Abstract
Ecosystem services from ecosystems have been providing different kinds of goods to people living in and around them. Here, the ecosystem services of the tidal forest in Thailand were investigated using the ethnobotanical research method. A total of 101 informants living around a tidal forest in Rayong Province, Thailand was interviewed using the free-listing technique. Totally, 48 species and 992 uses were recorded. Among these, the highest use value species included Cratoxylum cochinchinense, Garcinia cowa, Melientha suavis, and Nelumbo nucifera. Half of the informants received income from selling plant products which varied from 75 to 4000 USD annually without a significant difference between male and female informants. We found a significant correlation between economic value and the number of use-reports. Most economic species are food plants except one which was weaving material. Gender equality is supported by the ecosystem services since the difference in knowledge and generated income were not observed. Significantly, our results support that economic value is one of the most important factors to promote the recognition of traditional uses of local plants or on the other hand, the service from the ecosystem. Therefore, to conserve the existence of traditional knowledge, efforts from various stakeholders, e.g., the communities and the local and central governments, are required.
1. Introduction
The great diversity of plant species has provided a wealth of ecosystem services to human life since the dawn of civilization. Plants have provided useful substances and guaranteed resilience for current and future generations [1]. The diversity of ecosystem services reflects the many different habitat types and vegetation types, and each ecosystem provides different kinds and different quantities of goods to the people who live in and around them. Even in today’s world, which is dominated by highly advanced technical capabilities and industrialized agriculture, the subsistence and income of millions of people in developing countries depend on products derived from a large diversity of wild plants [2]. The interaction between indigenous people and the ecosystem they inhabit is associated with vast amounts of traditional knowledge which in turn is useful for the discovery of novel plant sources for foods, medicines, and fibers [3].
Thailand houses more than 30 ethnic minorities [4] apart from the Thai majority population. The country also houses more than 10,000 plant species [5], 20% of which have medicinal uses, which is far beyond the global average of 5% [6]. An enormous traditional knowledge associated with the highly diverse local flora with medicinal and other uses has grown out of a long relationship between indigenous people and the local ecosystems. Its discovery by western science is the result of a recent dedicated effort by ethnobotanical researchers. There are many ethnobotanical studies in Thailand. At least 121 communities were subjected to the scientifically documented ethnomedicinal investigation during 1996–2014 [7] mostly in the northern and peninsular floristic regions of Thailand, and only a few of the studies were conducted in southeastern Thailand which is the target of this study. Most of the population of this area are considered Thai people, the majority population of Thailand. However, Thai people are different from region to region. Although they speak the Thai language but with different dialects and different cultures and lifestyles.
The tidal forest is a unique and distinct ecosystem [8] that has often been overlooked because of its lack of conspicuous economically significant species [9] and as a consequence, only a few studies have focused on this forest [10,11]. Unlike mangrove swamps which are dominated by Rhizophora spp., the tidal forest or coastal strand forest is composed of various small trees or shrubs growing along the sand coast [9]. This type of forest can be found scattered along the coast of southeastern, central, and southern Thailand.
Ecosystem services are the benefits that the ecosystems provide to humans [12]. This includes provision services, regulating services, cultural services, and supporting/habitat services [13]. In southeast Asia, the provision and regulating services have obtained the greatest attention [14]. Provision services include food, raw materials, water, genetic resources, medicines, and ornamental resources. Among these, food has been extensively studied since food security is an important issue in the Southeast Asian region [15]. Too many rural poor people the availability of food is particularly important, and it depends on the benefits from ecosystem services [16] directly, such as consumption of wild foods [17] or indirectly as a source of income to purchase food [18]. Wild food plants are important for balancing the nutritional value of diets and food security [19].
Gender is one of the most important variables related to traditional knowledge [20,21]. The effect of gender on ethnobotanical knowledge is demonstrated in several ethnobotanical reports (e.g., [21,22,23]). The greater gender differences in traditional knowledge tend to be found in the communities with well-defined gender roles [24]. For example, in such communities, women seem to know more about medicinal and food plants as a part of family care and subsistence living [24].
In this study, we investigate plant diversity and ecosystem services to local villagers in a tidal forest. Plant diversity and other vegetation factors were investigated to understand the ecological roles of the tidal forest. The tidal forest itself is not inhabited, so our ethnobotanical survey was conducted in the villages around the forest to provide an understanding of the importance of ecosystem services from these forests to the communities and their economic value. Specifically, we asked the following questions: (1) What are the most important products derived from the tidal forests according to the people living around them? (2) What plants are the most important species for the communities according to their cultural and economic value? and (3) How high are the economic value and importance of the tidal forest?
2. Materials and Methods
2.1. Study Site
Our study was conducted in the tidal forest in Rayong Botanical Garden (RBG) in the Klang district in southeastern Thailand (Figure 1). The vegetation is of a coastal sand dune forest with elevations ranging from 0–20 m above sea level. Such tidal forests line the coast along the Gulf of Thailand. The study site is exposed to a tropical monsoon climate with a sea breeze blowing through the year. The temperature is highest in April (~30 °C) and lowest in January (~18 °C). The rainfall varies from 1400–1600 mm per year, most of it falling between May and October. Soils are sandy loams mixed with some clayey loams with a pH of 4.7–5.6. The organic matter is low, ranging 1.68–5.79%. The concentrations of all major plant nutrients (N, P, K) are low [25].
Figure 1.
Location of Rayong Botanical Garden (☆), Klang district (dark grey), Rayong province (light grey), southeastern Thailand, where the ethnobotany and ecosystem services of plants in tidal forests were studied.
The tidal forest is an unofficial community forest, which is not registered with the national community’s forest. However, the boundary of the forest is well-defined since it is surrounded by wetlands, and it is part of the botanical garden where people are allowed to collect any non-timber products. There is no official rule regarding the forest products gathering. However, according to the informants, there is an agreement among the villagers not to cut the trees in the tidal forest. Therefore, harvesting timber for fuelwood or charcoal production is prohibited. However, there is no clear punishment for those who violate the agreement. According to the informant, violations are rare. There are about 200 households located around the tidal forest. Most of the population are farmers or fishermen. The most important agricultural product included durian, mangosteen, rambutan, and rice. All of the population is Buddhists who speak the Thai language with the local dialect.
The structure of the tidal forest was examined in 2019 in a 100 × 100 m (1 ha) permanent plot [25]. A total of 30 species belonging to 28 genera and 21 families were recorded (Table S1). The dominant species were the myrtaceous cajeput tree (Melaleuca cajuputi Powell subsp. cumingiana (Turcz.) Barlow) and the leguminous tree Peltophorum dasyrrhachis (Miq.) Kurz with 410 and 355 individuals/ha, respectively. The two species had high Importance Values (IV) of 109.8 (M. cajuputi subsp. cumingiana) and 65 (P. dasyrrachis). Most of the trees were between 5–10 m high. The stem density is 1331 individual/ha with the Shannon-index equal to 1.82.
2.2. Ethnobotanical Investigation
Ethnobotanical fieldwork was conducted during January–May 2020. The villagers did not identify themselves as belonging to any particular ethnic minority group, so they are here considered as part of the Thai-speaking majority population. All inhabitants are local Thai people who speak the southeastern dialect. The informants were selected by purposive and snowball sampling. This technique used the information from the previous interviewee’s recommendations to identify the next informant [26]. Sampling was initiated with the leader of the community. The interviews were conducted in Thai, using both general and local dialects, with help from the local guide(s) and an officer from Rayong Botanical Garden.
In total, we interviewed 101 informants (30 males and 71 females) who lived around the tidal forest. The oldest informant was 91 years old and the youngest was 18 years old. We used the free-listing technique to solicit the botanical knowledge of the informants; they were asked to list all plants from the tidal forest they had ever used, and they were given as much time as they needed. Subsequently, the informants were asked to: (1) mention the listed plants’ uses, (2) when they collected them for being used (frequency and period), and (3) which income did they have from these plants.
2.3. Plant Identification and Use Categories
Voucher specimens were collected from the tidal forests of plants representing all plant names mentioned in the free listing of all informants. Photographs and the specimens of the plant were verified by the local guides and some informants. The taxonomic investigations were carried out during 2019–2021. Identification was done by the first author at the Queen Sirikit Botanic Garden Herbarium (QBG), where the vouchers are deposited. All names of species and families follow the World Flora Online (http://www.worldfloraonline.org). Each plant use was classified into use categories and subcategories following the Economic Botany Data Collection Standard [27].
2.4. Data Analysis
The ethnobotanical index Use Value (UV) was calculated for each species according to the formula adapted from Phillips and Gentry [28]:
where URs is the total number of use-reports for a species s and N is the total number of informants, in this case, N = 101. A use-report (UR) was defined as a use of a species in a sub-category mentioned by an informant i [29]. The UV is high when there are many use-reports for a plant, indicating that the plant is important for the community. On the other hand, the UV value approaches zero when there are few reports related to its uses.
2.5. Income Calculation
To estimate the annual income generated from each species, the informants were asked to state the amount of money she/he received every month when selling it as raw material. Therefore, the annual income from a species is a summation of the monthly income from all informants.
3. Results
3.1. Ethnobotany and Ecosystem Services
The 48 species from 30 plant families had 992 use-reports (UR) mentioned by the local villagers who lived around the tidal forest (Table 1). There were four species that were used by more than 50% of the informants, including the multi-use hypericaceous tree Cratoxylum cochinchinense (Lour.) Blume, the clusiaceous cowa-tree with edible fruits, Garcinia cowa Roxb. ex Choisy, the opliliaceaous tree vegetable, Melientha suavis Pierre, and the aquatic lotus flower, Nelumbo nucifera Gaertn. These four species also had the highest scores for use value (UV).
Table 1.
List and information of plants in the tidal forest that were reported for their use as food and for cash income by 101 informants (sort by scientific name). Plants mentioned by only one informant are excluded, they were included in Supplementary Materials. Acronym: * Three-letter family acronyms follow Snow and Holton [30]. † Habit: Aq = aquatic plant, H = herb, S = shrub, T = tree. ‡ Origin: Ex = exotic, Na = Native.
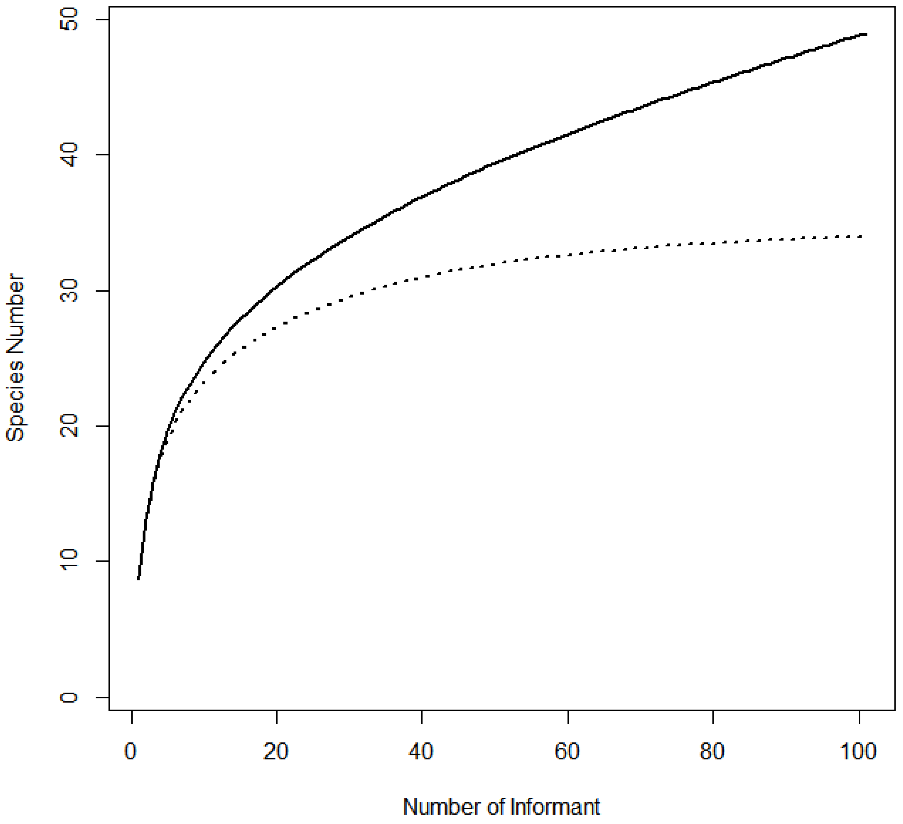
An accumulation curve suggested that the number of species used by local people would increase if more informants had been interviewed (Figure 2). However, when excluding singleton species that were cited by only one informant, the accumulation curve appeared to level out at about 30 species.
Figure 2.
Species accumulation curve for the plants in a tidal forest which were used by the local villagers plotted against an increasing number of informants. The solid line indicates all species cited by the informant. The dotted line indicates only species cited by at least two informants.
The best-represented lifeform among the used species were herbs (20 spp.), followed by shrubs and trees (11 spp. each), and aquatic plants (6 spp.). There were six exotic species (out of 48 spp.) that were found in the tidal forest and that were used: the ear-pod wattle, Acacia auriculiformis A.Cunn. ex Benth. (Fabaceae) which is native to Australia, the cashew, Anacardium occidentale L. (Anacardiaceae), which is native to South America, the common water hyacinth, Eichhornia crassipes (Mart.) Solms (Pontederiaceae), which is native to South America, the many flower marsh pennywort, Hydrocotyle umbellata L. (Araliaceae) native to America, the lead tree, Leucaena leucocephala (Lam.) de Wit (Fabaceae) native to South America, and the floating aquatic Neptunia plena (L.) Benth. (Fabaceae), which is native to America.
The many use-reports could be classified into seven use-categories in the system presented in the Economic Botany Data Collection Standard [27] (Figure 3). Foods was the most important category and included the highest number of species (36 spp.) and use-reports (743 URs). The remaining use-categories together had a total of 20 species and each category had less than ten species. Among these categories, Food additives had the highest URs with five species.
Figure 3.
The number of use-report (left) and number of species (right) reported in each use category.
The uses of most species (77%) were restricted to only one category. One species was used in three categories, Lasia spinosa (L.) Thwaites, which was used as a vegetable (Foods), lowering blood pressure (Medicines), and smoking material (Social use). There were ten species that entered into two use-categories, e.g., Nelumbo nucifera, of which the rhizome was eaten (Foods), and the flowers were used in offering to Buddha (Social use).
3.2. Economic Value of Ecosystem Services
Of the 101 informants, 43 generated incomes from selling plant products that they had harvested from the tidal forest, including 11 male (35% of male informants) and 32 female (46% of female informants). The income varied greatly among the informants, from about 75 USD to more than 4000 USD annually. Male informants earned on average a higher annual income from sales than females did (1062 vs. 923 USD), however, the difference was not significant (p = 0.843, t-test).
Of the 48 species registered in the tidal forest, 26 generated economic income for the villagers mostly (21 spp.) sold as vegetables. The economically most valuable plant from the tidal forest was Schoenoplectiella mucronata (L.) J. Jung & H. K. Choi which was used for weaving mats and baskets. The average monthly income per capita generated from this plant was also the highest, about 1100 USD. Other economically important species were Nelumbo nucifera, Melientha suavis, and Cratoxylum cochinchinense (Table 2). Except for Schoenoplectiella mucronata these plants were sold as vegetables in the local market.
Table 2.
The income generated from 26 species growing in the tidal forest of southeastern Thailand and which were sold by 43 informants and average monthly income (bold indicated income higher than average).
Plants with high economic values also tended to have higher numbers of use-reports (UR). There is a significant correlation between economic value and number of use-reports (Spearman test, r2 = 0.699, p <0.01). Examples of species with high values for selling and many use-reports (UR) are Nelumbo nucifera, Melientha suavis Pierre, Cratoxylum cochinchinense.
Most plants were harvested and sold throughout the year. A few species had more limited harvesting times, e.g., Dioscorea brevipetiolata Prain and Burkill and Lasia spinosa (L.) Thwaites, which were harvested mostly during the rainy season (Table 2). It should be noted that harvesting time mentioned by different informants for the same species varied. For example, some informants harvested shoots of C. cochinchinense throughout the year, but others harvested it only during the dry season (October–April).
The shoot is the most important plant part (Figure 4a) harvested from plants in the tidal forest, and it was also the part that generated the most income compared to other plant parts. There were ten species for which their shoots were collected and sold, and those ten species contributed about one-third of the total income from plant products. Shoots were gathered mostly during March–August. Other economically important plant parts with high selling value, were stems and rhizomes.
Figure 4.
Monthly income according to different categories: (a) three most sold parts of plant; (b) use-category (Food and Materials); and (c) habit.
Food was the use-category with the highest sales value (Figure 4b), contributing two-thirds of the total income from the studied tidal forest. Food products were sold mostly from March–August. Another high-value category was materials. There were two of three species in this category, which were sold, Licuala spinosa Thunb. and Schoenoplectiella mucronata (L.) J. Jung & H. K. Choi. The later species contributed about 87% of the total income generated in this category.
4. Discussion
4.1. Ethnobotany and Ecosystem Services in Tidal Forests of Southeastern Thailand
Although more than 100 communities have been ethnomedicinally investigated in Thailand [7] only a few of them were from the southeastern part of Thailand (i.e., [31,32,33]), and only a few of them covered other use-categories besides medicinal plants. Of the 144 medicinal species previously reported from southeastern Thailand, only four were found in this study: Garcinia cowa Roxb. ex Choisy, Lepisanthes rubiginosa (Roxb.) Leenh., Nypa fruticans Wurmb, and Willughbeia edulis Roxb. It should be noted that, in this study, these species were not mentioned for their medicinal usage. Since ethnobotany focuses on the documentation of traditional local knowledge, the objective of our study was one of the most important factors in determining which species and uses could be discovered. All use-categories were of interest, and the informants were not asked specifically for ethnomedicinal uses. Therefore, most informants mentioned only the most common uses of these plants, which often was food. However, it could also imply the informants’ unawareness of the plants’ medicinal properties which might be an example of the erosion of traditional ethnomedicinal knowledge. In Thailand, the heterogeneity of ethnobotanical knowledge is high [7]. Even in the two neighboring villages, the traditional knowledge of medicinal plants could be significantly different [34]. Therefore, ethnobotanical study is still needed to conserve traditional knowledge.
Tidal forests appear along the coastline of southeastern, central, and southern Thailand [9] while most ethnobotanical investigations were carried out in northern Thailand [7]. Therefore, ethnobotanical studies focused on tidal forests in Thailand are very scarce. However, a couple of previous studies demonstrated that the traditional knowledge of this forest type is important, especially knowledge relating to food and medicinal plants [11]. This study underlines the important role of tidal forests as a source of food and cash income for local people living nearby. Larger perspective research on these direct relationships between local people and their environments could strengthen the cultural identities and help maintain the biodiversity of the forest as an important source of ecosystem services. Wild food plants are important for balancing the nutritional value of diets [35] and guaranteeing food security for local people [36,37,38].
The three most important wild food species from the tidal forest were Cratoxylum cochinchinense, Garcinia cowa, and Melientha suavis, which were all common and popular vegetables for local consumption and used in various dishes. The shoot of these plants could be harvested all year round. The preference for the leafy part is common among people in Southeast Asia [19,39]. Harvesting the leafy parts has a number of advantages, e.g., it requires less energy and leafy parts are easy to collect [39,40], harvesting the leafy parts does not depend on the season, and this method produces less damage to the plants.
Besides provision services, especially food, tidal forests play an important role in the stabilization of the land [41]. The root systems of the trees stabilize the soil, which is mostly sandy. The tidal forest also acts as a barrier against storm waves from the sea [42]. The forest maintains the moisture in the sandy soil which is important to the survival of many organisms. Unlike food, which is a direct and tangible benefit, the communities’ recognition of these services is not clear. Therefore, further investigation of these services with community engagement is needed to increase the awareness and the recognition of the importance of the forest. We have found no differences between male and female informants in terms of traditional knowledge. The average number of species and use-reports (UR) was not significantly different between genders. One of the important factors affecting the increase of knowledge is the frequency of application [28]. Therefore, women are expected to possess more knowledge of edible food plants since their expected role is to prepare the food for the family. However, the result from this study shows that this broad generalization regarding which gender is most likely to respond to particular resources could not be made [21].
4.2. Income from Tidal Forest
Besides being part of livelihoods, wild plant products could provide income, mainly or additionally, for villagers living around the tidal forest. This is important for peoples’ socio-economic situation [43,44]. Close to half of the informants (42%) had gained supplementary income from the tidal forest, so the tidal forest is still important for the local people. There is no significant gender difference in terms of income gained from the tidal forests. The differences between men and women in collecting and receiving income from wild plant products are affected by perceptions, interests, access to resources, etc. [45]. In this study, the main wild product from the tidal forest was vegetables that did not require special skills or strength to harvest. In some other areas where fuelwood was collected from the forest, males seemed to visit the forest more frequently and gain more income from that activity than females did [45,46]. However, in our study area harvesting of fuelwood is prohibited. Only harvesting of vegetables and Schoenoplectiella mucronata (L.) J. Jung and H. K. Choi, which is an important material for weaving, could be performed regardless of gender differences as the activities require no special skill or strength.
The two most important plant parts collected from the tidal forest were shoots and stems which were sold mostly as vegetables and weaving materials, respectively. Schoenoplectiella mucronata is a plant in the sedge family (Cyperaceae), and it grows in moist and wet parts of the tidal forest. Its stems are harvested and sold throughout the year. The monthly income from this plant varies only slightly over the year (Figure 3). The populations were previously declining due to over-harvesting. We were told that traditionally the whole plant, including its basal clump was uprooted for harvesting. During our fieldwork, there were fewer harvesters, and the harvesting techniques had changed. Only half of the stems were extracted from a clump and the rest were left for resprouting. Therefore, the plant could be harvested throughout the year.
Unlike stems, more people and plant species were involved in selling shoots. Compared to collecting the stem of S. mucronata, collecting shoots required less skill and energy. Shoots were harvested and sold at the market as vegetables. Although the shoots could be harvested throughout the year, they were mostly collected during the summer and rainy seasons (March–August). According to the informants, this was the time when plants produced the most material and had the best taste. Since harvesting shoots did not affect the plant vitality, for sustainability this could be better than techniques that cause the whole individual’s death [47].
Having an income from the tidal forest promoted awareness of the importance of traditional knowledge. Many species with high economic value would also have higher numbers of use-reports (UR) and higher use-values (UV). On the other hand, plants with low economic value seemed to have fewer use-reports (UR) and lower use-values (UV) which indicated that these plants could no longer be used by the local people. Therefore, promoting economic value could help support the recognition of traditional knowledge. It could be one of the effective ways to support the conservation of this valuable knowledge.
Although there is no special regulation for collecting wild products from the tidal forest, local people are aware of the potential over-harvesting. However, the awareness depends mostly on the acknowledgment of the economic value of the tidal forest. For further sustainable management, information about forest production, especially its high economic value species, is needed. The presentation of invasive tree species like Acacia auriculiformis and Leucaena leucocephala in the tidal forest [25] could be the cause of serious problems in the future, but there is still no clear strategy for this problem. These species could be used as fuelwood or construction material, however, cutting trees is still prohibited in the tidal areas. Therefore, new regulations should be discussed between the local people, researchers, and local government for further sustainable management.
5. Conclusions
Wild plant products are an important ecosystem service that serves to satisfy daily needs and income for local villagers around tidal forests, especially, those who live around and in the ecosystem. In this study, we have demonstrated various plant products that were harvested and sold for supplementary income. Food plants, especially wild vegetables, were the most important products. Another important wild plant product was the stem of the sedge Schoenoplectiella mucronata which was collected and sold for weaving material, and therefore it was an important local crafting product. Both plant groups could be harvested throughout the year, which guaranteed constant income. Receiving an income from the forest promotes the recognition of the importance of the forest and related traditional knowledge.
In this study, a difference between genders was not found. Men and women possessed similar knowledge of the plants used and they gained similar incomes from selling the plant products. Therefore, we suggest, that besides direct benefits such as plant products and income, tidal forests also supported and promoted gender equality for the people living around it.
Sustainable harvest methods were observed in this study. For food plants, most of the collected products were shoots that could be harvested year-round with only slight damage to the plant populations. The careful method of harvesting the sedge S. mucronata was also an example of a sustainable way of living with nature.
The economic value of the ecosystem is one of the important factors promoting the recognition of traditional knowledge. Therefore, we conclude that one of the most effective ways to conserve traditional knowledge is to promote the economic value of the ecosystem. On the other hand, plants with low economic value would tend to be not recognized for their traditional uses. To conserve this valuable knowledge, their economic value needs to be documented. This effort requires the cooperation of various players, e.g., the communities and the local and central governments.
Being a tangible source of benefits such as income and daily food, understanding its values could increase the awareness of the importance of the tidal forest. The tidal forest also provides other ecological services such as regulating services. Further research into community engagement would be an important activity to encourage the recognition and awareness of these services by the community and the public. These would support the conservation of both tidal forests and the traditional knowledge of the indigenous people.
Supplementary Materials
The following supporting information can be downloaded at: https://www.mdpi.com/article/10.3390/su14106322/s1, Table S1: Species list and ecological data of plants found in a permanent plot in a tidal forest at Rayong Botanical Garden, Rayong province, Thailand.
Author Contributions
Conceptualization, P.P. and H.B.; methodology, P.P. and J.M.; validation, P.P., H.B. and A.I.; formal analysis, P.P.; investigation, P.P. and J.M.; resources, P.P.; data curation, P.P.; writing—original draft preparation, P.P.; writing—review and editing, H.B. and A.I.; visualization, P.P.; supervision, H.B. and A.I.; project administration, P.P.; funding acquisition, P.P. All authors have read and agreed to the published version of the manuscript.
Funding
This research was funded by The Thailand Research Fund (TRF), Strategic Basic Research, Research No. DBG6180019.
Institutional Review Board Statement
The study was conducted in accordance with the Declaration of Helsinki, and approved by the Research Ethics Committee of Chiang Mai University (protocol code CMUREC 63/201 22 December 2020).
Informed Consent Statement
Informed consent was obtained from all subjects involved in the study.
Data Availability Statement
Not applicable.
Acknowledgments
We are grateful to the villagers who participated in this study and shared their knowledge with us. We also thank to the staffs from Rayong Botanical Garden for their help and facilitation during the field work. Thanks to Chiang Mai University for the partial financial support. Finally, special thank for The Thailand Research Fund (TRF) for funding (No. DBG6180019).
Conflicts of Interest
The authors declare no conflict of interest. The funders had no role in the design of the study; in the collection, analyses, or interpretation of data; in the writing of the manuscript, or in the decision to publish the results.
References
- Smith, P. The Book of Seeds: A Life-Size Guide to Six Hundred Species from Around the World; University of Chicago Press: Chicago, IL, USA, 2018. [Google Scholar]
- Schippmann, U.; Leaman, D.J.; Cunningham, A. Impact of cultivation and gathering of medicinal plants on biodiversity: Global trends and issues. In Proceedings of the Biodiversity and the Ecosystem Approach in Agriculture, Forestry and Fisheries, Rome, Italy, 12–13 October 2002; pp. 140–167. [Google Scholar]
- Cámara-Leret, R.; Dennehy, Z. Indigenous Knowledge of New Guinea’s Useful Plants: A Review. Econ. Bot. 2019, 73, 405–415. [Google Scholar] [CrossRef] [Green Version]
- Hidayati, S.; Franco, F.M.; Bussmann, R.W. Ready for phase 5-current status of ethnobiology in Southeast Asia. J. Ethnobiol. Ethnomed. 2015, 11, 17. [Google Scholar] [CrossRef] [PubMed] [Green Version]
- Pooma, R.; Suddee, S. Thai Plant Names Tem Smitinand Revised Edition 2014; Office of the Forest Herbarium, Department of national Park, Wildlife and Plant Conservation: Bangkok, Thailand, 2014.
- Phumthum, M.; Srithi, K.; Inta, A.; Junsongduang, A.; Tangjitman, K.; Pongamornkul, W.; Trisonthi, C.; Balslev, H. Ethnomedicinal plant diversity in Thailand. J. Ethnopharmacol. 2018, 214, 90–98. [Google Scholar] [CrossRef] [PubMed]
- Phumthum, M.; Balslev, H. Use of Medicinal Plants Among Thai Ethnic Groups: A Comparison. Econ. Bot. 2019, 73, 64–75. [Google Scholar] [CrossRef] [Green Version]
- Van Welzen, P.C.; Madern, A.; Raes, N.; Parnell, J.; Simpson, D.; Byrne, C.; Curtis, T.; Macklin, J.; Trias-Blasi, A.; Prajaksood, A. The current and future status of floristic provinces in Thailand. In Land Use, Climate Change and Biodiversity Modeling: Perspectives and Applications; IGI Global: Hershey, PA, USA, 2011; pp. 219–247. [Google Scholar]
- Santisuk, T. Forests of Thailand; Office of the Forest Herbarium: Bangkok, Thailand, 2018.
- Neamsuvan, O.; Seangnon, N.; Yingjaruen, K.; Singdam, P. Ethnobotany of edible plants from mangrove and beach forest in Sating Phra Peninsula, Songkhla Province. KKU Sci. J. 2012, 40, 981–991. [Google Scholar]
- Neamsuvan, O.; Jaisamut, P.; Maneenoon, K.; Subhateerasakul, S. A survey of medicinal plants for tonic from Ban Toong Soong Community Forest, Auluk district, Krabi Province. Burapha Sci. J. 2012, 17, 160–166. [Google Scholar]
- Seppelt, R.; Dormann, C.F.; Eppink, F.V.; Lautenbach, S.; Schmidt, S. A quantitative review of ecosystem service studies: Approaches, shortcomings and the road ahead. J. Appl. Ecol. 2011, 48, 630–636. [Google Scholar] [CrossRef]
- Kumar, P. The Economics of Ecosystems and Biodiversity: Ecological and Economic Foundations; Routledge: London, UK, 2012. [Google Scholar]
- Dang, A.N.; Jackson, B.M.; Benavidez, R.; Tomscha, S.A. Review of ecosystem service assessments: Pathways for policy integration in Southeast Asia. Ecosyst. Serv. 2021, 49, 101266. [Google Scholar] [CrossRef]
- ADB. The Economics of Climate Change in Southeast Asia: A regional Review; Asian Development Bank: Mandaluyong, Philippines, 2009. [Google Scholar]
- Poppy, G.M.; Chiotha, S.; Eigenbrod, F.; Harvey, C.A.; Honzák, M.; Hudson, M.D.; Jarvis, A.; Madise, N.J.; Schreckenberg, K.; Shackleton, C.M.; et al. Food security in a perfect storm: Using the ecosystem services framework to increase understanding. Philos. Trans. R. Soc. B Biol. Sci. 2014, 369, 20120288. [Google Scholar] [CrossRef] [Green Version]
- Bharucha, Z.; Pretty, J. The roles and values of wild foods in agricultural systems. Philos. Trans. R. Soc. B Biol. Sci. 2010, 365, 2913–2926. [Google Scholar] [CrossRef] [Green Version]
- Kamanga, P.; Vedeld, P.; Sjaastad, E. Forest incomes and rural livelihoods in Chiradzulu District, Malawi. Ecol. Econ. 2009, 68, 613–624. [Google Scholar] [CrossRef]
- Punchay, K.; Inta, A.; Tiansawat, P.; Balslev, H.; Wangpakapattanawong, P. Traditional knowledge of wild food plants of Thai Karen and Lawa (Thailand). Genet. Resour. Crop Evol. 2020, 67, 1277–1299. [Google Scholar] [CrossRef]
- Müller, J.G.; Boubacar, R.; Guimbo, I.D. The “How” and “Why” of Including Gender and Age in Ethnobotanical Research and Community-Based Resource Management. Ambio 2015, 44, 67–78. [Google Scholar] [CrossRef] [PubMed] [Green Version]
- Pfeiffer, J.M.; Butz, R.J. Assessing cultural and ecological variation in ethnobiological research: The importance of gender. J. Ethnobiol. 2005, 25, 240–278. [Google Scholar] [CrossRef] [Green Version]
- Voeks, R.A. Are women reservoirs of traditional plant knowledge? Gender, ethnobotany and globalization in northeast Brazil. Singap. J. Trop. Geogr. 2007, 28, 7–20. [Google Scholar] [CrossRef]
- Torres-Avilez, W.; Nascimento, A.L.B.d.; Santoro, F.R.; Medeiros, P.M.d.; Albuquerque, U.P. Gender and Its Role in the Resilience of Local Medical Systems of the Fulni-ô People in NE Brazil: Effects on Structure and Functionality. Evid. Based Complementary Alternat. Med. 2019, 2019, 8313790. [Google Scholar] [CrossRef] [Green Version]
- Torres-Avilez, W.; Medeiros, P.M.d.; Albuquerque, U.P. Effect of Gender on the Knowledge of Medicinal Plants: Systematic Review and Meta-Analysis. Evid. Based Complementary Alternat. Med. 2016, 2016, 6592363. [Google Scholar] [CrossRef] [Green Version]
- Panyadee, P.; Muenrew, J. Annual Report 2019: The Study of Permanent Plot and Plant Structure in Rayong Botanic Garden; The Botanical Garden Organization: Chiang Mai, Thailand, 2019. [Google Scholar]
- Babbie, E. The Basics of Social Research, 5th ed.; Thomson Wadsworth: Belmont, CA, USA, 2010. [Google Scholar]
- Cook, F.E.M. Economic Botany Data Collection Standard; Whitstable Litho: Kent, UK, 1995. [Google Scholar]
- Phillips, O.; Gentry, A.H. The useful plants of Tambopata, Peru: I. Statistical hypotheses tests with a new quantitative technique. Econ. Bot. 1993, 47, 15–32. [Google Scholar] [CrossRef]
- Tardío, J.; Pardo-de-Santayana, M. Cultural Importance Indices: A Comparative Analysis Based on the Useful Wild Plants of Southern Cantabria (Northern Spain). Econ. Bot. 2008, 62, 24–39. [Google Scholar] [CrossRef]
- Snow, N.; Holton, N. Additions to Weber’s Three-Letter Family Acronyms based on results of The Angiosperm Phylogeny Group. Taxon 2000, 49, 77–78. [Google Scholar] [CrossRef]
- Chuakul, W.; Soonthornchareonnon, N.; Sappakun, S. Medicinal plants used in Kungkrabaen Royal Development Study Center, Chanthaburi province. Thai J. Phytopham. 2006, 13, 27–42. [Google Scholar]
- Osiri, S.; Matchacheep, S.; Thalerngpong, J.; Mudlee, N.; Noiprasert, N.; Patanapokratana, P. Folk healers and herbal use in Chonburi Province. Public Health J. Burapha U. 2001, 6, 53–62. [Google Scholar]
- Osiri, S.; Matchacheep, S.; Tritilanun, V.; Pithakcharoen, P.; Phahanich, W.; Lertsomboonsuk, N.; Chusrithong, D. Forl healers and herbs in the community forest of Chachoengsao province. J. Thai Tradit. Altern. Med. 2011, 9, 10–19. [Google Scholar]
- Junsongduang, A.; Balslev, H.; Inta, A.; Jampeetong, A.; Wangpakapattanawong, P. Karen and Lawa medicinal plant use: Uniformity or ethnic divergence? J. Ethnopharmacol. 2014, 151, 517–527. [Google Scholar] [CrossRef]
- Heywood, V.H. Ethnopharmacology, food production, nutrition and biodiversity conservation: Towards a sustainable future for indigenous peoples. J. Ethnopharmacol. 2011, 137, 1–15. [Google Scholar] [CrossRef]
- Ong, H.G.; Kim, Y.-D. The role of wild edible plants in household food security among transitioning hunter-gatherers: Evidence from the Philippines. Food Secur. 2017, 9, 11–24. [Google Scholar] [CrossRef]
- Joshi, N.; Siwakoti, M.; Kehlenbeck, K. Wild Vegetable Species in Makawanpur District, Central Nepal: Developing a Priority Setting Approach for Domestication to Improve Food Security. Econ. Bot. 2015, 69, 161–170. [Google Scholar] [CrossRef]
- Whitney, C.W.; Luedeling, E.; Hensel, O.; Tabuti, J.R.S.; Krawinkel, M.; Gebauer, J.; Kehlenbeck, K. The Role of Homegardens for Food and Nutrition Security in Uganda. Hum. Ecol. 2018, 46, 497–514. [Google Scholar] [CrossRef]
- Panyadee, P.; Muangyen, N.; Pongamornkul, W.; Inta, A. Food from Forest: Diversity of Wild Vegetables Used by Pwo People Thailand. In Ethnobiology of Mountain Communities in Asia; Abbasi, A.M., Bussmann, R.W., Eds.; Springer International Publishing: Cham, Switzerland, 2021; pp. 47–69. [Google Scholar]
- Tetali, P.; Waghchaure, C.; Daswani, P.G.; Antia, N.H.; Birdi, T.J. Ethnobotanical survey of antidiarrhoeal plants of Parinche valley, Pune district, Maharashtra, India. J. Ethnopharmacol. 2009, 123, 229–236. [Google Scholar] [CrossRef]
- Integrated Coastal Area Management and Agriculture, Forestry and Fisheries. FAO Guidelines; Scialabba, N., Ed.; Environment and Natural Resources Service, FAO: Rome, Italy, 1998. [Google Scholar]
- Subkhoon, K. Beach Forest Restoration; WWF—World Wide Fund For Nature: Bangkok, Thailand, 2007. [Google Scholar]
- Stryamets, N.; Elbakidze, M.; Ceuterick, M.; Angelstam, P.; Axelsson, R. From economic survival to recreation: Contemporary uses of wild food and medicine in rural Sweden, Ukraine and NW Russia. J. Ethnobiol. Ethnomed. 2015, 11, 53. [Google Scholar] [CrossRef] [Green Version]
- Zou, X.; Huang, F.; Hao, L.; Zhao, J.; Mao, H.; Zhang, J.; Ren, S. The socio-economic importance of wild vegetable resources and their conservation: A case study from China. Kew Bull. 2010, 65, 577–582. [Google Scholar] [CrossRef]
- Suwardi, A.B.; Navia, Z.I.; Harmawan, T.; Syamsuardi, S.; Mukhtar, E. Wild edible fruits generate substantial income for local people of the Gunung Leuser National Park, Aceh Tamiang Region. Ethnobot. Res. Appl. 2020, 20, 1–13. [Google Scholar] [CrossRef]
- Legwaila, G.M.; Mojeremane, W.; Madisa, M.; Mmolotsi, R.M.; Rampart, M. Potential of traditional food plants in rural household food security in Botswana. J. Hortic. Forest. 2011, 3, 171–177. [Google Scholar]
- Zuidema, P.A.; De Kroon, H.; Werger, M.J. Testing sustainability by prospective and retrospective demographic analyses: Evaluation for palm leaf harvest. Ecol. Appl. 2007, 17, 118–128. [Google Scholar] [CrossRef] [Green Version]
Publisher’s Note: MDPI stays neutral with regard to jurisdictional claims in published maps and institutional affiliations. |
© 2022 by the authors. Licensee MDPI, Basel, Switzerland. This article is an open access article distributed under the terms and conditions of the Creative Commons Attribution (CC BY) license (https://creativecommons.org/licenses/by/4.0/).



