Abstract
With the expanding awareness of worldwide governments to ecological issues, the idea of protecting the environment has been initiated into the supply chain. The role of government in green supply chain management has become especially significant. This paper proposes a green supply chain model with a duopoly structure, in which two manufacturers separately produce green and non-green items sold through a common retailer. The government looks for social advantages and decides subsidies for the green item and taxes for non-green items. Using a centralized and decentralized model, two cases of government interference and no government interference are analyzed with customer green preference. This study focuses on exploring the pricing strategy, greening strategy and comparing the optimal decisions in all the cases to maximize the overall profitability of the supply chain. Numerical results and sensitivity analysis illustrate how the government subsidy on green products and tax policy in non-green products can influence the profitability of supply chain members. The research finding can give valuable experiences to channel members of the supply chain to settle optimum choices with and without government interference by enhancing the green and non-green item market competition. Among the competitive duopoly structure, the centralized model makes more profit and leads to manufactured eco-friendly items.
1. Introduction
With the advancement of industrialization, the environment of surroundings is in effect and severely harmed. Extraordinary changes in the environment, pollution of water, air, etc., are included in natural disasters (Chekima et al. []), which creates the idea of sustainable development considering a low-carbon economy, green GDP, etc. Loads of ventures attempt to utilize green practices in the supply chain network to accomplish world naturally sustainable development (Seuring []). Green items’ idea mentions working on the similarity of items with the environment without influencing the capacity and nature of items (Azevedo et al. []). Green item advancement has been perceived as one of the significant elements for economic development and natural maintainability (Saadany and Jaber []). In recent years, numerous organizations have set up sustainable improvement plans and ceaselessly acquainted green items with acquiring upper hands, upgrade their corporate advantages, and have accomplished specific outcomes in ecological assurance (Seuring and Muller and []). In addition, looking at the deteriorating environment, governments give more consideration to upgrading the natural consciousness of organizations and purchasers (Hall []). For instance, extreme measures are broadly used to advance the mindfulness of manufacturer responsibility in the US, Japan, and North America (Pujari []). To improve purchasers’ perspectives toward green items, many governments give subsidies. For example, the Recovery and Reinvestment Act 2009 of the US provides a tax credit in hybrid electric motor-vehicle; the Chinese government has also provided 55 thousand CNY per unit electric vehicle since 2015 (Peng []). So, governmental subsidies play a significant part in improving green items. The main theme of this paper is to investigate the impact of government subsidy on the pricing and greenness level decision of a green duopoly supply chain, and further study what type of subsidy can advance the improvement of green items proficiently.
For the motivation behind social responsibilities and higher market intensity of items, manufacturers and retailers need to experience more expenses and dangers to lead green manufacturing. Green items and non-green items are elective as far as capacity, yet the previous is better than non-green items, as far as quality and natural requirements (Stucki et al. []). “Green” is a relative idea, which is hard to characterize by exacting rules and extensions. Green item mentions of water-saving, energy-saving, an inexhaustible or recyclable item with low contamination and low poisonousness, or item whose manufacturing process includes the previously mentioned qualities; it is likewise a definitive expression of the use of green innovations (de Oliveira et al. []). The demand of the market wherein green items and non-green items co-exist needed in-depth investigation.
On the other hand, by the pollution tax collection, which is a circuitous procedure, the government charges organizations for delivering every unit of item that forces pollution on climate in excess of a standard level. For such items, the government authority urges a rate of tax (and sometimes to offer help to green makers pays a pace of subsidy) that increases (decreases) the cost of the non-green (green) item to debilitate (empower) shoppers to buy that item (Luke []). Australia, British Colombia conveys a pollution tax collection strategy. In this paper, pollution taxation has been explored, and the impacts of such guidelines on the decisions which various firms and connections make among government and supply chains are examined.
To sum up the inspection, the coexistence of two competitive green and non-green inventory chains is accepted. Participation between supply chain individuals can impact the entire supply chain and government choices; subsequently, the effect of the supply chain designs is investigated in this study.
This investigation needs to respond to the following questions.
- (a)
- How do the constructions of the supply chain influence the benefits of manufacturers, retailers furthermore, governments, and the green level of green items?
- (b)
- In the two models with and without government interference, what are the distinctions in the green items’ evaluating decision-making procedure?
- (c)
- What are the effects of government subsidy and imposing a tax on the manufacturer on the greening level, the retail cost, and the expected benefits of the players?
- (d)
- How does manufacturing greener items influence the final cost of green and non-green items?
On-premise of the above investigation, the current paper will focus on a two-level duopoly green supply chain framework, where two manufacturers compete to sell both green and non-green products to the retailer. The primary theme is to set up a framework to control the connection between the government and the supply chain. More sustainable items would be delivered, and each supply chain member acquires a minimum degree of benefit. In the supply chain perspective, the optimum activities that lead to more benefit will be resolved, including settling on item costs, the green level of the green item, coordination, and participation. The government does not just attempt to urge firms to deliver greener items, it additionally guarantees the minimum benefit for all channel members or, in other words, make a competitive market. Examining the government’s part in the green level of the green item in a competitive market has not been done, so examining government techniques and their impact of different factors in the market would be advantageous.
The rest of this paper is categorized as follows: literature related to the work is briefly reviewed in Section 2. Section 3 describes the problem definition with notation. The solution methodology of the proposed model with government interference and without government interference is illustrated in Section 4. A numerical experiment is conducted in Section 5 and sensitivity analysis of the numerical example described in Section 6. Section 7 provides the conclusion and future direction.
2. Literature Review
As ecological safety expands green supply chains’ persistent improvement, supply chain management considering greening turns out to be naturally economical as an improvement to the significant procedure, and green supply chain decision-making likewise turns into an important area of interest in academic research. Chen et al. [] exhibit that the reasonable plan of environment regulation pricing strategies can proceed with the item responsibility augmentation of green production network organizations under the exceptionally competitive market. Chen et al. [] explored pricing models in several different game models in a green duopoly supply chain and evaluated the optimum greening and pricing decisions of each model. For the green supply chain system, pricing and greening policies were discussed, employing promotion efforts and green level dependent demand in the Big data environment (Liu and Yi []). Aslani and Heydari [] discussed the supply chain when products are green and environment friendly. Moreover, they discussed the coordination strategy between direct internet channels and offline retailers. Fang et al. [] investigated a green supply chain where pricing and ordering strategies are decision variables. They used the Stackelberg game approach to determine the decision variables. Barman et al. [] analyzed the pricing and greening decisions of a two-stage dual-channel supply chain system. Cheng et al. [] reviewed the literature of Green Public Procurement on the period 2000–2016 focused on ecological exhibitions and acquired a content analysis method.
Many researchers studied how two synonymous green and non-green items influence the pricing strategies and profit of the system. A supply chain model was investigated under the coexistence of green and non-green products to analyze cooperation issues and pricing strategies by Zhang et al. []. Jamali and Rasti Barzoki [] examined the problem of estimating green and non-green items that are manufactured by various producers and sold through two separate channels. In the supply chain model of (Ranjan and Jha []), the coexistence of green and non-green items was analyzed and evaluated the reasonable pricing policies through a surplus profit-sharing mechanism to achieve a win-win situation. Raza and Govindaluri [] proposed a cooperation problem under greenness level-sensitive market demand and determined the effect of market segmentation and stochastic demand in a two-stage supply chain system containing green and non-green variety. Shen et al. [] examined the effect of green and non-green item quality on customer reaction. That paper assumed that quality separation would influence shoppers’ choice of buying green or non-green items. Wang and Song [] considered green and non-green quality products, promotion effort to compare the supply chain benefit for the centralized, decentralized scenario.
Additionally, as supply chain designs have a significant impact on economic and ecological features of green supply chain management, numerous examinations have discussed cooperation and structures among channel members of the supply chain (Das et al. [], Barman et al. []). Sinha and Sarmah [] investigated the competition and cooperation issues in a two-layer supply chain framework, where two suppliers contend to sell separate items through a typical retailer under deterministic market demand. Barman et al. [] considered different structures of supply chain systems with two manufacturers, selling two exchangeable items through a regular retailer. Huang and Ke [] examined the competition of two manufacturers, which sell items through one basic retailer. It was shown that, with linear price-dependent demand, the manufacturer is in an ideal situation, by keeping up exclusive vendors while a retailer has a motivator to manage a few suppliers. A two-layered single manufacturer and single retailer supply chain system has been studied with discount and without discount, policy considering price-sensitive demand (Das et al. []). Giri et al. [] analyzed the duopoly market where two manufacturers independently produce and sell two corresponding items through a typical retailer using the Stackelberg game. Barman et al. [] investigated the EOQ model considering multiple products under preservation technology investment. Thus far, to our knowledge, there are no studies on the duopoly market situation considering the green supply chain system. Our work is the first to investigate a green supply chain, where two competing manufacturers sell a green and a non-green item separately through a common retailer.
To maintain environmentally sustainable development and improve natural quality, governments of different nations have focused on the point of ecological quality enhancement for green items’ growth and advancement. Many countries initiated subsidy policies to advance green inventory chain growth. Government (Govt.) subsidies’ impact on green production network systems is broadly worried by researchers. Ma et al. [] provide new details of knowledge on the clarification of the company’s ecological certificate practice and provides functional implications to firm supervisors and government heads. To motivate green item makers and fine non-green makers, governments utilize some premium approaches (Sheu and Chen []). Krass et al. [] investigated the optimum pricing decisions and production plan which faces the innovation-decision and the limitations of the subsidy, tax, and discount levels. Wang et al. [] investigated government subsidies to prompt remanufacturing exercises and showed that “excessively high” or “excessively low” subsidies caused remanufacturers to contend with producers. A case study was provided considering five European countries to show how green economy advances are formed by government involvement (Droste et al. []). Yang and Xiao [] studied the impact of government subsidy on green supply chain system considering various channel leadership modes, and how subsidy policy influenced each channel member and system profit. Nielsen et al. [] discussed the effect of government incentive strategies under a game-theoretical approach towards eco-friendly items, by comparing the benefit of each channel member, greenness level, ecological improvement. He et al. [] investigated channel structure and pricing decisions for the producer and government’s subsidy strategy with contending new and remanufactured items. Sana [] analyzed the price competition between green and non-green products, including government subsidy and tax implementation to reduce carbon emission.
The above literature reviews and surveys the existing research results, which are the basis of this article. Moreover, there is still space for future examination and development in the current research, which essentially incorporates the following points. Firstly, the literature on green supply chain systems, although many researchers have focused on channel members’ coordination, is limited to the study of green product market decisions in a duopoly supply chain structure. Furthermore, we rarely consider the co-existence of the green and non-green items in a duopoly supply chain system. In this way, when organizations settle pricing strategies, the channel structure should be frequently considered more complex. Secondly, in the previous study on government interference, the existing works are more worried about the effect of government subsidies and tax rates on the decision-making process of the supply chain. Some literature is available which compares the decision-making scenario of the green supply chain, with and without government interference.
3. Notations and Problem Definition
In this section, the proposed model is discussed, along with the notations.
3.1. Notations
| Decision Variables | |
| retail price of green product per unit item ( ∈ ) | |
| retail price of non-green product per unit item ( ∈ ) | |
| wholesale price of green product per unit item ( ∈ ) | |
| wholesale price of non-green product per unit item ( ∈ ) | |
| g | greening level of green product (g ∈ ) |
| Parameters | |
| degree of customers loyalty in green product () | |
| degree of customers loyalty in non-green product | |
| a | market based-demand () |
| b | price elasticity () |
| c | cross price elasticity () |
| sensitivity coefficient of greening level per unit green item | |
| manufacturing cost of the per unit green item ( ∈ ) | |
| manufacturing cost of the per unit non-green item ( ∈ ) | |
| e | cost factor of enhancing greening level (e ∈ ) |
| subsidy rate coefficient for green products ( ∈ ) | |
| tax rate for non-green products ( ∈ ) | |
| demand of the green product ( ∈ ) | |
| demand of the non-green product ( ∈ ) | |
| profit of green manufacturer ( ∈ ) | |
| profit of non-green manufacturer ( ∈ ) | |
| profit of the retailer ( ∈ ) | |
| profit of the supply chain ( ∈ ) |
3.2. Problem Definition
The problem focuses on a duopoly green supply chain mentioned in Figure 1. Considering purchasers’ preference for green and non-green products, this article investigates the pricing strategies of these two types of items and the manufacturer’s cooperation, with and without government interference.
Figure 1.
Logistic diagram of supply chain.
The two-stage supply chain consists of two manufacturers and one retailer. One manufacturer produces a regular non-green product, and another manufacturer produces a green product and sells both the products with different wholesale prices through a common retailer. The non-green manufacturer sells the regular non-green items to the retailer at a price , and the retailer sells this product to the customers at a selling price , then (). On the other hand, the green manufacturer sells the green product to the retailer at a price , and the retailer sells this product to the customer at a price , then (). Since the manufacturers are competitive in nature, sales price and greenness level greatly impact customer demand. To maximize profit, the manufacturer sets the wholesale price as well as the greening level. The retailer also sets the retail price for the customers. To advance the improvement of the green supply chain, the government gives an environmental subsidy to the green manufacturer and imposes a tax on the non-green manufacturer (in Figure 2). Now, decision-makers need to evaluate the optimal sales price (), wholesale price (), green level (g) with the illustration of the behavior of essential parameters, before and after the government interference. A few essential suppositions made for the improvement of the proposed model are as per the following:
Figure 2.
Logistic diagram of supply chain under Govt. interference.
- Market demand is a linear function of the products’ sales price and greening level. The demand faced by the non-green manufacturer together with green manufacturer varied for without government interference model and with government interference model.
- The manufacturing cost of the non-green item is less than that of the green item ().
This study examines two cases: without government interference and with government interference. It ought to be seen that the imposing government subsidy and government earnings from forcing taxes would be given to reward non-green items’ harm to nature, and the government looks for social assistance and consumer surplus.
4. Mathematical Model Construction and Solution
Based on the above problem, we have established the following mathematical model and evaluated the manufacturer and retailer decision under the centralized and decentralized scenario. Next, we carefully examine the optimal criteria and compare the solutions with the government interference model and without the government interference model. Finally, analyze the parametric behavior to maximize the system profitability in all the models.
4.1. Without Government Interference Model (Model 1)
Under the model without government interference in Figure 1, the demand for the green and non-green products are and respectively. The demand functions of both green and non-green products are as follows:
According to the demand functions and structure of the supply chain, the total profit of the non-green manufacturer, green manufacturer, and retailer are described as follows:
In Equation (3), the term denotes the manufacturer profit earned by selling the non-green items to the retailer. In Equation (4), the first term represents the manufacturer profit earned by selling the green items to the retailer, and the second term denotes the investment cost of greening. In Equation (5), the first term represents the retailer profit earned by selling the green items to the customer and the second term denotes the retailer profit earned by selling the non-green items to the retailer.
Substituting from Equation (1) into Equation (3), Equation (2) into Equation (4), and from Equation (1) into Equation (2) in Equation (5), the manufacturers and retailer’s profit functions are further obtained as:
To make optimum decisions for channel members, both centralized and decentralized concavity approaches have been demonstrated as follows;
4.1.1. Centralized Model (Model 1-A)
In the centralized model, both the green and non-green manufacturers and retailer are integrated vertically; they are considered as a whole framework and make their choices collaboratively, and at the same time, maximize the total profit of the supply chain system. The total profit of the system is obtained by adding the profit function of both the manufacturer and retailer.
where, .
Theorem 1.
If and meet, then under the centralized model, there exist the unique optimal solution and the optimal solution which are obtained from solving the the following equation
4.1.2. Decentralized Model (Model 1-B)
In the decentralized scenario, both the manufacturer and retailer independently make their decisions to maximize profit. In this model, the Stackelberg game structure is utilized with both the manufacturer as the leader and the retailer as the follower. In the beginning, the manufacturer decides their wholesale price and greenness level of the item; then the retailer, accordingly following manufacturer decisions, selects the best price for items to boost their benefit. So first, we develop the best reaction functions for retailers, which are demonstrated by wholesale price and the green level of green items.
Theorem 2.
Since , then under the decentralized model, the optimal sales prices are obtained as follows:
where, and
Proof.
Under the manufacturer leadership game approach, first we differentiate retailer’s profit function in (8) with respect to . The differentiations are listed below;
Theorem 3.
If holds, then under decentralized conditions, the optimal wholesale price and green level are obtained by solving the following:
Proof.
Differentiating with respect to and g, we obtain (17) and (18). Similarly, differentiation with respect to gives Equation (19). Solving Equation (17), Equations (18) and (19), we get the solution and these solutions are optimal, as it verifies the uniqueness and existence condition. Clearly, , , and , when holds. Moreover, . □
Theorem 4.
Since , under decentralized scenario, the retail price of green and non-green products , are increasing function in .
4.2. With Government Interference Model (Model 2)
In this model, the government provides a certain amount of green item subsidy and tax for non-green items shown in Figure 2. Under the model with government interference, demand faced by the supply chain is a linear function of selling prices of the green and non-green item, green degree of the green item, government tariff, consumer’s loyalty degree to the green supply chain. To formulate the demand functions, the presumptions utilized in (Xiao and Yang [], Ghosh and Shah []) are taken, and the demand functions of channel members are considered as follows
The government pays per green item-unit as the subsidy rate to inspire green product makers, and buyers need to pay () to purchase a green item. To make up for the social and financial expenses of non-green item production, the government puts on a penalty rate of to the non-green item as a tax, and consumers need to pay () to buy this kind of item. It ought to be seen that the governments’ earnings from inflicting taxes would be dedicated to rewarding non-green items harms to nature, and the government looks for social assistance and consumer surplus.
The manufacturers and retailer profit functions can be obtained as follows.
Substituting and into Equations (22)–(24); the manufacturers and retailer’s profit functions are further obtained as:
4.2.1. Centralized Model (Model 2-A)
As discussed in the previous Section 4.1.1, adding the profit function of the both green and non-green manufacturer with government interference and profit of the retailer; integrated profit function of the supply chain system is obtained as follows:
Theorem 5.
In the centralized scenario of the supply chain members, there exists an unique optimal solution, and the solutions are obtained from the following equations
4.2.2. Decentralized Model (Model 2-B)
As discussed in the previous Section 4.1.2, each channel member independently makes their decision. Firstly, the manufacturer makes decisions about the wholesale price and greening level, and following manufacturer decisions, retailers decide their sales price.
Theorem 6.
Since , then under decentralized model with government interference, the optimal sales prices are obtained as follows:
where, and .
Proof.
The first-order differential equation of retailer’s profit function in (27) are as follows;
Theorem 7.
If holds, then under the decentralized model with government interference, the optimal wholesale price and green level are obtained by solving the following:
Proof.
Theorem 8.
When and hold, then the retail prices of green and non-green products , are increasing function in .
4.2.3. Government Profit Function
Government has to pay as a subsidy amount to reward ecological and social harm caused by that item. Furthermore, the government imposes a penalty rate of for the non-green item. So, the consumer has to pay as tax for non-green items. The government’s profit function () is formulated as follows;
Substituting and in (39) the government’s profit function () is further obtained as;
Optimum values for the decision variables are calculated in an integrated and Stackelberg game manner. After replacing the best reaction function of the channel members of the supply chain in (39), then the government profit function has been derived in the centralized and decentralized scenario. Proving joint concavity of this function is straightforward, so these proofs are excluded and directly shown in the numerical investigation.
5. Numerical Experiment
Optimal pricing and greening decisions of the green and non-green items with and without government interference under a duopoly supply chain are discussed separately. Then, the optimal solutions of the two models are analyzed and compared. By sensitivity analysis, the influence of parameters on the optimum solutions is discussed. Regarding the setting of related parameters in this study, some values are taken from the literature by Madani and Rasti-Barzoki [], and some values are taken hypothetically based on the assumption of our model listed in Table 1.
Table 1.
Numerical datasets.
Comparative Study of Optimal Solutions of the Model
The optimum results in Table 2 are obtained by putting the numerical data sets of Table 1 into theoretical results of Model 1-A, Model 1-B, Model 2-A, Model 2-B.
Table 2.
Optimal solutions.
From the Table 2, compared to the model without government interference, the common regular non-green product wholesale price in the decentralized model is reduced. At the same time, the sales price is also reduced in both centralized and decentralized models. Moreover, green products’ sales prices sold in both centralized and decentralized models are increased. This is because it is obvious that the greenness level of the product in the centralized and decentralized model is higher with the government interference model than the without government interference. However, the profit of the green manufacturer is reduced in the centralized model (for wholesale price ) and increased in the decentralized model after government interference. However, generally, manufacturers invest a high amount in improving the green level. So, to enhance the profitability of a green manufacturer, it is necessary to maintain the centralized wholesale price of the product. The changes of the manufacturer’s profit with different wholesale prices in the case of centralized model are shown in Table 2 (for ).
The above shows that the demand for green items increases after government interference and common non-green item demand reductions. Due to customer attention on green items and the reduction of primary demand of a non-green item, a decision-maker needs to optimize the sales price, the wholesale price, which is shown in Table 2. For this reason, the non-green manufacturer profit is lower in Model 2-B compared to Model 2-A. It is revealed that the retailer’s profit is increased in both the centralized and decentralized models when the government interferes with green manufacturing. As a result, total supply chain profit is continuously improved with the government interference model. The government faces more loss when channel members make their decisions in an integrated manner, but this loss is very much reduced when channel members are independent decision-makers.
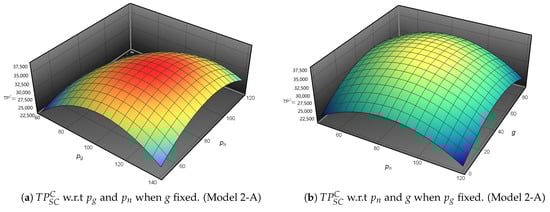
The concavity curve of profit function under Model 2-A and 2-B are shown graphically in Figure 3a–d. The total profit in the centralized model is highest when and if g is fixed in Figure 3a. Again, when is fixed, for the value of and , the centralized profit is the highest seen in Figure 3b. Figure 3c shows the concavity of total profit with respect to and g when is fixed. In the decentralized model, concavity of the retailer profit with respect to and is shown in Figure 3d. Retailer profit is highest when and .

Figure 3.
Concavity curve and with Govt. Interference.
6. Sensitivity Analysis
6.1. Effect of Demand Elasticity Parameter
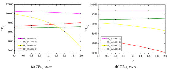
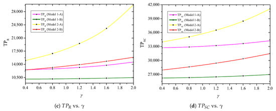
From Table 3, with the increasing value of market potential a, all the decision variables () and profit function () are increases for both centralized and decentralized model, with and without government interference. Increasing market potential increases the market demand seen in Figure 7a,b, which encourages the manufacturer and retailer to increase the selling price. The manufacturer also concentrates on inducing greenness levels. The profit of the channel members as well as the whole supply chain system simultaneously increases. However, the government faces more loss for increasing this parameter. Exactly the opposite phenomenon is observed for the increasing value of () seen in Table 3. Increasing self-price and cross-price elasticity reduces the demand for both green and non-green items (in Figure 7c,d). As a result, all profit functions and the value of decision variables are simultaneously decreased. However, government loss is reduced with increasing () and headed towards profit.
Table 3.
Sensitivity analysis with respect to a, b and c.
6.2. Effect of Manufacturing Cost and in Profit Function
As the manufacturing cost of the green item expanded, the demand for green items decreases, but there is more demand for the non-green item than the green one. So, the profit of the non-green manufacturer increases, and the green manufacturer profit decreases, as shown in Figure 4e,f. Total profit of the retailer increases in the centralized model, both with and without government interference scenario, as increases and decreases in the decentralized model seen in Figure 4g. Total benefit of the supply chain simultaneously reduces for expanding seen in Figure 4h.
Figure 4.
Profit of supply chain members w.r.t parameter .
Precisely a contrary situation is seen for the total profit of both green and non-green manufacturers for the increasing value of (in Figure 5a,b). However, the same characteristic is observed for the profit function of the retailer and total profit of the supply chain for increasing like (in Figure 5c,d).
Figure 5.
Profit of supply chain members w.r.t parameter .
From an economic viewpoint, it is clear that when the manufacturing cost increases, the member’s benefit and overall benefit of the supply chain are reduced. Higher manufacturing costs increase the sales price; causes buyers to change the mind of purchasing green and non-green items and reduces the market potential. Lower manufacturing costs can enhance the benefit of the supply chain.
6.3. Effect of Customer Green Preference
To generate awareness regarding customer preference, the sensitivity of regulates. From Figure 6a–d, for an increasing value of , the total profit of both green and non-green manufacturers decreases significantly, but retailer profit and whole system profit increase at a steeper rate in the centralized model without government interference. However, in the government subsidy facility and tax imposition, the manufacturer’s profit will reduce other hands, and the retailer profit will rapidly increase. In the decentralized model, both the model with and without government interference, the total profit of the green manufacturer, retailer, and whole system profit rises slowly with the increasing value of . Non-green manufacturer profit in decentralized model with government interference decreases with increasing .

Figure 6.
Profit of supply chain members w.r.t parameter .
6.4. Effect of Government Subsidy Parameter
In this segment, the impacts of changes in the government subsidy on benefits, demands, costs, and greening of items will be analyzed and shown in Table 4, Figure 7e,f when the tax rate is equivalent to 8. Variation of demand due to changes of are displayed in Figure 7e,f. Non-green item demand is almost unchangeable (Figure 7f), and green item demand is increasing rapidly (Figure 7e) with the increasing . It may be inferred that by uplifting the subsidy, the government could amplify the size of the market for the green item, while the non-green items market size is pre-determined. Increasing demand for green items encourages raising the sales price of green items. From Table 4, the selling price and wholesale price of the green items increase at a steeper rate, and prices of the non-green item decrease with the increasing value of . Moreover, from Table 4, selecting higher subsidy for the supply chain leads to more sustainability. The total profit of both green and non-green manufacturers decreases with the increasing in a centralized and decentralized model. However, the total profit of the retailer and whole supply chain profit increases, and government leads towards loss. Therefore, it could be observed that increasing subsidies would encourage the retailer to purchase more green items.
Table 4.
Sensitivity analysis with respect to and .

Figure 7.
Effect of parameter () on demand.
6.5. Effect of Tax Rate Parameter
In this part, to discuss the impacts of change of tax amount on supply chain and government, the default settings of key parameters will be analyzed, and the subsidy will be equivalent to 0.2 shown in Table 4 and Figure 7g,h. With increasing , the centralized model does not significantly influence the demand for both green and non-green items. The need for green products decreases slightly in the decentralized model (Figure 7g), but it causes a bit of growth in non-green product demand in decentralized model seen in (Figure 7h). As the government pushes up the tax rate, the wholesale price and retail price of green and non-green items decrease slowly in the competitive market. In both centralized and decentralized models, the profit of the manufacturer drops smoothly, but the benefit of the retailer in decentralized model increases, as seen in Table 4. As a whole, the total system profit decreases. Governments can benefit by inducing tax on channel members of the supply chain. It could be seen that changing the tax amount is not an excellent strategy to boost ecological activity, and it lessens basic market potential.
7. Conclusions
To solve collaborative pricing and greening strategies of common regular non-green items and green items with government interference, as well as without government interference, this study addresses two decision models of a duopoly green supply chain, considering multiple manufacturers and a single retailer. Corresponding optimum solutions of the centralized and decentralized model with government interference as well as without government interference under consumer greening preference are compared and analyzed. Finally, making sensitivity analysis of the numerical example, the effect of government subsidy and tax on selling prices and item’s greening level is analyzed and draw corresponding conclusions.
It is observed from the result that, firstly, compared to the model without government interference, under the model with government interference, manufacturer’s and retailer’s sales price of the green items has increased; simultaneously, regular non-green item sales price has been decreasing. From an ecological viewpoint, government interference can assist green items’ sales along with development. The retailer and green manufacturer profit increases in the government interference model, in which the profitability of green manufacturer also depends on wholesale price. With the increasing wholesale price, the profit of the green manufacturer increases. At last, the non-green manufacturer profit depends on the collaborative policy, the amount of government subsidy, and tax rate. Secondly, in terms of the effect of customer preference on the green item in both the models, wholesale price and selling price are more than that of the non-green item. Finally, with the increase of tax rate, which prompts an increment in government profit but a reduction in the total profit of the supply chain system, the greenness level is not so sensitive for tax rate variations. The above conclusion shows that the appropriate subsidy and tax will increase demand and improve the green item, which is beneficial to the environment.
Although this study contributes some suggestions to the supply chain manager: Firstly, governments should plan proper subsidy amount and tax rate strategies to help the organizations by starting green advancement. Secondly, organizations should effectively upgrade green product innovation and build up the green items’ exposure and advancement to improve green items’ sales and advance green item development. Thirdly, customers should consistently upgrade their own green ecological protection mindfulness, pick some green items—however much as could reasonably be expected when shopping—and add to natural assurance.
This work considers two manufacturers and one retailer, but in reality, since the structure of the supply chain is more complex, the future research direction can consider the supply chain structure with numerous producers and different retailers. Different phenomena of inventory decisions like retailer’s warehouse consideration, product deterioration, reliability can be included in multi-layered supply chains under crisp or fuzzy environments.
Author Contributions
All authors have contributed equally. All authors have read and agreed to the published version of the manuscript.
Funding
This research received no external funding.
Institutional Review Board Statement
Not applicable.
Informed Consent Statement
Not applicable.
Data Availability Statement
Not applicable.
Conflicts of Interest
The authors declare no conflict of interest.
References
- Chekima, B.; Wafa, S.A.W.S.K.; Igau, O.A.; Chekima, S.; Sondoh, S.L., Jr. Examining green consumerism motivational drivers: Does premium price and demographics matter to green purchasing? J. Clean. Product. 2016, 112, 3436–3450. [Google Scholar] [CrossRef]
- Seuring, S. A review of modeling approaches for sustainable supply chain management. Decis. Support Syst. 2013, 54, 1513–1520. [Google Scholar] [CrossRef]
- Azevedo, S.G.; Carvalho, H.; Machado, V.C. The influence of green practices on supply chain performance: A case study approach. Transp. Res. Part E Logist. Transp. Rev. 2011, 47, 850–871. [Google Scholar] [CrossRef]
- El Saadany, A.M.; Jaber, M.Y. A production/remanufacturing inventory model with price and quality dependant return rate. Comput. Ind. Eng. 2010, 58, 352–362. [Google Scholar] [CrossRef]
- El Seuring, S.; Müller, M. From a literature review to a conceptual framework for sustainable supply chain management. J. Clean. Prod. 2008, 16, 1699–1710. [Google Scholar] [CrossRef]
- Hall, J. Environmental supply chain dynamics. J. Clean. Product. 2016, 8, 455–471. [Google Scholar] [CrossRef]
- Pujari, D. Eco-innovation and new product development: Understanding the influences on market performance. Technovation 2006, 26, 76–85. [Google Scholar] [CrossRef]
- Peng, H. Optimal subsidy policy for accelerating the diffusion of green products. J. Ind. Eng. Manag. 2013, 6, 626–641. [Google Scholar] [CrossRef] [Green Version]
- Stucki, T.; Woerter, M.; Arvanitis, S.; Peneder, M.; Rammer, C. How different policy instruments affect green product innovation: A differentiated perspective. Energy Policy 2018, 114, 245–261. [Google Scholar] [CrossRef]
- de Oliveira, U.R.; Espindola, L.S.; da Silva, I.R.; da Silva, I.N.; Rocha, H.M. A systematic literature review on green supply chain management: Research implications and future perspectives. J. Clean. Prod. 2018, 187, 537–561. [Google Scholar] [CrossRef]
- Luke, E. Firms get help in tracking EU green legislation. China Dly. 2005, 2, 2. [Google Scholar]
- Chen, Y.J.; Sheu, J.B. Environmental-regulation pricing strategies for green supply chain management. Transp. Res. Part E Logist. Transp. Rev. 2009, 45, 667–677. [Google Scholar] [CrossRef] [Green Version]
- Chen, S.; Wang, X.; Ni, L.; Wu, Y. Pricing policies in green supply chains with vertical and horizontal competition. Sustainability 2017, 9, 2359. [Google Scholar] [CrossRef] [Green Version]
- Liu, P.; Yi, S.P. Pricing policies of green supply chain considering targeted advertising and product green degree in the big data environment. J. Clean. Product. 2017, 164, 1614–1622. [Google Scholar] [CrossRef]
- Aslani, A.; Heydari, J. Transshipment contract for coordination of a green dual-channel supply chain under channel disruption. J. Clean. Product. 2019, 223, 596–609. [Google Scholar] [CrossRef]
- Fang, Y.; Wang, X.; Yan, J. Green Product Pricing and Order Strategies in a Supply Chain under Demand Forecasting. Sustainability 2020, 12, 713. [Google Scholar] [CrossRef] [Green Version]
- Barman, A.; Das, R.; De, P.K. Optimal pricing and greening decision in a manufacturer retailer dual-channel supply chain. Mater. Today Proc. 2021, 42, 870–875. [Google Scholar] [CrossRef]
- Cheng, W.; Appolloni, A.; D’Amato, A.; Zhu, Q. Green Public Procurement, missing concepts and future trends—A critical review. J. Clean. Product. 2018, 176, 770–784. [Google Scholar] [CrossRef]
- Zhang, C.T.; Wang, H.X.; Ren, M.L. Research on pricing and coordination strategy of green supply chain under hybrid production mode. Comput. Ind. Eng. 2014, 72, 24–31. [Google Scholar] [CrossRef]
- Jamali, M.B.; Rasti-Barzoki, M. A game theoretic approach for green and non-green product pricing in chain-to-chain competitive sustainable and regular dual-channel supply chains. J. Clean. Product. 2018, 170, 1029–1043. [Google Scholar] [CrossRef]
- Ranjan, A.; Jha, J.K. Pricing and coordination strategies of a dual-channel supply chain considering green quality and sales effort. J. Clean. Product. 2019, 218, 409–424. [Google Scholar] [CrossRef]
- Raza, S.A.; Govindaluri, S.M. Greening and price differentiation coordination in a supply chain with partial demand information and cannibalization. J. Clean. Prod. 2019, 229, 706–726. [Google Scholar] [CrossRef]
- Shen, B.; Cao, Y.; Xu, X. Product line design and quality differentiation for green and non-green products in a supply chain. Int. J. Prod. Res. 2020, 58, 148–164. [Google Scholar] [CrossRef]
- Wang, L.; Song, Q. Pricing policies for dual-channel supply chain with green investment and sales effort under uncertain demand. Math. Comput. Simul. 2020, 171, 79–93. [Google Scholar] [CrossRef]
- Das, R.; De, P.K.; Barman, A. Co-Ordination of a Two-Echelon Supply Chain with Competing Retailers Where Demand Is Sensitive to Price and Quality of the Product. In Mathematical Modeling, Computational Intelligence Techniques and Renewable Energy, Proceedings of the First International Conference, MMCITRE, Gandhinagar, India, 21–23 February 2020; Springer: Singapore, 2021; pp. 379–387. [Google Scholar]
- Barman, A.; Das, R.; De, P.K. An analysis of retailer’s inventory in a two-echelon centralized supply chain co-ordination under price-sensitive demand. SN Appl. Sci. 2020, 2, 1–15. [Google Scholar] [CrossRef]
- Sinha, S.; Sarmah, S.P. Coordination and price competition in a duopoly common retailer supply chain. Comput. Ind. Eng. 2010, 59, 280–295. [Google Scholar] [CrossRef]
- Barman, A.; Das, R.; De, P.K. An analysis of optimal pricing strategy and inventory scheduling policy for a non-instantaneous deteriorating item in a two-layer supply chain. Appl. Intell. 2021. [Google Scholar] [CrossRef]
- Huang, H.; Ke, H. Pricing decision problem for substitutable products based on uncertainty theory. J. Intell. Manuf. 2017, 28, 503–514. [Google Scholar] [CrossRef]
- Das, R.; De, P.K.; Barman, A. Pricing and ordering strategies in a two-echelon supply chain under price discount policy: A Stackelberg game approach. J. Manag. Anal. 2021, 1–27. [Google Scholar] [CrossRef]
- Giri, R.N.; Mondal, S.K.; Maiti, M. Bundle pricing strategies for two complementary products with different channel powers. Ann. Oper. Res. 2020, 287, 701–725. [Google Scholar] [CrossRef]
- Barman, A.; Das, R.; De, P.K. Optimal pricing, replenishment scheduling, and preservation technology investment policy for multi-item deteriorating inventory model under shortages. Int. J. Model. Simul. Sci. Comput. 2021, 2150039. [Google Scholar] [CrossRef]
- Ma, Y.; Liu, Y.; Appolloni, A.; Liu, J. Does green public procurement encourage firm’s environmental certification practice? The mediation role of top management support. Corp. Soc. Responsib. Environ. Manag. 2021, 28, 1002–1017. [Google Scholar] [CrossRef]
- Sheu, J.B.; Chen, Y.J. Impact of government financial intervention on competition among green supply chains. Int. J. Prod. Econ. 2012, 138, 201–213. [Google Scholar] [CrossRef]
- Krass, D.; Nedorezov, T.; Ovchinnikov, A. Environmental taxes and the choice of green technology. Prod. Oper. Manag. 2013, 22, 1035–1055. [Google Scholar] [CrossRef]
- Wang, K.; Zhao, Y.; Cheng, Y.; Choi, T.M. Cooperation or competition? Channel choice for a remanufacturing fashion supply chain with government subsidy. Sustainability 2014, 6, 7292–7310. [Google Scholar] [CrossRef] [Green Version]
- Droste, N.; Hansjürgens, B.; Kuikman, P.; Otter, N.; Antikainen, R.; Leskinen, P.; Pitkänen, K.; Saikku, L.; Loiseau, E.; Thomsen, M. Steering innovations towards a green economy: Understanding government intervention. J. Clean. Product. 2016, 135, 426–434. [Google Scholar] [CrossRef]
- Yang, D.; Xiao, T. Pricing and green level decisions of a green supply chain with governmental interventions under fuzzy uncertainties. J. Clean. Product. 2017, 149, 1174–1187. [Google Scholar] [CrossRef]
- Nielsen, I.E.; Majumder, S.; Sana, S.S.; Saha, S. Comparative analysis of government incentives and game structures on single and two-period green supply chain. J. Clean. Product. 2019, 235, 1371–1398. [Google Scholar] [CrossRef]
- He, P.; He, Y.; Xu, H. Channel structure and pricing in a dual-channel closed-loop supply chain with government subsidy. Int. J. Prod. Econ. 2019, 213, 108–123. [Google Scholar] [CrossRef]
- Sana, S.S. Price competition between green and non green products under corporate social responsible firm. J. Retail. Consum. Serv. 2020, 55, 102118. [Google Scholar] [CrossRef]
- Xiao, T.; Yang, D. Price and service competition of supply chains with risk-averse retailers under demand uncertainty. Int. J. Prod. Econ. 2008, 114, 187–200. [Google Scholar] [CrossRef]
- Ghosh, D.; Shah, J. A comparative analysis of greening policies across supply chain structures. Int. J. Prod. Econ. 2012, 135, 568–583. [Google Scholar] [CrossRef]
- Madani, S.R.; Rasti-Barzoki, M. Sustainable supply chain management with pricing, greening and governmental tariffs determining strategies: A game-theoretic approach. Comput. Ind. Eng. 2017, 105, 287–298. [Google Scholar] [CrossRef]
Publisher’s Note: MDPI stays neutral with regard to jurisdictional claims in published maps and institutional affiliations. |
© 2021 by the authors. Licensee MDPI, Basel, Switzerland. This article is an open access article distributed under the terms and conditions of the Creative Commons Attribution (CC BY) license (https://creativecommons.org/licenses/by/4.0/).