Evaluation of the Antifungal and Antiproliferative Properties of the Lichen Roccella tinctoria DC. Extracts and Main Components
Abstract
1. Introduction
2. Materials and Methods
2.1. Chemicals and Instruments
2.2. Extraction, Isolation, and Identification of Metabolites of R. tinctoria Lichen Material
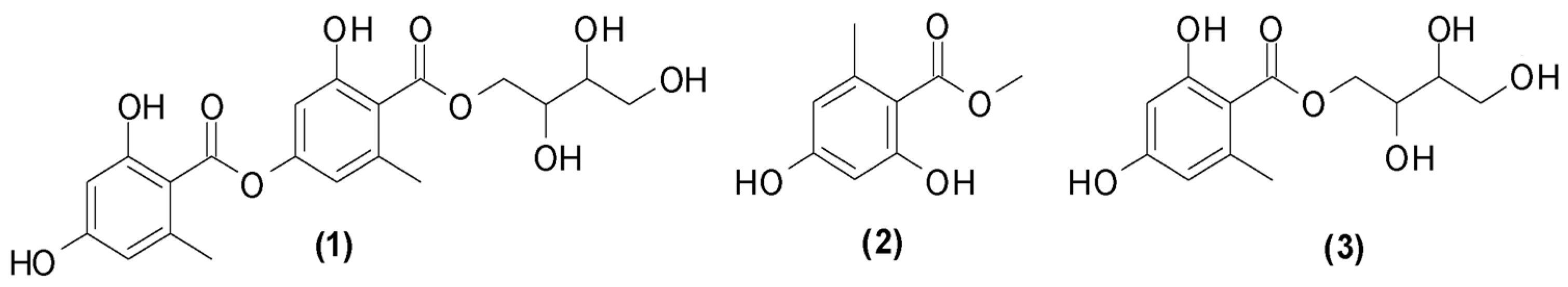
Characterization of Compounds 1–3
2.3. HPLC Analysis
2.4. Analyses by Gas Chromatography–Mass Spectrometry (GC-MS)
2.4.1. SPME Sampling
2.4.2. GC-MS Analysis
2.4.3. GC-MS Analysis of the Extracts after Derivatization
2.5. Spectrophotometric Analysis of Total Polyphenols and Tannins
2.6. In Vitro Cytotoxic Activity
2.6.1. Cell Culture
2.6.2. Cytotoxicity Evaluation
2.7. In Vitro Antifungal Assays
2.7.1. Antifungal Susceptibility Test
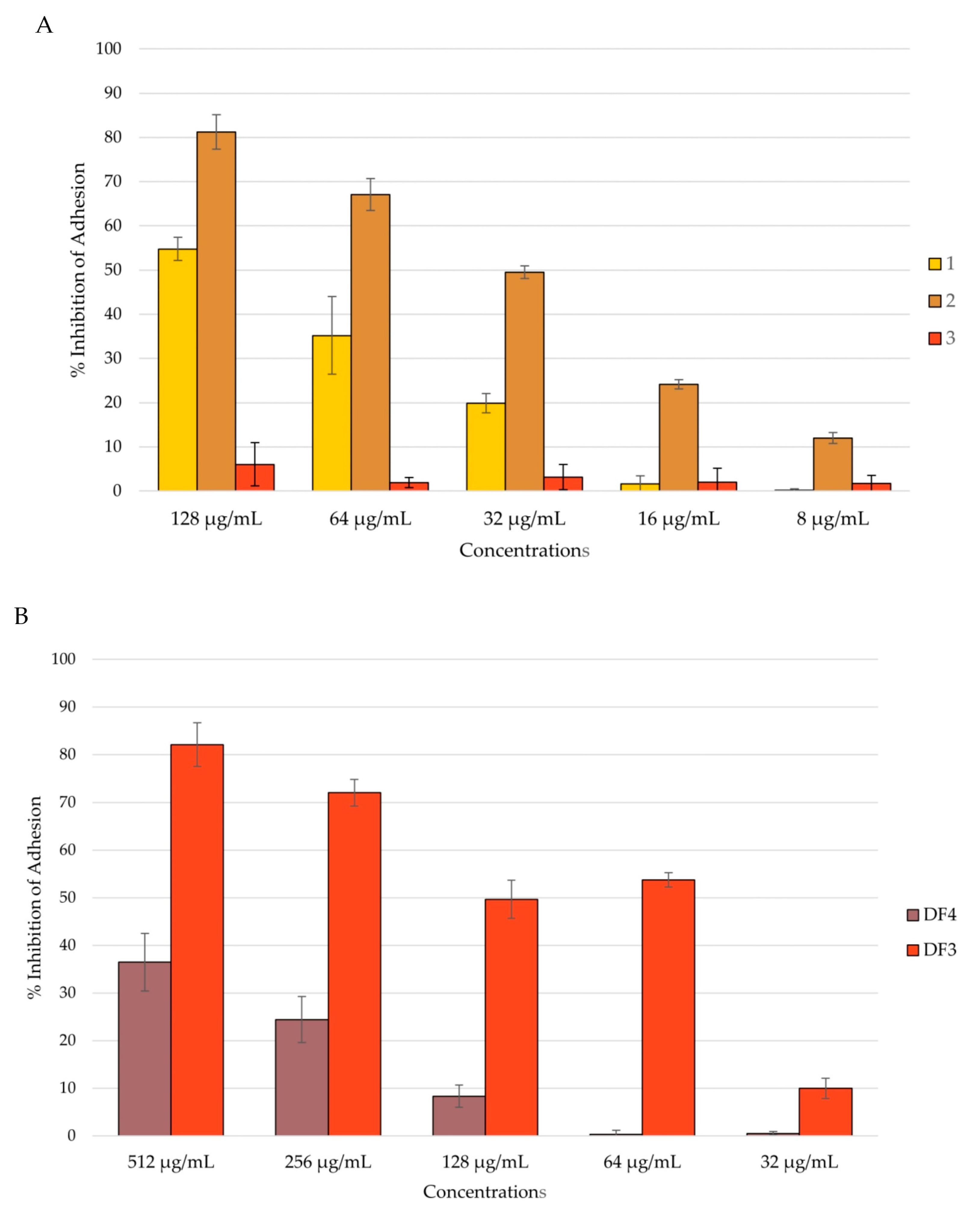
2.7.2. Anti-Adhesion Activity
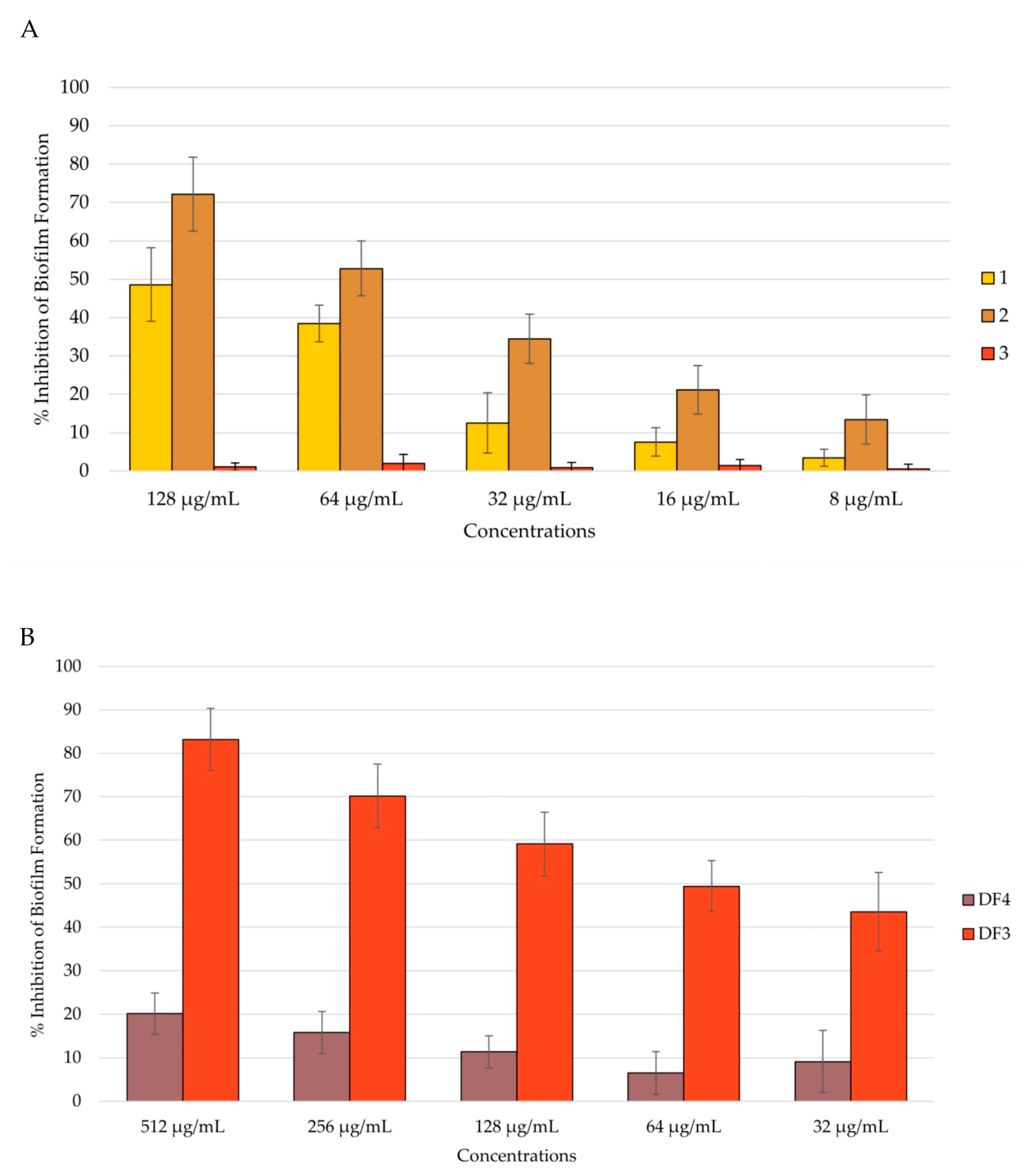
2.7.3. Antibiofilm Formation Activity
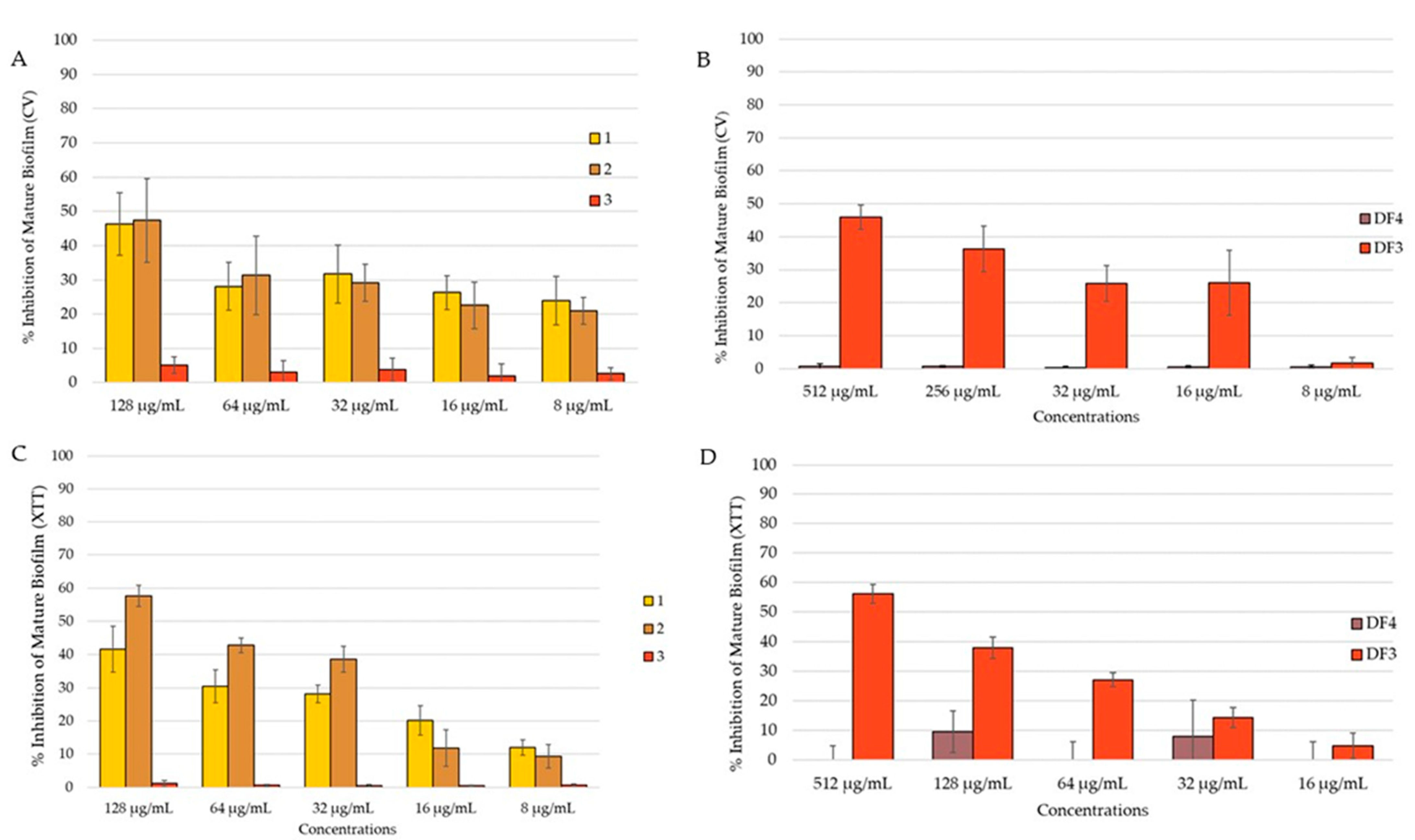
2.7.4. Reduction in Preformed Biofilm
2.8. In Vivo Antifungal Assay
2.8.1. Galleria Mellonella Survival Assay
2.8.2. In Vivo Toxicity Studies
2.9. Statistical Analysis
3. Results and Discussion
3.1. Extraction and Spectrophotometric Analysis of Total Polyphenols and Tannins
3.2. Isolation, Characterization, and Quantification of Erythrin (1), Methyl Orsellinate (2), and Montagnetol (3)
3.3. SPME-GC-MS Chemical Composition
3.4. Chemical Composition of the Volatile Components of the Extracts
3.5. Chemical Composition of Extracts DF3 and DF4 after Derivatization
3.6. In Vitro Cytotoxicity Assay
3.7. In Vitro Antifungal Activity
3.7.1. Antifungal Susceptibility Test
3.7.2. Anti-Candida Adhesion Activity
3.7.3. Anti-Candida Biofilm Formation
3.7.4. Anti-Candida Mature Biofilm Inhibition
3.8. In Vivo Antifungal Assays
4. Conclusions
Author Contributions
Funding
Institutional Review Board Statement
Informed Consent Statement
Data Availability Statement
Conflicts of Interest
References
- Surridge, C. Symbiosis: Triple trouble with lichen. Science 2016, 353, 488–492. [Google Scholar] [CrossRef]
- Nascimbene, J.; Nimis, P.L.; Thüs, H. Lichens as bioindicators in freshwater ecosystems—Challenges and perspectives. Ann. Bot. 2013, 3, 45–50. [Google Scholar]
- Piovano, M.; Garbarino, J.A.; Giannini, F.A.; Correche, E.R.; Feresin, G.; Tapia, A.; Zacchino, S.; Enriz, R.D. Evaluation of antifungal and antibacterial activities of aromatic metabolites from lichens. Bol. Soc. Chil. Quím. 2002, 47, 235–240. [Google Scholar] [CrossRef]
- Tehler, A.; Dahlkid, U.; Eldenas, P.; Feige, G.B. The phylogeny and taxonomy of Macaronesian, European and Mediterranean Roccella (Roccellaceae, Arthoniales). Symb. Bot. Upsal. 2004, 34, 405–428. [Google Scholar]
- Ferron, S.; Berry, O.; Olivier-Jimenez, D.; Rouaud, I.; Boustie, J.; Lohézic-Le Dévéhat, F.; Poncet, R. Chemical diversity of five coastal Roccella species from mainland France, the Scattered Islands, and São Tomé and Príncipe. Plant Fung. Syst. 2020, 65, 247–260. [Google Scholar] [CrossRef]
- Bohnert, M.; Nützmann, H.-W.; Schroeckh, V.; Horn, F.; Dahse, H.-M.; Brakhage, A.A.; Hoffmeister, D. Cytotoxic and antifungal activities of melleolide antibiotics follow dissimilar structure–activity relationships. Phytochemistry 2014, 105, 101–108. [Google Scholar] [CrossRef]
- Tuan, N.T.; Dam, N.P.; Hie, M.V.; Trang, D.T.X.; Danh, L.T.; Men, T.T.; De, T.Q.; Bach, L.T.; Kanaori, K. Chemical Constituents of the Lichen Parmotrema Tinctorum and their Antifungal Activity. Chem. Nat. Compd. 2020, 56, 315–317. [Google Scholar] [CrossRef]
- Brakni, R.; Ahmed, M.A.; Burger, P.; Schwing, A.; Michel, G.; Pomares, C.; Hasseine, L.; Boyer, L.; Fernandez, X.; Landreau, A.; et al. UHPLC-HRMS/MS Based Profiling of Algerian Lichens and Their Antimicrobial Activities. Chem. Biodivers. 2018, 15, e1800031. [Google Scholar] [CrossRef]
- Conti, F.; Abbate, G.; Alessandrini, A.; Blasi, C. An Annotated Checklist of the Italian Vascular Flora; Palombi Editore: Rome, Italy, 2005. [Google Scholar]
- Pignatti, S. Flora d’Italia; Edagricole: Bologna, Italy, 1982. [Google Scholar]
- Melo, M.J. History of Natural Dyes in the Ancient Mediterranean Civilization. In Handbook of Natural Colorants Historical Development; Stevens, C., Bechtold, T., Manian, A., Pham, T., Eds.; Wiley: Hoboken, NJ, USA, 2023; pp. 3–26. [Google Scholar]
- Doherty, B.; Gabrieli, F.; Clementi, C.; Cardon, D.; Sgamellotti, A.; Brunetti, B.; Miliani, C. Surface enhanced Raman spectroscopic investigation of orchil dyed wool from Roccella tinctoria and Lasallia pustulata. J. Raman Spectrosc. 2014, 45, 723–729. [Google Scholar] [CrossRef]
- Lech, K.; Fornal, E. A Mass Spectrometry-Based Approach for Characterization of Red, Blue, and Purple Natural Dyes. Molecules 2020, 25, 3223. [Google Scholar] [CrossRef]
- Calà, E.; Benzi, M.; Gosetti, F.; Zanin, A.; Gulmini, M.; Idone, A.; Serafini, I.; Ciccola, A.; Curini, R.; Whitworth, I.; et al. Towards the identification of the lichen species in historical orchil dyes by HPLC-MS/MS. Microchem. J. 2019, 150, 104140. [Google Scholar] [CrossRef]
- Aceto, M.; Arrais, A.; Marsano, F.; Agostino, A.; Fenoglio, G.; Idone, A.; Gulmini, M. A diagnostic study on folium and orchil dyes with non-invasive and micro-destructive methods. Spectrochim. Acta Part A Mol. Biomol. Spectr. 2015, 142, 159–168. [Google Scholar] [CrossRef]
- Girardot, M.; Millot, M.; Hamion, G.; Billard, J.L.; Juin, C.; Ntoutoume, G.N.; Sol, V.; Mambu, L.; Imbert, C. Lichen polyphenolic compounds for the eradication of Candida albicans biofilms. Front. Cell. Infect. Microbiol. 2021, 11, 698883. [Google Scholar] [CrossRef] [PubMed]
- Chang, W.; Li, Y.; Zhang, L.; Cheng, A.; Liu, Y.; Lou, H. Retigeric acid B enhances the efficacy of azoles combating the virulence and biofilm formation of Candida albicans. Biol. Pharm. Bull. 2012, 35, 1794–1801. [Google Scholar] [CrossRef]
- Bucar, F.; Schneider, I.; Ögmundsdóttir, H.; Ingólfsdóttir, K. Anti-proliferative lichen compounds with inhibitory activity on 12 (S)-HETE production in human platelets. Phytomed. 2004, 11, 602–606. [Google Scholar] [CrossRef] [PubMed]
- Burlando, B.; Ranzato, E.; Volante, A.; Appendino, G.; Pollastro, F.; Verotta, L. Antiproliferative effects on tumour cells and promotion of keratinocyte wound healing by different lichen compounds. Planta Med. 2009, 75, 607–613. [Google Scholar] [CrossRef] [PubMed]
- Mohammadi, M.; Bagheri, L.; Badreldin, A.; Fatehi, P.; Pakzad, L.; Suntres, Z.; van Wijnen, A.J. Biological effects of gyrophoric acid and other lichen derived metabolites, on cell proliferation, apoptosis and cell signaling pathways. Chem. Biol. Interact. 2022, 351, 109768. [Google Scholar] [CrossRef] [PubMed]
- Qi, W.; Lu, C.; Huang, H.; Zhang, W.; Song, S.; Liu, B. (+)-Usnic Acid Induces ROS-Dependent Apoptosis via Inhibition of Mitochondria Respiratory Chain Complexes and Nrf2 Expression in Lung Squamous Cell Carcinoma. Int. J. Mol. Sci. 2020, 21, 876, Erratum in Int. J. Mol. Sci. 2020, 21, 2915. [Google Scholar] [CrossRef]
- Tripathi, A.H.; Negi, N.; Gahtori, R.; Kumari, A.; Joshi, P.; Tewari, L.M.; Joshi, Y.; Bajpai, R.; Upreti, D.K.; Upadhyay, S.K. A review of anti-cancer and related properties of lichen-extracts and metabolites. Anticancer Agents Med. Chem. 2022, 22, 115–142. [Google Scholar]
- Lopes, J.P.; Lionakis, M.S. Pathogenesis and virulence of Candida albicans. Virulence 2022, 13, 89–121. [Google Scholar] [CrossRef]
- Mukherjee, P.K.; Chandra, J.; Kuhn, D.M.; Ghannoum, M.A. Mechanism of Fluconazole Resistance in Candida albicans Biofilms: Phase-Specific Role of Efflux Pumps and Membrane Sterols. Infect. Immun. 2003, 71, 4333–4340. [Google Scholar] [CrossRef]
- Pereira, R.; dos Santos Fontenelle, R.O.; de Brito, E.H.S.; de Morais, S.M. Biofilm of Candida albicans: Formation, regulation and resistance. J. Appl. Microbiol. 2021, 131, 11–22. [Google Scholar] [CrossRef]
- Pandolfi, F.; D’Acierno, F.; Bortolami, M.; De Vita, D.; Gallo, F.; De Meo, A.; Di Santo, R.; Costi, R.; Simonetti, G.; Scipione, L. Searching for new agents active against Candida albicans biofilm: A series of indole derivatives, design, synthesis and biological evaluation. Eur. J. Med. Chem. 2019, 165, 93–106. [Google Scholar] [CrossRef] [PubMed]
- Atanasov, A.G.; Zotchev, S.B.; Dirsch, V.M.; The International Natural Product Sciences Taskforce; Supuran, C.T. Natural products in drug discovery: Advances and opportunities. Nat. Rev. Drug Discov. 2021, 20, 200–216. [Google Scholar] [CrossRef] [PubMed]
- De Vita, D.; Messore, A.; Toniolo, C.; Frezza, C.; Scipione, L.; Bertea, C.M.; Micera, M.; Di Sarno, V.; Madia, V.N.; Pindinello, I.; et al. Towards a new application of amaranth seed oil as an agent against Candida albicans. Nat. Prod. Res. 2021, 35, 4621–4626. [Google Scholar] [CrossRef] [PubMed]
- Fernandes Correia, A.; Silveira, D.; Fonseca-Bazzo, Y.M.; Oliveira Magalhães, P.; Fagg, C.W.; da Silva, E.C.; Gomes, S.M.; Gandolfi, L.; Pratesi, R.; de Medeiros Nóbrega, Y.C. Activity of crude extracts from Brazilian cerrado plants against clinically relevant Candida species. BMC Complement. Altern. Med. 2016, 16, 203. [Google Scholar]
- Setzer, M.C.; Setzer, W.N.; Jackes, B.R.; Gentry, G.A.; Moriarity, D.M. The Medicinal Value of Tropical Rainforest Plants from Paluma, North Queensland, Australia. Pharma. Biol. 2001, 39, 67–78. [Google Scholar] [CrossRef]
- Millot, M.; Girardot, M.; Dutreix, L.; Mambu, L.; Imbert, I. Antifungal and Anti-Biofilm Activities of Acetone Lichen Extracts against Candida albicans. Molecules 2017, 22, 651. [Google Scholar] [CrossRef] [PubMed]
- Hanuš, L.O.; Temin, M.; Dembitsky, V.M. Antibacterial and Antifungal Activities of Some Phenolic Metabolites Isolated from the Lichenized Ascomycete Ramalina lacera. Nat. Prod. Comm. 2008, 3, 233–236. [Google Scholar] [CrossRef]
- Mallavadhani, U.V.; Boddu, R.; Rathod, B.B.; Setty, P.R. Stereoselective synthesis of the lichen metabolite, (+) montagnetol and its congeners as antimicrobial agents. Synth. Comm. 2018, 48, 2992–2999. [Google Scholar] [CrossRef]
- Basile, A.; Rigano, D.; Loppi, S.; Di Santi, A.; Nebbioso, A.; Sorbo, S.; Conte, B.; Paoli, L.; De Ruberto, F.; Molinari, A.M.; et al. Antiproliferative, Antibacterial and Antifungal Activity of the Lichen Xanthoria parietina and Its Secondary Metabolite Parietin. Int. J. Mol. Sci. 2015, 16, 7861–7875. [Google Scholar] [CrossRef]
- Mitrović, T.; Stamenković, S.; Cvetković, V.; Tošić, S.; Stanković, M.; Radojević, I.; Stefanović, O.; Čomić, L.; Đačić, D.; Ćurčić, M.; et al. Antioxidant, Antimicrobial and Antiproliferative Activities of Five Lichen Species. Int. J. Mol. Sci. 2011, 12, 5428–5448. [Google Scholar] [CrossRef]
- De Jesus, E.; Hur, J.S.; Notarte, K.I.R.; Santiago, K.A.A.; Dela Cruz, T.E.E. Antibacterial, antioxidant, and cytotoxic activities of the corticolous lichens Canoparmelia aptata, Pannaria sp., and Parmotrema gardneri collected from Mt. Banahaw, Quezon, Philippines. Banahaw Quezon Philipp. Curr. Res. Environ. Appl. Mycol. 2016, 6, 173–183. [Google Scholar] [CrossRef]
- Kosanić, M.; Ristić, S.; Stanojković, T.; Manojlović, N.; Ranković, B. Extracts of five Cladonia lichens as sources of biologically active compounds. Farmacia 2018, 66, 644–651. [Google Scholar] [CrossRef]
- Ozturk, S.; Erkisa, M.; Oran, S.; Ulukaya, E.; Celikler, S.; Ari, F. Lichens exerts an anti-proliferative effect on human breast and lung cancer cells through induction of apoptosis. Drug Chem. Toxicol. 2021, 44, 259–267. [Google Scholar] [CrossRef] [PubMed]
- Mishra, T.; Shukla, S.; Meena, S.; Singh, R.; Pal, M.; Upreti, D.K.; Datta, D. Isolation and identification of cytotoxic compounds from a fruticose lichen Roccella montagnei, and it’s in silico docking study against CDK-10. Rev. Bras. Farmacogn. 2017, 27, 724–728. [Google Scholar] [CrossRef]
- Di Sotto, A.; Locatelli, M.; Macone, A.; Toniolo, C.; Cesa, S.; Carradori, S.; Eufemi, M.; Mazzanti, G.; Di Giacomo, S. Hypoglycemic, antiglycation, and cytoprotective properties of a phenol-rich extract from waste peel of Punica granatum L. var. Dente di Cavallo DC2. Molecules. 2019, 27, 3103. [Google Scholar] [CrossRef] [PubMed]
- Grubman, S.A.; Perrone, R.D.; Lee, D.W.; Murray, S.L.; Rogers, L.C.; Wolkoff, L.I.; Mulberg, A.E.; Cherington, V.; Jefferson, D.M. Regulation of intracellular pH by immortalized human intrahepatic biliary epithelial cell lines. Am. J. Physiol. 1994, 266, 1060–1070. [Google Scholar] [CrossRef] [PubMed]
- Di Sotto, A.; Gullì, M.; Acquaviva, A.; Tacchini, M.; Di Simone, S.C.; Chiavaroli, A.; Recinella, L.; Leone, S.; Brunetti, L.; Orlando, G.; et al. Phytochemical and pharmacological profiles of the essential oil from the inflorescences of the Cannabis sativa L. Ind. Crops Prod. 2022, 183, 114980. [Google Scholar] [CrossRef]
- Di Sotto, A.; Di Giacomo, S.; Rubini, E.; Macone, A.; Gulli, M.; Mammola, C.L.; Eufemi, M.; Mancinelli, R.; Mazzanti, G. Modulation of stat3 signaling, cell redox defenses and cell cycle checkpoints by β-caryophyllene in cholangiocarcinoma cells: Possible mechanisms accounting for doxorubicin chemosensitization and chemoprevention. Cells 2020, 9, 858. [Google Scholar] [CrossRef] [PubMed]
- ISO 10993-5:2009; Biological Evaluation of Medical Devices Part 5: Tests for Invitro Cytotoxicity. 2nd ed. International Organization for Standardization/ANSI: Geneva, Switzerland, 2009.
- CLSI M27-A3(28); Reference Method for Broth Dilution Antifungal Susceptibility Testing of Yeasts. 3rd ed. Approved Standard. Clinical and Laboratory Standards Institute: Wayne, PA, USA, 2008.
- Clinical and Laboratory Standards Institute (CLSI). Reference Method for Broth Dilution Antifungal Susceptibility Testing of Yeasts—Fourth Informational Supplement, Document M27-A3; Clinical and Laboratory Standards Institute: Wayne, PA, USA, 2012. [Google Scholar]
- Bandara, H.M.H.N.; Cheung, B.P.K.; Watt, R.M.; Jin, L.J.; Samaranayake, L.P. Secretory products of Escherichia coli biofilm modulate Candida biofilm formation and hyphal development. J. Investig. Clin. Dent. 2013, 4, 186–199. [Google Scholar] [CrossRef]
- Matsubara, V.H.; Wang, Y.; Bandara, H.M.; Mayer, M.P.; Samaranayake, L.P. Probiotic lactobacilli inhibit early stages of Candida albicans biofilm development by reducing their growth, cell adhesion, and filamentation. Appl. Microbiol. Biotechnol. 2016, 100, 6415–6426. [Google Scholar] [CrossRef]
- Pierce, C.G.; Chaturvedi, A.K.; Lazzell, A.L.; Powell, A.T.; Saville, S.P.; McHardy, S.F.; Lopez-Ribot, J.L. A novel small molecule inhibitor of Candida albicans biofilm formation, filamentation and virulence with low potential for the development of resistance. NPJ Biofilms Microbiomes. 2015, 1, 15012. [Google Scholar] [CrossRef]
- Ourabah, A.; Atmani-Kilani, D.; Debbache-Benaida, N.; Kolesova, O.; Azib, L.; Yous, F.; Benloukil, M.; Botta, B.; Atmani, D.; Simonetti, G. Anti-Candida albicans biofilm activity of extracts from two selected indigenous Algerian plants: Clematis flammula and Fraxinus angustifolia. J. Herb. Med. 2020, 20, 100319. [Google Scholar] [CrossRef]
- Simonetti, G.; Palocci, C.; Valletta, A.; Kolesova, O.; Chronopoulou, L.; Donati, L.; Di Nitto, A.; Brasili, E.; Tomai, P.; Gentili, A.; et al. Anti-Candida biofilm activity of pterostilbene or crude extract from non-fermented grape pomace entrapped in biopolymeric nanoparticles. Molecules 2019, 24, 2070. [Google Scholar] [CrossRef]
- Cairone, F.; Simonetti, G.; Orekhova, A.; Casadei, M.A.; Zengin, G.; Cesa, S. Health potential of clery strawberries: Enzymatic inhibition and anti-Candida activity evaluation. Molecules 2021, 26, 1731. [Google Scholar] [CrossRef]
- Shukla, V.; Joshi, G.P.; Rawat, M.S.M. Lichens as a potential natural source of bioactive compounds: A review. Phytochem. Rev. 2010, 9, 303–314. [Google Scholar] [CrossRef]
- Mendili, M.; Bannour, M.; Araújo, M.E.M.; Seaward, M.R.; Khadhri, A. Lichenochemical screening and antioxidant capacity of four Tunisian lichen species. Chem. Biodivers. 2021, 18, e2000735. [Google Scholar] [CrossRef] [PubMed]
- Smitha, K.C.; Garampalli, R.H. Evaluation of phytochemicals and in vitro antioxidant activity of Ramalina pacifica and Roccella montagnei. J. Pharmacogn. Phytochem. 2016, 5, 270–274. [Google Scholar]
- Aydin, S.; Kinalioğlu, K. Comparison of antioxidant activity of Roccella phycopsis Ach.(Roccellaceae) and Flavoparmelia caperata L. Hale (Parmeliaceae) lichens. Düzce Üniv. Bilim Teknol. Derg. 2016, 4, 837–847. [Google Scholar]
- Basset, J.F.; Leslie, C.; Hamprecht, D.; White, A.J.; Barrett, A.G. Studies on the resorcylates: Biomimetic total syntheses of (+)-montagnetol and (+)-erythrin. Tetrahedron Lett. 2010, 51, 783–785. [Google Scholar] [CrossRef]
- Mohapatra, D.K.; Maity, S.; Banoth, S.; Gonnade, R.G.; Yadav, J. S Total synthesis of isocladosporin and 3-epi-isocladosporin. Tetrahedron Lett. 2016, 57, 53–55. [Google Scholar] [CrossRef]
- Duong, H.T.; Bui, H.X. Chemical constituents of the lichen Roccella sinensis growing in Binh Thuan province. VNUHCM J. Nat. Sci. 2018, 2, 63–67. [Google Scholar] [CrossRef]
- Roser, L.A.; Erkoc, P.; Ingelfinger, R.; Henke, M.; Ulshöfer, T.; Schneider, A.K.; Lau, V.; Geisslinger, G.; Schmitt, I.; Fürst, R.; et al. Lecanoric acid mediates anti-proliferative effects by an M phase arrest in colon cancer cells. Biomed. Pharmacother. 2022, 148, 112734. [Google Scholar] [CrossRef]
- Liu, B.-L.; Hu, X.; He, H.-L.; Qiu, L.; Li, Y.-Z.; Ding, W.-B. A new epicatechin glucopyranoside derivative from Styrax suberifolius. Nat. Prod. Res. 2020, 34, 1977–1983. [Google Scholar] [CrossRef]
- Thadhani, V.M.; Choudhary, M.I.; Khan, S.; Karunaratne, V. Antimicrobial and toxicological activities of some depsides and depsidones. J. Natn. Sci. Found. Sri Lanka 2012, 40, 43–48. [Google Scholar] [CrossRef]
- Simonetti, G.; Passariello, C.; Rotili, D.; Mai, A.; Garaci, E.; Palamara, A.T. Histone deacetylase inhibitors may reduce pathogenicity and virulence in Candida albicans. FEMS Yeast Res. 2007, 7, 1371–1380. [Google Scholar] [CrossRef]
- Serrano, I.; Verdial, C.; Tavares, L.; Oliveira, M. The virtuous Galleria mellonella model for scientific experimentation. Antibiotics. 2023, 12, 505. [Google Scholar] [CrossRef]
- Ignasiak, K.; Maxwell, A. Galleria mellonella (greater wax moth) larvae as a model for antibiotic susceptibility testing and acute toxicity trials. BMC Res Notes. 2017, 10, 428. [Google Scholar] [CrossRef]










| Extracts | Polyphenols | Tannins |
|---|---|---|
| mg TAE/g Extract | ||
| DF3 | 43.48 ± 1.04 *** | 30.78 ± 1.33 *** |
| DF4 | 35.47 ± 0.88 | 23.22 ± 1.09 |
| Compound | DF3 | DF4 |
|---|---|---|
| 1 | 6.90 ± 0.33 | 22.0 ± 0.66 |
| 2 | 23.01 ± 1.10 | 0.62 ± 0.02 |
| 3 | 6.35 ± 0.19 | 1.80 ± 0.05 |
| Compound 1 | LRI 2 | LRI 3 | R. tinctoria |
|---|---|---|---|
| hexanal | 804 | 806 | 1.9 ± 0.03 |
| heptanal | 898 | 890 | 0.5 ± 0.02 |
| 2-pentylfuran | 973 | 976 | 1.0 ± 0.01 |
| octanal | 997 | 995 | 1.1 ± 0.03 |
| nonanal | 1104 | 1100 | 2.9 ± 0.03 |
| decanal | 1184 | 1179 | 1.8 ± 0.02 |
| β-cyclocitral | 1196 | 1191 | 0.5 ± 0.02 |
| pentanal, 2,3-dimethyl- | * | 1265 | 1.4 ± 0.03 |
| trans-β-ionone | 1470 | 1475 | 2.3 ± 0.03 |
| 2(4H)-benzofuranone, 5,6,7,7a-tetrahydro-4,4,7a-trimethyl | 1525 | 1531 | 1.1 ± 0.03 |
| 8-heptadecene | * | 1678 | 73.5 ± 1.12 |
| 3-pentadecanone | * | 1680 | 3.7 ± 0.04 |
| sandaracopimaradiene | 1967 | 1971 | 2.7 ± 0.02 |
| 2-nonadecanone | 2106 | 2111 | 5.5 ± 0.06 |
| SUM | 99.9 | ||
| Terpenoids | 5.5 | ||
| Aliphatic aldehydes | 9.6 | ||
| Carbonyl compounds | 9.2 | ||
| Others | 2.1 |
| Compound 1 | LRI 2 | LRI 3 | DF1 | DF2 | DF3 | DF4 |
|---|---|---|---|---|---|---|
| pentanone | 684 | 681 | 0.4 ± 0.02 | - | - | - |
| hexanal | 804 | 800 | 6.2 ± 0.05 | - | - | - |
| orcinol | 1369 | 1378 | - | - | - | 100.0 |
| 6-methyl-6-(5-methylfuran-2-yl)-heptan-2-one | * | 1431 | 0.7 ± 0.03 | - | - | - |
| 2(4H)-benzofuranone, 5,6,7,7a-tetrahydro-4,4,7a-trimethyl | 1525 | 1531 | 11.5 ± 0.06 | - | - | - |
| undecanoic acid | 1490 | 1495 | 1.6 ± 0.03 | - | - | - |
| methyl orsellinate | * | 1666 | - | - | 51.0 ± 1.10 | - |
| palmitic acid | 1973 | 1981 | 44.2 ± 0.11 | - | - | - |
| 2,5-furandione, dihydro-3-tatradecyl | 2350 | 2355 | 35.3 ± 0.15 | 100.0 | 49.0 ± 1.08 | - |
| SUM | 99.9 | 100.0 | 100.0 | |||
| Phenols | - | - | 51.0 | 100.0 | ||
| Aliphatic aldehyde | 6.2 | - | - | |||
| Carbonyl compound | 0.4 | - | - | |||
| Fatty acids | 45.8 | - | - | |||
| Others | 47.5 | 100.0 | 49.0 |
| N° | Compounds 1 | DF3 | DF4 |
|---|---|---|---|
| 1 | erythritol | 100.0 | 100.0 |
| Tested Sample | IC50 [µg/mL] (CL) | |||
|---|---|---|---|---|
| A549 | BEAS-2B | Mz-ChA-1 | H69 | |
| DF3 | 246.9 (219.0–278.3) | 260.0 (223.0–303.0) | 416.4 (346.0–662.9) | 248.5 (223.3–276.6) |
| DF4 | 155.5 (129.2–187.1) *** | 317.5 (242.2–416.2) | 94.6 (70.2–127.4) *** | 153.9 (125.5–188.6) *** |
| 1 | ne 1 | ne 2 | ne 1 | 138.0 (78.0–244.1) ° |
| 2 | ne 1 | 102.7 (69.4–150.1) ° | ne 1 | ne 2 |
| 3 | ne 1 | 176.7 (121–257.3) | ne 1 | 170.8 (34.3–851.3) |
| Doxorubicin | 17.3 (11.4–42.1) | 4.1 (2.3–8.9) | 24.5 (13.3–32.9) | 15.7 (7.8–29.1) |
| GM MIC50 (µg/mL) | GM MIC90 (µg/mL) | GM MIC100 (µg/mL) | |
|---|---|---|---|
| 1 | >128 | >128 | >128 |
| 2 | 87 | >128 | >128 |
| 3 | >128 | >128 | >128 |
| DF3 | >512 | >512 | >512 |
| DF4 | >512 | >512 | >512 |
Disclaimer/Publisher’s Note: The statements, opinions and data contained in all publications are solely those of the individual author(s) and contributor(s) and not of MDPI and/or the editor(s). MDPI and/or the editor(s) disclaim responsibility for any injury to people or property resulting from any ideas, methods, instructions or products referred to in the content. |
© 2024 by the authors. Licensee MDPI, Basel, Switzerland. This article is an open access article distributed under the terms and conditions of the Creative Commons Attribution (CC BY) license (https://creativecommons.org/licenses/by/4.0/).
Share and Cite
Frezza, C.; Fraioli, D.R.; Conti, F.; Nicolosi, R.M.; Scipione, L.; Serafini, I.; Petrucci, R.; Di Matteo, P.; Rocco, D.; Di Giacomo, S.; et al. Evaluation of the Antifungal and Antiproliferative Properties of the Lichen Roccella tinctoria DC. Extracts and Main Components. Pharmaceutics 2024, 16, 331. https://doi.org/10.3390/pharmaceutics16030331
Frezza C, Fraioli DR, Conti F, Nicolosi RM, Scipione L, Serafini I, Petrucci R, Di Matteo P, Rocco D, Di Giacomo S, et al. Evaluation of the Antifungal and Antiproliferative Properties of the Lichen Roccella tinctoria DC. Extracts and Main Components. Pharmaceutics. 2024; 16(3):331. https://doi.org/10.3390/pharmaceutics16030331
Chicago/Turabian StyleFrezza, Claudio, Dalia Rosa Fraioli, Francesca Conti, Roberta Maria Nicolosi, Luigi Scipione, Ilaria Serafini, Rita Petrucci, Paola Di Matteo, Daniele Rocco, Silvia Di Giacomo, and et al. 2024. "Evaluation of the Antifungal and Antiproliferative Properties of the Lichen Roccella tinctoria DC. Extracts and Main Components" Pharmaceutics 16, no. 3: 331. https://doi.org/10.3390/pharmaceutics16030331
APA StyleFrezza, C., Fraioli, D. R., Conti, F., Nicolosi, R. M., Scipione, L., Serafini, I., Petrucci, R., Di Matteo, P., Rocco, D., Di Giacomo, S., Di Sotto, A., Bonincontro, G., Simonetti, G., Garzoli, S., De Vita, D., & Foddai, S. (2024). Evaluation of the Antifungal and Antiproliferative Properties of the Lichen Roccella tinctoria DC. Extracts and Main Components. Pharmaceutics, 16(3), 331. https://doi.org/10.3390/pharmaceutics16030331

