Enhancing Cell Penetration Efficiency of Cyclic Oligoarginines Using Rigid Scaffolds
Abstract
1. Introduction
2. Materials and Methods
2.1. Synthesis of Peptides and Their Conjugates
2.2. Flow Cytometry
EBC-1
2.3. Analysis of In Vitro Cytostatic Activity of Conjugates
2.4. Statistical Analysis
3. Results
3.1. Synthesis of Peptides
3.2. Cellular Uptake
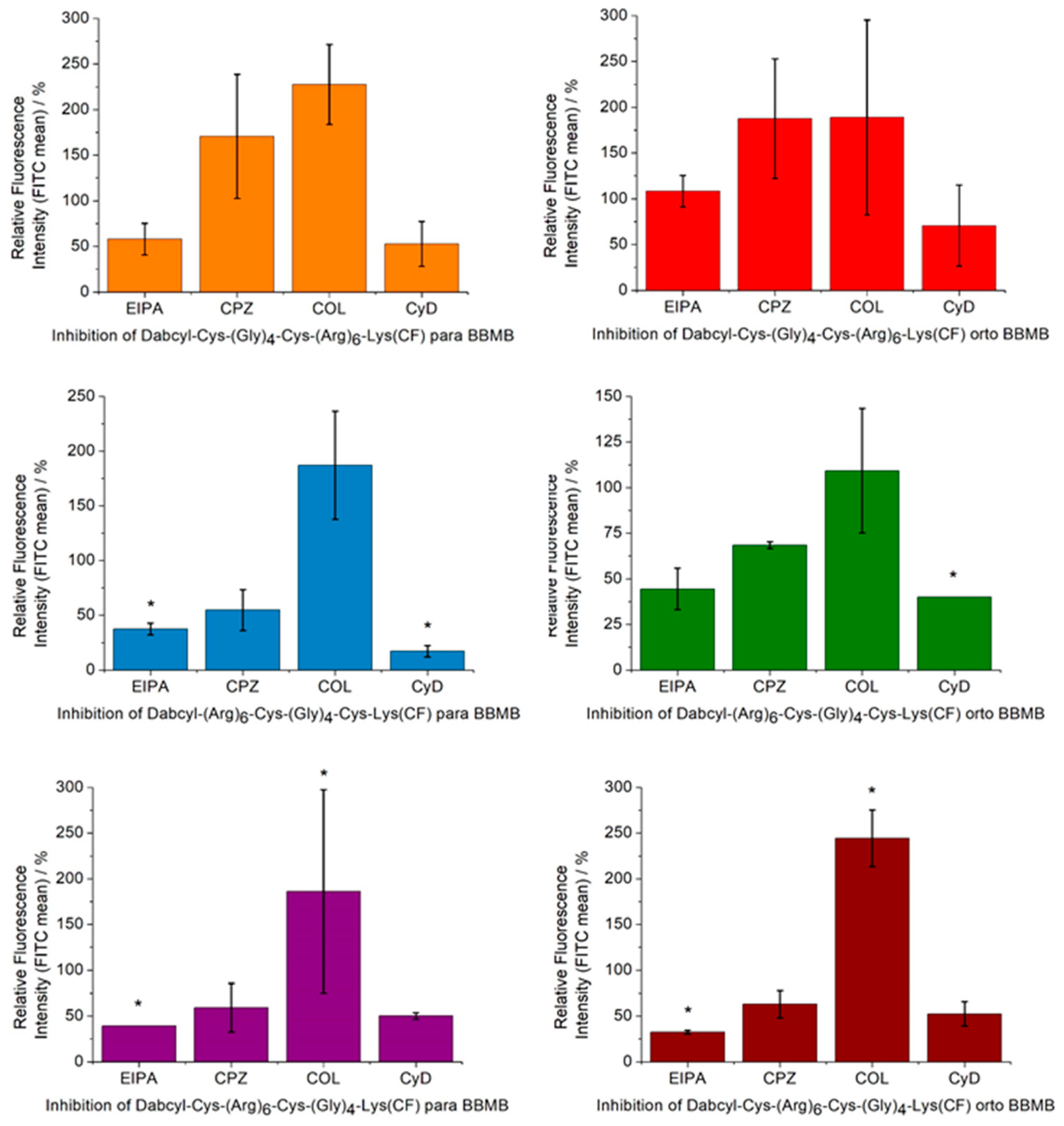
3.3. Investigation of Endocytic Pathways of Entry
3.4. In Vitro Cytostatic Effect of Conjugates
3.5. Stability Measurement of Linear and Cyclic Peptides
4. Discussion
5. Conclusions
Supplementary Materials
Author Contributions
Funding
Institutional Review Board Statement
Informed Consent Statement
Data Availability Statement
Acknowledgments
Conflicts of Interest
References
- Futaki, S.; Arafiles, J.V.V.; Hirose, H. Peptide-Assisted Intracellular Delivery of Biomacromolecules. Chem. Lett. 2020, 49, 1088–1094. [Google Scholar] [CrossRef]
- Bánóczi, Z.; Gorka-Kereskényi, Á.; Reményi, J.; Orbán, E.; Hazai, L.; Tokési, N.; Oláh, J.; Ovádi, J.; Béni, Z.; Háda, V.; et al. Synthesis and in Vitro Antitumor Effect of Vinblastine Derivative- Oligoarginine Conjugates. Bioconjug. Chem. 2010, 21, 1948–1955. [Google Scholar] [CrossRef]
- Miklán, Z.; Orbán, E.; Csík, G.; Schlosser, G.; Magyar, A.; Hudecz, F. New Daunomycin-Oligoarginine Conjugates: Synthesis, Characterization, and Effect on Human Leukemia and Human Hepatoma Cells. Biopolymers 2009, 92, 489–501. [Google Scholar] [CrossRef]
- Bánóczi, Z.; Keglevich, A.; Szabó, I.; Ranđelović, I.; Hegedüs, Z.; Regenbach, F.L.; Keglevich, P.; Lengyel, Z.; Gorka-Kereskényi, Á.; Dubrovay, Z.; et al. The Effect of Conjugation on Antitumor Activity of Vindoline Derivatives with Octaarginine, a Cell-Penetrating Peptide. J. Pept. Sci. 2018, 24, e3118. [Google Scholar] [CrossRef]
- Miklán, Z.; Szabó, R.; Zsoldos-Mády, V.; Reményi, J.; Bánóczi, Z.; Hudecz, F. New Ferrocene Containing Peptide Conjugates: Synthesis and Effect on Human Leukemia (HL-60) Cells. Biopolym. Pept. Sci. Sect. 2007, 88, 108–114. [Google Scholar] [CrossRef]
- Miklán, Z.; Orbán, E.; Bánóczi, Z.; Hudecz, F. New Pemetrexed-Peptide Conjugates: Synthesis, Characterization and in Vitro Cytostatic Effect on Non-Small Cell Lung Carcinoma (NCI-H358) and Human Leukemia (HL-60) Cells. J. Pept. Sci. 2011, 17, 805–811. [Google Scholar] [CrossRef]
- Szabó, I.; Orbán, E.; Schlosser, G.; Hudecz, F.; Bánóczi, Z. Cell-Penetrating Conjugates of Pentaglutamylated Methotrexate as Potential Anticancer Drugs against Resistant Tumor Cells. Eur. J. Med. Chem. 2016, 115, 361–368. [Google Scholar] [CrossRef]
- Bánóczi, Z.; Alexa, A.; Farkas, A.; Friedrich, P.; Hudecz, F. Novel Cell-Penetrating Calpain Substrate. Bioconjug. Chem. 2008, 19, 1375–1381. [Google Scholar] [CrossRef]
- Bánoczi, Z.; Tantos, Á.; Farkas, A.; Tompa, P.; Friedrich, P.; Hudecz, F. Synthesis of Cell-Penetrating Conjugates of Calpain Activator Peptides. Bioconjug. Chem. 2007, 18, 130–137. [Google Scholar] [CrossRef]
- Világi, I.; Kiss, D.S.; Farkas, A.; Borbély, S.; Tárnok, K.; Halasy, K.; Bánóczi, Z.; Hudecz, F.; Friedrich, P. Synthetic Calpain Activator Boosts Neuronal Excitability without Extra Ca2+. Mol. Cell. Neurosci. 2008, 38, 629–636. [Google Scholar] [CrossRef]
- Vivès, E.; Brodin, P.; Lebleu, B. A Truncated HIV-1 Tat Protein Basic Domain Rapidly Translocates through the Plasma Membrane and Accumulates in the Cell Nucleus. J. Biol. Chem. 1997, 272, 16010–16017. [Google Scholar] [CrossRef]
- Derossi, D.; Joliot, A.H.; Chassaing, G.; Prochiantz, A. The Third Helix of the Antennapedia Homeodomain Translocates through Biological Membranes. J. Biol. Chem. 1994, 269, 10444–10450. [Google Scholar] [CrossRef]
- Mitchell, D.J.; Kim, D.T.; Steinman, L.; Fathman, C.G.; Rothbard, J.B. Polyarginine Enters Cells More Efficiently than Other Polycationic Homopolymers. J. Pept. Res. 2000, 56, 318–325. [Google Scholar] [CrossRef]
- Futaki, S.; Suzuki, T.; Ohashi, W.; Yagami, T.; Tanaka, S.; Ueda, K.; Sugiura, Y. Arginine-Rich Peptides. An Abundant Source of Membrane-Permeable Peptides Having Potential as Carriers for Intracellular Protein Delivery. J. Biol. Chem. 2001, 276, 5836–5840. [Google Scholar] [CrossRef]
- Szabó, I.; Yousef, M.; Soltész, D.; Bató, C.; Mező, G.; Bánóczi, Z. Redesigning of Cell-Penetrating Peptides to Improve Their Efficacy as a Drug Delivery System. Pharmaceutics 2022, 14, 907. [Google Scholar] [CrossRef]
- Pham, W.; Kircher, M.F.; Weissleder, R.; Tung, C.-H.; Pham, W.; Kircher, M.F.; Weissleder, R.; Tung, C. Enhancing Membrane Permeability by Fatty Acylation of Oligoarginine Peptides. ChemBioChem 2004, 5, 1148–1151. [Google Scholar] [CrossRef]
- Swiecicki, J.M.; Di Pisa, M.; Lippi, F.; Chwetzoff, S.; Mansuy, C.; Trugnan, G.; Chassaing, G.; Lavielle, S.; Burlina, F. Unsaturated Acyl Chains Dramatically Enhanced Cellular Uptake by Direct Translocation of a Minimalist Oligo-Arginine Lipopeptide. Chem. Commun. 2015, 51, 14656–14659. [Google Scholar] [CrossRef]
- Tyagi, S.; Bratu, D.P.; Kramer, F.R. Multicolor Molecular Beacons for Allele Discrimination. Nat. Biotechnol. 1998, 16, 49–53. [Google Scholar] [CrossRef]
- Moss, M.L.; Miller, M.A.; Vujanovic, N.; Yoneyama, T.; Rasmussen, F.H. Fluorescent Substrates for ADAM15 Useful for Assaying and High Throughput Screening. Anal. Biochem. 2016, 514, 42–47. [Google Scholar] [CrossRef]
- Szabó, I.; Illien, F.; Dókus, L.E.; Yousef, M.; Baranyai, Z.; Bősze, S.; Ise, S.; Kawano, K.; Sagan, S.; Futaki, S.; et al. Influence of the Dabcyl Group on the Cellular Uptake of Cationic Peptides: Short Oligoarginines as Efficient Cell-Penetrating Peptides. Amino Acids 2021, 53, 1033–1049. [Google Scholar] [CrossRef]
- Walrant, A.; Correia, I.; Jiao, C.Y.; Lequin, O.; Bent, E.H.; Goasdoué, N.; Lacombe, C.; Chassaing, G.; Sagan, S.; Alves, I.D. Different Membrane Behaviour and Cellular Uptake of Three Basic Arginine-Rich Peptides. Biochim. Biophys. Acta Biomembr. 2011, 1808, 382–393. [Google Scholar] [CrossRef]
- Walrant, A.; Bauzá, A.; Girardet, C.; Alves, I.D.; Lecomte, S.; Illien, F.; Cardon, S.; Chaianantakul, N.; Pallerla, M.; Burlina, F.; et al. Ionpair-π Interactions Favor Cell Penetration of Arginine/Tryptophan-Rich Cell-Penetrating Peptides. Biochim. Biophys. Acta Biomembr. 2020, 1862, 183098. [Google Scholar] [CrossRef]
- Khemaissa, S.; Walrant, A.; Sagan, S. Tryptophan, More than Just an Interfacial Amino Acid in the Membrane Activity of Cationic Cell-Penetrating and Antimicrobial Peptides. Q. Rev. Biophys. 2022, 55, e10. [Google Scholar] [CrossRef]
- Yousef, M.; Szabó, I.; Biri-Kovács, B.; Szeder, B.; Illien, F.; Sagan, S.; Bánóczi, Z. Modification of Short Non-Permeable Peptides to Increase Cellular Uptake and Cytostatic Activity of Their Conjugates. ChemistrySelect 2021, 6, 10111–10120. [Google Scholar] [CrossRef]
- Yousef, M.; Szabó, I.; Murányi, J.; Illien, F.; Soltész, D.; Bató, C.; Tóth, G.; Batta, G.; Nagy, P.; Sagan, S.; et al. Cell-Penetrating Dabcyl-Containing Tetraarginines with Backbone Aromatics as Uptake Enhancers. Pharmaceutics 2022, 15, 141. [Google Scholar] [CrossRef]
- Soltész, D.; Szabó, I.; Bánóczi, Z. The Balance between Hydrophobicity/Aromaticity and Positively Charged Residues May Influence the Cell Penetration Ability. Pharmaceutics 2023, 15, 1267. [Google Scholar] [CrossRef]
- Chung, B.K.W.; Yudin, A.K. Disulfide-Bridged Peptide Macrobicycles from Nature. Org. Biomol. Chem. 2015, 13, 8768–8779. [Google Scholar] [CrossRef]
- Baeriswyl, V.; Heinis, C. Polycyclic Peptide Therapeutics. ChemMedChem 2013, 8, 377–384. [Google Scholar] [CrossRef]
- Suzuki, H.; Morita, H.; Iwasaki, S.; Kobayashi, J. New Antimitotic Bicyclic Peptides, Celogentins D–H, and J, from the Seeds of Celosia Argentea. Tetrahedron 2003, 59, 5307–5315. [Google Scholar] [CrossRef]
- Wolfe, J.M.; Fadzen, C.M.; Holden, R.L.; Yao, M.; Hanson, G.J.; Pentelute, B.L. Perfluoroaryl Bicyclic Cell-Penetrating Peptides for Delivery of Antisense Oligonucleotides. Angew. Chem. Int. Ed. 2018, 57, 4756–4759. [Google Scholar] [CrossRef]
- Heinis, C.; Rutherford, T.; Freund, S.; Winter, G. Phage-Encoded Combinatorial Chemical Libraries Based on Bicyclic Peptides. Nat. Chem. Biol. 2009, 5, 502–507. [Google Scholar] [CrossRef]
- Mudd, G.E.; Brown, A.; Chen, L.; van Rietschoten, K.; Watcham, S.; Teufel, D.P.; Pavan, S.; Lani, R.; Huxley, P.; Bennett, G.S. Identification and Optimization of EphA2-Selective Bicycles for the Delivery of Cytotoxic Payloads. J. Med. Chem. 2020, 63, 4107–4116. [Google Scholar] [CrossRef]
- Qian, Z.; Rhodes, C.A.; McCroskey, L.C.; Wen, J.; Appiah-Kubi, G.; Wang, D.J.; Guttridge, D.C.; Pei, D. Enhancing the Cell Permeability and Metabolic Stability of Peptidyl Drugs by Reversible Bicyclization. Angew. Chem. Int. Ed. 2017, 56, 1525–1529. [Google Scholar] [CrossRef]
- Koivusalo, M.; Welch, C.; Hayashi, H.; Scott, C.C.; Kim, M.; Alexander, T.; Touret, N.; Hahn, K.M.; Grinstein, S. Amiloride Inhibits Macropinocytosis by Lowering Submembranous PH and Preventing Rac1 and Cdc42 Signaling. J. Cell Biol. 2010, 188, 547–563. [Google Scholar] [CrossRef]
- Gomes dos Reis, L.; Lee, W.H.; Svolos, M.; Moir, L.M.; Jaber, R.; Engel, A.; Windhab, N.; Young, P.M.; Traini, D. Delivery of PDNA to Lung Epithelial Cells Using PLGA Nanoparticles Formulated with a Cell-Penetrating Peptide: Understanding the Intracellular Fate. Drug. Dev. Ind. Pharm. 2020, 46, 427–442. [Google Scholar] [CrossRef]
- Johnson, J.R.; Kocher, B.; Barnett, E.M.; Marasa, J.; Piwnica-Worms, D. Caspase-Activated Cell-Penetrating Peptides Reveal Temporal Coupling between Endosomal Release and Apoptosis in an RGC-5 Cell Model. Bioconjug. Chem. 2012, 23, 1783–1793. [Google Scholar] [CrossRef]
- Fittipaldi, A.; Ferrari, A.; Zoppé, M.; Arcangeli, C.; Pellegrini, V.; Beltram, F.; Giacca, M. Cell Membrane Lipid Rafts Mediate Caveolar Endocytosis of HIV-1 Tat Fusion Proteins. J. Biol. Chem. 2003, 278, 34141–34149. [Google Scholar] [CrossRef]
- Hu, Y.; Li, H.; Qu, R.; He, T.; Tang, X.; Chen, W.; Li, L.; Bai, H.; Li, C.; Wang, W.; et al. Lysine Stapling Screening Provides Stable and Low Toxic Cationic Antimicrobial Peptides Combating Multidrug-Resistant Bacteria In Vitro and In Vivo. J. Med. Chem. 2022, 65, 579–591. [Google Scholar] [CrossRef]
- Rothbard, J.B.; Kreider, E.; VanDeusen, C.L.; Wright, L.; Wylie, B.L.; Wender, P.A. Arginine-Rich Molecular Transporters for Drug Delivery: Role of Backbone Spacing in Cellular Uptake. J. Med. Chem. 2002, 45, 3612–3618. [Google Scholar] [CrossRef]
- Lättig-Tünnemann, G.; Prinz, M.; Hoffmann, D.; Behlke, J.; Palm-Apergi, C.; Morano, I.; Herce, H.D.; Cardoso, M.C. Backbone Rigidity and Static Presentation of Guanidinium Groups Increases Cellular Uptake of Arginine-Rich Cell-Penetrating Peptides. Nat. Commun. 2011, 2, 453. [Google Scholar] [CrossRef]
- Richard, J.P.; Melikov, K.; Brooks, H.; Prevot, P.; Lebleu, B.; Chernomordik, L.V. Cellular Uptake of Unconjugated TAT Peptide Involves Clathrin-Dependent Endocytosis and Heparan Sulfate Receptors. J. Biol. Chem. 2005, 280, 15300–15306. [Google Scholar] [CrossRef] [PubMed]
- Kaplan, I.M.; Wadia, J.S.; Dowdy, S.F. Cationic TAT Peptide Transduction Domain Enters Cells by Macropinocytosis. J. Control. Release 2005, 102, 247–253. [Google Scholar] [CrossRef]
- Tanaka, G.; Nakase, I.; Fukuda, Y.; Masuda, R.; Oishi, S.; Shimura, K.; Kawaguchi, Y.; Takatani-Nakase, T.; Langel, Ü.; Gräslund, A.; et al. CXCR4 Stimulates Macropinocytosis: Implications for Cellular Uptake of Arginine-Rich Cell-Penetrating Peptides and HIV. Chem. Biol. 2012, 19, 1437–1446. [Google Scholar] [CrossRef] [PubMed]
- Kawaguchi, Y.; Takeuchi, T.; Kuwata, K.; Chiba, J.; Hatanaka, Y.; Nakase, I.; Futaki, S. Syndecan-4 Is a Receptor for Clathrin-Mediated Endocytosis of Arginine-Rich Cell-Penetrating Peptides. Bioconjug. Chem. 2016, 27, 1119–1130. [Google Scholar] [CrossRef] [PubMed]
- Cleal, K.; He, L.; Watson, P.D.; Jones, A.T. Endocytosis, Intracellular Traffic and Fate of Cell Penetrating Peptide Based Conjugates and Nanoparticles. Curr. Pharm. Des. 2013, 19, 2878–2894. [Google Scholar] [CrossRef]
- Li, R.; He, S.; Yin, K.; Zhang, B.; Yi, Y.; Zhang, M.; Pei, N.; Huang, L. Effects of N-terminal Modifications on the Stability of Antimicrobial Peptide SAMP-A4 Analogues against Protease Degradation. J. Pept. Sci. 2021, 27, e3352. [Google Scholar] [CrossRef] [PubMed]










| Sequence | Rt | Mcalc | Mmeas | 
|---|---|---|---|
| Cf-Arg8 | 11.6 | 1624.14 | 1623.86 | 
| Acyl-Met-(Arg)6-Met-(Gly)4-Lys(Cf) | 12.8 | 1971.95 | 1971.97 | 
| Dabcyl-Met-(Arg)6-Met-(Gly)4-Lys(Cf) | 15.0 | 2181.05 | 2181.10 | 
| Acyl-Cys((Arg)6-Cys)-(Gly)4-Lys(Cf) | 11.9 | 1913.88 | 1913.77 | 
| Dabcyl-Cys((Arg)6-Cys)-(Gly)4-Lys(Cf) | 13.8 | 2122.97 | 2123.01 | 
| Dabcyl-Cys-(Arg)2-Cys-(Arg)2-Cys-Lys(Cf) TBMB | 15.9 | 1801.75 | 1801.70 | 
| Dabcyl-Cys-(Arg)3-Cys-(Arg)3-Cys-Lys(Cf) TBMB | 14.4 | 2113.95 | 2113.85 | 
| Dabcyl-Cys-(Arg)4-Cys-(Arg)4-Cys-Lys(Cf) TBMB | 13.9 | 2426.16 | 2425.55 | 
| Acyl-Cys-(Arg)2-Cys-(Arg)2-Cys-Lys(Cf) TBMB | 12.5 | 1592.66 | 1592.28 | 
| Acyl-Cys-(Arg)3-Cys-(Arg)3-Cys-Lys(Cf) TBMB | 12.0 | 1904.86 | 1904.44 | 
| Acyl-Cys-(Arg)4-Cys-(Arg)4-Cys-Lys(Cf) TBMB | 11.4 | 2217.06 | 2217.07 | 
| Dabcyl-Cys-(Gly)4-Cys-(Arg)6-Lys(Cf) para BBMB | 14.7 | 2227.03 | 2227.10 | 
| Dabcyl-Cys-(Gly)4-Cys-(Arg)6-Lys(Cf) orto BBMB | 14.8 | 2227.03 | 2227.07 | 
| Dabcyl-Cys-(Arg)6-Cys-(Gly)4-Lys(Cf) para BBMB | 14.2 | 2227.03 | 2227.01 | 
| Dabcyl-Cys-(Arg)6-Cys-(Gly)4-Lys(Cf) orto BBMB | 14.1 | 2227.03 | 2226.99 | 
| Dabcyl-(Arg)6-Cys-(Gly)4-Cys-Lys(Cf) para BBMB | 13.6 | 2227.03 | 2226.94 | 
| Dabcyl-(Arg)6-Cys-(Gly)4-Cys-Lys(Cf) orto BBMB | 13.5 | 2227.03 | 2227.05 | 
| Acyl-Cys-(Gly)4-Cys-(Arg)6-Lys(Cf) para BBMB | 12.2 | 2017.94 | 2017.94 | 
| Acyl-Cys-(Gly)4-Cys-(Arg)6-Lys(Cf) orto BBMB | 12.4 | 2017.94 | 2017.90 | 
| Acyl-Cys-(Arg)6-Cys-(Gly)4-Lys(Cf) para BBMB | 12.4 | 2017.94 | 2017.88 | 
| Acyl-Cys-(Arg)6-Cys-(Gly)4-Lys(Cf) orto BBMB | 12.2 | 2017.94 | 2017.94 | 
| Acyl-(Arg)6-Cys-(Gly)4-Cys-Lys(Cf) para BBMB | 12.4 | 2017.94 | 2017.86 | 
| Acyl-(Arg)6-Cys-(Gly)4-Cys-Lys(Cf) orto BBMB | 12.6 | 2017.94 | 2017.95 | 
| Dabcyl-Cys-(Arg)6-Cys-(Gly)4-Lys(DauSuc) para BBMB | 16.4 | 2477.97 | 2478.08 | 
| Dabcyl-Cys-(Arg)6-Cys-(Gly)4-Lys(DauSuc) orto BBMB | 16.5 | 2477.97 | 2478.13 | 
| Conjugate | IC50 ± SD (µM) * | 
|---|---|
| EBC-1 | |
| Dabcyl-Cys-(Arg)6-Cys-(Gly)4-Lys(DauSuc) orto BBMB | 17.8 ± 2.2 | 
| Dabcyl-Cys-(Arg)6-Cys-(Gly)4-Lys(DauSuc) para BBMB | 19.8 ± 0.1 | 
| Disclaimer/Publisher’s Note: The statements, opinions and data contained in all publications are solely those of the individual author(s) and contributor(s) and not of MDPI and/or the editor(s). MDPI and/or the editor(s) disclaim responsibility for any injury to people or property resulting from any ideas, methods, instructions or products referred to in the content. | 
© 2023 by the authors. Licensee MDPI, Basel, Switzerland. This article is an open access article distributed under the terms and conditions of the Creative Commons Attribution (CC BY) license (https://creativecommons.org/licenses/by/4.0/).
Share and Cite
Bató, C.; Szabó, I.; Bánóczi, Z. Enhancing Cell Penetration Efficiency of Cyclic Oligoarginines Using Rigid Scaffolds. Pharmaceutics 2023, 15, 1736. https://doi.org/10.3390/pharmaceutics15061736
Bató C, Szabó I, Bánóczi Z. Enhancing Cell Penetration Efficiency of Cyclic Oligoarginines Using Rigid Scaffolds. Pharmaceutics. 2023; 15(6):1736. https://doi.org/10.3390/pharmaceutics15061736
Chicago/Turabian StyleBató, Csaba, Ildikó Szabó, and Zoltán Bánóczi. 2023. "Enhancing Cell Penetration Efficiency of Cyclic Oligoarginines Using Rigid Scaffolds" Pharmaceutics 15, no. 6: 1736. https://doi.org/10.3390/pharmaceutics15061736
APA StyleBató, C., Szabó, I., & Bánóczi, Z. (2023). Enhancing Cell Penetration Efficiency of Cyclic Oligoarginines Using Rigid Scaffolds. Pharmaceutics, 15(6), 1736. https://doi.org/10.3390/pharmaceutics15061736
 
        

 
       