Abstract
Heavy metals in soil are a potential threat to ecosystems and human well−being. Understanding the characteristics of soil heavy metal pollution and the prediction of ecological risk are crucial for regional eco−environment and agricultural development, especially for irrigation areas. In this study, the Xiaohe River Irrigation Area in the Loess Plateau was taken as the study area, and the concentration, as well as their accumulation degree and ecological risk and distribution of soil heavy metals, were explored based on the geo−accumulation index (Igeo) and Hakanson potential ecological risk index methods. The results showed that the concentrations of soil heavy metals were all lower than the second grade Environmental Quality Standard for Soils of China. However, the average concentrations of Cu, Hg, Cd, Pb, Zn, Ni and As were higher than the above−mentioned standard. Compared with the soil background values of Shanxi Province, eight heavy metals of all samples presented different accumulation degrees, with the highest accumulation degree in Hg, followed by Cd, and the values were 11.3 and 4.0 times more than the background value, respectively. Spatially, the distribution of soil heavy metals in the Xiaohe River irrigation area was quite different, generating diverse pollution patterns with significant regional differences and complex transportation routes. The content of soil heavy metals in the Xiaohe River irrigation area was highly affected by land use types. The pollution degree varied with the distance to an urban area, declining from the urban area to suburban farmland, and the outer suburban farmland. Among these heavy metals, Hg and Cd were the principal contamination elements, and transportation, service industry and agricultural activities were the main potential contamination sources. The potential ecological risk of soil heavy metal positioned as follows: Hg > Cd > Pb > Zn > Cu > As > Ni > Cr. As indicated by the Hakanson potential ecological risk index strategies, except for the Wangwu examining site, the other six sampling sites experienced extremely strong risks, and as a whole, the entire study region was in a condition of incredibly impressive perils. Consequently, these results suggest that improving soil environmental investigation and assessment, setting up soil heavy metal contamination prevention and control innovation framework and reinforcing contamination source control are effective approaches for soil heavy metal contamination anticipation and control in irrigated areas of the Loess Plateau.
1. Introduction
In recent years, the acceleration of agricultural mechanized production, the increase of urban−industrial domestic sewage discharge and the diversification of land use types have significantly resulted in the increase of heavy metals (Cr, Pb, Cd, Hg, As, Cu, Zn and Ni) in surface water and soil, particularly in the agricultural sewage irrigation areas of China and other developing countries. Heavy metal pollution has posed a serious threat to the ecological security of the river basin, which has attracted extensive attention from scholars all over the world. For example, in the Pearl River Delta, Loess Plateau, North China Plain and Northeast China, with the adjustment of environmental protection policies, heavy metal pollution in farmland soil has become the main potential risk to local ecosystems and one of the main indicators of local ecological environment degradation [1,2,3].
The sources of heavy metals in soil can be divided into natural sources and anthropogenic sources [4]. Natural sources include weathering of soil−forming parent rock and atmospheric sedimentation. Processes such as volcanic eruption and forest fire will suspend heavy metals in the air and enter the surface water and soil through dust falling with the airflow. At the same time, complex geochemical processes such as rock metamorphism and magmatism in the earth’s interior may also contribute to the enrichment of heavy metals [5]. Anthropogenic sources are complex, mainly including mining, sewage irrigation, application of chemical fertilizers and pesticides, transportation and electronic waste. These human behaviours will cause the accumulation of heavy metals in soil and surface water [6].
Especially for the point source pollution of heavy metals, during the stacking and treatment of such pollution sources, due to the effects of sunlight, rain and water washing, these kinds of pollution sources are very easy to move and diffuse to the surrounding soil and surface water in a radial and funnel shape [7]. In addition, heavy metal contamination in soil is characterized by extensive sources, long pollution cycles, high toxicity, difficult biodegradation, obvious cumulative effect and high repair difficulty. Furthermore, heavy metal enrichment will occur in organisms within the food chain. Long−term exposure to heavy metals will cause harmful consequences to coastal residents, such as kidney dysfunction, cancer endocrine system disorder and impaired neurological function. On the other hand, a high concentration of soil heavy metals will also deteriorate the local water and soil environment [8].
Accurately evaluating the ecological risk of soil heavy metal pollution in agricultural irrigation areas and identifying their sources can not only provide a scientific basis for the national development and revision of the soil pollution risk control standards for agricultural land, but also provide basic data for local heavy metal pollutant control. At present, common methods for evaluating soil heavy metals include the single factor index evaluation method [9], the Nemero index method [10], the enrichment factor evaluation method [11] and the geo−accumulation index method [12], etc. However, all of these above−mentioned methods have certain limitations. For example, the evaluation index is optional, merely focusing on a certain factor, or artificially exaggerating or reducing the impact of some factors, and the reference elements selected need to be standardized. Thus, characteristics of the contamination information, ecological health risk, spatial distribution patterns and potential controls of soil heavy metal contamination are urgently needed for soil management and soil pollution prevention and control in China, especially in the ecologically fragile areas of the Loess Plateau. Therefore, taking full account of the differences in the contribution of different heavy metals to ecological risks, a traditional soil heavy metal assessment method combined with the Hakanson potential ecological risk index method based on regional differences, was applied to evaluate the cumulative pollution degree of different heavy metals and the comprehensive pollution degree of various heavy metals to the soil environment in the study area. Comprehensive and objective evaluation of soil heavy metal pollution characteristics and ecological risks in agricultural irrigation areas is not only helpful to deepen the understanding of the behaviour process of heavy metal pollutants in the soil environment but is also of great significance to regional environmental protection. Moreover, the ecological risk assessment method can reflect the impact of soil heavy metals on the environment and the superposition comprehensive effect of multiple heavy metal pollutants more comprehensively [13,14].
The Xiaohe River is one of the important tributaries of the Fenhe River. The Xiaohe River irrigation area is an important area with developed industry, concentrated agriculture and a dense population in the Fenhe River Basin. The soil environment in the Xiaohe River irrigation area is seriously polluted due to the long−term impact of human activities. At present, research in this area mainly concentrated on the temporal and spatial changes and influencing factors of soil organic matter and inorganic ions [15,16]. Until recently, related research on risk assessment of soil heavy metal pollution was rarely reported. These limitations hindered our general knowledge of soil heavy metal contamination in the Chinese Loess Plateau. Therefore, a more comprehensive and reliable macro−valuation of all eight heavy metals that have been listed as a priority for monitoring and controlling pollutants by the Chinese government on a watershed scale, is urgently needed. To fill this gap, eight priority monitoring heavy metals (Cu, Hg, Cd, Pb, Zn, Ni, As and Cr) in the Xiaohe River irrigation area were selected for systematic investigation and analysis based on field sampling. The geo−accumulation index (Igeo) and the Hakanson potential ecological risk index were used to analyse the degree of accumulation of heavy metals and to evaluate the potential risks of heavy metals. This method is intended to provide knowledge of the theoretical basis for soil ecological risk assessment and a scientific reference for comprehensively controlling water and soil environmental pollution in the Xiaohe River irrigation area. Additionally, the results of this study will also enhance understanding of the soil heavy metal pollution characteristics, soil remediation, management and pollution control in the Loess Plateau.
2. Materials and Methods
2.1. Study Area
The Xiaohe River irrigation area is located downstream of the Xiaohe River Basin, northeast of the Loess Plateau, China, which is mainly composed of a plain area that serves as the outlet of the Xiaohe River. The Xiaohe River irrigation area is a large artesian irrigation area combining wells, canals and dual−purpose flood clearing. The exposed strata are mainly lower Triassic Liujiagou formation and Quaternary materials, and basic farmland is mainly distributed in bedrock areas on both sides of the river. The study area is the main grain and vegetable planting base for Taiyuan and Jinzhong, with a controlled cultivated land area of 260 km2 and an effective irrigation area of 222 km2, respectively. At present, a basic supporting irrigation and drainage system has been formed for five levels of channels, namely the trunk canal, branch canal, bucket canal, agricultural canal and gross canal in the study area [17].
The climate here is a temperate continental climate, with sufficient sunshine, and abundant light and heat resources. The general climate is characterized as hot and humid in summer and cold and dry in winter. The mean annual average temperature is 10.1 °C, combined with large temperature differences between day and night. The mean annual precipitation is 483 mm, which is unevenly distributed among the four seasons, mainly concentrated in the rainy seasons (from June to September). The average annual evaporation is about 2063 mm, combined with a long frost period (generally about 120−140 days per year) [17]. Superior hydrothermal conditions and relatively suitable development conditions make this area an important agricultural production and tertiary industry development base. Recently, due to the rapid development of the regional economy and the construction of the Xiaohe Industrial Park, the Xiaohe River irrigation area has been converted to be a compound area with the parallel development of agricultural, commercial and coal chemical industries, industrial and mining transportation, tourism and other auxiliary industries [16].
2.2. Soil Sampling and Analysis
Based on the distribution of basic farmland, taking into account the topographic characteristics and soil types of the study area, 7 sampling sites (Wangwu village (WW), suburb of Yuci (CJ), Zhaojiabu village (ZJ), Xiaohe Wetland Park (SD), Xiaohe River Bridge (XH), Zhangqing country (ZQ) and Xiuwen town (XW)) were selected along the Xiaohe River irrigation area from upstream to downstream, and each sampling site was positioned with a handheld Global Position System (GPS, Garmin 72, Lenexa, KS, USA). The spatial distribution of the sampling sites is shown in Figure 1. In order to reflect the physicochemical properties of the soil at each sampling site more accurately, a total of 42 surface soil samples (0~20 cm) were collected in April 2021 within the study area. At each sampling site, soil samples were collected within a depth of 0−20 cm soil layers with six duplicates by the five−point sampling method. Additionally, 1000 g of soil close to the sampling site was sampled into a polyethylene self−sealing bag from the topsoil by the quartering method after equal mixing. All of the samples were stored immediately in the refrigerator at 4 °C.
Figure 1.
Location of the sampling sites in the study area.
In the process of the experimental treatment, all of the air−dried soil samples (at room temperature) were sieved into 100−mesh size particles after removing stones, residual roots and other unwanted materials using a 2 mm nylon screen. Then, the soil samples were sealed in brown glass bottles and conserved in a refrigerator at −20 °C until analysis. The pH value of soil samples was measured by pH ion concentration meter (PB−10, Sartouris, Gottingen, Germany) after digestion by HNO3−HCl−HF−HClO4 for 50 min. The concentrations of As and Hg were determined using a hydride generation atomic fluorescence spectrometer (HG−AFS−9120, Jitian, Beijing, China), and the concentrations of Cu, Cd, Pb, Zn, Ni and Cr were determined using an inductively coupled plasma optical emission spectrometer (ICP−OES, Optima 5300 DV, PerkinElmer, ThermoScientific Inc., Waltham, MA, USA) [18]. All analytical reagents were high−grade pure, and national standard soil reference materials (GSS−1, GSS−4) were added for quality monitoring during the analysis. All the determination results were within the allowable error range.
2.3. Ecological Risk Assessment
2.3.1. Geo−Accumulation Index (Igeo)
The geo−accumulation index (Igeo) was used to evaluate the pollution accumulation effect of soil heavy metals. The calculation formula was as follows:
where Igeo was the heavy metal pollution accumulation index, Ci was the measured concentration of each soil heavy metal (mg/kg), GB was the background values of soil elements from Shanxi Province [19], and 1.5 was the coefficient of variation of the background value caused by rock−forming movements [20]. The detailed classification standard was shown in Table 1.
Table 1.
Classification standard of soil heavy metal pollution and potential ecological risk.
2.3.2. Ecological Risk Assessment
The Hakanson potential ecological risk index is the most widely used potential risk assessment method for soil heavy metal pollution research [21]. This method comprehensively considers the high toxicity of soil heavy metals, migration and transformation mechanism, differences in environmental background values and other factors.
Owing to the advantages of eliminating the influence of pollutants from different sources and regional differences among background values, this method could accurately analyse the potential risks of heavy metals [22]. The risk index (RI) can be defined as follows:
where RI was the total potential ecological risk index of each heavy metal; and Di were the potential risk index and the toxicity coefficient index for an individual heavy metal, respectively; was the reference value of heavy metals, which was same as the geo−accumulation index (Igeo). In this study, the toxicity coefficients of As, Hg, Zn, Cu, Ni, Pb, Cr and Cd were 10, 40, 1, 5, 5, 5, 2 and 30, respectively [23]. The potential ecological risk degree was evaluated according to Table 1 [24].
2.4. Data Analysis
ArcGIS kriging interpolation was used to present the current distribution of the study area and spatial distribution of soil heavy metals in the study area (ArcGIS 9.0, Environmental Systems Research Institute, Inc., RedLands, CA, USA). Pearson correlation coefficient analysis of the data and other statistically relevant indicators was performed with SPSS 20.0 (IBM, Armonk, NY, USA) and Excel 2019 (Microsoft, Redmond, WA, USA). The data analysis diagrams were performed with SigmaPlot 10.0 (Systat Software Inc., Palo Alto, CA, USA).
3. Results and Discussion
3.1. Characteristics of Soil Heavy Metals Contamination
3.1.1. Concentrations of Soil Heavy Metals
As shown in Table 2, the average concentrations of eight heavy metals (Cu, Zn, Hg, Ni, Pb, Cr, Cd and As) in the farmland soils of the Xiaohe River irrigation area were 43.22 ± 16.44, 146.47 ± 42.44, 0.26 ± 0.12, 38.07 ± 6.47, 37.21 ± 14.06, 57.16 ± 12.81, 0.41 ± 0.25 and 13.08 ± 4.27 mg·kg−1, respectively. The concentrations of all the soil heavy metals detected in this study exceeded the background values of soil elements of Shanxi Province (Table 2) [19], while they were lower than the environmental risk control standard for soil contamination of agricultural land (GB 15618−2018, grade II, China) [25]. Compared to the average values of soil heavy metals in China [26], only the concentration of Cr (57.16 ± 12.81 mg·kg−1) in the study area was lower than the standard (61.0 mg·kg−1), which was about 93.7% of its average value. The average values of Cu, Zn, Hg, Ni, Pb, Cd and As were 187.9%, 197.9%, 400%, 141%, 137.8%, 422.7% and 118.9% more than the average values of soil heavy metals in China, respectively. Notably, the concentrations of Hg and Cd seriously exceeded the standard, followed by Cu and Zn, indicating a certain risk of heavy metal pollution in the study area.
Table 2.
Statistical summary of heavy metal concentrations (mg·kg−1) in farmland soils of the Xiaohe River irrigation area.
Relevant studies show that in the Loess Plateau and North China Plain where human activities are intensive and soil erosion is serious, the weathering of surface rocks under human action will accelerate, which will lead to the increase of heavy metals in shallow soil [13,16]. At the same time, the solid waste and wastewater produced by human production and living activities will also lead to a concentration of heavy metals in shallow soil higher than the environmental background value. The Xiaohe River irrigation area in this study is located in the ecological transition zone between the Loess Plateau and the North China Plain. The environmental gradient changes are obvious and show vulnerability to external interference. Human activities have a great impact on the landforms of this area. The concentration characteristics of soil heavy metals are consistent with the previous research results [8,14,26,27].
The variation coefficients (CV) of eight soil heavy metal concentrations in the study area generally decreased in the following sequences: Cd (0.61) > Hg (0.46) > Pb (0.39) > Cu (0.38) > As (0.33) > Zn (0.29) > Cr (0.22) > Ni (0.17), respectively. The CV of Ni, Cr, Zn and As were between 0.16 and 0.35, belonging to medium variation, and the variation coefficients of Cu, Pb, Hg and Cd were higher than 0.36 with a high variation. Generally, the concentration of trace elements in the natural background of a specific region less affected by human activities is low and the spatial variation is small [3,18], but the CV of soil heavy metals in this study were relatively high. This is mainly due to the influence of intensive human activities on sampling sites in the agricultural irrigation area. Therefore, the higher CV of soil heavy metals in the study area were mainly affected by the changes in local natural environmental factors and agricultural activities.
The skewness of Ni and As was lower than 0 with a negative deviation, while the skewness of the other six soil heavy metals was greater than 0, showing a positive deviation. However, the kurtosis of all the soil heavy metals was greater than 0, and the data distribution was relatively concentrated in this study (Table 2). The kurtosis and skewness of Cu, Zn, Hg and Cd were all high, indicating that a higher accumulation state of Cu, Zn, Hg and Cd in the soil of the Xiaohe River irrigation area [28], which resulted in the continuous enrichment of heavy metals in the soil of the study area. In general, compared to similar studies in other regions [1,2,9,11,20], the concentrations of soil heavy metals in the Xiaohe River irrigation area were generally at a lower level, but the pollution of Hg and Cd were serious, together with a risk of Cu and Zn pollution.
3.1.2. Spatial Distribution of Soil Heavy Metals
As a whole, due to the fragmentation of land use types and the diversification of human activities, the concentration and changes of soil heavy metals were affected by many factors [2,26]. Relevant studies show that the physical and chemical properties of the soil will affect the migration and adsorption capacity of heavy metals. The adsorption capacity of soil for cadmium is very strong, and the migration capacity of cadmium in soil is weak and almost immovable. At the same time, cadmium rarely migrates to deeper layers, so it accumulates in the surface soil [29,30]. The migration capacity of mercury in soil is similar to that of cadmium in soil. Due to the influence of a limited biological cycle and humus in the upper layer of soil, mercury in soil accumulates in the surface soil [30,31]. The toxicity of arsenic accumulated in the surface soil decreases with the increase in the number of bound organic groups [32]. Lead mainly exists as Pb2+ insoluble compounds in the surface soil, while the concentration of soluble lead is generally high in acidic soil, et al. [33]. In order to analyse the spatial distribution characteristics of soil heavy metals more scientifically and comprehensively in the study area, the sampling sites were classified based on soil types and land use types in this study.
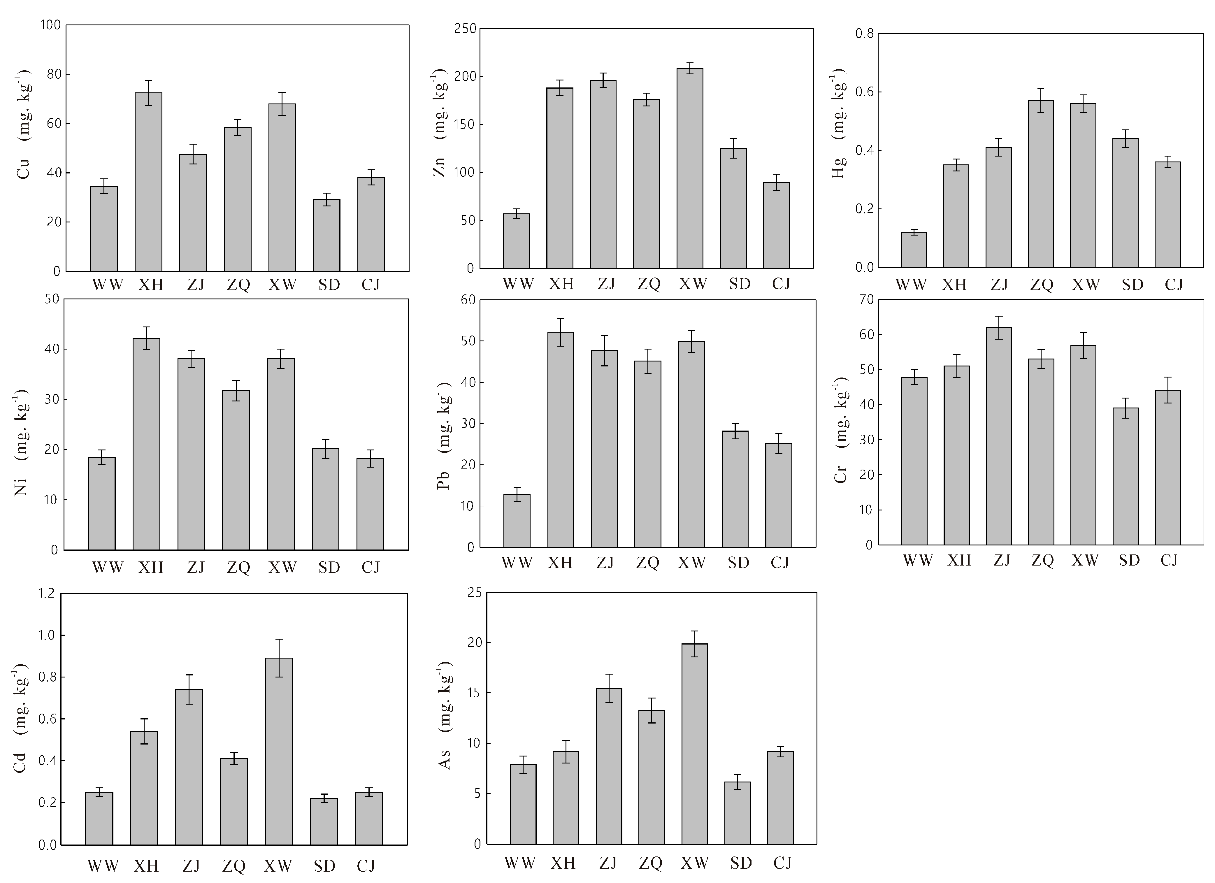
The soil types of the seven sampling sites in the study area were cinnamon soil and fluvo aquic soil [13]. The seven sampling sites were classified into outer suburbs farmland (WW and CJ), suburban farmland (ZJ and SD), and urban areas (XH, ZQ and XW) according to the land use types, respectively. According to our field investigation, cultivated land, forest land, unused land and grassland are the main land use types in the outer suburbs farmland. Human farming activities and the living activities of a small number of residents are the main human activities in this area. Construction land, urban residential areas and a small amount of basic transportation land are the main land use types in the suburban farmland. Production and living of urban residents and a small amount of transportation are the main human activities in this area. Industrial and mining enterprises and tertiary industries are the main land use types in the urban areas. A large number of commercial activities, agricultural and sideline product processing, transportation and other activities are the main human activities in this area. The spatial distribution of soil heavy metal concentrations in the study generated a sequence of urban area > suburban farmland > outer suburbs farmland (Figure 2). The average concentrations of Hg, Cd, Cu and Zn in soils of urban areas were significantly higher than those of suburban farmland and outer suburbs farmland, and the average content of Ni in soils of outer suburbs farmland was significantly lower than that in urban areas and suburban farmland. The average concentrations of Ni, As and Pb in XH, ZQ, ZJ and XW were significantly higher than those in WW, CJ and SD, while the average concentration of Cr showed no significant change in all sampling sites (Figure 2).
Figure 2.
Average concentration of soil heavy metals in the Xiaohe River irrigation area (mg·kg−1), the error bar corresponds to standard error (SE).
Previous studies showed that Ni, As and Cr in soil mainly originated from natural factors, such as hydrological erosion, rock weathering, etc. [26,28]. On the other hand, Hg, Cd, Cu and Zn originated mainly from human factors, such as agricultural sewage irrigation, mining activities, fossil fuels, garbage infiltration, etc. [34]. Consequently, the sampling sites in the study area are mostly distributed in the river valley, and most of the surface tidal soil and cinnamon soil have been reclaimed as farmland finally leading to serious hydrological erosion and obvious rock weathering. The long−term agricultural activities and urbanization construction in recent decades have led to serious hydrological erosion and obvious rock weathering in the study area. At the same time, the study area is located in the lower reaches of the Xiaohe River with flat terrain, and the relatively slow water flow velocity will also lead to the accumulation of heavy metals. Therefore, the average concentrations of Ni, As and Cr in soil exceeded the soil background value of Shanxi Province.
China has the largest Cd reserves in the world, and the output of Hg, Cd, Cu and Zn has more than doubled in recent 10 years [35]. Therefore, mining activities have great hidden dangers to environmental safety and soil heavy metal pollution. However, there was no cadmium ore distribution in Shanxi Province, and field investigation showed that the sampling sites with higher than average concentrations of Hg, Cd, Cu and Zn were mostly distributed along national roads, cities, towns and other areas with intensive human activities (Figure 3a–c,g). Based on the above analysis, it was speculated that human activities were the main factors affecting the spatial distribution of soil heavy metal concentrations in the study area, and mining activities have little impact, while transportation and the service industry were also the main sources leading to local soil heavy metal pollution.
Figure 3.
Spatial distribution of soil heavy metals in the Xiaohe River irrigation area.
When the study area is dominated by point source pollution and the potential pollution sources are complex, more analysis methods and field investigation are particularly important for the traceability of soil heavy metals [7,11,18,20]. In order to reveal the spatial distribution characteristics and their relationship to potential pollution sources of soil heavy metals in the study area more accurately, kriging interpolation and correlation analysis were carried out in this study. The current distribution of the study area and spatial distribution of soil heavy metals in the Xiaohe River irrigation area (Figure 3) were presented by ArcGIS kriging interpolation.
The spatial distribution change of Cd was the most significant; the sampling site with the highest concentration (XW) was 8.3 times that of the sampling site with the lowest concentration (CJ). Followed by Hg, the sampling site with the highest concentration (ZQ) was 8 times greater than that of the sampling site with the lowest concentration (WW). In the meantime, the concentration of Cd of all the sampling sites exceeds the background value of Shanxi Province [19] and the average value of soil heavy metals in China [26]. Furthermore, compared with the average value of soil heavy metals in China, the over standard rates of Cd and Hg were 423% and 400%, respectively. Therefore, the heavy metal pollution of Cd and Hg should be paid attention to by the local government. The spatial distribution of Pb also changed significantly. The maximum value was found at sampling site XW (66.03 mg·kg−1) and the minimum value was found at sampling site WW (9.16 mg·kg−1). The more significant spatial distribution characteristics also showed that point source pollution was the main factor affecting the distribution of Pb in the study area [24,28]. Moreover, concentrations of Cu, Zn and As in the study area have exceeded 188%, 198% and 189% of the average value of soil heavy metals in China, respectively, and the spatial variation was obvious, indicating that the point source pollution at each sampling site has a great impact on the concentrations of Cu, Zn and As in the soil (Figure 3). It is worth noting that the concentrations of Cr and Ni in the study area were low and the spatial distribution change was not obvious. In particular, the concentration of Cr was 93.7% of the average value of soil heavy metals in China, indicating that non−point source pollution or natural sources were the main factors affecting the concentrations of Cr and Ni in the study area [14,21].
The correlation analysis results support the conclusions of the spatial distribution characteristics of soil heavy metals and the field investigation of potential pollution sources (Table 3). There was a significant positive correlation between Zn and Cu, Pb, Cd, Ni and Hg in the study area (p < 0.01).
Table 3.
Pearson correlation coefficients of soil heavy metals in the Xiaohe River irrigation area.
Relevant studies show a significant positive correlation between heavy metals indicating that the concentrations of heavy metals show a synergistic change trend in nature. In particular, it shows similarity or convergence in potential pollution sources and environmental geochemical behaviours [1,4,10]. In recent decades, secondary and tertiary industries in China and other developing countries have developed rapidly, and their proportion in the national economic pattern has gradually increased. A large number of handicraft, manufacturing, construction and coal chemical enterprises have appeared in the study area. In the early 20th century, the environmental detection means in the study area were relatively limited and the local government’s awareness of environmental protection was relatively weak. A large amount of wastewater, waste residue and waste gas containing heavy metal pollutants was directly discharged, which seriously polluted the soil in the study area and was difficult to remove from the natural substrate [15,16]. Although the local government has invested a lot of manpower and material resources to control the local environment in recent years, especially regarding heavy metal pollution, the concentrations of heavy metals in the soil of the study area were still at a high level due to the characteristics of difficult biodegradation, obvious accumulation effects and high repair difficulty of heavy metals.
3.2. Assessment of Soil Heavy Metals Pollution
If the Igeo of the soil heavy metals is negative, it indicates that there is no heavy metal pollution in the soil at the sampling site [36]. According to the geo−accumulation indexes in Table 4, the Igeo of all soil heavy metals was less than 5, indicating that there was no extremely contaminated soil with heavy metals in the study area. Sampling site WW was moderately contaminated with the Igeo of Cu, Hg and Cd between 2−3, while sampling site CJ was slightly to moderately contaminated with the Igeo of Cu between 1−2, and Zn, Hg and Cd between 2−3, respectively. Sampling site ZJ was heavily contaminated with the Igeo of Pb and Cd between 4−5, and the other six soil heavy metals were moderately contaminated with the Igeo between 1−3. The Igeo of Ni, As and Cr in sampling site SD were negative, indicating no pollution in this sampling site, and the Igeo of the other four soil heavy metals were between 1−3, indicating moderate contamination. The Igeo of As and Cr in sampling site XH were negative, indicating no pollution of As and Cr in this sampling site, and the Igeo of Ni was between 2−3, showed moderate contamination, and the Igeo of other soil heavy metals were between 3−5, which showed a moderate to heavy contamination level in this sampling site. The Igeo of Cr was negative in sampling sites ZQ and XW, indicating no pollution of Cr in these sampling sites, and the Igeo of the other soil heavy metals were positive, especially Pb and Cd, which resulted in a heavy to extreme contamination level in these sampling sites.
Table 4.
The geo−accumulation index of all sampling sites in the Xiaohe River irrigation area.
The Igeo of Cu, Hg and Cd in all sampling sites were positive, while the other soil heavy metals had different pollution levels at some sampling sites (Table 4). The pollution degree of all the soil heavy metals in the study area were followed by Cu(100%) = Hg(100%) = Cd(100%) > Pb(85.71%) = Zn(85.71%) > Ni(57.14%) > As(42.86%) > Cr(14.29%), respectively (Table 4). Compared to the main agricultural areas in China, the degree of pollution of soil heavy metals in the Xiaohe River irrigation area was at an upper−middle level, especially the pollution of Cd [37]. Soil heavy metal pollution in the study area generated diverse pollution patterns and significant regional differences. Although the sampling sites CJ and WW had the same land use type (outer suburban farmland), there was a significant difference in the degree of pollution between them, indicating that the spatial distribution of soil heavy metals had a significant impact on soil heavy metal pollution. Spatially, sampling site XH was relatively close to sampling site ZJ, however, the pollution degree of soil heavy metals in sampling site XH was relatively high, and the pollutant source was complex. According to the field investigation, both the location of sampling sites and the sources of soil heavy metals resulted in the pollution differences between sampling sites XH and ZJ. Sampling site XH was located near the national road, and the sources of soil heavy metal pollution were complex, while sampling site ZJ was located in suburban farmland, and the sources of soil heavy metal pollution were relatively simple.
Compared to the farmland of Jiyuan [38] with a similar geographical background and the same land use tapes, the status, and sources of soil heavy metals pollution in the Xiaohe River irrigation area also generated obvious characteristics of point source pollution. Related studies showed that the concentrations of Cd and Hg in the farmland of Shanxi Province were high and should be preferentially controlled [39,40]. The pollution degree of Cd and Hg in this study was moderate and severe, respectively, which was consistent with the results of previous studies (Figure 3c,g, Table 4). In the future, the potential pollution sources of Cd and Hg should be more strictly managed and controlled in the Xiaohe River irrigation area, such as by restricting or prohibiting the use of pesticides and fertilizers containing Cd and Hg, and controlling the accumulation of wastes containing heavy metals and the discharge of untreated industrial wastewater and domestic sewage.
3.3. Ecological Risk Assessment of Soil Heavy Metals Pollution
The enrichment factors (fi) and potential ecological risk assessment of soil heavy metals pollution in the Xiaohe River irrigation area are shown in Table 5 and Table 6, respectively. The fi of a single soil heavy metal were between 0.91−17.45, and the average value of fi for each soil heavy metal were sequenced by Hg(17.45) > Cd(4.62) > Pb(2.54) > Zn(2.34) > Cu(2.17) > As(1.27) > Ni(0.99) > Cr(0.91), respectively. The fi of Hg was the highest, followed by Cd, indicating that colloidal substances in the soil and shallow roots of plants in the study area have an obvious enrichment effect on Hg and Cd [41]. The fi of Pb, Zn, Cu, As, Ni and Cr were lower (Table 1 and Table 5), and Hg and Cd were the main pollution factors in the study area.
Table 5.
Enrichment factors of soil heavy metals in the Xiaohe River irrigation area.
Table 6.
Potential ecological risk assessment of soil heavy metals in the Xiaohe River irrigation area.
The average value of of soil heavy metals in the study area was between 1.83−698.14 with a sequence followed by Hg (698.16) > Cd (138.66) > Pb (12.68) > Zn (2.34) > Cu (10.86) > As (12.69) > Ni (4.94) > Cr (1.83), respectively. The potential ecological risk degree of mercury pollution was extremely hazardous, cadmium pollution was considerably hazardous, and the other six soil heavy metal pollutants were slightly hazardous. In general, the potential ecological risk degree at the sampling site WW was considerably hazardous, the other six sampling sites belonged to the extreme hazard level, and the whole study area was also in an extremely hazardous state (Table 6). From the perspective of various elements, Hg and Cd were the main pollution factors in the study area, contributing the most to RI, especially Hg, which contributed more than 67.66% to RI. The contribution rate of Hg to RI reached 89.04% in the sampling site SD, mainly due to the high toxicity of Hg and Cd, which were far higher than the background value of Shanxi Province [42].
In sum, the Xiaohe River Basin is a developed agricultural and economic area in the eastern Loess Plateau. As the Xiaohe irrigation area, Xiaohe Industrial Park and Yuci urban district are all located in this area, the sources of soil heavy metals were diverse, and the transport routes were complex. A related study showed that the only heavy metal present in the atmosphere as a gaseous form was Hg, which was released into the atmosphere by waste incineration and chemical fuel combustion and returned to the topsoil in the form of dry deposition [43]. Additionally, landfill leachate and domestic sewage around the study area also contributed to the concentrations of Hg and Cd in the topsoil, as well as the formation of parent material in the soil [26,36,44]. At the same time, concentrations of Hg and Cd in the farmland soil in the middle reaches of the Fenhe River Basin were generally enriched [45], which was consistent with the results of our study. There were no copper and zinc deposits in the Xiaohe River irrigation area. The main sources of Cu and Zn in soil originated from the natural weathering of soil parent material and human mining activities [46]. Therefore, it could be inferred that Cu and Zn in the study area were mainly affected by agricultural activities. In addition, the additive of Zn in automobile tires, Pb in automobile exhaust and Cu in automobile brake systems could be used as indicators of transportation pollution sources [47]. In our study, the sampling sites of XH, ZJ, ZQ and XW were located in suburban farmland near the urban area and the national road, respectively. Therefore, it could be supposed that transportation pollutants were the main factors affecting the high concentrations of soil heavy metals in these sampling sites.
4. Conclusions
(1) The concentrations of Cu, Hg, Cd, Pb, Zn, Ni, As and Cr concentrated in farmland soil of the Xiaohe River irrigation area were lower than the environmental standard of China’s agricultural land soil (grade II). Compared to the average value of soil heavy metals in China, the soil heavy metals were higher than the average value except for Cr. Compared to the background value of Shanxi Province, all of the accumulated soil heavy metals varied to different degrees, with Hg having accumulated the most, followed by Cd, and their concentrations were 11.3 and 4.0 times the background value of Shanxi Province, respectively.
(2) Different land use types have significant effects on the concentrations of soil heavy metals in the study area. The spatial distribution of soil heavy metals varied greatly, generating the characteristics of diverse pollution patterns, significant regional differences and complex transport routes. Hg and Cd were the main pollution factors in the study area, while transportation, tertiary industry and agricultural activities were the main potential pollution sources. Urban areas with intense human activities were the most polluted, followed by suburban farmland and the least polluted areas were farmland in the outer suburbs.
(3) The potential ecological risk of soil heavy metals in the study area was sequenced by Hg > Cd > Pb > Zn > Cu > As > Ni > Cr. Mercury pollution in soil was extremely hazardous, cadmium pollution was considerably hazardous, and the other six soil heavy metal pollutants were slightly hazardous. Notably, according to the results of the potential ecological risk assessment of soil heavy metals, the most severe hazard was only concentrated in the sampling site WW, the other sampling sites were extremely hazardous. In general, the whole study area was in a very strongly hazardous state. Therefore, it is particularly important to strengthen the investigation and evaluation of soil environments, to establish a technical system suitable for soil heavy metal pollution prevention and control and to strengthen the control of soil pollution sources in the Xiaohe River irrigation area.
Author Contributions
Z.M. Writing–review and editing the manuscript and provided methodology; T.L. Provide data statistics and model analysis; X.B. provided visualization and results of statistical analysis and the software; H.L. provided the funding acquisition and writing−review the manuscript. All authors have read and agreed to the published version of the manuscript.
Funding
This research was funded by the Basic Research Program of Shanxi Provincial Science and Technology Department, grant number 202103021223325, and the National Natural Science Foundation of China, grant numbers 42101104.
Institutional Review Board Statement
Not applicable.
Informed Consent Statement
Not applicable.
Data Availability Statement
Not applicable.
Acknowledgments
The authors are grateful to the anonymous reviewers for their useful comments and detailed suggestions for this manuscript. Sincere thank also goes to Qinghua Wang, Xiuli Tang, Yanhui Li and Jie Wang for there kind help for participation in field and laboratory work.
Conflicts of Interest
The authors declare no conflict of interest. The funders had no role in the writing of the manuscript; or in the decision to publish the results.
References
- He, M.J.; Shen, H.R.; Li, Z.T.; Wang, L.; Wang, F.; Zhao, K.L.; Liu, X.M.; Wendroth, O.; Xu, J.M. Ten−year regional monitoring of soil−rice grain contamination by heavy metals with implications for target remediation and food safety. Environ. Pollut. 2019, 244, 431–439. [Google Scholar] [CrossRef] [PubMed]
- Hou, Q.Y.; Yang, Z.F.; Ji, J.F.; Yu, T.; Yuan, J.X. Effects of Soil pH and Mineral Nutrients on Cadmium Uptake by Rice Grain in the Pearl River Delta, China. Bull. Environ. Contam. Toxicol. 2021, 106, 99–108. [Google Scholar] [CrossRef] [PubMed]
- Zhang, P.Y.; Qin, C.Z.; Hong, X.; Kang, G.H.; Qin, M.Z.; Yang, D.; Pang, B.; Li, Y.Y.; He, J.J.; Dick, R.P. Risk assessment and source analysis of soil heavy metal pollution from lower reaches of Yellow River irrigation in China. Sci. Total Environ. 2018, 633, 1136–1147. [Google Scholar] [CrossRef] [PubMed]
- Sikdar, S.; Kundu, M. A Review on detection and abatement of heavy metals. Chembioeng Rev. 2017, 5, 18–29. [Google Scholar] [CrossRef]
- Chen, T.; Chang, Q.; Liu, J.; Clevers, J.G.P.W.; Kooistra, L. Identification of soil heavy metal sources and improvement in spatial mapping based on soil spectral information: A case study in northwest China. Sci. Total Environ. 2016, 565, 155–164. [Google Scholar] [CrossRef]
- Jing, R.; Wang, D.; Wang, C.; Gang, Z.; Zhang, H. Heavy metal contents, distribution, and prediction in a regional soil−wheat system. Sci. Total Environ. 2016, 544, 422–431. [Google Scholar]
- Ahmed, D.A.; Slima, D.F. Heavy metal accumulation by Corchorus olitorius L. irrigated with waste water. Environ. Sci. Pollut. Res. 2018, 25, 14996–15005. [Google Scholar] [CrossRef]
- Tang, W.Z.; Xia, Q.; Shan, B.Q.; Ng, J.C. Relationship of bioaccessibility and fractionation of cadmium in long−term spiked soils for health risk assessment based on four in vitro gastrointestinal simulation models. Sci. Total Environ. 2018, 631, 1582–1589. [Google Scholar] [CrossRef]
- Chan, M.W.H.; Hasan, K.A.; Balthazar–Silva, D.; Mirani, Z.A.; Asghar, M. Evaluation of heavy metal pollutants in salt and seawater under the influence of the Lyari River and potential health risk assessment. Mar. Pollut. Bull. 2021, 166, 112215. [Google Scholar] [CrossRef]
- Zhang, Y.N.; Chu, C.L.; Li, T.; Xu, S.G.; Liu, L.; Ju, M.T. A water quality management strategy for regionally protected water through health risk assessment and spatial distribution of heavy metal pollution in 3 marine reserves. Sci. Total Environ. 2017, 599–600, 721–731. [Google Scholar] [CrossRef]
- Bern, C.R.; Walton–Day, K.; Naftz, D. Improved enrichment factor calculations through principal component analysis: Examples from soils near breccia pipe uranium mines, Arizona, USA. Environ. Pollut. 2019, 248, 90–100. [Google Scholar] [CrossRef]
- Wood, J.L.; Tang, C.X.; Franks, A.E. Microbial associated plant growth and heavy metal accumulation to improve phytoextraction of contaminated soils. Soil Biol. Biochem. 2016, 103, 131–137. [Google Scholar] [CrossRef]
- Qiu, H.Y. Studies on the Potential Ecological Risk and Homology Correlation of Heavy Metal in the Surface Soil. J. Agric. Sci. 2010, 2, 194–201. [Google Scholar] [CrossRef][Green Version]
- Wu, Q.M.; Hu, W.Y.; Wang, H.F.; Liu, P.; Wang, X.K.; Huang, B. Spatial distribution, ecological risk and sources of heavy metals in soils from a typical economic development area, Southeastern China. Sci. Total Environ. 2021, 780, 146557. [Google Scholar] [CrossRef]
- Xie, W.Y.; Zhou, H.P.; Yang, Z.X.; Feng, Y.C.; Bai, X.; Du, Y.L. The spatial–temporal variation of soil organic matter and its influencing factors in Xiaohe River basin in eastern Loess Plateau, China. J. Agric. Resour. Environ. 2019, 36, 96–104. [Google Scholar]
- Yang, H.; Fan, G.S.; Ji, J.L. Nitrogen Distribution in Water of Xiaohe River Watershed and Its Relationship with Dissolved Oxygen. Bull. Soil Water Conserv. 2014, 34, 89–92. [Google Scholar]
- Li, Y.M. Shanxi River; Science Press: Beijing, China, 2004. [Google Scholar]
- Nuapia, Y.; Chimuka, L.; Cukrowska, E. Assessment of heavy metals in raw food samples from open markets in two African cities. Chemosphere 2017, 196, 339–346. [Google Scholar] [CrossRef] [PubMed]
- China Environmental Monitoring Station. Background Value of Soil Elements in China; China Environmental Press: Beijing, China, 1990. [Google Scholar]
- Jahromi, M.A.; Jamshidi−Zanjani, A.; Darban, A.K. Heavy metal pollution and human health risk assessment for exposure to surface soil of mining area: A comprehensive study. Environ. Earth. Sci. 2020, 79, 365. [Google Scholar] [CrossRef]
- Cui, J.; Zang, S.Y.; Zhai, D.L.; Wu, B. Potential ecological risk of heavy metals and metalloid in the sediments of Wuyuer River basin, Heilongjiang Province, China. Ecotoxicology 2014, 23, 589–600. [Google Scholar] [CrossRef]
- Hakanson, L. An ecological risk index for aquatic pollution control. A sedimentological approach. Water Res. 1980, 14, 975–1001. [Google Scholar]
- Fan, Y.F.; Chen, X.L.; Chen, Z.B.; Zhou, X.X.; Lu, X.; Liu, J. Pollution characteristics and source analysis of heavy metals in surface sediments of Luoyuan Bay, Fujian. Environ. Res. 2021, 203, 111911. [Google Scholar] [CrossRef] [PubMed]
- Mamat, Z.; Haximu, S.; Zhang, Z.Y.; Aji, R. An ecological risk assessment of heavy metal contamination in the surface sediments of Bosten Lake, northwest China. Environ. Sci. Pollut. Res. 2016, 23, 7255–7265. [Google Scholar] [CrossRef]
- CMEE (China Ministry of Ecology and Environment). Chinese Soil Environmental Quality: Risk Control Standard for Soil Contamination of Agricultural Land (GB 15618–2018); China Environmental Science Press: Beijing, China, 2018. [Google Scholar]
- Teng, Y.G.; Wu, J.; Lu, S.J.; Wang, Y.Y.; Jiao, X.D.; Song, L.T. Soil and soil environmental quality monitoring in China: A review. Environ. Int. 2014, 69, 177–199. [Google Scholar] [CrossRef]
- Qi, H.X.; Zhao, B.Q.; Li, L.H.; Chen, X.L.; An, J.; Liu, X.P. Heavy metal contamination and ecological risk assessment of the agricultural soil in Shanxi Province, China. R. Soc. Open Sci. 2020, 7, 200538. [Google Scholar] [CrossRef]
- Wang, C.; Yang, Z.F.; Zhong, C.; Ji, J.F. Temporal−spatial variation and source apportionment of soil heavy metals in the representative river−alluviation depositional system. Environ. Pollut. 2016, 216, 18–26. [Google Scholar] [CrossRef] [PubMed]
- Agrelli, D.; Caporale, A.G.; Adamo, P. Assessment of the bioavailability and speciation of heavy metal(loid)s and hydrocarbons for risk−based soil remediation. Agronomy 2020, 10, 1440. [Google Scholar] [CrossRef]
- Wang, X.; Wu, N.; Wu, X.; Geng, W.N.; Xu, X.Y. Effect of insect feces (Hermetia illucens) on rice growth and heavy metal migration from polluted soil to rice plant. Environ. Sci. Pollut. Res. 2022, 29, 14695–14704. [Google Scholar] [CrossRef] [PubMed]
- Jacques, D.; Simunek, J.; Mallants, D.; Genuchten, M. Modelling coupled water flow, solute transport and geochemical reactions affecting heavy metal migration in a podzol soil. Geoderma 2008, 145, 449–461. [Google Scholar] [CrossRef]
- Qin, G.; Niu, Z.; Yu, J.; Li, Z.; Xiang, P. Soil heavy metal pollution and food safety in China: Effects, sources and removing technology. Chemosphere 2021, 267, 129205. [Google Scholar] [CrossRef]
- Ji, Y.; Xu, J.; Zhu, L. Impact of a super typhoon on heavy metal distribution, migration, availability in agricultural soils. Environ. Pollut. 2021, 289, 117835. [Google Scholar] [CrossRef]
- Luo, W.; Wang, T.Y.; Lu, Y.L.; Giesy, J.P.; Shi, Y.J.; Zheng, Y.M.; Xing, Y.; Wu, G.H. Landscape ecology of the Guanting Reservoir, Beijing, China: Multivariate and geostatistical analyses of metals in soils. Environ. Pollut. 2007, 146, 567–576. [Google Scholar] [CrossRef]
- Yang, Q.Q.; Li, Z.Y.; Lu, X.N.; Duan, Q.N.; Huang, L.; Bi, J. A review of soil heavy metal pollution from industrial and agricultural regions in China: Pollution and risk assessment. Sci. Total Environ. 2018, 642, 690–700. [Google Scholar] [CrossRef]
- Shi, T.R.; Zhang, Y.Y.; Gong, Y.W.; Ma, J.; Wei, H.Y.; Wu, X.; Zhao, L.; Hou, H. Status of cadmium accumulation in agricultural soils across China (1975–2016): From temporal and spatial variations to risk assessment. Chemosphere 2019, 230, 136–143. [Google Scholar] [CrossRef] [PubMed]
- Lyu, L.G.; Wang, X.R.; Sui, X.Y.; Liu, Z.Y.; Yuan, Y.; Lin, C. Heavy Metal Pollution and Ecological Risk Assessment of Cultivated Land Soil in the Farming Areas of Coastal China: A Case Study of Donghai County, Jiangsu Province. Agric. Biotechnol. 2018, 7, 125–129. [Google Scholar]
- Wu, H.Y.; Yang, F.; Li, H.P.; Zhang, F.L.; Ba, Y.; Gui, L.X.; Sun, L.L.; Lv, T.C.; Wang, N.; Zhu, J.Y. Heavy metal pollution and health risk assessment of agricultural soil near a smelter in an industrial city in China. Int. J. Environ. Health Res. 2019, 30, 174–186. [Google Scholar] [CrossRef]
- Chen, H.Y.; Teng, Y.G.; Lu, S.J.; Wang, Y.Y.; Wang, J.S. Contamination features and health risk of soil heavy metals in China. Sci. Total Environ. 2015, 1, 143–153. [Google Scholar] [CrossRef] [PubMed]
- Hu, B.F.; Shao, S.A.; Ni, H.; Fu, Z.Y.; Hu, L.S.; Zhou, Y.; Min, X.X.; She, S.F.; Chen, S.C.; Huang, M.X.; et al. Current status, spatial features, health risks, and potential driving factors of soil heavy metal pollution in China at province level. Environ. Pollut. 2020, 266, 114961. [Google Scholar] [CrossRef]
- Jia, X.L.; Fu, T.T.; Hu, B.F.; Zhou, S.; Zhou, L.Q.; Zhu, Y.W. Identification of the potential risk areas for soil heavy metal pollution based on the source–sink theory. J. Hazard. Mater. 2020, 393, 122424. [Google Scholar] [CrossRef]
- Li, W.B.; Wang, D.Y.; Wang, Q.; Wang, Q.; Liu, S.H.; Zhu, Y.L.; Wu, W.J. Impacts from Land Use Pattern on Spatial Distribution of Cultivated Soil Heavy Metal Pollution in Typical Rural–Urban Fringe of Northeast China. Int. J. Environ. Res. Public Health 2017, 14, 336. [Google Scholar] [CrossRef]
- Huang, B.; Li, Z.W.; Li, D.Q.; Yuan, Z.J.; Chen, Z.L.; Huang, J.Q. Distribution characteristics of heavy metal(loid)s in aggregates of different size fractions along contaminated paddy soil profile. Environ. Sci. Pollut. Res. Int. 2017, 24, 23939–23952. [Google Scholar] [CrossRef]
- Nriagu, J.O. A history of global metal pollution. Science 1996, 272, 223. [Google Scholar] [CrossRef]
- Liu, M.X.; Han, Z.Q.; Yang, Y.Y. Accumulation, temporal variation, source apportionment and risk assessment of heavy metals in agricultural soils from the middle reaches of Fenhe River basin, North China. RSC Adv. 2019, 9, 21893–21902. [Google Scholar] [CrossRef] [PubMed]
- Zhang, X.X.; Zha, T.G.; Guo, X.P.; Meng, G.X.; Zhou, J.X. Spatial distribution of metal pollution of soils of Chinese provincial capital cities. Sci. Total Environ. 2018, 643, 1502–1513. [Google Scholar] [CrossRef] [PubMed]
- Bi, C.J.; Zhou, Y.; Chen, Z.L.; Jia, J.P.; Bao, X.Y. Heavy metals and lead isotopes in soils, road dust and leafy vegetables and health risks via vegetable consumption in the industrial areas of Shanghai, China. Sci. Total Environ. 2018, 619–620, 1349–1357. [Google Scholar] [CrossRef] [PubMed]
Publisher’s Note: MDPI stays neutral with regard to jurisdictional claims in published maps and institutional affiliations. |
© 2022 by the authors. Licensee MDPI, Basel, Switzerland. This article is an open access article distributed under the terms and conditions of the Creative Commons Attribution (CC BY) license (https://creativecommons.org/licenses/by/4.0/).


