Abstract
Pearl millet-based cropping systems with intensive tillage operations prior to sowing have limited sustainable productivity in the low-irrigation conditions of semi-arid farming ecologies, such as those in the north Indian plains. The adoption of improved management practices such as zero tillage with residue retention (ZTR) and diversification with the inclusion of summer pulse crops has the potential to improve cropping system sustainability. Therefore, an experiment was designed to compare two improved management practices, zero tillage (ZT) and ZTR, to conventional tillage (CT), across three pearl millet-based cropping systems: pearl millet–chickpea (PM–CP), PM–CP–mungbean (MB), and PM–CP–forage pearl millet in a two-year experiment. Experimental treatments were compared in terms of pearl millet productivity, mineral biofortification, and greenhouse gas emissions. Results showed a significant increase in pearl millet yield attributes, grain and stover productivity, nutrient uptake, and micronutrient biofortification in the PM–CP–MB cropping system under ZTR relative to other treatment combinations. On-farm evaluation at different locations also showed that the intensification of PM–CP system using summer crops enhanced pearl millet productivity across diverse tillage systems. Overall, zero tillage practices combined with diversified pearl millet-based cropping systems are likely to be management practices, which farmers can use to sustainably maintain or increase cropping system productivity in the various semi-arid areas of the world.
1. Introduction
Pearl millet (Pennisetum glaucum (L.) R. Br. Emend stuntz) is a critical component of food production systems in arid and semi-arid ecologies globally, where it forms a key part of the staple diet of millions [1] and may be used as livestock fodder in times of great need [2,3]. Pearl millet is more nutritious than most cereals, as it is a good source of protein (10.5–14.5%), fat (4.0–8.0%), and essential minerals (2.0–3.5%) [4], as well as containing vitamins and amino acids [5]. Of all cereal crops, pearl millet is the most resilient to changing climatic conditions due to its inherent adaptability to drought and high temperatures [5]. It also tolerates saline and acid soils, and is well adapted to marginal lands with low productivity [4]. As a result of its high resilience to adverse climate conditions and other crop production challenges, pearl millet is well suited to rotation with many different crops, in particular with legumes [4,6].
In India, the pearl millet–chickpea cropping system (PM–CPCS) is widespread among many pearl millet-based rotations which are fundamental in the limited-irrigation conditions of semi-arid ecologies, and contributes significantly to food and nutritional security in these regions [7]. The intensification of pearl millet-based cropping systems can be advantageous for sustainable farming in these ecologies; however, it is difficult to do this in systems under conventional crop management [7]. Management practices such as conservation agriculture (CA), which increase the resilience of cropping systems to adverse climatic conditions, offer multiple benefits, including retaining additional moisture in the soil profile [3], sequestering more carbon in the soil [8,9,10], reducing cultivation costs [11], greenhouse gas emissions [12,13], and water and nutrient requirements [10]. CA practices include zero or minimal tillage, maintaining continuous ground cover (including residue retention), and grow a diversity of crops in rotation.
Adding legumes to diversify cropping systems is an effective strategy to improve food and nutrition security while carefully using natural resources (i.e., land and water) to improve agricultural sustainability and the environment [6,14,15]. Including legumes, in pearl millet-based cropping systems has the potential to improve long-term agricultural sustainability in semi-arid ecologies. Cereal cropping systems which incorporate legumes improve plant-soil water interactions [6]. Additionally, the inclusion of legumes improves soil structure and fertility [16], while reducing competition for moisture and nutrients in the rhizosphere, as different crop species have differing rooting depths [7,14].
Zero-tillage (ZT) crop establishment practices reduce the fuel required to produce a crop, resulting in lower emissions of CO2, one of the gases responsible for global warming [3]. In addition, ZT practices contribute to soil moisture conservation [3], reduce weeds [17,18], and provide favorable thermal conditions in the soil [19]. CA further reduces wind and water erosion [20], which is particularly important in semi-arid areas. CA also increases plant material at the soil surface, which positively affects crop establishment and improves subsequent crop growth due to the conservation of additional moisture [7,10,12,21]. CA also improves the soil in terms of aggregate stability [7], infiltration capacity [6], and organic matter [7], while maintaining crop yields [8,9]. Residue retention reduces greenhouse gas emissions in rice–wheat cropping systems [22,23], and in maize–wheat cropping systems [24,25].
Little information on the effects of CA on smallholder farming in semi-arid areas is available, and, in particular, no information on ZT and ZTR in pearl millet-based cropping systems is available. Likewise, knowledge gap exists on effect of tillage with legume inclusion in a pearl millet-based system. In many high-income countries, CA technology has demonstrated benefits to farmers. In the rural economies of low- and middle-income countries, there is an urgent need to test the appropriateness and feasibility of CA technologies for smallholder farms in arid and semi-arid regions [3,26]. Current research on CA in South Asia has concentrated on irrigated rice–wheat and maize–wheat cropping systems: little research has been conducted into pearl millet-based cropping systems in deficit irrigation scenarios. Moreover, information on the performance of CA and intensification options under pragmatic on-farm environments is lacking, particularly under pearl millet-based systems. Given these knowledge gaps, the soil moisture challenges inherent in cropping in semi-arid regions, and the likely value of sustainably intensifying cropping systems with legumes, research into these factors is valuable and timely. We conducted a field study to compare the performance of pearl millet under ZT and conventional tillage (CT) in pearl millet-based cropping systems, which were intensified with either leguminous or non-leguminous crops, in a semi-arid climate of the North Indian plains. The study aimed to test pearl millet performance under diverse tillage practices in terms of productivity, mineral biofortification, and greenhouse gas emissions. Similarly, a hypothesis was a tested that the CA and cropping system intensification enhances productivity and profitability of pearl millet under pragmatic on-farm environments.
2. Materials and Methods
2.1. Experiment Site, Climate, and Soil
The experiment was conducted during the Kharif (monsoon season) of 2019 and 2020 at the Indian Council of Agricultural Research–Indian Agricultural Research Institute, New Delhi, India [latitude 28°4′ N; longitude 77°12′ E; altitude 229 m], which has a semi-arid climate. Average annual rainfall of the last 30 years is 652 mm, of which 70–80% is received during the July to September Kharif, and the rest between October and May. Annual pan evaporation is ~850 mm. The total rainfall received during the experimental seasons was 858 mm in 2019 and 948.9 mm in 2020: of this, 520 mm (61%) and 623 mm (66%) was effective rainfall in 2019 and 2020, respectively (Figure 1). The soil is an Inceptisol, Mahauli series, with a sandy-loam texture. Five representative soil samples at 0–5 and 5–15 cm depths were collected prior to commencing the experiment using a core sampler and were analyzed for physical and chemical properties (Table 1).
Figure 1.
Average weekly maximum temperature (Tmax), minimum temperature (Tmin), rainfall (RF), humidity (R.H.), and class A pan evaporation (EVP) during the experimental seasons (July to September) in (A) 2019 and (B) 2020.
Table 1.
Average soil physical and chemical properties (0–15 cm depth) before the commencement of the experiment.
2.2. Experimental Treatments and Crop Management
The experiment was laid out in a split plot design and replicated thrice with three main-plot treatments: zero-tillage with residue (ZTR), zero-tillage (ZT), and conventional tillage (CT). Further details of tillage practice and residue management in each treatment are shown in Table 2. Three sub-treatments were pearl millet-based cropping systems: pearl millet–chickpea (PM–CP); pearl millet–chickpea–mungbean (PM–CP–MB); and pearl millet–chickpea–forage pearl millet (PM–CP–FPM). Each sub-plot treatments measured 9 m × 3 m (27 m2 area).
Table 2.
Experimental treatments.
The pearl millet variety ‘Pusa Composite-443’ was sown in the second week of July in 2019 and 2020 at 45 cm row spacing and with a seed rate of 4 kg ha−1. Pearl millet was harvested in the first fortnight in October, after which the chickpea crop was planted. Gap filling and thinning was done as necessary within 15 days after sowing (DAS). Fertilizer nitrogen (N), phosphorus (P), and potassium (K) were applied as urea (46% N), single superphosphate (16% P2O5) and muriate of potash (60% K2O), respectively. Pearl millet was fertilized with 60 kg N ha−1, 40 kg P2O5 ha−1, and 40 kg K2O ha−1, while forage pearl millet received 80 kg N ha−1, 40 kg P2O5 ha−1, and 40 kg K2O ha−1. Two-thirds of the N and all amount of P and K were applied basally at sowing, while the remaining N was broadcast between 25 and 40 DAS, depending on soil moisture. The chickpea and mungbean crops were fertilized with 20 kg N ha−1, 40 kg P2O5 ha−1, and 40 kg K2O ha−1. In the legume crops all fertilizers were applied at sowing.
2.3. Yield Attributes and Yield Performance
Yield attributes of pearl millet, i.e., ear head length and grain weight per ear head, were recorded from 10 randomly selected plants from each treatment plot using standard procedures [30]. To record the number of effective tillers per meter row length, the rows were selected randomly from the treatment plots and the effective tillers in each treatment were counted accordingly [30]. After removing the border rows the crop was harvested and the grain and stover yields were measured from the entire treatment plot and converted to t ha−1 at 14% moisture content. Harvest index was calculated as the ratio of grain yield to total above-ground biomass [35].
2.4. Estimation of Proline Content in Plant Samples
To determine the amount of proline (an important amino acid which indicates plant moisture stress) in pearl millet tissue, 0.5 g of fully expanded leaves was sampled the grain filling stage. This sample was homogenized in 10 mL of 3% (w/v) sulphosalycylic acid and the homogenate was filtered through filter paper. A total of 2 mL each of ninhydrin and glacial acetic acid was added to the mixture, which was heated at 100 °C for 1 h in a water bath; the reaction was stopped by placing the mixture in an ice bath. The mixture was extracted using toluene and the absorbance fraction after toluene had been aspired from the liquid phase was read at 520 nm [36]. The proline content was calculated and expressed as μmol g−1 fresh weight using the equation:
where FW is the fresh weight of the original sample.
2.5. Chemical Analysis of Plant Samples
Pearl millet grain samples were collected at harvest from all experimental plots, oven dried at 60 ± 2 °C for 72 h, ground in a Willey mill, and passed through a 1 mm sieve. N concentration in grain samples was estimated using the Micro-Kjeldahl method [34], while P and K concentrations were determined using a sulfuric–nitric–perchloric acid digest [37]. Uptake in the grain was calculated by multiplying the respective nutrient concentrations by the weight of the grain yield and expressed in kg ha−1. The micronutrient content in pearl millet grain was determined using a di-acid digestion method with an atomic absorption spectrophotometer [37].
2.6. Sampling and Estimation of Greenhouse Gas Emissions
Fluxes of carbon dioxide (CO2) and nitrous oxide (N2O) were measured during both pearl millet growing seasons (July to September) using static chambers [38]. Acrylic chambers (15 × 15 × 100 cm3; L × W × H), fitted with a thermometer and a battery-operated fan, were placed on aluminum channels inserted into soil for collection of gas samples. Gas samples were collected once a week between 9 and 11 AM using a 20-mL syringe fitted with a three-way stopcock at 0, 30, and 60 min after the placing the chamber over the aluminum channel. For each treatment plot, three gas samples were taken. N2O concentrations in the samples were analyzed using a gas chromatograph (GC: Hewlett Packard 5890) with a Porapak column fitted with an electron capture detector, whereas CO2 emissions were analyzed with a flame ionization detector after passing the gas sample over a methanizer [39]. Cumulative CO2 and N2O emissions were determined by the linear interpolation of two adjacent measurements from sampling days, under the assumption that the gas emissions followed a linear trend during the periods when no sample was taken [13].
Edaphic CO2 and N2O emissions were calculated using the equation:
where F is the CO2/N2O flux (g m−2 d−1), ρ is the gas density, V is the volume of the closed chamber (m3), A is the surface area of the closed chamber (m2), Δc/Δt is the rate of increase of CO2/N2O gas concentration in the chamber (mg μg−1 m−3 h−1) and T (absolute temperature, °K) is 273 + mean temperature (°C) of the chamber.
Total CO2 and N2O fluxes for the entire pearl millet cultivation period was calculated [40] using the following equation for linear interpolation:
where Ri is the CO2/N2O emission flux (g m−2 d−1) on the ith sampling interval, Di is the number of days in the ith sampling interval, and n is the number of sampling intervals.
2.7. Adaptive Trials and Technology Transfer Methodologies
To test the technology under a realistic on-farm scenario, adaptive trials were carried out at farmers’ fields in Dhanduret, Sapotara (Latitude 26°298′ N; Longitude 76°730′ E) and Hukmikhera, Hindaun (Latitude 26°783′ N; Longitude 76°882′ E) villages of Karauli district and Chaurakheda, Sepau (Latitude 26°716′ N; Longitude 77°650′ E), Kankret, Baseri (Latitude 26°581′ N; Longitude 77°421′ E) villages of Dholpur district of Rajasthan state. The soils of village Hukmikheda and Chaurakheda were sandy loam with good depth, decent drainage, neutral to slightly alkaline pH (7.3–8.1 in 1:2.5 soil:water solution), low in available N (132–204 kg/ha) and P (8.3–10.6 kg/ha) and medium in available K (213–265 kg/ha). On the other hand, the soils of Dhanduret and Kankret were sandy clay loam with low depth ranging from 20–50 cm, slightly alkaline pH (7.4–8.6) and low in available N (145–187 kg/ha) and medium in available P (12.3–14.7 kg/ha) and K (245–274 kg/ha). The grain and stover yield data from farmers’ fields (n = 16) of Dhanduret and Hukmikhera were collected from 100 m2 area and converted into t ha−1. Cost of cultivation of various inputs applied to the crop was collected and a mean value was used for economic analysis of the data. For the calculation of gross returns, the minimum support price declared by Govt. of India for the year 2021, i.e., INR 21.5 kg−1 was taken and average market price of stover INR 4.0 kg−1 was used. Mean prevailing conversion rate of USD to INR (74.3:1) during September 2021 was used for calculation of economic returns.
For the efficient transfer of technology to the end-users on CA and sustainable cropping systems, besides adaptive trials, the farmers of the two districts (n = 130) were trained using various technology transfer tools such as frontline demonstrations, method-demonstration, farmers’ specialized trainings, field days, telephonic advisories, app-based advisories to farmers in cohesive collaborations with Krishi Vigyan Kendras (KVKs; Farm Science Centers) of Karauli and Dholpur during 2019–2020 and 2020–2021. Technological bulletin on conservation agriculture and technology inventory on dryland farming were prepared in local language (Hindi) and English, respectively, and distributed to farmers and local extension functionaries. In addition, a technology-hub for farmers (Bio-tech Kisan Hub) was developed by the KVKs of both the districts, where literature including soft and hard copies of pamphlets and folders were provided for the future-use of farmers and for occasional technical back-up. For studying knowledge behavior of farmers, technology adoption rate, and impact assessment, a thorough analysis was done using a structured interview schedules (pre-training and post-training) during 2020 and 2021.
2.8. Statistical Analysis
All the sample data obtained from the two-year pearl millet experiment were analyzed using the F-test following the method of [41]. Least significant difference (LSD) values at p = 0.05 were used to determine the significance of difference between treatment means. In addition, Tukey’s HSD test was performed. Correlation analyses and treatment means were compared at 5% level of significance.
3. Results and Discussion
3.1. Yield Attributes
This two-year experimental trial demonstrated significant effects of diverse tillage practices and of different cropping systems (Figure 2). The number of tillers per meter of row length, crop ear head length, and grain weight per head in pearl millet all increased significantly under ZT and ZTR relative to CT, as well as under different cropping systems. The greatest number of tillers per meter of row length (23.1) and the highest grain weight per head (30.9 g) were achieved in ZTR under the PM–CP–MB cropping system: this result was significant at p < 0.05 and was a result of crop residue retention, which increased both the soil fertility [7] and its moisture-holding capacity [3,12]. Further, the residual effects of the proceeding legume (chickpea and mungbean) crops rather than fallow or fodder pearl millet resulted in higher tillers per meter of row length and higher grain weight [6,7,42]. Combining ZTR with the PM–CP–MB rotation is also likely to increase soil carbon inputs and NPK content, and to improve the soil physical condition in terms of aggregate formation, and moisture infiltration and conservation [3], as well as enhanced microbial diversity [10,21]. Furthermore, increasing soil moisture enhanced the growth and biomass production of crops both directly and indirectly by increasing the bio-availability and utilization of applied and endemic nutrients [6].
Figure 2.
Effect of tillage practice and cropping system on yield attributes of pearl millet (pooled mean of two years): (A) number of tillers per meter; (B) ear head length; (C) grain weight per head. In each graph, for every cluster of three data points, values with the same lowercase letter are not significantly different (at p < 0.05) according to Tukey’s HSD test, and across all data points in each graph values with the same uppercase letter are not significantly different at (p < 0.05). ZTR = zero tillage with residue retention, ZT = zero tillage, CT = conventional tillage, PM–CP = pearl millet–chickpea, PM–CP–MB = pearl millet–chickpea–mungbean, PM–CP–FPM = pearl millet–chickpea–forage pearl millet.
3.2. Yield Performance
The effects of tillage and the cropping system were significant (p < 0.05) on the pearl millet grain yield and stover yield (Figure 3), except in the harvest index (Table 3). In terms of yield, the greatest grain (2.65 t ha−1) and stover (9.6 t ha−1) yields were achieved under ZTR in the PM–CP–MB system. Relative to the CT treatment, the grain yield increase under ZTR was 35.1% in PM–CP, 42.7% in PM–CP–MB, and 30.4% in the PM–CP–FPM cropping system. Similarly, stover yield increases in ZTR relative to CT were observed in the PM–CP–MB (+35.6%), PM–CP–FPM (+26.8%), and PM–CP (+28.9%) systems. Lowest grain and stover yields were obtained under CT in the PM–CP cropping system.
Figure 3.
Effect of tillage practice and cropping system on pearl millet (A) grain; (B) stover yield (pooled mean of two years). In each graph, for every cluster of three data points, values with the same lowercase letter are not significantly different (at p < 0.05) according to Tukey’s HSD test and across all data points in each graph values with the same uppercase letter are not significantly different at (p < 0.05). ZTR = zero tillage with residue retention, ZT = zero tillage, CT = conventional tillage, PM–CP = pearl millet–chickpea, PM–CP–MB = pearl millet–chickpea–mungbean, PM–CP–FPM = pearl millet–chickpea–forage pearl millet.
Table 3.
Effect of tillage practice and cropping system on the harvest index (%) of pearl millet.
This improvement in yield under ZTR was a consequence of increased moisture retained by the crop residues, which resulted in low plant moisture stress, as evidenced by reduced proline levels in pearl millet leaves (Figure 4). Further, higher nutrient bio-availability by preceding crops combined with sufficient soil moisture under retained residues [6,43] contributed to increased productivity under ZT and ZTR.
Figure 4.
Effect of tillage practice and cropping system on proline content in pearl millet leaves at grain filling (pooled mean of two years). ZTR = zero tillage with residue retention, ZT = zero tillage, CT = conventional tillage, PM–CP = pearl millet–chickpea, PM–CP–MB = pearl millet–chickpea–mungbean, PM–CP–FPM = pearl millet–chickpea–forage pearl millet.
Intensifying the cropping system with legume rather than with fodder pearl millet also increased grain and stover yields. The synergistic cereal–legume association leads to soil-N enrichment by biological-N fixation under legume cultivation and microbial activity in the rhizosphere [10,14,21].
There was comparatively more rainfall (~16%) during 2020 than the 2019 pearl millet growing season, and thus retained residues in the ZTR treatments increased and prolonged soil moisture conservation, which favored improved growth with higher photosynthetic efficiency [44], thus enhancing yield attributes and resulting in greater crop yields [3].
3.3. Nutrient Concentration
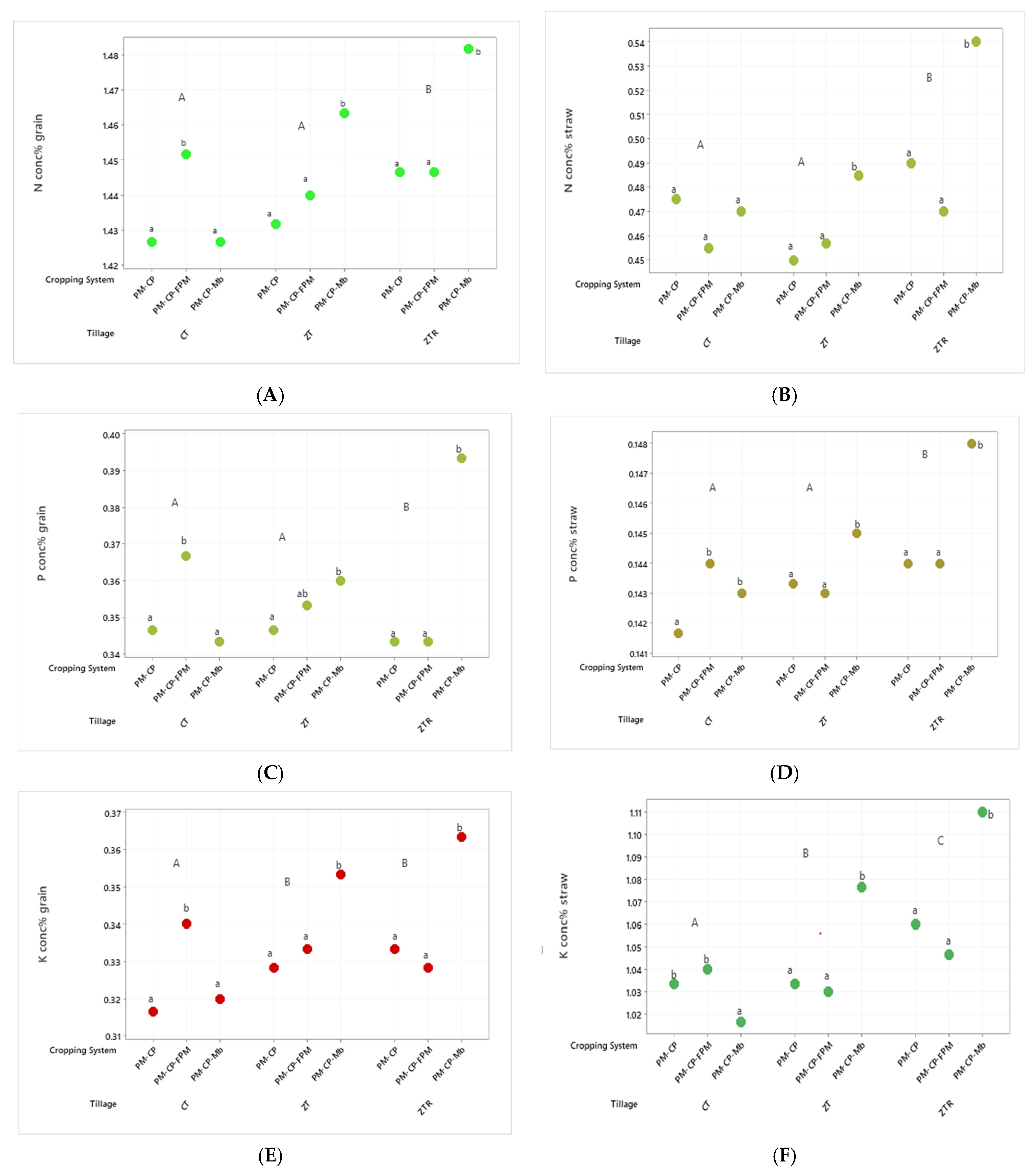
Of the experimental tillage treatments, the highest (p < 0.05) N concentrations in grain and stover were observed under ZTR, followed by ZT, and then CT (Figure 5). Among the cropping systems, the N concentration was highest in PM–CP–MB, followed by PM–CP–FPM, and then PM–CP. Higher N concentration under ZTR may be a result of the improved nutrient availability following crop residue mineralization, which ultimately improves nutrient concentration in crops [45,46]. Likewise, biological N fixation by the preceding mungbean crop enhanced the soil N status and consequently increased the N grain concentration in pearl millet in the PM–CP–MB system [6].
Figure 5.
Effect of tillage practices and cropping systems on N (A,B); P (C,D); K (E,F) concentrations in pearl millet grain and stover (pooled mean of two years). In each graph, for every cluster of three data points, values with the same lowercase letter are not significantly different (at p < 0.05) according to Tukey’s HSD test, and across all data points in each graph values with the same uppercase letter are not significantly different at (p < 0.05). ZTR = zero tillage with residue retention, ZT = zero tillage, CT = conventional tillage, PM–CP = pearl millet–chickpea, PM–CP–MB = pearl millet–chickpea–mungbean, PM–CP–FPM = pearl millet–chickpea–forage pearl millet.
The P and K concentrations (in both grain and stover) followed similar trends to that of N concentration. P and K concentrations increased by 5.6% and 6.0%, respectively, in ZTR compared to concentrations in CT. Higher nutrient addition and better nutrient transportation as a result of improved soil moisture availability under ZTR treatment led to the higher P and K concentrations in grain and stover [44].
3.4. Total Nutrient Uptake
Relative to the baseline PM–CP system under CT, the PM–CP–MB under ZTR resulted in improved pearl millet grain nutrient uptake (Figure 6). The highest total (NPK) nutrient uptake was recorded in the same PM–CP–MB system under ZTR as a result of higher bio-availability of nutrients under sufficient soil moisture [43]. Relative to treatments under CT, grain N uptake under ZTR was 10.0 kg ha−1 higher in PM–CP, 12.7 kg ha−1 higher in PM–CP–MB, and 8.8 kg ha−1 higher in PM–CP–FPM. Relative to the same baseline, stover N uptake was 10.5 kg ha−1 higher in PM–CP, 18.7 kg ha−1 higher in PM–CP–MB, and 11.2 kg ha−1 higher under PM–CP–FPM. Similar trends (i.e., increases of 1.75, 4.0 and 2.6, 4.1 kg ha−1 P in grain and stover, respectively, and of 1.9, 3.6 and 21.6, 34.1 kg ha−1 in K in grain and stover, respectively) were observed under ZTR. The lowest total NPK uptake was observed in the PM–CP system under CT; overall, there was comparatively poor crop growth and yield in the PM–CP system under both CT and ZT. The growth and yield of pearl millet was improved by the residual effect of crop residues from previous chickpea and mungbean crops which were crucial to several physiological, biochemical, chemical, and physical process [10,21]. Since the nutrient uptake is dependent on nutrient concentration and biomass production, the higher nutrient uptake under ZTR with PM–CP–MB system was owing to better yield and nutrient content in the treatment.
Figure 6.
Effect of tillage practice and cropping system on total uptake of N (A); P (B); K (C) by pearl millet (pooled mean of two years). For each graph, for every cluster of three data points, values with the same lowercase letter are not significantly different (at p < 0.05) according to Tukey’s HSD test, and across all data points in each graph values with the same uppercase letter are not significantly different at (p < 0.05).ZTR = zero tillage with residue retention, ZT = zero tillage, CT = conventional tillage, PM–CP = pearl millet–chickpea, PM–CP–MB = pearl millet–chickpea–mungbean, PM–CP–FPM = pearl millet–chickpea–forage pearl millet.
3.5. Micronutrient Biofortification
Both tillage practice and cropping system had a significant (p < 0.05) effect on pearl millet micronutrient biofortification in grain (Table 4 and Table 5). The greatest (p < 0.05) concentrations of Fe, Zn, Mn, and Cu were observed in grains and stover grown under ZTR. There was no significant difference in micronutrients in grain and stover grown under ZT or CT. Compared to concentrations under CT, Fe, Zn, Mn, and Cu concentrations in pearl millet grain increased by 5.9, 5.0, 9.0, and 8.3%, respectively, in 2019, and by 6.7, 3.6, 9.0 and 10.0%, respectively, in 2020 under ZTR. Increases relative to CT in pearl millet stover in Fe, Zn, Mn, and Cu concentrations were 4.7, 2.8, 6.4, and 6.5%, respectively, in 2019, and 3.7, 3.9, 5.4, and 3.4 %, respectively, in 2020.
Table 4.
Effect of tillage practice and cropping system on micronutrient biofortification in pearl millet grain.
Table 5.
Effect of tillage practice and cropping system on micronutrient biofortification in pearl millet stover.
Improved micronutrient content under ZTR may be attributed to enhanced microbial activity leading to additional nutrient release during their decomposition [10,21]. The highest micronutrient concentrations, in both grains and stover, were observed in the PM–CP–MB cropping system as a result of higher nutrient acquisition under the additional legume and subsequent higher biomass productivity. Mean micronutrient concentrations relative to the PM–CP system were increased by 123.0–125.3 mg kg−1 in grain and by 235.7–240.4 mg kg−1 in stover for Fe; by 33.4–34.7 mg kg−1 in grain and by 25.6–26.2 mg kg−1 in stover for Zn; by 42.1–43.7 mg kg−1 in grain and by 70.9–72.5 mg kg−1 in stover for Mn; and by 14.4–15.1 mg kg−1 in grain and 24.5–24.9 mg kg−1 in stover for Cu. Of the three cropping systems that with the additional legume (PM–CP–MB) fixed more soil N which resulted in accelerated rates of biomass decomposition and carbon sequestration under ZTR [6]. The resultant increased soil organic matter facilitated synthesis of organic acids in the rhizosphere, which, in turn, facilitated the improved translocation and remobilization of micronutrients [42,47].
3.6. Greenhouse Gas Emissions
Significant (p < 0.05) variation was observed among tillage practices and cropping systems in terms of greenhouse gas emissions (Table 6). Highest CO2 emissions were measured under ZTR (2037 kg ha−1) with no statistical difference between emissions under ZT and CT. Similarly, N2O emissions were highest (495.9 g ha−1) under ZTR, with no statistical difference in emissions between CT and ZT. Higher greenhouse gas emissions under ZTR may be a result of increased soil organic carbon increasing soil respiration and the activity within the soil of N2O-generating microbes [48]. Moreover, higher soil moisture under ZTR increases N2O emissions by increasing nitrification and de-nitrification of NO3 in anaerobic micro-sites in the rhizosphere [38]. However, there are contrasting results available across the ecologies on GHG emissions, and many studies have found reduced GHG emissions under residue retention conditions [49,50,51]. Therefore, in-depth studies on GHG emissions on various aspects of cropping system, tillage, residue management and their interactions are needed. Greenhouse gas emissions were highest under the PM–CP–FPM cropping system (1626 kg ha−1 of CO2 and 456 g ha−1 of N2O) and lowest under PM–CP (1567 kg ha−1 CO2 and 439 g ha−1 N2O).
Table 6.
Effect of tillage practice and cropping system on greenhouse gas emissions from pearl millet-based cropping systems (pooled mean of two years).
3.7. Adaptive Trials and Technology Transfer
Under on-farm environments, maximum pearl millet grain yield (3.04 t ha−1), stover yield (7.39 t ha−1), gross returns (1277 USD ha−1), and net return (746 USD ha−1) were recorded under ZT + R treatment followed by CT (Table 7). The yield improvement due to ZT + R was 21.1% and 27.2% over CT and ZT. On the other hand, the effect of cropping systems also remained significant on pearl millet productivity, as the PM–CP–MB system resulted in the highest pearl millet grain yield (2.90 t ha−1), which was 10.3% and 18.9% higher than PM–CP–FPM and PM–CP systems, respectively.
Table 7.
Effect of tillage practices and cropping systems on pearl millet yield and economics under on-farm environments.
In the study area in Karauli and Dholpur districts of Rajasthan, India, among trainee farmers (n = 130), the pre-training knowledge about legume inclusion in rotation on productivity and their environmental benefits was shown to be 60.0 and 23.8%, respectively, but improved to 95.4 and 89.2% after training (Table 8). Similarly, knowledge about crop rotations on yield, biofortification, income enhancement, and soil health increased by 41.3–276.5% due to training. In the pre-training period, trainee farmers’ knowledge of residue retention practices on soil moisture conservation, thermal moderation, and biofortification was 31.5, 20.8, and 29.2% respectively, which rose to 100.0, 96.5, and 94.6% after imparting training. Considering human health, among trainee farmers (n = 130), the knowledge about biofortification in health was lowest at 20.8%, but then increased by 381.5% after training. A further improvement in knowledge on zero tillage was recorded by the training program, whose knowledge jumped from 36.9% to 97.7%. After training, the knowledge improvement on environmental gains from zero tillage increased by 370.8%. In addition, knowledge related to pre- and post-emergence herbicide applications in zero-tillage and the economic benefits of herbicidal weed management increased to 26.2% and 168%, respectively, within a year after training. At the end of the training program, learners gained knowledge about the economic benefits of CA practices by 51.5–100%. In general, it was observed that awareness of farmers about various environmental, biofortification, and health benefits due to diverse tillage and rotation systems was less (18.5–29.2%) compared to the direct benefits, and this is why the improvement in knowledge owing to training was higher (as high as 381.5%).
Table 8.
Analysis of knowledge about various technology components and knowledge upgradation of trainee farmers (n = 130) of Karauli and Dholpur districts of Rajasthan, India.
4. Conclusions
Zero tillage with residue retention (ZTR) was the better crop establishment practice in three pearl millet-based cropping systems in terms of pearl millet productivity, nutrient concentration, nutrient uptake, and micronutrient biofortification when compared to conventional tillage practices. Diversifying pearl millet-based cropping systems with the inclusion of an additional legume crop into the traditional pearl millet–chickpea rotation (PM–CP) made the cropping system more efficient. Importantly, for cropping systems grown in semi-arid regions, ZTR reduced the effect of moisture stress on pearl millet crop. However, the slightly lower greenhouse gases (GHG) emissions in the pearl millet growing season were observed in the traditional PM–CP system, however was statistically similar to other treatments. Micronutrient biofortification of pearl millet grain from ZTR and from cropping system intensification with an additional legume are promising management practices to reduce micronutrient malnutrition and hidden hunger, particularly in low- and middle-income countries. We have shown that productivity and biofortification of pearl millet can be readily enhanced by (1) replacing conventional crop establishment practices with zero tillage combined with residues retained on the soil surface and (2) including summer legumes in cropping systems. Future research is needed to better understand GHG emissions from all crops within each cropping system, and in-depth studies on in-season temporal variations of pearl millet is required.
Author Contributions
Conceptualization, R.S.B.; Data curation, R.C.B.; Formal analysis, V.K.; Funding acquisition, R.N.P.; Investigation, M.A.F., R.S.B. and S.D.B.; Methodology, A.K.C.; Project administration, R.S.B., R.N.P. and J.P.S.D.; Resources, A.K.C., A.B. and S.L.K.; Software, V.K.; Supervision, R.S.B., Y.V.S., S.L.K. and J.P.S.D.; Validation, R.C.B.; Visualization, S.D.B.; Writing—original draft, R.S.B., R.C.B. and S.D.B.; Writing—review & editing, A.M.L. and R.B. All authors have read and agreed to the published version of the manuscript.
Funding
The research was partially funded by Department of Biotechnology, Governement of India under DBT Biotech Kisan project. Grant No. 24-739.
Institutional Review Board Statement
Not applicable.
Informed Consent Statement
Not applicable.
Data Availability Statement
Not applicable.
Acknowledgments
We are thankful to ICAR–Indian Agricultural Research Institute, New Delhi for providing necessary facilities during the conduct of the study and we duly acknowledge the funding received from Department of Biotechnology, Governement of India under DBT Biotech Kisan project for carrying out on-farm trials and training of farmers.
Conflicts of Interest
The authors declare no conflict of interest.
References
- Bamboriya, S.D.; Bana, R.S.; Pooniya, V.; Rana, K.S.; Singh, Y.V. Planting density and nitrogen management effects on productivity, quality and water-use efficiency of rainfed pearl millet (Pennisetum glaucum L.) under conservation agriculture. Indian J. Agron. 2017, 62, 363–366. [Google Scholar]
- Manoj, K.N.; Shekara, B.G.; Sridhara, S.; Jha, P.K.; Prasad, P.V.V. Biomass Quantity and Quality from Different Year-Round Cereal–Legume Cropping Systems as Forage or Fodder for Livestock. Sustainability 2021, 13, 9414. [Google Scholar] [CrossRef]
- Kumar, A.; Rana, K.S.; Choudhary, A.K.; Bana, R.S.; Sharma, V.K.; Prasad, S.; Gupta, G.; Choudhary, M.; Pradhan, A.; Rajpoot, S.K.; et al. Energy budgeting and carbon footprints of zero–tilled pigeonpea–wheat cropping system under sole or dual crop basis residue mulching and Zn-fertilization in a semi-arid agro-ecology. Energy 2021, 231, 120862. [Google Scholar] [CrossRef]
- Jukanti, A.K.; Gowda, C.L.L.; Rai, K.N.; Manga, V.K.; Bhatt, R.K. Pearl Millet (Pennisetum glaucum L.): An important source of food security, nutrition and health in the arid and semi-arid tropics. Food Secur. 2016, 8, 307e29. [Google Scholar] [CrossRef]
- Louhar, G.; Bana, R.S.; Kumar, V.; Kumar, H. Nutrient management technologies of millets for higher productivity and nutritional security. Indian J. Agric. Sci. 2020, 90, 2243–2250. [Google Scholar]
- Choudhary, A.K.; Bana, R.S.; Pooniya, V.; Dass, A.; Varatharajan, T. Integrated crop management technology for enhanced productivity, resource-use efficiency and soil health in legumes–A review. Indian J. Agric. Sci. 2020, 90, 1839–1849. [Google Scholar]
- Singh, G.; Bhattacharyya, R.; Das, T.K.; Sharma, A.R.; Ghosh, A.; Das, S.; Jha, P. Crop rotation and residue management effects on soil enzyme activities, glomalin and aggregate stability under zero tillage in the Indo–Gangetic Plains. Soil Tillage Res. 2018, 184, 291–300. [Google Scholar] [CrossRef]
- Page, K.L.; Dang, Y.P.; Dalal, R.C. The ability of conservation agriculture to conserve soil organic carbon and the subsequent impact on soil physical, chemical, and biological properties and yield. Front. Sustain. Food Syst. 2020, 4, 31. [Google Scholar] [CrossRef] [Green Version]
- Das, T.K.; Bandyopadhyay, K.K.; Bhattacharyya, R.; Sudhishri, S.; Sharma, A.R.; Behera, U.K.; Saharawat, Y.S.; Sahoo, P.K.; Pathak, H.; Vyas, A.K.; et al. Effects of conservation agriculture on crop productivity and water use efficiency under an irrigated pigeonpea–wheat cropping system in the western Indo–Gangetic Plains. J. Agric. Sci. 2016, 15, 1327–1342. [Google Scholar] [CrossRef]
- Singh, U.; Choudhary, A.K.; Sharma, S. Agricultural practices modulate the bacterial communities, and nitrogen cycling bacterial guild in rhizosphere: Field experiment with soybean. J. Sci. Food Agric. 2021, 101, 2687–2695. [Google Scholar] [CrossRef] [PubMed]
- Monjardino, M.; López-Ridaura, S.; Van Loon, J.; Mottaleb, K.A.; Kruseman, G.; Zepeda, A.; Hernández, E.O.; Burgueño, J.; Singh, R.G.; Govaerts, B.; et al. Disaggregating the Value of Conservation Agriculture to Inform Smallholder Transition to Sustainable Farming: A Mexican Case Study. Agronomy 2021, 11, 1214. [Google Scholar] [CrossRef]
- Sarkar, S.; Skalicky, M.; Hossain, A.; Brestic, M.; Saha, S.; Garai, S.; Ray, K.; Brahmachari, K. Management of Crop Residues for Improving Input Use Efficiency and Agricultural Sustainability. Sustainability 2020, 12, 9808. [Google Scholar] [CrossRef]
- Parihar, C.M.; Parihar, M.D.; Sapkota, T.B.; Nanwal, R.K.; Singh, A.K.; Jat, S.L.; Nayak, H.S.; Mahala, D.M.; Singh, L.K.; Kakraliya, S.K.; et al. Long–term impact of conservation agriculture and diversified maize rotations on carbon pools and stocks, mineral nitrogen fractions and nitrous oxide fluxes in Inceptisol of India. Sci. Total Environ. 2018, 640–641, 1382–1392. [Google Scholar] [CrossRef] [PubMed]
- Bana, R.S.; Shivay, Y.S.; Sepat, S.; Rana, K.S.; Pooniya, V. Effect of summer forage crops and phosphogypsum–enriched urea on productivity of basmati rice–wheat cropping system. Res. Crop. 2013, 14, 649–653. [Google Scholar]
- Bana, R.S.; Sepat, S.; Rana, K.S.; Pooniya, V.; Choudhary, A.K. Moisture-stress management under limited and assured irrigation regimes in wheat (Triticum aestivum): Effects on crop and water productivity, grain quality, nutrient acquisition and soil fertility. Indian J. Agric. Sci. 2018, 88, 1606–1612. [Google Scholar]
- Stagnari, F.; Maggio, A.; Galieni, A.; Pisante, M. Multiple benefits of legumes for agriculture sustainability: An overview. Chem. Biol. Technol. Agric. 2017, 4, 2. [Google Scholar] [CrossRef] [Green Version]
- Zahan, T.; Hossain, M.F.; Chowdhury, A.K.; Ali, M.O.; Ali, M.A.; Dessoky, E.S.; Hassan, M.M.; Maitra, S.; Hossain, A. Herbicide in Weed Management of Wheat (Triticum aestivum L.) and Rainy Season Rice (Oryza sativa L.) under Conservation Agricultural System. Agronomy 2021, 11, 1704. [Google Scholar] [CrossRef]
- Choudhary, A.K.; Yadav, D.S.; Sood, P.; Rahi, S.; Arya, K.; Thakur, S.K.; Lal, R.; Kumar, S.; Sharma, J.; Dass, A.; et al. Post-emergence herbicides for effective weed management, enhanced wheat productivity, profitability and quality in NW Himalayas: A ‘Participatory-mode’ technology development and dissemination. Sustainability 2021, 13, 5425. [Google Scholar] [CrossRef]
- Shen, Y.; McLaughlin, N.; Zhang, X.; Xu, M.; Liang, A. Effect of tillage and crop residue on soil temperature following planting for a black soil in northeast China. Sci. Rep. 2018, 8, 4500. [Google Scholar] [CrossRef] [PubMed] [Green Version]
- Lal, R. Soil Erosion and Gaseous Emissions. Appl. Sci. 2020, 10, 2784. [Google Scholar] [CrossRef] [Green Version]
- Singh, U.; Choudhary, A.K.; Sharma, S. Comparative performance of conservation agriculture vis-a-vis organic and conventional farming in enhancing plant attributes and rhizospheric bacterial diversity in Cajanus cajan: A field study. Eur. J. Soil Biol. 2020, 99, 103197. [Google Scholar] [CrossRef]
- Powlsona, D.S.; Stirling, C.M.; Thierfelder, C.; Whited, R.P.; Jat, M.L. Does conservation agriculture deliver climate change mitigation through soil carbon sequestration in tropical agro-ecosystems? Agric. Ecosyst. Environ. 2016, 220, 164–174. [Google Scholar] [CrossRef]
- Chethan, C.R.; Singh, P.K.; Dubey, R.P.; Chander, S.; Gosh, D.; Choudhary, V.K.; Fagodiya, R.K. Crop residue management to reduce GHG emissions and weed infestation in Central India through mechanized farm operations. Carbon Manag. 2020, 6, 565–576. [Google Scholar] [CrossRef]
- Tian, S.; Wang, Y.; Ning, T.; Zhao, H.; Wang, B.; Li, N.; Li, Z.; Chi, S. Greenhouse gas flux and crop productivity after 10 years of reduced and no tillage in a wheat–maize cropping system. PLoS ONE 2013, 8, e73450. [Google Scholar] [CrossRef] [PubMed] [Green Version]
- Fagodiya, R.K.; Pathak, H.; Bhatia, A.; Jain, N.; Gupta, D.K.; Kumar, A.; Malyan, S.K.; Dubey, R.; Radhakrishanan, S.; Tomer, R. Nitrous oxide emission and mitigation from maize–wheat rotation of upper Indo–Gangetic plains. Carbon Manag. 2019, 10, 489–499. [Google Scholar] [CrossRef]
- Langeroodi, A.S.; Osipitan, O.A.; Radicetti, E. Benefits of sustainable management practices on mitigating greenhouse gas emissions in soybean crop (Glycine max). Sci. Total Environ. 2019, 660, 1593–1601. [Google Scholar] [CrossRef] [PubMed]
- Bouyoucos, G.J. A recalibration of the hydrometer method for making mechanical analysis of soils. Agronomy 1951, 43, 434–438. [Google Scholar] [CrossRef] [Green Version]
- Richards, L.A. Diagnosis and improvement of saline alkaline soils. In USDA Handbook No. 60; USDA Publication: Washington, DC, USA, 1954. [Google Scholar]
- Piper, C.S. Soil and Plant Analysis; Asia Hans Publisher: Bombay, India, 1966. [Google Scholar]
- Rana, K.S.; Choudhary, A.K.; Sepat, S.; Bana, R.S.; Dass, A. Methodological and Analytical Agronomy; Post Graduate School IARI: New Delhi, India, 2014; p. 276. [Google Scholar]
- Jackson, M.L. Soil Chemical Analysis; Prentice Hall of India Pvt. Ltd.: New Delhi, India, 1973; p. 498. [Google Scholar]
- Jackson, M.L. Soil Chemical Analysis; Prentice Hall, Inc.: Englewood Cliffs, NJ, USA, 1958; p. 498. [Google Scholar]
- Olsen, S.R.; Cole, C.L.; Watanabe, F.S.; Dean, L.A. Estimation of Available Phosphorus in Soil by Extraction with Sodium Bicarbonate; USDA Circular No. 939; USDA Publication: Washington, DC, USA, 1954; pp. 72–75. [Google Scholar]
- Piper, C.S. Soil and Plant Analysis; The University of Adelaide: Adelaide, SA, Australia, 1950; pp. 286–287. [Google Scholar]
- Bana, R.C.; Gupta, A.K.; Puniya, R.; Singh, P. Effect of zinc ferti-fortification on yield and economics of basmati rice under subtropical region of Jammu. Green Farming Int. J. 2020, 1, 52–55. [Google Scholar] [CrossRef]
- Bates, L.S.; Waldren, R.P.; Teare, I.D. Rapid determination of free proline for water stress studies. Plant Soil 1973, 39, 205–207. [Google Scholar] [CrossRef]
- Prasad, R.; Shivay, Y.S.; Kumar, D.; Sharma, S.N. Learning by Doing Exercise in Soil Fertility-A Practical Manual for Soil Fertility; Division of Agronomy IARI: New Delhi, India, 2006; p. 68. [Google Scholar]
- Bhatia, A.; Ghosh, A.; Kumar, V.; Tomer, R.; Singh, S.D.; Pathak, H. Effect of elevated tropospheric ozone on methane and nitrous oxide emission from rice soil in north India. Agric. Ecosyst. Environ. 2011, 144, 21–28. [Google Scholar] [CrossRef]
- Bhatia, A.; Sasmal, S.; Jain, N.; Pathak, H.; Kumar, R.; Singh, A. Mitigating nitrous oxide emission from soil under conventional and no-tillage in wheat using nitrification inhibitors. Agric. Ecosyst. Environ. 2010, 136, 247–253. [Google Scholar] [CrossRef]
- Malyan, S.K.; Bhatia, A.; Kumar, S.S.; Fagodiya, R.K.; Pugazhendhi, A.; Duc, P.A. Mitigation of greenhouse gas intensity by supplementing with Azolla and moderating the dose of nitrogen fertilizer. Biocatal. Agric. Biotechnol. 2019, 20, 101266. [Google Scholar] [CrossRef]
- Gomez, K.A.; Gomez, A.A. Statistical Procedures for Agricultural Research. Second Edition, An International Rice Research Institute Book; Wiley-Inter-Science Publication; John Wiley & Sons: New York, NY, USA, 1984. [Google Scholar]
- Bana, R.S.; Pooniya, V.; Choudhary, A.K.; Rana, K.S.; Tyagi, V.K. Influence of organic nutrient sources and moisture management on productivity, bio-fortification and soil health in pearl millet (Pennisetum glaucum) + clusterbean (Cyamopsis tetragonaloba) intercropping system of semi-arid India. Indian J. Agron. 2016, 86, 1418–1425. [Google Scholar]
- Abdallah, A.M.; Jat, H.S.; Choudhary, M.; Abdelaty, E.F.; Sharma, P.C.; Jat, M.L. Conservation Agriculture Effects on Soil Water Holding Capacity and Water-Saving Varied with Management Practices and Agroecological Conditions: A Review. Agronomy 2021, 11, 1681. [Google Scholar] [CrossRef]
- Varatharajan, T.; Choudhary, A.K.; Pooniya, V.; Dass, A.; Meena, M.C.; Gurung, B.; Harish, M.N. Influence of integrated crop management practices on yield, PAR interception, resource-use-efficiency and energetics in pigeonpea (Cajanus cajan) in north Indian Plains. J. Environ. Biol. 2019, 40, 1204–1210. [Google Scholar] [CrossRef]
- He, J.; Shi, Y.; Zhao, J.; Yu, Z. Strip rotary tillage with a two-year subsoiling interval enhances root growth and yield in wheat. Sci. Rep. 2019, 9, 11678. [Google Scholar] [CrossRef] [PubMed] [Green Version]
- Kar, S.; Pramanick, B.; Brahmachari, K.; Saha, G.; Mahapatra, B.S.; Saha, A.; Kumar, A. Exploring the best tillage option in rice based diversified cropping systems in alluvial soil of eastern India. Soil Tillage Res. 2021, 205, 104761. [Google Scholar] [CrossRef]
- Heba, M.N.; Rana, D.S.; Choudhary, A.K.; Rajanna, G.A.; Pande, P. Influence of sulphur and zinc nutrition on productivity, quality and biofortification in groundnut (Arachis hypogea L.) in south-Asian Alluvial soil. J. Plant Nutr. 2021, 44, 1151–1174. [Google Scholar]
- Lee, J.; Six, J.; King, A.P.; Kessel, C.V.; Rolston, E.D. Tillage and Field Scale Controls on Greenhouse Gas Emissions. J. Environ. Qual. 2006, 35, 714–725. [Google Scholar] [CrossRef]
- Gupta, D.K.; Bhatia, A.; Kumar, A.; Das, T.K.; Jain, N.; Tomer, R.; Malyan, S.K.; Fagodiya, R.K.; Dubey, R.; Pathak, H. Mitigation of greenhouse gas emission from rice-wheat system of the Indo-Gangetic plains: Through tillage, irrigation and fertilizer management. Agric. Ecosyst. Environ. 2016, 230, 1–9. [Google Scholar] [CrossRef]
- Bhatia, A.; Pathak, H.; Jain, N.; Singh, P.K.; Tomer, R. Greenhouse gas mitigation in rice-wheat system with leaf color chart-based urea application. Environ. Monit. Assess. 2012, 184, 3095–3107. [Google Scholar] [CrossRef] [PubMed]
- Bhattacharyya, R.; Bhatia, A.; Das, T.K.; Lata, S.; Kumar, A.; Tomer, R.; Singh, G.; Kumar, S.; Biswas, A.K. Aggregate-associated N and global warming potential of conservation agriculture-based cropping of maize-wheat system in the north-western Indo-Gangetic Plains. Soil Tillage Res. 2018, 182, 66–77. [Google Scholar] [CrossRef]
Publisher’s Note: MDPI stays neutral with regard to jurisdictional claims in published maps and institutional affiliations. |
© 2022 by the authors. Licensee MDPI, Basel, Switzerland. This article is an open access article distributed under the terms and conditions of the Creative Commons Attribution (CC BY) license (https://creativecommons.org/licenses/by/4.0/).





