 (µL/min/pmol enzyme) | 0.13 | [9,17] | NA | |
| Vmax UGT1A9 (μmol/L/min) | NA | 10.8 | [32] a | |
| Km UGT1A9 (μmol/L) | NA | 150.07 | ||
| Kcat UGT1A9 (L/min) | NA | 19.88 | ||
| Vmax UGT2B7 (μmol/L/min) | NA | 35.32 | [32] a | |
| Km UGT2B7 (μmol/L) | NA | 3314 | ||
| Kcat UGT2B7 (L/min) | NA | 5.66 | ||
| Renal clearance parameters | ||||
| CLint,R (L/min) | 0 | 0.05 | [10,26] a |
| Study | Dose | Sim | Methods | Cmax/Cmax-ss (μg/mL) | AUC/AUCτ-ss (μg·h/mL) | tmax (h) |
|---|---|---|---|---|---|---|
| Flesch et al., 2011 [19] | MHDiv250 mg | MHD | Predicted | 7.36 | 58.51 | 0.50 |
| Observed | 7.61 | 55.80 | 0.56 | |||
| FE | 0.97 | 1.05 | 0.89 | |||
| Rouan et al. [24] | OXC po300 mg | MHD | Predicted | 3.07 | 80.06 | 5.25 |
| Observed | 3.17 | 104.68 | 5.97 | |||
| FE | 0.97 | 0.76 | 0.88 | |||
| Lloyd et al. [20] | OXC po 600 mg | OXC | Predicted | 1.08 | 3.34 | 0.65 |
| Observed | 0.78 | 2.3 | 0.8 | |||
| FE | 1.38 | 1.45 | 0.81 | |||
| MHD | Predicted | 6.59 | 163.49 | 5.25 | ||
| Observed | 6.37 | 161.56 | 5.96 | |||
| FE | 1.03 | 1.01 | 0.88 | |||
| Degen et al. [43] | OXC po600 mg | OXC | Predicted | 0.89 | 3.07 | 0.75 |
| Observed | 0.96 | 4.68 | 1.00 | |||
| FE | 0.93 | 0.66 | 0.75 | |||
| MHD | Predicted | 5.61 | 145.90 | 5.25 | ||
| Observed | 6.50 | 175.84 | 6.06 | |||
| FE | 0.86 | 0.83 | 0.87 | |||
| pauline et al. [21] | OXC po600 mg | MHD | Predicted | 6.67 | 199.11 | 5.00 |
| Observed | 6.87 | 224.06 | 5.25 | |||
| FE | 0.97 | 0.89 | 0.95 | |||
| Flesch et al., 2003 [22] | OXC po 600 mg | MHD (Table) | Predicted | 6.42 | 147.7 | 5.0 |
| Observed | 7.4 | 173.59 | 5.0 | |||
| FE | 0.87 | 0.85 | 1.0 | |||
| MHD (Sus) | Predicted | 6.42 | 147.7 | 5.0 | ||
| Observed | 5.93 | 165.05 | 4.0 | |||
| FE | 1.08 | 0.89 | 1.25 | |||
| pauline et al. [21] | OXC 150 mg (1) 300 mg bid | MHD | Predicted | 9.47 | 267.23 | 3.50 |
| Observed | 11.72 | 221.60 | 3.25 | |||
| FE | 0.81 | 1.21 | 1.08 |
| Trimester | Total MHD | Unbound MHD | ||||
|---|---|---|---|---|---|---|
| Observed | Predicted | Fold-Error | Observed | Predicted | Fold-Error | |
| baseline | 11.5 | 10.96 | 1.0 | 6.2 | 6.6 | 1.06 |
| 1st trimester | 9.1 | 9.22 | 1.0 | 5.6 | 5.7 | 1.01 |
| 2nd trimester | 7.8 | 7.13 | 0.9 | 4.3 | 4.6 | 1.07 |
| 3rd trimester | 8.1 | 6.41 | 0.8 | 4.4 | 4.3 | 0.97 |
| Method | Baseline Conc | 6 Weeks Gestation | 20 Weeks Gestation | 34 Weeks Gestation | |||
|---|---|---|---|---|---|---|---|
| Conc | Change (%) | Conc | Change (%) | Conc | Change (%) | ||
| PBPK model | 10.96 | 9.22 | −15.9 | 7.13 | −34.9 | 6.41 | −41.5 |
| Regression curve | 11.5 | 9.1 | −20.9 | 7.8 | −32.2 | 8.1 | −29.6 |
| Dose Group | Trimester | AUC0-inf (μg·h/mL) | AUCR | Cmax,ss (mg/L) | CR (max) | Cmin,ss (mg/L) | CR (min) |
|---|---|---|---|---|---|---|---|
| 600 mg/d | Baseline | 1092.23 | 8.80 | 6.46 | |||
| 1st trimester | 975.09 | 0.89 | 7.7 | 0.88 | 5.47 | 0.85 | |
| 2nd trimester | 766.74 | 0.70 | 6.18 | 0.70 | 4.15 | 0.64 | |
| 3rd trimester | 700.33 | 0.72 | 5.66 | 0.64 | 3.78 | 0.59 | |
| 900 mg/d | Baseline | 1654.52 | 13.40 | 9.87 | |||
| 1st trimester | 1444.02 | 0.87 | 11.67 | 0.87 | 8.3 | 0.84 | |
| 2nd trimester | 1151.79 | 0.70 | 9.31 | 0.69 | 6.25 | 0.63 | |
| 3rd trimester | 1050.99 | 0.64 | 8.51 | 0.64 | 5.69 | 0.58 | |
| 1200 mg/d | Baseline | 2238.48 | 18.22 | 13.52 | |||
| 1st trimester | 1934.96 | 0.86 | 15.73 | 0.86 | 11.35 | 0.84 | |
| 2nd trimester | 1563.68 | 0.70 | 12.66 | 0.69 | 8.56 | 0.63 | |
| 3rd trimester | 1416.65 | 0.63 | 11.49 | 0.63 | 7.69 | 0.57 | |
| 1500 mg/d | Baseline | 2842.33 | 23.25 | 17.4 | |||
| 1st trimester | 2468.07 | 0.87 | 20.09 | 0.86 | 14.49 | 0.83 | |
| 2nd trimester | 1955.03 | 0.69 | 15.87 | 0.68 | 10.76 | 0.62 | |
| 3rd trimester | 1777.89 | 0.63 | 14.45 | 0.62 | 9.74 | 0.56 | |
| 1800 mg/d | Baseline | 3458.85 | 28.44 | 21.48 | |||
| 1st trimester | 2999.37 | 0.87 | 24.50 | 0.86 | 17.83 | 0.83 | |
| 2nd trimester | 2368.88 | 0.68 | 19.27 | 0.68 | 13.17 | 0.61 | |
| 3rd trimester | 2150.37 | 0.62 | 17.50 | 0.62 | 11.88 | 0.55 | |
| 2100 mg/d | Baseline | 4080.55 | 33.73 | 25.71 | |||
| 1st trimester | 3536.62 | 0.87 | 29.00 | 0.86 | 21.30 | 0.83 | |
| 2nd trimester | 2785.70 | 0.68 | 22.71 | 0.67 | 15.65 | 0.61 | |
| 3rd trimester | 2523.45 | 0.62 | 20.57 | 0.61 | 14.08 | 0.55 | |
| 2400 mg/d | Baseline | 4699.85 | 39.04 | 30.04 | |||
| 1st trimester | 4074.07 | 0.87 | 33.53 | 0.86 | 24.86 | 0.83 | |
| 2nd trimester | 3201.03 | 0.68 | 26.14 | 0.67 | 18.18 | 0.61 | |
| 3rd trimester | 2893.02 | 0.62 | 23.62 | 0.61 | 16.31 | 0.54 |
| Parameter | Dpl (mL/min) | Kf,m |
|---|---|---|
| OXC | ||
| Ex vivo cotyledon perfusion | 597.27 | 0.75 |
| Scaling of placental transfer rate via Caco-2cell permeability(according to Zhang et al. [41].) | 1460 | 1.0 |
| Scaling of placental transfer rate via physico- chemical properties(MoBi default method) | 269.04 | 1.0 |
| MHD | ||
| Ex vivo cotyledon perfusion | 129.62 | 0.40 |
| Scaling of placental transfer rate via Caco-2 cell permeability(according to Zhang et al. [41].) | 140 | 1.0 |
| Scaling of placental transfer rate via physico- chemical properties(MoBi default method) | 199.42 | 1.0 |
| Dose (mg) | Scaling of Placental Transfer Rate via Caco-2 Cell Permeability | Scaling of Placental Transfer Rate via Physicochemical Properties | Ex Vivo Cotyledon Perfusion Experiment | ||||||
|---|---|---|---|---|---|---|---|---|---|
| Simulation | Observed | Ratio | Simulation | Observed | Ratio | Simulation | Observed | Ratio | |
| 300 × 2 | 21.86 | 15.89 | 1.38 | 18.66 | 15.89 | 1.17 | 10 | 15.89 | 0.63 |
| 300 + 450 | 25.35 | 15.42 | 1.64 | 21.82 | 15.42 | 1.42 | 11.6 | 15.42 | 0.75 |
| 450 × 2 | 32.5 | 19.35 | 1.68 | 27.84 | 19.35 | 1.44 | 14.9 | 19.35 | 0.77 |
| 450 + 600 | 34.76 | 17.7 | 1.96 | 31.33 | 17.7 | 1.77 | 16.88 | 17.7 | 0.95 |
| 600 × 2 | 43.81 | 27.39 | 1.60 | 38.15 | 27.39 | 1.39 | 20.11 | 27.39 | 0.73 |
| 300 + 1200 | 44.47 | 14.63 | 3.04 | 39.21 | 14.63 | 2.68 | 20.51 | 14.63 | 1.40 |
| 600 + 900 | 56.15 | 19.47 | 2.88 | 68.52 | 19.47 | 3.52 | 25.75 | 19.47 | 1.32 |
| 600 × 3 | 75.71 | 20.2 | 3.75 | 63.23 | 20.2 | 3.13 | 34.8 | 20.2 | 1.72 |
| 900 × 2 | 67.8 | 20.37 | 3.33 | 58.18 | 20.37 | 2.86 | 31.2 | 20.37 | 1.53 |
Publisher’s Note: MDPI stays neutral with regard to jurisdictional claims in published maps and institutional affiliations. |
© 2022 by the authors. Licensee MDPI, Basel, Switzerland. This article is an open access article distributed under the terms and conditions of the Creative Commons Attribution (CC BY) license (https://creativecommons.org/licenses/by/4.0/).
Share and Cite
He, L.; Ke, M.; Wu, W.; Chen, J.; Guo, G.; Lin, R.; Huang, P.; Lin, C. Application of Physiologically Based Pharmacokinetic Modeling to Predict Maternal Pharmacokinetics and Fetal Exposure to Oxcarbazepine. Pharmaceutics 2022, 14, 2367. https://doi.org/10.3390/pharmaceutics14112367
He L, Ke M, Wu W, Chen J, Guo G, Lin R, Huang P, Lin C. Application of Physiologically Based Pharmacokinetic Modeling to Predict Maternal Pharmacokinetics and Fetal Exposure to Oxcarbazepine. Pharmaceutics. 2022; 14(11):2367. https://doi.org/10.3390/pharmaceutics14112367
Chicago/Turabian StyleHe, Lixia, Meng Ke, Wanhong Wu, Jiarui Chen, Guimu Guo, Rongfang Lin, Pinfang Huang, and Cuihong Lin. 2022. "Application of Physiologically Based Pharmacokinetic Modeling to Predict Maternal Pharmacokinetics and Fetal Exposure to Oxcarbazepine" Pharmaceutics 14, no. 11: 2367. https://doi.org/10.3390/pharmaceutics14112367
APA StyleHe, L., Ke, M., Wu, W., Chen, J., Guo, G., Lin, R., Huang, P., & Lin, C. (2022). Application of Physiologically Based Pharmacokinetic Modeling to Predict Maternal Pharmacokinetics and Fetal Exposure to Oxcarbazepine. Pharmaceutics, 14(11), 2367. https://doi.org/10.3390/pharmaceutics14112367

