Evaluating Synergies between Electric Vehicles and Photovoltaics: A Comparative Study of Urban Environments
Abstract
1. Introduction
- Dynamic modeling of SEVs using accurate subsystem models and the advantages of the Modelica language;
- Evaluation of system performance with a realistic customized driving cycle;
- Analysis of system operation in Berlin and Los Angeles, two cities with high EV market share and different variation in solar irradiance and ambient temperature throughout the year;
- Use of selected metrics to assess the examined solutions’ energy, environmental, and economic performance.
2. Methodology
2.1. Examined Cases
2.2. Climate Conditions
2.3. Modeling Approach
2.4. EV Operation
2.5. Evaluation Metrics
3. Modeling
3.1. PV System
- Conduction and switching losses are neglected.
- Ideal power conversion is assumed.
- The voltage of the photovoltaic DC side can be controlled via a signal input.
- An integrated maximum power point tracker (MPPT) algorithm maximizes harvested energy.
3.2. EV System
- Driver control actions to follow the driving cycle;
- The battery control system;
- Energy recuperation through regenerative braking;
- The EV powertrain, including the battery pack, motor, drive, and mechanical drivetrain.
3.3. Weather Conditions
3.4. System Model
3.4.1. EV Charging from Both Charger and Mounted PV
3.4.2. EV Charging Only from the Charger
4. Simulation and Results
4.1. Model Input Data
4.2. Results
5. Conclusions
Author Contributions
Funding
Data Availability Statement
Conflicts of Interest
References
- Breakdown of Carbon Dioxide, Methane and Nitrous Oxide Emissions by Sector. Available online: https://ourworldindata.org/emissions-by-sector (accessed on 30 July 2024).
- Climate Change 2022—Mitigation of Climate Change: Working Group III Contribution to the Sixth Assessment Report of the Intergovernmental Panel on Climate Change, 1st ed.; Intergovernmental Panel On Climate Change (IPCC), Ed.; Cambridge University Press: Cambridge, UK; New York, NY, USA, 2023; ISBN 978-1-00-915792-6. [Google Scholar]
- Greenhouse Gas Emissions from Transport in Europe. Available online: https://www.eea.europa.eu/en/analysis/indicators/greenhouse-gas-emissions-from-transport (accessed on 30 July 2024).
- International Energy Agency. Global EV Outlook 2023: Catching Up with Climate Ambitions; Global EV Outlook; OECD: Paris, France, 2023; ISBN 978-92-64-85692-9. [Google Scholar]
- Conti, S.; Di Mauro, S.; Raciti, A.; Rizzo, S.A.; Susinni, G.; Musumeci, S.; Tenconi, A. Solar Electric Vehicles: State-of-the-Art and Perspectives. In Proceedings of the 2018 AEIT International Annual Conference, Bari, Italy, 3–5 October 2018; pp. 1–6. [Google Scholar]
- Nasr Esfahani, F.; Darwish, A.; Williams, B.W. Power Converter Topologies for Grid-Tied Solar Photovoltaic (PV) Powered Electric Vehicles (EVs)—A Comprehensive Review. Energies 2022, 15, 4648. [Google Scholar] [CrossRef]
- Coffman, M.; Bernstein, P.; Wee, S. Integrating Electric Vehicles and Residential Solar PV. Transp. Policy 2017, 53, 30–38. [Google Scholar] [CrossRef]
- Jiang, L.; Hua, Y.; Ma, C.; Liu, X. SunChase: Energy-Efficient Route Planning for Solar-Powered EVs. In Proceedings of the 2017 IEEE 37th International Conference on Distributed Computing Systems (ICDCS), Atlanta, GA, USA, 5–8 June 2017; pp. 383–393. [Google Scholar]
- Ioannidis, R.; Iliopoulou, T.; Iliopoulou, C.; Katikas, L.; Petsou, A.; Merakou, M.-E.; Asimomiti, M.-E.; Pelekanos, N.; Koudouris, G.; Dimitriadis, P.; et al. Solar-Powered Bus Route: Introducing Renewable Energy into a University Campus Transport System. Adv. Geosci. 2019, 49, 215–224. [Google Scholar] [CrossRef][Green Version]
- Khan, S.; Ahmad, A.; Ahmad, F.; Shafaati Shemami, M.; Saad Alam, M.; Khateeb, S. A Comprehensive Review on Solar Powered Electric Vehicle Charging System. Smart Sci. 2018, 6, 54–79. [Google Scholar] [CrossRef]
- Chandra Mouli, G.R.; Schijffelen, J.; Van Den Heuvel, M.; Kardolus, M.; Bauer, P. A 10 kW Solar-Powered Bidirectional EV Charger Compatible with Chademo and COMBO. IEEE Trans. Power Electron. 2019, 34, 1082–1098. [Google Scholar] [CrossRef]
- Erickson, L.; Ma, S. Solar-Powered Charging Networks for Electric Vehicles. Energies 2021, 14, 966. [Google Scholar] [CrossRef]
- Ding, C.; Li, H.; Zheng, W.; Wang, Y.; Lin, X. Reconfigurable Photovoltaic Systems for Electric Vehicles. IEEE Des. Test 2018, 35, 37–43. [Google Scholar] [CrossRef]
- Duan, C.; Wang, C.; Li, Z.; Chen, J.; Wang, S.; Snyder, A.; Jiang, C. A Solar Power-Assisted Battery Balancing System for Electric Vehicles. IEEE Trans. Transp. Electrif. 2018, 4, 432–443. [Google Scholar] [CrossRef]
- Grosso, M.; Lena, D.; Bocca, A.; Macii, A.; Rinaudo, S. Energy-Efficient Battery Charging in Electric Vehicles with Solar Panels. In Proceedings of the 2016 IEEE 2nd International Forum on Research and Technologies for Society and Industry Leveraging a better tomorrow (RTSI), Bologna, Italy, 7–9 September 2016; pp. 1–5. [Google Scholar]
- Shukla, A.; Nema, S. Design of Electrical System of Solar Powered Airplane. In Proceedings of the 2023 IEEE Renewable Energy and Sustainable E-Mobility Conference (RESEM), Bhopal, India, 17–18 May 2023; pp. 1–6. [Google Scholar]
- Zhang, R.; Liang, H. Application of Solar Energy in Ship Power Field. In Proceedings of the 2022 IEEE Asia-Pacific Conference on Image Processing, Electronics and Computers (IPEC), Dalian, China, 14–16 April 2022; pp. 1588–1590. [Google Scholar]
- Diahovchenko, I.; Petrichenko, L.; Borzenkov, I.; Kolcun, M. Application of Photovoltaic Panels in Electric Vehicles to Enhance the Range. Heliyon 2022, 8, e12425. [Google Scholar] [CrossRef] [PubMed]
- Nivas, M.; Rao Naidu, R.K.P.; Mishra, D.P.; Salkuti, S.R. Modeling and Analysis of Solar-Powered Electric Vehicles. Int. J. Power Electron. Drive Syst. 2022, 13, 480. [Google Scholar] [CrossRef]
- Abdelhamid, M.; Pilla, S.; Singh, R.; Haque, I.; Filipi, Z. A Comprehensive Optimized Model for On-Board Solar Photovoltaic System for Plug-in Electric Vehicles: Energy and Economic Impacts: On-Board Solar Photovoltaic System for Plug-in Electric Vehicles. Int. J. Energy Res. 2016, 40, 1489–1508. [Google Scholar] [CrossRef]
- Mobarak, M.H.; Kleiman, R.N.; Bauman, J. Solar-Charged Electric Vehicles: A Comprehensive Analysis of Grid, Driver, and Environmental Benefits. IEEE Trans. Transp. Electrif. 2021, 7, 579–603. [Google Scholar] [CrossRef]
- Dymola. Dassault Systèmes®. Available online: https://www.3ds.com/products-services/catia/products/dymola/ (accessed on 6 July 2021).
- Tutuianu, M.; Bonnel, P.; Ciuffo, B.; Haniu, T.; Ichikawa, N.; Marotta, A.; Pavlovic, J.; Steven, H. Development of the World-Wide Harmonized Light Duty Test Cycle (WLTC) and a Possible Pathway for Its Introduction in the European Legislation. Transp. Res. Part D Transp. Environ. 2015, 40, 61–75. [Google Scholar] [CrossRef]
- Smart, J.; Powell, W.; Schey, S. Extended Range Electric Vehicle Driving and Charging Behavior Observed Early in the EV Project. In Proceedings of the SAE World Congress 2013, Detroit, MI, USA, 16–18 April 2013; p. 2013-01-1441. [Google Scholar]
- Dalla Chiara, B.; Deflorio, F.; Pellicelli, M.; Castello, L.; Eid, M. Perspectives on Electrification for the Automotive Sector: A Critical Review of Average Daily Distances by Light-Duty Vehicles, Required Range, and Economic Outcomes. Sustainability 2019, 11, 5784. [Google Scholar] [CrossRef]
- Brkic, J.; Ceran, M.; Elmoghazy, M.; Kavlak, R.; Haumer, A.; Kral, C. Open Source PhotoVoltaics Library for Systemic Investigations. In Proceedings of the 13th International Modelica Conference, Regensburg, Germany, 4–6 March 2019; pp. 41–50. [Google Scholar]
- Mahmoud, Y.; Xiao, W.; Zeineldin, H.H. A Simple Approach to Modeling and Simulation of Photovoltaic Modules. IEEE Trans. Sustain. Energy 2012, 3, 185–186. [Google Scholar] [CrossRef]
- Rotas, R.; Iliadis, P.; Nikolopoulos, N.; Rakopoulos, D.; Tomboulides, A. Dynamic Battery Modeling for Electric Vehicle Applications. Batteries 2024, 10, 188. [Google Scholar] [CrossRef]
- European Commission. JRC Photovoltaic Geographical Information System (PVGIS). Available online: https://re.jrc.ec.europa.eu/pvg_tools/en/#TMY (accessed on 6 July 2021).
- Zajicek, T. Tesla Model 3 RWD (2017–2023)—Tech Specs and Prices. Available online: https://www.evspecs.org/tech-specs/tesla/model-3-2017-2023/rwd (accessed on 26 August 2024).
- California Air Resources Board. Current California GHG Emission Inventory Data. Available online: https://ww2.arb.ca.gov/ghg-inventory-data (accessed on 30 July 2024).
- Bastos, J.; Monforti-Ferrario, F.; Melica, G. GHG Emission Factors for Electricity Consumption; European Commission: Brussels, Belgium, 2024.
- U.S. Energy Information Administration (EIA). Electric Power Monthly. Available online: https://www.eia.gov/electricity/monthly/epm_table_grapher.php (accessed on 30 July 2024).
- VERIVOX. Strompreise 2024 Vergleichen & Bis 850 € Sparen. Available online: https://www.verivox.de/strom/strompreise/ (accessed on 30 July 2024).










| Case Number | Examined Solution |
|---|---|
| 1 | EV/charger connected to the national grid |
| 2 | Solar EV with mounted PVs/charger connected to the national grid |
| 3 | EV/charger connected to a rooftop PV installation and the national grid |
| City | Climate | Annual Global Horizontal Irradiation (GHI) | Annual Direct Normal Irradiation (DNI) |
|---|---|---|---|
| Los Angeles | Hot semi-arid (BWh) | 1966.1 kWh/m2 | 2138.4 kWh/m2 |
| Berlin | Oceanic (CfB) | 1068.6 kWh/m2 | 973.5 kWh/m2 |
| From | Until | Mode |
|---|---|---|
| 0:00 a.m. | 7:00 a.m. | Idle |
| 7:00 a.m. | 7:30 a.m. | WLTC Class 3 |
| 7:30 a.m. | 5:00 p.m. | Idle |
| 5:00 p.m. | 5:30 p.m. | WLTC Class 3 |
| 5:30 p.m. | 0:00 a.m. | Idle |
| Metric | Unit |
|---|---|
| Grid energy consumption per 100 km | kWh/100 km |
| Daily solar range extension | km/day |
| Charging cost | USD |
| GHG emissions | kg CO2-eq |
| Overall EV Technical Parameters | |
| Unlade vehicle mass (EU standard) | 1575 kg |
| Longitudinal aerodynamic drag coefficient | 0.175 |
| Gear ratio | 7.94 |
| Wheel radius | 0.31 m |
| Rolling resistance coefficient | 0.014 |
| Cross-sectional vehicle area | 2.2 m2 |
| Maximum brake pressure | 5 MPa |
| Electric Motor Specifications | |
| Maximum power | 130 kW |
| Maximum torque | 1720 N∙m |
| Total rotational inertia | 1.5 kg∙m2 |
| Battery Specifications | |
| Number of cells in series | 96 |
| Number of cells in parallel | 87 |
| Nominal cell capacity | 2 Ah |
| Nominal cell voltage | 3.6 V |
| Nominal battery pack energy capacity | 60.1 kWh |
| Maximum allowed discharge rate | 5 C |
| Initial state of charge | 0.9 |
| Cell thermal mass | 1364 J/K |
| Minimum cell operating voltage | 2.5 V |
| Maximum cell operating voltage | 4.2 V |
| Charging specifications | 3-phase 32 A–400 V (22 kW) |
| Mounted PV Panel Specifications | |
| Type | Monocrystalline silicon |
| Peak power | 1.05 kWp |
| Berlin | |||
| Case | 1 (Reference) | 2 | 3 |
| Annual grid energy consumption per 100 km (kWh/100 km) | 23.9 | 13.4 | 9.8 |
| Average daily solar range extension (km/day) | - | 20.3 | - |
| Annual GHG emissions (kg CO2-eq) | 1522.9 | 853.3 | 624.5 |
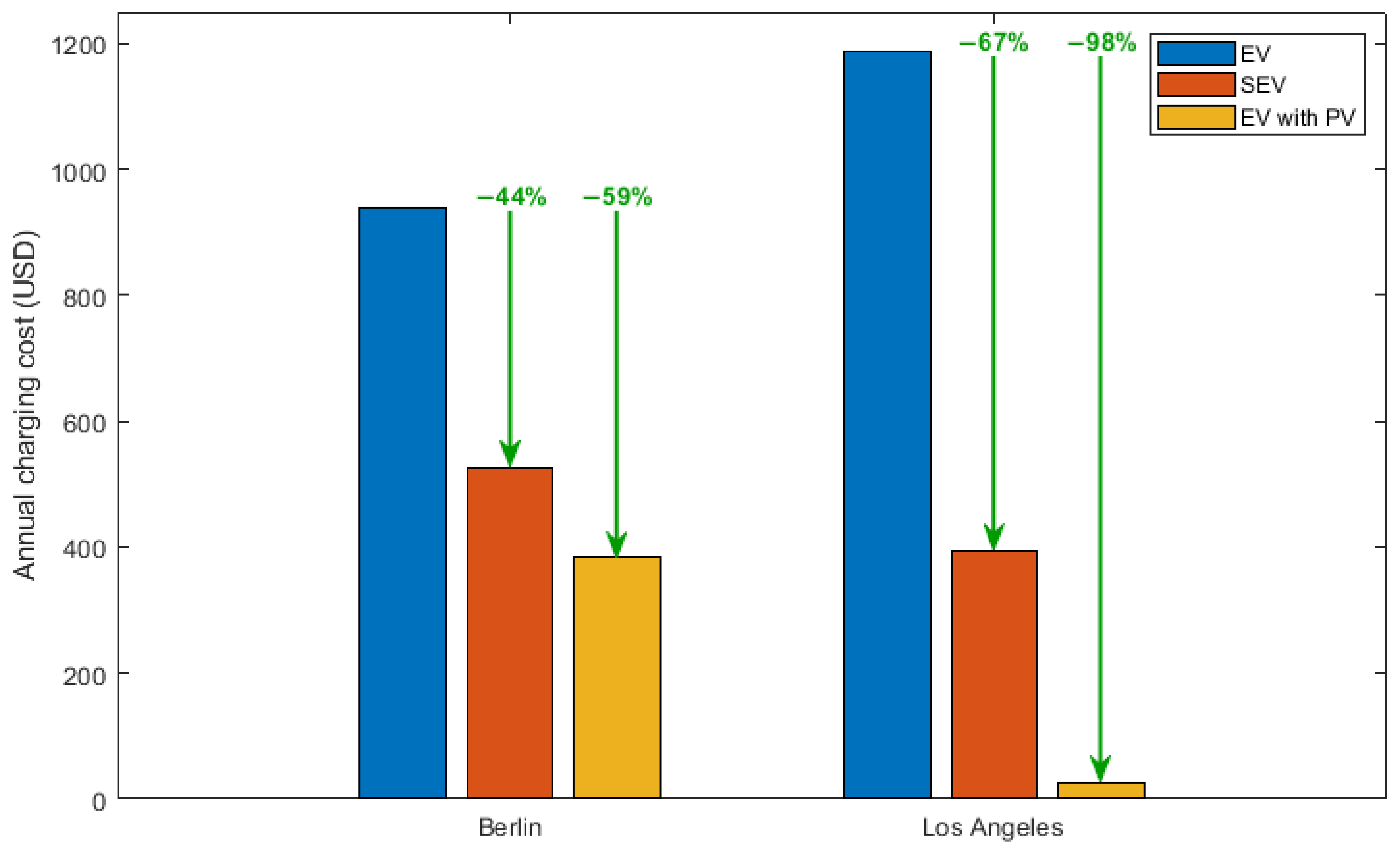
| Annual charging cost (USD) | 940 | 526.7 | 385.5 |
| Los Angeles | |||
| Case | 1 (Reference) | 2 | 3 |
| Annual grid energy consumption per 100 km (kWh/100 km) | 23.8 | 7.9 | 0.5 |
| Average daily solar range extension (km/day) | - | 30.4 | - |
| Annual GHG emissions (kg CO2-eq) | 755.6 | 251 | 16.9 |
| Annual charging cost (USD) | 1186.8 | 394.3 | 26.5 |
Disclaimer/Publisher’s Note: The statements, opinions and data contained in all publications are solely those of the individual author(s) and contributor(s) and not of MDPI and/or the editor(s). MDPI and/or the editor(s) disclaim responsibility for any injury to people or property resulting from any ideas, methods, instructions or products referred to in the content. |
© 2024 by the authors. Published by MDPI on behalf of the World Electric Vehicle Association. Licensee MDPI, Basel, Switzerland. This article is an open access article distributed under the terms and conditions of the Creative Commons Attribution (CC BY) license (https://creativecommons.org/licenses/by/4.0/).
Share and Cite
Rotas, R.; Iliadis, P.; Nikolopoulos, N.; Tomboulides, A. Evaluating Synergies between Electric Vehicles and Photovoltaics: A Comparative Study of Urban Environments. World Electr. Veh. J. 2024, 15, 397. https://doi.org/10.3390/wevj15090397
Rotas R, Iliadis P, Nikolopoulos N, Tomboulides A. Evaluating Synergies between Electric Vehicles and Photovoltaics: A Comparative Study of Urban Environments. World Electric Vehicle Journal. 2024; 15(9):397. https://doi.org/10.3390/wevj15090397
Chicago/Turabian StyleRotas, Renos, Petros Iliadis, Nikos Nikolopoulos, and Ananias Tomboulides. 2024. "Evaluating Synergies between Electric Vehicles and Photovoltaics: A Comparative Study of Urban Environments" World Electric Vehicle Journal 15, no. 9: 397. https://doi.org/10.3390/wevj15090397
APA StyleRotas, R., Iliadis, P., Nikolopoulos, N., & Tomboulides, A. (2024). Evaluating Synergies between Electric Vehicles and Photovoltaics: A Comparative Study of Urban Environments. World Electric Vehicle Journal, 15(9), 397. https://doi.org/10.3390/wevj15090397

