Abstract
Coal bottom and fly ash waste continue to be generated as a result of energy production from coal in the amount of about 750 million tonnes a year globally. Coal is the main source of energy in Poland, and about 338 million tonnes of combustion waste has already been landfilled. The aim of the research was to identify factors determining the Cd, Pb, Zn and Cu phytostabilisation by vegetation growing on a coal combustion waste landfill. Soil and shoots of the following plants were analysed: wood small-reed, European goldenrod, common reed; silver birch, black locust, European aspen and common oak. The influence of the location where the plants grew and the influence of the interaction between the two factors (species and location) were significant. The tree species were more effective at accumulating heavy metals than the herbaceous plants. European aspen had the highest Bioaccumulation Factor (BCF) for cadmium and zinc. A high capacity to accumulate these elements was also demonstrated by silver birch, and in the case of cadmium, by common oak. Accumulation of both lead and copper was low in all plants. The Translocation Factors (TF) indicated that the heavy metals were accumulated mainly in the roots. European aspen, silver birch and European goldenrod were shown to be most suitable for stabilization of the metals analysed in the research.
1. Introduction
Despite the systematic reduction in the use of solid fuels, they still account for about 28.1% of world primary energy production and as much as 39.3% of electricity generation [1]. The use of coal for energy generates a relatively large amount of waste, mainly in the form of bottom ash. Samanli et al. [2] have reported that an estimated 750 million tonnes of this type of waste is produced globally per year. Although recent decades have seen an increase in the economic utilization of power plant waste, especially fly ash [3,4,5], a significant amount is still deposited in landfills. In Poland, over 338 million tonnes of combustion waste, mainly bottom ash, had been deposited in landfills by the end of 2020 [6]. Combustion waste landfills have been a potential source of uncontrolled secondary emission of toxins into the nearby environment, including topsoil, forests, surface water and groundwater, posing a threat to all living organisms [7,8,9]. Conditions for the development and life of plants at sites of bottom and fly ash deposition are generally unfavourable, mainly due to an unsuitable air-to-water ratio, a strongly alkaline reaction, and poor accessibility of basic nutrients, including a nearly complete lack of nitrogen, which is essential for the life of plants [10,11,12]. There have been many works devoted to experimental research on the development and chemistry of plant species on landfills under conditions of varied fertilization and variation in the species sown [13,14,15,16]. Fewer studies concern plants growing on combustion waste landfills under conditions of spontaneous succession [17,18]. Irrespective of the type of succession, developing vegetation plays an important role in limiting secondary emission of pollutants from these sites and thus mitigating their negative impact on the environment [18,19,20]. The most hazardous environmental toxins accumulated in combustion waste include heavy metals [21,22]. In the last century, power plant waste landfills in Poland generally appeared in the same way: close to the power plant, in an oxbow, in sand, gravel or clay excavations, without regard to any environmental rights. The landfill selected for this study is one of many similar sites in Eastern Europe.
In the case of a coal combustion waste landfill, phytoremediation as phytoextraction of heavy metals from an entire contaminated area is generally not feasible. The limitations mainly concern the slopes. The slope angle precludes the use of agrotechnical procedures needed for cultivation in practice, including harvesting of the crop. Furthermore, the removal of biomass would significantly disturb the circulation of matter, exacerbating the sterility of the nutrient-poor substrate. It should be noted that the fruits and seeds of plants could provide food for wildlife, whose existence increases the fertility of the substrate. For these reasons, our study focused on phytostabilization of heavy metals.
The aims of the study were as follows:
- -
- to identify the species of plants with the highest phytostabilization capacity (defined by bioaccumulation and translocation factors).
- -
- to determine the influence of the location of plant growth on the landfill on phytostabilization.
The following scientific hypotheses were put forth:
- -
- Phytostabilization is influenced by the species (i).
- -
- Phytostabilization is influenced by the location on the slope (ii).
- -
- Phytostabilization is influenced by the interaction of species x location (iii).
2. Materials and Methods
2.1. Study Site Description
The Skawina Power Plant waste landfill (Figure 1), located in excavations remaining after the exploitation of natural aggregates, began operating in 1975. In the geological structure of the terrain, the superficial layer consists of quaternary formations represented by river sediments (coarse sands and gravel covered with alluvial soils in places, interbedded with loam, silt loam and mud sludge). Together with the accompanying infrastructure, the landfill occupies an area of 68 ha. Combustion waste in the form of coal bottom and fly ash was pumped into the landfill by hydraulic transport. Deposition of waste on the landfill was terminated in 2015. There is no specific documentation of biological reclamation of the landfill. However, differences in the botanical composition of vegetation growing on the embankment suggest that such attempts have been made in the past, as there are woody plants growing downwind of the westerly winds usually occurring in this region. These were probably planted in order to protect residents’ homes and fields, situated on the north and east side of the landfill, from airborne dust [20,23]. The height of the landfill is from 22 to 26 m above the surrounding areas. The length of the embankment is 52 ± 5 m, and the slope angle is 28 ± 3°.
Figure 1.
Location of the Skawina Power Plant combustion waste landfill, Kopanka Village, Skawina Commune, South of Poland, Europe.
2.2. Plant and Soil Sampling
Soil and plants from the slopes of the landfill were analysed. The northern and eastern slopes were sampled. The southern and western slopes were omitted because they were not overgrown with vegetation. Three sampling areas were established for each of the embankments: the base, the middle and the top. Each sampling area was divided into three sampling plots of about 152 m2, i.e., a rectangle 4 m × 38 m. The sampling plots were subdivided into seven sampling points of 22 m2 (Figure 2.). The study complies with local and national guidelines. Permission was obtained for collection of plants.
Figure 2.
Relatioship between the sampling area, sampling plots and sampling points (sp).
Plant species were selected for the research on the basis of their percentage share in the coverage of the landfill slope, which was determined by the authors in their previous research [24]. The tree species black locust (b.l.; abbreviation used in figures and tables) (Robinia pseudoacacia L.), silver birch (s.b.) (Betula pendula Roth.), European aspen (e.a.) (Populus tremula L.) and common oak (c.a.) (Quercus robur L.), and the herbaceous species wood small-reed (w.s.r.) (Calamagrostis epigejos L.), European goldenrod (e.g.) (Solidago virgaurea L.) and common reed (c.r.) (Phragmites australis ((Cav.)Trin. ex Steud) were chosen. Shoots were sampled from each species. Primary samples of shoots were taken from five different trees of the same species at each sampling point. A primary herbaceous sample consisted of twenty plant shoots. Roots were taken from herbaceous plants, but tree roots were not sampled, as there was no way to collect a representative root sample from a tree species without seriously damaging the landfill slope. A garden fork was used to pull up the herbaceous plants with maximum volume of the root system. The roots and shoots were cut off with stainless steel secateurs. The roots were carefully washed in the laboratory in warm tap water to remove coal combustion ash from the roots. The shoots were washed as well. Following homogenization, the samples constituted an averaged sample of about 600 g fresh weight. The samples were collected in late summer. Soil samples were collected using a soil sampler, from a sampling depth of 0–0.1 m. Five primary samples were collected. After homogenization, the averaged soil samples were of about 500 g wet weight. The soil samples were taken from the sampling plots.
2.3. Chemical Analyses
The soil material was dried, ground and sieved, followed by wet mineralization using a mixture of concentrated HNO3 and HClO4 [25,26]. Cd, Pb, Zn and Cu concentrations were determined by FAAS. In addition, the pH of the samples was determined in a distilled water solution and 1N KCl by the potentiometric method [25]. The plant samples were dried at 60 °C and ground in a mill, followed by dry mineralization in a muffle furnace at 460 °C. Organic parts that remained were oxidized using HNO3, and silica was precipitated with HCl [25]. The Cd, Pb, Zn and Cu concentrations were determined by FAAS. The spectrophotometer was calibrated with Merck standards (Merk Group, Darmstadt, Germany). In order to check the quality of calibration of atomic absorption, spectrophotometer references materials were used. They were trace metals–clay and trace metals–sandy loam 7 provided by Merck. Recovery was 94% for Cd, 95% for Cu, 96% for Pb and 99% for Zn.
Blind samples were used in a series of approximately 30 samples. Each soil and plant sample was mineralised and analysed independently twice. If Relative Standard Deviation (RSD) from two results were higher than 5%, the sample was mineralised and analysed again.
2.4. Assessment Methods
The assessment was based on analysis of the BCF [27,28,29] and the TF [30,31,32]. The Shapiro–Wilk test was used to estimate the data distribution. The Wald–Wolfowitz test (a nonparametric test) was used to test the hypotheses. As a post hoc test, the Kruskal–Wallis test was used to compare means. All statistical tests were performed at a significance level of α = 0.05. All statistical analyses were performed in Statistica 12.0 software (StatSoft inc., Tulsa, OK, USA).
3. Results and Discussion
3.1. Results and General Assessment
The data in Section 3.1 are presented and discussed all together, i.e., are not subdivided into: the base, the middle and the top. The unfavourable ecological conditions prevailing in combustion waste landfills have a fundamental impact on the vegetation occurring at these sites as a result of either spontaneous succession or reclamation efforts. The soil samples had an alkaline reaction (mean pHKCl =7.4). The relative standard deviation had medium values for lead (30%) and copper (28%) contents, low values for cadmium (16%) and zinc (21%), and an extremely low value of 3% for pH (Table 1). Jambhulkar and Juwarkar [16] reported a similarly low (RSD) of only 4% for a fly ash dump of the Khaperkheda thermal power plant in Maharashtra State, India.
Table 1.
Average soil Cd, Pb, Zn and Cu content and pHKCl, range and relative standard deviation (RSD) (n = 54).
Cadmium content in the shoots ranged from 0.028 to 1.058 mg·kg−1 d.m. (Table 2), with the lowest content found in wood small-reed and common reed. The minimum and maximum cadmium contents in the roots of herbaceous plants were 0.038 and 1.24 mg·kg−1 d.m., which was a wider range than in the case of cadmium content in the shoots (Table 3). Variation in the concentration of this element in the aboveground parts of plants was very high in the case of European goldenrod (RSD = 103%) (Table 2) and high in the case of silver birch and European aspen (RSD 60% and 57%, respectively). Cadmium content was least varied in common reed (RSD = 26%). High variability of this metal was noted in the roots of the herbaceous plants: for European goldenrod RSD = 62%, for common reed RSD = 45% and for wood small-reed RSD = 67%. The lead content in the plants in the study area ranged from 0.207 to 1.4410 mg·kg−1 d.m.; the maximum for the roots was 4.450 mg·kg−1 d.m. (Table 3) Lead concentrations were much less variable than in the case of cadmium. The highest variations were noted for European goldenrod (28% and 34% for shoots and roots, respectively) and the lowest for common oak shoots (RSD = 4%). The zinc concentration in the plants ranged from 8.210 mg·kg−1 (common reed) to 222.294 mg·kg−1 (European aspen) (Table 2). The highest variation in the aerial parts of plants was found for the zinc concentrations in European goldenrod (RSD = 30%), followed by common reed (27%) and black locust (25%) (Table 2). The range of zinc concentrations for the roots was similar to the range in the shoots. Variation in zinc content in the roots was similar to the variation in the shoots for common reed and wood small-reed (Table 3).
Table 2.
Cd, Pb, Zn and Cu average content, range, and RSD in shoots (n = 252).
Table 3.
Cd, Pb Zn and Cu average content, range and RSD in roots (n = 108).
Copper content in the shoots ranged from 0.810 mg·kg−1 (wood small-reed) (Table 2) to 7.920 mg·kg−1 (European aspen), whereas the maximum concentration in the roots was 17.23 mg·kg−1 (European goldenrod). The maximum soil copper content was 65.86 mg·kg−1, with a mean of 48.348 mg·kg−1 ± 28% RSD (Table 1). The highest variation in the content of this element in the aerial parts of plants was found in common reed (37%), followed by European goldenrod (27%) and black locust (24%). A high RSD was found in the roots of common reed (42%). According to Alloway [33], the critical copper concentration in plants is 2 mg·kg−1 d.m. Wood small-reed copper content was much lower, in a range of 0.810–1.120 mg·kg−1 d.m. Another species near the threshold was common reed.
According to Szwalec et al. [34] the eluates from the waste were not found to pose a threat to surface water quality in terms of concentrations of macronutrients Na, K, Ca and Mg, metals considered to be particularly harmful, i.e., Zn, Cu and Cr, or priority metals Cd and Pb.
3.2. Detailed Assessment
Biostabilization is an important part of bioremediation. Phytostabilization reduces the airborne spread of heavy metals and groundwater contamination by leaching [35]. It also reduces metal bioavailability, thereby improving conditions for less tolerant species. Phytostabilization has been described as a plant’s ability to take up and accumulate metals from soil. The BCF and TF are useful tools here. Both factors can be used to assess a plant’s potential for phytostabilisation [18,31]. Szöcs and Schäfer [36], recommend the use of factors in statistical analysis, particularly in the case of non-parametric data distribution. Both BCF and TF are good examples, as they make use of data pertaining to the content of metals in soil and plants (BCF) and in plant organs (TF), combining two sets of data in a representative manner. The Shapiro–Wilk test showed that only single subsets of data had a normal distribution. These were the data for five factors: BCFCu (silver birch and wood small-reed) and TFCu (wood small-reed, common reed and European goldenrod). The remaining data did not have a normal distribution. This type of distribution has been found in studies on phytoremediation [34,37,38,39]. The Wald–Wolfowitz runs test was used to verify the hypotheses on the influence of the species and location of the landfill on the values of BCF and TF. The following hypotheses were tested: BCF and TF are influenced by the species; by the location of plant growth on the landfill and by the interaction of the two factors. The analysis revealed that these three effects (hypothesis i, ii, iii) were statistically significant for each of the metals tested. However, for the location (i.e., hypothesis ii), the low Ws values of the Wald–Wolfowitz test calculated from our own data were similar to the critical values read from the theoretical distribution tables for this test. This indicates a weak effect, so we focused the discussion on the interactions (hypothesis iii).
3.2.1. Influence of Species (Regardless of Location) on Metal Phytostabilization
The effect of species on phytostabilization of heavy metals is the most important question in phytoremediation research [40,41]. It is particularly significant in areas contaminated with these elements, including post-industrial areas such as combustion waste landfills. In the landfill that was the subject of this study, a high degree of cadmium accumulation was noted in the shoots of aspen, common oak, and silver birch, while the other plants accumulated this element to a moderate degree. The statistical analysis using the Kruskal–Wallis test showed that the phytoaccumulative capacities of European aspen differed statistically considerably from those of the other two species (common oak and silver birch), with a high rate of accumulation of this metal (Table 4A). Similar relationships were noted for accumulation of zinc in the plants. Accumulation of this metal was high in European aspen and silver birch but moderate in the remaining plants, as in the case of cadmium. It should be noted that common oak was statistically considerably distinguished in the group of species with moderate accumulation of this metal (Table 4B). Accumulation of both lead and copper was low in all plants tested. Statistically considerably differences from the other species were found for aspen in the case of phytoaccumulation of copper and for common oak in the case of lead (Table 4C,D). It should be noted, however, that as in the case of cadmium and zinc, for these metals as well the bioaccumulation factors were higher in the shoots of trees than in the shoots of herbaceous plants. A comparable BCF range to those noted for the herbaceous plants (0.05–0.45) was reported [42] for these metals in Saccharum munja occurring in natural succession on a fly ash lagoon. Pandey [43] also describes moderate (<1) Cd, Pb, Zn and Cu bioaccumulation factors for the aerial parts of castor bean (Ricinus communis) growing on this type of landfill. The author, like many others [44,45,46,47], also draws attention to the role of the biomass growth of individual plant species and their ability to accumulate metals in relation to phytoextraction of these elements from contaminated areas. In this regard it is worth drawing attention to the tree species with high BCFs for cadmium and zinc, particularly European aspen and silver birch. The hyperaccumulation capacity of silver birch, particularly in the case of zinc, has been confirmed by numerous studies [34,38,48]. Similar capacities of trees of the genus Populus to accumulate heavy metals have been pointed out by various authors [49,50,51].
Table 4.
A–H. Statistical significance of differences in means for BCF (A–D) and TF (E–H) for species (Kruskal–Wallis test, α = 0.05). Letters (a, b, c, d, e, f) designate groups of plants for which there were no statistically considerable differences. The data is presented and calculated all together, i.e., are not subdivided into: the base, the middle and the top.
In the case of the group of herbaceous plants, for which the content of metals was also analysed in the roots, it was in these organs that the elements primarily accumulated (Table 4E–H). This is confirmed by both the statistical analyses (Table 5) and the translocation factors (TF), which for most of the elements were within the range of 0.079 ≤ TF≤ 0.785. The only exception was zinc content in European goldenrod (TF = 1.264). In this case, the concentration of the element in the plant growing at the base of the landfill had a statistically considerable effect (Table 5F). At the other locations (the middle and top of the landfill), the value of the Zn translocation factor for this species was much lower (TFZn ≤ 0.853). It should be noted, however, that this species had the highest TFs of all metals tested (TFCd = 0.47, TFPb = 1.107, TFCu = 0.391), differing statistically considerably from the other plants (Table 5E,F). Accumulation of heavy metals mainly in the roots of herbaceous plants (Typha latifolia, Saccharum spontanum, Amaranthus deflexus and Fimbristylis dichotoma) growing on a fly ash dump was confirmed by Maiti and Jasawal [17]. The authors also draw attention to differences in TF depending on the metal and the plant species. They report TF < 1 for Cu and Zn. The exception was TF calculated for Pb in Amaranthus deflexus, amounting to 1.970, whereas for the other species it ranged from 0.66 to 0.85. Similar values (TF < 1) are reported by Pandey [18], who analysed the suitability of Ipomoea carnea for Cd, Pb, Cu, Cr, Mn and Ni phytoremediation of ash dumps. According to the author, TF values were > 1 only for Cd and Cr (TFCd = 1.050, TFCr = 1.180), and the limited migration of the other metals in the root system may have been due to sequestration of these elements in the vacuoles of the root cells.
Table 5.
A–F. Statistical significance of differences in means for BCF (A–D) and TF (E–H) for selected species x location interactions (Kruskal–Wallis test, α = 0.05). Letters (a, b, c, d) designate groups of plants for which there were no statistically considerable differences. The data is subdivided into the base, the middle and the top.
3.2.2. Influence of the Interaction of Species and Location on Phytostabilization
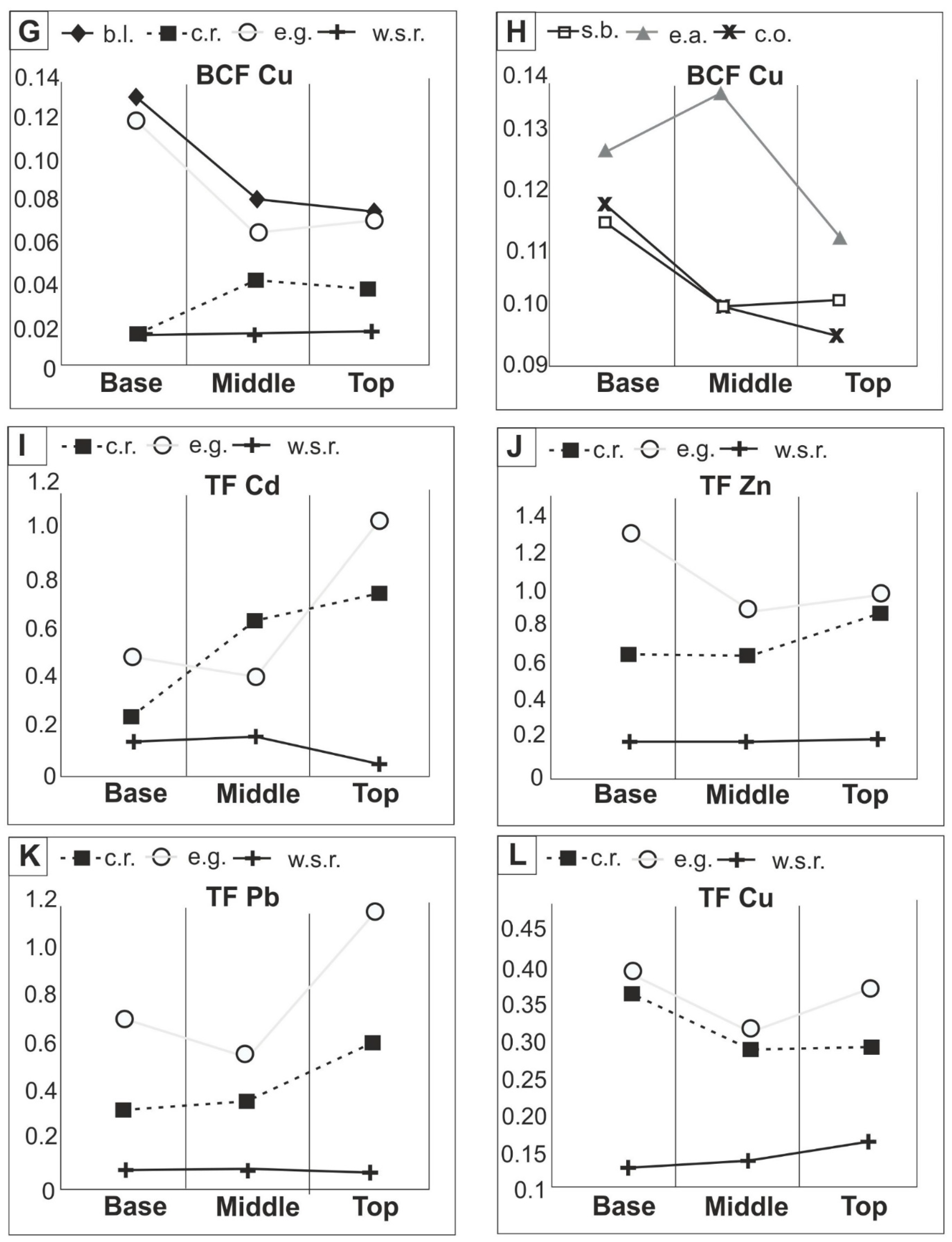
All data presented, calculated and discussed in Section 3.2.2. is subdivided into location, i.e., the base, the middle and the top. Phytoremediation studies on combustion waste landfills have previously not taken into account the relationship between the stabilizing capacities of individual plant species and the site of their growth on the landfills. The statistical analysis made it possible to distinguish the following patterns of the combined effect of the two factors, i.e., the species and the location of growth on the landfill on the stabilizing potential of each plant species. The first was characteristic of wood small-reed and common reed, for which there were practically no statistically considerable differences between BCF and TF values depending on their location on the landfill (base, middle, or top). Both species also had low levels of phytostabilization of the metals tested (Figure 3A,C,E, Table 5G,H). This suggests that the bioaccumulation and translocation of trace elements was not a minimum factor for the development of these plants at the site, and therefore, despite their low phytostabilizing properties, the suitability of these species can be considered in revegetation of energy waste landfills. In the second-most common pattern of interaction, BCF and TF values were increased by the species’ location at the base of the landfill and reduced by their situation at the top. This pattern was observed for European aspen and goldenrod for phytostabilization of cadmium. In the case of lead accumulation, these relationships were observed in silver birch, common oak and European aspen. Similar relationships for phytoaccumulation of zinc were noted for aspen, silver birch, European goldenrod and common reed. In the case of copper, these dependencies occurred in black locust, common oak, silver birch and European goldenrod (Figure 3B–J, Table 5B,D). This pattern was not observed for TF, except for phytoaccumulation of zinc in European goldenrod (Table 5F). The third pattern was such that the values of the indices describing phytostabilization of the metal in the plant were reduced by location of the species at the base of the landfall but increased by its location at the top. This was observed in the case of oak, birch and common reed for cadmium concentration, in common reed for copper content and in European goldenrod for lead content (Figure 3A,B,G,I,K, Table 5A,D,E,G,H). There weren’t any patterns in the case of TFCu (Figure 3L). This might be attributable to the very low content of this element in tested plants [33]. Variation in the content of metals in ash deposited in landfills is relatively well described in the literature. Reported sources of variation include the geological source of the coal [52], combustion technology [53] and the stage of waste generation (combustion, transport and deposition) [54]. The content of trace elements in deposited waste directly affects their concentrations in the vegetation growing on landfills. Due to the negative effects of landfills on the environment, this problem continues to be a subject of research, particularly in terms of the eco-restoration potential of individual plant species [55,56]. To date, however, no studies have been conducted on the relationships between the phytostabilization capacity of individual plant species and their location on the landfill. Previous research conducted on the landfill that is the subject of this paper indicated that despite nearly 50 years of existence of the landfill, the ecosystem developing here is still in a relatively early phase of formation [24]. The differences between the phytoaccumulation properties of individual species depending on their location on the landfill may be due to biogeochemical processes taking place in the developing ecosystem. The research areas we selected were covered by the same vegetation, and the physicochemical properties of the soil were comparable (Table 1). However, their formation was closely linked to successive stages of formation of the landfill, and in this sense the area can be said to be heterogeneous. The base of the landfill was formed in the 1970s from the local soil. The middle and top were formed from power plant waste in the 1980s and 1990s.

Figure 3.
(A–F): Graphical comparison of cadmium, lead and zinc BCF for species and location interactions, divided into two groups: below median (A,C,E) and above median (B,D,F). (G–L): Continuum for copper ((G) below median, (H) above median) and graphical comparison of cadmium lead, zinc and copper TF for species and location interactions.
The ecosystems in the vicinity of the landfill were the source of the plant species that recolonized the area. These areas were probably also a source of microbes and organic matter essential to the survival of heterotrophic microbes. According to numerous sources [11,57,58,59], microbial communities have a major influence on a forming ecosystem. From year to year, deposited ash was colonized by microbes—first the base, partially already built of colonized material, then the middle and finally the top of the landfill, the last and furthest situated from the natural source of microbes. Therefore, the time and starting conditions for development of microbial populations on the landfill were varied.
4. Conclusions
Differences in the phytostabilisation of metals (defined by bioaccumulation and translocation factors) between the analysed plants are statistically considerably different for all tested species and elements. The study made it possible to identify two distinct groups of vegetation: the first with high BCFs, i.e., European aspen, silver birch and common oak, and the second with low BCFs, i.e., common reed and wood small-reed. In the case of TF, the only species in the group with a low value was wood small-reed, whereas all other herbaceous species, including common reed, had a high TF. The translocation factors also indicated that for this group of plants all elements tested were accumulated mainly in the roots. However, the most important conclusion of our study is a fact of interaction (i.e., combined and simultaneous) influence of species and location on phytostabilisation. The interactions were statistically significant for all plants and metals. Location was understood as the set of undefined conditions. Location is divided in three groups: the base of the slope, the middle of the slope and the top of the slope. In general, at the base of the landfill, all species had the highest BCF values for lead and zinc, most species for copper, and only two species (aspen and oak) for cadmium. In contrast to BCF, the TF values for lead and cadmium increased upwards along the slope (except for wood small-reed). In the case of the physiological elements zinc and copper, the TF remained practically unchanged. Our results showed that European aspen (Populus tremula L), silver birch (Betula pendula Roth) and European goldenrod (Solidago virgaurea L.) can be useful in eco-restoration of combustion waste landfills.
Author Contributions
Conceptualization, A.S.: selecting the landfill, the aim, scientific hypothesis discussion, researched plant species and slopes (as the localisation) selection, the use of BCF and TF factors, manuscript framework. P.M.: scientific hypothesis, framework of discussion chapter, use factors (BCF and TF) in statistical analysis. R.K.: idea of case study, scientific hypothesis discussion, statistical analysis. Methodology, A.S.: the experiment model, the set of the experiment, research areas settlement, samples collection, sample preparation, supervision of chemical analyses, literature studies. P.M.: the experiment model, the set of the experiment, research areas settlement, data collection, data interchange between co-Authors, corresponding author, literature studies. R.K.: application of statistical methods, data presentation in graphical forms, corresponding author. Writing and data investigation A.S.: the frame, first draft, discussion of the data investigation, hypothesis and literature, conducting a research and investigation process. Reading and correcting the text. P.M.: the frame change, the second, improved draft, discussion of the data, conducting a research and investigation process, hypothesis and literature, discussion of the statistical results (analysis). Reading and correcting the text. Prepared figures and tables. R.K.: reading and correcting the text, explanation and discussion of the statistical results (analysis). Correction and edition of figures. All authors have read and agreed to the published version of the manuscript.
Funding
This research received no external funding.
Institutional Review Board Statement
Not applicable.
Informed Consent Statement
Not applicable.
Data Availability Statement
All materials and data are available from the corresponding author rmmudal@cyf-kr.edu.pl.
Acknowledgments
The study was conducted with a subsidy of the Ministry of Science and Higher Education for the University of Agriculture in Kraków in 2022. The statistical analyses used in the paper were supported by the project ‘Integrated Programme of the University of Agriculture in Krakow’ with funding from the European Union under the European Social Fund.
Conflicts of Interest
The authors declare no conflict of interest.
References
- Eurostat. EU Energy in Figures Statistical Pocketbook. 2018. Available online: https://ec.europa.eu/energy/sites/ener/files/documents/pocketbook_energy_2017_web.pdf (accessed on 29 April 2022).
- Samanli, S.; Celik, H.; Oney, O.; Can, Y. A review on improvement of coal-fired power plants and environmental benefits of ash utilization. Int. J. Global Warm. 2017, 11, 67–86. [Google Scholar] [CrossRef]
- Yao, Z.T.; Ji, X.S.; Sarker, P.K.; Tang, J.H.; Ge, L.Q.; Xia, M.S.; Xi, Y.Q. A comprehensive review on the applications of coal fly ash. Earth-Sci. Rev. 2015, 141, 105–121. [Google Scholar] [CrossRef] [Green Version]
- Hirajima, T.; Petrus, H.T.B.M.; Oosako, Y.; Nonaka, M.; Sasaki, K.; Ando, T. Recovery of cenospheres from coal fly ash using a dry separation process: Separation estimation and potential application. Int. J. Min. Process. 2010, 95, 18–24. [Google Scholar] [CrossRef]
- Blissett, R.S.; Rowson, N.A. A review of the multi-component utilization of coal fly ash. Fuel 2012, 97, 1–23. [Google Scholar] [CrossRef]
- PCSO. Polish Central Statistical Office. Statistics Poland. Environment. 2021. Available online: https://stat.gov.pl/obszary-tematyczne/srodowisko-energia/srodowisko/ochrona-srodowiska-2020,1,21.html (accessed on 29 April 2022).
- Pandey, V.C.; Singh, J.S.; Singh, R.P.; Singh, N.; Yunus, M. Arsenic hazards in coal fly ash and its fate in Indian scenario. Resour. Conserv. Recycl. 2011, 55, 819–835. [Google Scholar] [CrossRef]
- Gruchot, A.; Szwalec, A.; Mundała, P. Chemical and geotechnical properties of ash-slag mixture from ‘Czajka’ landfill near Tarnow. Environ. Prot. Nat. Res. 2013, 24, 63–67. [Google Scholar]
- Bhattacharyya, S.; Donahoe, R.J.; Patel, D. Experimental study of chemical treatment of coal fly ash to reduce the mobility of priority trace elements. Fuel 2009, 88, 1173–1184. [Google Scholar] [CrossRef]
- Juwarkar, A.A.; Jambhulkar, H.P. Restoration of fly ash dump through biological interventions. Environ. Monit. Assess. 2008, 139, 355–365. [Google Scholar] [CrossRef] [PubMed]
- Haynes, R.J. Reclamation and revegetation of fly ash disposal sites–challenges and research needs. J. Environ. Manag. 2009, 90, 43–53. [Google Scholar] [CrossRef]
- Pandey, V.C.; Singh, N. Impact of fly ash incorporation in soil systems. Agric. Ecosyst. Environ. 2010, 136, 16–27. [Google Scholar] [CrossRef]
- Dyguś, K.H. The role of plants in experimental biological reclamation in a bed of furnace waste from coal-based energy. Ecol. Eng. 2015, 16, 8–22. [Google Scholar] [CrossRef]
- Técher, D.; Laval-Gilly, P.; Bennasroune, A.; Henry, S.; Martinez-Chois, C.; D’Innocenzo, M.; Falla, J. An appraisal of Miscanthus × giganteus cultivation for fly ash revegetation and soil restoration. Ind. Crop. Prod. 2012, 36, 427–433. [Google Scholar] [CrossRef]
- Hrynkiewicz, K.; Baum, C.; Niedojadło, J.; Dahm, H. Promotion of mycorrhiza formation and growth of willows by the bacterial strain Sphingomonas sp. 23 L on fly ash. Biol. Fert. Soils 2009, 45, 385–394. [Google Scholar] [CrossRef]
- Jambhulkar, H.P.; Juwarkar, A.A. Assessment of bioaccumulation of heavy metals by different plant species grow non fly ash dump. Ecotoxicol. Environ. Saf. 2009, 72, 1122–1128. [Google Scholar] [CrossRef] [PubMed]
- Maiti, S.K.; Jaiswal, S. Bioaccumulation and translocation of metals in the natural vegetation growing on fly ash lagoons: A field study from Santaldih thermal power plant, West Bengal, India. Environ. Monit. Assess. 2008, 136, 355–370. [Google Scholar] [CrossRef] [PubMed]
- Pandey, V.C. Invasive species based efficient green technology for phytoremediation of fly ash deposits. J. Geoch. Explor. 2012, 123, 13–18. [Google Scholar] [CrossRef]
- Woch, M.W.; Radwańska, M.; Stanek, M.; Łopata, B.; Stefanowicz, A.M. Relationships between waste physicochemical properties, microbial activity and vegetation at coal ash and sludge disposal sites. Sci. Total Environ. 2018, 642, 264–275. [Google Scholar] [CrossRef] [PubMed]
- Szwalec, A.; Mundała, P.; Kędzior, R. Cadmium, lead, zinc and copper content in herbaceous plants overgrowing furnace waste landfill. Environ. Prot. Nat. Res. 2013, 24, 33–37. [Google Scholar]
- Chakraborty, R.; Mukherjee, A. Mutagenicity and genotoxicity of coal fly ash water leachate. Ecotoxicol. Environ. Saf. 2008, 72, 838–842. [Google Scholar] [CrossRef] [PubMed]
- Gajić, G.; Djurdjević, L.; Kostić, O.; Jari, S.; Mitrović, M.; Pavlović, P. Ecological potential of plants for phytoremediation and ecorestoration of fly ash deposits and mine wastes. Front. Environ. Sci. 2018, 6, 124. [Google Scholar] [CrossRef] [Green Version]
- DoEP. Department of Environmental Protection of Skawina Power Plant, Characteristics of the Combustion Waste Landfill; DoEP: Warsaw, Poland, 2012; (Typescript In Polish, Not Published). [Google Scholar]
- Kędzior, R.; Szwalec, A.; Mundała, P.; Skalski, T. Ground beetle (Coleoptera, Carabidae) life history traits as indicators of habitat recovering process in postindustrial areas. Ecol. Eng. 2020, 142, 105615. [Google Scholar] [CrossRef]
- Ostrowska, A.; Gawliński, S.; Zczubiałka, Z. Methods of Analysis and Evaluation of Soil and Plant Properties. A Catalogue; Institute of Environmental Protection: Warsaw, Poland, 1991. (In Polish) [Google Scholar]
- Carter, M.R.; Gregorich, E.G. (Eds.) Soil Sampling and Methods of Analysis, 2nd ed.; Canadian Society of Soil Science: Pinawa, MB, Canada, 2021; Available online: https://www.niordc.ir/uploads%5C86_106_Binder1.pdf (accessed on 29 April 2022).
- Li, M.S.; Luo, Y.P.; Su, Z.Y. Heavy metal concentrations in soils and plant accumulation in a restored manganese mine land in Guangxi. South China. Environ. Pollut. 2007, 147, 168–175. [Google Scholar] [CrossRef]
- Marchiol, L.; Fellet, G.; Boscutti, F.; Montella, C.; Mozzi, R.; Guarino, C. Gentle remediation at the former ‘Pertusola Sud’ Zinc Smelter: Evaluation of native species for phytoremediation purposes. Ecol. Eng. 2013, 53, 343–353. [Google Scholar] [CrossRef]
- Nannoni, F.; Rossi, S.; Protano, G. Potentially toxic element contamination in soil and accumulation in maize plants in a smelter area in Kosovo. Environ. Sci. Pollut. Res. 2016, 23, 11937–11946. [Google Scholar] [CrossRef] [PubMed]
- Stanislawska-Glubiak, E.; Korzeniowska, J.; Kocn, A. Effect of peat on the accumulation and translocation of heavy metals by maize grown in contaminated soils. Environ. Sci. Pollut. Res. 2015, 22, 4706–4714. [Google Scholar] [CrossRef] [PubMed]
- Galal, T.M.; Shehata, H.S. Bioaccumulation and translocation of heavy metals by Plantago major L. grown in contaminated soils under the effect of traffic pollution. Ecol. Indic. 2015, 48, 244–251. [Google Scholar] [CrossRef]
- Boechat, C.L.; Pistóia, V.C.; Gianelo, C.; de Oliveira-Camargo, F.E. Accumulation and translocation of heavy metal by spontaneous plants growing on multi-metal-contaminated site in the Southeast of Rio Grande do Sul state. Brazil. Environ. Sci. Pollut. Res. 2016, 23, 2371–2380. [Google Scholar] [CrossRef] [PubMed]
- Alloway, B.J. Heavy Metals in Soil; Blackie and Son Ltd.: London, UK, 1990. [Google Scholar]
- Szwalec, A.; Lasota, A.; Kędzior, R.; Mundała, P. Variation in heavy metal content in plants growing on a zinc and lead tailings dump. Appl. Ecol. Environ. Res. 2018, 16, 5081–5094. [Google Scholar] [CrossRef]
- Lehmann, C.; Rebele, F. Assessing the potential cadmium phytoremediation with Calamagrostis epigejos: A pot experiment. Int. J. Phytorem. 2004, 6, 169–183. [Google Scholar] [CrossRef] [PubMed]
- Szöcs, E.; Schäfer, R.B. Ecotoxicology is not normal. A comparison of statistical approaches for analysis of count and proportion data in ecotoxicology. Environ. Sci. Pollut. Res. 2015, 22, 13990–13999. [Google Scholar] [CrossRef] [PubMed] [Green Version]
- Miguel, B.; Edell, A.; Edson, Y.; Edwin, P. A phytoremediation approach using Calamagrostis ligulata and Juncus imbricatus in Andean wetlands of Peru. Environ. Monit. Assess. 2013, 185, 323–334. [Google Scholar] [CrossRef] [PubMed]
- Dmuchowski, W.; Gozdowski, D.; Brągoszewska, P.; Baczewska, A.H.; Suwara, I. Phytoremediation of zinc contaminated soils using silver birch (Betula pendula Roth). Ecol. Eng. 2014, 71, 32–35. [Google Scholar] [CrossRef]
- Bielecka, A.; Królak, E. Selected features of Canadian goldenrod that predispose the plant to phytoremediation. Ecol. Eng. 2019, 20, 88–93. [Google Scholar] [CrossRef]
- Muthusaravanan, S.; Sivarajasekar, N.; Vivek, J.S.; Paramasivan, T.; Naushad, M.; Prakashmaran, J.; Gayathri, V.; Al-Duaij, O.K. Phytoremediation of heavy metals: Mechanisms, methods and enhancements. Environ. Chem. Lett. 2018, 16, 1339–1359. [Google Scholar] [CrossRef]
- Awa, S.H.; Hadibarata, T. Removal of heavy metals in contaminated soil by phytoremediation mechanism: A review. Water Air Soil Pollut. 2020, 231, 47. [Google Scholar] [CrossRef]
- Pandey, V.C.; Singh, K.; Singh, R.P.; Singh, B. Naturally growing Saccharum munja on the fly ash lagoons: A potential ecological engineer for the revegetation and stabilization. Ecol. Eng. 2012, 40, 95–99. [Google Scholar] [CrossRef]
- Pandey, V.C. Suitability of Ricinus communis L. cultivation for phytoremediation of fly ash disposal sites. Ecol. Eng. 2013, 57, 336–341. [Google Scholar] [CrossRef]
- Da Conceição Gomes, M.A.; Hauser-Davis, R.A.; de Souza, A.N.; Vitória, A.P. Metal phytoremediation: General strategies. genetically modified plants and applications in metal nanoparticle contamination. Ecotoxicol. Environ. Saf. 2016, 134, 133–147. [Google Scholar] [CrossRef]
- Sarwar, N.; Imran, M.; Shaheen, M.R.; Ishaque, W.; Kamran, M.A.; Matloob, A.; Rehim, A.; Hussain, S. Phytoremediation strategies for soils contaminated with heavy metals: Modifications and future perspectives. Chemosphere 2017, 171, 710–721. [Google Scholar] [CrossRef]
- Liu, L.; Li, W.; Song, W.; Guo, M. Remediation techniques for heavy metal-contaminated soils: Principles and applicability. Sci. Total Environ. 2018, 633, 206–219. [Google Scholar] [CrossRef] [PubMed]
- Maiti, S.K.; Nandhini, S. Bioavailability of metals in fly ash and their bioaccumulation in naturally occurring vegetation: A pilot scale study. Environ. Monit. Assess. 2006, 116, 263–273. [Google Scholar] [CrossRef] [PubMed]
- Desai, M.; Haigh, M.; Walkington, H. Phytoremediation: Metal decontamination of soils after the sequential forestation of former opencast coal land. Sci. Total Environ. 2019, 656, 670–680. [Google Scholar] [CrossRef] [PubMed]
- Sebastiani, L.; Scebba, F.; Tognetti, R. Heavy metal accumulation and growth responses in poplar clones Eridano (Populus deltoides × maximowiczii) and I-214 (P. × euramericana) exposed to industrial waste. Environ. Exp. Bot. 2004, 52, 79–88. [Google Scholar] [CrossRef]
- Hassinen, V.; Vallinkoski, V.M.; Issakainen, S.; Tervahauta, A.; Kärenlampi, S.; Servomaa, K. Correlation of foliar MT2b expression with Zn and Zn concentrations in hybrid aspen (Populus tremula × tremuloides) grown in contaminated soil. Environ. Pollut. 2009, 157, 922–930. [Google Scholar] [CrossRef]
- De Oliveira, V.H.; Tibbett, M. Tolerance, toxicity and transport of Cd and Zn in Populus trichocarpa. Environ. Exp. Bot. 2018, 155, 281–292. [Google Scholar] [CrossRef]
- Joshi, R.C. Fly ash-production, variability and possible complete utilization. In Proceedings of the Indian Geotechnical Conference—2010, GEOtrendz, Mumbai, India, 16–18 December 2010; pp. 103–111. Available online: https://gndec.ac.in/~igs/ldh/conf/2010/articles/v012.pdf (accessed on 29 April 2022).
- Armesto, L.; Merino, J.L. Characterization of some coal combustion solid residues. Fuel 1999, 78, 613–618. [Google Scholar] [CrossRef]
- Levandowski, J.; Kalkreuth, W. Chemical and petrographical characterization of feed coal, fly ash and bottom ash from the Figueira Power Plant, Paraná, Brazil. Int. J. Coal Geol. 2009, 77, 269–281. [Google Scholar] [CrossRef]
- Maiti, D.; Pandey, V.C. Metal remediation potential of naturally occurring plants growing on barren fly ash dumps. Environ. Geochem. Health 2021, 43, 1415–1426. [Google Scholar] [CrossRef]
- Pandey, V.C.; Sahu, N.; Singh, D.P. Physiological profiling of invasive plant species for ecological restoration of fly ash deposits. Urban For. Urban Green. 2020, 54, 126773. [Google Scholar] [CrossRef]
- Pandey, V.C. Assisted phytoremediation of fly ash dumps through naturally colonized plants. Ecol. Eng. 2015, 82, 1–5. [Google Scholar] [CrossRef]
- Malhotra, S.; Mishra, V.; Karmakar, S.; Sharma, R.S. Environmental predictors of indole acetic acid producing Rhizobacteria at fly ash dumps: Nature-based solution for sustainable restoration. Front. Environ. Sci. 2017, 5, 59. [Google Scholar] [CrossRef] [Green Version]
- Glick, B.R. Using soil bacteria to facilitate phytoremediation. Biotechnol. Adv. 2010, 28, 367–374. [Google Scholar] [CrossRef] [PubMed]
Publisher’s Note: MDPI stays neutral with regard to jurisdictional claims in published maps and institutional affiliations. |
© 2022 by the authors. Licensee MDPI, Basel, Switzerland. This article is an open access article distributed under the terms and conditions of the Creative Commons Attribution (CC BY) license (https://creativecommons.org/licenses/by/4.0/).



