Abstract
Agricultural total factor productivity (TFP) provides a measure of the efficiency of agricultural production, allowing for comparisons across time, countries and regions. Agricultural environmental total factor productivity not only considers the desired output, but also takes resource efficiency and environment friendliness into account. Using the Data Envelopment Analysis with slack-based measure (DEA-SBM) super-efficiency model, this research measures the agricultural environmental total factor productivity (ETFP) of 30 provincial regions in China. Based on the measurements, the spatial autoregressive (SAR) model and estimation method were used to empirically test the effects on the agricultural ETFP for the urban-rural income gap. The results indicated that from 2001 to 2017, agricultural ETFP in China grew at an average annual rate of 4.3%, and the technological progress and technical efficiency after decomposition increased by 3.6% and 5.9% respectively. The findings indicated that the agricultural ETFP growth has not only failed in narrowing urban-rural income gap, but further widened it. Changes in industrial structure, upgrades in market demand and increases in human capital have instigated the ever alarming urban-rural income gap. Indeed, the economic acceleration has a restraining effect on the urban-rural income gap.
1. Introduction
Many countries face the issue of the imbalance of urban and rural development in the forms of inadequate agricultural development in rural areas and the associated urban-rural income gap. Such inequality has become a major obstacle impeding economic development and the improvement of people’s quality of life (Xu Min and Jiang Yong, 2015; Cheng Mingwang and Zhang Jiaping, 2019) [1,2]. How to narrow the urban-rural income gap? How to bring about the achievement of economic growth to benefit both the middle- and low-income groups? These are the economic and social issues that the governments and academic researchers in various countries have been pondering and striving to find a solution.
Total factor productivity (TFP) is a key measure of economic performance. It represents how efficiently the industry uses the available resources to turn inputs into outputs. However, the TFP only counts inputs and outputs, with the environmental impacts of economic activity being overlooked. This omission can be a serious systematic bias in productivity measurements and may lead to incorrect policy formulations. Environmental total factor productivity (ETFP) not only measures innovation and changes in technology, efficient improvement in factor allocation, management process optimization and organizational mode improvement, but also incorporates carbon emissions and other undesired outputs or “bad” outputs into the growth accounting framework. Such measurements are the ultimate factors that cause the development level in economic growth in different countries and regions (Li Jun and Xu Jintao, 2009; Cai Fang, 2018) [3,4]. Because of this, it is significant to fully support the role of ETFP growth in improving the quality and efficiency of agriculture. It will also increase rural residents’ income and improve welfare to solve structural problems, such as unbalanced urban and rural development, insufficient agricultural or rural development, and the large income gap between urban and rural areas.
Since the current analyses mainly examine the relationship between productivity or total factor productivity and income distribution from the macro perspective of national or regional economic growth, they rarely reveal the influential mechanism and effect on the urban-rural income gap from the industrial perspective of ETFP growth. Hiroki Kawai (1994) [5] found that productivity difference was the main reason for the economic growth and income gap in Asia and Latin America. Prescott (1998) [6], Hall and Jones (1999) [7], Easterly and Levine (2001) [8] concluded that compared with other factors, such as material capital and human resources, only the difference in total factor productivity growth could essentially explain the income gap between countries or regions. Further, Klenow and Rodriguez-Clare (1997) [9] estimated the contribution of technological progress efficiency to the income gap and found that the contribution of technological progress efficiency difference to per capita income growth gap was as high as 91%. Kogel (2005) [10] confirmed that the contribution of total factor productivity to the economic growth gap stood at 87%.
From the perspective of total factor productivity, some scholars focused more on the income gap in the different economic development level of different regions. Peng Guohua (2005), Li Jing (2006), Lu Yunhang (2007) and Tian Meng (2007) [11,12,13,14] agreed that the difference in total factor productivity was an important variable for the income gap and can be used to explain the major gap at the regional level. Xu Haiping (2010) [15] found that the total factor productivity growth in China not only failed to narrow the urban-rural income gap, but widened it instead. The research from Liu Yulin, Li Jing (2013) and Ma Lei (2016) [16,17] showed that the impact of total factor productivity growth on the urban-rural income gap had typical regional heterogeneity. The growth of total factor productivity reduces the urban-rural income gap in the eastern region of China, while it widens the urban-rural income gap in the central and western regions of China.
Thus, the existing research focuses more on the relationship between TFP and income distribution, but little on the relationship between agricultural ETFP and the urban-rural income gap. In fact, agricultural environmental total factor productivity can better explain the real level of agricultural sustainable development by incorporating environmental factors into the agricultural productivity measurement framework. Chinese rural families’ income structure mainly includes the wage of working in city, engaged in the business income of agricultural production, the rental of cultivated land and forest land. The business income of agricultural production accounts for 36.66%, according to the governmental report in 2018. The increase of agricultural ETFP is conducive to the improvement of agricultural output value, which plays an important role in increasing the rural residents’ income. This study first integrates agricultural EFTP growth into the analysis framework of urban and rural income gap, and it applies the DEA-SBM super-efficiency model to measure the agricultural ETFP of 30 provincial regions from 2001 to 2017 in China. Then, the spatial panel SAR model and other estimation methods are employed to conduct empirically test the impact of agricultural ETFP growth on the urban-rural income gap and its possible regional differences.
2. China’s Agricultural ETFP Measurement and Evolution Trend
2.1. Measurement Methods, Indicators and Data
Based on DEA, this research adopted the DEA-SBM super-efficiency model with undesired output, to evaluate the undesired output in 30 provinces of China. The model considers the environmental pollution as ‘undesired output’ and distinguishes the efficiency difference among effective decision making units (DMU). It also provides a good solution to the inefficiency of the slack variable problem, which makes the model of the calculated result more accurate and reasonable. The model setting estimates the agricultural ETFP containing carbon emissions (undesired output) from a sample of 30 provinces in China. The data was collected from 2001 to 2017 with a total of 510 observations. Input indicators include total power of agricultural machinery (unit: 10,000 KW), the quantity of chemical fertilizer application (unit: ten thousand tons), the quantity of pesticides application (unit: ten thousand tons), consumption of agricultural film (unit: tons), crop planting area (unit: m hectares), the amount of primary industry practitioners (unit: ten thousand), and the effective irrigation area (unit: m hectares). The desirable output is expressed as the total output value of agriculture, forestry, husbandry and fishery based on the year 2000 (unit: 100 million yuan). The undesired output is mainly reflected in the agricultural carbon emissions caused by six factors, such as chemical fertilizer, pesticide, agricultural film, diesel oil, tillage and irrigation (Li Bo et al. 2011; Tian Yun et al. 2012) [18,19]. Therefore, this study uses agricultural carbon emission as the proxy variable of undesired output (unit: 10,000 tons). The calculation formula is displayed in Equation (1).
is the total carbon emission of agricultural production activities, and is the emissions of various carbon sources. i, n represent the ith carbon source to the nth carbon source. is the original amount of carbon sources. is the emission coefficient of each carbon source, and the determination basis is listed in Table 1.
Table 1.
Reference for Determining the Agriculture Carbon Emission Coefficient.
The data on agricultural inputs and output indicators of this study were extracted from the China Rural Statistical Yearbook, an online resources published by the National Bureau of Statistics. Considering the MaxDEA software (Beijing Realworld Software Company Ltd, Beijing, China) has a high requirement for data sensitivity, and the selected variables are different in units will cause a large difference in result, this research applied dimensionless treatment for the input and output data to eliminate the difference of data with different dimensions.
2.2. Evolution Trend
Table 2 presents China’s overall agricultural ETFP growth index from 2001 to 2017 and its decomposed technological progress TP index and technical efficiency TE index. China’s agricultural ETFP maintained its growth momentum (ETFP index was greater than 1), with an average annual growth rate of 4.3%; the average value of agricultural technology progress index (TP) is 1.036 (with the average annual growth rate of 3.6%), and the average agricultural technology efficiency index (TE) is 1.059 (with the average annual growth rate of 5.9%). It indicates that China’s agricultural ETFP growth depends on both technological progress and technical efficiency improvement. Moreover, the technical efficiency improvement contributed more to the growth of agricultural ETFP than technological progress.
Table 2.
China’s Overall Agricultural environmental total factor productivity (ETFP) and Decomposition Index from 2001 to 2017.
As a large developing country with sizable regional differences and unsynchronized development, China’s agricultural ETFP growth also shows typical heterogeneity between different regions. Table 3 lists agricultural ETFP and decomposition index in 30 provinces during 2001–2017.
Table 3.
Agricultural ETFP and Decomposition Index of 30 provinces in China from 2001 to 2017.
In terms of provincial-level regions, agricultural ETFP in 30 provinces maintained a growth trend (ETFP index was greater than 1) in general. Specially, Ningxia (1.090), Shandong (1.077) and Anhui (1.076) experienced the highest growth rates as the top three, while Inner Mongolia (1.002), Beijing (1.006) and Qinghai (1.008) were at the bottom with the lowest growth rates. The agricultural technology progress index (TP) and agricultural technology efficiency index (TE) of all sample provinces were greater than 1. This finding also indicated that the growth of China’s agricultural ETFP presented an evolutionary pattern driven by technological progress and technological efficiency improvement.
Regarding the eastern, central and western regions, the agricultural ETFP index and its post-decomposition agricultural technology progress index (TP) and agricultural technology efficiency index (TE) coincidentally follow the descending order—the central region, western region and eastern region. The possible reason may be that most of the provinces in the central region of China, such as Henan, Anhui, Hubei, and Hunan, are the major grain producers. The region enjoys flat terrain with a high rate of land circulation, remarkable scalization and specialization in agricultural production, making it ideal for integrating agriculture technology and agricultural production. Compared to the central region, most of the western regions are economically underdeveloped and some areas are even in poverty. With a lower education level, rural residents in the western region find themselves stuck with old-fashioned and outdated agricultural technology. Moreover, the western region has high mountains and hills, making it difficult to modernize agriculture and carry out large-scale specialized production. Although the eastern region boasts the highest economic growth, it is mainly attributed to its manufacturing and service industries with the agriculture segment squeezed. Compared with the central and western region, the eastern region is insufficient in scalization and specialization of agricultural production.
3. Measurement Model, Variable Definition and Data Description
3.1. Basic Model and Estimation Methods
In view of the fact that neighboring areas may have similarity in factor endowment conditions, economic development level and labor force market, the income distribution of residents is likely to present a strong spatial agglomeration phenomenon, and the urban-rural income gap may have spatial correlation effect. The neglect of this spatial correlation will inevitably lead to errors in the estimation of the model and incorrect parameter checking (Anselin, 1988; Wang Jiating, 2009) [23,24]. The spatial measurement model can effectively identify the spatial and temporal factors affecting the urban-rural income gap, by taking into account the situation of the spatial transfer and diffusion of variables and controlling the possible spatial correlation through introducing the spatial weighting matrix. The spatial auto regressive model is highly correlated with variables and is the most basic model for spatial measurement. Therefore, this study constructed the spatial panel SAR model (Spatial Auto Regressive Model) with the introduction of spatial effect:
The is the core explanatory variable, indicating the agricultural environmental total factor productivity; is the variable to be explained, representing the urban-rural income gap; is a spatial weighting matrix, reflecting the spatial connection and interaction between different regions, so as to control the path dependence in the time dimension of the urban-rural income gap in each region. In addition, is the individual effect and is the time effect; is the set of control variables, is a random disturbance term.
3.2. Construction of Spatial Weighting Matrix
Common spatial weight matrix is 0−1 adjacency matrix, geographic distance matrix, economic distance matrix, and nested distance matrix, based on various weight matrix combinations. Considering that 0−1 adjacency matrix cannot reflect the spatial influence between geographically adjacent and connected individuals and the economic correlation between individuals. The economic distance matrix is applicable to spatial entities with frequent economic exchanges, such as some city clusters and regional communities (Zhang Keyun et al. 2017) [25]. Due to the difficulty in selection and calculation, it is difficult for the nested distance matrix to measure the dynamic change of variables. Geographical distance matrix can be set a threshold according to specific research objects, and the distance and shared boundary of spatial units are also considered. Considering the sample scope of this study is based on the provincial level, this research references (Ping Zhiyi et al. 2019) [26] and employs geographical distance matrix as the spatial weighting matrix.
Assume the spatial data of regions, indicating the area ; The distance between the region and the region is recorded as , and then the spatial weighting matrix is established:
In the matrix of Equation (3), the main diagonal, that is, the uniform regional distance is 0; the spatial weighting matrix thus established is as follows:
In Equation (4), respectively represents the proportion of economic distance spatial weight and geographical distance spatial weight; this research assumes . Establish as geographic distance weight matrix, which is defined as:
Then, inverse distance is used directly as the spatial weighting matrix:
In addition, this research conducts a spatial autocorrelation test on the urban-rural income gap through and its scatter plot, which describes the overall spatial relationship between all units within the study scope. reflects the correlation between observations and space, that is, an attribute value in a region is correlated to the same attribute value in an adjacent region. This research uses “Moran I” () (Moran, 1950) [27] to characterize spatial autocorrelation to characterize spatial autocorrelation.
In Equation (7), is a spatial weighting matrix. , with the value greater than zero, which means that it has a positive spatial correlation; the value less than zero, indicating a negative spatial correlation.
3.3. Variable Definition
3.3.1. Interpreted Variables
Theil index can not only describe the dynamic characteristics of the urban-rural income gap, but also the corresponding changes in the urban and rural population structure. Many scholars use Theil index to reflect the income inequality, especially in the regional income gap (Wang Shaoping, Ouyang Zhigang, 2008) [28]. Therefore, this study adopts Theil index to measure the urban-rural income gap, and its definition equation is as follows:
In Equation (8), represents urban city and rural village respectively; represents the total income of one province, is the total income of urban city; is the population of the province, is the total population of region. In addition, this study also reported the urban-rural income ratio (the ratio of per capita disposable income of urban residents to the per capita net income of rural residents) as a comparison of Theil index.
Figure 1 shows the trend of the income gap between urban and rural residents in entire China region, eastern region, central region and western region from 2001 to 2017. It reflects that the urban-rural income gap tends to become smaller, mainly as a result of the national policies in agricultural development since 2004. The strategy of coordinating harmonious development of urban and rural areas was designed with the concept of ‘industry helping agriculture and urban-driven rural areas’. The Chinese government implemented a series of policies to support and aid rural residents, such as agricultural tax reduction, grain subsidies, new rural cooperative medical insurance and new rural insurance. This made a significant achievement in income growth and welfare improvement for rural residents, realizing the convergence effect on urban-rural income gap. Take Theil index as an example; the national Theil index declined 30.8% from 0.237 in 2001 to 0.164 in 2017. In 2017, the western region had the largest urban-rural income gap, followed by the central and eastern regions. However, the Theil index of the western region fell from 0.315 in 2001 to 0.204 in 2017; the central region dropped from 0.216 in 2001 to 0.145 in 2017, the eastern region reduced from 0.175 in 2001 to 0.139 in 2017, with a decrease of 35.23%, 32.87%, and 19.46% respectively. The western region has achieved the most in shrinking the urban-rural income gap, followed by the central region and eastern region.
Figure 1.
(a) Calculating urban-rural income gap based on Theil index; (b) Calculating urban-rural income gap based on urban-rural income ratio.
3.3.2. Core Explanatory Variable
Agricultural environmental total factor productivity (ETFP) is used as the core explanatory variable to describe its influence and effect on the urban-rural income gap in China. The descriptive analysis of specific measurement methods and variables is as shown in the Introduction parts.
3.3.3. Control Variables
The urban-rural income gap is closely related to the national or local policy, the economic development level, factor supply and market demand, etc. Accordingly, the controlling variables that explain the change of the urban-rural income gap can be classified into four categories:
In the national or local policy category, this research chooses fiscal expenditure and economic opening as the control variables. Fiscal expenditure is to realize the national income redistribution. The fiscal expenditure scale, the configuration of urban and rural areas and its use efficiency, not only directly affect the urban and rural residents’ income distribution, but also guide the social capital, financial resources flow by fiscal spending, thus, it has an indirect influence on urban and rural residents’ income distribution (Wang and Xie, 2013) [29]. The improvement of economic openness is conducive for urban and rural industries to integrate into the process of globalization. The extensive penetration of foreign direct investment in urban and rural industries is beneficial to the promotion of its industrial development, thus having an important impact on the employment and income distribution of urban and rural residents (Lu and Chen., 2004; Zheng and Wang, 2018) [30,31].
In the economic development level category, this research chooses the per capita income level and the industrial structure as the control variables. In 1955, Coontz Kuznets proposed that a country or area’s income distribution was closely related to the economic development level. After the empirical studies, Wang and OuYang (2008) [28], Lv and Chu (2011) [32] showed that: the level of economic development is the important variable affecting the urban and rural income distribution. In the 1940s, the British economist C. Clark believed that the change of industrial structure was intrinsically related to income distribution. The change of industrial structure, mainly represented by the increase of the output value of the secondary industry, played an important role in the distribution of urban and rural incomes, but whether it is positive or negative was still controversial (Wang et al. 2015; Mu and Wu, 2016) [33,34].
In the factor supply category, this research chooses the financial development level and the urbanization as the control variables. The improvement of the financial development level can significantly improve the financing environment of urban and rural industries and residents, but the scale, structure and efficiency of urban and rural allocation of financial resources will have an important impact on the income and distribution (Hu, 2013; Ouyang, 2014) [35,36]. Urbanization forces rural surplus to transfer to the non-agricultural industries. In another way, with the help of technology, talent, management, and other production factors using the agricultural industry, which lead to the change of the income distribution between urban and rural areas. Different from the production characteristics of traditional production factors such as capital and land, human capital has a high rate of return on investment. The scientific and technological progress and management innovation associated with the growth of human capital can effectively add value to urban and rural industries and thus have an impact on income distribution.
The last category is the market demand. The change in household consumption structure requires the market demand structure to upgrade. This will significantly affect the production demands in the manufacturing industry, the service industry and agricultural industry. Eventually, the income levels in all three segments will be altered.
This study sets the following control variables: (1) fiscal expenditure (Fe), characterized by the proportion of government fiscal expenditure to regional Gross Domestic Product (GDP); (2) foreign direct investment (Fdi), expressed as the proportion of foreign direct investment in the regional GDP; (3) per capita growth domestic product (Pgdp), which is expressed in the logarithm of the absolute value of per capita income of urban and rural residents; (4) industrial structure (Is), characterized by the proportion of the secondary industry value to the regional GDP; (5) development level of finance (Df), with the proportion of the balance of deposits and loans of financial institutions at the end of the year in the regional GDP; (6) urbanization (Urban), which is measured by the urbanization rate of the population, that is, the proportion of urban residents in the total population; (7) resources of human (Rh), which is characterized by the proportion of scientific research and technical service personnel in all practitioners; (8) structure of market demand (Smd), referring to the practice of Wang Songtao et al. (2013) [29], using the Engel coefficient of urban and rural residents to multiple with the proportion of urban and rural population and then summing, that is, the Engel coefficient of urban residents × the proportion of urban residents + Engel coefficient of rural residents × the proportion of rural residents.
3.4. Data Source
All variable descriptions and data sources are as shown in Table 4. Descriptive statistics are as listed in Table 5:
Table 4.
Variable Description and Source.
Table 5.
Descriptive Statistics of Variables.
4. Empirical Test and Result and Discussion
4.1. Spatial Correlation Analysis of Urban-Rural Income Gap
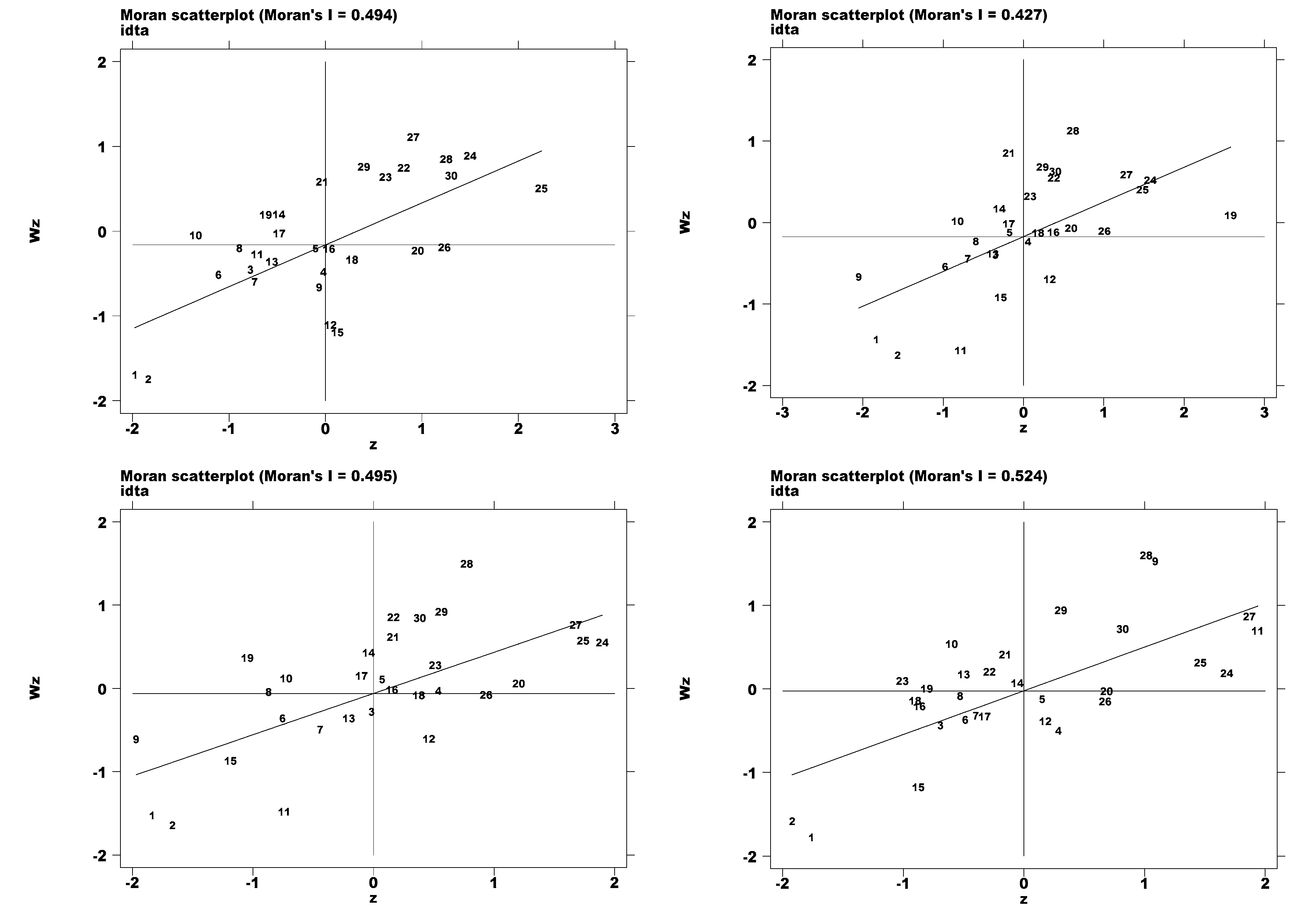
Before using the spatial measurement model and estimation method, we should first check whether the spatial correlation of the interpreted variables exists. Based on Equation (7), a spatial autocorrelation test is conducted for Moran’s I of urban-rural income gaps in 30 provincial regions of China, from 2001 to 2017. The test results are as shown in Table 6. Moran’s I is ranging [–1,1]. Moran’s I >0 means that the high value is adjacent to the high value, and the low value is adjacent to the low value, indicating a positive correlation; Conversely, Moran’s I <0 indicates that the high value is adjacent to the low value, presenting negative correlation. Moran’s I is close to zero, indicating that there is no spatial autocorrelation. It can be seen that Morans’ I are all greater than 0 from 2001 to 2017, except for the year of 2016 (passing 10% significance test), all the other years passed 1% significance test, which indicates that the hypothesis without spatial autocorrelation could not be rejected. Furthermore, sample data in 2001, 2007, 2012, and 2017 were selected to map Moran’s I scatter plots (Figure 2), with each quadrant representing different spatial autocorrelation types: the first quadrant indicates “high-high” positive correlation, the third three quadrant indicates “low-low” positive correlation, and the second quadrant and fourth quadrant respectively indicate “low-high” negative correlation and “high-low” negative correlation. It can be seen that, except for a few provinces, most provinces are in the first and third quadrants, indicating that there is a high positive correlation between urban-rural income gaps in 30 provincial samples of China.
Table 6.
Moran’s I Distribution.
Figure 2.
Moran’s I Scatter Plot (top left, top right, bottom left and bottom right respectively represent the year 2001, 2007, 2012 and 2017).
4.2. Model Estimation and Results Analysis
In order to reveal the influence of agricultural ETFP on the urban-rural income gap, maximum likelihood estimate (MLE) is used in the spatial panel SAR model (Model 4). The estimated results are shown in Table 7.
Table 7.
Model Regression Results.
Lagrange Multiplier test coefficient (LM) passes the 5% significance level test, which proves that there is spatial autocorrelation in the residual of the SAR model; spatial autocorrelation coefficient (P-value) passes 1% significance level test, indicating that the model estimation results have a high spatial effect. Moreover, Table 7 also lists the estimation results of ordinary least square regression (Model 1), fixed effect (Model 2), and random effect (Model 3), which are used as a comparison with the spatial panel autoregressive model; it can be seen that the coefficients and symbol of the core explanatory variables ETFP and most of the control variables have not changed greatly, indicating that the estimation results of spatial panel SAR model constructed in this study have very high reliability, and the SAR model is used as a benchmark model for discussion.
The core explanatory variable, the coefficient of agricultural total factor productivity, is positive at the level of 1% significance level. It indicates that the technological progress and technical efficiency in China’s agricultural ETFP growth have not reduced the urban-rural income gap, but have further expanded it instead. The main reasons are as follows: (1) the achievements benefited a few founders of modern agricultural management entities such as agricultural leading enterprises, farmer cooperatives and family farms more, rather than the majority of rural residents, especially the rural residents in poverty. It is difficult for them to obtain equal opportunities in economic achievements from agricultural economic growth and efficiency improvement. On the other hand, the synergistic effect of agricultural total factor productivity growth and rapid urbanization and industrialization promotes the transfer of rural “surplus” labor forces to cities and towns. The majority of this part of transferred population are young and middle-aged workers with better physical fitness and higher education level. The elderly, women and children are “left-behind”. This “left-behind” population have extremely limited advanced agricultural technology, agricultural equipment and modern agricultural management knowledge. As a result, it is difficult for them to increase their income. (2) The increase in agricultural laborers’ income by agricultural ETFP growth is still limited. The growth of agricultural ETFP accompanying the increase in the capital-labor ratio has promoted the urbanization transfer. Theoretically, it can help to increase the household income. However, due to the high requirements of education and skills, most of this transferred population or “rural migrant workers” are engaged in low-value-added labor-intensive industries, such as low-end services, the construction industry and traditional manufacturing industry, so that the wages and welfare benefits are extremely limited and far behind the urban citizens.
The coefficient of fiscal expenditure (Fe) is negative but not significant, indicating that the improvement of the level of local government fiscal expenditure has a limited effect on narrowing the urban-rural income gap. It is necessary to further optimize the urban-rural allocation structure of fiscal expenditure and increase the allocation ratio for the rural or agricultural departments. Strengthening the construction of rural infrastructure including water conservancy, electric power, transportation and Internet and the construction of public services such as public health care, basic education and others, optimizes the environment and conditions for agricultural production and rural residents’ welfare improvement, so as to give a better play to fiscal expenditure in regulating urban and rural income distribution. The coefficient of Fdi is negative but not significant, indicating that accelerating the opening-up process and attracting foreign investment have effects on narrowing the urban-rural income gap to a certain extent, but the effects are still not obvious. It should further increase the Fdi of rural areas. First, it should guide foreign investment to the rural infrastructure and public services. Second, it should guide foreign investment to participate in agricultural industrialization in adjusting urban and rural income distribution.
The Pgdp coefficient is significantly negative, indicating that promoting economic growth and enhancing the per capita level of economic development may contribute to narrowing the urban-rural income gap. According to Kuznets “Inverted U” hypothesis: with the improvement of the economic development level in a country or region, the income distribution gap shows the evolution characteristics of first expanding and then converging. The improvement of the economic development level helps narrow the urban-rural income gap, indicating that China has successfully crossed the Kuznets “Inverted U” critical point. The coefficient of industrial structure is significantly positive, indicating that the increase of the proportion of the second industry output value expanded the income gap between urban and rural areas. The reason is that the development in secondary industry needs more capital, land and other production factors from agriculture and rural areas, which worsens the economic environment in agriculture and rural area. It has a negative effect on agricultural production and rural residents’ income, thus it expands the urban-rural income gap.
The coefficient of Df is negative but not significant, indicating that the improvement of financial development level and the government’s financial strategy to agriculture and rural areas has improved the agricultural efficiency improvement and rural residents’ income growth. It has inhibited the widening income gap between urban and rural areas. The coefficient of Urban is positive but not significant, indicating that the traditional urbanization path of promoting rural or agricultural surplus labor forces transfer to urban areas does limited help to narrow the urban-rural income gap. The coefficient of Rh is significantly negative, indicating that strengthening education investment is conducive to the rural workers sharing the fruits of economic growth and narrowing the urban-rural income gap.
The coefficient of Smd is significantly positive, indicating that the upgrading of consumption structure has further widened the urban-rural income gap. This may be because the demand elasticity of agricultural and sideline products is lower than that of manufacturing and modern service products. The structure of market demand (Smd) is driven by the development of urban manufacturing and the modern service industry, which makes urban residents benefit from higher income growth than that of rural residents, resulting in widening of the urban-rural income gap.
4.3. Analysis of Regional Estimation Results
As the largest developing country in the world, the economic development level and factor endowment conditions in different regions of China have typical heterogeneity, which may cause the difference in the impact and effect of agricultural total factor productivity on the urban-rural income gap. Therefore, it may be more scientific to divide the 30 provinces in China into the eastern, central and western regions when doing the empirical test.
Table 8 reports the test results of 30 provinces in China, and it can be found that the influence and effect of agricultural total factor productivity on the urban-rural income gap are typical heterogeneity in different regions. The growth of agricultural total factor productivity in the eastern region has significantly expanded the urban-rural income gap, while the growth of agricultural total factor productivity in the central and western regions has a positive but not significant influence on the urban-rural income gap. The industrial structure change in the western region can effectively encourage the reduction of the urban-rural income gap, while it is not obvious in the eastern and central regions. The convergence effect of the urbanization process on the urban-rural income gap is more obvious in the central and western regions, but not significant in the eastern region. The financial development in the western region has a significant convergence effect on the urban-rural income gap, but not obvious in the eastern and central regions. The increase in human capital in the eastern region has a significant convergence effect on the urban-rural income gap, which is not significant in the central and western regions. The upgrading of consumer demand structure in the eastern and central regions can significantly reduce the urban-rural income gap, while such an effect is just the opposite in the western region. Financial interventions in the eastern and central regions have significantly widened the urban-rural income gap, while such an effect is not significant in the western region.
Table 8.
Estimated Results of the Three Major Regions.
4.4. Robustness Test
Considering that the different choices of the spatial weighting matrix have a great influence on the estimation results of the model, it is necessary to perform the robustness test based on the different spatial weighting matrix. In this study, the 0−1 adjacency weight matrix, economic distance weight matrix and nested distance matrix are used as the spatial weighting matrix, and the spatial model is estimated based on the spatial autoregressive estimation method. The estimated results of the robustness test are as shown in Table 9.
Table 9.
Test Results of Different Weighting Matrix.
Under the three weight matrix, the core explanatory variable is agricultural total factor productivity; except for the slight change of the estimation coefficient, both the symbols and the significance of the correlation coefficient have no change. The symbols and significance of correlation coefficient of most control variables are also consistent with the previous estimation results, indicating that the estimation results of this study are extremely reliable.
5. Conclusions
By applying the DEA-SBM super-efficiency model, this research estimated the agricultural ETFP including the carbon emissions (undesired output) of 30 provincial regions in China, and further used the spatial panel SAR model and estimation method to conduct an empirical test on the influence agricultural ETFP on the urban-rural income gap. The research found that: (1) during 2001−2007, China’s agricultural ETFP has an annual average growth rate of 4.3%, and the technological progress and technical efficiency after decomposition increased by 3.6% and 5.9% respectively. That is, China’s agricultural ETFP growth presents the benign pattern featured with a dual-wheel drive of technological progress and technical efficiency improvement. However, the regional differences in agricultural ETFP growth are obvious. The agricultural ETFP growth rate in central region is higher than it in the western region and followed by the eastern region. (2) The urban-rural income gap based on the Theil index has significant spatial dependence, showing an obvious “aggregation club” phenomenon. The growth of agricultural ETFP did not reduce the urban-rural income gap, and even widened it further. Moreover, the agricultural ETFP growth spatial spillover effect is obvious, in other words, while restraining the convergence effect on the urban-rural income gap in this region, agricultural ETFP growth causes the expansion of the urban-rural income gap in its surrounding areas. Changes in industrial structure, upgrading of market demand structure and increase of human capital will widen the urban-rural income gap, while national economic policy will narrow the urban-rural income gap. The influence and effect of agricultural ETFP growth on the urban-rural income gap are typical with regional differences. It is significant in the eastern region but non-significant in central and western regions.
Based on the above conclusions, this research implicates that China’s agricultural ETFP growth failed to narrow the urban-rural income gap. It suggests that the growth of agricultural ETFP and agricultural economic growth achievements have not widely benefited the majority of rural residents so far. While continuously promoting the agricultural ETFP with the advancement of agricultural technology and improvement of agricultural technology efficiency, it should take the following aspects into consideration.
First, modern agricultural entities such as leading enterprises, farmer cooperatives, family farms and large-scale planting and breeding households are the implementers and the biggest beneficiaries of agricultural technological progress and technological efficiency improvement. The majority of rural residents can get the benefits through agricultural industry organization models, such as “enterprises + farmer households”, “enterprises + cooperatives or large-scale farm household + farmer households”. It should activate the allocation efficiency of agricultural production factors, and gradually guide the vast number of rural residents, especially those who are still in poverty, to participate in agricultural industrialization by shareholding with production factors (land, capital, labor, etc.)
Second, applying advanced agricultural technology and modern operation and management skills plays an important role in raising the income of rural residents. It should initiate a multiple-level training system for agriculture proprietors and professional agricultural workers in the fields of advanced agricultural technology, management skills and market related knowledge. This not only helps to improve agricultural production efficiency, but also has an effective role in increasing rural residents’ income growth.
Author Contributions
Conceptualization, Y.W.; methodology, Y.Z.; software, Y.Z.; validation, X.W. and Y.W.; formal analysis, X.W.; resources, Q.L.; writing—original draft preparation, Y.Z.; writing—review and editing, X.W. and Q.L.; supervision, Y.W. All authors have read and agreed to the published version of the manuscript.
Funding
This research received no external funding.
Conflicts of Interest
The authors declare no conflict of interest.
References
- Xu, M.; Jiang, Y. Can the China’s industrial structure upgrading narrow the gap between urban and rural consumption. J. Quant. Tech. Econ. 2015, 32, 3–21. [Google Scholar]
- Chen, M.; Zhang, J. Internet popularization and urban-rural income gap: A theoretical and empirical analysis. Chin. Rural Econ. 2019, 2, 19–41. [Google Scholar]
- Li, J.; Xu, J. Analysis of inter-provincial green total factor productivity application of a non-parametric method. J. Beijing For. Univ. (Soc. Sci.) 2009, 8, 139–146. [Google Scholar] [CrossRef]
- Cai, F. How to improve TFP. Bus. News 2018, 4, 89–90. [Google Scholar]
- Kawai, H. International comparative analysis of economic growth: Trade liberalization and productivity. Dev. Econ. 1994, 32, 373–397. [Google Scholar] [CrossRef]
- Prescott, E.; Lawrence, R. Klein lecture 1997: Needed: A theory of total factor productivity. Int. Econ. Rev. 1998, 39, 525–551. [Google Scholar] [CrossRef]
- Hall, R.E.; Jones, C.I. Why do some countries produce so much more output per worker than others. Q. J. Econ. 1999, 114, 83–116. [Google Scholar] [CrossRef]
- Easterly, W.; Levine, R. It’ s not factor accumulation: Stylized facts and growth models. World Bank Econ. Rev. 2001, 15, 221–224. [Google Scholar] [CrossRef]
- Klenow, P.J.; Rodríguez-Clare, A. The neoclassical revival in growth economics: Has it gone too far. Nber Macroecon. Annu. 1997, 12, 73–103. [Google Scholar] [CrossRef]
- Kögel, T. Youth dependency and total factor productivity. J. Dev. Econ. 2001, 76, 147–173. [Google Scholar] [CrossRef]
- Peng, G. The disparity of income, TFP and the convergence hypothesis in Chinese Provinces. Econ. Res. J. 2005, 9, 19–29. [Google Scholar]
- Li, J.; Meng, L.; Wu, F. Re-testing of development differences in China: Factor accumulation or TFP. J. World Econ. 2006, 1, 12–22. [Google Scholar]
- Lu, Y.; Zhang, D. The cause of the difference in inter-provincial income in China: Factor accumulation or productivity. Contemp. Financ. Econ. 2007, 4, 22–28. [Google Scholar] [CrossRef]
- Tian, M. Looking at China’s Regional Income Gap from Total Factor Productivity. Master’s Thesis, Tianjin University of Finance and Economics, Tianjin, China, 2007. [Google Scholar]
- Xu, H.; Wang, Y. Urban-rural income gap and total factor productivity in China—Spatial econometric analysis based on provincial data. J. Financ. Res. 2010, 10, 54–67. [Google Scholar]
- Liu, Y.; Li, J. TFP, FDI and urban-rural income gap—Based on empirical analysis of provincial panel data. Econ. Surv. 2013, 3, 119–124. [Google Scholar] [CrossRef]
- Ma, L. The influence of human capital structure and TFP on urban-rural income inequality. Res. Econ. Manag. 2016, 37, 52–58. [Google Scholar] [CrossRef]
- Li, B.; Zhang, J.; Li, H. Empirical study on China’s agriculture carbon emissions and economic development. J. Arid Land Resour. Environ. 2011, 25, 8–13. [Google Scholar] [CrossRef]
- Tian, Y.; Zhang, J.; Li, B. Agricultural carbon emissions in china: Calculation, spatial-temporal comparison and decoupling effect. Resour. Sci. 2012, 34, 2097–2105. [Google Scholar]
- West, T.O.; Marland, G. A synthesis of carbon sequestration, carbon emissions, and net carbon flux in agriculture: Comparing tillage practices in the United States. Agric. Ecosyst. Environ. 2002, 91, 217–232. [Google Scholar] [CrossRef]
- Duan, H.; Zhang, Y.; Zhao, J.; Bian, X. Carbon footprint analysis of farmland ecosystems in China. J. Soil Water Conserv. 2011, 25, 203–208. [Google Scholar] [CrossRef]
- Wu, F.; Li, L.; Zhang, H.; Chen, F. Effects of conservation tillage on net carbon emission from farmland ecosystem. Chin. J. Ecol. 2007, 12, 2035–2039. [Google Scholar] [CrossRef]
- Anselin, L. A test for spatial autocorrelation in seemingly unrelated regressions. Econ. Lett. 1988, 28, 335–341. [Google Scholar] [CrossRef]
- Wang, J.; Jia, C. A spatial econometric study of the differences between urbanization and regional economic growth in China. Econ. Sci. 2009, 3, 94–102. [Google Scholar] [CrossRef]
- Zhang, K.; Wang, Y.; Wang, J. Research on the specification methods of spatial weight matrix. Reg. Econ. Rev. 2017, 1, 19–25. [Google Scholar] [CrossRef]
- Ping, Z.; Wu, X.; Wu, X. The impact of economic growth on industrial pollution along Yangtze river economic zone: A spatial Durbin model based on geographical distance matrix. Ecol. Econ. 2019, 35, 161–167. [Google Scholar]
- Moran, P.A.P. Notes on continuous stochastic phenomena. Biometrika 1950, 37, 17–23. [Google Scholar] [CrossRef]
- Wang, S.; Ouyang, Z. The threshold effect of the urban-rural income disparity on real economic growth in China. Soc. Sci. China 2008, 2, 54–66. [Google Scholar] [CrossRef]
- Wang, T.; Xie, L. Equitable distribution and residents’ welfare: Study on impact of income gap on China’s engel coefficient. Stat. Inf. Forum. 2013, 28, 56–62. [Google Scholar] [CrossRef]
- Lu, M.; Chen, Z. Urbanization, urban-oriented economic policies and urban-rural income gap. Econ. Res. J. 2004, 4, 50–58. [Google Scholar] [CrossRef]
- Zheng, L.; Wang, X. Does foreign direct investment inflows increase the urban-rural income gap in China: An analysis based on a spatial perspective. Macroeconomics 2018, 3, 62–80. [Google Scholar]
- Lv, W.; Chu, Y. Nonlinear effects of fiscal policy on private consumption demand: An empirical analysis based on OECD multinational panel data. Comp. Econ. Soc. Syst. 2011, 19, 79–87. [Google Scholar]
- Wang, Y.; Yang, H.; Tang, S. Mechanism and dynamic analysis of urbanization and industrial structure adjustment on urban-rural income gap. Contemp. Econ. Manag. 2015, 37, 56–63. [Google Scholar]
- Mu, H.; Wu, P. Urbanization, industrial structure optimization and urban-rural income gap. Economist 2016, 5, 37–44. [Google Scholar]
- Hu, J. The measurement of the impact of income gap between urban and rural residents on economic efficiency in China: An empirical analysis based on provincial panel data. Theory Study Explor. 2013, 7, 86–89. [Google Scholar] [CrossRef]
- Ouyang, Z. Has the advancement of China’s urban-rural economic integration hindered the widening of the urban-rural income gap. J. World Econ. 2014, 37, 116–135. [Google Scholar]
© 2020 by the authors. Licensee MDPI, Basel, Switzerland. This article is an open access article distributed under the terms and conditions of the Creative Commons Attribution (CC BY) license (http://creativecommons.org/licenses/by/4.0/).

