Groundwater Extraction in the South Korea’s Jeju Island: A Real Options Game Approach under Price Uncertainty
Abstract
1. Introduction
2. Methods
2.1. Model
2.2. The Follower’s Problem
2.3. The Leader’s Problem
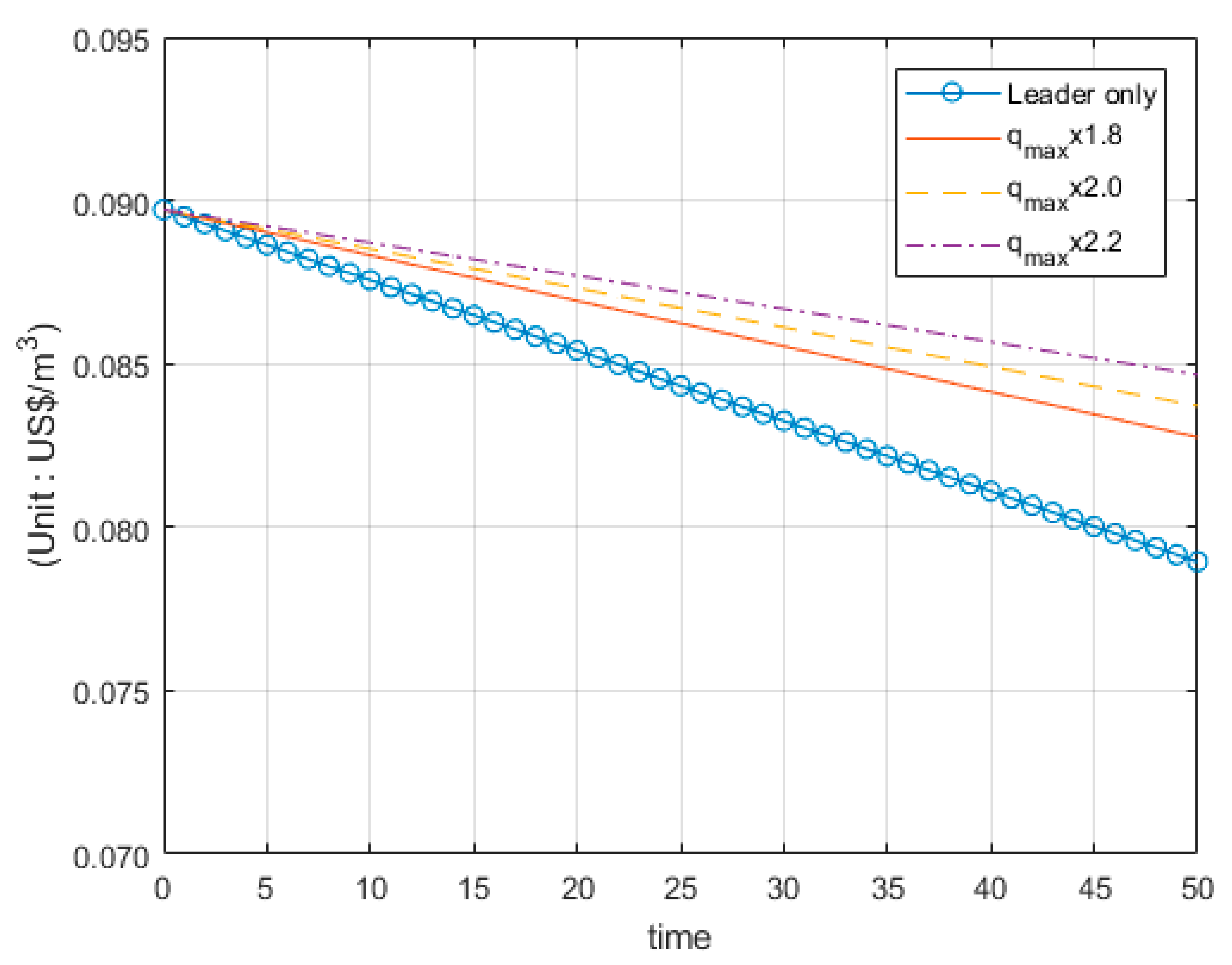
3. Simulation
3.1. Data
3.2. Results
4. Conclusions
Author Contributions
Funding
Institutional Review Board Statement
Informed Consent Statement
Data Availability Statement
Acknowledgments
Conflicts of Interest
References
- Won, J.H.; Lee, J.Y.; Kim, J.W.; Koh, G.W. Groundwater occurrence on Jeju Island, Korea. Hydrogeol. J. 2006, 14, 532–547. [Google Scholar] [CrossRef]
- Burt, O.R. Optimal resource use over time with an application to ground water. Manag. Sci. 1964, 11, 80–93. [Google Scholar] [CrossRef]
- Knapp, K.C.; Olson, L.J. The economics of conjunctive groundwater management with stochastic surface supplies. J. Environ. Econ. Manag. 1995, 28, 340–356. [Google Scholar] [CrossRef]
- Rubio, S.J.; Castro, J.P. Long-run groundwater reserves under uncertainty. Investig. Econ. 1996, 20, 71–88. [Google Scholar]
- Fisher, A.C.; Rubio, S.J. Adjusting to climate change: Implications of increased variability and asymmetric adjustment costs for investment in water reserves. J. Environ. Econ. Manag. 1997, 34, 207–227. [Google Scholar] [CrossRef]
- Tsur, Y. The economics of conjunctive ground and surface water irrigation systems: Basic principles and empirical evidence from Southern California. In Decentralization and Coordination of Water Resource Management; Springer Science & Business Media: New York, NY, USA, 1997. [Google Scholar]
- Winter, T.C.; Harvery, J.W.; Franke, O.L.; Alley, W.M. Ground Water and Surface Water: A Single Resource; U.S. Department of the Interior Bruce Babbitt, Secretary: Denver, CO, USA, 1998. [Google Scholar]
- Mikhail, M.; Fencl, A.; Naruchaikusol, S.; Kemp-Benedict, E. Innovation and Diffusion of Sustainable Agricultural Water Resource Management in a Changing Climate: A Case Study in Northeast. Thailand; Stockholm Environment Institute: Stockholm, Sweden, 2010. [Google Scholar]
- Evans, W.R.; Evans, R.S.; Holland, G.F. Conjunctive Use and Management of Groundwater and Surface Water within Existing Irrigation Commands: The Need for a New Focus on an Old Paradigm; Groundwater Governance: Sydney, Australia, 2011.
- Douxchamps, S.; Augustine, A.; Jennie, B. Evolution of Agricultural Water Management in Rainfed Crop-Livestock Systems of the Volta Basin; CGIAR Challenge Program on Water and Food: Colombo, Sri Lanka, 2012. [Google Scholar]
- Nasim, S.; Helfand, S. Optimal Groundwater Management in Pakistan’s Indus Water Basin; International Food Policy Res Institute: San Francisco, CA, USA, 2016. [Google Scholar]
- Seo, S.T. A real options approach to the investment analysis of irrigation systems. Korean J. Agric. Econ. 2006, 47, 31–50. [Google Scholar]
- Seo, S.T.; Segarra, E.; Mitchell, P.D.; Leatham, D.J. Irrigation technology adoption and its implication for water conservation in the Texas High Plains: A real options approach. Agric. Econ. 2007, 38, 47–55. [Google Scholar] [CrossRef]
- Mittal, G. Real Options Approach to Capacity Planning under Uncertainty. Master’s Thesis, Massachusetts Institute of Technology, Cambridge, MA, USA, 2004. [Google Scholar]
- Michailidis, A.; Mattas, K. Using real options theory to irrigation dam investment analysis: An application of binomial option pricing model. Water Resour. Manag. 2007, 21, 1717–1733. [Google Scholar] [CrossRef]
- Wang, T.; De Neufville, R. Building Real Options into Physical Systems with Stochastic Mixed-Integer Programming; Massachusetts Institute of Technology: Cambridge, MA, USA, 1997. [Google Scholar]
- Kjaerland, F. A real option analysis of investments in hydropower—The case of Norway. Energy Policy 2007, 35, 5901–5908. [Google Scholar] [CrossRef]
- Erfani, T.; Pachos, K.; Harou, J. Real-options water supply planning: Multistage scenario trees for adaptive and flexible capacity expansion under probabilistic climate change uncertainty. Water Resour Res. 2018, 54, 5069–5087. [Google Scholar] [CrossRef]
- Kind, J.M.; Baayen, J.H.; Botzen, W.W. Benefits and limitations of real options analysis for the practice of river flood risk management. Water Resour Res. 2018, 54, 3018–3036. [Google Scholar] [CrossRef]
- Clark, E.; Mondello, G. Resource management and the mayor’s guarantee in French water allocation. Environ. Resour. Econ. 2000, 15, 103–113. [Google Scholar] [CrossRef]
- Clark, E.; Mondello, G. Regulating natural monopolies: The case of drinking water in France. J. Contemp. Water Res. Educ. 2002, 121, 72–78. [Google Scholar]
- Brown, C.; Carriquiry, M. Managing hydroclimatological risk to water supply with option contracts and reservoir index insurance. Water Resour. Res. 2007, 43, W11423. [Google Scholar] [CrossRef]
- Gersonius, B.; Ashley, R.; Pathirana, A.; Zevenbergen, C. Climate change uncertainty: Building flexibility into water and flood risk infrastructure. Clim. Chang. 2013, 116, 411–423. [Google Scholar] [CrossRef]
- Yu, S.Y.; Unger, A.J.A.; Kim, T.H. Applicability of the real option valuation method to the economic analysis of water resources supply projects. Econ. Environ. Geol. 2008, 41, 551–562. [Google Scholar]
- Jeong, I.C. An Evaluation of the Economic Value of Outsourcing of Water Supply Services Considering Uncertainty of Water Price. Master’s Thesis, Korea University, Seoul, Korea, 2014. [Google Scholar]
- da Silva, L.P.B.; Hussein, H. Production of scale in regional hydropolitics: An analysis of La Plata River Basin and the Guarani Aquifer System in South America. Geoforum 2019, 99, 42–53. [Google Scholar] [CrossRef]
- Cascão, A.E. Ethiopia–challenges to Egyptian hegemony in the Nile Basin. Water Policy 2008, 10, 13–28. [Google Scholar] [CrossRef]
- Lankford, B.; Watson, D. Metaphor in natural resource gaming: Insights from the RIVER BASIN GAME. Simul. Gaming 2007, 38, 421–442. [Google Scholar] [CrossRef]
- Laukkanen, M.; Koundouri, P. Competition versus Cooperation in Groundwater Extraction: A Stochastic Framework with Heteregoneous Agents; MPRA: München, Germany, 2006. [Google Scholar]
- Bhaduri, A.; Manna, U.; Barbier, E.B.; Liebe, J. Cooperation in Transboundary Water Sharing under Climate Change; ZEF Bonn: Bonn, Germany, 2009. [Google Scholar]
- Bhaduri, A.; Manna, U.; Barbier, E.B.; Liebe, J. Climate change and cooperation in transboundary water sharing: An application of stochastic Stackelberg differential games in Volta river basin. Nat. Resour. Model. 2011, 24, 409–444. [Google Scholar] [CrossRef]
- Bhaduri, A.; Nicostrato, P.; Liebe, J. Scope and Sustainability of Cooperation in Transboundary Water Sharing of the Volta River; ZEF Bonn: Bonn, Germany, 2008. [Google Scholar]
- Weeds, H. Strategic delay in a real options model of R&D competition. Rev. Econ. Stud. 2002, 69, 729–747. [Google Scholar]
- Lee, J.H. Real options analysis of groundwater extraction and management with water price uncertainty. Rev. Environ. Econ. Policy 2018, 27, 639–666. [Google Scholar]
- Gisser, M.; Sanchez, D.A. Competition versus optimal control in groundwater pumping. Water Resour Res. 1980, 16, 638–642. [Google Scholar] [CrossRef]
- Dixit, A.K.; Pindyck, R.S. Investment under Uncertainty; Princeton University Press: Princeton, NJ, USA, 1994. [Google Scholar]
- Park, H.J. A real option approach to optimal use of natural resource: Revisiting the least cost principle. Korea Energy Econ. Rev. 2004, 3, 47–69. [Google Scholar]
- Fudenberg, D.; Tirole, J. Preemption and rent equalization in the adoption of new technology. Rev. Econ. Stud. 1985, 52, 383–401. [Google Scholar] [CrossRef]
- MOLIT; K-Water. National Groundwater Monitoring Network in Korea—Annual Report 2016; Ministry of Land, Infrastructure and Transport & K-Water: Gwacheon, Korea, 2016.
- Korean Meteorological Administration. 1981~2010 Climatological Normals of Korea; Korean Meteorological Administration: Seoul, Korea, 2011.
- Jeju Special Self-Governing Province. Investigation of Hydrological and Geological Resources of Jeju Island (III); Jeju Special Self-Governing Province: Jeju, Korea, 2013.
- Jeju Special Self-Governing Province. Jeju Special Self-Governing Province Annual Statistics; Jeju Special Self-Governing Province: Jeju, Korea, 2019.
- Tsay, R.S. Analysis of Financial Time Series; Wiley: Hoboken, NJ, USA, 2001. [Google Scholar]
- Pfeiffer, L.; Lin, C.-Y.C. Does efficient irrigation technology lead to reduced groundwater extraction? Empirical evidence. J. Environ. Econ. Manag. 2014, 67, 189–208. [Google Scholar] [CrossRef]
- Hendricks, N.P.; Peterson, J.M. Fixed effects estimation of the intensive and extensive margins of irrigation water demand. J. Agric. Resour. Econ. 2012, 37, 1–19. [Google Scholar]
- Kim, S.G.; Kim, G.B. Preliminary study on the comparison of water supply costs between groundwater and surface water. J. Geol. Soc. Korea 2016, 52, 457–464. [Google Scholar] [CrossRef]
- Jeju Special Self-Governing Province. Estimation of the Cost of the Ground Water Cost of Jeju Special Self-Governing Province and Improvement of the Charging System; Jeju Special Self-Governing Province: Jeju, Korea, 2012.
- Jeju Special Self-Governing Province. Jeju Special Self-Governing Province Groundwater Regulation; Jeju Special Self-Governing Province: Jeju, Korea, 2016.
- Hartwick, J.M.; Olewiler, N.D. The Economics of Natural Resource Use; Harper & Row Publishers Inc.: New York, NY, USA, 1986. [Google Scholar]
- Brozovic, N. Optimal Extraction of a Path-Dependent, Spatially Heterogeneous Resource; University of Illinois at Urbana-Champaign: Champaign, IL, USA, 2002. [Google Scholar]





| Category | Parameter | Value | |
|---|---|---|---|
| Groundwater | area of aquifer | 150,682,797 m2 | |
| topographic elevation | 342.6 EL. m | ||
| groundwater level | 250.75 m | ||
| precipitation | 1.923 m | ||
| natural recharge rate | 0.431 | ||
| amount of groundwater extraction | 122 million m3 | ||
| Water Price | drift rate | 0.0436 | |
| volatility rate | 0.1009 | ||
| Cost | charges for utilization | 0.071 US$/m3 | |
| marginal cost of groundwater extraction | 0.00038 US$/m3·m | ||
| maintenance cost | 0.041 US$/m3 | ||
| Investment | investment cost of leader | 9,108,333 US$ | |
| investment cost of follower | 7,725,000 US$ | ||
| Discount Rate | discount rate | 0.054 | |
| Factor | Investment Scale of Leader | ||||
|---|---|---|---|---|---|
| Investment Scale of Follower | 0.0848 | 0.0764 | 0.6950 | ||
| 0.2427 | 0.2521 | 0.2660 | |||
| 0.1328 | 0.1239 | 0.1158 | |||
| 0.2475 | 0.2593 | 0.2767 | |||
| 0.1395 | 0.1248 | 0.1122 | |||
| 0.2523 | 0.2665 | 0.2873 | |||
| Factor | Investment Scale of Leader | |||
|---|---|---|---|---|
| Investment Scale of Follower | 0.35 | 0.30 | 2.61 | |
| 0.54 | 0.48 | 0.42 | ||
| 0.55 | 0.47 | 0.39 | ||
Publisher’s Note: MDPI stays neutral with regard to jurisdictional claims in published maps and institutional affiliations. |
© 2021 by the authors. Licensee MDPI, Basel, Switzerland. This article is an open access article distributed under the terms and conditions of the Creative Commons Attribution (CC BY) license (http://creativecommons.org/licenses/by/4.0/).
Share and Cite
Lee, J.; Jang, H. Groundwater Extraction in the South Korea’s Jeju Island: A Real Options Game Approach under Price Uncertainty. Sustainability 2021, 13, 3431. https://doi.org/10.3390/su13063431
Lee J, Jang H. Groundwater Extraction in the South Korea’s Jeju Island: A Real Options Game Approach under Price Uncertainty. Sustainability. 2021; 13(6):3431. https://doi.org/10.3390/su13063431
Chicago/Turabian StyleLee, Jaehyung, and Heesun Jang. 2021. "Groundwater Extraction in the South Korea’s Jeju Island: A Real Options Game Approach under Price Uncertainty" Sustainability 13, no. 6: 3431. https://doi.org/10.3390/su13063431
APA StyleLee, J., & Jang, H. (2021). Groundwater Extraction in the South Korea’s Jeju Island: A Real Options Game Approach under Price Uncertainty. Sustainability, 13(6), 3431. https://doi.org/10.3390/su13063431

