Abstract
Listeria monocytogenes presents a considerable threat in cooked chicken products, especially those that are ready-to-eat, like deli meats. The aim of this study was to evaluate the antimicrobial efficacy of oregano essential oil (Satureja hortensis: SHEO) against L. monocytogenes contamination of ready-to-eat cooked chicken meat during storage. The chemical content of SHEO was identified using GC-MS, with its antimicrobial properties confirmed through Kirby–Bauer disk diffusion tests. GC analyses of the SHEO used in the study showed that it contained 14.69% carvacrol and 10.61% thymol. L. monocytogenes strain NCTC 5348 was inoculated into chicken meat through a dipping technique at concentration levels of 2 × 107 CFU/mL before and after application of SHEO solution (2 μL/mL). Inoculated and SHEO-treated meat samples were stored −20 °C, +4 °C, and +10 °C under both traditional and vacuum packaging conditions for 28 days. Results indicated that SHEO significantly suppressed the growth of L. monocytogenes (approximately 1 log CFU/g), especially during the first 5–7 days at +4 °C in both packaging types. Vacuum packaging prolonged the antimicrobial effect of SHEO compared to conventional packaging at +4 °C and +10 °C, approximately 1.1–1.3 log CFU/g for 14 days. The antimicrobial activity of SHEO was limited to a range of approximately 0.1–0.5 log CFU/g at −20 °C compared to the control. These results suggest that combining essential oils with modern packaging methods can provide an effective approach to controlling cold-tolerant pathogens such as L. monocytogenes, thereby improving the shelf life and safety of ready-to-eat meat products.
1. Introduction
Listeria monocytogenes poses a major threat to human health as a foodborne pathogen due to its virulence, high mortality rate among those infected, propensity for cross-contamination during processing, and ability to survive at refrigeration temperatures [1]. Listeria species inhabit a diverse range of environments, with L. monocytogenes exhibiting motility at 30 °C and capable of thriving over a wide temperature range as a saprophyte. It frequently persists in food processing settings for extended periods, mainly due to environmental recontamination occurring at the farm or facility level [2]. L. monocytogenes is commonly found in nature, thriving in a variety of environments. These include soil, water, dairy products such as cheese and milk, both ready-to-eat and raw meat products, food production areas, fresh vegetables, and decaying plant matter, where it acts as a saprophyte [3]. This psychrotrophic bacterium demonstrates the ability to thrive across a wide range of temperatures and to form biofilms on food contact surfaces, thereby contributing to its prolonged persistence in processing environments [4]. This pathogen is linked to considerable public health and economic consequences, as it leads to listeriosis—a disease contracted by consuming ready-to-eat or raw meat products tainted with the bacterium. In the United States, there were 90 instances of food and beverage product recalls between 2022 and 2023 due to contamination with L. monocytogenes. Additionally, there have been numerous documented cases of listeriosis in recent years [5,6,7,8,9]. Clearly, this bacterium poses a persistent problem for the food industry because it can survive in food processing and production facilities for extended periods. This persistence is attributed to its unique growth and survival characteristics, its tendency to adhere to surfaces that come into contact with food, and its resistance to the disinfectants and antimicrobials used during cleaning and sanitation efforts to eliminate environmental microbes [10].
Infection with L. monocytogenes is mainly caused by eating food products that have been contaminated, such as processed meats, dairy items, prepared fruits and vegetables, pre-packaged sandwiches, and cold-smoked fish [11]. Around the world, prepared foods are acknowledged as major contributors to listeriosis because they are often consumed without undergoing additional decontamination processes [12]. Cooked meat products, which are mainly sourced from fresh or frozen meat and poultry meat, offer a variety of items, including marinated meats, smoked meat, fried meat, grilled meat, roasted meat, Western-style ham, meat sausages, fermented meats, cooked meat jerky, and other related products [12,13]. These products are nutrient-rich and provide an ideal environment for microbial growth, making them vulnerable to pathogen contamination during both the production and consumption stages, which can lead to foodborne illnesses [14].
Among these, chicken meat has seen a notable rise in global consumption over the past decade, owing to its low-fat content, high-quality protein, affordability, and minimal cultural or religious restrictions. Worldwide, poultry meat is the most widely consumed meat, with around 140 million tons consumed in 2023. However, chicken meat provides an ideal environment for microbial growth, creating major food safety challenges. It is not ideal for long-term storage at refrigerator temperatures of 4 °C. However, irregular or inadequate storage temperatures can make chicken meat and products risky for public health and food safety [15,16]. Additionally, cooked chicken meat used in foods like ready-to-eat sandwiches carries a risk of L. monocytogenes contamination.
While various essential oils have shown antimicrobial activity against L. monocytogenes, there is a notable lack of research on the application of Satureja hortensis essential oil (SHEO) in poultry products. This study seeks to fill this gap by assessing the potential of SHEO as a sustainable biopreservation strategy for ready-to-eat (RTE) poultry meat. This approach aims to advance natural preservation methods, thereby reducing dependence on synthetic additives such as sodium nitrite, potassium sorbate, and sodium benzoate, which are chemically synthesized products used for microbial control in poultry meat [17,18]. The Satureja hortensis L., also known as summer thyme, is a member of the Lamiaceae family. Phenolic compounds found in various plants of this genus demonstrate significant antimicrobial and antioxidant properties. Previous research has identified the primary chemical constituents of Satureja hortensis essential oil (SHEO) as γ-terpinene, α-terpinolene, carvacrol, and p-cymene [19,20,21]. Several previous studies have highlighted the significant antimicrobial effects found in certain Satureja essential oils [22,23,24]. The use of essential oils as natural antimicrobials to control L. monocytogenes in various food products is backed by their wide-ranging effectiveness, good safety profile, and regulatory approval [25,26]. SHEO has garnered particular interest due to its high content of phenolic compounds like carvacrol and thymol, which are well-known for their strong anti-Listeria effects [27]. The choice of SHEO is supported by its previously proven effectiveness against L. monocytogenes and its potential use in meat and ready-to-eat products [28]. Additionally, the revised text considers dosage to ensure microbial inhibition while minimizing changes in taste and aroma, as essential oils added to food must be listed on the product label, and their sensory impact should be acceptable to consumers [29]. Essential oils from Satureja spp. show MIC values ranging from 0.013 to 10 μL/mL. This activity is due to the high phenol and flavonoid content of SEO [30,31,32].
Even with strict cleaning and disinfection measures in place at meat processing plants, L. monocytogenes continues to thrive and spread on surfaces like floors, drains, and equipment by forming biofilms, which act as a persistent source of contamination [33]. To successfully control this pathogen in meat and meat products, new strategies are essential. Motivated by consumer interest in healthy and safe food, recent research has concentrated on biocontrol methods, including the application of bacteriophages, competitive interactions among microbes, and plant- or microbe-derived substances with anti-Listeria effects [34,35]. As the demand for healthier and more sustainable food choices continues to rise, exploring natural alternatives has become a promising approach to reducing dependence on chemical additives in meat production and preservation. As a result, plant-based compounds have attracted considerable interest from researchers and industry professionals in the meat sector. Among these, essential oils extracted from plants are particularly noteworthy [36]. For many years, the antimicrobial qualities of plants have been acknowledged, and herbal medicines derived from these plants have been used as traditional treatments in numerous countries around the globe. On the other hand, the use of modern techniques has enabled the evaluation of the therapeutic effectiveness of these plants. The use of essential oils (EOs) as natural antimicrobial agents for controlling L. monocytogenes has garnered significant academic attention. These plant-based substances are known for their wide-ranging antimicrobial effects and are viable alternatives to chemical preservatives in food items. Particularly for psychrotrophic pathogens such as Listeria, applying EOs directly to food or incorporating them into active packaging systems is seen as an effective method to minimize contamination risks [37,38,39]. Therefore, this study was designed to investigate the effectiveness of SHEO in preventing Listeria contamination.
In this research, essential oil extracted from Satureja hortensis (SHEO) was utilized to prevent L. monocytogenes contamination in cooked chicken meat. The objective of this study was to evaluate the effects of SHEO against Listeria in ready-to-eat chicken meat stored at various temperatures (−20 °C, +4 °C, and +10 °C) over a 28-day period. This research aims to contribute to safe food production and promote sustainable antimicrobial strategies using plant-derived bioactive compounds.
2. Materials and Methods
2.1. Plant Sample and Extraction of Essential Oils
The essential oils of S. hortensis (SHEO) utilized in this research were sourced from Prof. Dr. Sedat BOZARI. The plant samples were gathered from Bingöl province in the Eastern Anatolia Region of Türkiye during June and July 2014. Post-harvest, the aerial parts of the plants, including stems, leaves, and roots, were dried under shade. Once dried, the plant material was finely ground using a grinder (Waring, CT, USA). For the extraction of SHEO, around 100 g of the powdered plant material underwent hydrodistillation for three hours with a Clevenger-type apparatus (Thermal Laboratory Equipment, İstanbul, Türkiye), resulting in approximately 0.8 mL of essential oil per batch. The extracted oils were kept in airtight vials at +4 °C until needed. To determine the content of the obtained essential oils, a Thermofinnigan Trace GC/Trace DSQ/A1300 (Agilent, Snata Clara, CA, USA) device with an SGE-BPX5 MS (Agilent, Snata Clara, CA, USA) (30 m × 0.25 mm i.d., 0.25 µm) capillary column was used [40].
2.2. Microorganism and Preparation
The L. monocytogenes NCTC 5348 strain was inoculated into 5 mL of tryptic soy broth (TSB, Biolife Italiana, Milan, Italy) medium at a concentration of 1% and incubated at 37 °C for 24 h. Following this incubation period, the bacterial culture was transferred onto PALCAM (Biolife Italiana, Italy) agar plates and incubated again at 37 °C for an additional 24 h. The purity of the culture was confirmed, and a selected pure colony was preserved in a 50% glycerol stock at −20 °C for subsequent stages of the study.
2.3. Determination of the Anti-Listerial Activity of the Essential Oil
The effectiveness of SHEO against Listeria was assessed using the Kirby–Bauer disk diffusion technique [41], which involved the use of sterile 6 mm disks (ANTF-009-1K0; PRAT DUMAS, Couze-St-Front, France). A culture of L. monocytogenes NCTC 5348, with an approximate concentration of 1 × 107 CFU (~1 × 107 CFU/mL), was evenly distributed over the entire surface of TSA (Biolife Italiana, Italy) plates (Sifin Diagnostics GmbH, Berlin, Germany). Disks were placed in the center of the Petri dishes, and varying volumes of essential oil—1, 2, 4, and 5 μL—were spot inoculated onto discs. After the Petri dishes were incubated at 37 °C for 24 h, the diameters of the inhibition zones were measured in millimeters [42]. This procedure was repeated three times.
2.4. Evaluation of the Antimicrobial Activity of SHEO Against Listeria monocytogenes in Cooked Chicken Meat Stored at Different Temperatures
To evaluate the protective and preventive effects of SHEO, commercially obtained chicken breast meats were boiled in a pot for approximately 10 min to eliminate microbial load and then each weighed to ~10 (±2) g, and each meat portion was placed in sterile stomacher bag (BagLight®, Interscience, Saint Nom, France) and subsequently allocated into five distinct groups [43].
Group 1: served as the control, consisting of chicken breast meat without L. monocytogenes inoculation.
Group 2: Comprised chicken breast meat treated with SHEO.
Group 3: Included chicken breast meat inoculated with L. monocytogenes without SHEO.
Group 4: Consisted of chicken breast meat inoculated with L. monocytogenes following SHEO treatment.
Group 5: Included chicken breast meat treated with SHEO after L. monocytogenes inoculation.
2.5. Evaluation of the Antimicrobial Activity of SHEO Against Listeria monocytogenes in Cooked Chicken Meat Stored Under Traditional Packaging Conditions
Chicken breast meat, procured from a local butcher in Muş province, was transported to the laboratory in styrofoam containers on ice. To eliminate the microbial load on the surface of the chicken meat, each piece was boiled for approximately 10 min, and the boiled surface of the meat was aseptically excised using a sterile scalpel. These meat samples were then divided into ~10 g (±2) portions. L. monocytogenes was cultivated in 10 mL of tryptic soy broth (TSB) (Biolife Italiana, Italy) and incubated for 24 h at 37 °C, and then centrifuged at 5000 rpm. The supernatant was removed, and the pellet was washed twice with sterile saline. Bacterial concentration adjusted to approximately 2 × 107 colony-forming units per milliliter (CFU/mL) using sterile peptone water. To prepare for the SHEO solution, the following steps were followed: for homogeneous dispersion of SHEO in peptone, the appropriate amount of SHEO was dissolved in 10 mL of Tween 20 and then adjusted with peptone to a final concentration of 2 μL/mL. For Group 1, the designated portion of chicken meat was placed into sterile stomacher bags under aseptic conditions without any treatment, following the sampling day schedule, and sampled for 28 days. For Group 2, the meat samples were immersed in a solution of SHEO for approximately 2 min and then placed into sterile stomacher bags and sampled for 28 days. Group 3 samples were inoculated with approximately 2 × 107 CFU/mL of L. monocytogenes and maintained in the bacterial suspension for 2 min to ensure proper adherence of the pathogen. For Group 4, the samples were first immersed in the SHEO solution for approximately 2 min and then kept in the L. monocytogenes suspension (~2 × 107 CFU/mL) for 2 min. For Group 5, the samples were initially immersed in the L. monocytogenes suspension (~2 × 107 CFU/mL) for 2 min, followed by immersion in the SHEO solution for an additional 2 min. The chicken breast samples from all groups were incubated at temperatures of +4 °C, 10 °C, and −20 °C for a duration of 28 days. Samples were collected on days 0, 3, 5, 7, 14, and 28 of incubation. The samples were homogenized in a 1:9 ratio with sterile peptone water using a homogenizer (2 min. 2500 rpm) (CLS Scientific, CLPM-400D, Türkiye), and 1 mL of the homogenate was subjected to serial dilution. From these dilutions, 100 μL was spread onto PALCAM (Biolife Italiana, Italy) agar and incubated at 37 °C for 24 h. At the conclusion of incubation, the number of colonies formed on the plates was recorded [42,44,45]. All experiments were conducted in triplicate.
2.6. Evaluation of the Antimicrobial Activity of SHEO Against Listeria monocytogenes in Cooked Chicken Meat Stored Under Vacuum Packaging Conditions
The procedures were meticulously replicated for the formation of the groups. Following the placement of the chickens into the bags, the bags were sealed using vacuum packaging. The vacuum-packaged chicken breast samples within the groups were incubated at temperatures of +4 °C, 10 °C, and −20 °C for a duration of 28 days. Samples were collected on days 0, 3, 5, 7, 14, and 28 of incubation, homogenized in a 1:9 mL ratio with sterile peptone water using Stomacher CLPM-400D (CLS Scientific, Ankara, Turkey), and subsequently, 1 mL of the homogenate was subjected to serial dilution. From these dilutions, 100 μL was inoculated onto PALCAM (Biolife Italiana, Italy) agar plates and incubated at 37 °C for 24 h. Post-incubation, the number of colonies that developed on the plates was quantified [42,44]. All experiments were conducted in triplicate.
2.7. Statistical Analysis
Data analysis was performed using SPSS software (version 26.0; IBM Corporation, Armonk, NY, USA), with results expressed as mean ± standard deviation (SD) (n = 3). A one-way analysis of variance (ANOVA) was employed, and statistical significance was assessed using Tukey’s test and the least significant difference, with a p < 0.05.
3. Results and Discussion
Both raw and cooked chicken meat present substantial food safety concerns owing to the presence of foodborne pathogens. Raw chicken is particularly associated with Campylobacter jejuni and Salmonella enterica, which can induce severe gastrointestinal illnesses, even in minimal quantities. These pathogens are frequently introduced during the slaughtering and processing stages, particularly when hygiene standards are inadequately maintained [46]. L. monocytogenes is a significant concern in cooked chicken products, particularly those that are ready-to-eat, such as sandwich meat. L. monocytogenes can proliferate at refrigeration temperatures, leading to contamination through cross-contamination post-cooking and multiplying over an extended shelf life, posing a considerable health risk, especially to individuals with compromised immune systems [47,48,49]. Therefore, it is imperative to maintain stringent hygiene during processing, ensure proper cooking, and maintain a cold chain for both raw and cooked poultry products [50,51]. Variations in refrigeration temperature significantly increased the likelihood of L. monocytogenes contamination. It is one of the rare pathogens that can thrive at low temperatures, such as those between 0 and 4 °C. Consequently, the temperature fluctuations commonly found in household refrigerators create ideal conditions for their growth. Additionally, cross-contamination from raw products, contaminated surfaces, equipment, or food handlers is a major route for the transfer of Listeria to ready-to-eat foods. Research has shown that when refrigeration temperatures rise above 4 °C and hygiene practices are lacking, both the risk of contamination and the growth rate of L. monocytogenes increase significantly. This situation presents a serious public health issue, especially for vacuum-packed or long-shelf-life products [52]. The three specified temperatures correspond to various storage conditions that food products may encounter from production to consumption. While poultry meat is typically stored at +4 °C in both households and supermarkets, temperature elevations, such as reaching 10 °C, may occur due to disruptions in the cold chain, including during transportation or market display. Furthermore, −20 °C is the standard freezing temperature commonly employed in households for the long-term preservation of chicken meat [53].
In this study, to replicate authentic contamination conditions, L. monocytogenes was directly inoculated into chicken meat using a dipping method, thereby facilitating the pathogen’s adherence to the food matrix. The study utilized the Kirby–Bauer disk diffusion test [41] to evaluate the anti-Listerial properties of SHEO, and GC/MS measurement was performed for content analysis [40]. Specific emphasis has been placed on S. hortensis essential oil (SHEO), which is rich in phenolic compounds such as carvacrol and thymol, both known for their strong anti-Listeria effects [27]. GC analyses of the SHEO used in the study showed that it contained 14.69% carvacrol, 10.61% thymol, γ-terpinene 9.19%, caryophyllene 0.09%, 2-methylphenol 11.86%, and sineol 13.03% [40]. Numerous studies have demonstrated that the GC content of SHEO includes thymol 45.9% and carvacrol 12.81% [54], thymol 29.5% and carvacrol 9.6% [55], carvacrol 26.78% [56], and thymol (0.3–28.2%) and carvacrol (11–67%) [57]. The variations in essential oil (EO) composition observed in the studies can be ascribed to the presence of different species and subspecies, as well as a range of factors, primarily environmental and climatic conditions [58]. As illustrated in Figure 1, the results demonstrated that all tested oil quantities, with the exception of 1 µL, exhibited activity against Listeria. The applied SHEO doses of 1, 2, 4, and 5 μL were tested using the disk diffusion technique, and the zone diameters were measured as 3.4, 3.6, 4.2, and 5.5 cm, respectively. For subsequent phases of the research, a 2 µL/mL amount was selected to minimize any impact on the sensory attributes, taste, and consumer preference of chicken meat. The antimicrobial efficacy of SHEO against L. monocytogenes was evaluated at three distinct temperatures (+4, +10, and −20 °C), with the results subjected to statistical analysis (Table 1). The growth of L. monocytogenes is particularly pertinent in the context of food safety due to its capacity to thrive at refrigeration temperatures and persist in food processing environments, posing significant challenges in contamination prevention [59]. Recent studies have indicated that L. monocytogenes can also proliferate in modified atmosphere packaging (MAP), which typically reduces oxygen levels and increases nitrogen to inhibit microbial growth; however, MAP did not significantly affect L. monocytogenes populations during short-term storage and only demonstrated notable growth increases after prolonged exposure or at elevated temperatures [60]. Furthermore, innovative packaging methods incorporating bacteriocins, such as pediocin, and using EO have shown promise in inhibiting L. monocytogenes by preventing bacterial growth over extended periods, particularly in ready-to-eat foods stored at low temperatures [61]. L. monocytogenes exhibits ecological adaptability through its resilience to environmental pressures, ability to create biofilms, and persistence in food processing facilities. These characteristics complicate control efforts and emphasize the importance of developing new antimicrobial strategies and packaging solutions [62].
Figure 1.
In vitro evaluation of Satureja hortensis essential oil against Listeria monocytogenes NCTC 5348 by disk diffusion method: (A) Disk containing 1 μL SHEO, (B) disk containing 2 μL SHEO, (C) disk containing 4 μL SHEO, and (D) disk containing 5 μL SHEO.
Table 1.
Statistical evaluation of packaging methods on SHEO’s L. monocytogenes inhibition using ANOVA–Tukey tests.
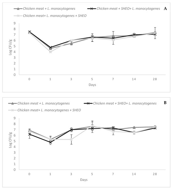
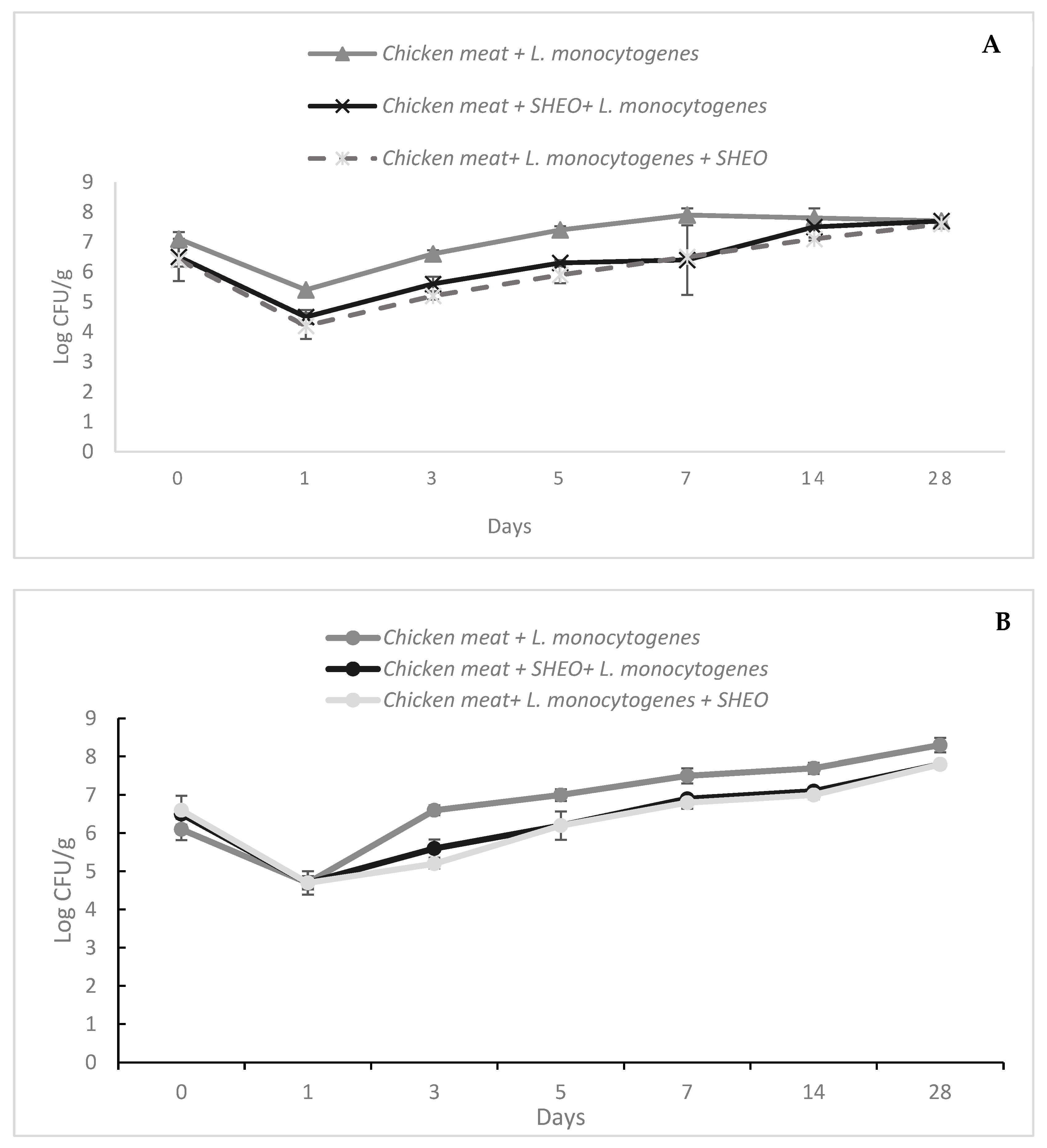
Furthermore, the study conducted a comparative evaluation of conventional and vacuum packaging techniques. SHEO treatment significantly inhibited the growth of L. monocytogenes in groups incubated at +4 °C, particularly during the initial five days (ANOVA, p < 0.01). This indicates that SHEO remained stable and retained its efficacy at low temperatures without losing its volatility, supporting findings that EO treatments show significant efficacy in inhibiting L. monocytogenes growth, especially when combined with refrigeration [59]. In this study, for both packaging methods, Groups 1 and 2 were utilized to confirm the presence of Listeria contamination. The results of these groups showed not Listeria contamination was found in any of the daily samples taken over a 28-day period in these control groups. In the application using the conventional packaging method at 4 °C, SHEO markedly inhibited L. monocytogenes during the first five days (Figure 2A). This effect diminished after day 7 and was completely lost by day 14. Morphological observations conducted throughout the experiments revealed that the odor of SHEO began to diminish after day 7, attributable to the volatile nature of the oil, as directly reflected in the graph. In the vacuum packaging results, significant inhibition was observed in the SHEO-treated groups until day 7 (Figure 3A). Vacuum packaging preserved the effect of SHEO up to day 14, after which the effect decreased. In both packaging methods, storage at 4 °C was shown to enhance SHEO’s stability and prolong its antimicrobial activity. This aligns with reports emphasizing vacuum packaging’s role in reducing oxygen levels and enhancing pathogen growth inhibition compared to traditional packaging, while EO treatments integrated into such packaging provide a potential listericidal step without compromising food quality [59,63].

Figure 2.
SHEO’s Anti-Listeria effect in traditional packaging: (A) +4 °C; (B) +10 °C; (C) −20 °C.

Figure 3.
SHEO’s Anti-Listeria Effect in Vacuum Packaging: (A) vacuum packaging +4 °C; (B) vacuum packaging +10 °C; (C) vacuum packaging −20 °C.
At 10 °C, the conventional packaging method exhibited a discernible reduction in L. monocytogenes within the SHEO group commencing on day 3 (Figure 2B). This effect persisted until day 14, diminished by day 28, and did not completely vanish. Similarly, the vacuum packaging results indicated significant inhibition in the SHEO group up to day 14 (Figure 3B). Consequently, vacuum packaging enhances the efficacy of SHEO at 10 °C. Although this effect decreased by day 28, it was not entirely eradicated. The concern with L. monocytogenes is heightened due to its capacity to proliferate at refrigeration temperatures and form biofilms on food-contact surfaces, posing significant challenges that necessitate potent antimicrobial interventions such as EO treatments combined with advanced packaging methods [4,63,64].
The most irregular effect of SHEO was observed during storage at −20 °C. Under conventional packaging conditions, where L. monocytogenes proliferated rapidly, the effect of SHEO was only significant on day 0; on subsequent days, statistical significance was not maintained (Figure 2C). Moreover, the efficacy of SHEO can be contextualized by comparing its antimicrobial properties with those of other essential oils or conventional antimicrobials. Research indicates that oils such as oregano, thyme, and clove demonstrate comparable or, in certain instances, superior anti-Listeria activity, thereby providing a benchmark for assessing the relative effectiveness of SHEO [65,66]. Additionally, strategies such as microencapsulation could be investigated to enhance the stability of SHEO at −20 °C, thereby mitigating the loss of volatile components and extending its antimicrobial activity under frozen storage conditions [67]. At a temperature of −20 °C, bacteria become nearly metabolically inactive. This inactivity is due to the non-functioning of active transport systems and enzymes within the cell membrane. Consequently, the antibacterial mechanisms of essential oils, which include disrupting membrane integrity and inhibiting enzymes, exhibit limited efficacy. Furthermore, at such low temperatures, molecular movement is significantly reduced, thereby diminishing the rate and effectiveness with which essential oil components can reach bacterial cells.
This phenomenon may be attributed to the loss of volatile properties of SHEO at low temperatures. Notably, a significant effect was observed on day 28 (p = 0.001). The results indicated that vacuum packaging at −20 °C was inadequate to sustain the effect of SHEO (Figure 3C). Overall, these findings highlight the necessity of adopting multifaceted approaches that integrate innovative antimicrobial solutions such as EO with advanced packaging and detection methods to mitigate the risks posed by L. monocytogenes in food products, thereby enhancing food safety standards [68].
The comparative assessment of conventional and vacuum packaging methods, in conjunction with essential oil (EO) treatments, offers valuable insights into the control of L. monocytogenes, a significant foodborne pathogen. EO treatments have been shown to be significantly effective in preventing the growth of L. monocytogenes, particularly when used in combination with refrigeration. A study has indicated that EO remains stable and effective at low temperatures, specifically at +4 °C, markedly curbing the expansion of L. monocytogenes in the initial phase of incubation [59].
The concern regarding L. monocytogenes is intensified due to its capacity to proliferate at refrigerator temperatures, rendering it a persistent threat within the food processing environment. As consumer demand for minimally processed ready-to-eat (RTE) foods escalates, innovative non-thermal preservation methods, such as essential oils (EOs), are becoming increasingly critical. The pathogen’s ability to form biofilms on food-contact surfaces presents a significant challenge, necessitating potent antimicrobial interventions. Both conventional and novel strategies, including biosensors and natural plant-derived antimicrobials for pathogen detection and inhibition, are essential in ensuring food safety [4,63]. Assessing packaging techniques, such as vacuum packaging, which reduces oxygen levels, reveals a contrast with traditional packaging methods that may not offer the same degree of inhibition against pathogen growth. The incorporation of essential oil (EO) treatments with these packaging methods presents a potential strategy for mitigating Listeria contamination while preserving the organoleptic properties of food. This combination could provide a listericidal step, thereby ensuring an extended shelf life and enhanced safety of food products, particularly under low-temperature storage conditions [59,63]. The research highlights the imperative of implementing comprehensive strategies that integrate advanced detection techniques with novel antimicrobial solutions to address the risks associated with L. monocytogenes in the packaging and storage of food products. This approach has the potential to significantly transform food safety standards and practices [68].
4. Conclusions
This study demonstrated that Satureja hortensis essential oil (SHEO) effectively inhibits the proliferation of Listeria monocytogenes on chicken meat under various storage temperatures and packaging conditions. SHEO exhibited a particularly robust protective effect at lower temperatures (4 °C and 10 °C) and when utilized in conjunction with vacuum packaging, significantly enhancing pathogen control. However, at −20 °C, the efficacy of the essential oil diminished, likely due to decreased volatility. These findings suggest that natural, plant-based antimicrobial agents could serve as environmentally friendly alternatives to conventional chemical preservatives, potentially enhancing both the shelf life and safety of food products. Furthermore, the integration of essential oil applications with modern packaging technologies presents a promising strategy for managing psychrotrophic pathogens such as L. monocytogenes. In this context, the promotion of plant-derived bioactive compounds is recommended to support sustainable and safe food production. Future research should undertake a comparative analysis of SHEO with other essential oils to contextualize its efficacy against Listeria. Additionally, strategies such as microencapsulation should be explored to enhance its stability at −20 °C. The potential of SHEO in combination with vacuum or modified atmosphere packaging warrants evaluation. Furthermore, investigations into its capacity to prevent or disrupt biofilms, as well as their synergistic effects with other natural antimicrobials, are recommended. Sensory evaluations are also necessary to ensure that antimicrobial treatments do not adversely affect the taste, aroma, or overall acceptability of the food.
Author Contributions
All the authors were involved in the conception and design of the study. H.Ö. and Y.T. prepared the materials and collected and analyzed the data. The initial draft of the manuscript was authored by H.Ö., and all the authors provided feedback on earlier iterations of the manuscript. All authors have read and agreed to the published version of the manuscript.
Funding
This research received no external funding.
Data Availability Statement
The data that support the findings of this study are available from the corresponding author upon reasonable request.
Acknowledgments
We would like to thank Sedat BOZARI for his help in obtaining S. hortensis oil. This study is based on Yüsra TOPLU’s master’s thesis.
Conflicts of Interest
The authors declare that they have no conflicts of interest.
References
- Arthur, M.; Afari, E.L.; Alexa, E.A.; Zhu, M.J.; Gaffney, M.T.; Celayeta, J.M.F.; Burgess, C.M. Recent advances in examining the factors influencing the efficacy of biocides against Listeria monocytogenes biofilms in the food industry: A systematic review. Compr. Rev. Food Sci. Food Saf. 2025, 24, e70083. [Google Scholar] [CrossRef]
- Linke, K.; Rückerl, I.; Brugger, K.; Karpiskova, R.; Walland, J.; Muri-Klinger, S.; Tichy, A.; Wagner, M.; Stessl, B. Reservoirs of Listeria species in three environmental ecosystems. Appl. Environ. Microbiol. 2014, 80, 5583–5592. [Google Scholar] [CrossRef]
- Hafner, L.; Pichon, M.; Burucoa, C.; Nusser, S.H.; Moura, A.; Garcia-Garcera, M.; Lecuit, M. Listeria monocytogenes faecal carriage is common and depends on the gut microbiota. Nat. Commun. 2021, 12, 6826. [Google Scholar] [CrossRef]
- Hua, Z.; Zhu, M.J. Comprehensive strategies for controlling Listeria monocytogenes biofilms on food-contact surfaces. Compr. Rev. Food Sci. Food Saf. 2024, 23, e13348. [Google Scholar] [CrossRef]
- Zhang, X.; Wang, S.; Chen, X.; Qu, C. Review controlling Listeria monocytogenes in ready-to-eat meat and poultry products: An overview of outbreaks, current legislations, challenges, and future prospects. Trends Food Sci. Technol. 2021, 116, 24–35. [Google Scholar] [CrossRef]
- Ryser, E.T. Listeria. In Foodborne Infections and Intoxications; Elsevier: Amsterdam, The Netherlands, 2021; pp. 201–220. [Google Scholar]
- Mpundu, P.; Mbewe, A.R.; Muma, J.B.; Mwasinga, W.; Mukumbuta, N.; Munyeme, M. A global perspective of antibiotic-resistant Listeria monocytogenes prevalence in assorted ready to eat foods: A systematic review. Vet. World 2021, 14, 2219. [Google Scholar] [CrossRef]
- Mohapatra, R.K.; Mishra, S.; Tuglo, L.S.; Sarangi, A.K.; Kandi, V.; Al Ibrahim, A.A.; Alsaif, H.A.; Rabaan, A.A.; Zahan, M.K.E. Recurring food source-based Listeria outbreaks in the United States: An unsolved puzzle of concern? Health Sci. Rep. 2024, 7, e1863. [Google Scholar] [CrossRef]
- Belias, A.; Bolten, S.; Wiedmann, M. Challenges and opportunities for risk-and systems-based control of Listeria monocytogenes transmission through food. Compr. Rev. Food Sci. Food Saf. 2024, 23, e70071. [Google Scholar] [CrossRef] [PubMed]
- Zahid, R.; Arbab, Z.; Tahir, Z.; Tehseen, U.; Ali, S.; Bukhsh, S.; Javaid, A.; Rehman, A.; Khan, A. Global Prevalence of Listeriosis. In Zoonosis; Unique Scientific Publishers: Faisalabad, Pakistan, 2023; Volume 4, pp. 319–328. [Google Scholar]
- Koopmans, M.M.; Brouwer, M.C.; Vázquez-Boland, J.A.; van de Beek, D. Human listeriosis. Clin. Microbiol. Rev. 2023, 36, e0006019. [Google Scholar] [CrossRef] [PubMed]
- Wang, X.; Liu, L.; Liu, X.; Wang, Y.; Wang, Y.; Qi, Y.; Yang, S.; Yan, L.; Yang, D.; Liu, Z.; et al. Quantitative risk assessment of Listeria monocytogenes in cooked meat products from retail to consumption in China. Food Control 2025, 178, 111499. [Google Scholar] [CrossRef]
- GB 4789.30-2010; National Food Safety Standard Food Microbiological Examination: Listeria monocytogenes. Ministry of Health of People’s Republic of China Beijing: Beijing, China, 2010.
- Bumunang, E.W.; Zaheer, R.; Niu, D.; Narvaez-Bravo, C.; Alexander, T.; McAllister, T.A.; Stanford, K. Bacteriophages for the targeted control of foodborne pathogens. Foods 2023, 12, 2734. [Google Scholar] [CrossRef]
- Göçmez, E.B.; İlhak, O.İ. Effect of marination with bioprotective culture-containing marinade on Salmonella spp. and Listeria monocytogenes in chicken breast meat. J. Food Sci. 2025, 90, e70174. [Google Scholar] [CrossRef]
- Serter, B.; Önen, A.; Osman, I.I. Antimicrobial efficacy of postbiotics of lactic acid bacteria and their effects on food safety and shelf life of chicken meat. Ann. Anim. Sci. 2024, 24, 277–287. [Google Scholar] [CrossRef]
- Martín, I.; Rodríguez, A.; Delgado, J.; Córdoba, J.J. Strategies for biocontrol of Listeria monocytogenes using lactic acid bacteria and their metabolites in ready-to-eat meat-and dairy-ripened products. Foods 2022, 11, 542. [Google Scholar] [CrossRef]
- Ben Braïek, O.; Smaoui, S. Chemistry, safety, and challenges of the use of organic acids and their derivative salts in meat preservation. J. Food Qual. 2021, 2021, 6653190. [Google Scholar] [CrossRef]
- Chambers, H.F.; DeLeo, F.R. Waves of resistance: Staphylococcus aureus in the antibiotic era. Nat. Rev. Microbiol. 2009, 7, 629–641. [Google Scholar] [CrossRef] [PubMed]
- Bektas, S.; Ozdal, M.; Gürkök, S. Characterization of the active compounds of Satureja hortensis L. aerial parts essential oil and its antioxidant, antimicrobial, and anti-biofilm properties against fish pathogenic microorganisms. J. Essent. Oil Bear. Plants 2025, 28, 1–13. [Google Scholar] [CrossRef]
- Topdemir, S.; Kürşat, M.; Bozarı, S. Phylogenetic analysis of some taxa belonging to the family Lamiaceae in Bitlis province using RAPD-PCR technique. Osman. Korkut Ata Üniversitesi Fen. Bilim. Enstitüsü Derg. 2024, 7, 563–580. [Google Scholar] [CrossRef]
- Abbad, I.; Soulaimani, B.; Iriti, M.; Barakate, M. Chemical Composition and Synergistic Antimicrobial Effects of Essential Oils From Four Commonly Used Satureja Species in Combination With Two Conventional Antibiotics. Chem. Biodivers. 2025, 22, e202402093. [Google Scholar] [CrossRef]
- Amiri, Z.; Sohrabi, N. Evaluation of the antimicrobial effects of Satureja montana essential oil alone and in combination with Nisin on Escherichia coli and Staphylococcus aureus. J. Res. Med. Dent. Sci. 2018, 6, 54. [Google Scholar]
- Vitanza, L.; Maccelli, A.; Marazzato, M.; Scazzocchio, F.; Comanducci, A.; Fornarini, S.; Crestoni, M.E.; Filippi, A.; Fraschetti, C.; Rinaldi, F. Satureja montana L. essential oil and its antimicrobial activity alone or in combination with gentamicin. Microb. Pathog. 2019, 126, 323–331. [Google Scholar] [CrossRef]
- Burt, S. Essential oils: Their antibacterial properties and potential applications in foods—A review. Int. J. Food Microbiol. 2004, 94, 223–253. [Google Scholar] [CrossRef] [PubMed]
- Hyldgaard, M.; Mygind, T.; Meyer, R.L. Essential oils in food preservation: Mode of action, synergies, and interactions with food matrix components. Front. Microbiol. 2012, 3, 12. [Google Scholar] [CrossRef] [PubMed]
- Saharkhiz, M.J.; Zomorodian, K.; Taban, A.; Pakshir, K.; Heshmati, K.; Rahimi, M.J. Chemical composition and antimicrobial activities of three satureja species against food-borne pathogens. J. Essent. Oil Bear. Plants 2016, 19, 1984–1992. [Google Scholar] [CrossRef]
- Tomičić, R.M.; Čabarkapa, I.S.; Varga, A.O.; Tomičić, Z.M. Antimicrobial activity of essential oils against Listeria monocytogenes. Food Feed Res. 2018, 45, 37–44. [Google Scholar] [CrossRef]
- Prakash, B.; Kedia, A.; Mishra, P.K.; Dubey, N. Plant essential oils as food preservatives to control moulds, mycotoxin contamination and oxidative deterioration of agri-food commodities–Potentials and challenges. Food Control 2015, 47, 381–391. [Google Scholar] [CrossRef]
- Abou Baker, D.H.; Al-Moghazy, M.; ElSayed, A.A.A. The in vitro cytotoxicity, antioxidant and antibacterial potential of Satureja hortensis L. essential oil cultivated in Egypt. Bioorganic Chem. 2020, 95, 103559. [Google Scholar] [CrossRef]
- Schneider, G.; Steinbach, A.; Putics, Á.; Solti-Hodován, Á.; Palkovics, T. Potential of Essential Oils in the Control of Listeria monocytogenes. Microorganisms 2023, 11, 1364. [Google Scholar] [CrossRef]
- Kartal, M.; Yildiz, A.N.; İnal, E.; Kınoglu, B.K.; Dirmenci, T.; Gören, A.C. Review on the Biological Activities and Phytochemistry of the Genus Satureja. Rec. Nat. Prod. 2025, 19, 400–427. [Google Scholar] [CrossRef]
- Fagerlund, A.; Langsrud, S.; Møretrø, T. Microbial diversity and ecology of biofilms in food industry environments associated with Listeria monocytogenes persistence. Curr. Opin. Food Sci. 2021, 37, 171–178. [Google Scholar] [CrossRef]
- Grigore-Gurgu, L.; Bucur, F.I.; Mihalache, O.A.; Nicolau, A.I. Comprehensive Review on the Biocontrol of Listeria monocytogenes in Food Products. Foods 2024, 13, 734. [Google Scholar] [CrossRef] [PubMed]
- Rani, R.; Datir, R.; Rajput, H.; Singh, B.; Patil, S.O.; Das, B. Antibacterial and Food Preservation Properties of Essential Oils: A Review. Eur. J. Nutr. Food Saf. 2025, 17, 206–232. [Google Scholar] [CrossRef]
- Valarezo, E.; Ledesma-Monteros, G.; Jaramillo-Fierro, X.; Radice, M.; Meneses, M.A. Antimicrobial Activity of Clove (Syzygium aromaticum) Essential Oil in Meat and Meat Products: A Systematic Review. Antibiotics 2025, 14, 494. [Google Scholar] [CrossRef]
- Vidaković Knežević, S.; Knežević, S.; Vranešević, J.; Kravić, S.; Lakićević, B.; Kocić-Tanackov, S.; Karabasil, N. Effects of Selected Essential Oils on Listeria monocytogenes in Biofilms and in a Model Food System. Foods 2023, 12, 1930. [Google Scholar] [CrossRef]
- El-Soufi, A.; Al Khatib, A.; Khazaal, S.; El Darra, N.; Raafat, K. Evaluation of Essential Oils as Natural Antibacterial Agents for Eggshell Sanitization and Quality Preservation. Processes 2025, 13, 224. [Google Scholar] [CrossRef]
- Vale, I.R.R.; Oliveira, G.d.S.; de Jesus, L.M.; de Castro, M.B.; McManus, C.; Dos Santos, V.M. Sustainable Bacterial Control of Hatching Eggshells Using Essential Oils. Antibiotics 2024, 13, 1025. [Google Scholar] [CrossRef]
- Bozarı, S.; Çakmak, B.; Kurt, H. Satureja hortensis bitkisinin uçucu yağlarının Hordeum vulgare l. tohumları üzerine genotoksik etkileri. KSÜ Doğa Bilim. Derg. 2017, 20, 185–192. [Google Scholar] [CrossRef][Green Version]
- Bauer, A.; Kirby, W.; Sherris, J.C.; Turck, M. Antibiotic susceptibility testing by a standardized single disk method. Am. J. Clin. Pathol. 1966, 45, 493–496. [Google Scholar] [CrossRef]
- Seres-Steinbach, A.; Szabó, P.; Bányai, K.; Schneider, G. Effect of Temperature, Surface, and Medium Qualities on the Biofilm Formation of Listeria monocytogenes and Their Influencing Effects on the Antibacterial, Biofilm-Inhibitory, and Biofilm-Degrading Activities of Essential Oils. Foods 2025, 14, 2097. [Google Scholar] [CrossRef]
- Kačániová, M.; Kunová, S.; Čmiková, N. Green Lemon Essential Oil Antimicrobial Activity Against Listeria monocytogenes Inoculated in Chicken Meat. Sci. Pap. Anim. Sci. Biotechnol. 2023, 56, 237. [Google Scholar]
- Ben Akacha, B.; Ben Hsouna, A.; Generalić Mekinić, I.; Ben Belgacem, A.; Ben Saad, R.; Mnif, W.; Kačániová, M.; Garzoli, S. Salvia officinalis L. and Salvia sclarea essential oils: Chemical composition, biological activities and preservative effects against Listeria monocytogenes inoculated into minced beef meat. Plants 2023, 12, 3385. [Google Scholar] [CrossRef]
- Firouzi, R.; Shekarforoush, S.S.; Nazer, A.H.K.; Borumand, Z.; Jooyandeh, A.R. Effects of Essential Oils of Oregano and Nutmeg on Growth and Survival of Yersinia enterocolitica and Listeria monocytogenes in Barbecued Chicken. J. Food Prot. 2007, 70, 2626–2630. [Google Scholar] [CrossRef] [PubMed]
- European Food Safety Authority (EFSA); European Centre for Disease Prevention and Control (ECDC). The European Union One Health 2023 Zoonoses report. EFSA J. 2024, 22, e9106. [Google Scholar]
- Su, Y.; Liu, A.; Zhu, M.-J. Mapping the Landscape of Listeriosis Outbreaks (1998–2023): Trends, Challenges, and Regulatory Responses in the United States. Trends Food Sci. Technol. 2024, 104750. [Google Scholar] [CrossRef]
- Niu, Y.; Wang, C.; Liu, Y.; Zhang, P.; Wu, Y.; Li, M.; Zhao, J.; Zhang, X.; Ma, X. Pre-packaged cold-chain ready-to-eat food as a source of sporadic listeriosis in Beijing, China. J. Infect. 2024, 89, 106254. [Google Scholar] [CrossRef]
- Urban-Chmiel, R.; Osek, J.; Wieczorek, K. Methods of Controlling Microbial Contamination of Food. Pathogens 2025, 14, 492. [Google Scholar] [CrossRef]
- Osei-Kwarteng, M.; Ogwu, M.C.; Mahunu, G.K.; Afoakwah, N.A. Post-harvest Food Quality and Safety in the Global South: Sustainable Management Perspectives. In Food Safety and Quality in the Global South; Springer: Berlin/Heidelberg, Germany, 2024; pp. 151–195. [Google Scholar]
- Peerzade, I.J.; Kudre, T.; Halami, P.M. Poultry and Meat Processing. In Frontiers in Food Biotechnology; Springer: Berlin/Heidelberg, Germany, 2024; pp. 427–444. [Google Scholar]
- Authority, E.F.S.; Arena, M.; Auteri, D.; Barmaz, S.; Bellisai, G.; Brancato, A.; Brocca, D.; Bura, L.; Byers, H.; Chiusolo, A.; et al. Peer review of the pesticide risk assessment of the active substance tolclofos-methyl. EFSA J. 2018, 16, e05130. [Google Scholar]
- Li, W.; Wang, Q.; Deng, Z.; Du, Y.; Song, Y.; Xu, T.; Shan, L.; Chen, J. Integrating kinetic models and BP-ANN for predicting growth and shelf-life of Listeria monocytogenes in ready-to-eat salads. LWT 2025, 221, 117607. [Google Scholar] [CrossRef]
- Sharifzadeh, A.; Khosravi, A.R.; Ahmadian, S. Chemical composition and antifungal activity of Satureja hortensis L. essentiall oil against planktonic and biofilm growth of Candida albicans isolates from buccal lesions of HIV+ individuals. Microb. Pathog. 2016, 96, 1–9. [Google Scholar] [CrossRef]
- Farzaneh, M.; Kiani, H.; Sharifi, R.; Reisi, M.; Hadian, J. Chemical composition and antifungal effects of three species of Satureja (S. hortensis, S. spicigera, and S. khuzistanica) essential oils on the main pathogens of strawberry fruit. Postharvest Biol. Technol. 2015, 109, 145–151. [Google Scholar] [CrossRef]
- Ladan Moghadam, A.R. Antioxidant Activity and Essential Oil Evaluation of Satureja hortensis L. (Lamiaceae) from Iran. J. Essent. Oil Bear. Plants 2015, 18, 455–459. [Google Scholar] [CrossRef]
- Shariatzadeh, S.; Talebi, S.M.; Ghorbanpour, M. Variability in seed essential oil composition of the cultivated Satureja hortensis L. (Lamiaceae) populations in Iran. BMC Plant Biol. 2025, 25, 1055. [Google Scholar] [CrossRef]
- Mohammadhosseini, M.; Rezaei, P.; Akbarzadeh, A.; Beiranvand, M. Quantitative Monitoring of the Volatiles from the Aerial Parts of Satureja hortensis by the Use of HS-SPME-GC-MS Approach. Orient. J. Chem. 2016, 32, 2559–2566. [Google Scholar] [CrossRef]
- Vidovic, S.; Paturi, G.; Gupta, S.; Fletcher, G.C. Lifestyle of Listeria monocytogenes and food safety: Emerging listericidal technologies in the food industry. Crit. Rev. Food Sci. Nutr. 2024, 64, 1817–1835. [Google Scholar] [CrossRef]
- Beuchat, L.R.; Brackett, R.E. Survival and growth of Listeria monocytogenes on lettuce as influenced by shredding, chlorine treatment, modified atmosphere packaging and temperature. J. Food Sci. 1990, 55, 755–758. [Google Scholar] [CrossRef]
- Ming, X.; Weber, G.H.; Ayres, J.W.; Sandine, W.E. Bacteriocins applied to food packaging materials to inhibit Listeria monocytogenes on meats. J. Food Sci. 1997, 62, 413–415. [Google Scholar] [CrossRef]
- Osek, J.; Lachtara, B.; Wieczorek, K. Listeria monocytogenes–how this pathogen survives in food-production environments? Front. Microbiol. 2022, 13, 866462. [Google Scholar] [CrossRef]
- Kawacka, I.; Olejnik-Schmidt, A.; Schmidt, M.; Sip, A. Effectiveness of phage-based inhibition of Listeria monocytogenes in food products and food processing environments. Microorganisms 2020, 8, 1764. [Google Scholar] [CrossRef] [PubMed]
- Hantus, C.E.; Moppel, I.J.; Frizzell, J.K.; Francis, A.E.; Nagashima, K.; Ryno, L.M. L-rhamnose globally changes the transcriptome of planktonic and biofilm Escherichia coli cells and modulates biofilm growth. Microorganisms 2024, 12, 1911. [Google Scholar] [CrossRef] [PubMed]
- Barbosa, L.N.; Rall, V.L.M.; Fernandes, A.A.H.; Ushimaru, P.I.; da Silva Probst, I.; Fernandes, A., Jr. Essential oils against foodborne pathogens and spoilage bacteria in minced meat. Foodborne Pathog. Dis. 2009, 6, 725–728. [Google Scholar] [CrossRef] [PubMed]
- Casalini, S.; Baschetti, M.G.; Cappelletti, M.; Guerreiro, A.C.; Gago, C.M.; Nici, S.; Antunes, M.D. Antimicrobial activity of different nanocellulose films embedded with thyme, cinnamon, and oregano essential oils for active packaging application on raspberries. Front. Sustain. Food Syst. 2023, 7, 1190979. [Google Scholar] [CrossRef]
- Mith, H.; Dure, R.; Delcenserie, V.; Zhiri, A.; Daube, G.; Clinquart, A. Antimicrobial activities of commercial essential oils and their components against food-borne pathogens and food spoilage bacteria. Food Sci. Nutr. 2014, 2, 403–416. [Google Scholar] [CrossRef] [PubMed]
- Webb, L.; Ma, L.; Lu, X. Impact of lactic acid bacteria on the control of Listeria monocytogenes in ready-to-eat foods. Food Qual. Saf. 2022, 6, fyac045. [Google Scholar] [CrossRef]
Disclaimer/Publisher’s Note: The statements, opinions and data contained in all publications are solely those of the individual author(s) and contributor(s) and not of MDPI and/or the editor(s). MDPI and/or the editor(s) disclaim responsibility for any injury to people or property resulting from any ideas, methods, instructions or products referred to in the content. |
© 2025 by the authors. Licensee MDPI, Basel, Switzerland. This article is an open access article distributed under the terms and conditions of the Creative Commons Attribution (CC BY) license (https://creativecommons.org/licenses/by/4.0/).




