Abstract
Conversion of residual algal biomass to value-added products is essential for enhancing the economics of algae cultivation. Algal hydrochar produced via hydrothermal carbonization of lipid-extracted Picochlorum oculatum is a material rich in oxygen functional groups and carbon (up to 67.3%) and hence a promising candidate for remediation of wastewaters. The hydrothermal carbonization conditions were optimized and the adsorption capacity of the hydrochar was tested for metal removal. By the end of the remediation process, cumulative removal of Al3+, Cu2+, Fe2+, Mg2+, Mn2+, and Pb2+ reached 89, 98, 75, 88, 75, and 100%, respectively. The adsorption of all metals was found to follow pseudo second-order kinetics and the Langmuir isotherm. Overall, when hydrothermal carbonization is applied to lipid-extracted algae, it generates a promising biobased adsorbent with value-added potential in metal remediation.
1. Introduction
Lipid-extracted algae (LEA) is the residual algal biomass obtained after extraction of valuable lipids, hence it is rich in carbohydrates and proteins [1]. LEA is a by-product of the algae industry with a mass of three times the mass of algal lipids recovered for biodiesel production [1]. To improve the economics of algae technologies for algal lipid-based biofuel production, LEA can be potentially upgraded to value-added products via hydrothermal carbonization (HTC), which is a thermochemical process at moderate temperature (180–250 °C) and pressure (2–10 MPa) [2]. During HTC, algal biomass undergoes a series of chemical reactions such as hydrolysis, dehydration, aromatization, decarboxylation, deamination, and polymerization that result in a solid product that is termed hydrochar and has a high carbon content and physical and chemical structure similar to that of lignite or coal [3,4]. Compared with biochar obtained via pyrolysis, hydrochar has lower surface area but is produced at lower temperatures (hence lower production cost) and is rich in oxygenated functional groups, such as carboxyl, carbonyl, hydroxyl, and phenolic hydroxyl, which facilitate metal adsorption [5,6]. Several types of carbonaceous materials can be converted to hydrochar, including agricultural waste, municipal solid waste, cellulosic biomass, and LEA [7]. The advantage of LEA is that it will be readily available in the bioeconomy of the future as a byproduct in large volumes at algae biorefineries designed to produce biofuels from algal lipids.
Hydrochar has been reported to remove heavy metals, such as As, Zn, and Cu, from landfill leachate [8]. Low-cost adsorbents are under investigation for heavy metal removal, such as Cu, Zn, As, Pb, Cd, and Cr, from various sources of wastewater and aqueous solutions [9,10,11,12]. There are numerous industrial activities, such as mining, electroplating, metal surface treatment, conversion-coating, printed circuit board manufacturing, inorganic pigment manufacturing, petroleum refining, and wood processing, which generate copious amounts of heavy metal containing wastewaters that need to be treated before release into the environment [13]. Heavy metals such as Co, Cu, As, Ni, Pb, Zn, Mn, and Al are soluble in water and can be absorbed by living organisms with severe health effects on marine animals and humans [13]. Such wastewaters have already negatively affected aquatic environments [14]. Currently, there are several methods to treat industrial effluents, such as precipitation, ion exchange, membrane filtration process, photocatalysis process, and electrochemical process, but they tend to be costly [15]. Adsorption is an effective option that is mostly based on activated carbon derived from coal, wood, peat, and coconut shells with a market size of USD 5.7 billion in 2021 that is projected to reach USD 8.9 billion by 2026 at an impressive annual growth rate of 9.3% [16]. However, activated carbon—both fossil and renewable—is costly, so there is a sizeable market opportunity for low-cost metal adsorbents produced from abundant and inexpensive renewable feedstocks, such as LEA, to address both cost and sustainability concerns. To date, a plethora of low-cost hydrochar and biochar from algae, peat, yeast, and agricultural wastes (sawdust, orange peel, corn cob, citrus peel, rice husks, bagasse, coconut shells, walnut shell) have been investigated as biobased adsorbents [17]. The advantages of biobased adsorbents are feedstock availability, low cost, high adsorption capacity, easy processing, and regeneration capacity [18]. However, they are still under development due to their high production cost; therefore, the economics need to be improved in order to become commercial and compete with conventional adsorbents.
Within the algae field, only hydrochar derived from whole algae cells has been studied as metal adsorbent. Although LEA hydrochar has been studied for solid fuel, microwave absorber, soil amendment in crop production, and carbon sequestration applications, it has not been assessed yet as a metal adsorbent that can potentially replace commercial carbon adsorbents [1,19]. In addition, there are no reports on converting either whole Picochlorum oculatum cells or LEA derived from P. oculatum into hydrochar. Hence, the aim of the present study was to assess the efficacy of HTC-produced LEA hydrochar for metal remediation as a means of monetizing LEA, a renewable algae byproduct, and thus enhancing the value chain of algae cultivation for biofuel production and other large-scale applications. At the same time, this study addressed the need for low-cost metal remediation of various industrial wastewaters that are considered an environmental threat. The physicochemical properties of the produced LEA hydrochar were analyzed and correlated to the HTC conditions in order to optimize the carbonization process. Through metal adsorption–desorption studies with LEA hydrochar, we investigated the efficiency and kinetics for metal removal (Al+3, Cu+2, Fe+2, Mg+2, Mn+2 and Pb+2) from an aqueous metal solution. Finally, kinetic and isotherm models were applied to elucidate the metal adsorption and desorption mechanisms during metal ion interaction with hydrochar.
2. Materials and Methods
2.1. Strain and Chemicals
The microalgal strain Picochlorum oculatum UTEX LB 1998 used in this study was grown in an outdoor novel horizontal bioreactor [20,21]. The microalgal biomass was harvested during stationary phase, and lipid-extracted algae (LEA) for subsequent hydrothermal carbonization was prepared by removing the cellular lipids using the modified Bligh and Dyer method with chloroform: methanol (2:1 v/v) as organic solvent based on a previously established protocol [7,22]. All solvents were of HPLC grade.
A synthetic solution of heavy metals was prepared to simulate industrial wastewaters by using aluminum sulfate octadecahydrate (ISO grade), copper sulfate pentahydrate (ISO grade), iron sulfate heptahydrate (ACS grade), magnesium sulfate heptahydrate (ACS grade), manganese sulfate monohydrate (ISO grade), and lead sulfate (ACS grade) dissolved in distilled water. The nitric acid and sodium hydroxide used for desorption studies were ACS grade, whereas ethanol was HPLC grade.
2.2. Hydrothermal Carbonization Reaction
The hydrothermal carbonization was conducted in a 160-mL Parr batch pressurized reactor equipped with a stirrer (Model 4564, Parr Instruments, Moline, IL, USA), as described in our previous work [7]. Briefly, LEA suspended in distilled water was subjected to HTC at a concentration of 8 to 15% by weight. Stirring was kept at 200 rpm, whereas the temperature range was 180–220 °C using a heating rate of 5 °C/min. The HTC reaction lasted 1–3 h after which the materials were cooled down to 30 °C and then solid and aqueous phase were separated via vacuum filtration. Distilled water was utilized to wash the hydrochar, which was subsequently oven-dried overnight under vacuum at 110 °C, whereas the aqueous phase was stored at 4 °C until further use/characterization. The hydrochar was ground into a fine powder for remediation experiments. The hydrochar yield and energy recovery of HTC were calculated based on the following equations:
where HHV is the higher heating value as determined based on the measured elemental composition (CHONS) of the respective material using the Dulong equation [23]:
Hydrochar yield (%) = (Dry weight of hydrochar/Dry weight of LEA) × 100%
Energy recovery (%) = (HHVhydrochar/HHVLEA) × Hydrochar yield (%)
HHV (MJ/kg) = 0.338 C + 1.428 (H − O/8) + 0.095 S
2.3. Composition of Metal Solution
In this study, a synthetic solution of metals was prepared to simulate the composition of an industrial wastewater [24]. It was prepared by dissolving in distilled water the sulfate salts of each metal at the concentrations described in Table S1. The pH of the resulting wastewater was 3.7 ± 0.2 and the visual MINTEQ computer program was utilized to determine the ionic form of each metal at this specific pH [25]. Fresh synthetic solution of metals was prepared for each experiment.
2.4. Adsorption and Desorption Experiments for Metal Remediation with Hydrochar
In adsorption experiments, LEA hydrochar samples were used for the removal of heavy metals from the metal solution. First, the effect of contact time (20–480 min) and adsorbent loading (50–500 mg) on each metal was studied by varying one variable at fixed values of the other variable. The optimum values for the two parameters, defined as those that led to the highest metal removal, were then utilized for all subsequent experiments at room temperature, as shown in the schematic representation of Figure 1. More specifically, three metal removal methods were tested with each one consisting of four in-series batch cycles. In method 1, during each cycle fresh hydrochar was utilized as feedstock, whereas in method 2 fresh hydrochar was used only in cycle 1, and each adsorption cycle was followed by desorption to generate so-called regenerated hydrochar. Finally, method 3 (hybrid) consisted of a combination of method 1 and method 2 with fresh or regenerated hydrochar (Figure 1) added to 20 mL of metal solutions in a 125-mL Erlenmeyer flask and placed in a shaker at 120 rpm. Briefly, in method 3, during the first cycle, fresh hydrochar was utilized as adsorbent and was regenerated for cycle 2 and cycle 3 by desorption. At the end of cycle 3, fresh hydrochar was utilized again and was then regenerated for 2 cycles in a closed-loop process. At the end of each cycle, the solution was centrifuged at 7000× g for 10 min (Eppendorf 5430 R centrifuge, Hamburg, Germany) to separate the metal solution from the solid hydrochar, which was oven-dried overnight under vacuum at 110 °C (Thermo Fisher). Metal removal was determined using the following equation:
where Co (mg/mL) is the initial concentration and Ct (mg/mL) is the final concentration of metal ions in the metal solution.
Metal removal (%)= (Co − Ct)/Co) × 100
Figure 1.
The three employed methods for metal ion removal from a synthetic metal solution via a series of batch adsorption steps.
For metal desorption from the hydrochar, as a means of hydrochar regeneration, the used hydrochar was mixed with 5% nitric acid (HNO3) under stirring at 120 rpm overnight. Subsequently, the hydrochar was washed with HNO3 solution, NaOH solution, ethanol, and distilled water. The solutions of both adsorption and desorption experiments were analyzed for metal ion concentrations using an energy dispersive X-ray fluorescence (EDXRF) spectrometer (Bruker Corporation, S2 PUMATM Series 2, Madison, WI, USA). The desorption efficiency (%) was calculated by the following equation:
where Cdes (mg/mL) is the concentration of metal ions in the solution after desorption.
Desorption efficiency (%) = (Cdes − Co) × 100%
2.5. Adsorption Kinetics and Langmuir Isotherm
The adsorption kinetics and Langmuir isotherm models were applied to the data of each cycle for each metal ion. The adsorption behavior was investigated with two types of kinetic models: pseudo first-order (PFO) and pseudo second-order (PSO). The adsorption capacity (mg/g) at time, t, was calculated by the following formula:
where Co and Ct (mg/mL) are the metal concentrations at time 0 and time t, respectively, V (mL) is the volume of adsorbate solution, and m (g) is the mass of the hydrochar adsorbent. The mathematical equations of the two kinetic models are:
where qe is the adsorption capacity (mg/g) at equilibrium and k1 (min−1) and k2 (g mg−1 min−1) are the adsorption rate constants of PFO and PSO, respectively.
qt = (Co − Ct) × (V/m)
PFO: ln (qe − qt) = ln qe − k1t
PSO: (t/qt)= 1/ k2qe2 + t/qe
The correlation between adsorbent surface and adsorbed ion were investigated using the Langmuir isotherm model. The linearized equation for this model is expressed as follows:
where qm is the maximum adsorption capacity (mg/g) of each metal on the adsorbent (hydrochar) and KL is the corresponding Langmuir adsorption constant (L/mg) for each metal.
Ce/qe = 1/KLqm + Ceqm
2.6. Characterization of Algae, Hydrochar, and Spent Hydrochar
2.6.1. N2 Adsorption and Desorption Analysis
A Quantochrome Autosorb IQ-MP/XR analyzer (Anton Parr, Graz, Austria ) was used to adsorb N2 onto the hydrochar samples at 77 K following degassing at 100 °C. The surface areas were calculated via the BET method using isotherm data points in the range of 0.05 < P/Po < 0.3 where P/Po is a relative pressure with Po being the vapor pressure of the adsorptive bulk liquid phase. The average pore diameter of each sample was determined with the Barrett-Joyner-Halenda (BJH) method from the adsorption isotherm.
2.6.2. Fourier Transform Infra-Red (FTIR) Spectroscopy
The functional groups on the surface of algal LEA and hydrochars before and after metal adsorption were determined with a Nicolet™ iS50 FTIR Spectrometer (Thermo Fisher Scientific, Waltham, MA, USA ). The FTIR spectrum was measured (50 scans) between 4000 and 500 cm−1 at room temperature.
2.6.3. Thermogravimetric Analysis (TGA)
A TGA analyzer (PerkinElmer STA 6000, Waltham, MA, USA) was employed to determine the combustion behavior of algal LEA and hydrochar. The analysis was conducted between 30 °C and 1000 °C at a heating rate of 20 °C/min under 30 mL/min air flow and the weight loss was recorded.
2.6.4. Scanning Electron Microscopy (SEM)
The surface morphology of algae, LEA and hydrochar was investigated with Topcon Aquila Hybrid Scanning Electron Microscope (SEM) (Nanounity LLC, Santa Clara, CA, USA). The samples were coated with gold film prior to imaging.
2.6.5. Proximate and CHONS Analysis
Proximate analysis, which includes the determination of moisture, volatile matter, fixed carbon, and ash content, was carried out using thermogravimetric analysis (TGA) with the sample heated to a constant weight. A LECO CHN628 elemental analyzer (LECO, St. Joseph, MO, USA) was utilized to determine the amount of carbon (C), hydrogen (H), and nitrogen (N) while an elemental LECO TruSpec S Analyzer (LECO, St. Joseph, MO, USA) was used to determine the amount of sulfur (S). Samples (~50 mg) were placed in ceramic crucibles and fed into an oxygen combustion chamber at 1000 °C to convert all carbon, hydrogen, nitrogen and sulfur species to CO2, H2O, NO2, and SO2, respectively, which were quantified by infrared analysis (FTIR) of the product gas. The oxygen percentage was calculated via the following equation:
O (wt.%)= 100 − C − H − N − S
2.7. Statistical Analysis
All experiments were performed in triplicate (n = 3) and variability is reported as mean ± standard deviation (SD). All figures were plotted using GraphPad Prism 9.0.2 Software (San Diego, CA, USA). The spectroscopic data from the FTIR analysis were plotted using OriginPro 8.5 software.
3. Results and Discussion
This section may be divided by subheadings. It should provide a concise and precise description of the experimental results, their interpretation, as well as the experimental conclusions that can be drawn.
3.1. Effects of HTC Temperature and Solids Loading
The hydrochar yield depends on the HTC parameters, namely reaction time, temperature, and solids loading, with the latter being the concentration of LEA in water expressed as % on a mass basis (g/100 g). In this study, it was observed that reaction time (1–3 h) did not have a significant impact on hydrochar yield (results not shown), whereas temperature and solids loading did. In general, it is reported that residence time has a smaller effect on hydrochar yield compared with temperature [26]. It is reported that during hydrothermal carbonization of corn cob at 250 °C, an increase in residence from 1 h to 2 h resulted in a decrease in solid yield by 0.2% [27], whereas during HTC of Miscanthus at 200 °C when the residence time was expanded from 1 to 24 h, the hydrochar yield dropped by 10% [28].
Overall, the LEA hydrochar yield ranged from 26.8% to 36.4% and decreased as the temperature was raised from 180 to 220 °C and the solids loading was lowered from 15 to 8% in almost a linear fashion, as seen in Figure 2, which is in accordance with literature reports [29]. Based on the results from the mass yields, the optimum HTC temperature and solids loading that resulted in the highest hydrochar yield appear to be around 180 °C and 15%, respectively. Previous studies have reported HTC yields of 25.3–45.7% from whole algae, but there are no reports from LEA [30]. Clearly, temperature was the most impactful parameter with the decrease in hydrochar yield at higher carbonization temperatures likely due to the decomposition of algal macromolecules, such as proteins and carbohydrates, to liquid products [31]. Similarly, an increase in the mass of the liquid phase and a concomitant decrease in the mass of the solid phase were previously reported at higher carbonization temperatures [32]. It is worth noting that hydrochar yield varies among the various types of feedstocks subjected to HTC [32]. In general, lignocellulosic biomass, especially when containing significant amounts of lignin, leads to higher hydrochar yield (55–80%) due to the relative recalcitrance of lignin towards degradation.
Figure 2.
Hydrochar yield after hydrothermal carbonization of lipid-extracted Picochlorum oculatum: (a) Over various temperatures at a constant 15% solids loading for 2 h; (b) over various solid loadings (%) at a constant temperature of 180 °C for 2 h.
3.2. Characteristics of P. oculatum LEA and Hydrochar
3.2.1. Surface Area and Pore Size
The surface area and average pore size of generated hydrochar samples ranged from 2.1 to 10.3 m2/g and from 2.4 to 7.1 nm, respectively (Figure 3). The significant increase (5-fold) in the surface area of hydrochar with increasing carbonization temperature can be attributed to thermal pyrolysis taking place at high temperatures [33]. In general, the surface area of hydrochar is usually significantly smaller compared with biochar obtained from pyrolysis [34]. Moreover, at low temperatures tarry substances form and plug the pores resulting in a low surface area [35]. Finally, the feedstock used for the HTC reaction affects the surface area and porosity as starch leads to a surface area up to 400 m2/g, whereas algae result in surface area up to 30 m2/g [36]. The most common way to enhance the surface properties of hydrochar is chemical or physical activation [36].
Figure 3.
Surface area and average pore size of hydrochar prepared at various HTC temperatures and solids loadings.
3.2.2. Surface Functional Groups
The FTIR spectra of whole P. oculatum, LEA and hydrochar samples revealed various functional groups present on the surface of each material (Figure 4a), as a result of the biochemical composition (proteins, carbohydrates, and lipids) of microalgae [37]. The FTIR spectra of P. oculatum showed peaks at wavelengths of 3290, 2950, and 2850 cm−1, which indicate the presence of -OH from carboxylic acid and C-H, C=CH-, -CH2, and -CH3 from fatty acids [38]. The -OH peak was also present in LEA and hydrochar suggesting that some residual lipids were still present in LEA. For the hydrochar samples, the peak on 3290 cm−1 represents either hydroxyl or carboxylic acid and becomes less intense with increasing HTC temperature as a result of the dehydration taking place during the process. In contrast, the peaks in the region of 2850–2950 cm−1 become more intense at higher carbonization temperatures, which can be attributed to the formation of hydrocarbon chains (-CH2 and -CH3) at higher temperatures [38]. In P. oculatum spectra the proteins are represented by the peaks observed in the region of 1400–1630 cm−1, which indicate C=O, C=C, and N-H functional groups of amides [39]. These peaks were still present in both LEA and hydrochar and became more intense with increasing carbonization temperature. Finally, the presence of carbohydrates in microalgae is represented by the intense peaks in the region 1000–1200 cm−1 as a result of the presence of -C-O-R in aliphatic ethers and -C-O in alcohol. However, these peaks were less intense in hydrochar samples, likely as a result of decomposition [39].
Figure 4.
FTIR spectra of (a) P. oculatum, LEA, and hydrochar samples prepared at 180, 200, and 220 °C; (b) hydrochar before and after adsorption. Peak identification: (1) -OH; (2) C-H, C=CH-, -CH2, and -CH3; (3) C=C=C; (4–6) C=O, C=C, N-H; and (7) -C-O-R and -C-O.
The presence of negatively charged oxygen functional groups (-OH, -COOH, C=O) or aromatic groups (C=C) or amide functional groups (N-H) allows adsorption of heavy metal from wastewaters, as previously reported via electrostatic attraction, ion exchange, complexation, redox and metal-π-interaction [40]. In this study, the FTIR spectra of hydrochar before and after adsorption of metals show that the peaks at 2850 and 2950 cm−1 became less intense after adsorption similarly to the peaks in the region of 1400–1630 cm−1 (Figure 4b). This confirms that the functional groups of C-H, C=CH-, C=O, C=C and N-H interacted with the metal ions through redox, metal-π interaction or ion exchange [40]. Finally, in the region 1000–1200 cm−1 several peaks either disappeared or became insignificant after adsorption, which means that the C-O functional groups favor adsorption of heavy metals.
3.2.3. Combustion Behavior
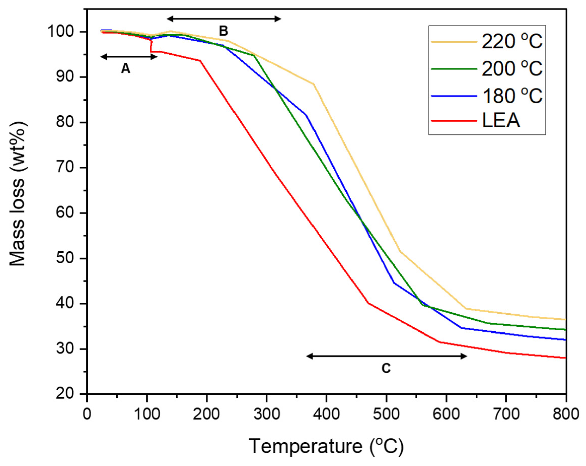
Thermogravimetric analysis (TGA) of LEA and prepared hydrochar samples show differences between them at the three stages of weight loss during combustion (Figure 5). Stage A in LEA ranged from 25 to 110 °C, whereas in hydrochar it ranged from 25 to 135 °C, representing the evaporation of physically absorbed water with a small weight loss of 4.5% and 1–2%, respectively, as all samples were oven dried prior to analysis (LEA at 60 °C and hydrochar at 110 °C). The TGA showed that the major LEA and hydrochar weight loss took place during combustion stages B and C, when biomass decomposition took place. Stage B ranging from 110 to 190 °C for LEA and from 200 to 375 °C for hydrochar represents the release of volatiles followed by combustion of volatiles in stage C ranging from 190 to 625 °C and from 375 to 625 °C, respectively.
Figure 5.
TGA curves of LEA and hydrochar prepared at 180, 200, and 220 °C via HTC.
3.2.4. Scanning Electron Microscopy (SEM)
The scanning electron micrographs (SEM) of P. oculatum cells, LEA, and hydrochar are shown in Figure 4. P. oculatum cells are mostly elliptical in shape (Figure 6a), but LEA appears deformed obviously because of the crushing of the cells during lipid extraction (Figure 6b). Hydrochar obtained from LEA appears to consist of large particles formed through agglomeration (Figure 6c). At higher magnification (200×), the hydrochar appeared to have a tortuous and porous surface (Figure 6d). Interestingly, the carbonization temperature did not seem to have an impact on surface morphology (Figure 6e,f).

Figure 6.
SEM images of Picochlorum oculatum (a) cells; (b) LEA; (c) hydrochar at 180 °C (magnified × 75); (d) hydrochar at 180 °C (magnified × 200); (e) hydrochar at 220 °C (magnified × 75); (f) hydrochar at 220 °C (magnified × 150).
3.2.5. Proximate and Elemental Composition
The proximate (moisture content, volatile matter, fixed carbon, and ash content) and elemental analysis (carbon, hydrogen, nitrogen, oxygen, sulfur) of algae, LEA, and hydrochar samples are listed in Table 1. Volatile content (wt.%) represents the low boiling point organic compounds that evaporate and then condense into oils and chars during the cooling stage, whereas fixed carbon (%) reflects the non-degradable carbon [38]. The volatile matter in all hydrochar samples was up to 1.2-fold lower than in LEA. The ash content of hydrochar did not significantly change with carbonization temperatures up to 200 °C, but at higher HTC temperatures it increased because the organic matter dissolved into the aqueous phase leaving behind a solid phase (hydrochar) with a higher ash content [41].
Table 1.
Chemical properties of algal biomass, LEA, and hydrochar. Each elemental content (CHONS) is expressed in wt.% dry.
Elemental analysis (CHONS) confirmed that HTC leads to a significantly decreased oxygen content and increased carbon content compared with LEA. More specifically, oxygen decreased from 41.9% to 21.1% and carbon increased from 43.1 to 67.3% in hydrochar at higher carbonization temperatures. The carbon enrichment of hydrochar is attributed to the condensation and aromatization reactions that occurred during HTC [38]. On the other hand, HTC did not affect the nitrogen, hydrogen, and sulfur content.
The changes in H/C and O/C atomic ratios during HTC are commonly shown in Van Krevelen diagrams to compare combustion properties based on hydrogen, oxygen, and carbon content (Figure 7) [42,43]. For all prepared hydrochar samples there was a reduction in both atomic ratios due to dehydration (loss of H) and decarboxylation (loss of C) reactions, thus rendering the hydrochar a better solid fuel than the LEA [44]. This reduction in atomic ratios results in an increase in the high heating value (HHV) of hydrochar [44], which ranged from 24.6 to 29.9 MJ/kg and was approximately 1.7 fold-higher than LEA, hence close to sub-bituminous coal (25–30.5 MJ/kg) [45]. The energy yield (%) ranged from 36.9 to 61.1 with the maximum achieved at 180 °C and 15% solids loading.
Figure 7.
Van Krevelen diagram for atomic ratios.
3.3. Metal Removal from Solution by Algal Hydrochar
3.3.1. Selection of Adsorption Conditions
Prior to metal removal studies, the ionic form for each metal was determined for better understanding of the adsorption mechanism. In general, it is known that pH affects the distribution of metal species, which in turn influences their removal profile [46]. Interestingly, none of the metals investigated in this study changed form in the low pH of the metal solution (Table S2). Preliminary trials were carried out to identify the optimum contact time and adsorbent dose. The contact time profile for all metals was studied with 300 mg of hydrochar adsorbent over periods of 20–480 min (Figure 8a). The data showed that equilibrium was achieved for all metals within 240 min, which is in agreement with the literature [33]. Moreover, the effect of adsorbent dose was studied at 240 min of contact time (Figure 8b). There was a significant increase from 50 to 300 mg, but it levelled off above that amount. Hence, all subsequent adsorption experiments were contacted with 300 mg of hydrochar at a residence time of 240 min.
Figure 8.
Removal efficiency (%) of Al+3, Cu+2, Fe+2, Mg+2, Mn+2, and Pb+2 as a function of (a) contact time at 300 mg of hydrochar dose; (b) adsorbent dose at 240 min of contact time during the four cycles of Method 1 (c), Method 2 (d), and Method 3 (e); (f) desorption efficiency of each metal ion.
3.3.2. Metal Solution Treatment
Studies of metal removal from metal solution by hydrochar were conducted according to 3 different remediation methods, as depicted in Figure 8. In method 1, fresh hydrochar was utilized in each cycle to maximize metal removal, although such a procedure may not be cost-effective or sustainable (Figure 8c). Method 2 involved a desorption procedure after each adsorption cycle in order to regenerate and reuse the hydrochar for the subsequent cycle (Figure 8d), which may be a more sustainable approach. As expected, at the end of cycle 4, method 2 exhibited an overall removal efficiency that was lower than that of method 1 as a result of the diminishing metal adsorption capacity of hydrochar due to a lower desorption efficiency after cycle 3 (Figure 8f). In an effort to assess whether a higher removal efficiency can be reached, a hybrid method 3 was then tested (Figure 8e) in which the hydrochar from cycle 1 was desorbed and reused in cycles 2 and 3, but was replaced by fresh hydrochar in cycle 4. Overall, after cycle 4 the cumulative removal efficiency of the hybrid method was 89, 98, 75, 88, 75 and 100% for Al+3, Cu+2, Fe+2, Mg+2, Mn+2 and Pb+2, respectively. Metal removal was also verified with FTIR analysis, as described earlier (Figure 4b). In general, the adsorption of metals on hydrochar adsorbate depends on the presence of surface functional groups, especially oxygen containing groups, and on physical adsorption affected by surface area and pore size [47]. In the present study, the hydrochar contained irregular-shaped particles with rather low surface area, but rich in oxygen functional groups (Figure 6). As a result, the adsorption of metal ions to hydrochar was mostly due to chemical means via the oxygen functional groups. However, the adsorption capacity (mg/g) for each metal was relatively low most likely due to the extreme low pH of metal solution, as reported before [33]. The design of the hybrid method 3 aimed at addressing that issue. Moreover, it is reported that the higher the initial metal concentration (mg/L), the lower the removal efficiency [48]. In our study, the initial concentration of each metal was high to realistically simulate industrial wastewater and its challenging nature with regard to remediation.
3.3.3. Adsorption Kinetics
The PFO and PSO kinetic models represent physical processes and chemical processes between the adsorbent (hydrochar) and the adsorbate (metal ions), respectively [33]. By fitting these models to the experimental data, the model parameters were determined, as summarized in Table 2, Table S3 and Figure S1. The R2 values of the PSO model, in the range 0.963–1.00, were higher for all metals in all cycles compared with the PFO model (0.866–1.000), which indicates that the experimental data fit better the pseudo second-order model suggesting that adsorption took place mostly via chemisorption either through surface complexation reactions or electron exchange [33]. The low k2 constant values imply that the increase in contact time resulted in a decrease in the adsorption rate and the adsorption rate was proportional to the number of unoccupied sites [49]. Finally, the qe estimation from the PSO model matches the experimental results of this study and confirms the better fit of the PSO model.
Table 2.
Kinetic parameters of the adsorption of various metal ions to hydrochar determined for the pseudo second-order model and experimental data fitting to the Langmuir adsorption model 1.
3.3.4. Langmuir Isotherm Analysis
Adsorption isotherms are important for understanding the distribution of the adsorbate (metal ions) between the liquid (metal solution) and solid (hydrochar) phase during equilibrium, which is essential for process design [50]. The adsorption isotherms of fresh hydrochar and regenerated hydrochar for each cycle were produced with the widely used two-parameter Langmuir isotherm model (Table 2, Figure S2). The high correlation coefficient (R2) for each metal (0.986–1.00) showed that the experimental data fit the Langmuir adsorption model very well, indicating that the reaction between metal ions and the oxygenated functionals groups on the surface of hydrochar was a monolayer reaction without much interaction among adsorbed molecules [33]. Overall, as presented in Table 2, both the kinetic and the isotherm model (PSO and Langmuir) estimated the qe (mg/g) significantly well and in almost all cycles for all metals matched the experimental data of the hybrid method (method 3).
4. Conclusions
Lipid-extracted algae biomass was converted to hydrochar with promising metal adsorption properties using hydrothermal carbonization, which is less energy-intensive than pyrolysis. Although technically feasible, this process can be economic only at large scale, such as algae biorefineries. Analysis showed that the hydrochar was rich in oxygenated functional groups, which enhanced metal ion adsorption as tested on simulated industrial wastewater. High metal removal rates were achieved using a combination of fresh and regenerated hydrochar (hybrid method 3). All tested metal ions were removed by hydrochar at efficiencies of 75–100% after a four-cycle process. The adsorption closely followed pseudo second-order kinetics and the Langmuir isotherm for each metal suggesting that the main adsorption mechanism of metals to algal hydrochar is homogeneous chemisorption (PSO) and monolayer reaction (Langmuir). The use of LEA-based hydrochar as an adsorbent for metal remediation can enhance the economics of algae technologies by allowing production of a biobased material that serves the remediation needs of industrial wastewaters and potentially of landfills (leachate) and chemical manufacturing plants.
Supplementary Materials
The following supporting information can be downloaded at: https://www.mdpi.com/article/10.3390/su14010455/s1, Table S1: Chemical composition of the synthetic metal solution, Table S2: Final molar concentration of the various ionic species present in the metal solution as determined by MINTEQ analysis. The initial molar concentrations of the metal ions were: 4.86 × 10−3 Al+3, 7.08 × 10−4 Cu+2, 3.74 × 10−3 Fe+2, 8.35 × 10−3 Mg+2, 6.74 × 10−4 Mn+2, and 2.41 × 10−5 Pb+2, Table S3: Kinetic parameters of the adsorption of various metal ions to LEA hydrochar determined for pseudo first-order model, Figure S1: Pseudo second-order (PSO) kinetic model fit to data of metal ion adsorption on hydrochar during cycle 1 (common to all 3 remediation methods), Figure S2: Langmuir isotherm model fit to data of metal ion adsorption on hydrochar during cycle 1 (common to all three remediation methods).
Author Contributions
Conceptualization, M.T., J.N.K. and G.P.P.; Methodology, M.T.; Investigation, M.T.; Data curation, M.T.; Software, M.T.; Formal analysis, M.T.; Writing—original draft, M.T.; Supervision, J.N.K. and G.P.P.; Project administration, J.N.K. and G.P.P.; Resources, J.N.K. and G.P.P.; Funding acquisition, J.N.K. and G.P.P.; Writing—review and editing, J.N.K. and G.P.P. All authors have read and agreed to the published version of the manuscript.
Funding
This research was funded by the Florida Department of Agriculture and Consumer Services (FDACS) through grant agreement 26100 to GPP and by the Hinkley Center for Solid Waste Management through a grant to J.N.K.
Institutional Review Board Statement
Not applicable.
Informed Consent Statement
Not applicable.
Data Availability Statement
Not applicable.
Acknowledgments
The authors wish to thank M. Yung of NREL and T. Rrapi of USF for technical assistance.
Conflicts of Interest
The authors declare no conflict of interest.
References
- Tsarpali, M.; Arora, N.; Kuhn, J.N.; Philippidis, G.P. Lipid-extracted algae as a source of biomaterials for algae biorefineries. Algal Res. 2021, 57, 102354. [Google Scholar] [CrossRef]
- Broch, A.; Jena, U.; Hoekman, S.K.; Langford, J. Analysis of Solid and Aqueous Phase Products from Hydrothermal Carbonization of Whole and Lipid-Extracted Algae. Energies 2013, 7, 62–79. [Google Scholar] [CrossRef] [Green Version]
- Shi, N.; Liu, Q.; He, X.; Wang, G.; Chen, N.; Peng, J.; Ma, L. Molecular Structure and Formation Mechanism of Hydrochar from Hydrothermal Carbonization of Carbohydrates. Energy Fuels 2019, 33, 9904–9915. [Google Scholar] [CrossRef]
- Puccini, M.; Stefanelli, E.; Hiltz, M.; Seggiani, M.; Vitolo, S. Activated carbon from hydrochar produced by hydrothermal carbonization of wastes. Chem. Eng. Trans. 2017, 57, 169–174. [Google Scholar]
- Zhang, S.; Zhu, X.; Zhou, S.; Shang, H.; Luo, J.; Tsang, D.C. Chapter 15—Hydrothermal Carbonization for Hydrochar Production and Its Application. In Biochar from Biomass and Waste; Ok, Y.S., Tsang, D.C.W., Bolan, N., Novak, J.M., Eds.; Elsevier BV: Amsterdam, The Netherlands, 2019; pp. 275–294. [Google Scholar]
- Zhang, X.; Wang, Y.; Cai, J.; Wilson, K.; Lee, A.F. Bio/hydrochar Sorbents for Environmental Remediation. Energy Environ. Mater. 2020, 3, 453–468. [Google Scholar] [CrossRef]
- Tsarpali, M.; Arora, N.; Kuhn, J.N.; Philippidis, G.P. Beneficial use of the aqueous phase generated during hydrothermal carbonization of algae as nutrient source for algae cultivation. Algal Res. 2021, 60, 102485. [Google Scholar] [CrossRef]
- Niinipuu, M.; Bergknut, M.; Boily, J.-F.; Rosenbaum, E.; Jansson, S. Influence of water matrix and hydrochar properties on removal of organic and inorganic contaminants. Environ. Sci. Pollut. Res. 2020, 27, 30333–30341. [Google Scholar] [CrossRef] [PubMed]
- Li, B.; Guo, J.-Z.; Liu, J.-L.; Fang, L.; Lv, J.-Q.; Lv, K. Removal of aqueous-phase lead ions by dithiocarbamate-modified hydrochar. Sci. Total Environ. 2020, 714, 136897. [Google Scholar] [CrossRef] [PubMed]
- Saber, M.; Takahashi, F.; Yoshikawa, K. Characterization and application of microalgae hydrochar as a low-cost adsorbent for Cu(II) ion removal from aqueous solutions. Environ. Sci. Pollut. Res. 2018, 25, 32721–32734. [Google Scholar] [CrossRef] [PubMed]
- Song, J.; Zhang, S.; Li, G.; Du, Q.; Yang, F. Preparation of montmorillonite modified biochar with various temperatures and their mechanism for Zn ion removal. J. Hazard. Mater. 2020, 391, 121692. [Google Scholar] [CrossRef]
- Xia, Y.; Yang, T.; Zhu, N.; Li, D.; Chen, Z.; Lang, Q.; Liu, Z.; Jiao, W. Enhanced adsorption of Pb(II) onto modified hydrochar: Modeling and mechanism analysis. Bioresour. Technol. 2019, 288, 121593. [Google Scholar] [CrossRef] [PubMed]
- Barakat, M. New trends in removing heavy metals from industrial wastewater. Arab. J. Chem. 2011, 4, 361–377. [Google Scholar] [CrossRef] [Green Version]
- U.S. Environmental Protection Agency Industrial Wastewater. 2021. Available online: https://www.epa.gov/npdes/industrial-wastewater (accessed on 18 October 2021).
- Shahedi, A.; Darban, A.K.; Taghipour, F.; Jamshidi-Zanjani, A. A review on industrial wastewater treatment via electrocoagulation processes. Curr. Opin. Electrochem. 2020, 22, 154–169. [Google Scholar] [CrossRef]
- Activated Carbon Market by Type, Application (Liquid Phase (Water Treatment, Foods & Beverages, Pharmaceutical & Medical), Gas Phase (Industrial, Automotive), and Region (APAC, North America, Europe, Middle East, South America)—Global Forecast to 2026. 2021. Available online: https://www.marketsandmarkets.com/Market-Reports/activated-carbon-362.html (accessed on 18 October 2021).
- Crini, G.; Lichtfouse, E.; Wilson, L.D.; Morin-Crini, N. Adsorption-Oriented Processes Using Conventional and Non-conventional Adsorbents for Wastewater Treatment. In Green Adsorbents for Pollutant Removal; Environmental Chemistry for a Sustainable World; Crini, G., Lichtfouse, E., Eds.; Springer: Cham, Switzerland, 2018; Volume 18. [Google Scholar] [CrossRef]
- Shamsollahi, Z.; Partovinia, A. Recent advances on pollutants removal by rice husk as a bio-based adsorbent: A critical review. J. Environ. Manag. 2019, 246, 314–323. [Google Scholar] [CrossRef]
- Singh, A.; Sharma, R.; Pant, D.; Malaviya, P. Engineered algal biochar for contaminant remediation and electrochemical applications. Sci. Total Environ. 2021, 774, 145676. [Google Scholar] [CrossRef]
- Dogaris, I.; Loya, B.; Cox, J.; Philippidis, G. Study of landfill leachate as a sustainable source of water and nutrients for algal biofuels and bioproducts using the microalga Picochlorum oculatum in a novel scalable bioreactor. Bioresour. Technol. 2019, 282, 18–27. [Google Scholar] [CrossRef]
- Dogaris, I.; Welch, M.; Meiser, A.; Walmsley, L.; Philippidis, G. A novel horizontal photobioreactor for high-density cultivation of microalgae. Bioresour. Technol. 2015, 198, 316–324. [Google Scholar] [CrossRef]
- Bligh, E.G.; Dyer, W.J. A rapid method of total lipid extraction and purification. Can. J. Biochem. Physiol. 1959, 37, 911–917. [Google Scholar] [CrossRef]
- Gouda, N.; Panda, A.; Singh, R.K.; Ratha, S.K. Pyrolytic conversion of protein rich microalgae Arthrospira platensis to bio-oil. Res. J. Chem. Environ. 2018, 22, 54–65. [Google Scholar]
- Giachini, A.J.; Sulzbach, T.S.; Pinto, A.L.; Armas, R.D.; Cortez, D.H.; Silva, E.P.; Buzanello, E.B.; Soares, Á.G.; Soares, C.R.F.S.; Rossi, M.J. Microbially-enriched poultry litter-derived biochar for the treatment of acid mine drainage. Arch. Microbiol. 2018, 200, 1227–1237. [Google Scholar] [CrossRef]
- Gustafsson, J.P. Visual MINTEQ 3.0 User Guide; Department of Land and Water Resources Engineering, KTH Royal Institute of Technology: Stockholm, Sweden, 2005. [Google Scholar]
- Wang, T.; Zhai, Y.; Zhu, Y.; Li, C.; Zeng, G. A review of the hydrothermal carbonization of biomass waste for hydrochar formation: Process conditions, fundamentals, and physicochemical properties. Renew. Sustain. Energy Rev. 2018, 90, 223–247. [Google Scholar] [CrossRef]
- Zhang, L.; Liu, S.; Wang, B.; Wang, Q.; Yang, G.; Chen, J. Effect of Residence Time on Hydrothermal Carbonization of Corn Cob Residual. Bioresour 2015, 10, 3979–3986. [Google Scholar] [CrossRef] [Green Version]
- Smith, A.M.; Ross, A.B. The Influence of Residence Time during Hydrothermal Carbonisation of Miscanthus on Bio-Coal Combustion Chemistry. Energies 2019, 12, 523. [Google Scholar] [CrossRef] [Green Version]
- Lucian, M.; Fiori, L. Hydrothermal Carbonization of Waste Biomass: Process Design, Modeling, Energy Efficiency and Cost Analysis. Energies 2017, 10, 211. [Google Scholar] [CrossRef] [Green Version]
- Heilmann, S.M.; Davis, H.T.; Jader, L.R.; Lefebvre, P.A.; Sadowsky, M.; Schendel, F.J.; Von Keitz, M.G.; Valentas, K.J. Hydrothermal carbonization of microalgae. Biomass Bioenergy 2010, 34, 875–882. [Google Scholar] [CrossRef]
- Biller, P.; Ross, A.B. Hydrothermal processing of algal biomass for the production of biofuels and chemicals. Biofuels 2012, 3, 603–623. [Google Scholar] [CrossRef]
- Nizamuddin, S.; Baloch, H.A.; Griffin, G.; Mubarak, N.; Bhutto, A.W.; Abro, R.; Mazari, S.; Ali, B.S. An overview of effect of process parameters on hydrothermal carbonization of biomass. Renew. Sustain. Energy Rev. 2017, 73, 1289–1299. [Google Scholar] [CrossRef]
- Jaiswal, K.K.; Kumar, V.; Verma, R.; Verma, M.; Kumar, A.; Vlaskin, M.S.; Nanda, M.; Kim, H. Graphitic bio-char and bio-oil synthesis via hydrothermal carbonization-co-liquefaction of microalgae biomass (oiled/de-oiled) and multiple heavy metals remediations. J. Hazard. Mater. 2021, 409, 124987. [Google Scholar] [CrossRef]
- Mumme, J.; Eckervogt, L.; Pielert, J.; Diakité, M.; Rupp, F.; Kern, J. Hydrothermal carbonization of anaerobically digested maize silage. Bioresour. Technol. 2011, 102, 9255–9260. [Google Scholar] [CrossRef]
- Elaigwu, S.E.; Greenway, G.M. Chemical, structural and energy properties of hydrochars from microwave-assisted hydrothermal carbonization of glucose. Int. J. Ind. Chem. 2016, 7, 449–456. [Google Scholar] [CrossRef] [Green Version]
- Jain, A.; Balasubramanian, R.; Srinivasan, M. Hydrothermal conversion of biomass waste to activated carbon with high porosity: A review. Chem. Eng. J. 2016, 283, 789–805. [Google Scholar] [CrossRef]
- Driver, T.; Bajhaiya, A.K.; Allwood, J.W.; Goodacre, R.; Pittman, J.K.; Dean, A.P. Metabolic responses of eukaryotic microalgae to environmental stress limit the ability of FT-IR spectroscopy for species identification. Algal Res. 2015, 11, 148–155. [Google Scholar] [CrossRef]
- Khoo, C.G.; Lam, M.K.; Mohamed, A.R.; Lee, K.T. Hydrochar production from high-ash low-lipid microalgal biomass via hydrothermal carbonization: Effects of operational parameters and products characterization. Environ. Res. 2020, 188, 109828. [Google Scholar] [CrossRef]
- Gai, C.; Zhang, Y.; Chen, W.-T.; Zhang, P.; Dong, Y. An investigation of reaction pathways of hydrothermal liquefaction using Chlorella pyrenoidosa and Spirulina platensis. Energy Convers. Manag. 2015, 96, 330–339. [Google Scholar] [CrossRef]
- Liu, Z.; Wang, Z.; Chen, H.; Cai, T.; Liu, Z. Hydrochar and pyrochar for sorption of pollutants in wastewater and exhaust gas: A critical review. Environ. Pollut. 2021, 268, 115910. [Google Scholar] [CrossRef]
- Libra, J.A.; Ro, K.S.; Kammann, C.; Funke, A.; Berge, N.D.; Neubauer, Y.; Titirici, M.-M.; Fühner, C.; Bens, O.; Kern, J.; et al. Hydrothermal carbonization of biomass residuals: A comparative review of the chemistry, processes and applications of wet and dry pyrolysis. Biofuels 2011, 2, 71–106. [Google Scholar] [CrossRef] [Green Version]
- Peters, K.; Xia, X.; Pomerantz, A.; Mullins, O. Chapter 3—Geochemistry Applied to Evaluation of Unconventional Resources. In Unconventional Oil and Gas Resources Handbook; Ma, Y.Z., Holditch, S.A., Eds.; Elsevier BV: Amsterdam, The Netherlands, 2016; pp. 71–126. [Google Scholar]
- Reza, M.T.; Andert, J.; Wirth, B.; Busch, D.; Pielert, J.; Lynam, J.G.; Mumme, J. Hydrothermal Carbonization of Biomass for Energy and Crop Production. Appl. Bioenergy 2014, 1, 11–29. [Google Scholar] [CrossRef]
- Shrestha, A.; Acharya, B.; Farooque, A.A. Study of hydrochar and process water from hydrothermal carbonization of sea lettuce. Renew. Energy 2021, 163, 589–598. [Google Scholar] [CrossRef]
- Engineering ToolBox, Standard Grade Coal—Heat Values. 2010. Available online: https://www.engineeringtoolbox.com/coal-heating-values-d_1675.html (accessed on 18 October 2021).
- Arora, N.; Gulati, K.; Patel, A.; Pruthi, P.A.; Poluri, K.M.; Pruthi, V. A hybrid approach integrating arsenic detoxification with biodiesel production using oleaginous microalgae. Algal Res. 2017, 24, 29–39. [Google Scholar] [CrossRef]
- Sun, Y.; Liu, C.; Zan, Y.; Miao, G.; Wang, H.; Kong, L. Hydrothermal Carbonization of Microalgae (Chlorococcum sp.) for Porous Carbons with High Cr(VI) Adsorption Performance. Appl. Biochem. Biotechnol. 2018, 186, 414–424. [Google Scholar] [CrossRef]
- Amin, M.; Chetpattananondh, P. Biochar from extracted marine Chlorella sp. residue for high efficiency adsorption with ultrasonication to remove Cr(VI), Zn(II) and Ni(II). Bioresour. Technol. 2019, 289, 121578. [Google Scholar] [CrossRef] [PubMed]
- Kołodyńska, D.; Krukowska, J.; Thomas, P. Comparison of sorption and desorption studies of heavy metal ions from biochar and commercial active carbon. Chem. Eng. J. 2017, 307, 353–363. [Google Scholar] [CrossRef]
- Tran, T.H.; Le, A.H.; Pham, T.H.; Nguyen, D.T.; Chang, S.W.; Chung, W.J.; Nguyen, D.D. Adsorption isotherms and kinetic modeling of methylene blue dye onto a carbonaceous hydrochar adsorbent derived from coffee husk waste. Sci. Total Environ. 2020, 725, 138325. [Google Scholar] [CrossRef] [PubMed]
Publisher’s Note: MDPI stays neutral with regard to jurisdictional claims in published maps and institutional affiliations. |
© 2022 by the authors. Licensee MDPI, Basel, Switzerland. This article is an open access article distributed under the terms and conditions of the Creative Commons Attribution (CC BY) license (https://creativecommons.org/licenses/by/4.0/).








