Abstract
The digital economy is booming worldwide, and industrial digitalization in particular has recently become very popular in China. This paper examines the coupled and coordinated development of the logistics industry, digitalization, and ecological civilization, as well as the barriers in China’s ecological civilization pilot provinces (Fujian, Jiangxi, Guizhou, and Hainan). The study shows that these four provinces have neglected ecological civilization in the coordinated development of the three. In terms of spatial and temporal distribution, the coupled coordination of the three in Fujian and Jiangxi provinces fluctuates at a high level. The three-coupling coordination of Guizhou and Hainan provinces, on the other hand, fluctuates at a low level. On this basis, the main reasons for the coordinated development of the logistics industry, digitalization, and ecological civilization in four Chinese provinces are analyzed and some specific suggestions are made.
1. Introduction
Digitalization refers to the process of digitally upgrading, transforming, and reconfiguring the supply chain of the logistics industry with the support of technology and data. In the process of digitally upgrading industry, the development of the logistics industry should pay extra attention to “greening”. Ecological civilization is a key strategy to solve a series of problems in China’s economic transformation in the future [1]. The logistics industry is an important basic, strategic, and pioneering service industry that supports the development of the national economy [2]. It is an important economic sector for energy consumption and CO2 emissions. Digitalization has a broad meaning and can be defined as “the use of digital data and technology to automate processing and optimization” [3]. At present, there are still more questions about the digitalization of the logistics industry in various countries. In the development mode, most of the traditional logistics industry is a rough-and-ready operation with a serious waste of resources. In terms of operation mode, the vehicle transportation arrangement is not reasonable and causes environmental pollution problems such as carbon emissions not meeting standards. With the development of e-commerce logistics, express waste is becoming a new major source of pollution. This is extremely harmful to the sustainable development of the logistics industry. How to help the logistics industry achieve green development with the help of digital transformation is an urgent issue now. It is known that most of the strong countries in logistics industry development are strong due to the active advocacy of the government. Therefore, this paper takes China’s national ecological civilization pilot provinces (Fujian Province, Jiangxi Province, Guizhou Province, and Hainan Province) as the research object to explore how to coordinate the relationship between resources, environment, and digital development in the process of ecological civilization construction. This research is for the reference of other countries or regions.
Current research by domestic and international scholars on the relationship between the logistics industry, digitalization, and ecological civilization has focused on one-way and multiple relationships [4,5]. For the relationship between them, Shpak N et al. suggested that the central theme of digitalization revolves around “the way many areas of social life are reorganized around digital communication and media infrastructure” [6]. He J et al. and Zhang H et al. suggested that green development should be implemented into all aspects of the logistics industry, integrating the concept of ecological civilization into all nodes [7,8]. Murphy P R et al. introduced green ecology into the research field of the logistics industry [9].
The logistics industry, digitalization, and ecological civilization have become hot spots for domestic and international research. Luo Yuyu et al. constructed a system model of natural scenic areas based on system dynamics [10]. Exploring the development trend of scenic spots under different strategies provides a basis for promoting the construction of ecological civilization in natural scenic spots. Chang I et al. studied the influencing factors of the ecological citizenship behavior of college students based on the Triad interpersonal behavior model [11]. R. Sarc et al. applied digital and robotic technologies to waste management to improve the efficiency of waste disposal [12]. Zhang L et al. introduced the Chinese Ecological Civilization Index to evaluate the ecological civilization of Chinese cities (337 cities) using different standardization methods (prescale, single-scale progressive standardization, and double-scale progressive standardization) [13]. Branca T A et al. applied digitalization to advanced tools for optimizing production chains and specific technologies for low-carbon sustainable production [14]. An increasing number of interdisciplinary projects combines social and ecological sciences to analyze the logistics industry and natural systems. These studies consider the relationship between ecological, economic, resource, and environmental aspects, ranging from “economy-logistics-ecology” [15], “logistics-environment” [16], “logistics-digitalization” [17,18], “society-digitalization” [19], “urbanization-ecology” [20], “logistics-regional economy” [21], “logistics-urban transport-tourism” [22], “port logistics -digital technology-energy” [23] and other perspectives.
Currently, studies addressing the logistics industry, digitalization, and ecological civilization have shifted from conceptual to empirical studies [24]. In terms of research space, it involves national [25], interprovincial [26], and economic zones [27,28]. In terms of research methods, the TOPSIS-entropy weight method [29], the Spatial Dubin Model [30], back propagation [31], data envelopment analysis [32], and principal component analysis [33] have been used to complete coordinated development evaluation. In recent studies, more attention has been paid to the study of the interrelationship between the logistics industry, digitalization, and ecological civilization [34,35]. For example, RFID has been used in different studies to digitally manage logistics contracts, orders, return orders, and other documents, which has greatly improved the efficiency of logistics operations [36].
In summary, there is a wealth of research on the logistics industry, digitalization, and ecological civilization. However, most of these studies are qualitative analyses of the connotations, influencing factors, and evaluation systems between them. Fewer studies have quantitatively evaluated the development level and role relationship among the three. There are even fewer studies analyzing the coupling and coordination mechanisms of the logistics industry, digitalization, and ecological civilization from the perspective of China’s national ecological civilization pilot provinces.
2. Materials and Methods
2.1. Interactions and Data Sources
Different countries have different understandings and definitions of the concept of digitalization. The UK has taken the lead in introducing digitalization-related policies and putting forward a series of digital transformation strategies, such as the Connected Strategy, Digital Skills and Inclusion Strategy, Digital Transformation Strategy, and Digital Government Strategy. Germany has taken “Industry 4.0” as the core and gradually improved its digital transformation plan to provide a favorable environment for the development of SMEs. “The basis of China’s digital development is from data to entity”, which promotes the digitalization and information transformation of industry through information technology (big data, artificial intelligence, etc.). A technology-centered and data-driven process is formed to enhance the value and efficiency of the industry. The specific relationship is shown in Figure 1.
Figure 1.
Interactions between composite systems.
This paper uses data from 2013 to 2020 from the pilot provinces of ecological civilization in China (Fujian Province, Jiangxi Province, Guizhou Province, and Hainan Province) for the study. The relevant data are obtained from the China Statistical Yearbook, China Transportation Statistical Yearbook, China Tertiary Industry Statistical Yearbook, and State of the Environment Bulletin. According to the China Tertiary Industry Statistical Yearbook (2007), the logistics industry refers to the transportation, storage and postal industry in the National Economic Classification. The total annual energy consumption of the logistics industry (transportation, storage, and postal industry) is selected as an indicator, and the data is obtained from the National Statistical Yearbook. In addition, the carbon emission level indicator is obtained from the China Carbon Emission Database.
2.2. Constructing Indicator System
The indicator system for the logistics industry was selected with reference to the study of Gan W et al. in four dimensions: logistics infrastructure, scale of logistics development, industry structure, and level of efficiency [37]. Due to the wide coverage of digital systems, the study by Gao Y et al. referred to five dimensions of digital scale—digital innovation, digital governance, digital industry, and efficiency level—to measure the level of digitalization [38]. Combined with the studies of scholars such as Li Wei et al. and Liao Mingli et al. [39,40], the relationship between ecological civilization and logistics industry is reflected in three dimensions: socioecological civilization, ecological environment, and ecological governance. (Table 1).
Table 1.
The evaluation indicator system of the logistics industry–digitalization–ecological civilization.
2.3. Coupling Coordinated Development
First, the extreme value method is used to eliminate the magnitudes between the indicators. Normalization is performed according to the indicator attributes (positive and negative). Let be the standardized value of the indicator in year, which denotes the evaluation coefficient of the indicator with dimensionless treatment. Among them, this paper has three subsystems . is the actual value of the indicator in year. denotes the maximum value of similar indicators in the statistical year. denotes the smallest value of the same indicator in the statistical year.
For the treatment of positive indicators:
For the treatment of negative indicators:
The coupling relationship between the regional logistics industry, digitalization, and ecological civilization can be better explored by using the coupling degree model so as to better understand the level of digitalization of the regional logistics industry and point out a clear direction for future regional industrial development. However, the most important step in measuring the coupling of the regional logistics industry, digitalization, and ecological civilization is to determine the weights of each indicator. At present, there are two types of subjective weighting methods and objective weighting methods for measuring indicators. Subjective assignment methods, such as the composite index method, Delphi method, and AHP method, rely on human subjectivity and experts’ practical experience and often have bias. Objective assignment methods include principal component analysis, factor analysis, entropy method, coefficient of variation method, etc. Using them, weight can be assigned according to sample data and bias caused by human factors can be avoided. Among the objective assignment methods, the entropy method is the most widely used. The entropy method can deeply reflect the objective information of indicators and make the evaluation results more realistic.
For the positive indicator, the value of is positively related to the orderliness of the subsystem. Negative indicators are in the opposite situation. In order to make the data arithmetic processing meaningful, the effect of negative values and zeros must be eliminated. Therefore, it is necessary to collate the dimensionless data. That is, . However, in order to maintain the intrinsic pattern of the original data, the value of should be as small as possible, and this paper takes .
We measure the integrated development level between the logistics industry, digitalization, and ecological civilization construction. Secondly, the weights of evaluation indices are then measured using the entropy weight method:
where denotes the information entropy. n denotes the number of ecological civilization pilot provinces and takes the value of 4. y indicates the number of years counted and takes the value of 8. denotes the weight of the j item. denotes the coefficient of variability, where . is the composite index for year.
Coupling is the behavior of several systems that interact with each other through a specific relationship between subsystems that have relevance. Coupling is the degree of dependence of information or parameters between two or more systems in a software metric program. The current formula for the traditional coupling degree model is:
Comprehensive evaluation model:
where C denotes the coupling degree, and its distribution interval is . The larger the value of C, the higher the coupling degree of the subsystem; conversely, the smaller the value of C, the lower the coupling degree. indicates the level of digital development of industry; indicates the level of development of the logistics industry; indicates the level of ecological civilization construction. denotes the composite evaluation index; , , denote the adjustment factor.
For the assignment of the moderation system, there is some variation in the choice of , , among scholars in the available literature studies. In studying the coupling relationship among the three, scholars such as Zhang Z et al. and Dong L et al. assumed that the three systems have the same importance [41,42]; take . When studying the relationship between three components of agriculture in the northwest arid zone, Zhang K et al. take [43]. In the study of the relationship between three in the Yellow River Basin region, Ma H et al. take [44]. Gao Y et al. take [45]. In studying the relationship between the three in the Silk Road Economic Belt, Han W et al. take [46]. Since the three systemic relationships studied in this paper are equally important, was taken by collating and comparing the coefficients of existing scholarly studies.
Coordination refers to the harmonious interactions between subsystems. The degree of coordination refers to the degree of benign coupling in the coupled interaction relationship of each subsystem, which reflects whether the coordination statuses promote each other at a high level or constrain each other at a low level. Since the coupling degree C cannot comprehensively reflect the degree of coordination of the interaction within the logistics industry–digitalization–ecological civilization complex system. Therefore, the coupling coordination degree model is introduced.
where denotes the coordinated coupling degree with the distribution interval . The larger indicates better coupling and coordination of the logistics industry, digitalization, and ecological civilization construction. When each subsystem is more discrete, a lower coupling coordination degree indicates that the relationship between the three is at a dysfunctional level; conversely, a higher coupling coordination degree indicates that the relationship is at a coordinated level. In addition, this paper refers to the research results of scholar Liao C et al. [47] and divides the coupled phase coordination degree of the three subsystems into 10 levels, as shown in Table 2. The system classification system and discrimination criteria of the coupling coordination degree between the logistics industry, digitalization, and ecological civilization construction are shown in Table 3.
Table 2.
Logistics industry-digitalization-ecological civilization coupling coordination level.
Table 3.
Coupling coordination classification system and discriminatory criteria.
2.4. Obstacle Model
In order to better identify the influence degree of the main coordination factors on the coupling coordination degree D, The obstacle model is introduced to formulate measures to improve the digital transformation and development of the logistics industry.
Index deviation:
Obstacle Model:
Among them, is the obstacle degree of the j index in the i year. The higher the obstacle degree, the greater the impact of the index on the system.
3. Results and Discussion
3.1. The Comprehensive Development Status of Three Systems
As can be seen from Figure 2, the development trajectory curve of the comprehensive evaluation index of logistics industry subsystems in the four provinces from 2013 to 2020 shows a fluctuating upward trend. Fujian Province improved significantly in 2015, mainly due to a series of measures released in 2015 to promote the development of the logistics industry to enter Fujian Province. As more policy measures to accelerate the development of the logistics industry were issued in Guizhou Province in 2017, the change of the logistics industry index showed a trend of first falling and then rising. Fujian Province and Jiangxi Province showed a fluctuating upward trend during the study period. Relying on the advantages of the Guangdong–Hong Kong–Macao Bay Area and the natural environment, Jiangxi Province rose rapidly in 2019. In addition, Jiangxi Province provides policy support for the standardization of the logistics industry, digitalization, and intelligence of the industry. The construction of logistics parks, logistics centers, etc. has led to the rapid development of the logistics industry in Jiangxi Province. Since 2019, the comprehensive evaluation index of the logistics industry subsystem in Hainan Province has increased rapidly. This is mainly due to the support of China’s logistics industry policy after Hainan Province was identified as a free trade zone in 2018, and the establishment of free trade ports and tax exemption policies have led to the rapid development of the logistics industry in Hainan Province.
Figure 2.
Four provinces’ logistics industry–digitalization–ecological civilization comprehensive evaluation index change track.
From 2013 to 2020, the digitalization index of the four provinces shows an overall increasing trend year by year. Fujian Province increased from 0.2466 in 2013 to 0.8639 in 2020, a large span. Fujian Province put forward the concept of “Digital Fujian” in 2014 and established a public platform for e-government in the province. These measures have accelerated the promotion of intelligent application systems. from 2013 to 2020, the comprehensive evaluation index of industrial digitalization in Jiangxi Province steadily increased. With the geographical advantage of the Guangdong–Hong Kong–Macao Bay Area, Jiangxi Province achieved remarkable results in the development of the digital economy development pilot zone. Compared to other provinces, Guizhou Province and Fujian Province have steadily improved their development levels. Guizhou province is the first comprehensive pilot zone of big data in China and improved by 0.7868 from 0.0433 in 2013 to 0.8301 in 2020. Hainan province developed rapidly, rising from 0.0581 in 2013 to 0.8670 in 2020. Hainan province put forward the concept of “Digital Hainan” in 2020, relying on policy support, technical support, and system integration technology to promote the digital transformation of Hainan Province’s industry.
The spatial pattern of ecological environmental quality in the four Chinese provinces is relatively stable, as shown in Figure 1. In 2017, the comprehensive evaluation index of ecological civilization in all four provinces decreased to different degrees. Jiangxi province increased from 0.3945 in 2016 to 0.4689 in 2017 and has had an upward trend since 2015. The main reason is that Jiangxi Province has strengthened the construction of ecological civilization infrastructure after being included in the early demonstration zone of ecological civilization in 2014. The largest increase in the “comprehensive evaluation index of ecological civilization subsystem” is in Guizhou Province, from 0.3439 in 2013 to 0.7853 in 2020, an increase of 0.5558. The comprehensive evaluation index of Hainan’s ecological civilization subsystem is significantly lower than that of other provinces due to the loss of biodiversity, reduction of forest cover, pollution by “three wastes”, and illegal construction of projects in Hainan in recent years. The comprehensive evaluation index curve of ecological civilization in Fujian Province shows a fluctuating upward trend. Especially since 2019, a comprehensive pilot ecological compensation has been carried out to promote ecological governance.
3.2. Coupling Coordination Degree Analysis
As shown in Figure 3, the coupling degree values of the logistics industry, digitalization, and ecological civilization system in China’s experimental ecological civilization zones (Fujian, Jiangxi, Guizhou, and Hainan) fluctuate between 0.66 and 0.99. In terms of time, the coupling degree of the four provinces shows a fluctuating upward trend. The high coupling degree indicates that the degree of interaction between the logistics industry, digitalization, and ecological civilization in the four provinces is relatively high and the system is relatively related. However, the coupling degree can only reflect the intensity of interaction between the three subsystems and does not indicate whether the subsystems promote each other at a high level or constrain each other at a low level. Therefore, the introduction of coupling coordination degree model can reflect the degree of coordination of interaction effects. The coupling coordination degree values of the logistics industry, digitalization and ecological civilization complex systems in the four provinces varied widely between 0.3588 and 0.9114 during the study period. This indicates that the logistics industry, digitalization, and ecological civilization systems in the four provinces tend to be coordinated during this period, and the tendency of the three being unsynchronized and uncoordinated gradually decreases. The increase in the degree of coupling coordination shows the distribution characteristics of Hainan Province > Jiangxi Province > Guizhou Province > Fujian Province, with increases of 0.5478, 0.5404, 0.5297, and 0.4615, respectively.
Figure 3.
Development trend of coupling degree and coupling coordination degree of composite systems in China’s national ecological civilization pilot provinces.
3.3. Coupling Coordination Level
By comparing and analyzing the integrated development levels of the logistics industry, digitalization, and ecological civilization in the four provinces, the coupling and coordination levels of the four provinces are obtained. It can be seen from Table 4 and Figure 4 that the coupling coordination level of the four provinces is improving. Fujian Province has experienced the dysfunctional stage (on the verge of dysfunction), the coordination stage (barely coordinated, primary coordination, intermediate coordination, and good coordination), and gradually changed from the lagging type of industrial digitalization with priority to ecological civilization to the lagging type of ecological civilization with priority to industrial digitalization. This indicates that during the period from 2013–2020, the logistics industry developed faster, causing greater pressure on the ecological environment and making it impossible to achieve the synergistic development of the three, resulting in the coupled coordinated type being in the disorderly stage.
Table 4.
Coupling and coordination level characteristics of the logistics industry–digitalization–ecological civilization.
Figure 4.
Development trend of coupling and coordination degree levels of composite systems in China’s national ecological civilization pilot provinces.
Jiangxi Province has gone through the stage of disharmony (mild disharmony, near disharmony), coordination (barely coordinated, primary coordination, intermediate coordination, good coordination, and high-quality coordination). This shows that the logistics industry in Jiangxi Province has developed greatly in recent years, and attention is paid to the empowering effect of digitalization on industry in the development. Guizhou Province has experienced the uncoordinated stage (mildly uncoordinated) and coordinated stage (bare coordination, primary coordination, intermediate coordination, and good coordination). This shows that Guizhou Province has made great progress in the development of industrial digitalization. In the future, more attention should be paid to the support and leading role of the logistics industry and ecological civilization. Hainan Province has experienced the disorder stage (mild disorder, near disorder) and the coordination stage (barely coordinated, primary coordination, intermediate coordination, and high- quality coordination). Compared with the other three provinces, Hainan Province has a high-quality coordination level in 2020, indicating that the coupling coordination level in Hainan Province will continue to improve. In general, although the logistics industry, digitalization, and ecological civilization are gradually approaching in each province, coordination has not yet been achieved in the development process and the level of coordinated development needs to be improved.
3.4. Obstacle Analysis
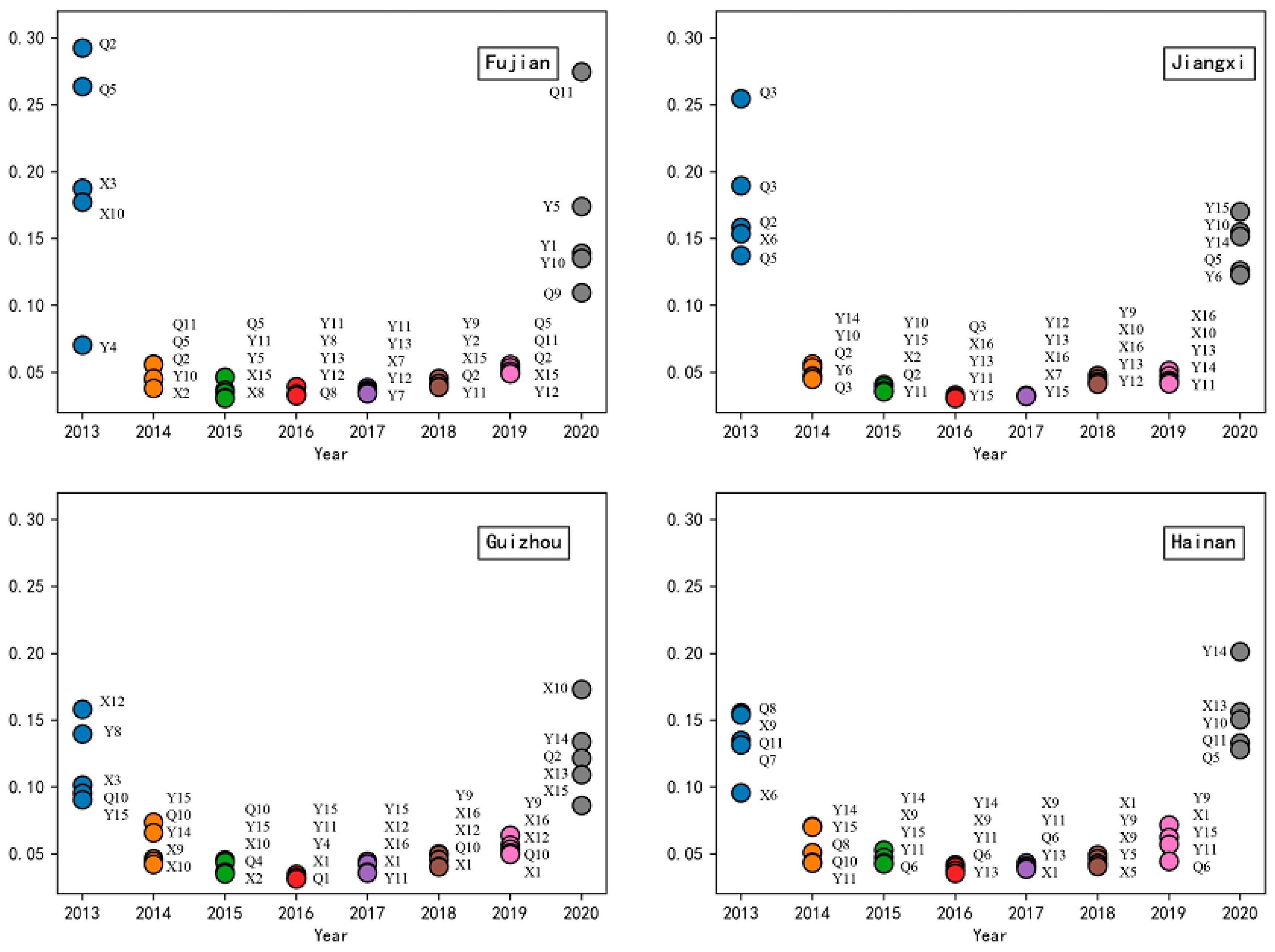
In order to fully determine the barrier factors and barrier degrees affecting the coupled and coordinated development of logistics industry, digitalization, and ecological civilization in the pilot provinces of China’s ecological civilization (Fujian Province, Jiangxi Province, Guizhou Province, and Hainan Province). Using the barrier degree model, the top five barrier factors and barrier degrees of the four provinces for each year from 2013 to 2020 were calculated, and the results are shown in Figure 5. For the analysis of the barrier degree of the criterion layer, the size and intensity of the barrier degree of each criterion layer on the coordinated development of the logistics industry, digitalization, and ecological civilization in each province showed different dynamics.
Figure 5.
Main obstacle factors and obstacle degree of digitalization of logistics industry in four provinces of China.
The change in the size of the role can be seen from the faster pace of development of the logistics industry; infrastructure construction being unable to keep up with the needs of the logistics industry constitutes the main factor in the Fujian Province and Jiangxi Province logistics industry, digitalization, and ecological civilization coordination barriers. In the future, to enhance the coordinated development of the three in Fujian Province and Jiangxi Province, extra attention needs to be paid to the construction of the logistics industry infrastructure and the development of the logistics industry. Additionally, the intensity of obstacles to the coordinated development of the three in Guizhou Province is mostly about the indicators of the digitalization system, indicating that the infrastructure of digitalization in construction is the focus of attention of the digital transformation of the logistics industry in Guizhou Province. In the observation of Hainan Province, the barrier intensity of digitalization shows a fluctuating decreasing trend, while the barrier intensity of logistics industry and ecological civilization shows a fluctuating increasing trend. It can be seen that Hainan Province should also pay attention to the construction of infrastructure and ecological civilization of the logistics industry while undergoing digital development.
3.5. Countermeasures
The coupling and coordination of the logistics industry, digitalization, and ecological civilization in Fujian Province have improved and have reached a high level of coupling. Obstacle factors are mainly focused on the level of digitalization benefits, social ecological civilization, and ecological environment indicators. In the future, Fujian Province can rely on digital infrastructure such as Fujian Digital Industrial Park and Fujian Cloud Computing Center to vigorously promote 5G network and big data technology. By expanding the penetration rate of cell phones and access ports, we will accelerate the common construction and sharing of 5G networks. Secondly, combining with the need of reforming the ecological civilization system of the logistics industry in Fujian Province, we will promote the transformation of logistics industry to low-carbon, green, digital, and service. Finally, we will accelerate the construction of logistics informatization and digitalization platforms, realize online intelligent and automated operations as soon as possible, and improve logistics parks and large-scale automated storage technology. In the areas related to the consumption and life of the residents, the development of cold chain logistics, e-commerce logistics, real-time logistics, and intracity express has become a hot spot for market growth.
The coupling and coordination degree of logistics, digitalization and ecological civilization in Jiangxi Province is at a relatively high level, and the obstacle factors are concentrated in the structure and benefit level of the logistics industry, social ecological civilization and other indicators. Jiangxi Province should build a digital operation system and realize the digital management of logistics contracts, orders, receipts, and other documents. Technological upgrades of intelligent logistics equipment such as unmanned warehouses, unmanned vehicles, drones, and logistics robots should be carried out, and the innovative concepts of smart logistics and green logistics should gradually penetrate into all aspects of logistics. Secondly, logistics companies must adjust their work centers to adapt to the development trend of social digital transformation. For example, they should pursue the establishment of digital standards for the logistics industry and the construction of a leading integrated and intelligent digital system for the logistics industry.
The degree of coupling and coordination between logistics, digitalization, and ecological civilization in Guizhou Province is on the rise. Obstacle factors focus on the structure and benefit level of the logistics industry, digital governance, and ecological governance. In the future, Guizhou Province will implement the “new digital infrastructure” and “5G application action plan”, strengthen the gathering of talents, and build a new ecology of innovation and entrepreneurship with “optimized configuration and efficient operation”. Secondly, it will construct and implement scientific-research-oriented enterprise cultivation projects and build a large-scale scientific research center and a high-level digital innovation platform to facilitate the digitalization process. Finally, it is necessary to strengthen the effective connection between logistics development planning and national land space planning. The development of multimodal transport, the introduction of carbon trading mechanisms, and the collection of carbon taxes will guide enterprises to reduce energy consumption and emissions.
The coupling and coordination of the logistics industry, digitalization, and ecological civilization in Hainan Province is mostly at a medium level. The obstacle factors are focused on indicators such as logistics industry institutions and efficiency levels, digital governance, and ecological environment. In the future, Hainan Province will rely on the modern logistics service system and commercial logistics service system of the free trade port. Second, it will speed up automation applications such as autonomous driving and vehicle–road collaboration with the “Internet of Things” technology. It will promote digital platform information collaboration and multidimensional detection, thereby realizing the overall digital transformation in the field of transportation and logistics.
4. Conclusions
This paper takes the connotation and impact of the logistics industry, digitalization, and ecological civilization in China’s pilot provinces of ecological civilization (Fujian, Jiangxi, Guizhou, and Hainan) as the research object. The logistics industry system is constructed from four aspects, including logistics infrastructure, logistics development scale, logistics structure ratio, and benefit level. The digitalization system is constructed from five aspects, such as the scale of foundation, the level of scientific research and innovation, digital investment, digital application, and the level of benefits. This paper constructs an ecological civilization system from the perspectives of social ecological civilization, ecological environment, and ecological governance. The comprehensive development level of the three systems is objectively evaluated, and the coupling coordination relationship and development trend of logistics industry–digitalization–ecological civilization in the four provinces from 2013 to 2020 are empirically analyzed through the coupling coordination degree-barrier degree model. The main influencing factors affecting the coupling coordination degree of the three are comprehensively analyzed.
First, the development of the logistics industry system is the most stable in terms of the comprehensive evaluation index. The development of the logistics industry in Fujian and Jiangxi provinces is generally better than that in Guizhou and Hainan. The development direction of logistics industry and digitalization is consistent, which indicates that the development of digitalization drives the improvement of the logistics industry. Conversely, the development of the logistics industry will also promote the optimization of digitalization.
Second, the time series changes of the coupling degree and coupling coordination degree show that the coupling degree and coupling coordination degree of the composite system of the four provinces in general show a gradually increasing trend with a large change from 2013 to 2020. The coupling degree fluctuates between 0.6662–0.9999, experiencing a change from mild imbalance to high-quality coordination. Therefore, improving the overall development level of each subsystem can promote the coordination of the composite system.
Third, in terms of spatial distribution, the average span of the coupled coordination of the logistics industry–digital–ecological civilization composite system in the four provinces is large. The types of stages of the composite system from imbalance to coordination range from “mildly dysfunctional (Jiangxi, Guizhou, Hainan), nearly dysfunctional (Fujian)” to “good coordinated (Fujian, Guizhou), and quality coordinated (Jiangxi, Hainan)”.
Fourth, in terms of spatial and temporal differentiation, the coupling coordination of the logistics industry, digitalization, and ecological civilization in Fujian Province and Jiangxi Province fluctuates at a high level, while those in Guizhou Province and Hainan Province are at a low level of coordinated development.
Fifth, the plundering of resources and the environment by the development and digitalization of the logistics industry is bound to cause negative constraints on ecological environment. For the sake of good coupling and highly coordinated development of the logistics industry, digitalization, and ecological civilization, strengthening ecological civilization will be the main task facing the national ecological civilization pilot provinces.
In this paper, we analyze the coupling coordination degree of logistics industry–digitalization–ecological civilization to clarify the comprehensive development level of cities with different development degrees. In the future, the coupled process mechanism will be explored through a combination as an analysis of the relationship between the systems, such as the combination of entropy weight method and AHP, so that the evaluation results can be more effective. The digital transformation of the logistics industry has become a highlight of global research. We must scale up the research to more cities and even more countries to generate more practical implications.
Author Contributions
W.Y.: methodology, formal analysis, writing—original draft, writing—review and editing, data curation. W.G.: validation, supervision, funding acquisition, review. S.H.: data, curation, editing. Y.L.: data curation, editing. All authors have read and agreed to the published version of the manuscript.
Funding
This research was supported by National Natural Science Foundation in China (No. 72061013) and was supported in part by the Decision Project of Science Association in Jiangxi province (2021).
Informed Consent Statement
Informed consent was obtained from all subjects involved in the study.
Data Availability Statement
The data used in this study are available from the second author upon request.
Conflicts of Interest
We declare that we do not have any commercial or associative interest that represents a conflict of interest in connection with the work submitted.
References
- Wang, X.; Chen, X. An evaluation index system of China’s development level of ecological civilization. Sustainability 2019, 11, 2270. [Google Scholar] [CrossRef] [Green Version]
- Liu, M.C.; Su, N.; Lun, F. An integrated indicator on regional ecological civilization construction. Acta Ecol. Sin. 2014, 34, 97–104. [Google Scholar] [CrossRef]
- Buer, S.-V.; Fragapane, G.I.; Strandhagen, J.O. The Data-Driven Process Improvement Cycle: Using Digitalization for Continuous Improvement. IFAC-PapersOnLine 2018, 51, 1035–1040. [Google Scholar] [CrossRef]
- Coto-Millán, P.; Fernández, X.L.; Pesquera, M.Á. Impact of logistics on technical efficiency of world production (2007–2012). Netw. Spat. Econ. 2016, 16, 981–995. [Google Scholar] [CrossRef]
- Zhang, H.; You, J.; Haiyirete, X.; Zhang, T. Measuring logistics efficiency in China considering technology heterogeneity and carbon emission through a meta-frontier model. Sustainability 2020, 12, 8157. [Google Scholar] [CrossRef]
- Shpak, N.; Kuzmin, O.; Dvulit, Z.; Sroka, W. Digitalization of the marketing activities of enterprises: Case study. Information 2020, 11, 109. [Google Scholar] [CrossRef] [Green Version]
- He, J.; Wang, S.; Xu, L. Research on the efficiency and influencing factors of green logistics in my country’s three major bay area urban agglomerations under the constraint of carbon emissions. Railw. Transp. Econ. 2021, 502, 30–36. [Google Scholar]
- Frazzon, E.M.; Agostino, Í.R.S.; Broda, E.; Freitag, M. Manufacturing networks in the era of digital production and operations: A so-cio-cyber-physical perspective. Annu. Rev. Control 2020, 49, 288–294. [Google Scholar] [CrossRef]
- Murphy, P.R.; Poist, R.F. Green perspectives and practices: A “comparative logistics” study. Supply Chain. Manag. 2003, 8, 122–131. [Google Scholar] [CrossRef]
- Luo, Y.Y.; Yin, L.; Qin, Y.; Wang, Z. Dynamic regulation of natural scenic area system from the perspective of ecological civilization. Rev. Int. Contam. Ambient. 2019, 35, 203–212. [Google Scholar] [CrossRef]
- Chang, I.; Wang, W.; Wu, J. To strengthen the practice of ecological civilization in China. Sustainability 2019, 11, 4661. [Google Scholar] [CrossRef] [Green Version]
- Sarc, R.; Curtis, A.; Kandlbauer, L.; Khodier, K.; Lorber, K.E.; Pomberger, R. Digitalisation and intelligent robotics in value chain of circular economy oriented waste management—A review. Waste Manag. 2019, 95, 476–492. [Google Scholar] [CrossRef] [PubMed]
- Zhang, L.; Yang, J.; Li, D.; Liu, H.; Xie, Y.; Song, T.; Luo, S. Evaluation of the ecological civilization index of China based on the double benchmark progressive method. J. Clean. Prod. 2019, 222, 511–519. [Google Scholar] [CrossRef]
- Balogun, A.L.; Marks, D.; Sharma, R.; Shekhar, H.; Balmes, C.; Maheng, D.; Arshad, A.; Salehi, P. Assessing the potentials of digitalization as a tool for climate change adaptation and sustainable development in urban centres. Sustain. Cities Soc. 2019, 58, 1–12. [Google Scholar] [CrossRef]
- Zhang, W.; Zhang, X.; Zhang, M.; Li, W. How to coordinate economic, logistics and ecological environment? evidences from 30 Provinces and Cities in China. Sustainability 2020, 12, 1058. [Google Scholar] [CrossRef] [Green Version]
- Ni, S.; Lin, Y.; Li, Y.; Shao, H.; Wang, S. An evaluation method for green logistics system design of agricultural products: A case study in Shandong province, China. Adv. Mech. Eng. 2019, 11, 16878–16887. [Google Scholar] [CrossRef] [Green Version]
- Li, A.; Chen, Y.; Wang, D. An empirical study of the factors influencing the willingness to implement green coal logistics in China. J. Clean. Prod. 2019, 245, 118932–118958. [Google Scholar]
- Zhang, J.; Hu, X. Research on the Coupling Coordination Degree of Regional Logistics and Regional Economy. Railw. Transp. Econ. 2012, 383, 50–55. [Google Scholar]
- Beier, G.; Niehoff, S.; Ziems, T.; Xue, B. Sustainability aspects of a digitalized industry–A comparative study from China and Ger-many. Int. J. Precis. Eng. Manuf. Green Technol. 2017, 4, 227–234. [Google Scholar] [CrossRef]
- Liu, Y.; Li, R.; Song, X. Analysis of the coupling degree between urbanization and ecological environment in China. J. Nat. Resour. 2005, 1, 105–112. [Google Scholar]
- Zhao, Y.; Xia, X.; Han, Z. Research on the Coupling Coordination Degree of Logistics Industry and Regional Economy—Taking Suzhou as an Example. Resour. Dev. Mark. 2013, 29, 1137–1140, 1172. [Google Scholar]
- Ge, X.; Tang, H.; Li, K.; Chu, D. Analysis of Coupling Coordination Degree of Transportation, Logistics Industry and Tourism Development—Taking Wuhan City as an Example. Traffic Inf. Secur. 2021, 39, 1–6. [Google Scholar]
- D’Amico, G.; Szopik-Depczyńska, K.; Dembińska, I.; Ioppolo, G. Smart and sustainable logistics of Port cities: A framework for com-prehending enabling factors, domains and goals. Sustain. Cities Soc. 2021, 69, 102801. [Google Scholar] [CrossRef]
- Buer, S.-V.; Strandhagen, J.O.; Chan, F.T.S. The link between Industry 4.0 and lean manufacturing: Mapping current research and establishing a research agenda. Int. J. Prod. Res. 2018, 56, 2924–2940. [Google Scholar] [CrossRef] [Green Version]
- Wang, X.; Peng, Y.; Wu, X.; Li, S. Comprehensive evaluation and spatial differentiation of China’s ecological civilization con-struction level. East China Econ. Manag. 2015, 29, 52–56, 146. [Google Scholar]
- Dong, F.; Pan, Y.; Zhang, X.; Sun, Z. How to Evaluate Provincial Ecological Civilization Construction? The Case of Jiangsu Province, China. Int. J. Environ. Res. Public Health 2020, 17, 5334. [Google Scholar] [CrossRef]
- Wu, C.; Zhou, X.; Huang, C. Research on the coupling and coordination relationship between industrial structure optimization and ecological civilization construction in the Yangtze River Economic Belt. J. Cent. China Norm. Univ. 2020, 54, 555–566. [Google Scholar]
- Gan, W.; Xu, Y.; Huang, W.; Wang, R. Evaluation of the logistics development level of the Silk Road Economic Belt based on PCA and RSC. J. East China Jiaotong Univ. 2015, 32, 132–142. [Google Scholar]
- Mi, Z.; Zeng, G.; Shang, Y.; Chen, S.; Zhu, F. Evaluation methods and spatial pattern evolution of China’s provincial ecological civilization construction. Econ. Geogr. 2016, 36, 15–21. [Google Scholar]
- Li, K.; Yin, C. The impact of high-quality development on the level of industrial ecologicalization and regional differences: Based on the dynamic spatial panel Dubin model. Ecol. Econ. 2021, 37, 40–45. [Google Scholar]
- Sun, J.; Qin, W.; Sun, H.; Li, S.; Du, Y. Evaluation system and level measurement of marine ecological civilization construction in coastal cities in China. Econ. Geogr. 2018, 38, 19–28. [Google Scholar]
- Markovits-Somogyi, R.; Bokor, Z. Assessing the logistics efficiency of European countries by using the DEA-PC methodology. Transport 2014, 29, 137–145. [Google Scholar] [CrossRef] [Green Version]
- Gan, W.; Yao, W.; Liu, Z. Evaluation of the impact of logistics industry on regional economic vitality from the perspective of national logistics hub construction. Logist. Technol. 2020, 39, 16–22. [Google Scholar]
- Riezebos, J.; Klingenberg, W.; Hicks, C. Lean Production and Information Technology: Connection or Contradiction? Comput. Ind. 2009, 60, 237–247. [Google Scholar] [CrossRef]
- Pinho, C.; Mendes, L. IT in lean-based manufacturing industries: Systematic literature review and research issues. Int. J. Prod. Res. 2017, 55, 7524–7540. [Google Scholar] [CrossRef]
- Brintrup, A.; Ranasinghe, D.; McFarlane, D. RFID Opportunity Analysis for Leaner Manufacturing. Int. J. Prod. Res. 2010, 48, 2745–2764. [Google Scholar] [CrossRef]
- Gan, W.; Yao, W.; Huang, S. Evaluation of Green Logistics Efficiency in Jiangxi Province Based on Three-Stage DEA from the Perspective of High-Quality Development. Sustainability 2022, 14, 797. [Google Scholar] [CrossRef]
- Gao, Y.; Xu, Z. Construction and Measurement of my country’s Digital Economy Evaluation System from the Perspective of Supply and Demand. Bus. Econ. Res. 2021, 827, 180–183. [Google Scholar]
- Li, W.; Yi, P. Assessment of city sustainability—Coupling coordinated development among economy, society and environment. J. Clean. Prod. 2020, 256, 120453. [Google Scholar] [CrossRef]
- Liao, M.L.; Chen, Y.; Wang, Y.J.; Lin, M.S. Study on the Coupling and Coordination Degree of High-Quality Economic Development and Ecological Environmet in Beijing-Tianjin-Hebei Region. Appl. Ecol. Environ. Res. 2019, 17, 11069–11083. [Google Scholar] [CrossRef]
- Zhang, Z.; Li, L.; Guo, Q. The Interactive Relationships between the Tourism-Transportation-Ecological Environment System of Provinces along the ‘Silk Road Economic Belt’in China. Sustainability 2022, 14, 3050. [Google Scholar] [CrossRef]
- Dong, L.; Longwu, L.; Zhenbo, W.; Liangkan, C.; Faming, Z. Exploration of coupling effects in the economy—Society—Environment system in urban areas: Case study of the Yangtze River Delta urban agglomeration. Ecol. Indic. 2021, 128, 107858. [Google Scholar] [CrossRef]
- Zhang, K.; Yu, G.; Qi, Z. Research on the Coordinated Development of Agriculture “Ecology-Economy-Service” in Northwest Arid Areas. Ecol. Econ. 2022, 38, 108–115. [Google Scholar]
- Fei, J.; Lin, Y.; Jiang, Q.; Li, P.; Ye, G. Spatiotemporal coupling coordination measurement on islands’ economy-environment-tourism system. Ocean. Coast. Manag. 2021, 212, 105793. [Google Scholar] [CrossRef]
- Gao, Y.; Ma, Y.; Liu, J. Tourism-Urbanization-Ecological Environment Coupling Coordination and Development Types—Taking the Beijing-Tianjin-Hebei Region as an Example. J. Shaanxi Norm. Univ. 2016, 44, 109–118. [Google Scholar]
- Han, W.; Chen, X.; Pang, J.; Wang, N.; Yu, Y. Study on the Coupling and Coordinated Development of Urbanization-Ecological Environment-Tourism Industry—A Case Study of Nine Provinces (Regions and Cities) in the Silk Road Economic Belt. J. Lanzhou Univ. 2018, 54, 762–769. [Google Scholar]
- Liao, C. Quantitative Evaluation and Classification System of Coordinated Development of Environment and Econo-my—Taking the Pearl River Delta Urban Agglomeration as an Example. Trop. Geogr. 1999, 2, 76–80. [Google Scholar]
Publisher’s Note: MDPI stays neutral with regard to jurisdictional claims in published maps and institutional affiliations. |
© 2022 by the authors. Licensee MDPI, Basel, Switzerland. This article is an open access article distributed under the terms and conditions of the Creative Commons Attribution (CC BY) license (https://creativecommons.org/licenses/by/4.0/).




