Abstract
This paper examines the use of vinpocetine in the context of clinical pharmacology. The main and active metabolite of vinpocetine is apovincaminic acid (AVA). Due to the scarce information in the literature on AVA pharmacokinetics, we propose a population pharmacokinetic (PopPK) model for AVA based on a study in healthy volunteers with three different formulations of vinpocetine. The suggested PopPK model (and simulations) could be helpful in ensuring the more effective and safer use of the vinpocetine in the future given the increasing range of suggested indications for its use.
1. Introduction
Pharmacology and pharmacognosy are two related scientific fields that are traditionally studied independently, despite having shared interests in the effects of drugs on the human body. Among the various natural products that have significant pharmacological importance, alkaloids are the most frequently encountered. For instance, the plant family Apocynaceae boasts over 2500 different types of alkaloids [1]. Some of the most visually appealing plants in this family, such as Catharanthus roseus (Madagascar periwinkle), contain vinca alkaloids vincristine and vinblastine, which are well-known antineoplastic agents. Vinca minor (genus Vinca) is another plant in this family that contains vincamine, along with several other vinca alkaloids [2]. The chemical structure of alkaloids, including vinca, is modifiable, leading to the creation of new semi-synthetic and synthetic derivatives with varying pharmacological properties [3].
Vinpocetine (Figure 1) is a semi-synthetic derivative of vincamine [4], or more precisely, it is a derivative (ethyl ester) of apovincamine which is a reaction product of heating vincamine at very high temperatures [5]. Vinpocetine was firstly marketed in Hungary as Cavinton® by Gedeon Richter Ltd., Budapest, Hungary (formerly Organon), and it is one of their best-selling products in their central nervous system portfolio to this day [6]. Since the 1980s, the use of vinpocetine has spread to countries including Germany, Poland, Russia, Japan, Portugal, and others [7], where it was used as a supportive treatment in acute ischemic stroke. The main active de-esterified metabolite of vinpocetine is apovincaminic acid (AVA) (Figure 1) [8,9].
Figure 1.
Chemical structures of vinpocetine and vinca alkaloids (from left to right: vinpocetine (A), apovincamine (B), and vincamine (C)). Vinpocetine is also known as ethyl apovincaminate (an ethyl group is depicted by an arrow). Figures are computed using an open-source tool [10].
Nowadays, vinpocetine in the form of tablets (5 mg to 15 mg) [11,12,13,14] is claimed to support healthy brain function and improve brain blood flow, which facilitates the supply of oxygen and glucose, alleviating memory loss and reduced concentration. Some of these formulations also contain Gingko Biloba extract in combination with vinpocetine. Naturally, this immediately raises questions about the justification for such a combination and whether it has any unwanted clinical implications.
However, the use of vinpocetine as a popular dietary supplement remains controversial [15,16,17]. Despite recent renewed scientific attention [18,19,20,21,22,23], the existing literature on vinpocetine’s pharmacological properties, safety, effectiveness, and toxicity remains insufficiently comprehensive [24,25]. Our goal is to provide a pharmacological overview of vinpocetine and propose a population pharmacokinetic (PopPK) model of apovincaminic acid (AVA), an active metabolite of vinpocetine. Such a model could be useful for optimizing dosing in new indications and ensuring safer use of the drug. To our knowledge, no data on AVA in the context of pharmacometrics have been reported to date.
2. Materials and Methods
2.1. Literature Search for Vinpocetine
To gather the most relevant pharmacological information on vinpocetine, textbooks and journal articles were consulted, and internet searches were conducted using the keyword “vinpocetine”, with sub-keywords such as “pharmacology”, “pharmacokinetics”, “metabolites”, “safety”, “danger”, “dietary supplement”, “indications”, etc.
2.2. Pharmacokinetic Data for Apovincaminic Acid (AVA)
Pharmacokinetic data regarding the AVA concentrations was obtained in a relative bioavailability study. This study utilized an open crossover design, in which healthy male subjects (n = 12) were given a single dose of vinpocetine (20 mg) from one of three formulations (#1 sustained release—Ultra Vinca® (complex with β-cyclodextrin, 10 mg tablet, provided by Tecnimede, Portugal); #2 immediate release—Cavinton® (5 mg tablet, Organon/Gedeon Richter, Budapest, Hungary); and #3 oral solution—5 mL/10 mg (prepared by the pharmacist at the hospital from the pure API provided by Tecnimede, Portugal)). The study included a wash-out period of 7 days after the use of each formulation. The usual approach for determining the duration of a washout period is to consider at least 5 to 10 elimination half-lives of a drug. However, in our trial, we opted for a 7-day washout period due to logistical constraints. This decision was driven by the need to coordinate the schedules of all 12 participants, which proved to be a challenging task within a shorter timeframe. Furthermore, the continuous presence of medical staff was indispensable, as they played a vital role in closely monitoring the participants for any potential adverse reactions. By implementing this 7-day washout period, we were also certain that there was no possibility of a carry-over effect. Demographic data, including race, height, and weight, were recorded for each subject, and written informed consent was obtained prior to the study. Plasma samples were collected at different time points ranging from 0.25 to 10 h after dosing to measure AVA concentrations. The analytical method was developed and validated in a prior publication [26].
In brief, high-performance liquid chromatography (Merck/Hitachi pump (L-6000), ultraviolet detector L-42000, and automatic injector AS-2000A, HPLC LiChrospher column Merck 60-RP-Select B 125 × 3 mm, i.d. 5 μm, equipped with LiChrospher precolumn Merck 100-RP-8, 5 μm) was used to identify and quantify AVA in plasma at 254 nm. Standard reagents, all analytical grade (Merck Life Science S.L.U.—Sigma-Aldrich, Lisbon, Portugal), included chloroform, triethylamine, sodium octanesulfate monohydrate, tetrabutylammonium hydroxide (TBAH), sodium hydroxide, 95–97% sulfuric acid, orthophosphoric acid, potassium dihydrogen phosphate, and acetonitrile. The mobile phase (acetonitrile, phosphate buffer 10 mM pH 2.8, triethylamine, and sodium octanesulfate, final pH 4.70) was used at a flow rate of 0.4 mL/min. Samples were prepared in glass tubes with Teflon sealing (16 × 125 mm) containing methanol (20 μL), primidone (20 μL) as an internal standard, and TBAH (50 μL 30 mM) and added to 1 mL of plasma. Before vortexing and stirring the samples for 10 min, 3 mL of chloroform was added to each glass tube. Afterward, all samples were centrifuged (3000 rpm at 4 °C) for 5 min. The aqueous phase was removed, and 1 mL of sulfuric acid was added to the organic phase. After a new period of vortexing, stirring, and additional centrifugation, the aqueous phase was transferred to another series of tubes in which sodium hydroxide (120 μL, 1 M), chloroform (2 mL), and TBAH (50 μL, 30 mM) were added. The samples were again stirred and centrifuged, and the aqueous phase was removed so that the organic phase could be evaporated (35 °C) in a water bath under a stream of nitrogen. Finally, the dried residue, after redissolving in the mobile phase (100 μL), was injected. Regarding the analytical validation, i.e., linearity of the analytical method, solutions of different concentrations of AVA in duplicates (Merck, Sigma-Aldrich, Lisbon, Portugal) were prepared by adding known amounts of standard to blank plasma. After linear regression of the obtained data, a linearity of response was verified for the ratio of peak heights of AVA in relation to primidone peaks and for the plasma concentrations of AVA (range 5–300 ng/mL, R = 0.999). The accuracy evaluated by the calibration curves was expressed as the R.S.D. of 7%. The limits of quantification were 5 ng/mL (based on the analysis of 5 replicates of different concentrations of AVA).
The study was conducted in accordance with the Declaration of Helsinki guidelines, ICH GCP (Good Clinical Practice), GLP (Good Laboratory Practice), and EU/Portuguese local regulations. Ethical approval was obtained from the Ethic committee of the Hospital Pulido Valente (Lisbon, Portugal).
2.3. Population Pharmacokinetic Model for Apovincaminic Acid (AVA)
Population PK analysis (PopPK) of AVA was performed using a non-linear mixed effect (NLME) modeling approach within the Lixoft Suite software, i.e., Monolix (version 2021R2, Lixoft SAS, a Simulations Plus company), via the stochastic approximation expectation maximization (SAEM) algorithm [27]. Simulations were made based on the optimized model using Simulx (version 2021R2, Lixoft SAS, a Simulations Plus company).
The PopPK model development procedure was evaluated using three criteria: (1) reduced estimated log-likelihood (-2 log-likelihood objective function value (OFV) for hierarchical models) and information criteria (corrected Bayesian Information Criteria (BICc)), (2) goodness-of-fit (GOF) plots, and (3) visual prediction checks (VPCs). All three formulations of vinpocetine were jointly modeled to characterize the AVA exposure.
3. Results and Discussion
3.1. Literature Search for Vinpocetine
A PubMed search using the keyword “vinpocetine” yielded 843 results, which seems limited considering the extensive timeframe of publications spanning from 1977 to 2023. Noteworthy years with significant research output include 1990 (28 publications), 2007 (31 publications), and 2020 (35 publications), indicating growing interest in vinpocetine over the decades. The majority of these publications explore the vasodilating, anti-inflammatory, and neuromodulating properties of vinpocetine in relation to various diseases. Furthermore, most studies employ in vitro, ex vivo, and animal models. Hungarian researchers have made significant contributions to the pharmacokinetic characterization of vinpocetine. In this paper, we did not include details regarding the molecular pharmacology of vinpocetine.
3.2. Pharmacokinetic Data for Apovincaminic Acid (AVA)
The relative bioavailability study was completed by all volunteers following the protocol, and no significant negative effects were observed. Plasma concentrations were determined for the three different formulations (#1, #2, and #3, plots A, B, and C, respectively), resulting in the mean plasma (with SD) profiles (Figure 2).
Figure 2.
Measured mean plasma concentrations of AVA (formulations #1, #2, and #3, plots (A), (B), and (C), respectively) with error bars (standard deviation) on a log-linear scale. (Concentration of AVA in μg/L, time in h).
3.3. Population Pharmacokinetic Model for Apovincaminic Acid (AVA)
The PK model was made based on the full data available for each individual subject and formulation. No data were removed from the model, and a few concentration values of AVA below the limit of quantification were not censored.
Initially, a one-compartment model was tried with first-order absorption, linear elimination, with combined and proportional error. However, a two-compartment model with proportional residual error was found to better describe the data, although still with some misspecifications. To address this, zero-order input (Tk0) was introduced, which improved the minimization criteria, GOF and VPC plots. In addition, a model with a transit compartment was also attempted but showed no improvements. Finally, a lag time before absorption (Tlag) was added to the structural model, leading to overall improvement.
The model was refined by introducing correlations between random effects of clearance (CL/F) and the volume of distribution of the central compartment (V1/F), while the covariate relationships were evaluated using a stepwise covariate modeling approach and selected based on statistical tests (Pearson’s test and Wald test), software proposals (based on a linear regression), minimization criteria, and physiological plausibility. We inspected age, height, weight (expressed as BMI), and formulation (as a categorical covariate) as potential covariates. However, none of the continuous covariates showed a significant impact on parameter variability, while formulation had the most significant effect (denoted as coefficient β; beta) on Tk0 and V1/F.
Hence, the final proposed PopPK model characterizing AVA exposure in healthy subjects, based on three formulations of vinpocetine, is a two-compartment model with zero-order input and Tlag, linear elimination, and proportional residual error. Additionally, the model was refined to include correlations between random effects of V1/F and CL/F. None of the continuous covariates had a relevant impact on explaining the inter-individual variability. The final results and diagnostic plots confirm that the model accurately captures the observed data (Figure 3 and Figure 4A,B). The final model parameters are summarized in Table 1.
Figure 3.
GOF plot indicating that the individual predictions fitted well along the identity line relative to observed concentrations (joined data for all three formulations of vinpocetine). Dashed line is 90% prediction interval.
Figure 4.
Plot (A): Joined VPC of AVA. The figure presents the VPC with the prediction intervals for the 10th, 50th, and 90th percentiles. The model describes the observed data well, and model predictions are within the prediction interval. Plot (B): Stratified VPC plots by formulations (#1, #2, #3). Minor outliers were not deemed significant, as the overall model captures the data well. (Concentration of AVA in μg/L, time in h).
Table 1.
Estimated parameters of the PopPK model of AVA., i.e., estimated population parameters, inter-individual variability, and residual error parameter.
3.4. Vinpocetine—What Do We Know So Far?
The anatomical therapeutic chemical (ATC) code (assigned by the World Health organization) for vinpocetine is N06BX18, which means it is classified as a drug with an influence on the nervous system (N). It falls under the group of psychoanaleptics (06) and the subgroup of psychostimulants; agents used for attention deficit hyperactivity disorder (ADHD) and nootropics (B) [28,29]. Unlike vinpocetine, its precursor vincamine has a different ATC code, which is C04AX. This indicates that vincamine is classified as a substance used for the treatment of cardiovascular conditions (C) and belongs to the group of peripheral vasodilators (04) [30].
Vinpocetine’s most well-documented clinical use (indirect) has been in acute ischemic stroke, where it has been characterized as a neuroprotective agent. Over ten trials, including more than five randomized controlled trials, have been conducted in the past, and researchers have provided systematic reviews on vinpocetine’s effectiveness [31,32,33,34,35]. However, the final verdict on its effectiveness still remains unclear.
According to Panda et al. [24], although vinpocetine shows promising results, there is no clear evidence of reduced mortality (as a direct clinical outcome) associated with its use in such patients. Therefore, new trials with sufficient power must be performed to further investigate its potential. It is worth mentioning that in some of these trials [32], vinpocetine was administered intravenously in doses of 30–40 mg per day for several weeks, and overall, the administration of vinpocetine in stroke patients did not raise any safety concerns then.
On the other hand, although causality was not established in some cases, the literature still reports adverse effects related to the general use of vinpocetine, including both the oral and intravenous routes. These adverse effects include flushing, transient changes in blood pressure (both hypotension and hypertension), tachycardia, decreased pulse rate, dizziness, feeling of warmth during intravenous administration, cold hands and feet, vomiting, diarrhea, heartburn, urticaria, and dry mouth, as well as changes in hemoglobin and hematocrit levels, or increased γ-glutamate pyruvate transaminase, etc. Furthermore, serious adverse effects reported in some cases included atrial fibrillation, multifocal extrasystoles, epileptiform convulsions, and agranulocytosis (which resolved after proper treatment was given and vinpocetine was discontinued) [36]. Due to the structural resemblance of vinpocetine to vincamine, which is a vasodilator, it is expected that some of the previously mentioned adverse effects could occur.
The neuroprotective effects of vinpocetine are attributed to its antioxidant properties, which have been confirmed in vitro and in vivo [37,38,39,40], as well as its modulation of sodium [41] and calcium levels in neuronal cells [42]. In addition, an anticonvulsant effect has also been proposed due to sodium channel blockage and the inhibition of glutamate release [43,44]. A recent study [8] examined the effect of vinpocetine in patients with epilepsy, as well as in healthy subjects. The conclusion was that no significant benefits were observed in cognitive skills (in both groups). However, vinpocetine exposure was lower than it was expected when compared to effective dose in animals. On the contrary, based on their trial, Zhang et al. [31] concluded that patients with stroke who received vinpocetine treatment had improved cognitive skills. Moreover, they had improved cerebral blood flow, improved neurological functions, and better quality of life compared to the control group without vinpocetine treatment. Currently, there is an ongoing trial in patients with epilepsy (sponsored by the University of Stanford and with estimated completion by the end of 2024) [45]. This study investigates the potential cognitive-enhancing effects of vinpocetine in both healthy individuals and patients with epilepsy. The study aims to determine the safety, effectiveness, and blood levels of acute and chronic oral doses of vinpocetine. Specific objectives include measuring cognitive functions and memory in healthy volunteers, assessing the preliminary effectiveness of vinpocetine in enhancing cognitive functions in epilepsy patients, determining blood levels for its anticonvulsant effects, and investigating if vinpocetine can reduce seizure frequency or duration in patients with epilepsy.
In addition to its suggested neuroprotective, antioxidant, and anticonvulsant properties, vinpocetine is also suggested to have anti-inflammatory effects both in vitro and in vivo [46,47,48]. Namely, evidence shows that vinpocetine can inhibit the activation of proinflammatory mediators mediated via the tumor necrosis factor alpha (TNF-α) signaling pathway in various cell types, including macrophages, endothelial cells, and vascular smooth cells. As TNF-α is the main pharmacological target in many diseases, such as inflammatory bowel disease (Crohn’s disease and ulcerative colitis) [49], these findings should be further researched and tested in disease models that have inflammation in etiopathogenesis. For instance, in a mouse model of acetic acid-induced colitis, the administration of 30 mg/kg of vinpocetine demonstrated multifaceted properties, including anti-inflammatory, antioxidant, and analgesic effects. Vinpocetine exhibited a notable reduction in colon edema, myeloperoxidase activity, macroscopic and microscopic damage scores, as well as acetic acid-induced visceral hyperalgesia, oxidative stress, cytokine production, and downstream NF-κB activation [50]. Some attempts have also been made in the research of atherosclerosis [51], where vinpocetine was suggested to modulate many steps in the progression of the disease, due to its potential to inhibit the inflammatory signaling cascade and proinflammatory cytokines and factors. Similarly, vinpocetine was found to have beneficial effects on diabetes-associated renal damage in a rat model [52]. While clinical studies on the effects of vinpocetine on these specific cases in humans are limited, some data are also suggesting beneficial potential in treating diabetic neuropathy in patients with type 2 diabetes mellitus [53].
Given the many attributes of vinpocetine as a drug, researchers have questioned whether it has the potential to be used in treating diseases such as Parkinson’s disease [54,55], as well as dementia in older people and Alzheimer’s disease [56,57,58,59]. Parkinson’s disease is a highly intricate condition that still has an unknown etiology. Despite significant advancements in research and therapy, there is no definitive cure for the disease, and so far, all available therapeutic approaches have limitations and become ineffective over time. Although the number of clinical trials in these conditions with vinpocetine is limited, the results suggest that it can modulate molecular signaling pathways related to Parkinson’s disease, reduce levels of inflammatory cytokines and signaling molecules, and improve cognitive impairment in study participants. In contrast, clinical data on the effects of vinpocetine in Alzheimer’s disease were more extensively studied in the past, particularly before the 1990s, and some studies at that time suggested positive associations with the use of vinpocetine. However, a review by the Cochrane Database of Systematic Reviews found many inconsistencies in the evidence, and therefore, the overall evidence for the effectiveness of vinpocetine in Alzheimer’s disease remains inconclusive (up to 2003). Recently, a small clinical study in 2014 [60] reported that vinpocetine was able to improve memory and concentration in people with dementia. However, the improvement was characterized with minimal effect (when compared to the results of patients with epilepsy). Hence, considering the suggested benefits of vinpocetine, it is evident that further research in this area is necessary to fully understand its effects.
Another area where vinpocetine was also researched was ophthalmologic disorders of vision and visual field [61]. Specifically, clinical studies have indicated that vinpocetine may provide the most significant benefits for individuals with macular degeneration, while more modest improvements have been observed in patients with glaucoma and ischemia of the optic nerve. In the patient information leaflet (PIL) of Cavinton® [62], indeed, one of the indications (besides the management of psychological or neurological symptoms caused by a disorder of cerebral circulation) is also the management of eye diseases that have vascular disorders as their underlying cause. For optimal results, it is recommended to take vinpocetine orally in a daily dosage of 15–30 mg, and after a meal. In addition, a recent study conducted on an ex vivo model of retinal ischemia also demonstrated a potential protective effect of vinpocetine [63].
Given the various pharmacological implications of vinpocetine outlined above, it is evident that the unregulated sale of this compound as a dietary supplement should be approached with caution. Manda et al. [64] explored the potential of vinpocetine for drug–drug interactions (DDIs), i.e., cytochromes P450 (CYPs) and P-glycoprotein (P-gp) inhibition. Vinpocetine was shown to be a strong inhibitor of P-gp (EC50 8 μM), and a moderate inhibitor of recombinant CYP3A4 (IC50 2.8 μM) and CYP2D6 (IC50 6.5 μM). Although the clinical relevance of these findings has not yet been fully explored, P-gp inhibition due to drug–drug and food–drug interactions [65] can significantly alter the pharmacokinetics (PK) and pharmacodynamics (PD) of other drugs, especially those with a narrow therapeutic index. Therefore, further investigation into the potential implications of these findings is warranted.
In light of these potential implications and as a safety precaution, there have been several attempts to re-examine vinpocetine as a dietary supplement in the USA (since 2016). Finally, in 2019, the FDA issued a safety warning for women of childbearing age regarding possible risks associated with vinpocetine, due to indications of adverse effects on reproductive health (i.e., reproductive and developmental toxicity in animals), including miscarriage and harm to fetal development [66], but the FDA has not yet issued a final decision on the matter.
In a paper from 2016 [17], researchers analyzed the amount of vinpocetine in various dietary supplements that are sold commercially. The findings showed that there was a broad range of amounts which varied considerably, with the quantity of vinpocetine per serving ranging from 0.6 to 5.1 mg in different products. Moreover, most of the supplements did not provide any information regarding the amount of vinpocetine present. The same paper stated that vinpocetine has been banned as a cognitive-enhancing supplement in Australia, New Zealand, and Canada. However, supplements with labeled amounts of up to 15 mg per tablet can be seen and purchased online [67].
It is important to recognize that the unregulated sale of nootropic drugs, including dietary supplements containing vinpocetine, is a concerning issue. These drugs are commonly known as “smart drugs” and are marketed for their ability to enhance cognitive processes such as thinking, learning, and memory. However, their use can also potentially lead to addiction. Furthermore, the long-term effects of using nootropic drugs are not yet fully understood, emphasizing the importance of close monitoring by a healthcare professional [68].
Furthermore, it should be noted that there is currently insufficient reliable information to determine the safety of using vinpocetine during breastfeeding as well. Therefore, caution is particularly important for nursing mothers (who might be unaware of dangers) until further research is conducted. In addition, the updated (2020) patient information leaflet (PIL) for Atreiza® (vinpocetine) [69] emphasizes the need for necessary precautions when administering vinpocetine to individuals taking medication for hypertension, cardiac arrhythmias, or those with a medical history of QT interval prolongation. Caution is advised for individuals taking anticoagulant medications due to the potential risk of adverse effects when combined with vinpocetine. However, it appears that all of these precautions are often overlooked or disregarded when vinpocetine is marketed and sold as a dietary supplement, which clearly demonstrates the urgent need for global regulation in the field of nutrivigilance as well.
3.5. Population Pharmacokinetic Model of Apovincaminic Acid (AVA)
The PK of vinpocetine, including its main active metabolite, AVA, was studied a few decades ago, both in animals (dog and rat) [70,71] and humans [9,72,73]. Regarding the PK of vinpocetine in humans, the absorption of vinpocetine after an oral dose is considered fast, with the maximum concentration (Cmax) being reached within 1.5–2 h, and the elimination half-life being mostly around 1–2.5 h (depending on the study report). Oral bioavailability ranges significantly from 7% to 60%, and it is greatly influenced by food intake. Vinpocetine is metabolized in the liver, and it is considered to be very rapidly transformed [73,74]. It is noteworthy that in a particular study [72], the elimination half-life of the substance (after an intravenous (i.v.) administration) was discovered to be 4.7 ± 2.13 h, which is almost twice the typical reported duration. The pharmacokinetics of vinpocetine was estimated using the compartmental analysis (CA), which suggested that the three-compartment open model (which suggested two distribution phases) was the best fit for the data [72]. Conversely, other studies found two-compartment models to best describe the PK of vinpocetine [75].
As the biotransformation of vinpocetine to AVA occurs rapidly, measuring the maximum concentrations of vinpocetine after oral administration has been quite challenging in the past, given its short half-life and a large variability in Cmax across individuals. Consequently, there is a limited number of bioavailability/bioequivalence studies of vinpocetine reported in the literature. Therefore, AVA has been used as a surrogate of the therapeutic bioequivalence [73].
Previous studies have demonstrated that 20–40% of the administered dose of vinpocetine is converted to AVA. AVA was reported to have an elimination half-life of 3.9 ± 1.6 h and a clearance estimated at 0.09 L/h per kg of body weight assuming a 30% conversion factor from vinpocetine administered i.v. [72]. In addition, after the oral administration of vinpocetine, AVA showed a high volume of distribution (Vd/F = 114 L) and a fast elimination (t1/2 = 1 h) [73]. The PK of AVA was characterized using a two-compartment open model in animals only in certain studies [71,76], whereas in most cases, its PK parameters were estimated using non-compartmental analysis (NCA). AVA shares neuroprotective and nootropic effects with vinpocetine (confirmed in vivo) and it can also cross the blood–brain barrier (BBB) [77].
To the best of our knowledge, our paper presents the first PopPK model characterizing AVA pharmacokinetics. The average CL/F, with a value of 56.15 L/h, is in the order of previously described values for AVA. This value shows quite reasonable between-subject-variability (BSV), in the order of 21%. The volume of distribution at steady state (V1/F + V2/F) is considered to be large, e.g., for formulation#2, around 135 L. However, based on the described vinpocetine bioavailability and conversion to AVA, the expected final value should be around 21 L, indicating distribution between the extracellular and total body water, with a BSV in the order of 39%.
The disappearance of the drug during the plasma collection scheme is governed by both the distribution half-life predicted by the model, with a value of around 0.6 h, and by the terminal elimination half-life that is predicted to be around 4.7 h (for formulation#1). These values go in line with the known behavior of AVA. Regarding the covariates, only the type of formulation was considered significant. This was somewhat expected as the used population was relatively homogenous in terms of age, sex, and body weight. Although representing only a subset of the general population, this is a relevant subset of subjects that are using vinpocetine as dietary supplements. As such, this model can be used for simulating drug plasma concentrations in various scenarios, from the usual clinical use to other potential administration schemes.
In this regard, there are several suggested dosing regimens for vinpocetine, both as a drug and as a dietary supplement. Typically, the manufacturer-recommended therapeutic regimen involves an initial loading dose of one to two 5 mg vinpocetine tablets, followed by a maintaining dose of 5 mg three times a day, which equates to 15 mg per day [78]. However, when considering dietary supplements, the proposed regimes are much more liberal, and even regimens such as 15 mg three times a day (i.e., a total of 45 mg per day) exist [67].
Also, some individuals who self-identify as “biohackers/neurohackers” report taking up to 60 mg of vinpocetine in a single dose, and certain websites dedicated to nootropics suggest that taking up to 60 mg of vinpocetine per day is safe [79]. As there is evidence that AVA is the primary mediator responsible for enhancing neuronal excitability [80], we conducted simulations using Simulx (Figure 5a,b) to gain insight into the plasma concentration differences between these commonly suggested regimens. The simulated dosage regimens were either multiple doses every eight hours or once per day as a single dose. We conducted simulation with ten trial replicates with 50 virtual individuals in each, also accounting for the uncertainty around the estimated PopPK parameters for AVA. Our post-processing simulation goal was to examine the differences in Cmax and minimum concentration (Cmin) values among the simulated dosing regimens from all trial replicates (Figure 5c,d). Since there is no established exposure–response relationship for AVA, we considered that the lower 5% concentrations obtained with the maintenance therapeutic regimen of vinpocetine as a drug (5 mg three times a day) are required for minimal effectiveness and that the higher 95% concentration in the same regimen limits the safety margin. Simulation summary statistics (Figure 5c,d) were postprocessed graphically using R software (version: 4.3.1 (16 June 2023), R Foundation for Statistical Computing, Vienna, Austria).


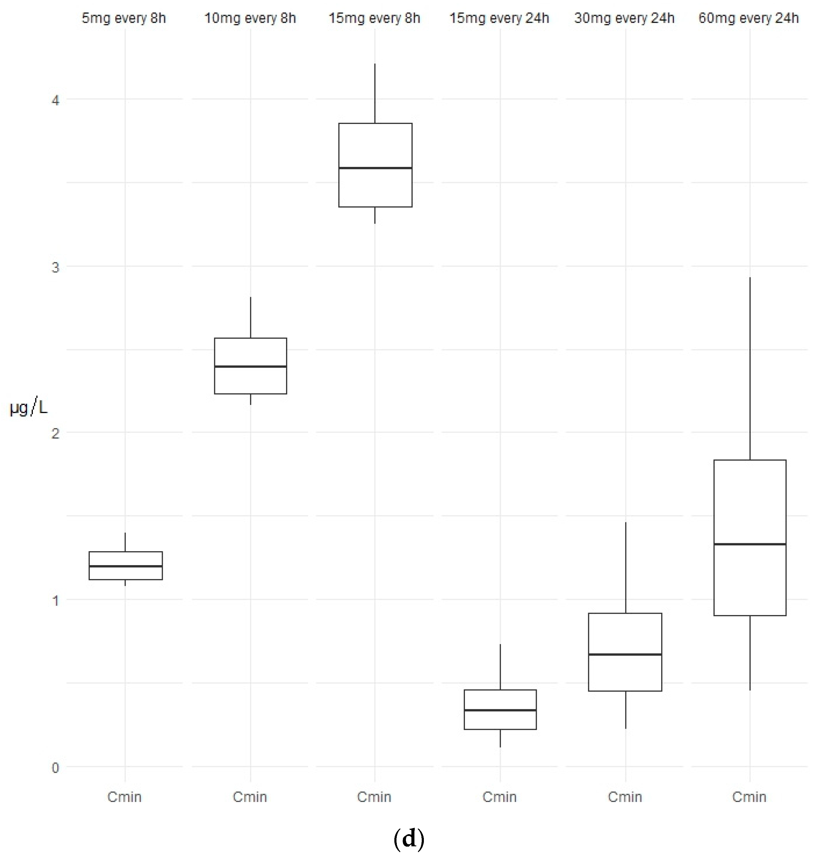
Figure 5.
(a). Simulated AVA concentration vs. time plots from 50 virtual individuals (i.e., from one virtual trial replicate) who took vinpocetine tablets (5 mg/10 mg/15 mg) three times a day (every 8 h). The red line marks the concentration range between the lower 5% of Cmin values and the higher 95% of the Cmax values, which are considered to be safe and efficacious based on the clinical therapeutic regimen of 5 mg three times a day. (Concentration of AVA in μg/L, time in h). (b). Simulated AVA concentration vs. time plots from 50 virtual individuals (i.e., from one virtual trial replicate) who took vinpocetine tablets (15 mg/30 mg/60 mg) once a day (every 24 h). The red line marks the concentration range between the lower 5% of Cmin values and the higher 95% of the Cmax values, which are considered to be safe and efficacious based on the clinical therapeutic regimen of 5 mg three times a day. (Concentration of AVA in μg/L, time in h). (c). Summary statistics of the AVA Cmax values based on the simulated dosage regimens of vinpocetine from ten trial replicates. The concentration of AVA on the y-axis is expressed in micrograms per liter (μg/L). (d). Summary statistics of the AVA Cmin values based on the simulated dosage regimens of vinpocetine from ten trial replicates. The concentration of AVA on the y-axis is expressed in micrograms per liter (μg/L).
The simulations showed that taking vinpocetine multiple times a day resulted in lower mean Cmax values of AVA, as expected, compared to once-daily dosing. For instance, a regimen of 5 mg every 8 h showed a mean AVA Cmax of 48.7 μg/L, whereas a regimen of 15 mg every 24 h showed a much higher mean Cmax of 140.7 μg/L. Additionally, there were notable differences in Cmax values among virtual individuals, depending on the specific regimen. In the latter example, Cmax ranged from 44.21 μg/L (minimum) to 52.6 μg/L (maximum) for the 5 mg every 8 h regimen, and from 129 μg/L (minimum) to 153.5 μg/L (maximum) for the 15 mg every 24 h, respectively. The highest degree of differences in Cmax was observed with the highest simulated daily dose (Figure 5c). It is also important to note that the 60 mg once a day regimen resulted in Cmax values that were 10 times greater than the usual values obtained with the therapeutic regimen of 5 mg every 8-h.
Regarding the mean AVA Cmin values, it is evident that the once-daily regimen of AVA consistently resulted in lower Cmin values. For example, the 5 mg every 8 h regimen had a mean Cmin of 1.25 μg/L, while the 15 mg every 24 h regimen had a mean Cmin of 0.52 μg/L, which is approximately twice as low (Figure 5d). All other simulated regimes resulted in Cmin at or above the 5 mg every 8 h regimen; however, they also carried an increased risk of significantly higher Cmax values.
While it is commonly believed that vinpocetine is safe, the latest experiments on animals have shown otherwise in regard to reproductive toxicity. Also, there may still be important pieces missing from the puzzle that we are not yet aware of, such as DDIs or off-target effects, which could have significant implications for the safe use of vinpocetine. As such, it is crucial to establish the efficacy and potency of vinpocetine and AVA and determine the appropriate way to quantify both primary and secondary pharmacology. Furthermore, it is important to note that the bioavailability of vinpocetine can be influenced by food intake, particularly a high-fat meal. Therefore, the differences in Cmax values observed between different dosing regimens may have unknown clinical implications. This is especially concerning for consumers of dietary supplements, who may not be aware of how different dosing regimens containing the same daily dose can lead to different PK and ultimately affect the effectiveness and safety of the supplement.
In conclusion, this simulation demonstrates the potential concerns of effectiveness as well as safety associated with a flexible dosing window of vinpocetine without the supporting clinical evidence, particularly when dosing recommendations lack the context of a PKPD relationship.
Our study had limitations which include a small sample size and a narrow range of covariates in the study cohort (see Supplementary Material). One must also note the variable AVA plasma concentrations among individuals. To gain a more comprehensive understanding of vinpocetine’s (and AVA’s) exposure and effects, future studies should include larger sample sizes and more diverse patient populations. Additionally, testing different dosing regimens and using measurable endpoints may provide new insights into the dose–exposure–response relationship of vinpocetine in patients. It is important to note that while metabolites may not follow the same PK behavior as their parent drugs, they can still exhibit the same PD as the parent drug. Finally, detailed insights into AVA’s molecular and clinical aspects can provide a more accurate understanding of its pharmacological profile, including its potency, efficacy, and effectiveness.
4. Conclusions
Vinpocetine is a drug with a very diverse pharmacological profile, with possibilities of interacting with multiple pharmacological targets. Thus far, vinpocetine has mostly been suggested for use in neurological and cerebrovascular disorders, as well as in some eye-related disorders. It has also been shown to have vasodilating and antioxidant effects. However, based on in vitro and in vivo animal models, vinpocetine has shown potential for use in various inflammation-related and cardiovascular/vascular disorders. Although there has been some research on vinpocetine and its potential effectiveness in treating epilepsy, dementia, Parkinson’s, and Alzheimer’s disease, it is still too early to draw scientifically strong and valid conclusions. More unbiased clinical trials with good power are needed in the future to validate the effectiveness of vinpocetine in treating these diseases and to determine any newly suggested benefits, no matter how promising the scientific evidence regarding vinpocetine may sound.
The sale of vinpocetine as a nootropic dietary supplement both online and in stores should be strictly regulated due to concerns about its safety for consumers. Animal models have demonstrated reproductive and developmental toxicity associated with the use of vinpocetine, which raises questions about the potential risks to humans. Furthermore, the unknown potential for clinically relevant DDIs should also not be overlooked.
Apovincaminic acid (AVA) is a major and active metabolite of vinpocetine, often used as a surrogate for exposure to vinpocetine. A population pharmacokinetic model of AVA on twelve healthy male individuals and three formulations of vinpocetine showed that AVA exposure can be modeled as a two-compartment model with zero-order input (Tk0) with Tlag and linear elimination.
Making recommendations for a flexible dosing window of vinpocetine without supporting clinical evidence, particularly when the dosing recommendations lack the context of the PKPD relationship, requires careful thought and consideration to ensure vinpocetine’s effectiveness and safety.
Supplementary Materials
The following supporting information can be downloaded at: https://www.mdpi.com/article/10.3390/pharmaceutics15102502/s1. Table S1: Demographic data (number of subjects = 12); Table S2: Change in estimated log-likelihood and information criteria (from top to bottom: final refined model, best structural model, and initial starting model).
Author Contributions
Conceptualization, Z.P., P.P. and J.G.M.; formal software analysis, Z.P.; AVA laboratory methodology, J.G.M. and A.F.; visualization, Z.P. and P.P.; writing—original draft, Z.P. and P.P.; writing—review and editing, Z.P., P.P. and J.G.M. All authors have read and agreed to the published version of the manuscript.
Funding
Research received funding support from Tecnimede (funding number—08/94), Portugal, EU.
Institutional Review Board Statement
The clinical study protocol (code—LEBF 08/94) was approved by the Hospital Pulido Valente, Lisbon, Portugal, EU. The study was conducted in accordance with the Declaration of Helsinki.
Informed Consent Statement
Written informed consent was obtained prior to the study from all subjects.
Data Availability Statement
The general data presented in this study are available upon request from the corresponding author. Please note that some information may not be fully available due to privacy protection.
Conflicts of Interest
The authors Z.P., P.P. and J.G.M. declare no conflict of interest. A.F. is an employee of Tecnimede, Portugal, EU. The funders had no role in the design of the study; in the collection, analyses, or interpretation of data; in the writing of the manuscript; or in the decision to publish the results.
References
- Khanavi, M.; Pourmoslemi, S.; Farahanikia, B.; Hadjiakhoondi, A.; Ostad, S.N. Cytotoxicity of Vinca minor. Pharm. Biol. 2010, 48, 96–100. [Google Scholar] [CrossRef]
- Alkaloid Chemistry. Alkaloids-Secrets of Life; Aniszewski, T., Ed.; Elsevier: Amsterdam, The Netherlands, 2007; pp. 61–139. [Google Scholar]
- Moudi, M.; Go, R.; Yien, C.Y.; Nazre, M. Vinca alkaloids. Int. J. Prev. Med. 2013, 4, 1231–1235. [Google Scholar]
- Willson, C. Vinpocetine. In Elsevier Reference Module in Biomedical Sciences; Elsevier: Amsterdam, The Netherlands, 2015; pp. 1–6. [Google Scholar]
- NIH-National Center for Advancing Translational Sciences. Apovincamine. Available online: https://drugs.ncats.io/drug/504R182ZX7 (accessed on 15 September 2023).
- Gedeon Richter Ltd. Our Products-Central Nervous System. Available online: https://www.gedeonrichter.com/en/our-products/central-nervous-system (accessed on 15 September 2023).
- Bereczki, D.; Fekete, I. A systematic review of vinpocetine therapy in acute ischaemic stroke. Eur. J. Clin. Pharmacol. 1999, 55, 349–352. [Google Scholar] [CrossRef]
- Meador, K.J.; Leeman-Markowski, B.; Medina, A.E.; Illamola, S.M.; Seliger, J.; Novak, G.; Lin, C.; Ivanisevic, M.; Razavi, B.; Marino, S.; et al. Vinpocetine, cognition, and epilepsy. Epilepsy Behav. 2021, 119, 107988. [Google Scholar] [CrossRef] [PubMed]
- Miskolczi, P.; Kozma, K.; Polgár, M.; Vereczkey, L. Pharmacokinetics of vinpocetine and its main metabolite apovincaminic acid before and after the chronic oral administration of vinpocetine to humans. Eur. J. Drug Metab. Pharmacokinet. 1990, 15, 1–5. [Google Scholar] [CrossRef]
- Open-Source Molecular Modeling Software. MolView. Available online: https://molview.org/ (accessed on 15 September 2023).
- Life Extension. Vinpocetine 10 mg, 100 Vegetarian Tablets. Available online: https://www.lifeextension.com/vitamins-supplements/item01327/vinpocetine (accessed on 15 September 2023).
- Naturitas (Portugal). Swanson Ltd. Vinpocetina 10 mg. Available online: https://www.naturitas.pt/p/suplementos/suplementos-alimentares/vinpocetina-90-capsulas-de-10mg-swanson (accessed on 15 September 2023).
- Natura Shop (Croatia). Swanson, Special Combination: Gingko Biloba+Vinpocetine. Available online: https://naturashop.com.hr/1192-ginko-vinpocetin-ginkgo-biloba-vinpocetine-kapsule-swanson-60-kapsula.html (accessed on 15 September 2023).
- Lifeland (Sweden). Antioxidanter, Vinpocetine 10 mg 120 Ttablets. Available online: https://lifeland.se/antioxidanter/vinpocetine-10mg-120-tabletter/ (accessed on 15 September 2023).
- Federal Register of United States Government. Request for Comment on the Status of Vinpocetine; Notice by the Food and Drug Administration on 09/07/2016. Available online: https://www.federalregister.gov/documents/2016/09/07/2016-21350/request-for-comment-on-the-status-of-vinpocetine (accessed on 15 September 2023).
- U.S. Food and Drug Administration. Vinpocetine in Dietary Supplements. Available online: https://www.fda.gov/food/dietary-supplement-ingredient-directory/vinpocetine-dietary-supplements (accessed on 19 September 2023).
- French, J.M.; King, M.D.; McDougal, O.M. Quantitative Determination of Vinpocetine in Dietary Supplements. Nat. Prod. Commun. 2016, 11, 607–609. [Google Scholar] [CrossRef] [PubMed]
- Al-Kuraishy, H.M.; Al-Gareeb, A.I.; Fageyinbo, M.S.; Batiha, G.E. Vinpocetine is the forthcoming adjuvant agent in the management of COVID-19. Future Sci. OA 2022, 8, Fso797. [Google Scholar] [CrossRef] [PubMed]
- Wu, M.P.; Zhang, Y.S.; Xu, X.; Zhou, Q.; Li, J.D.; Yan, C. Vinpocetine Attenuates Pathological Cardiac Remodeling by Inhibiting Cardiac Hypertrophy and Fibrosis. Cardiovasc. Drugs Ther. 2017, 31, 157–166. [Google Scholar] [CrossRef]
- Zhang, Y.S.; Li, J.D.; Yan, C. An update on vinpocetine: New discoveries and clinical implications. Eur. J. Pharmacol. 2018, 819, 30–34. [Google Scholar] [CrossRef] [PubMed]
- Zang, J.; Wu, Y.; Su, X.; Zhang, T.; Tang, X.; Ma, D.; Li, Y.; Liu, Y.; Weng, Z.A.; Liu, X.; et al. Inhibition of PDE1-B by Vinpocetine Regulates Microglial Exosomes and Polarization Through Enhancing Autophagic Flux for Neuroprotection Against Ischemic Stroke. Front. Cell Dev. Biol. 2021, 8, 616590. [Google Scholar] [CrossRef]
- Zhang, C.; Hsu, C.G.; Mohan, A.; Shi, H.; Li, D.; Yan, C. Vinpocetine protects against the development of experimental abdominal aortic aneurysms. Clin. Sci. 2020, 134, 2959–2976. [Google Scholar] [CrossRef]
- Choi, W.S.; Kang, H.S.; Kim, H.J.; Lee, W.T.; Sohn, U.D.; Lee, J.Y. Vinpocetine alleviates lung inflammation via macrophage inflammatory protein-1β inhibition in an ovalbumin-induced allergic asthma model. PLoS ONE 2021, 16, e0251012. [Google Scholar] [CrossRef]
- Panda, P.K.; Ramachandran, A.; Panda, P.; Sharawat, I.K. Safety and Efficacy of Vinpocetine as a Neuroprotective Agent in Acute Ischemic Stroke: A Systematic Review and Meta-Analysis. Neurocritical Care 2022, 37, 314–325. [Google Scholar] [CrossRef] [PubMed]
- European Comission. Food Alerts-Rapid Alert System for Food and Feed (RASFF)-NOTIFICATION 2021.2818-Unauthorised Substance Vinpocetin in Food Supplement. Available online: https://webgate.ec.europa.eu/rasff-window/screen/notification/479171 (accessed on 15 September 2023).
- Kraus, G.; Schulz, H.U.; Lohmann, A. Determination of apovincaminic acid in serum by means of high-performance liquid chromatography. J. Chromatogr. 1992, 573, 323–327. [Google Scholar] [CrossRef]
- Lixoft. Monolix Suite. Available online: https://lixoft.com/ (accessed on 14 September 2023).
- World Health Organisation (WHO). Anatomical Therapeutic Chemical (ATC) Classification. Available online: https://www.who.int/tools/atc-ddd-toolkit/atc-classification (accessed on 15 September 2023).
- WHO Collaborating Centre for Drug Statistics Methodology. ATC Code-Vinpocetine. Available online: https://www.whocc.no/atc_ddd_index/?code=N06BX18 (accessed on 15 September 2023).
- WHO Collaborating Centre for Drug Statistics Methodology. ATC Code-Vincamine. Available online: https://www.whocc.no/atc_ddd_index/?code=C04AX07 (accessed on 15 September 2023).
- Zhang, W.; Huang, Y.; Li, Y.; Tan, L.; Nao, J.; Hu, H.; Zhang, J.; Li, C.; Kong, Y.; Song, Y. Efficacy and Safety of Vinpocetine as Part of Treatment for Acute Cerebral Infarction: A Randomized, Open-Label, Controlled, Multicenter CAVIN (Chinese Assessment for Vinpocetine in Neurology) Trial. Clin. Drug Investig. 2016, 36, 697–704. [Google Scholar] [CrossRef] [PubMed]
- Zhang, F.; Yan, C.; Wei, C.; Yao, Y.; Ma, X.; Gong, Z.; Liu, S.; Zang, D.; Chen, J.; Shi, F.-D.; et al. Vinpocetine Inhibits NF-κB-Dependent Inflammation in Acute Ischemic Stroke Patients. Transl. Stroke Res. 2018, 9, 174–184. [Google Scholar] [CrossRef]
- Feigin, V.L.; Doronin, B.M.; Popova, T.F.; Gribatcheva, E.V.; Tchervov, D.V. Vinpocetine treatment in acute ischaemic stroke: A pilot single-blind randomized clinical trial. Eur. J. Neurol. 2001, 8, 81–85. [Google Scholar] [CrossRef]
- Belova, L.A.; Mashin, V.V.; Proshin, A.N.; Ovsyannicova, A.N.; Kostishko, B.B. Possibilities of cavinton therapy regimen for infusions and cavinton comforte in acute and early recovery periods after ischemic stroke. Zhurnal Nevrol. Psikhiatrii Im. SS Korsakova 2017, 117, 51–58. [Google Scholar] [CrossRef] [PubMed]
- Bereczki, D.; Fekete, I. Vinpocetine for acute ischaemic stroke. Cochrane Database Syst. Rev. 2008, 2008, Cd000480. [Google Scholar] [CrossRef]
- U.S. Department of Health and Human Services, National Toxicology Program. Chemical Information Review Document for Vinpocetine. Available online: https://ntp.niehs.nih.gov/ntp/htdocs/chem_background/exsumpdf/vinpocetine091613_508.pdf (accessed on 18 September 2023).
- Horvath, B.; Marton, Z.; Halmosi, R.; Alexy, T.; Szapary, L.; Vekasi, J.; Biro, Z.; Habon, T.; Kesmarky, G.; Toth, K. In vitro antioxidant properties of pentoxifylline, piracetam, and vinpocetine. Clin. Neuropharmacol. 2002, 25, 37–42. [Google Scholar] [CrossRef]
- Solanki, P.; Prasad, D.; Muthuraju, S.; Sharma, A.K.; Singh, S.B.; Ilavzhagan, G. Preventive effect of piracetam and vinpocetine on hypoxia-reoxygenation induced injury in primary hippocampal culture. Food Chem. Toxicol. 2011, 49, 917–922. [Google Scholar] [CrossRef] [PubMed]
- Ruiz-Miyazawa, K.W.; Zarpelon, A.C.; Pinho-Ribeiro, F.A.; Pavão-de-Souza, G.F.; Casagrande, R.; Verri, W.A., Jr. Vinpocetine Reduces Carrageenan-Induced Inflammatory Hyperalgesia in Mice by Inhibiting Oxidative Stress, Cytokine Production and NF-κB Activation in the Paw and Spinal Cord. PLoS ONE 2015, 10, e0118942. [Google Scholar] [CrossRef] [PubMed]
- Herrera-Mundo, N.; Sitges, M. Vinpocetine and α-tocopherol prevent the increase in DA and oxidative stress induced by 3-NPA in striatum isolated nerve endings. J. Neurochem. 2013, 124, 233–240. [Google Scholar] [CrossRef]
- Zhou, X.; Dong, X.W.; Crona, J.; Maguire, M.; Priestley, T. Vinpocetine is a potent blocker of rat NaV1.8 tetrodotoxin-resistant sodium channels. J. Pharmacol. Exp. Ther. 2003, 306, 498–504. [Google Scholar] [CrossRef] [PubMed]
- Zelles, T.; Franklin, L.; Koncz, I.; Lendvai, B.; Zsilla, G. The Nootropic Drug Vinpocetine Inhibits Veratridine-Induced [Ca2+]i Increase in Rat Hippocampal CA1 Pyramidal Cells. Neurochem. Res. 2001, 26, 1095–1100. [Google Scholar] [CrossRef]
- Sitges, M.; Galván, E.; Nekrassov, V. Vinpocetine blockade of sodium channels inhibits the rise in sodium and calcium induced by 4-aminopyridine in synaptosomes. Neurochem. Int. 2005, 46, 533–540. [Google Scholar] [CrossRef]
- Sitges, M.; Sanchez-Tafolla, B.M.; Chiu, L.M.; Aldana, B.I.; Guarneros, A. Vinpocetine inhibits glutamate release induced by the convulsive agent 4-aminopyridine more potently than several antiepileptic drugs. Epilepsy Res. 2011, 96, 257–266. [Google Scholar] [CrossRef] [PubMed]
- NIH U.S. National Library of Medicine, ClinicalTrials.gov. Cognitive Effects of Vinpocetine in Healthy Adults and Patients with Epilepsy. Available online: https://clinicaltrials.gov/ct2/show/NCT02011971 (accessed on 15 September 2023).
- Jeon, K.I.; Xu, X.; Aizawa, T.; Lim, J.H.; Jono, H.; Kwon, D.S.; Abe, J.; Berk, B.C.; Li, J.D.; Yan, C. Vinpocetine inhibits NF-kappaB-dependent inflammation via an IKK-dependent but PDE-independent mechanism. Proc. Natl. Acad. Sci. USA 2010, 107, 9795–9800. [Google Scholar] [CrossRef]
- Wang, H.; Zhang, K.; Zhao, L.; Tang, J.; Gao, L.; Wei, Z. Anti-inflammatory effects of vinpocetine on the functional expression of nuclear factor-kappa B and tumor necrosis factor-alpha in a rat model of cerebral ischemia-reperfusion injury. Neurosci. Lett. 2014, 566, 247–251. [Google Scholar] [CrossRef]
- Wang, K.; Wen, L.; Peng, W.; Li, H.; Zhuang, J.; Lu, Y.; Liu, B.; Li, X.; Li, W.; Xu, Y. Vinpocetine attenuates neointimal hyperplasia in diabetic rat carotid arteries after balloon injury. PLoS ONE 2014, 9, e96894. [Google Scholar] [CrossRef]
- Petric, Z.; Goncalves, J.; Paixao, P. Under the Umbrella of Clinical Pharmacology: Inflammatory Bowel Disease, Infliximab and Adalimumab, and a Bridge to an Era of Biosimilars. Pharmaceutics 2022, 14, 1766. [Google Scholar] [CrossRef] [PubMed]
- Colombo, B.B.; Fattori, V.; Guazelli, C.F.S.; Zaninelli, T.H.; Carvalho, T.T.; Ferraz, C.R.; Bussmann, A.J.C.; Ruiz-Miyazawa, K.W.; Baracat, M.M.; Casagrande, R.; et al. Vinpocetine Ameliorates Acetic Acid-Induced Colitis by Inhibiting NF-κB Activation in Mice. Inflammation 2018, 41, 1276–1289. [Google Scholar] [CrossRef] [PubMed]
- Zhang, L.; Yang, L. Anti-inflammatory effects of vinpocetine in atherosclerosis and ischemic stroke: A review of the literature. Molecules 2014, 20, 335–347. [Google Scholar] [CrossRef] [PubMed]
- Wadie, W.; El-Tanbouly, D.M. Vinpocetine mitigates proteinuria and podocytes injury in a rat model of diabetic nephropathy. Eur. J. Pharmacol. 2017, 814, 187–195. [Google Scholar] [CrossRef]
- Yue, L. Efficacy of vinpocetine on neuropathy in patients with type 2 diabetes mellitus. Chin. J. New Drugs 2009, 18, 1. [Google Scholar]
- Ping, Z.; Xiaomu, W.; Xufang, X.; Liang, S. Vinpocetine regulates levels of circulating TLRs in Parkinson’s disease patients. Neurol. Sci. 2019, 40, 113–120. [Google Scholar] [CrossRef]
- Abu-Elfotuh, K.; Hamdan, A.M.E.; Abbas, A.N.; Alahmre, A.T.S.; Elewa, M.A.F.; Masoud, R.A.E.; Ali, A.A.; Othman, M.; Kamal, M.M.; Hassan, F.A.M.; et al. Evaluating the neuroprotective activities of vinpocetine, punicalagin, niacin and vitamin E against behavioural and motor disabilities of manganese-induced Parkinson’s disease in Sprague Dawley rats. Biomed. Pharmacother. 2022, 153, 113330. [Google Scholar] [CrossRef]
- Szatmari, S.Z.; Whitehouse, P.J. Vinpocetine for cognitive impairment and dementia. Cochrane Database Syst. Rev. 2003, 2003, Cd003119. [Google Scholar] [CrossRef]
- Ali, A.A.; Khalil, M.G.; Abd El-latif, D.M.; Okda, T.; Abdelaziz, A.I.; Abu-Elfotuh, k.; Kamal, M.M.; Wahid, A. The influence of vinpocetine alone or in combination with Epigallocatechin-3-gallate, Coenzyme COQ10, Vitamin E and Selenium as a potential neuroprotective combination against aluminium-induced Alzheimer’s disease in Wistar Albino Rats. Arch. Gerontol. Geriatr. 2022, 98, 104557. [Google Scholar] [CrossRef]
- Shekarian, M.; Komaki, A.; Shahidi, S.; Sarihi, A.; Salehi, I.; Raoufi, S. The protective and therapeutic effects of vinpocetine, a PDE1 inhibitor, on oxidative stress and learning and memory impairment induced by an intracerebroventricular (ICV) injection of amyloid beta (aβ) peptide. Behav. Brain Res. 2020, 383, 112512. [Google Scholar] [CrossRef]
- Fedele, E.; Ricciarelli, R. Memory Enhancers for Alzheimer’s Dementia: Focus on cGMP. Pharmaceuticals 2021, 14, 61. [Google Scholar] [CrossRef]
- Ogunrin, A. Effect of vinpocetine (cognitol™) on cognitive performances of a nigerian population. Ann. Med. Health Sci. Res. 2014, 4, 654–661. [Google Scholar] [CrossRef]
- Végh, S.; Szikszay, E.; Bönöczk, P.; Cserjés, Z.; Kiss, G. Retrospective analysis of the effect of vinpocetine infusion in ophthalmologic disorders. Orv. Hetil. 2006, 147, 2361–2365. [Google Scholar]
- Medicines and Medical Devices Agency Serbia (Serbian: ALIMS-Agencija za Lekove i Medicinska Sredstva Srbije). Patient Information Leaflet (Cavinton; Vinpocetin 5 mg Tablete) (Serbian: Uputstvo za lek). Available online: https://www.alims.gov.rs/doc_file/lekovi/pil/515-01-03671-19-001.pdf (accessed on 10 September 2023).
- Nivison-Smith, L.; Khoo, P.; Acosta, M.L.; Kalloniatis, M. Pre-treatment with vinpocetine protects against retinal ischemia. Exp. Eye Res. 2017, 154, 126–138. [Google Scholar] [CrossRef]
- Manda, V.K.; Avula, B.; Dale, O.R.; Chittiboyina, A.G.; Khan, I.A.; Walker, L.A.; Khan, S.I. Studies on Pharmacokinetic Drug Interaction Potential of Vinpocetine. Medicines 2015, 2, 93–105. [Google Scholar] [CrossRef]
- Petric, Z.; Žuntar, I.; Putnik, P.; Bursać Kovačević, D. Food–Drug Interactions with Fruit Juices. Foods 2021, 10, 33. [Google Scholar] [CrossRef]
- U.S. Food and Drug Administration. Statement on Warning for Women of Childbearing Age about Possible Safety Risks of Dietary Supplements Containing Vinpocetine. Available online: https://www.fda.gov/news-events/press-announcements/statement-warning-women-childbearing-age-about-possible-safety-risks-dietary-supplements-containing (accessed on 15 September 2023).
- Web Shop-Supersmart.com. Vinpocetine Suplemento. Available online: https://www.supersmart.com/pt/loja/nutricao-cerebral/vinpocetine-suplemento-0216 (accessed on 15 September 2023).
- Malík, M.; Tlustoš, P. Nootropics as Cognitive Enhancers: Types, Dosage and Side Effects of Smart Drugs. Nutrients 2022, 14, 3367. [Google Scholar] [CrossRef]
- Marketing Authorisation Holder-ATREIZA LABORATORIOS, Madrid, Spain. Patient Information Leaflet (Vinpocetine 5 and 10 mg). Available online: File.wuxuwang.com/hma/LV_H_0166_001_FinalPL.pdf (accessed on 10 September 2023).
- Polgár, M.; Vereczkey, L. Pharmacokinetics of vinpocetine (Cavinton) in dog. Pol. J. Pharmacol. Pharm. 1984, 36, 407–412. [Google Scholar]
- Vereczkey, L.; Szentirmay, Z.; Szporny, L. Kinetic metabolism of vinpocetine in the rat. Arzneim.-Forsch. 1979, 29, 953–956. [Google Scholar]
- Polgár, M.; Vereczkey, L.; Nyáry, I. Pharmacokinetics of vinpocetine and its metabolite, apovincaminic acid, in plasma and cerebrospinal fluid after intravenous infusion. J. Pharm. Biomed. Anal. 1985, 3, 131–139. [Google Scholar] [CrossRef]
- Vlase, L.; Bodiu, B.; Leucuta, S.E. Pharmacokinetics and comparative bioavailability of two vinpocetine tablet formulations in healthy volunteers by using the metabolite apovincaminic acid as pharmacokinetic parameter. Arzneim.-Forsch. 2005, 55, 664–668. [Google Scholar] [CrossRef] [PubMed]
- U.S. Department of Health and Human Services National Toxicology Program. Developmental and Reproductive Toxicity Technical Report on the Prenatal Development Studies of Vinpocetine. Available online: https://ntp.niehs.nih.gov/ntp/htdocs/dart/dart03_508.pdf (accessed on 13 March 2023).
- Vereczkey, L.; Czira, G.; Tamás, J.; Szentirmay, Z.; Botár, Z.; Szporny, L. Pharmacokinetics of vinpocetine in humans. Arzneim.-Forsch. 1979, 29, 957–960. [Google Scholar]
- Vereczkey, L.; Pudleiner, P. Pharmacokinetics of apovincaminic acid in dogs. Pol. J. Pharmacol. Pharm. 1987, 39, 161–165. [Google Scholar] [PubMed]
- Nyakas, C.; Felszeghy, K.; Szabó, R.; Keijser, J.N.; Luiten, P.G.; Szombathelyi, Z.; Tihanyi, K. Neuroprotective effects of vinpocetine and its major metabolite cis-apovincaminic acid on NMDA-induced neurotoxicity in a rat entorhinal cortex lesion model. CNS Neurosci. Ther. 2009, 15, 89–99. [Google Scholar] [CrossRef]
- Tecnimede. Vinpocetine, SmPC. Available online: https://www.tecnimede.com/sites/default/files/portfolio/dosages/ULTRA-VINCA_RCM.pdf (accessed on 19 September 2023).
- Nootropic Expert. Vinpocetine. Available online: https://nootropicsexpert.com/vinpocetine/ (accessed on 15 September 2023).
- Farkas, B.; Kocsis, P.; Tarnawa, I.; Tihanyi, K. Main Cavinton® metabolite cAVA (cis-apovincaminic acid) increases neuronal excitability. In Proceedings of the 13th Conference of the Hungarian Neuroscience Society (MITT), Budapest, Hungary, 20 January 2011. [Google Scholar]
Disclaimer/Publisher’s Note: The statements, opinions and data contained in all publications are solely those of the individual author(s) and contributor(s) and not of MDPI and/or the editor(s). MDPI and/or the editor(s) disclaim responsibility for any injury to people or property resulting from any ideas, methods, instructions or products referred to in the content. |
© 2023 by the authors. Licensee MDPI, Basel, Switzerland. This article is an open access article distributed under the terms and conditions of the Creative Commons Attribution (CC BY) license (https://creativecommons.org/licenses/by/4.0/).






