Abstract
The emergence of digital technologies has profoundly affected and transformed almost every aspect of societal relations. These impacts have also reached public administration, including its governance. Digital technologies’ rise has paved the way for the surfacing of a new public governance model called the Digital Era Governance (DEG) model (often referred to as e-government, digital government, e-governance, or digital governance) in which digital technologies play a central role. Therefore, the main aim of this paper is to provide a comprehensive and in-depth examination of DEG research over the past two decades. Bibliometric analysis is based on the Scopus database that contains 9175 documents published between 2001 and 2020. In this context, several established and innovative bibliometric approaches are applied. The results reveal the growth of DEG research over the last two decades, especially in recent years, as accelerated by several of the most relevant documents published in reputable journals such as Government Information Quarterly. Most DEG research has been conducted in Anglo-Saxon countries, as confirmed while examining the most relevant authors’ affiliations and collaborations. The results also indicate that DEG has advanced from conventional public services to citizen-oriented e-services by including citizens’ participation and, most recently, even to smart services by facilitating emerging and disruptive technologies. The findings add to the stock of scientific knowledge and support the evidence-based policymaking needed to successfully pursue a sustainable future.
1. Introduction
The arrival of digital technologies has profoundly affected social and economic realities, bringing noticeable changes to the public sector or public administration, including public governance. Namely, the Internet’s transformational role has fundamentally impacted not just internal government operations but also both the government–citizens relationship and the government–businesses relationship, thus paving the way for a new public administration model called Digital Era Governance (DEG), which stresses that contemporary technologies are the drivers of innovative, sustainable and competitive governance [1,2,3,4]. However, the way this rapidly growing phenomenon has been labelled has been subject to change over the last 20 years, often acting to blur the dividing line between individual concepts. DEG has thus often been referred to as e-government [5], digital government [6], e-governance [7] or digital governance [8]. According to the European Commission [9], the e-government concept (often known as e-government 1.0) is the predecessor of the broader concept of digital government, covering open (2.0), smart (3.0) and transformed (4.0) government. Despite promising attempts to distinguish these concepts clearly, there is still no general consensus on their definitions. Accordingly, DEG may be considered a contemporary umbrella term for all recent initiatives to modernize governance in public administration, which are based on the introduction of different modern technologies. Two main reasons for this have added to the often-vague definitions of these concepts. These are the tradition of the information and communication technology (ICT) industry, which is inclined to re-label technologies for marketing reasons, combined with policymakers who adopt these fashionable labels for the needs of a particular context, expressly in popular science and policy research reports [10,11].
Although the terms e-government and e-governance are often treated as synonyms in the literature, some researchers have established a difference in their perspectives (e.g., Bannister and Connolly [10], Rossel and Finger [12], Larsson and Grönlund [13]). Compared to e-government, defined as the mere delivery of government information and services to the citizens and businesses by utilizing electronic means [5], e-governance is a broader and more encompassing concept that is concerned with the use of ICT to enhance the process of governance and support e-democracy, e-government and e-business [10,14,15]. In other words, e-governance is considered to be the application of electronic means for interactions between government and citizens and government and businesses, as well as in internal government operations to simplify and improve democratic, government and business aspects of governance [16], in turn leading to greater transparency, accountability and efficiency [17].
Accordingly, the public administration’s digital transformation has become a key objective in political agendas and governmental strategic programmes as a central part of modernizing public administration, which has raised the need for governments to adapt their modus operandi urgently [9,18,19]. Currently, digital transformation is recognized as the key driver of change in public administration. This is also emphasized by the United Nations, which increasingly sees digital government as a tool for building effective, inclusive and accountable solutions to support policymaking and public service delivery for its sustainable development goals [9]. Hence, the development of e-governance may be observed for almost every country since more than 84% of them currently offer at least some form of online transactional service [20]. Nevertheless, DEG is still challenging public administration, requiring it to be internally and externally open and leading to an administrative set-up characterized by simplification, the automation of daily bureaucratic work, and flexibility in delivering services [4]. This makes it crucial to understand how scientific knowledge on DEG has evolved, given that it benefits not only the scientific community but also evidence-based policymaking to fully address the issues raised by DEG. This has become even more important since early 2020, when the global COVID-19 pandemic imposed social distancing, thereby putting online interaction in the spotlight [11].
The concept of DEG emerged around 2000 [1,2], implying it has not had that much time to develop its conceptual foundations [21]. Despite the growing interest in DEG research since 2000 [22], only a few attempts (albeit limited) are made in the literature to present the development of e-government-related research. Especially, there remains a lack of systematic analysis of the roots of broader and more encompassing DEG research in order to describe the dynamic evolution of this field of knowledge [23]. Hence, the main aim of the paper is to close the gap in the literature and present a comprehensive and in-depth examination of DEG research over the past two decades, allowing for the evolution of the research over time to be examined. Specific objectives of the analysis of DEG research are the following: (1) to examine basic or descriptive indicators, including the most pertinent documents; (2) to find the most relevant and impacting countries, journals, and authors; (3) to examine authors’ collaboration, research hotspots and structural backbone; and (4) to identify research topics that have disappeared and those currently in vogue by considering the dynamic change in words’ importance. A bibliometric analysis is used to pursue these objectives, allowing for an innovative literature review approach, which significantly upgrades the traditional literature review techniques by simultaneously examining both the evolution and state of the art in the field [24].
The remainder of the paper is structured as follows. Section 2 presents the literature review on existing and recent bibliometric studies on DEG. Section 3 describes the materials and methods applied in the paper. Section 4 presents in detail the results of the bibliometric analysis. The obtained results are further discussed in Section 5, with the paper ending with a conclusion in which the main findings and implications are summarized.
2. Literature Review
Alongside the emergence of new technologies and the digital transformation of overall society, DEG has penetrated the public sector or public administration, thereby spurring research since 2000 [25], suggesting this research field is relatively new, with a short history [26,27] and immature [25]. This was recently confirmed by Bindu et al. [17], establishing that e-governance research is still in its ascendant phase and by Dias [28], who argues that e-government research production is still growing, especially in developing countries such as Ibero-American ones. However, the scientific literature on DEG research still provides some studies that use bibliometric and scientometric methodologies by applying different approaches and utilizing different bibliometric databases to show how knowledge in selected aspects of DEG research has developed [28].
Based on the Web of Science database, Cheng and Ding [29] performed a bibliometric analysis on 2232 journal articles published between 2000 and 2012. Besides identifying key authors and documents in the e-government research, they investigated trends and patterns appearing in the scientific literature. They established that cross-sectoral collaboration, construction of e-government and security infrastructure design were the biggest research hotspots, and that performance evaluation was at the forefront of e-government research. The same bibliometric database was also utilized in another study by de Oliveira Almeida et al. [30] to quantify the academic production concerned with e-government, including co-citation analysis. The results of their bibliometric analysis of 4225 journal articles and conference proceedings published until 2012 revealed that the academic production, including citations, had increased over time, while almost 80% of the citations were concentrated in the 10 most cited countries as a result of influential articles having been published in reputable journals. Moreover, Ismayilova [31] conducted a bibliometric analysis based on the Google Scholar database to examine popular topics, the most productive authors, and international collaboration in e-government research. According to the findings of a bibliometric examination of 381 scientific articles published between 2000 and 2014, e-government applications were the most studied themes, and the most prolific authors were affiliated with renowned institutes in the USA, Singapore, and the UK.
The bibliometric study by Rodríguez Bolívar et al. [32] was based on 826 e-government articles published between 2000 and 2012 in Science and Library Science and Public Administration journals indexed in Web of Science. Applying different scientometric approaches, they established that the most examined topics in e-government research were evaluation of e-government initiatives, online public services, new technologies and management procedures, e-participation and transparency, information disclosure and accountability. They also discovered considerable disparities in the influence of scientific output and scientific production patterns between developing and developed countries, revealing that the studies from developing countries considered ICT tools as instruments to help governments improve public engagement, combat corruption, and institutionalize transparency in public sector practices. In another bibliometric study, Alcaide-Muñoz et al. [25] adopted a science mapping approach to examine the development of topics in e-government research. The bibliometric analysis, including keyword analysis, was performed on 8094 research documents published between 2000 and 2016 in the Electronic Government Reverence Library (EGRL). They found that e-government research is a field that is constantly evolving and has yet to reach maturity stage, particularly as regards topics such as citizens’ acceptance, e-participation and e-participation.
A more recent general bibliometric analysis of e-government was performed by Bindu et al. [17]. The citation network analysis was conducted on citation data of e-government research articles published between 1989 and 2016 included in Web of Science. They discovered that the biggest e-government research topics were e-governance framework design, administration and information system management, efficiency or quality evaluation, and the application of social networks and open data leading to e-democracy. Accordingly, they concluded that the adoption of open data and social networking for user interactions with the government, which leads to participatory governance, are emerging research topics. Finally, the latest bibliometric study by Lobonț et al. [33] considered 484 research documents on e-government adoption, e-government efficiency and e-government development published by 2019 and indexed in Web of Science. They came to the conclusion that themes such as citizen, evolution, online services and e-participation are strongly connected with e-government (adoption).
Apart from general and more encompassing bibliometric studies, one can find studies focused on specific communities, i.e., a selected journal, conference, country etc. Dwivedi [26] analyzed 41 research articles on e-government published in Transforming Government: People, Process and Policy (TGPPP) between 2007 and 2008. By utilizing a profiling approach, the results revealed that descriptive, theoretical, analytical and conceptual methods were the most commonly used research approaches, and that the majority of contributions came from experts in information systems, followed experts in business, computer sceince, and IT. The next study by Erman and Todorovski [34] was performed by utilizing bibliographic data on 433 papers published in the proceedings of International Conference on e-Government (EGOV) between 2002 and 2009. Based on social network analysis they investigated the collaboration within the EGOV community and discovered that sub-communities were characterized by the geographical distribution of the most prominenta authors as well as the popularity of certain research themes. Another bibliometric analysis by Joseph [27] looked at articles published in Government Information Quarterly (GIQ) between 2005 and 2010. According to the results, around half of all regular articles published explored and/or discussed a concept connected to the research field of e-government. Moreover, the results revealed that nearly half of the e-government studies were conceptual or relied solely on secondary data for analysis; that Europe, North America, and Asia were the primary focus of the examined research; and that no single topic dominated e-government research.
On a country level, Przeybilovicz et al. [35] performed a bibliometric and sociometric analysis of e-government in Brazil. The study considered 124 articles from Brazilian journals and conference proceedings published between 2007 and 2012. Their analysis revealed that e-governance, e-administration, e-participation and digital inclusion. They emphasized the need for greater interaction among Brazilian researchers, to employ theories as the foundation for findings and arguments, and for greater efforts to publish scientific articles in prominent international journals. Similarly, Dias [36,37] conducted a bibliometric study of e-government research in Portugal. The analysis looked at 69 research documents published in journals, conference proceedings and books between 2005 and 2014 and listed in the Scopus database. The results revealed that strategies and methodologies, interoperability and service integration, and quality, accessibility and usability were the most frequent research topics addressed in Portuguese e-government research. Further, to enhance e-government research in Portugal, he came to the conclusion that it is important to involve more experts in the research, to enhance and further develop international comparison, and to devote more attention to examining the drivers of the country’s success in providing e-government services.
Most recently, Dias [28] conducted a bibliometric study of e-government research within the Ibero-American community. The bibliometric analysis was based on 1129 scientific documents published between 2003 and 2017 Scopus indexed journals. The findings show that research prodcution of e-government is increasing in the Ibero-American countries, whereby differences between country groups existed, revealing four clusters: leading, evolving, emerging, and expectant countries. This heterogeneity may be interpreted by the maturity of public policies, particularly those connected to the growth of e-government and the research promoton. The results also reveal that transparency and citizens’ participation, along with the local government level and involving social media, were the topics most frequently covered in Ibero-American e-government research, while e-services, service quality, security, privacy, and trust were underrepresented. In another study, Ajibade and Mutula [38] carried out the bibliometric analysis and examined citation trends concerning e-government in Southern African countries based on the Web of Science, Harzing Platform and Scopus databases. The analysis of 4861 research documents published in the period 1990 to 2018 revealed that the service-oriented design of e-government platforms and the integration of information technology alignment needed for success in implementing e-government were lacking. The study also highlighted that the application and integration of mobile technologies to improve a citizen-centric and participatory public governance platform, as well as government, had not been well addressed in South African e-governance research.
The extensive review of existing bibliometric studies on DEG reveals that the studies vary in their scope (comprehensive, international, specific research communities, single country or a group of countries), the sources utilized (selected conferences, selected journals, general bibliometric databases) and variables considered. Accordingly, the differing objectives addressed, and various bibliometric or scientometric used in these studies have led to different findings and conclusions [28]. The vast majority of these studies utilized well-established bibliographic databases of peer-reviewed literature, namely Web of Science, Scopus, Google Scholar and EGRL, and focused on the period since 2000. The variables most frequently addressed were scientific production (the most influential and reputable countries, institutions, journals and authors), collaboration networks and research topics or themes. Nevertheless, existing bibliometric studies still lack in-depth analysis of the roots of broader and more encompassing DEG research in order to be able to describe the dynamic evolution of this field of knowledge [23]. This paper is thus aimed at upgrading the prominent bibliometric studies (e.g., Bindu et al. [17] and Dias [28]) and filling this research gap by presenting a comprehensive and in-depth examination of DEG research in the last 20 years while using established and innovative bibliometric approaches.
3. Materials and Methods
Bibliometric data on DEG research were extracted from Scopus on 9 November 2021, a world-leading bibliographic database of peer-reviewed literature. The selection of Scopus was founded on the fact that it is a larger database compared with other competitive databases such as Web of Science [39]. This was confired by the initial search in both databases, whereby Scopus returned more relevant documents than Web of Science. When compared to the Scopus database, Web of Science has also been identified as a database that significanlty underrepresents scientific disciplines of the Social Sciences and Arts and Humanities [40]. Consequently, the Scopus database appears to be more relevant and meets the demands of the bibliometric analysis of DEG research. In order to capture all specifics of DEG research, the search query, used in the advanced online search engine, included a broad range of keywords related to DEG, identified in the extensive literature review of existing bibliometric studies in this research area, whereby the terms digital and electronic were used interchangeably and thus considered as synonyms since there is still no formal consensus on the distinction between these terms by academics, practitioners and policymakers [20]. Accordingly, in this paper, DEG is considered an umbrella term, including e-government, e-governance and other digital or smart government or governance incentives aimed at modernizing and digitalizing governance in public administration on state and local levels.
Hence, the search query covered the following DEG-related keywords: “digital era government”, “digital-era government”, “digital government”, “egovernment”, “e-government”, “electronic government”, “smart government”, “open government”, “digital era governance”, “digital-era governance”, “digital governance”, “e-governance”, “egovernance”, “electronic governance”, “smart governance” and “open governance”. The selected keywords are consistent with different digital government transformation concepts and general evolution of e-government discourse [9]. The search, i.e., identification of documents, was limited to articles, conference papers, reviews and conference reviews in the English language published between 1 January 2001 and 31 December 2020. These features were applied in a multi-step search process. First, the search was set to include the title, abstract and keywords and focused only on the subject area of Social Sciences. Further, the same keyword search was extended to other selected relevant sources (journals and conference proceedings) not covered within the subject area of Social Sciences, i.e., Digital Government Reference Library (DGRL), which is the greatest comprehensive bibliographic database on digital or electronic government [25,41]. Third, other relevant documents were identified by setting the keyword search to include the title only, excluding all previous limitations on the subject area of Social Sciences or selected relevant sources. After the screening process, the eligibility was finally conducted by manual examination of documents. According to the presented multiphase process (see Figure 1), 9175 documents were identified in Scopus as being relevant for DEG research.
Figure 1.
Flowchart of determining the database in Scopus.
After all of the relevant bibliometric data on DEG research had been obtained from Scopus, various bibliometric approaches and software tools were applied. The schema of the bibliometric analysis is shown in Figure 2. As regards the descriptive overview, the descriptive statistics were extracted and calculated with the Biblioshiny application [42,43], while frequency analysis was performed using the Python Data Analysis Library Pandas [44] and visualized using Python’s visualization library Matplotlib [45]. These Python libraries were also used to examine the scientific production of the most relevant countries, sources and authors. Analysis of the network, authors’ collaboration and keyword co-occurrence was facilitated with VOSviewer, a software tool for constructing and visualizing bibliometric networks [46], while the critical path was constructed with Pajek, a software tool for large network analysis [47]. Finally, thematic evolution analysis, including keywords mapping and thematic trends, was performed with the Biblioshiny application [42,43] that was used to construct and visualize the Sankey and strategic diagram. In addition, the dynamic change in the terms’ occurrence was analyzed by a combination of text mining and machine learning methods for predictive modelling in R. These include the packages ranger [48], implementing random forests [49] for predictive modelling, tm [50] for mining and processing text documents, and textstem [51] for lemmatization.
Figure 2.
The schema of the bibliometric analysis.
4. Results
4.1. Descriptive Overview
An overview of the characteristics of the scientific literature on DEG research utilized in this bibliometric analysis is presented in Table 1. This study relies on a total of 9175 documents written by 14,493 distinct authors and published in 2563 sources in the period 2001–2020. The majority (77.98%) of these documents have at least one citation in the Scopus database, while about one-fifth (23.76%) were written by a single author. Nevertheless, the number of authors per document (2.47) is higher compared with authors per document in the scientific category of Public Administration (1.80) [52]. Moreover, the relevant literature on DEG research covers 14,417 different authors’ keywords. Finally, simple bibliometric indicators reveal the average number of references per document is 36.41 while the average number of citations per document is 21.27, slightly exceeding the average in the Public Administration scientific category (21.00) [52].
Table 1.
Overview of characteristics of scientific literature on DEG research.
Figure 3 presents a frequency analysis of the number of documents and cumulative citations by year. During the period observed between 2001 and 2020, in total, there are 9175 documents with documents growing on average by 9% per year in the DEG literature, which received 152,214 total cumulative citations. However, the different development status of DEG research can be observed for individual 5-year sub-periods. In the first sub-period (2001–2005), there are 888 documents, with the number of documents growing per year on average by 48%, amounting to 32,495 cumulative citations. A much higher number of documents (2621) with an average growth of 14% in the number of documents per year and 83,207 cumulative citations is observed for the second sub-period (2006–2010). A slightly smaller number of documents (2584) with 128,576 cumulative citations is found for the third sub-period (2011–2015) due to the decline in the number of documents (−7% documents per year) during this sub-period following the squeeze on research funding after the global financial crisis [53]. However, the situation improves in the last sub-period (2016–2020) when growth in the number of documents is again observed (9% documents per year), leading to the most productive sub-period, as revealed by the highest number of documents (3082), attracting a total of 152,214 cumulative citations. The recent vitalization of DEG research may be due to the rising importance of emerging and disruptive technologies that are becoming increasingly relevant in the public administration and public governance context [54]. This means it can be expected that the e-governance research holds the good potential to attain even higher growth and diffusion in the future, as also recently stressed by Bindu et al. [17] and Dias [28].
Figure 3.
Distribution of publications and citations by year (2001–2020).
Table 2 lists the most relevant (top 5) highly-cited documents in each 5-year sub-period observed. A significant part of these documents was published in Government Information Quarterly, occurring in each period as the main source of the most relevant documents published in DEG research, while a smaller part of these documents was published in Public Administration Review, all in the first sub-period. The most relevant documents in individually observed 5-year periods are the following. In the first sub-period (2001–2005), the most cited work is by Layne and Lee [55] about developing fully functional e-government by proposing a 4-stage model with a total of 1640 citations received. During the second sub-period (2006–2010), Bertot et al. [56] wrote the most cited document about using ICT to create a culture of transparency by considering e-government and social media as openness and anti-corruption tools for societies, with a total of 1243 citations received. In the third sub-period (2011–2015), the most relevant document comes from Janssen et al. [57] about benefits, adoption barriers and myths of open data and open government, with a total of 940 citations received. During the last sub-period (2016–2020), the most cited document was written by Meijer and Bolívar [58] about governing the smart city, as presented through a review of the literature on smart urban governance which has in total received 527 citations.
Table 2.
Most relevant documents by the number of citations in DEG research by sub-period.
4.2. Scientific Production
The most relevant countries, sources and authors in DEG research, are identified based on documents published and citations received during the whole period between 2001 and 2020. Due to the large number of different countries, sources and authors involved in DEG research, the presentation focuses on top-cited 20 countries, sources and authors. The top-cited 20 countries altogether cover 54.1% of all documents and 74.8% of all citations in DEG research (see Figure 4). Additional information is provided by the size of a circle, which is in proportion to the E-Government Development Index (EDGI) 2020, presenting the state of e-government development for a corresponding country [20] and by the colour of a circle, presenting time dimension (average publication year of the document) in scientific production. While the United States with 1061 documents and 42,213 citations stands out among all countries, the United Kingdom and the Netherlands are the most relevant countries in the European context, whereas the Netherlands is identified as a country with more recent DEG research. This is in line with de Oliveira Almeida et al. [30], who showed the USA has the highest number of citations in DEG research, and Dias [36], who revealed that the UK and the Netherlands have leading roles in the EU in terms of DEG research citations, as later reconfirmed by Rodríguez Bolívar et al. [32] who found that the main contributions to e-government come from US, British and Dutch universities. While the United States and the United Kingdom have a relatively low average year of published documents, the Netherlands is identified as a more recent important player in DEG research. Moreover, these three countries also have a relatively high average EDGI value of 0.93, suggesting a relatively high level of e-government development. The remaining countries also play an important role in DEG research. For example, while China stands out in terms of the number of documents, it has a relatively small number of citations, whereas India seems to be an important emerging player in DEG research, as shown by the highest average year of published documents. Thus, developed countries (especially Anglo-Saxon ones) are shown to engage in significant scientific production, while developing countries are still lagging and leaving room for future progress in DEG, as noted by Rodríguez Bolívar et al. [32] and Dias [28].
Figure 4.
Most relevant countries by number documents and citations in DEG research (2001–2020).
Moreover, top-cited 20 sources altogether account for 22.2% of all documents and 57.3% of all citations in DEG research (see Figure 5). Additional information is provided by the size of a circle, which is in proportion to the h-index, which measures a journal’s impact [59] and by the colour of a circle, presenting time dimension (average publication year of the document) in scientific production. The Government Information Quarterly (h-index = 102) is found to be the most influential source, having the biggest number of documents (485) and citations (38,293). This journal is also recognized in previous research as a core source of research on open government [60], e-government [61] or e-governance [62]. Among the remaining sources, Public Administration Review is prominent for having a relatively big number of citations but a relatively small number of documents, while it is identified as a source having a relatively low average year of published documents compared with Government Information Quarterly, consisting of relatively recently published documents.
Figure 5.
Most relevant sources by the number of documents and citations in DEG research (2001–2020).
Finally, the top-cited 20 authors in DEG research are responsible for 7.0% of documents yet attract 31.7% of all citations (see Figure 6). Additional information is provided by the size of a circle, which is in proportion to the h-index, which measures an author’s scientific achievement [63] and by the colour of a circle, presenting time dimension (average publication year of the document) in scientific production. The most influential author is Janssen M. (Delft University of Technology, Netherlands), with 78 different documents attracting 4399 citations (h-index = 34), while with the same number of documents Weerakkody V. (Brunel University, UK) attracts fewer citations (2937). On the other hand, Jaeger P.T. (University of Maryland, USA), with less than half the number of documents, attracts a comparable number of citations as the most productive author, while at the same time being identified as an author having a relatively low average year of published documents compared with the previously mentioned counterparts. Moreover, Zuiderwijk A. (Delft University of Technology, Netherlands) is identified as an emerging author in DEG research, as suggested by the highest average year of published documents.
Figure 6.
Most relevant authors by the number of documents and citations in DEG research (2001–2020).
4.3. Network Analysis
Figure 7 shows the co-authorship network, which reveals authors’ collaboration within the largest connected component in DEG research, where the nodes represent authors and the links the co-authorship relations between authors. Note that the node size is in proportion to the number of an author’s publications (node degree), the link width is in proportion to the number of joint publications (edge weight), while the node colour indicates the cluster to which an individual author belongs [64]. The analysis complements the existing authors’ collaboration based on the Web of Science [33] and shows that collaboration occurs mainly within five narrow and isolated groups of researchers. Janssen M. and Zuiderwijk A. are researchers at the same university (Delft University of Technology, Netherlands), dealing mainly with topics related to open data. Similarly, Charalabidis Y. (University of the Aegean, Greece) and three other related authors besides open data address topics related to interoperability. Further, while Weerakkody V. (Brunel University, UK) and eight other related authors address e-government implementation, Dwivedi Y.K. (Swansea University, UK) and two more authors go a step further by addressing selected issues about e-government adoption. Finally, Gil-Garcia (State University of New York Albany, USA) and five other related authors especially address research topics related to collaborative e-government and smart government. Some of these authors are considered to be the most relevant in DEG research (see Figure 6).
Figure 7.
Co-authorship network showing authors’ collaboration on DEG research.
Figure 8 presents the keyword co-occurrence network for DEG research, where the nodes represent keywords and the links the co-occurrence relations between keywords. It is conducted on the authors’ 50 most frequent keywords by consolidating keywords that describe the same phenomenon (e.g., digital government or e-government). Note that the node size is in proportion to the number of keyword occurrences, showing research intensity (node degree), the link width is in proportion to the co-occurrences between keywords (edge weight), while the node colour indicates the cluster to which a particular keyword belongs [64]. The authors’ keyword co-occurrence network shows the research hotspots in DEG research and supplements the findings from the Web of Science database [33]. Eight clusters are thus identified: (1) open government; (2) government and ICT; (3) e-governance; (4) e-government; (5) adoption in developing countries; (6) trust and security; (7) evaluation and implementation; and (8) interoperability. A detailed synopsis of the research hotspots, including the top keywords related to DEG research, is presented in Table A1 in the Appendix A. When considering the time dimension, certain terms appeared to be more important at the start of the observed period (e.g., communication technologies, government, information systems and internet), whereby e-government and other related terms (e.g., e-governance, e-democracy) appear to be more important somewhere in the middle of the observed period. As expected, social media, open government, big data, open data and smart city are terms that became important in the last quarter of that period [17].
Figure 8.
Authors’ keyword co-occurrence in DEG research.
The critical path presented in Figure 9 indicates the milestone documents, helping to reveal the evolution of DEG research. It extends earlier evidence from the Web of Science database [17]. The critical path was conducted by considering the following steps. The initial set of 9175 documents obtained from the Scopus database was narrowed down to documents also indexed in the Web of Science database, resulting in 2993 documents. Moreover, based on Bradford’s law, the set of documents was further narrowed down to nine key sources, resulting in 641 documents. These documents represented the basis for the preparation of a citation network based on which the critical path was determined. Accordingly, 24 documents may be identified that represent the structural backbone of the domain’s development. Note that the circle’s size is in proportion to the number of citations received by an individual document. The critical path starts with one of the most influential articles by Layne and Lee [55] on the four-stage model of the growth, development and maturity of e-government. The article spanned important areas of research, most notably rigorous methodologies and frameworks for evaluating various aspects and processes of the digitalization of public administration. The other initial article by Chen and Gant [65] introduces the idea of the digital transformation of local governments by applying the model of application service providers. Both articles argue for the need for e-government from the perspective of technological optimism, emphasizing the positive impact of the digital transformation on governmental processes.
Figure 9.
Critical path of the most cited documents in DEG research.
In the critical path, their three immediate neighbours study the state-of-the-art and the growth of e-government on the level of local administration, covering municipalities, rural courts, and state-level public administration in the USA [66,67,68]. They all emphasize the specifics of introducing e-government on the local level, stressing the potential barrier related to the shortage of IT staff raised in Chen and Gant [65] and remaining an important issue even today. These three studies of local-level e-government were cited by Reddick [69], emphasizing mostly the barriers identified there, ranging from privacy concerns, the digital divide among different racial groups, and the lack of studies on local-level e-government. Reddick [69] integrates these and other related issues into a two-stage model of e-government growth applied to municipalities and cities in the USA.
The following article by Reddick [70] raises the important issue of the narrow focus of the earliest e-government studies on the supply and accessibility of e-government services and argues for the importance of citizen-centric studies and approaches that analyze the citizens’ demand and businesses for e-government. This proved to be an important issue pursued by many studies, making this article a very important milestone in advance of e-government research. Two immediate followers of this article are Jaeger [71] and Gil-Garcia and Martinez-Moyano [72].
The first article introduces the idea of extending the scope of e-government towards e-participation to enable its potential to provide Web platforms for deliberation and reflection on political issues. It builds upon a finding of Reddick [70] that citizens active on the Internet are likely to be interested in civic matters but cannot follow these interests on the e-government platforms that back then were focused on providing information and services. The article by Gil-Garcia and Martinez-Moyano [72] follows and further analyses the idea of the demand-driven development of e-government (see Reddick [70]) by arguing that the evolution of e-government is driven by pressures coming from public managers as well as citizens, businesses, and other stakeholders as part of their attempts to monitor and control the public administration’s actions.
Both papers discussed above are cited by Helbig et al. [73] in an article on the digital divide issue, i.e., the strong dependence of the social value of e-government initiatives on the ability of citizens and businesses to use and take advantage of ICT and related services. The article establishes a novel relationship between the digital divide and the demand perspective of e-government assessment (see Gil-Garcia and Martinez-Moyano [72]). It builds upon the visionary discussion by Jeager [71] of the potential but also the dangers of online deliberation, such as discouraging political debate by overpromoting governmental positions and his call for analysis of the positions held by citizens when planning how much and what kind of information dissemination, services or debates should be performed online.
Verdegem and Verleye [74] further develop the ideas of the demand-driven development of e-government by introducing citizen-centric approaches. They study models for measuring the satisfaction of e-government services’ users and identifying the satisfaction determinants that importantly impact the acceptance of e-government. Gauld et al. [75] also emphasize the need for demand-driven planning of e-government initiatives and perform a wide survey in Australia and New Zealand. Karunasena and Deng [76] put the survey results, especially the citizens’ expectations that e-government will promote more intensive citizen-government interaction and increase efficiency and thereby reduce the costs of public administration, in the context of evaluating the public value of e-government. The latter place them among the few investigators of this relevant yet most neglected aspect of digitalization. Reddick and Turner [77] focus on the citizens’ perspective while choosing between online and offline channels for public service delivery in Canada.
Estevez and Janowski [78] place the results of Reddick and Turner [77] concerning channel choice and e-government public value (see Karunasena and Deng [76]) in the context of e-governance for sustainable development. Based on a survey of state-of-the-art e-government research related to sustainability, they establish an influential agenda for further research, an instance of which is the article by Janssen and Estevez [79] on transforming government by simplifying its organizational structure and streamlining its processes by introducing innovation and involving stakeholders in collaboration to establish the lean government. Klievink et al. [80] further elaborate on the practices of stakeholders’ collaboration with public administration on establishing public-private ICT platforms. The latter is shown to enable the extension of current government abilities to provide public e-services and accelerate the transformation and digitalization of government operations. Brown et al. [81] further extend these transformative ideas by introducing a framework for the introduction and consistent interpretation of the government-as-a-platform principle.
In the final batch of articles on the critical path, the transformative models of governance proposed in the articles reviewed in the previous paragraph are enriched with ideas from data science, machine learning, data mining, sensors (the Internet of Things) and big data. Using two case studies of smart cities, Matheus et al. [82] investigate the role these technologies can play in improving the transparency and accountability of decision-making in public administration.
The article by Matheus et al. [82] spans two recent research areas. In the first one, Lindgren et al. [83] show how the emerging big data technologies can be efficiently utilized for the next wave of digitalization of public administration and governance. They also address the serious concerns with the use of big data and machine learning for pursuing an illiberal agenda, surveillance and the restricting of civil rights, putting on the research agenda of e-government the ethical issues of using ICT and especially machine learning and big data technology. Thompson et al. [84] extend the established agenda with the issues of the security and vulnerability of the ICT used in government.
The second area proceeds with a recent article by Ismagilova et al. [85] that provides a comprehensive review of literature on smart cities, where the technologies investigated in Matheus et al. [82] play a crucial role. Authors also align the research of smart cities with the separate line of research on the role of e-governance in sustainable development. Finally, the second terminal article in the critical path, by Zhang et al. [86], employs cognitive big data analytics to monitor in real-time the influence of a policy of releasing governmental data on the evolution of emotions in society. The study illustrates the benefits big data approaches can bring for policy assessment and evaluation.
4.4. Thematic Evolution Analysis
Author-provided keywords entail a high conceptual level of abstraction. They are thus often used to identify thematic trends in a research area [87]. Accordingly, the analysis of the evolution of themes in DEG research is based on an in-depth examination of author keywords in a longitudinal framework, which allows the development of DEG research to be observed over time. In the set of all 14,417 different authors’ keywords in DEG research, many only appear a few times, meaning they are unlikely to have considerably impacted the core themes of DEG research. With this in mind and to focus on the core themes, the analysis considers 500 authors’ keywords with a minimum cluster frequency of four. The results of the analysis are presented in a Sankey diagram (Figure 10), whereby the size of a rectangle is in proportion to the number of publications for a corresponding theme, while the edge width is in proportion to the inclusion index between two connected themes [64]. The results show that e-government appears in all four sub-periods and evolves in a stable and compact way from the first sub-period (2001–2005) until the last observed sub-period (2016–2020). Further, many of the identified themes involve a continuation or permutation of themes identified in the previous sub-period, except service quality, which is identified as a newly developed theme in DEG research between 2006 and 2010. Finally, further examination reveals that a part of e-government initiatives was developed from concepts primarily specific to the private sector, such as e-commerce and risk.
Figure 10.
Mapping of changes in authors’ keywords in DEG research by sub-periods.
The most emphasized themes in DEG research for each sub-period are further examined by analyzing a strategic diagram (see Figure 11). Highly relevant author keywords are grouped into clusters representing the main themes, whereby the size of the circles is in proportion to the number of documents associated with each cluster/theme. According to Callon’s centrality and density, the core themes identified in DEG research may be placed in four quadrants representing different types of themes [64]. On the one hand, Callon’s centrality assesses the strength of linkages between a specific community and other communities, and the value may be expressed as a measure of the prominence of a theme in the collection as a whole. On the other hand, Callon’s density assesses the community’s internal strength, and the value may be interpreted as a measure of the theme’s development [88,89,90]. The first (upper-right) quadrant contains themes with high centrality and high density, implying that these themes have well-developed internal and external ties. They are considered to be motor themes. The second (upper-left) quadrant contains themes with low centrality but high density, implying that these topics have strong internal but weak external ties. They are considered to be highly developed and isolated themes. The third (lower-left) quadrant comprises themes with low centrality and low density, indicating that internal and external ties are weak. They are regarded as emerging or declining themes. The fourth (lower-right) quadrant comprises themes with high centrality but low density, implying that these thesmes have weak internal but strong external ties. They are considered to be basic and transversal themes. The results show that the focus of DEG research has varied in the sub-periods, as indicated by the different positions of the circles. In the early years (2001–2005), the biggest drivers of DEG research were information systems (including business, portals, law and technological innovation), followed by usability (including accessibility, citizen and m-government in the sub-period 2006–2010. Later, in the sub-period 2011–2015, the biggest drivers were trust (including security, usability, Jordan and technology acceptance model) and open data (including open government, transparency, social media and web 2.0). At that time, e-government initiatives also attracted governments in developing countries, such as Middle Eastern countries, which started emphasizing the digitalization of public governance in their strategies and plans for the future [91]. The emphasis was especially on trust and openness, which are interrelated concepts, as in general, trust in government enhances the use of open data by citizens [92,93,94]. Finally, case study (including evaluation, implementation, information security and citizen satisfaction), open data (including open government, transparency, local government and accountability) and e-government (including adoption, trust, e-participation and public administration) were recognized as motor themes in the most recent sub-period observed (2016–2020).
Figure 11.
Thematic evolution of DEG research by sub-periods.
4.5. Dynamic Changes in Terms’ Importance
In the final series of experiments, the dynamic change in a term’s occurrence in the four sub-periods was analyzed using machine learning methods for predictive modelling. In particular, random forests [49] was used to train a model that predicts the publication year of the article based on the frequency of words in the article titles and abstracts. In turn, the trained model was inspected to extract the words that have the biggest impact on the prediction of the publication year. It is expected that these words can explain the variation in the research themes between the publication periods observed.
The data set for training the predictive model consists of 3917 examples, each corresponding to one of the articles included in our study. To obtain the values of the predictive attributes, we follow a standard methodology for transforming text documents into attribute vectors from Martinčić-Ipsić et al. [95]. We first extract the words from the titles and abstracts of the words. Then, we use lemmatization to transform the different, inflected variants of the words into their common dictionary variant (lemma). We then remove the common stop words, i.e., frequent words that do not convey meaning, such as “the” or “and”, as well as scientific stop words commonly used to state scientific conjectures or study goals, such as “analyze”, “formulate”, “approach” or “method”. We also remove words that appear in less than 1% of the articles. Finally, we employ a standard term-frequency-inversed-document-frequency model [96] to calculate the weights of the terms corresponding to individual words and bigrams (sequences of two consecutive words) in the articles’ abstracts and titles.
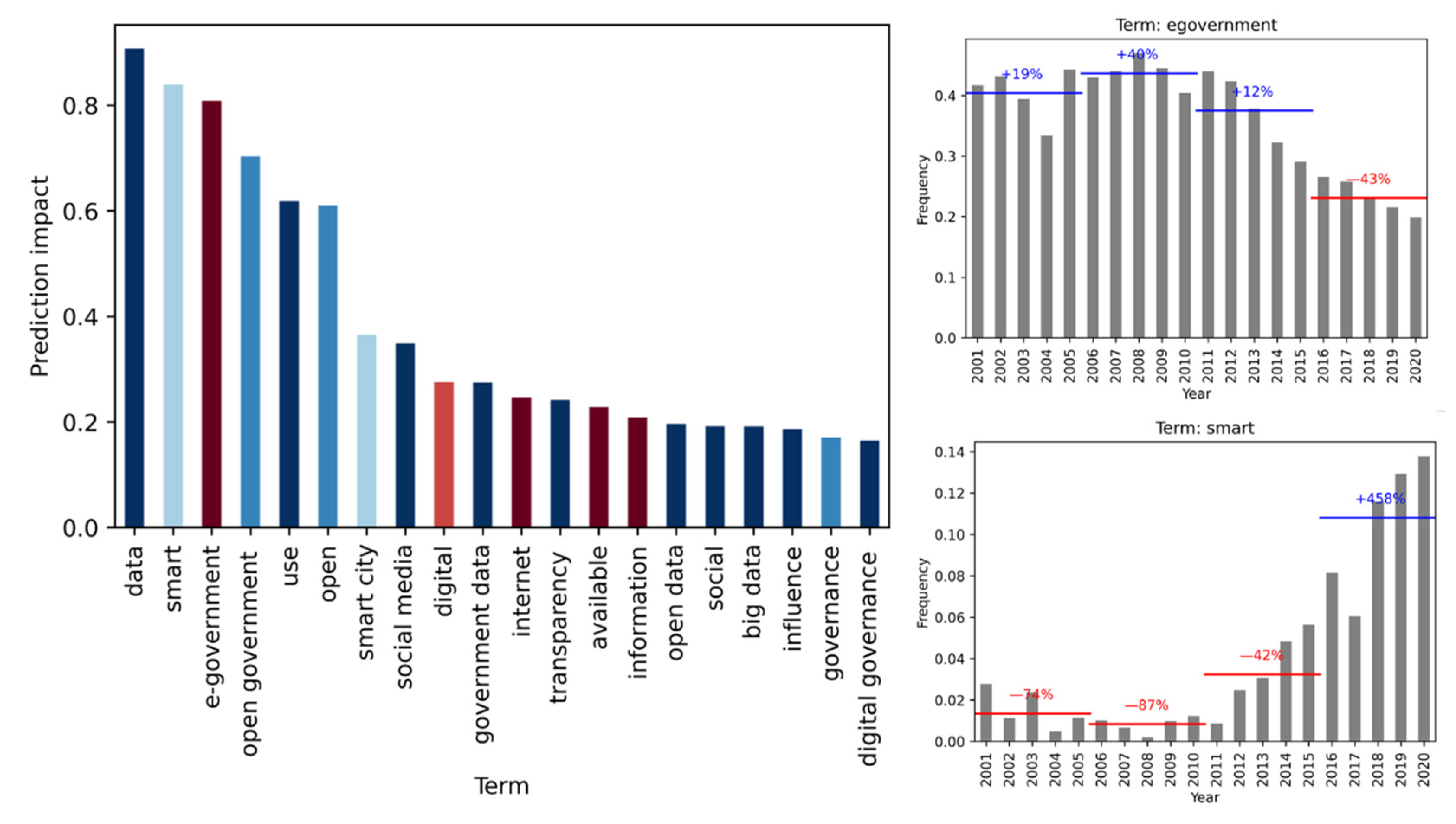
Figure 12 shows the results of the analysis. The graph on the left-hand side depicts the importance of 20 terms from the abstracts and titles of the articles with the highest impact on predicting the article’s publication year. The blue and the red bars correspond to the terms with increasing and decreasing frequency, respectively. The colour shade (intensity) denotes the intensity of the increasing or decreasing trend: darker and lighter colour shades indicate more and less intense trends, respectively.
Figure 12.
Dynamic changes in a term’s importance.
The two graphs on the right-hand side of Figure 12 present the dynamic change in the frequency of the terms e-government and smart. Each vertical bar depicts the average term frequency in articles published in a particular year. The horizontal bars correspond to the relative changes in the average frequency of the term in a particular 5-year period with respect to the average term frequency in the whole observation period (2001–2020). Blue and red bars correspond to over-expressed and under-expressed terms that appear in the 5-year period more and less frequently, respectively. Take the term e-government as an example. The light-red colour of the bar indicates that the use of the term e-government has declined over the years, and the declining trend is slight. Indeed, the top graph on the right-hand side shows the change in the frequency of the term e-government. The peak of its use was in 2008 and the sub-period of 2006–2010 (40% above the average for the whole observation period). This might be expected because the term was coined in the early 2000s, with its use intensifying and peaking between 2006 and 2010.
There are two reasons for the decline in its use after 2010. First, authors in the settings dedicated to e-government refrained from using it in the abstracts and titles since all of the articles in those settings were on e-government, and the term stopped playing the role of distinguishing one’s work from others. Second, in recent years e-government, especially its adjectival part “electronic”, has been replaced by emerging alternative terms such as digital (used in both digital government or digital transformation), smart and open.
The most prominent example of an emerging term is data (appearing in the graph under its dictionary lemma of datum), including its more specific variant open data. The frequent use of the term data is a direct cause and explanation of the notable and significant decline of the term information seeing very frequent use in the 2000s. Other emerging terms include smart, smart city and open government. The dynamic change in the frequency of the first term (smart) is depicted in the bottom graph on the right-hand side of Figure 12, where its frequency is shown to be highest in the last sub-period of 2016–2020 (where its frequency is five times higher compared to its average frequency for the whole observation period). The emergence of the term public might also be attributed to the trend of increasing interest in open government. Note that the emergence of the terms open data and open government identified here reconfirms the results of the thematic evolution analysis depicted in Figure 10 and Figure 11.
Moreover, the growing interest in e-participation and e-democracy observed in the late 2000s is reflected in the increasing trend of the term social medium since social media are the main vehicle behind various e-participation initiatives. At the same time, references to other, more traditional and dated technological vehicles of e-government, such as the Internet, are in strong decline. Another important trend concerns the decline of the term available: in the early 2000s, many articles were emphasizing, evaluating and monitoring the availability of e-government services, while in the late 2010s, the focus of evaluation moved to the actual use (hence the increasing frequency of use) and various aspects of the impact of e-government initiatives. The latter trend is captured by our model by the term influence, which is often used as a synonym for impact.
5. Discussion
DEG is considered to be a modern approach to public governance, exploiting the potential held by contemporary technologies to ensure a competitive public administration. The beneficial effects for public administration and the citizens saw DEG grab the academic sphere’s attention, and it soon became a central pillar of the research in the scientific field of public administration. Despite the abundance of scientific literature on DEG that emerged after 2001, it has had limited time to develop its conceptual foundations, which has been subject to constant change and rapid evolution. The limitations of the few earlier bibliometric studies thus stimulated the present bibliometric study. Namely, this study systematically examined the dynamics in how DEG research has evolved by considering the relevance of DEG research (basic or descriptive indicators including the most relevant documents and most relevant and impacting countries, journals and authors) and the development potential held by DEG research (authors’ collaboration, research hotspots and structural backbone and research topics that have disappeared and those currently in vogue by considering the dynamic change of a term’s importance). Finally, the presented limitations of the research illuminate the way for further research in this area.
5.1. The Evolution of DEG Research
DEG as a concept of the modernization of public administration has become quite important over the last two decades, especially in recent years when significant advances in ICT technologies can be observed. Although DEG is primarily addressed within the context of developed Anglo-Saxon countries such as the USA and the UK, initiatives for the digitalization of public administration are also becoming more prominent in emerging and developing countries (e.g., India). The lion’s share of DEG research has been disseminated through reputable journals such as Government Information Quarterly and Public Administration Review and performed by reputable authors such as Janssen M. (Delft University of Technology, Netherlands) and Dwivedi Y.K. (Swansea University, UK), whereby collaboration mainly occurs within five narrow and isolated groups of researchers.
DEG research has its roots in computer and business sciences, as shown by the most emphasized concepts in the sub-period 2001–2005, which are principally more specific to the private sector, such as risk and e-commerce, making this field of research multidisciplinary. Later in the sub-period 2006–2010, these concepts gradually moved into the field of public administration because of citizens’ ever-growing demand acting to pressure government to provide better services [97] in both developed and more recently in developing countries. This was indicated by several authors dealing specifically with e-government implementation and e-government adoption issues, which are characteristic of early e-government initiatives. At the same time, the concept of service quality was identified as a newly developed concept in DEG research, recognized as a critical strategic imperative for reinventing public administration [98]. During the sub-period 2011–2015, the concept of e-governance advanced from a stable and compact concept of e-government during this time by simultaneously including e-participation and trust to simplify and improve the democratic, government and business aspects of governance [10], in turn leading to greater transparency, accountability and efficiency [17]. Finally, during the subperiod 2016–2020, open government, collaborative government and smart government are identified as the most recent concepts in DEG research following the gradual introduction of emerging and disruptive technologies into the public administration [99,100].
5.2. The Relevance of DEG Research
The bibliometric analysis revealed that DEG has advanced from conventional public services to citizen-oriented e-services by including citizens’ collaboration. Namely, collaborative governance practices bring public actors and private stakeholders together in a shared effort to solve complex societal problems in a turbulent world and to create governance solutions and outcomes that have public value [101]. The most recent advances observed in DEG show the path towards smart services by utilizing emerging and disruptive technologies, which may further enhance collaborative and participatory practices by exploiting the potential of several factors, such as: the inclusion of different stakeholders in the decision-making processes in public administration; transformation of the intermediation dynamics; increased transparency and cost reduction, making information accessible; as well as continuous evaluation linked to the traceability of actions in these new digital cooperative spaces [54]. Moreover, collaborative e-government processes offer a way to overcome the typical integration and interoperability issues of the existing isolated e-government solutions, which tend to focus on technical aspects and neglect decision-making aspects [102]. This is to some extent also shown by the recent trends in DEG research indicating the transition from evaluation to the actual use of different e-governance solutions in different areas of public administration, including decision support and policy modelling.
The conversion of public administration to digital is essential in the context of modern realities [103]. Therefore, effective implementation of DEG initiatives is necessary to increase the efficiency of public services [104]. The digital revolution will radically affect all facets of global societies, governance systems, and economies. Namely, digitalization is not just an ‘instrument’ that contributes greatly to resolving contemporary challenges; it is also a critical driver of disruptive change [105,106]. There are no substitutes for digital and smart concepts. From a policy standpoint, it is intended to contribute to digitalization in public administration, which is generally viewed through the lens of ‘DEG’, highlighting modern and smart ICT technologies as key drivers of creative and competitive governance [103,107,108,109,110]. According to the presented results, there is the opportunity for further advancements in e-government research in both developed and developing countries. This field of study has a potential to widen up as more and more countries around the world make progess in digitalization of public administration.
This study traces the main pathways acting as the backbone for the development of DEG research. Accordingly, several sub-domains were indicated from the perspective of their chronological position on the main path of the overall development. The presented results could be important indicators for guiding future research endeavours. Further, the results could help set the priorities in policymaking by considering the evidence of the current and future research trends needed to ensure a sustainable future.
5.3. Limitations
There are some limitations to the present study that should be mentioned. First, the bibliometric analysis is only based on DEG-related documents indexed in the Scopus database. Although Scopus is considered a world-leading database of peer-reviewed literature, it might not cover the entire collection of DEG research. Still, we attempted to address this limitation to some extent by including DEG-related documents identified within: (1) the subject area of social sciences; (2) other relevant sources not covered in social sciences (e.g., the DGRL database); and (3) other scientific disciplines outside the social sciences. However, the inclusion of other databases, e.g., Google Scholar or Web of Science, may have disclosed additional insights not revealed by this study. Another limitation is that this study included only titles, abstracts and keywords in English, which may have resulted in publication bias. Yet, one might also argue that English is commonly and widely used for publishing research internationally, implying that all important scientific contributions should be visible in databases such as the one used. Nevertheless, the opportunity remains for future studies to address this issue. Regardless of the limitations listed above, the findings may be of benefit for not only the scientific community but also for evidence-based policymaking to fully address the issues related to DEG. At the same time, the findings may also serve as an important source for detecting associated research gaps.
6. Conclusions
DEG is identified as a pervasive and revolutionary concept that emphasizes contemporary technologies as the drivers of innovative, sustainable and competitive public administration, including public governance. DEG research is a relatively new field characterized by rapid growth and evolution. Accordingly, a comprehensive and in-depth approach is required to better understand the evolution of DEG research over time. Therefore, this bibliometric study applied several established and innovative bibliometric approaches to overview DEG research over the past two decades, including a descriptive overview, scientific production, network analysis, and thematic evolution. The results reveal the growth of DEG research over the last two decades, especially in recent years, as accelerated by several of the most relevant documents published in reputable journals, with most DEG research having been conducted in developed countries. Nevertheless, there is still space for advances in DEG research in developing countries. The bibliometric analysis revealed that DEG has advanced from conventional public services to citizen-oriented e-services by including citizens’ participation and, most recently, even smart to services by facilitating emerging and disruptive technologies. Besides emphasizing possible future research avenues, which are beneficial for further theoretical advancements of DEG research, the results reveal also some practical implications, which could facilitate setting the priorities in policymaking. A path towards the digital transformation of public administration, which will be reinforced by increasing smart governance incentives in the future will demand a considerable shift in the institutional frameworks that regulate and coordinate the public governance systems. Namely, many countries around the world are still facing significant bureaucratic obstacles, which severely threaten the use of ICT in public administration and consequently slow down the pace of digital transformation. Accordingly, governments should lay out a long-term strategy emphasizing conceptual change within the public administration to modernize and digitalize public administration, which will create public value for citizens. The findings add to the stock of scientific knowledge and support the evidence-based policymaking needed to pursue a sustainable future successfully.
Author Contributions
Conceptualization, A.A.; Methodology, L.U. and L.T.; Software, L.U. and L.T.; Validation, L.U.; Formal analysis, L.U. and L.T.; Investigation, A.A., D.R., L.T. and L.U.; Resources, L.U.; Data curation, L.U. and D.R.; Writing—Original Draft, D.R. and L.T.; Writing—Review & Editing, A.A., D.R. and L.T.; Visualization, L.U.; Supervision, A.A.; Project Administration, A.A. and D.R.; Funding Acquisition, A.A. All authors have read and agreed to the published version of the manuscript.
Funding
This research and the APC were funded by the Slovenian Research Agency under grant numbers P5-0093, J5-1789 and J5-2560.
Data Availability Statement
Not applicable.
Acknowledgments
We would like to thank the anonymous reviewers for their valuable suggestions and comments. Moreover, we acknowledge the financial support from the Slovenian Research Agency (research core funding no. P5-0093, project no. J5-1789 and project no. J5-2560).
Conflicts of Interest
The authors declare no conflict of interest. The funders had no role in the design of the study; in the collection, analyses or interpretation of the data; in writing the manuscript or in the decision to publish the results.
Appendix A
Table A1.
Research hotspots based on authors’ keyword co-occurrence network in DEG.
Table A1.
Research hotspots based on authors’ keyword co-occurrence network in DEG.
| Research Hotspots | Keywords |
|---|---|
| Open government | open government, open data, transparency, open government data, social media, e-participation, e-democracy, accountability, citizen participation, collaboration, participation, democracy |
| Government and ICT | government, internet, governance, public administration, e-commerce, citizens, information systems, communication technologies, innovation |
| E-governance | e-governance, ICT, public sector, cloud computing, smart city, big data, smart government |
| E-government | e-government, local government, digital divide, e-services, usability, public services |
| Adoption in developing countries | adoption, developing countries, India, corruption, Jordan |
| Trust and security | trust, security, e-government services, privacy |
| Evaluation and implementation | evaluation, case study, implementation, public value |
| Interoperability | interoperability, ontology, framework |
References
- Dunleavy, P.; Margetts, H.; Bastow, S.; Tinkler, J. New public management is dead—Long live digital-era governance. J. Public Adm. Res. Theory 2006, 16, 467–494. [Google Scholar] [CrossRef] [Green Version]
- Dunleavy, P.; Margetts, H.; Tinkler, J.; Bastow, S. Digital Era Governance: IT Corporations, the State, and E-Government; Oxford University Press: UK, Oxford, 2006. [Google Scholar] [CrossRef]
- Margetts, H.; Dunleavy, P. The second wave of digital-era governance: A quasi-paradigm for government on the Web. Philos. Trans. R. Soc. A 2013, 371, 20120382. [Google Scholar] [CrossRef] [PubMed] [Green Version]
- Wojciech, B. Digital Era Governance—A new chapter of public management theory and practice. Maz. Stud. Reg. 2017, 22, 117–129. [Google Scholar] [CrossRef]
- Fang, Z. E-government in digital era: Concept, practice, and development. Int. J. Comput. Appl. Technol. 2002, 10, 1–22. [Google Scholar]
- Janowski, T. Digital government evolution: From transformation to contextualization. Gov. Inf. Q. 2015, 32, 221–236. [Google Scholar] [CrossRef]
- Heeks, R. Understanding e-governance for development. iGovernment Work. Pap. 2001, 11. [Google Scholar] [CrossRef]
- Milakovich, M.E. Digital Governance: New Technologies for Improving Public Service and Participation; Routledge: UK, London, 2012. [Google Scholar] [CrossRef]
- European Commission. Exploring Digital Government transformation in the EU—Analysis of the State of the Art and Review of Literature; European Commission: Luxembourg, 2020. [Google Scholar] [CrossRef]
- Bannister, F.; Connolly, R. Defining e-governance. e-Serv. J. 2012, 8, 3–25. [Google Scholar] [CrossRef]
- Gabryelczyk, R. Has COVID-19 Accelerated Digital Transformation? Initial Lessons Learned for Public Administrations. Inf. Syst. Manag. 2020, 37, 303–309. [Google Scholar] [CrossRef]
- Rossel, P.; Finger, M. Conceptualizing e-governance. In Proceedings of the 1st International Conference on Theory and Practice of Electronic Governance, Macao, China, 10–13 December 2007; ACM Digital Library: New York, NY, USA, 2007; pp. 399–407. [Google Scholar] [CrossRef]
- Larsson, H.; Grönlund, Å. Future-oriented eGovernance: The sustainability concept in eGov research, and ways forward. Gov. Inf. Q. 2014, 31, 137–149. [Google Scholar] [CrossRef]
- Okot-Uma, R.W.O.; London, C.S. Electronic Governance: Re-Inventing Good Governance; Commonwealth Secretariat: London, UK, 2000. [Google Scholar]
- Holmes, D. eGov: eBusiness Strategies for Government; Nicholas Brealey Publishing: New York, NY, USA, 2001. [Google Scholar]
- Backus, M. E-Governance and Developing Countries, Introduction and Examples; International Institute for Communication and Development (IICD): Hague, The Netherlands, 2001. [Google Scholar]
- Bindu, N.; Sankar, C.P.; Kumar, K.S. From conventional governance to e-democracy: Tracing the evolution of e-governance research trends using network analysis tools. Gov. Inf. Q. 2019, 36, 385–399. [Google Scholar] [CrossRef]
- Gil-García, J.R.; Pardo, T.A. E-government success factors: Mapping practical tools to theoretical foundations. Gov. Inf. Q. 2005, 22, 187–216. [Google Scholar] [CrossRef]
- Chan, H.S.; Chow, K.W. Public management policy and practice in western China: Metapolicy, tacit knowledge, and implications for management innovation transfer. Am. Rev. Public Adm. 2007, 37, 479–498. [Google Scholar] [CrossRef]
- United Nations. E-Government Survey 2020: Digital Government in the Decade of Action for Sustainable Development; United Nations: New York, NY, USA, 2020. [Google Scholar]
- Heeks, R.; Bailur, S. Analyzing e-government research: Perspectives, philosophies, theories, methods, and practice. Gov. Inf. Q. 2007, 24, 243–265. [Google Scholar] [CrossRef]
- Alcaide-Muñoz, L.; Bolívar, M.P.R. Understanding e-government research: A perspective from the information and library science field of knowledge. Internet Res. 2015, 25, 633–673. [Google Scholar] [CrossRef]
- Mergel, I.; Edelmann, N.; Haug, N. Defining digital transformation: Results from expert interviews. Gov. Inf. Q. 2019, 36, 101385. [Google Scholar] [CrossRef]
- Vogel, R. What happened to the public organization? A bibliometric analysis of public administration and organization studies. Am. Rev. Public Adm. 2014, 44, 383–408. [Google Scholar] [CrossRef]
- Alcaide-Muñoz, L.; Rodríguez-Bolívar, M.P.; Cobo, M.J.; Herrera-Viedma, E. Analysing the scientific evolution of e-Government using a science mapping approach. Gov. Inf. Q. 2017, 34, 545–555. [Google Scholar] [CrossRef]
- Dwivedi, Y.K. An analysis of e-government research published in transforming government: People, process and policy (TGPPP). Transform. Gov. People Process Policy 2009, 3, 7–15. [Google Scholar] [CrossRef]
- Joseph, R.C. A structured analysis of e-government studies: Trends and opportunities. Gov. Inf. Q. 2013, 30, 435–440. [Google Scholar] [CrossRef]
- Dias, G.P. Fifteen years of e-government research in Ibero-America: A bibliometric analysis. Gov. Inf. Q. 2019, 36, 400–411. [Google Scholar] [CrossRef]
- Cheng, S.; Ding, L. A quantitative study on the research fronts of electronic government. In Proceedings of the 2012 Fifth International Conference on Business Intelligence and Financial Engineering, Lanzhou, China, 18–21 August 2012; pp. 481–485. [Google Scholar]
- de Oliveira Almeida, G.; Zouain, D.M.; Mahecha, Y.L.R. The Status of E-Government Research: A Bibliometric Study. Bus. Manag. Rev. 2014, 3, 7–22. [Google Scholar]
- Ismayilova, N. A Bibliometric Analysis of e-Government Research. 2014, pp. 93–95. Available online: https://ict.az/uploads/konfrans/GOOGLE_SCHOLAR_e-gov/28N.Ismayilova.pdf (accessed on 18 April 2022).
- Rodríguez Bolívar, M.P.; Alcaide Muñoz, L.; López Hernández, A.M. Scientometric study of the progress and development of e-government research during the period 2000–2012. Inf. Technol. Dev. 2016, 22, 36–74. [Google Scholar] [CrossRef]
- Lobonț, O.R.; Țăran, A.M.; Costea, F. E-Government Research Still Matter? A Bibliometric Analysis. Ann. Univ. Dunarea Jos Galati Fascicle I Econ. Appl. Inform. 2020, 26, 58–63. [Google Scholar] [CrossRef]
- Erman, N.; Todorovski, L. Analyzing the structure of the EGOV conference community. In International Conference on Electronic Government; Springer: Berlin, Germany, 2010; pp. 73–84. [Google Scholar]
- Przeybilovicz, E.; Cunha, M.A.; Coelho, T.R. The Development of Studies on Electronic Government in Brazil: A Bibliometric and Sociometric Study. Available online: https://aisel.aisnet.org/cgi/viewcontent.cgi?article=1025&context=confirm2014 (accessed on 18 April 2022).
- Dias, G.P. Bibliometric Analysis of Portuguese Research in e-government. Procedia Technol. 2014, 16, 279–287. [Google Scholar] [CrossRef] [Green Version]
- Dias, G.P. A decade of Portuguese research in e-government: Evolution, current standing, and ways forward. Electron. Gov. Int. J. 2016, 12, 201–222. [Google Scholar] [CrossRef]
- Ajibade, P.; Mutula, S.M. Bibliometric Analysis of Citation Trends and Publications on E-government in Southern African Countries: A Human-computer Interactions and IT Alignment Debate. Libr. Philos. Pract. 2019, 2234, 1–19. [Google Scholar]
- Falagas, M.E.; Pitsouni, E.I.; Malietzis, G.A.; Pappas, G. Comparison of PubMed, Scopus, web of science, and Google scholar: Strengths and weaknesses. FASEB J. 2008, 22, 338–342. [Google Scholar] [CrossRef]
- Mongeon, P.; Paul-Hus, A. The journal coverage of Web of Science and Scopus: A comparative analysis. Scientometrics 2016, 106, 213–228. [Google Scholar] [CrossRef]
- Dwivedi, Y.K.; Singh, M.; Williams, M.D. Developing a demographic profile of scholarly community contributing to the Electronic Government, An International Journal. Electron. Gov. Int. J. 2011, 8, 259–270. [Google Scholar] [CrossRef]
- Aria, M.; Cuccurullo, C. bibliometrix: An R-tool for comprehensive science mapping analysis. J. Informetr. 2017, 11, 959–975. [Google Scholar] [CrossRef]
- Muñoz, J.A.M.; Viedma, E.H.; Espejo, A.L.S.; Cobo, M.J. Software tools for conducting bibliometric analysis in science: An up-to-date review. Prof. Inf. 2020, 29, e290103. [Google Scholar] [CrossRef] [Green Version]
- McKinney, W. Python for Data Analysis: Data Wrangling with Pandas, NumPy, and IPython; O’Reilly Media, Inc.: Sebastopol, CA, USA, 2012. [Google Scholar]
- Hunter, J.D. Matplotlib: A 2D graphics environment. Comput. Sci. Eng. 2007, 9, 90–95. [Google Scholar] [CrossRef]
- Van Eck, N.J.; Waltman, L. Software survey: VOSviewer, a computer program for bibliometric mapping. Scientometrics 2010, 84, 523–538. [Google Scholar] [CrossRef] [PubMed] [Green Version]
- Batagelj, V.; Mrvar, A. Pajek-program for large network analysis. Connections 1998, 21, 47–57. [Google Scholar]
- Wright, M.N.; Ziegler, A. Ranger: A fast implementation of random forests for high dimensional data in C++ and R. J. Stat. Softw. 2017, 77, 1–17. [Google Scholar] [CrossRef] [Green Version]
- Breiman, L. Random forests. Mach. Learn. 2001, 45, 5–32. [Google Scholar] [CrossRef] [Green Version]
- Meyer, D.; Hornik, K.; Feinerer, I. Text mining infrastructure in R. J. Stat. Softw. 2008, 25, 1–54. [Google Scholar] [CrossRef] [Green Version]
- Rinker, T. Textstem: Tools for Stemming and Lemmatizing Text. CRAN Package for R. 2018. Available online: https://cran.r-project.org/web/packages/textstem/ (accessed on 1 August 2021).
- Patience, G.S.; Patience, C.A.; Blais, B.; Bertrand, F. Citation analysis of scientific categories. Heliyon 2017, 3, e00300. [Google Scholar] [CrossRef]
- Rodrigues, R.R. Downside up: Science matters equally to the Global South. Commun. Earth Environ. 2001, 2, 100. [Google Scholar] [CrossRef]
- Criado, J.I.; Gil-Garcia, J.R. Creating public value through smart technologies and strategies: From digital services to artificial intelligence and beyond. Int. J. Public Sect. Manag. 2019, 32, 438–450. [Google Scholar] [CrossRef] [Green Version]
- Layne, K.; Lee, J. Developing fully functional E-government: A four stage model. Gov. Inf. Q. 2001, 18, 122–136. [Google Scholar] [CrossRef]
- Bertot, J.C.; Jaeger, P.T.; Grimes, J.M. Using ICTs to create a culture of transparency: E-government and social media as openness and anti-corruption tools for societies. Gov. Inf. Q. 2010, 27, 264–271. [Google Scholar] [CrossRef]
- Janssen, M.; Charalabidis, Y.; Zuiderwijk, A. Benefits, adoption barriers and myths of open data and open government. Inf. Syst. Manag. 2012, 29, 258–268. [Google Scholar] [CrossRef] [Green Version]
- Meijer, A.; Bolívar, M.P.R. Governing the smart city: A review of the literature on smart urban governance. Int. Rev. Adm. Sci. 2016, 82, 392–408. [Google Scholar] [CrossRef]
- Harzing, A.W.; Van der Wal, R. A Google Scholar h-index for journals: An alternative metric to measure journal impact in economics and business. J. Am. Soc. Inf. Sci. Technol. 2009, 60, 41–46. [Google Scholar] [CrossRef]
- Corrales-Garay, D.; Ortiz-de-Urbina-Criado, M.; Mora-Valentín, E.M. Knowledge areas, themes and future research on open data: A co-word analysis. Gov. Inf. Q. 2019, 36, 77–87. [Google Scholar] [CrossRef]
- Twizeyimana, J.D.; Andersson, A. The public value of E-Government—A literature review. Gov. Inf. Q. 2019, 36, 167–178. [Google Scholar] [CrossRef]
- Janowski, T.; Pardo, T.A.; Davies, J. Government information networks-mapping electronic governance cases through public administration concepts. Gov. Inf. Q. 2012, 29, S1–S10. [Google Scholar] [CrossRef]
- Hirsch, J.E. Does the h index have predictive power? Proc. Natl. Acad. Sci. USA 2007, 104, 19193–19198. [Google Scholar] [CrossRef] [Green Version]
- Wang, C.; Lim, M.K.; Zhao, L.; Tseng, M.L.; Chien, C.F.; Lev, B. The evolution of Omega-The International Journal of Management Science over the past 40 years: A bibliometric overview. Omega 2020, 93, 102098. [Google Scholar] [CrossRef]
- Chen, Y.C.; Gant, J. Transforming local e-government services: The use of application service providers. Gov. Inf. Q. 2001, 18, 343–355. [Google Scholar] [CrossRef]
- Doty, P.; Erdelez, S. Information micro-practices in Texas rural courts: Methods and issues for e-government. Gov. Inf. Q. 2002, 19, 369–387. [Google Scholar] [CrossRef]
- Moon, M.J. The evolution of e-government among municipalities: Rhetoric or reality? Public Adm. Rev. 2002, 62, 424–433. [Google Scholar] [CrossRef]
- Edmiston, K.D. State and local e-government: Prospects and challenges. Am. Rev. Public Adm. 2003, 33, 20–45. [Google Scholar] [CrossRef]
- Reddick, C.G. A two-stage model of e-government growth: Theories and empirical evidence for US cities. Gov. Inf. Q. 2004, 21, 51–64. [Google Scholar] [CrossRef]
- Reddick, C.G. Citizen interaction with e-government: From the streets to servers? Gov. Inf. Q. 2005, 22, 38–57. [Google Scholar] [CrossRef]
- Jaeger, P.T. Deliberative democracy and the conceptual foundations of electronic government. Gov. Inf. Q. 2005, 22, 702–719. [Google Scholar] [CrossRef]
- Gil-Garcia, J.R.; Martinez-Moyano, I.J. Understanding the evolution of e-government: The influence of systems of rules on public sector dynamics. Gov. Inf. Q. 2007, 24, 266–290. [Google Scholar] [CrossRef]
- Helbig, N.; Gil-García, J.R.; Ferro, E. Understanding the complexity of electronic government: Implications from the digital divide literature. Gov. Inf. Q. 2009, 26, 89–97. [Google Scholar] [CrossRef] [Green Version]
- Verdegem, P.; Verleye, G. User-centered E-Government in practice: A comprehensive model for measuring user satisfaction. Gov. Inf. Q. 2009, 26, 487–497. [Google Scholar] [CrossRef]
- Gauld, R.; Goldfinch, S.; Horsburgh, S. Do they want it? Do they use it? The ‘Demand-Side’of e-Government in Australia and New Zealand. Gov. Inf. Q. 2010, 27, 177–186. [Google Scholar] [CrossRef]
- Karunasena, K.; Deng, H. Critical factors for evaluating the public value of e-government in Sri Lanka. Gov. Inf. Q. 2012, 29, 76–84. [Google Scholar] [CrossRef]
- Reddick, C.G.; Turner, M. Channel choice and public service delivery in Canada: Comparing e-government to traditional service delivery. Gov. Inf. Q. 2012, 29, 1–11. [Google Scholar] [CrossRef]
- Estevez, E.; Janowski, T. Electronic Governance for Sustainable Development—Conceptual framework and state of research. Gov. Inf. Q. 2013, 30, S94–S109. [Google Scholar] [CrossRef]
- Janssen, M.; Estevez, E. Lean government and platform-based governance—Doing more with less. Gov. Inf. Q. 2013, 30, S1–S8. [Google Scholar] [CrossRef]
- Klievink, B.; Bharosa, N.; Tan, Y.H. The collaborative realization of public values and business goals: Governance and infrastructure of public–private information platforms. Gov. Inf. Q. 2016, 33, 67–79. [Google Scholar] [CrossRef] [Green Version]
- Brown, A.; Fishenden, J.; Thompson, M.; Venters, W. Appraising the impact and role of platform models and Government as a Platform (GaaP) in UK Government public service reform: Towards a Platform Assessment Framework (PAF). Gov. Inf. Q. 2017, 34, 167–182. [Google Scholar] [CrossRef] [Green Version]
- Matheus, R.; Janssen, M.; Maheshwari, D. Data science empowering the public: Data-driven dashboards for transparent and accountable decision-making in smart cities. Gov. Inf. Q. 2018, 37, 101284. [Google Scholar] [CrossRef]
- Lindgren, I.; Madsen, C.Ø.; Hofmann, S.; Melin, U. Close encounters of the digital kind: A research agenda for the digitalization of public services. Gov. Inf. Q. 2019, 36, 427–436. [Google Scholar] [CrossRef]
- Thompson, N.; Mullins, A.; Chongsutakawewong, T. Does high e-government adoption assure stronger security? Results from a cross-country analysis of Australia and Thailand. Gov. Inf. Q. 2020, 37, 101408. [Google Scholar] [CrossRef]
- Ismagilova, E.; Hughes, L.; Dwivedi, Y.K.; Raman, K.R. Smart cities: Advances in research—An information systems perspective. Int. J. Inf. Manag. 2019, 47, 88–100. [Google Scholar] [CrossRef]
- Zhang, W.; Wang, M.; Zhu, Y.C. Does government information release really matter in regulating contagion-evolution of negative emotion during public emergencies? From the perspective of cognitive big data analytics. Int. J. Inf. Manag. 2020, 50, 498–514. [Google Scholar] [CrossRef]
- Chen, C.; Song, I.Y.; Yuan, X.; Zhang, J. The thematic and citation landscape of data and knowledge engineering (1985–2007). Data Knowl. Eng. 2008, 67, 234–259. [Google Scholar] [CrossRef] [Green Version]
- Callon, M.; Courtial, J.P.; Laville, F. Co-word analysis as a tool for describing the network of interactions between basic and technological research: The case of polymer chemsitry. Scientometrics 1991, 22, 155–205. [Google Scholar] [CrossRef]
- Yu, Y.; Jin, Z.; Qiu, J. Global Isotopic Hydrograph Separation Research History and Trends: A Text Mining and Bibliometric Analysis Study. Water 2021, 13, 2529. [Google Scholar] [CrossRef]
- Cobo, M.J.; López-Herrera, A.G.; Herrera-Viedma, E.; Herrera, F. An approach for detecting, quantifying, and visualizing the evolution of a research field: A practical application to the fuzzy sets theory field. J. Informetr. 2011, 5, 146–166. [Google Scholar] [CrossRef]
- Majdalawi, Y.K.; Almarabeh, T.; Mohammad, H.; Quteshate, W. E-government strategy and plans in Jordan. J. Softw. Eng. Appl. 2015, 8, 211–223. [Google Scholar] [CrossRef] [Green Version]
- Lnenicka, M.; Nikiforova, A. Transparency-by-design: What is the role of open data portals? Telemat. Inform. 2021, 61, 101605. [Google Scholar] [CrossRef]
- Machado, V.; Mantini, G.; Viterbo, J.; Bernardini, F.; Barcellos, R. An instrument for evaluating open data portals: A case study in brazilian cities. In Proceedings of the 19th Annual International Conference on Digital Government Research: Governance in the Data Age; Association for Computing Machinery: New York, NY, USA, 2018; pp. 1–10. [Google Scholar] [CrossRef]
- Hogan, M.; Ojo, A.; Harney, O.; Ruijer, E.; Meijer, A.; Andriessen, J.; Pardijs, M.; Boscolo, P.; Palmisano, E.; Satta, M.; et al. Governance, transparency and the collaborative design of open data collaboration platforms: Understanding barriers, options, and needs. In Government 3.0–Next Generation Government Technology Infrastructure and Services; Springer Cham: New York, NY, USA, 2017; pp. 299–332. [Google Scholar]
- Martinčić-Ipšić, S.; Miličić, T.; Todorovski, L. The influence of feature representation of text on the performance of document classification. Appl. Sci. 2019, 9, 743. [Google Scholar] [CrossRef] [Green Version]
- Salton, G.; Buckley, C. Term-weighting approaches in automatic text retrieval. Inf. Process. Manag. 1988, 24, 513–523. [Google Scholar] [CrossRef] [Green Version]
- Urbanovics, A.; Sasvári, P. The Status of e-Government Research from a Bibliometric Aspect. In Central and Eastern European e|Dem and e|Gov Days 2021: Conference Proceedings; Austrian Computer Society: Wien, Austria, 2021; pp. 75–88. [Google Scholar] [CrossRef]
- Rhee, S.K.; Rha, J.Y. Public service quality and customer satisfaction: Exploring the attributes of service quality in the public sector. Serv. Ind. J. 2009, 29, 1491–1512. [Google Scholar] [CrossRef]
- Lykidis, I.; Drosatos, G.; Rantos, K. The Use of Blockchain Technology in e-Government Services. Computers 2021, 10, 168. [Google Scholar] [CrossRef]
- Wimmer, M.A.; Pereira, G.V.; Ronzhyn, A.; Spitzer, V. Transforming Government by Leveraging Disruptive Technologies: Identification of Research and Training Needs. JeDEM 2020, 12, 87–114. [Google Scholar] [CrossRef]
- Sørensen, E.; Torfing, J. Accountable Government through Collaborative Governance? Adm. Sci. 2021, 11, 127. [Google Scholar] [CrossRef]
- Gacitúa, R.; Astudillo, H.; Hitpass, B.; Osorio-Sanabria, M.; Taramasco, C. Recent Models for Collaborative E-Government Processes: A Survey. IEEE Access 2021, 9, 19602–19618. [Google Scholar] [CrossRef]
- Aristovnik, A.; Kovač, P.; Murko, E.; Ravšelj, D.; Umek, L.; Bohatá, M.; Hirsch, B.; Schäfer, F.-S.; Tomaževič, N. The Use of ICT by Local General Administrative Authorities during COVID-19 for a Sustainable Future: Comparing Five European Countries. Sustainability 2021, 13, 11765. [Google Scholar] [CrossRef]
- Joshi, P.R.; Islam, S.; Islam, S. A Framework for Cloud Based E-Government from the Perspective of Developing Countries. Future Internet 2017, 9, 80. [Google Scholar] [CrossRef] [Green Version]
- Onan, A.; Korukoğlu, S.; Bulut, H. A hybrid ensemble pruning approach based on consensus clustering and multi-objective evolutionary algorithm for sentiment classification. Inf. Process. Manag. 2017, 53, 814–833. [Google Scholar] [CrossRef]
- Sachs, J.D.; Schmidt-Traub, G.; Mazzucato, M.; Messner, D.; Nakicenovic, N.; Rockström, J. Six transformations to achieve the sustainable development goals. Nat. Sustain. 2019, 2, 805–814. [Google Scholar] [CrossRef]
- Wallace, H.; Pollack, M.A.; Roederer-Rynning, C.; Young, A.R. Policymaking in the European Union, 8th ed.; Oxford University Press: Oxford, UK, 2020; p. 471. [Google Scholar]
- Vázquez-López, A.; Marey-Perez, M. Factors Affecting e-Government Adoption by Dairy Farmers: A Case Study in the North-West of Spain. Future Internet 2021, 13, 206. [Google Scholar] [CrossRef]
- Yang, Y. Towards a New Digital Era: Observing Local E-Government Services Adoption in a Chinese Municipality. Future Internet 2017, 9, 53. [Google Scholar] [CrossRef] [Green Version]
- Durkiewicz, J.; Janowski, T. Is Digital Government Advancing Sustainable Governance? A Study of OECD/EU Countries. Sustainability 2021, 13, 13603. [Google Scholar] [CrossRef]
Publisher’s Note: MDPI stays neutral with regard to jurisdictional claims in published maps and institutional affiliations. |
© 2022 by the authors. Licensee MDPI, Basel, Switzerland. This article is an open access article distributed under the terms and conditions of the Creative Commons Attribution (CC BY) license (https://creativecommons.org/licenses/by/4.0/).











