Abstract
Food deserts have emerged as sources of urban crises around the world. The lack of access to healthy food has rendered health inequities that have been made more visible by the devastating effects of COVID-19 on the populations experiencing food insecurity and healthy food access. Research is posed to fight food deserts through innovation and technology; specifically, through the development of corner store grocery markets with integrated agricultural greenhouses in such a way as to both provide access to healthy foods at reasonable cost to better meet nutritional needs, and significantly reduce operating costs. The posed technology includes a combined heat and power (CHP) system to reduce overall energy costs by meeting the partial electric and thermal loads required within the store and the connected greenhouse. A mathematical model is developed to control the operation of the CHP system and to dispatch the generated electric power to the store and the thermal energy to the greenhouse to minimize overall energy requirements. The model is applied to an ambient environment representing a heating-dominant climate. Results indicate the potential to reduce operating costs by 55% in a heating-dominant climate.
1. Introduction
1.1. Food Deserts
According to United States Department of Agriculture (USDA), food deserts are defined as low-income tracts where a significant number of the population has little or no access to supermarkets [1]. The existence of food deserts in urban areas in the United States has become an increasing problem over the past two decades. Large grocers have abandoned these areas all over the United States, leaving residents of low-income communities with no access to affordable and healthy food options. The extent of this problem is huge. Two million people of all USA households live more than a mile from the nearest supermarket [2]. A 2012 USDA study revealed a far worse situation, where 23 million people lacked access to healthy food options [1]. Another USDA report in 2019 showed again an escalation of the problem [3]. The report estimated that 54.4 million residents of low income live more than one half mile from the nearest groceries, with 19.3 million low-income residents living more than one mile away.
However, recent closings by major national grocers illuminates a continued worsening of this problem. In 2018, the national grocery chain Krogers shut down approximately 41 of its stores [4]. Most of these stores were located in vulnerable communities throughout the country. In 2019, Walmart, another large retailer company chain in the US, likewise announced closings of 154 stores [5]. And now in 2020, COVID-19 has apparently added salt to the already festering wound. There is also evidence that food accessibility challenges have grown. Feeding America study dated 19 May 2020 found spikes in food insecurity across the country [6]. Foodbanks, an emergency food sources for people in food-insecure regions, reported significant rises. The extent of the problem could increase by 17.1 million as a result of COVID-19.
In the context of closing supermarkets, corner stores of various types have moved into the food desert areas to provide food access. Generally, corner stores with an area of 500 or less are located to be accessible for all residents within walking distance. Such stores generally do not provide access to healthier foods as a more prominent level of corner store’s profits originates from snack food, cigarettes, and beer.
Another distinguishing trait of food deserts is that they are mostly found in black and brown communities [7]. For example, in the city of Detroit, which is 83% African American and 8% Latino, there is no major chain supermarket [8]. In Chicago, minorities in poor neighborhoods have no access to nearby supermarkets as well. Residents of these neighborhoods have to travel far to get to healthy food markets compared to white neighborhoods. Residents of predominantly African American neighborhoods in Washington D.C. have one supermarket for every 70,000 residents as compared with one supermarket for every 12,000 residents in predominantly white neighborhoods [8]. Also, predominantly white residents’ communities in Los Angeles have 3.2 and 1.7 times as many supermarkets compared with African American and Latino communities, respectively [8]. The racial disparity in having access to healthy food is disconcerting.
Clearly, COVID-19 has illuminated the health disparities that were already present in food desert communities. As of 25 June 2020, the data for age-adjusted hospitalization rates tells a sad story for Black and Hispanic or Latino people [9]. The hospitalization rates for those people is approximately 5 times higher as compared with non-Hispanic white people. What is more common among the affected people is that most of them live in food desert areas. Losing access to healthy food makes people in food desert areas adopt a cheap and unhealthy diet, which according to a study leads to serious health consequences such as obesity and choric diseases [10]. With the spread of COVID-19 and having one or more chronic diseases, this put people living in food deserts at higher risk of severe illness.
1.2. Healthy Corner Market Initiatives
In the context of corner markets being the places where those in food deserts shop for food, efforts have been directed to enable corner stores to promote and sell healthier food. For example, the Center for Farmland Policy Innovation at the Ohio State University was able to gather information from interviews on best practices for creating and establishing healthy corner stores [11]. The impact of this effort was to establish a best practice framework for operating corner markets with healthy food access. The results of this effort are unknown at this time. Another initiative is Healthy on the Block coordinated by the Strategic Alliance for Health (SAH) of the Boston Public Health Commission (BPHC) [12]. It aims to assist corner store owners in East Boston and Mattapan to be able to offer affordable healthier food options. Strategies to increase both demand and supply are the two categories that are being recommended to developing a sustainable corner store initiative.
The national Healthy Corner Stores Network, initially established by The Food Trust in cooperation with ChangeLab Solutions and Urbane Development, has sought to increase the accessibility of healthy food to residents who live in food deserts through small-scale groceries [13]. Their process for change first seeks to connect community members, local governments, and local nonprofit organizations within individual cities in an effort to establish city-wide healthy food corner markets.
In addition, the Healthy Food Financing Initiative was launched with the aid of the Obama administration, in partnership with the U.S. Departments of Treasury, Agriculture and Health, and Human Services [14]. The goal of this initiative was to provide financial support to small food retailers, including corner stores and farm markets, in order for them to sell healthy food in underserved areas. In addition, the Healthy Food Financing Initiative supported by the US Congress was launched in order to increase the accessibility of healthy foods in low income areas [15]. The US Congress allocated $125 million to boost farm resources in low income communities.
The Fresh Food Financing Initiative (FFFI) that was launched in Pennsylvania aims to encourage stores in underserved communities to sell healthy and nutritious foods [8]. The initiative has targeted urban and rural communities by providing grants of up to $250,000. The Initiative has subsidized 88 healthy food market projects, providing healthy food access to about half a million people. In addition, Washington D.C.’s Healthy Corner Store Program has successfully lured independent retailers to promote healthier foods by providing a financial fund for corner stores to help them sell healthy foods [8]. Moreover, the Youthmarkets Program that was initiated by Children’s Aid Society with partnership from the Council on the Environment has aimed to help low-income communities get access to healthy foods by bringing fresh foods into schools [8].
As a last example, in Chicago, former Mayor Rahm Emanuel instituted policies leading to the opening of five farmers markets within the city’s lowest wealth neighborhoods [16]. This was done with an end goal to expand access to healthy foods for 400,000 residents in Chicago.
1.3. Local Food Production
A number of studies have suggested that the best approach to combat the food desert problem is by developing a local food system not reliant on large retailers. For example, a policy analysis of two potential solutions to address the problem was conducted for the Lower Ninth Ward of New Orleans, Louisiana. The selected neighborhood is categorized as a food desert with predominantly black, low income residents. The two proposed solutions called for: (1) bringing a supermarket to the underserved community; and (2) developing a local, independent food system incorporating farmers’ markets, community gardens, and other forms of supported agriculture within the community. The study argued that it is more effective and practical to address the food deserts problem through developing local food systems and not only relying on large retailers [17].
Along the same lines, a nonprofit social organization called The Trap Garden was established in Nashville, Tennessee, with the aim to provide a sustainable source of healthy and high-quality foods that service insecure communities. Robert Horton, the leader of the organization and a resident in a food deserts area, organized a community garden structure to provide food assistance in the form of vegetables and herbs to other residents in the community lacking access to healthy foods [18]. The ‘localness’ of this organization helped to inspire and motivate residents to not rely on corner stores and fast food restaurants for generally unhealthy food but to seek other alternatives.
Moreover, the Seeding Farm initiative sought to address South Dallas’ (Texas, USA) food desert through low-cost gardening [19]. One of the goals of this initiative has been to facilitate local agricultural production by helping residents overcome some of the barriers that are encountered in beginning to farm locally. Seasonal fruit and vegetables along with personal advice are provided by the Seedling Farm in order to boost garden yield and support growth of other business. Likewise, Oakland, CA; and Memphis, TN, initiatives have concentrated on progressively making urban farming more feasible and profitable for residents in low-income communities. These initiatives have also focused on training young farmers in sustainable agri-business. The effect of this effort, according to the Union of Concerned Scientists, is that 48% of vegetables consumed in Oakland city came from local agriculture [20]. As one final example, an interesting study published by Wang et al. [21] explored the role of community gardens and farmers’ markets in relieving food desert problems in Edmonton, Alberta, Canada. They found that community gardens and farmers’ markets can indeed increase the accessibility of healthy food and relieve food desert problems.
1.4. Barriers to Healthy Food in Corner Markets
In this context, there are local and national initiatives to bring healthy food to corner markets. However, there are significant barriers to these initiatives. One, it takes time to establish a market for healthier foods in areas where people have not been even exposed to the need for healthier diets and may not know how to prepare healthier meals. This barrier renders economic infeasibility for healthy foods. Second, the certain small amount of healthy food sales from a single market makes it very difficult to attract food distributors willing to sell healthy food products to corner markets. Food distributors prefer to deal with larger businesses rather than small enterprises. Practically, 50% of store owners with weekly gross income less than $10,000 found the minimum purchase to be an enormous financial barrier to purchasing healthier foods. If store owners order less than the minimum purchase requirement set by food distributors, they have to pay for extra fuel charges. As a result, there is usually limited selection of healthy food offerings delivered to their stores. [22]. As a result of this barrier, often, in order to provide customers healthy food options, corner market retailers purchase food at a local supermarket. The cost to their customers for such food is prohibitively high. Third, the profit margins for corner markets are slim. The difficulty in purchasing healthier foods at reasonable cost and in selling to a market not ready for adoption makes this initiative difficult to move forward at scale. Given that corner stores run on extremely low profit margins, any increase in operational costs, which would be the case were refrigerated cases to display healthy food added to the stores, makes healthy food addition unlikely. Fourth, just having healthy food in the store does not mean that it will be purchased. Residents may not understand the healthy benefits of such food and they may not know how to cook with. If the healthy food is not seen by the community as having a local food connection, it is harder to sell.
2. Literature Review
2.1. Different Variants of Combined Heat Power (CHP)
Mukhopadhyay investigated the potential use of a combined heat power (CHP) system for a grocery store [23]. For their system, the grocery was considered to be part of a community energy system; the excess heat from the CHP could be employed in other buildings. The energy savings was found to be 50% and the economic payback is 4–7 years. To increase the utilization of the CHP, Maidment et at. proposed that waste heat from the CHP unit might be utilized to power an absorption refrigeration system providing cooling for the display case cabinets in a typical supermarket [24]. Energy-saving and the investment cost of the proposed system was compared to conventional supermarket technology. The proposed system was capable of reducing emission by 50%, and the overall savings within optimized CHP was 15%.
Another study considered a small scale combined cold, heat, and power (CCHP) application in a supermarket located in a heating-dominated climate. Actual performance of the CCHP was measured and compared to a conventional system. The study concluded that the annual energy saving for heating purposes is 720,000 kWh while in cooling purpose the saving is 156,000 kWh [25].
Another variation of the CHP was addressed in a study of a micro-gas turbine-based tri-generation system in a 30,000 ft2 supermarket [26]. The system was evaluated based on the overall efficiency, environmental impact at various operating strategies, and costs. The results indicated that utilizing tri-generation in supermarkets in place of conventional systems is a promising technology due to its economic and environmental benefits.
2.2. Use of Waste Heat in Agriculture Greenhouse
Several studies have been conducted to investigate the possibilities of utilizing waste heat for heating a greenhouse. One considered the use of waste heat from a chair manufacturing plant located in northeastern Italy for heating a greenhouse [27]. This study demonstrated the economic viability of the greenhouse when thermal energy that would ordinarily be wasted is redirected to provide heating for the greenhouse. Parker and Kiessling conducted yet another study using low-grade heat waste to provide heat for a greenhouse [28]. They concluded that waste heat from particularly power plants is abundant and utilizing this heat for growing plants can not only reduce the carbon impact of the plants, but also have a positive impact on the overall global food system. Last of all, a Denmark study demonstrated the economic feasibility of using industrial waste heat for heating greenhouses [29]. The author indicated that a cooperative has been established by greenhouse farmers to use waste heat from a nearby combined heat and power station. The greenhouse cooperative was able to save 65,000 tons of heavy oil annually that was previously used for heating.
2.3. Hybrid System for Greenhouse Application
Many studies have been conducted to address the high heating requirement in an agriculture greenhouse. For example, a hybrid system consists of a solar heat collector, an auxiliary fossil heating unit, and hot water storage was proposed by Kyan et al. [30]. A mathematical model of the proposed system was constructed to predict the thermal demand of the greenhouse. The simulation for their system was carried out using meteorological data for Turkey. Results indicated that the system is economically attractive. Also, a low-cost seasonal soil heat storage system (SSSHS) was proposed by Zhang et at. [31] to lower the energy heating cost. The performance of the proposed system was simulated using TRNSYS software. During operation, solar energy is stored in the soil under the greenhouse. The stored energy during diurnal hours is used to heat the greenhouse at night. Results indicated that the energy savings of the SSSHS were 27.8 kWh/m2-year Along the same line, El-Maghlany et al. examined analytically the amount of solar energy capture by the greenhouse surface [32]. The uniqueness of this study was to determine the optimum elliptic curved surface that maximizes solar gain to the greenhouse. Results show that heating cost savings are $50.9/m2 at the optimum curved surface.
2.4. Summary of Research and Development
Bringing in new groceries or creating larger community-based groceries in food insecure areas at best comes with much cost. The fact is that corner markets are already in these places. There just need to be healthy food options in these types of stores. Most of the previous initiatives addressing this need have been from non-technology perspectives. In this study, we specifically focus on utilizing technology to address simultaneously two of the barriers to healthy food options in corner markets, namely, the barriers associated with higher operating costs and providing financially viable access to healthy food. To this end, for heating-dominated climates, we propose a model for a corner market with an integrated greenhouse to provide year-round access to locally grown food, leveraging a combined heat and power system (CHP) to reduce overall energy costs by meeting the partial thermal and electric loads required within the store and the connected greenhouse integration system.
The agricultural greenhouse would provide a local food system that is visible and accessible to all residents relying upon the store for food purchases. Residents would ideally also be part of the growing and could be involved in showcasing the cooking of the healthy food produced to community members. Second, this greenhouse provides a space that improves the economic value of a CHP by providing an outlet for the thermal power produced. As importantly, the capital and installation expense of a CHP unit and other auxiliary equipment are high but can in part be offset from the sales of food produced in the greenhouse.
Previous research has been presented by the authors that looked at the economic benefits of utilizing a solar dehumidification system with heating, ventilation, and air conditioning (HVAC) in a typical corner store [33]. The proposed system was designed to help corner stores reduce operating costs in order to affordably provide access to healthy food. The results from this study showed that the energy required in corner stores could be reduced by up to 50% as compared with a typical corner store.
This present study builds on this previous work by considering two additional systems in a corner market model [33]: namely, a CHP and a connecting agriculture greenhouse. The CHP linkage to the greenhouse is obvious. Waste heat from a CHP can be used to heat the greenhouse in the winter. No studies to date have considered integrating a CHP with an agriculture greenhouse for corner market.
The specific objectives of this study are to:
- Demonstrate the feasibility of integrating a micro-CHP, thermal storage tank, and an agricultural greenhouse into a typical corner store in a heating-dominated climate.
- Optimize the cost of a combined CHP, storage tank, and greenhouse floor area.
- Develop an optimal solution of the combined system that leads to maximum crop yields continuously throughout the year.
3. Methodology and Model Descriptions
Combined heat and power is a reliable source of energy wherein heat and power can be generated simultaneously. In this study, the base case model developed in a previous study [33], which represents a typical corner store energy in term of geometry and energy characteristics, is considered. A CHP system and agriculture greenhouse are applied to this model. This system is illustrated in Figure 1. It contains four sub-systems and a control algorithm. These sub-systems include the physical model of the typical corner store which define the electrical and thermal loads for a typical weather year, the CHP system, the thermal storage unit, and an agricultural greenhouse. The purpose of the thermal storage systems is to store the excess thermal energy produced by the CHP system.
Figure 1.
Layout of the integrated system.
The black line in Figure 1 represent the outlet power produced by the CHP while the dashed line is a request to drew power from the grid. Grid power is used when the CHP system cannot cover the thermal and electric energy in the store and the connected greenhouse. The blue and red lines in Figure 1 represent respectively the electric and thermal flows, while the dashed lines represent the dynamic feedback demands for the store and greenhouse flowing to the energy management systems (control unit) responsible for the energy dispatching. This feedback demand is used to control the dispatching algorithm for the CHP unit. This dispatching algorithm is detailed in Section 3.3.
3.1. Corner Store Electric Load Profile
To determine the possible benefit of the proposed system for energy savings and increased sales on corner stores, an assessment of the hourly power demand is made for a typical corner store for a typical weather year for the city of Dayton, OH. The physical and geometrical properties associated used in the simulation is presented in Table 1. MATLAB Simulink is utilized to estimate the hourly power demand for the corner store. The predicted energy intensity for the corner store reflect the benchmark energy intensities reported in [34,35]
Table 1.
Geometrical and energy characteristics for baseline typical corner store model [33].
Dynamic hourly simulation results from the typical corner store defined in [33] are reported using typical weather data for Dayton, OH, for a representative heating-dominant climate with 5708 heating degree days and 886 cooling degree days. It is clear from Figure 2 that during the winter season, i.e., from January to March, the power demand is higher due to the low ambient temperature. In the months of April and November, the average daily power demand is stable; 80% of the projected power demand in these months is driven by the baseline demand coming from refrigeration, lighting, and plug loads.
Figure 2.
Electric load profile corner store.
3.2. Greenhouse Load Profile
3.2.1. Physical Characteristics of the Greenhouse
Agriculture greenhouses are more commonly found in heating-dominated climates. Energy consumption in agriculture greenhouses present in heating-dominated climates, where the goal is to continue growing the same foods year-round, is enormous. According to a report published in [36], energy costs for greenhouses are considered the third highest cost behind labor and plant materials. Heating energy comprises 70 to 80% of the typical greenhouse energy consumption.
Table 2 shows the geometrical properties, internal temperature characteristics, and air, plant, and soil characteristics associated with the greenhouse considered in this study.
Table 2.
Physical characteristics and constants used in greenhouse model.
3.2.2. Mathematical Model for the Greenhouse
To estimate the heating load profile for an agriculture greenhouse, a mathematical model is constructed based on the first law of thermodynamics and heat transfer fundamentals. The following assumptions were made to estimate the heating loads:
- The greenhouse temperature is considered homogeneous and constant with time.
- Heat gain/lost to the ground is treated as quasi-steady, which means that the ground temperature is assumed nearly constant.
- The solar transmissivity for all greenhouse exterior panels is considered to be homogeneous.
The most impactful of these assumptions is the second one. The reality is that the ground temperature will change with season. At the beginning of the winter season, the ground temperature will be warmer than considered and heat losses to the ground will be over-estimated. At the end of the winter season, in contrast, the ground temperature will be cooler than treated and heat losses to the ground will be under-estimated. The net impact of this assumption over the course of the heating season is expected to balance out.
Based on these assumptions, an energy balance on the greenhouse yields the following equation:
where:
- ,
- = ventilation heat losses from the greenhouse,
- = short wave radiation absorbed by the greenhouse,
- = transpiration heat losses due to the crops, [40]
- = heat conduction to the soil, [41]
- long wave radiation heat losses,
- = rate of energy required to maintain the greenhouse at desired internal temperature set point.
3.2.3. Greenhouse Model Validation
In order to evaluate the validity of the model developed, Equation (1) was solved to evaluate the output demand of a greenhouse and to allow validation in relation to previous model developed by Ahamad MS et al. [38]. The heating requirement of a greenhouse having a surface area of 1125 was determined in their model. Figure 3 shows a comparison of the monthly heating loads in MJ/day predicted for a typical winter season using the Ahamed et al. model and the model developed herein. Apparent in this figure is that the current model tends to over-predict the heating energy predicted in [38] by roughly 15% because the supplemental heating from lighting and generators considered in [38] is ignored here. Additionally, in our model, we consider a dynamic model where the temperature band for the thermostat is assumed to be ±2 °C.
Figure 3.
Greenhouse model validation.
3.2.4. Greenhouse Heating Load Profile
Figure 4 shows the results of the dynamic hourly simulation of the greenhouse model using typical weather data for Dayton for a whole year. The annual variation of the heating demand is illustrated in this figure. During winter season, the heating demand for the greenhouse is significantly high. In this study, an attempt has been made to utilize the rejected heat from the CHP to cover up the heating demands.
Figure 4.
Hourly heating load profile for an agriculture greenhouse with floor area of for a typical weather year in Dayton, OH, USA.
3.3. CHP and Thermal Storage Loads
3.3.1. CHP and Thermal Storage Characteristics and Energy Flows
Table 3 shows the properties/characteristics defining the size, the energy flows to/from, and energy storage within the CHP and thermal storage units. In this study, the size of these units are variables to optimize.
Table 3.
List of variables of the combined heat and power (CHP) and thermal storage system [42].
The following assumptions associated with CHP system and thermal storage system have been made:
- Thermal losses of the storage tank to the ground are treated as quasi-steady, which means that the environmental temperature is assumed nearly constant.
- The operation of the CHP was controlled using an on/off controller.
- The CHP must run during peak time.
- Degradation effect of the CHP is neglected. The impact of this assumptions is expected to be small. Degradation of the CHP, were it to be included, could lower the electric energy produced by the CHP over its lifespan, thus causing an increase in thermal energy produced. Taccani et at. studied the performance analysis of a micro CHP system subject to degradation. They concluded that if heat is recuperated, the overall efficiency impact can be mitigated [43].
3.3.2. CHP and Thermal Storage Characteristics and Energy Flows
Determining the optimum operation and power algorithm dispatching (e.g., determines the optimal operation rules of the CHP) is indispensable for minimizing the overall cost of the system. In this section, a methodology is presented to identify an optimal energy management control that leads to the minimization of the two objective functions described in the previous section.
As depicted in Table 4, the CHP system requires a control algorithm that allocates the operation rules. This operation is governed by the hourly power demand of the corner store, as well as by the thermal demand in the greenhouse. A modification to the dispatching rules used by Alqaed et al. in their study is considered here [42]. In this case, the grid power is utilized to offset the CHP deficiency in meeting electric demand in the corner store and to cover the unmet thermal load in the greenhouse. The Alqaed et al. dispatching algorithm did not consider an agricultural greenhouse.
Table 4.
Energy dispatching rules for managing CHP, grid, and stored thermal energy.
Further, Table 4 presents the dispatching logic for managing the CHP system. It is beneficial to recognize the discrepancy between the corner store and the greenhouse peak loads when developing the dispatching algorithm. The peak load in the corner store generally occurs at midday while the greenhouse peak load happens at night and early morning. In line with this fact, the CHP is designed to run during the store peak hours to meet electric loads during the day, at which time the thermal energy is stored in the storage tank for later use in the greenhouse to meet thermal loads in the night time hours.
3.3.3. Optimization of CHP and Thermal Storage System
The section describes the model used to evaluate the economic benefits of a CHP system for a typical corner store, but with inclusion of an agriculture greenhouse and a thermal storage system. Two objective functions are considered. The first objective function is the total annual cost for supplying power (CT, $US/year), while the second objective is the cost of energy (COE, $US/kWh) over the lifetime of the investments. The purpose of the first objective function is to minimize the total annual cost of supplying power to the greenhouse and corner store. This power is a combination of the power sourced from the CHP system and from the grid. The second objective function dictates the cost of energy generated by the CHP over its lifetime, $/kWh. This includes all capital costs.
The overall cost of the system includes of the capital and installation cost of purchasing a CHP unit, greenhouse, and the thermal storage tank, amortized over time, as well as the cost of natural gas required to operate the CHP and the grid power needed to offset any demand not supplied by the CHP. The optimization model employed by Alqaed et al. is used to evaluate the first objective function [42]. In their model, the capital cost of the system was treated as an investment that would be paid back via a loan. The capital cost of the system is given by:
The investment cost of the is considered as $1500/ [44]. Likewise, the average investment cost of the greenhouse is $4/ [45] while the cost of storage is assumed to be $7.5/. The greenhouse revenue was not considered in this study, and the only consideration was given to maximizing the overall energy savings.
The capital cost is spread over the lifetime of the system, and the annual loan to be paid back is given by:
The first objective function is expressed as:
The second objective function is expressed as:
where L is the useful generated power of the CHP during the lifespan of the systems, considered here to be 20 years.
These two objectives were subject to following constraints:
The CHP size upper and lower bounds were selected based upon the following reasoning. The lower bound is associated with the CHP size required to meet the minimum electric demand within the corner store at all times. The upper bound is associated with the demand associated with peak store electrical demand and peak greenhouse heating demand. The storage tank size bounds were selected based upon the following rationale. An optimization with wider bounds was first completed. The storage tank volume range contributing to potential cost optimal solutions was determined. These bounds are shown above.
4. Results
4.1. Cost Optimization
The CHP size selection depends upon the desired ratio of electric to thermal load production. Generally, the best ratio is based on the average peak electric requirements, the ratio of the electric load to the thermal load, and the shape of the load profile.
The purpose of the cost optimization is to determine the optimum CHP and storage tank capacities which lead to the lowest operating cost. The objective functions (Equations (4) and (5)) are optimized using a genetic algorithm approach. Previous studies have proven this technique as being quite robust in dealing with non-linear and multi-objective optimization problems [46,47].
The main characteristics of a single optimization problem is that there is only one solution to the single objective function. Conversely, there is no single optimal solution to a multi-objective optimization problem, but rather a set of optimal solutions.
A demonstration of a multi-objective optimization Pareto curve is shown in Figure 5. Each point in the Pareto curve is an optimal solution to both objective functions. Designers must select the optimum design variables (CHP and storage tank capacities) needed to minimize both objective functions, the annual operation cost CT and the cost of energy COE. As shown in Figure 5, a low cost of energy (COE $/kWh) implies a high annual cost $/year. This is because as the size of the CHP decreases, energy costs decline while annual cost increases due to the need to use more grid energy. Conversely, if the CHP size is large, cost of energy (COE) is high (e.g., high capital expenditures), but the annual energy costs are low because of the low grid energy usage.
Figure 5.
Pareto curve optimal solution for objectives function.
In this study, the equations of the objective functions (4 and 5) are optimized using a MATLAB multi-objective optimization toolbox (gamultiobj). The selection function is set as tournament, and the stopping criteria were set as 1 × 10−6. Other parameters were left as default. The multi-objective optimization is an iterative process. The simulation terminated when the predetermined stopping criteria is met. Pareto curve optimal solution for the simulation is presented in Figure 5.
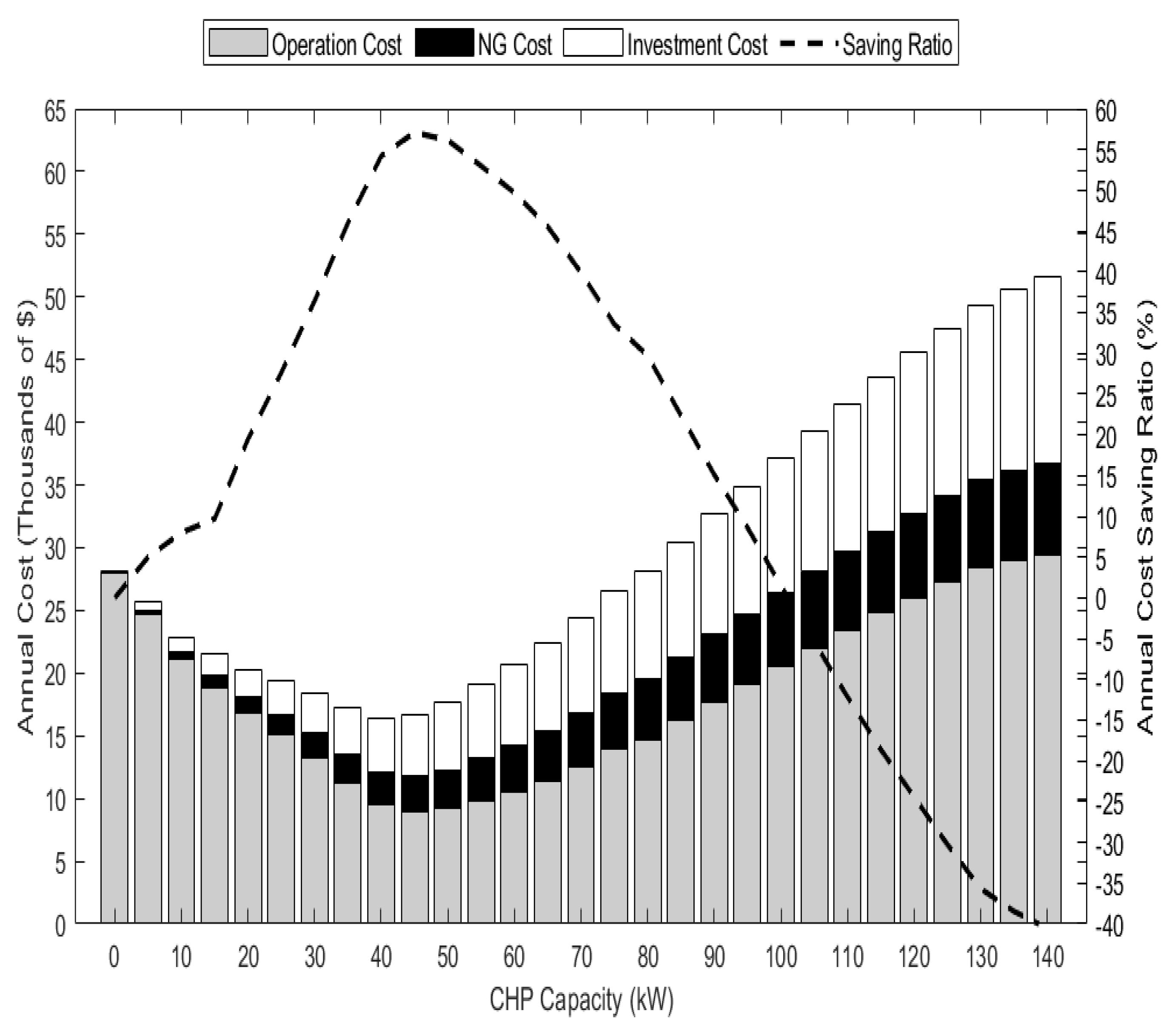
An exploration of the effect of the CHP capacity on annual cost is presented in Figure 6, where it shows different costs versus CHP capacity. The operating cost in this figure (grey bars) consists of the energy cost for both the corner store and greenhouse. The black bar represents the cost of natural gas needed to operate the CHP unit while the white bar illustrates the annual loan payment. This payment applied to capital purchase of the CHP, storage system, and greenhouse.
Figure 6.
Annual cost and savings ratio as a function of CHP capacity.
A closer look at this figure shows that the savings ratio, defined as the total reduction of the cost of energy, increases linearly until it reaches the maximum savings, at around 55%. The annual cost saving in this figure is compared to 100% grid power. Increasing the capacity of the CHP beyond 40 kW decreases the energy savings because of the increase of the investment and fuel cost. In addition, oversizing the CHP system leads to an increase in the annual operating cost. The situation is exacerbated when the CHP system is oversized as is illustrated in Figure 6. For example, if a CHP size of 100 kW or more is selected, the store owner will end up paying more than the original annual cost.
Based on the optimization result as shown in Figure 6, the best performance and energy saving ratio is obtained at the following conditions:
- CHP capacity is 40 kW
- Storage tank capacity is 80 kWh
- Greenhouse area is 312 m2
The size of the greenhouse plays an important role in determining the overall savings. Figure 7 shows the saving ratio of the optimal costs as a function of the greenhouse area. It is clear from this figure that the saving ratio decreases as the size of the greenhouse increases. The reason for this is that the thermal demand begins to dwarf the electrical demand; thus, the CHP is primarily used to support the thermal load. The thermal load of the greenhouse is proportional to the floor size; a larger floor area implies higher thermal demand.
Figure 7.
Savings ratio as a function of CHP capacity and greenhouse area.
The operation of the CHP was controlled using an on/off controller. The dynamic operation of the CHP using the dispatching algorithm defined in Section 3.3 is shown in Figure 8, which depicts the hourly demand (corner store electric demand (blue), total demand including the thermal demand in greenhouse and electric demand in corner store (black), and CHP power dispatching (green)) for two months. During operation, the CHP supplies electric energy to the market and thermal energy to the greenhouse. If the thermal output of the system is more than the greenhouse demand, the extra thermal energy will be diverted to the storage tank for later use. As mentioned before, the dispatching of the CHP varies seasonally. In winter, supporting the thermal load in the greenhouse is a priority. In the summer, the thermal demand of the greenhouse drops significantly. Thus, in warm months, the electric demand to the market is the priority.
Figure 8.
Dynamic activation of the CHP along with store and overall demand.
Bar graph illustrations of the monthly load for the store and the connected greenhouse are presented in Figure 9. It is clear from this figure that the greenhouse load is substantially lower in the summer season. The electric load in corner store is almost consistent from month to month, since refrigeration equipment loads typically dominate. The baseline energy consumption inside the store, which represents more than 80% of the total energy consumption, is independent of the outdoor conditions. Conversely, the total load of the greenhouse varies seasonally from month to month.
Figure 9.
Monthly demand for corner store and greenhouse.
4.2. Sensitivity Analysis
A sensitivity analysis was performed to evaluate the importance of variation of the input parameters, including corner store demand, greenhouse demand, the size of the CHP, electric and natural gas unit prices on the annual operation cost (AOC), and the overall energy savings.
Figure 10 shows a plot of the AOC as a function greenhouse thermal demands, store electric demand, fuel price, and the size of the CHP. In this case, an examination of whether changing these parameters affects the AOC is examined. Apparent from this figure is that reducing the greenhouse thermal demand from the base case with fixed corner market electrical demand and fixed CHP size of 40 kW results in a decrease in the annual operating cost. In addition, it was observed that varying the store electric demand has a minor effect on overall cost as compared to variations in the greenhouse thermal loads. It is also apparent from this figure that the annual operation cost drops with decreasing store demand. However, a substantial reduction of the store electric demand without modifying the size of the CHP and greenhouse increases the annual operation cost. The reason for this is that lowering the store electric demand increases the ratio between thermal demand required by the greenhouse and the electric demand in the corner store. In addition, results indicated that the fuel price has a minor impact on the annual operation cost.
Figure 10.
Plot of annual operation cost (AOC) as a function of greenhouse thermal load, corner store electric load, CHP capacity, and the price of fuel.
Figure 11 illustrates the result obtained from the sensitivity analysis. The base case 1 represents the annual saving ratio of the selected CHP capacity, storage tank, and greenhouse area. In this figure, an exploration of the impact of varying store demand, greenhouse demand, and CHP size on the annual saving ratio of the system is analyzed. The annual saving ratio of the base case 1 is 55%. It was found that the varying the size of CHP from the base case 40 kW would decrease the savings ratio. This is due to the increase of grid power at lower CHP size and increase in the investment and fuel cost for a larger CHP size. In addition, varying the greenhouse area has a significant impact. Increasing the greenhouse area results in a decrease of annual saving, and vice versa. Also, it was observed that varying the store demand has an insignificant effect as compared with varying the size of the greenhouse. However, the saving ratio drops with decreasing store demand. This decrease is attributed to two main reasons. The first reason is that reducing the store electric demand and not modifying the size of the CHP system reduces the duty cycle of the CHP. In this case, an increase of the auxiliary heating and grid power are required to meet the energy demand of both greenhouse and corner store. The second reason is in the energy management strategy that was adopted in this study, which is illustrated in Table 4. This because the dispatching algorithm for the CHP has a significant impact on the overall cost.
Figure 11.
The sensitivity of varying greenhouse thermal demands, corner store electric demand, and CHP size on the saving ratio.
5. Discussion and Conclusions
The existence of food deserts is a problem that needs urgent attention nationwide. This problem has been a hot topic for scholars, social activists, and the government. Several solutions and concepts were introduced here to address this issue from different perspectives and disciplines.
This study presents a new method to fight food deserts by improving the cost effectiveness of corner markets—the places where many people shop for food in urban food deserts. A combined heat and power system for corner stores is posed. Further, to ensure access to local healthy food, we are integrating an agricultural greenhouse in the corner market ecosystem to insure a supply of healthy food to shoppers at reasonable cost. Fundamentally, the aim is to design the lowest-energy, economically feasible corner store with an integrated agriculture greenhouse. In this study, a combined heat and power (CHP) system is considered to reduce overall energy costs by meeting the partial thermal and electric loads required within the store and the connected greenhouse. To do this, a mathematical model is developed to control the operation of the CHP system and to dispatch the generated electric power to the store and the thermal energy to the greenhouse. The aim of the developed model is to ensure an energy-efficient management that leads to reduced overall energy costs.
The most significant result from this study is that the annual operation cost for a corner store can actually be reduced as a result of adding a CHP, thermal storage tank, and agricultural greenhouse. Energy costs were reduced by 55%, from $29,500 to $13,225. Moreover, these savings were based upon consideration of no additional revenue from food sales from the greenhouse. Given an assumed food sales revenue from the selected greenhouse of about $100.76/ [48], additional revenues of $31,437 per year could be realized. With a $16,000 reduction in energy costs and a possible increase in revenues derived from food sales from the greenhouse, a store’s profitability could be enhanced considerably. This could go a long way in establishing a healthy corner market and make agribusiness more feasible to small entrepreneurs.
To help corner stores affordably sustain access to healthy food from an economic standpoint, we proposed a hybrid integration of CHP, corner store, and agriculture greenhouse. Aside from energy savings, this design offers two main benefits. First, it offers a way of providing a local food network that is accessible and available to all residents who depend on the store to buy food. Secondly, food distribution, especially fresh foods, to corner stores has been deemed a real challenge. Food distributors generally do not prefer to deal with small businesses. Thus, this design might help residents of low-income communities to not rely on these distributors or large retailers to fix their problems.
About two-thirds of the energy produced by a conventional power plant is usually lost in the form of heat released into the atmosphere [49]. Aside from the low conversion efficiency of a conventional power plant, a portion of the energy output is lost due to transmission and distribution losses. In contrast, CHP is on-site power generation providing higher efficiency as compared with a conventional power plant. The rejected heat from the CHP can be utilized for space heating or domestic hot water. Thus, the overall efficiency of the CHP can reach up to 80%. Generally, most of the agriculture greenhouses located at heating-dominated regions rely on natural gas for heating purposes [49]. In this study, the rejected heat from the CHP is used to heat the greenhouse in cold months. The utilization of the heat recovery from the CHP eliminates the need to burn natural gas that is generally used for heating purposes in the greenhouse. This decreases the reliance on fossil fuel, which results in reducing the pollution.
The type of fuel has an impact on the overall emissions. Most of the modern CHP is powered by natural gas [50]. According to the Environmental Protection Agency, natural gas considers the cleanest type of fuels [51]. The emission levels of natural gas are far less than oil and coal. For example, the Carbon Dioxide emission for natural gas is less than 28% and 43% as compared with oil and coal, respectively [51]. Given an estimated emission of 2.21 from coal and 0.92 from natural gas and the estimated fuel mix for the electric power delivered in SW Ohio, USA [52], the annual greenhouse gas emissions savings for the proposed optimal system is 60%.
6. Future Work
This study presented a theoretical approach aimed at developing a lowest-energy corner store. The best contribution of this study to the knowledge is in designing an economic feasible corner market augmented with an agriculture greenhouse that could be planted in low income areas.
Future work could investigate the following aspects:
- Investigate experimentally the performance of the proposed system.
- System configuration plays a major role in determining the overall performance. Future research may explore the use of other renewable energy sources such as geothermal.
- The dispatching algorithm for the CHP system has significant impact on the overall annual operation cost. Future studies may consider different power management strategies and extend or modify the objective functions used in this study.
- The degradation impact of the presented technologies is neglected. Future studies need to consider the degradation effect of the CHP and quantify its impact on the overall energy savings.
- The CHP with integrated agricultural greenhouse system considered in this study was focused on a heating-dominant climate (e.g., a cold climate with heating degree day (HDD) >> cooling degree day (CDD). In this case, the rejected heat from CHP was used to cover the greenhouse thermal loads. However, in cooling-dominant climates, future studies might consider the feasibility of using the rejected heat from the CHP to drive the absorption cycle in an absorption chiller. Thus, the cooling loads in the corner store and an agriculture greenhouse might both be supported by a CHP system.
Author Contributions
Conceptualization, F.A.A. and K.P.H.; methodology, F.A.A. and K.P.H.; software, F.A.A. and S.A.A.; validation, F.A.A., S.A.A., and K.P.H.; formal analysis, F.A.A., K.P.H., S.A.A., and R.B.M.; investigation, F.A.A. and K.P.H.; resources, F.A.A., K.P.H., and S.A.A.; writing—original draft preparation, F.A.A.; writing—review and editing, K.P.H., R.B.M., and S.A.A.; visualization, F.A.A., R.B.M., and K.P.H.; supervision, K.P.H. and R.B.M. All authors have read and agreed to the published version of the manuscript.
Funding
This research received no external funding.
Conflicts of Interest
The authors declare no conflict of interest.
Abbreviations
List of Symbols
| Estimated overall thermal conductivity of the greenhouse | W/(K) | |
| thermal conductivity of soil | W/(K) | |
| Stefan-Boltzmann constant | ||
| soil temperature | °C | |
| outdoor temperature | ||
| long wave transmission | - | |
| solar transmissivity | - | |
| leaf area index | - | |
| aerodynamic resistances of the leaves | s/m | |
| depth of underground soil | m | |
| ACH | number of air change per hour | 1/hr |
| CHP capacity | kW | |
| hot water tank thermal storage capacity | kWh | |
| hourly store electric demand | kWh | |
| hourly CHP electrical output | kWh | |
| hourly CHP thermal output | kWh | |
| electrical conversion efficiency for CHP | - | |
| thermal conversion efficiency for CHP | - | |
| hourly amount of thermal energy stored in thermal storage tank | kWh | |
| R | hourly hot water released from thermal storage tank | kWh |
| hourly thermal energy produced by CHP delivered to the greenhouse | kWh | |
| hourly electric energy produced by CHP delivered to the store | kWh | |
| hourly greenhouse thermal load | kWh | |
| Tank capitol cost per kwh | ||
| NG | Yearly cost of natural gas | $/year |
| Gr | Construction cost of the greenhouse | $/ |
| Lifetime of the system | Years | |
| I | Loan interest rate | - |
| Total annual system cost | $ |
References
- Dutko, P.; Ploeg, M.V.; Farrigan, T. Characteristics and Influential Factors of Food Deserts. Available online: https://www.ers.usda.gov/webdocs/publications/45014/30940_err140.pdf (accessed on 8 September 2020).
- Ploeg, M.V.; Breneman, V.; Farrigan, T.; Hamrick, K.; Hopkins, D.; Kaufman, P.; Lin, B.-H.; Nord, M.; Smith, T.; Williams, R.; et al. Access to Affordable and Nutritious Food: Measuring and Understanding Food Deserts and Their Consequences. Available online: https://www.ers.usda.gov/webdocs/publications/42711/12716_ap036_1_.pdf (accessed on 8 September 2020).
- USDA ERS Documentation. Available online: https://www.ers.usda.gov/data-products/food-access-research-atlas/documentation/ (accessed on 8 September 2020).
- Coolidge, A.C.S. Jesse Jackson Calls to Expand Kroger Boycott over Its Shuttering of Stores in Minority Neighborhoods. Available online: https://www.usatoday.com/story/money/nation-now/2018/04/10/jesse-jackson-kroger-protest/502688002/ (accessed on 8 September 2020).
- Walmart to Shutter 269 Stores, with Most Located in the US. Available online: http://www.theguardian.com/business/2016/jan/15/walmart-closing-store-employee-brazil (accessed on 8 September 2020).
- The Impact of Coronavirus on Food Insecurity Feeding America. Available online: https://www.feedingamerica.org/research/coronavirus-hunger-research (accessed on 8 September 2020).
- Food Empowerment Project. Available online: https://foodispower.org/shame-on-safeway-and-albertsons/ (accessed on 8 September 2020).
- Unshared Bounty: How Structural Racism Contributes to the Creation and Persistence of Food Deserts. Available online: https://digitalcommons.nyls.edu/cgi/viewcontent.cgi?article=1002&context=racial_justice_project (accessed on 8 September 2020).
- CDC Coronavirus Disease 2019 (COVID-19). Available online: https://www.cdc.gov/coronavirus/2019-ncov/covid-data/investigations-discovery/hospitalization-death-by-race-ethnicity.html (accessed on 8 September 2020).
- Living in a Food Desert: How Lack of Access to Healthy Foods Can Affect Public Health Notes From NAP. Available online: https://notes.nap.edu/2011/01/25/living-in-a-food-desert-how-lack-of-access-to-healthy-foods-can-affect-public-health/ (accessed on 8 September 2020).
- Benson, N.; Clark, J. Healthy Corner Stores; The Ohio State University: Columbus, OH, USA, 2011; p. 20. [Google Scholar]
- Healthy on the Block Healthy Corner Store Toolkit. Available online: https://bphc.org/whatwedo/healthy-eating-active-living/healthy-on-the-block/Documents/Healthy_On_The_Block_Toolkit.pdf (accessed on 8 September 2020).
- Healthy Corner Stores Network. Available online: http://thefoodtrust.org/administrative/healthy-corner-stores-network (accessed on 8 September 2020).
- Obama Administration Details Healthy Food Financing Initiative. Available online: https://www.treasury.gov/press-center/press-releases/Pages/tg555.aspx (accessed on 8 September 2020).
- Reps. Evans and Fudge Introduce Bill to Reauthorize the Healthy Food Financing Initiative. Available online: https://evans.house.gov/media-center/press-releases/reps-evans-and-fudge-introduce-bill-reauthorize-healthy-food-financing (accessed on 9 September 2020).
- Yanamandra, N. Food Deserts, Food Hubs, and Farmers Markets in Arizona an Analysis of Proximity and Potential for Increasing Food Access; Arizona State University: Tempe, AZ, USA, 2015. [Google Scholar]
- Anderson, E.; Cushing, B.; Davis, A. Watering the Food Desert: A Policy Analysis of Urban Food Access Disparities in the Lower Ninth Ward, New Orleans. Available online: https://d31kydh6n6r5j5.cloudfront.net/uploads/sites/75/2019/05/Anderson_Cushing_and_Davis.pdf (accessed on 9 September 2020).
- Clark, M. Bringing Hope to Food-Insecure Communities. Available online: https://socialenterprise.us/2018/08/31/urban-farming-bringing-hope-to-food-insecure-communities/ (accessed on 8 September 2020).
- Rankin, B. Another Angle in the Fight to Fix South Dallas’ Food Desert: Low-Cost Gardening. Available online: https://www.dallasobserver.com/restaurants/the-seedling-farm-wants-to-fix-a-south-dallas-food-desert-through-low-cost-gardening-10068193 (accessed on 8 September 2020).
- What 5 Cities Are Doing to Change the Way America Eats. Available online: https://nextcity.org/daily/entry/five-cities-food-justice-american-food-deserts-solutions (accessed on 8 September 2020).
- Wang, H.; Qiu, F.; Swallow, B. Can community gardens and farmers’ markets relieve food desert problems? A study of Edmonton, Canada. Appl. Geogr. 2014, 55, 127–137. [Google Scholar] [CrossRef]
- Behjat, A. Exploring the Geography of Food Deserts and Potential Association with Obesity in Rural British Columbia. Ph.D. Thesis, University of Victoria, Greater Victoria, BC, Canada, 2016. [Google Scholar]
- Mukhopadhyay, J. An Analysis of Energy Consumption in Grocery Stores in a Hot and Humid Climate. Ph.D. Thesis, Texas A&M University, College Station, TX, USA, 2013. [Google Scholar]
- Maidment, G.; Tozer, R. Combined cooling, heat and power (CCHP) in Supermarkets. Heat Powered Cycles. 2001, 1, 653–665. [Google Scholar] [CrossRef]
- Navarro-Esbrí, J.; Molés, F.; Peris, B.; Mota-Babiloni, A.; Pascual Martí, J.; Collado, R.; González, M. Combined cold, heat and power system, based on an organic Rankine cycle, using biomass as renewable heat source for energy saving and emissions reduction in a supermarket. Energy Procedia 2017, 129, 652–659. [Google Scholar] [CrossRef]
- Sugiartha, N.; Chaer, I.; Tassou, S.A.; Marriot, D.; Marriot, D. Assessment of a Micro-Gas Turbine based Tri-generation System in a Supermarket. In Proceedings of the International Conference on Fluid and Thermal Energy Conversion, Jakarta, Indonesia, 10–14 December 2006; pp. 1–12. [Google Scholar]
- Chinese, D.; Meneghetti, A.; Nardin, G. Waste-to-energy based greenhouse heating: Exploring viability conditions through optimisation models. Renew. Energy 2005, 30, 1573–1586. [Google Scholar] [CrossRef]
- Parker, T.; Kiessling, A. Low-grade heat recycling for system synergies between waste heat and food production, a case study at the European Spallation Source. Energy Sci. Eng. 2016, 4, 153–165. [Google Scholar] [CrossRef]
- Vourdoubas, J. Possibilities of Using Industrial Waste Heat for Heating Greenhouses in Northern Greece. J. Agric. Sci. 2018, 10, 116. [Google Scholar] [CrossRef]
- Kiyan, M.; Bingöl, E.; Melikoǧlu, M.; Albostan, A. Modelling and simulation of a hybrid solar heating system for greenhouse applications using Matlab/Simulink. Energy Convers. Manag. 2013, 72, 147–155. [Google Scholar] [CrossRef]
- Zhang, L.; Xu, P.; Mao, J.; Tang, X.; Li, Z.; Shi, J. A low cost seasonal solar soil heat storage system for greenhouse heating: Design and pilot study. Appl. Energy 2015, 156, 213–222. [Google Scholar] [CrossRef]
- El-Maghlany, W.M.; Teamah, M.A.; Tanaka, H. Optimum design and orientation of the greenhouses for maximum capture of solar energy in North Tropical Region. Energy Convers. Manag. 2015, 105, 1096–1104. [Google Scholar] [CrossRef]
- Almehmadi, F.A.; Hallinan, K.P. Performance Analysis of an Integrated Solar Dehumidification System with HVAC in A Typical Corner Store in the USA. Sustainability 2020, 12, 4068. [Google Scholar] [CrossRef]
- Ferreira, A.; Pinheiro, M.D.; de Brito, J.; Mateus, R. Combined carbon and energy intensity benchmarks for sustainable retail stores. Energy 2018, 165, 877–889. [Google Scholar] [CrossRef]
- Ambach, G.; Dickenson, R.; Dvorak, B.; Kelly, N.; Samuelson, C.; Jogwuia, V. Improving Energy Efficiency in Convenience Stores. Available online: http://www.michaelsenergy.com/PDFs/36538-Michaels-2013-Conv-Store.pdf (accessed on 8 September 2020).
- Sanford, S. Reducing greenhouse energy consumption—An overview. Energy 2011, 3907, 1–16. [Google Scholar]
- Fabrizio, E. Energy reduction measures in agricultural greenhouses heating: Envelope, systems and solar energy collection. Energy Build. 2012, 53, 57–63. [Google Scholar] [CrossRef]
- Ahamed, M.S.; Guo, H.; Tanino, K. A quasi-steady state model for predicting the heating requirements of conventional greenhouses in cold regions. Inf. Process. Agric. 2018, 5, 33–46. [Google Scholar] [CrossRef]
- Effat, M.B.; Shafey, H.M.; Nassib, A.M. Solar greenhouses can be promising candidate for CO2 capture and utilization: Mathematical modeling. Int. J. Energy Environ. Eng. 2015, 6, 295–308. [Google Scholar] [CrossRef]
- Shen, Y.; Wei, R.; Xu, L. Energy consumption prediction of a greenhouse and optimization of daily average temperature. Energies 2018, 11, 65. [Google Scholar] [CrossRef]
- Tunc, M.; Venart, J.E.S.; Sollows, K. Bivalent (hybrid) heat pump-oil heating systems for greenhouses. J. Heat Recovery Syst. 1985, 5, 483–491. [Google Scholar] [CrossRef]
- Alqaed, S.; Hallinan, K.P. Developing a Cost-Optimal Retrofit Chp System for Multi-Family Buildings Using Historical Demand. Int. J. Adv. Res. 2017, 5, 1786–1800. [Google Scholar] [CrossRef]
- Taccani, R.; Chinese, T.; Zuliani, N. Performance analysis of a micro CHP system based on high temperature PEM fuel cells subjected to degradation. Energy Procedia 2017, 126, 421–428. [Google Scholar] [CrossRef]
- Combined Heat and Power (CHP) | WBDG—Whole Building Design Guide. Available online: https://www.wbdg.org/resources/combined-heat-and-power-chp (accessed on 9 September 2020).
- Learn how much It Costs to Build a Greenhouse. Available online: https://www.homeadvisor.com/cost/outdoor-living/build-a-greenhouse/ (accessed on 9 September 2020).
- Yu, D.; Meng, Y.; Yan, G.; Mu, G.; Li, D.; Le Blond, S. Sizing combined heat and power units and domestic building energy cost optimisation. Energies 2017, 10, 771. [Google Scholar] [CrossRef]
- Kayo, G.; Ooka, R. Building energy system optimizations with utilization of waste heat from cogenerations by means of genetic algorithm. Energy Build. 2010, 42, 985–991. [Google Scholar] [CrossRef]
- Greenhouse Vegetables (Cucumber, Tomato, Lettuce) Crop Guide | Small Acreage Horticultural Crops. Available online: https://aggie-horticulture.tamu.edu/smallacreage/crops-guides/greenhouse-nursery/greenhouse-vegetables/ (accessed on 9 September 2020).
- US EPA. CHP Benefits. Available online: https://www.epa.gov/chp/chp-benefits (accessed on 9 September 2020).
- US EPA. What Is CHP? Available online: https://www.epa.gov/chp/what-chp (accessed on 9 September 2020).
- Natural Gas and the Environment NaturalGas.org. Available online: http://naturalgas.org/environment/naturalgas/#:~:text=Natural%20gas%2C%20as%20the%20cleanest,of%20pollutants%20into%20the%20atmosphere.&text=Natural%20gas%2C%20emitting%20fewer%20harmful,some%20of%20these%20environmental%20issues (accessed on 30 August 2020).
- Frequently Asked Questions (FAQs)—U.S. Energy Information Administration (EIA). Available online: https://www.eia.gov/tools/faqs/faq.php?id=74&t=11 (accessed on 9 September 2020).
© 2020 by the authors. Licensee MDPI, Basel, Switzerland. This article is an open access article distributed under the terms and conditions of the Creative Commons Attribution (CC BY) license (http://creativecommons.org/licenses/by/4.0/).










