Evaluation of the Predictive Performance of Regional and Global Ground Motion Predictive Equations for Shallow Active Regions in Pakistan
Abstract
:1. Introduction
2. Tectonic Settings
3. Materials and Method
3.1. Data Collection
3.2. Ground Motion Prediction Equation Evaluation Methods
3.3. Goodness of Fit Measure
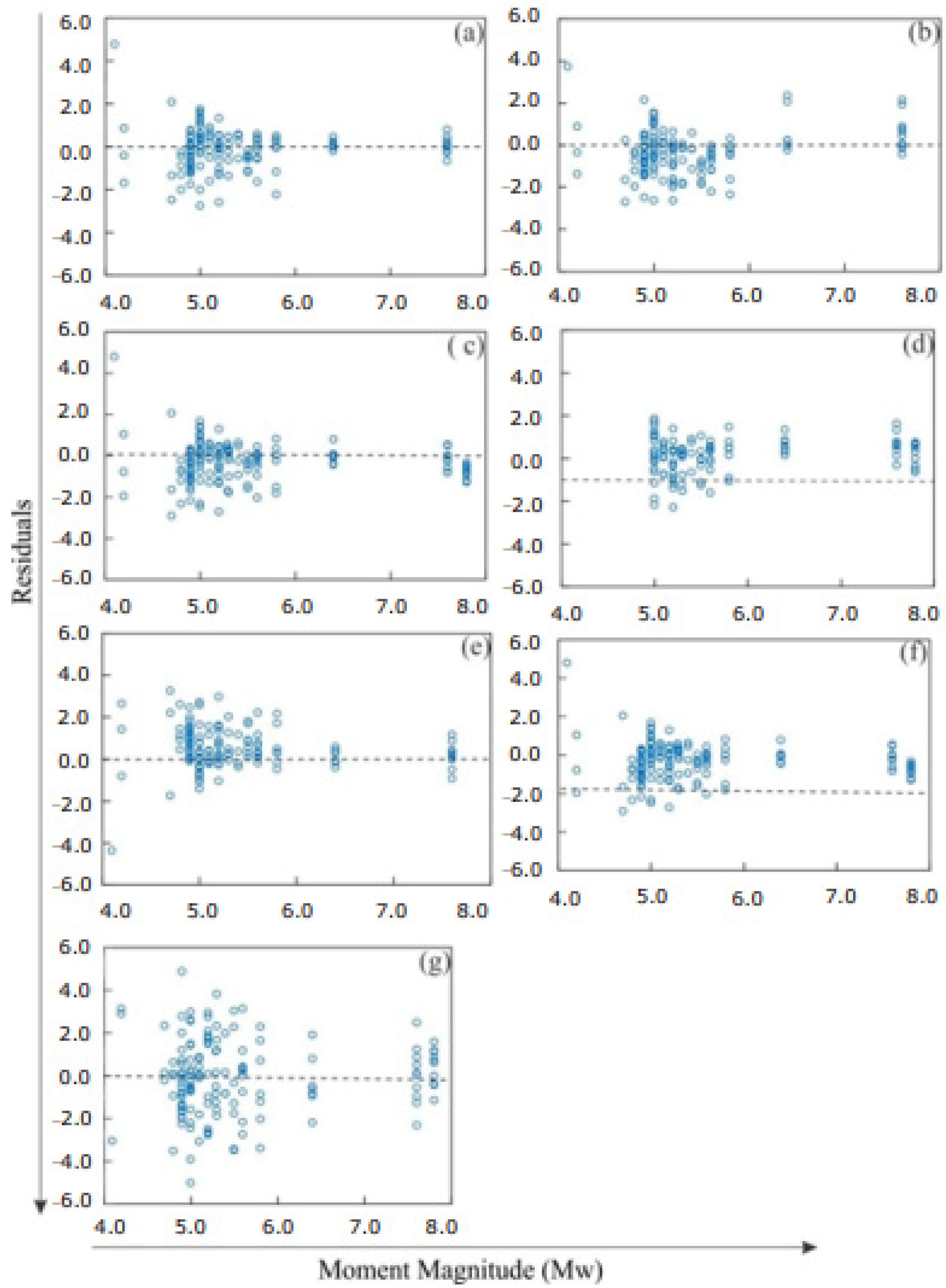
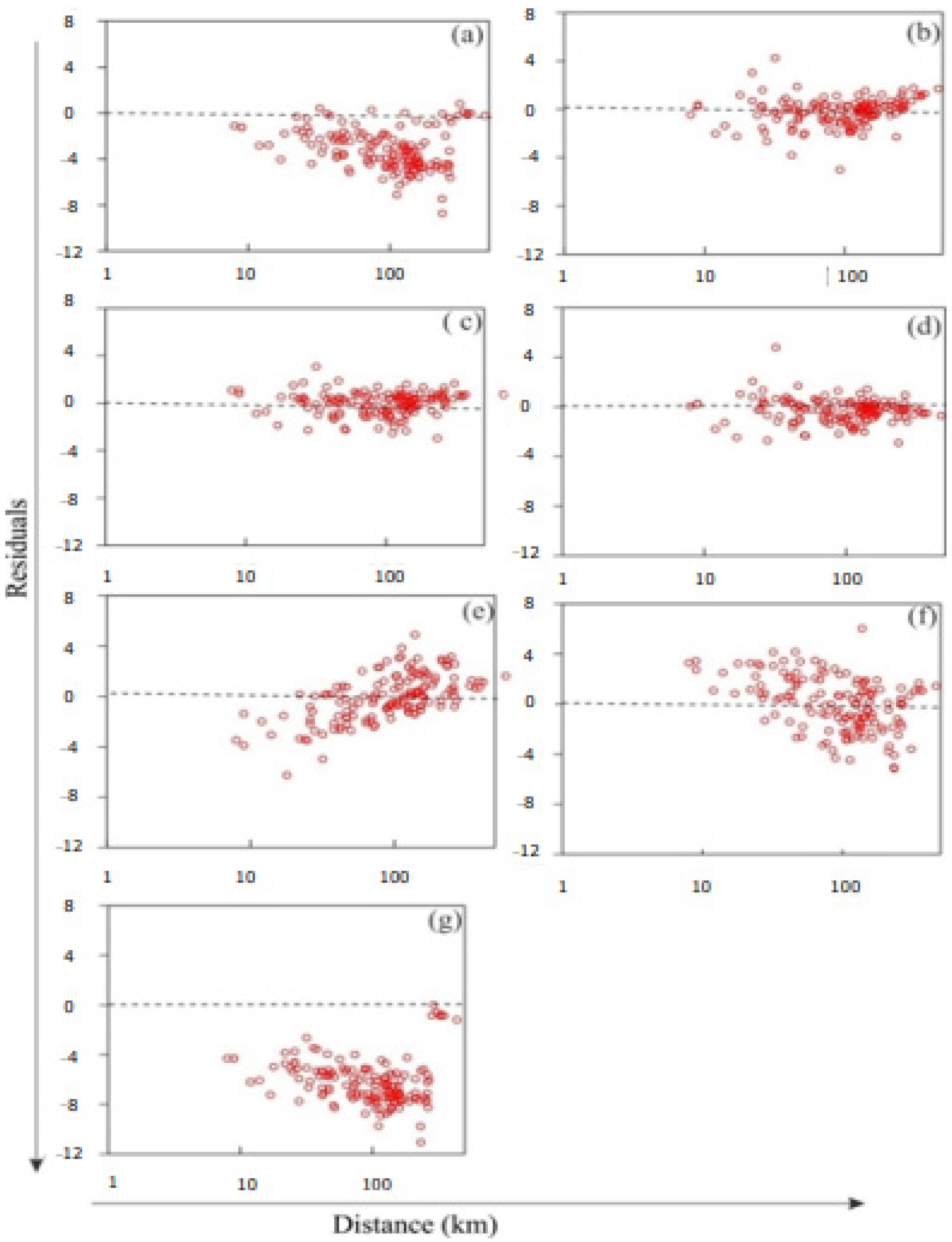
3.3.1. Residual Analysis
3.3.2. Likelihood (LH) Method
3.3.3. Log Likelihood (LLH) Method
3.3.4. Euclidean Distance-Based Ranking (EDR) Method
4. Results and Discussion
- GMPEs qualified in all LH, EDR and LHH methods (category I);
- GMPEs recommended by at least two methods (category II).
5. Conclusions
Author Contributions
Funding
Institutional Review Board Statement
Informed Consent Statement
Data Availability Statement
Conflicts of Interest
Appendix A
| S. No | Date | Mw | Repi (km) | Station Code | Vs30 (m/s) | Observed PGA (g) | Focal Mechanism Solution |
|---|---|---|---|---|---|---|---|
| 1 | 8 October 2005 | 7.6 | 36 | ABT | 360 | 0.226 | ![]() |
| 2 | 8 October 2005 | 7.6 | 57 | MUR | 760 | 0.076 | |
| 3 | 8 October 2005 | 7.6 | 90 | NIL | 760 | 0.029 | |
| 4 | 8 October 2005 | 7.6 | 118 | FAG | 560 | 0.052 | |
| 5 | 8 October 2005 | 7.6 | 185 | PWR | 310 | 0.053 | |
| 6 | 8 October 2005 | 7.6 | 246 | THW | 760 | 0.019 | |
| 7 | 8 October 2005 | 7.6 | 234 | Thamewali | 760 | 0.153 | |
| 8 | 8 October 2005 | 7.6 | 310 | Chashma | 760 | 0.020 | |
| 9 | 8 October 2005 | 7.6 | 74 | Tarbela Dam | 360 | 0.010 | |
| 10 | 8 October 2005 | 7.6 | 127 | Barotha | 310 | 0.013 | |
| 11 | 8 October 2005 | 6.4 | 38 | BAF | 310 | 0.007 | ![]() |
| 12 | 8 October 2005 | 6.4 | 95 | MUR | 760 | 0.010 | |
| 13 | 8 October 2005 | 6.4 | 124 | NIL | 760 | 0.005 | |
| 14 | 14 October 2005 | 6.4 | 138 | FAG | 560 | 0.067 | |
| 15 | 14 October 2005 | 6.4 | 164 | CHT | 900 | 0.015 | |
| 16 | 14 October 2005 | 6.4 | 176 | PWR | 310 | 0.004 | |
| 17 | 14 October 2005 | 6.4 | 262 | THW | 760 | 0.001 | |
| 18 | 14 October 2005 | 5.0 | 46 | BAF | 310 | 0.007 | ![]() |
| 19 | 14 October 2005 | 5.0 | 71 | ABT | 360 | 0.003 | |
| 20 | 14 October 2005 | 5.0 | 106 | MUR | 760 | 0.0014 | |
| 21 | 14 October 2005 | 5.0 | 132 | NIL | 760 | 0.000950 | ![]() |
| 22 | 14 October 2005 | 5.0 | 141 | FAG | 560 | 0.0021 | |
| 23 | 14 October 2005 | 5.0 | 158 | CHT | 900 | 0.0013 | |
| 24 | 14 October 2005 | 5.0 | 261 | THW | 760 | 0.0016 | |
| 25 | 17 October 2005 | 5.0 | 72 | ABT | 360 | 0.008 | |
| 26 | 17 October 2005 | 5.0 | 133 | NIL | 760 | 0.00198 | ![]() |
| 27 | 17 October 2005 | 5.0 | 144 | FAG | 560 | 0.00128 | |
| 28 | 17 October 2005 | 5.0 | 163 | CHT | 560 | 0.00156 | |
| 29 | 17 October 2005 | 5.0 | 265 | THW | 760 | 0.00046 | |
| 30 | 19 October 2005 | 5.6 | 64 | ABT | 360 | 0.02466 | ![]() |
| 31 | 19 October 2005 | 5.6 | 124 | NIL | 760 | 0.00208 | |
| 32 | 19 October 2005 | 5.6 | 130 | FAG | 560 | 0.00528 | |
| 33 | 19 October 2005 | 5.6 | 147 | CHT | 900 | 0.0046 | |
| 34 | 19 October 2005 | 5.6 | 250 | THW | 760 | 0.00148 | |
| 35 | 19 October 2005 | 5.1 | 62 | ABT | 360 | 0.01444 | ![]() |
| 36 | 19 October 2005 | 5.1 | 95 | MUR | 760 | 0.0059 | |
| 37 | 19 October 2005 | 5.1 | 131 | FAG | 560 | 0.00434 | |
| 38 | 23 October 2005 | 5.6 | 50 | BAF | 310 | 0.021 | ![]() |
| 39 | 23 October 2005 | 5.6 | 75 | ABT | 360 | 0.00728 | |
| 40 | 23 October 2005 | 5.6 | 135 | NIL | 760 | 0.00062 | |
| 41 | 23 October 2005 | 5.6 | 155 | CHT | 900 | 0.00228 | |
| 42 | 23 October 2005 | 5.6 | 259 | THW | 760 | 0.0012 | |
| 43 | 23 October 2005 | 5.6 | 47 | BAF | 310 | 0.0124 | |
| 44 | 23 October 2005 | 5.6 | 72 | ABT | 360 | 0.0034 | |
| 45 | 23 October 2005 | 5.6 | 106 | MUR | 760 | 0.00135 | |
| 46 | 23 October 2005 | 5.6 | 138 | FAG | 560 | 0.00124 | |
| 47 | 23 October 2005 | 5.6 | 151 | CHT | 900 | 0.00086 | |
| 48 | 24 October 2005 | 4.9 | 47 | BAF | 310 | 0.00336 | ![]() |
| 49 | 24 October 2005 | 4.9 | 72 | ABT | 360 | 0.00146 | |
| 50 | 24 October 2005 | 4.9 | 106 | MUR | 760 | 0.00056 | |
| 51 | 24 October 2005 | 4.9 | 140 | FAG | 560 | 0.00054 | |
| 52 | 24 October 2005 | 4.9 | 41 | BAF | 310 | 0.016 | |
| 53 | 24 October 2005 | 4.9 | 67 | ABT | 360 | 0.0041 | |
| 54 | 24 October 2005 | 4.9 | 100 | MUR | 760 | 0.00112 | |
| 55 | 24 October 2005 | 4.9 | 128 | NIL | 760 | 0.00034 | |
| 56 | 24 October 2005 | 4.9 | 137 | FAG | 560 | 0.00196 | |
| 57 | 24 October 2005 | 4.9 | 156 | CHT | 900 | 0.00152 | |
| 58 | 26 October 2005 | 4.9 | 64 | ABT | 360 | 0.0064 | ![]() |
| 59 | 26 October 2005 | 4.9 | 69 | BAF | 310 | 0.0019 | |
| 60 | 26 October 2005 | 4.9 | 89 | NIL | 760 | 0.0004 | |
| 61 | 26 October 2005 | 4.9 | 132 | FAG | 560 | 0.00126 | |
| 62 | 26 October 2005 | 4.9 | 191 | CHT | 900 | 0.00078 | |
| 63 | 26 October 2005 | 4.9 | 258 | THW | 760 | 0.00066 | |
| 64 | 28 October 2005 | 5.3 | 26 | BAF | 310 | 0.0523 | ![]() |
| 65 | 28 October 2005 | 5.3 | 52 | ABT | 360 | 0.0119 | |
| 66 | 28 December 2005 | 5.3 | 85 | MUR | 760 | 0.0024 | |
| 67 | 28 December 2005 | 5.3 | 113 | NIL | 760 | 0.0007 | |
| 68 | 28 December 2005 | 5.3 | 125 | FAG | 560 | 0.0041 | |
| 69 | 28 December 2005 | 5.3 | 151 | CHT | 900 | 0.00238 | |
| 70 | 25 December 2005 | 5.8 | 12 | BAL | 310 | 0.19 | ![]() |
| 71 | 25 December 2005 | 5.8 | 22 | BAF | 310 | 0.164 | |
| 72 | 25 December 2005 | 5.8 | 47 | ABT | 360 | 0.03 | |
| 73 | 25 December 2005 | 5.8 | 80 | MUR | 760 | 0.01 | |
| 74 | 25 December 2005 | 5.8 | 105 | ISL | 360 | 0.013 | |
| 75 | 25 December 2005 | 5.8 | 108 | NIL | 760 | 0.00194 | |
| 76 | 25 December 2005 | 5.8 | 123 | FAG | 560 | 0.00744 | |
| 77 | 28 December 2005 | 5.5 | 8 | BAL | 310 | 0.1182 | ![]() |
| 78 | 28 December 2005 | 5.5 | 24 | BAF | 310 | 0.0399 | |
| 79 | 28 December 2005 | 5.5 | 47 | ABT | 360 | 0.0149 | |
| 80 | 28 December 2005 | 5.5 | 77 | MUR | 760 | 0.002 | |
| 81 | 28 December 2005 | 5.5 | 106 | ISL | 360 | 0.0031 | |
| 82 | 28 December 2005 | 5.5 | 108 | NIL | 760 | 0.00122 | |
| 83 | 28 December 2005 | 5.5 | 126 | FAG | 560 | 0.0029 | |
| 84 | 4 January 2006 | 5.0 | 9 | BAF | 310 | 0.085 | Not available |
| 85 | 4 January 2006 | 5.0 | 17 | ABT | 360 | 0.0037 | |
| 86 | 4 January 2006 | 5.0 | 26 | BAL | 310 | 0.105 | |
| 87 | 4 January 2006 | 5.0 | 51 | MUR | 760 | 0.00104 | |
| 88 | 4 January 2006 | 5.0 | 93 | FAG | 560 | 0.0011 | |
| 89 | 4 January 2006 | 5.0 | 126 | CHT | 900 | 0.0062 | |
| 90 | 11 January 2006 | 5.2 | 28 | MUR | 760 | 0.002 | Not available |
| 91 | 11 January 2006 | 5.2 | 42 | ABT | 360 | 0.005 | |
| 92 | 11 January 2006 | 5.2 | 102 | FAG | 560 | 0.00174 | |
| 93 | 11 January 2006 | 5.2 | 164 | CHT | 900 | 0.00098 | |
| 94 | 11 January 2006 | 5.2 | 193 | PWR | 310 | 0.0014 | |
| 95 | 11 January 2006 | 5.2 | 227 | THW | 310 | 0.00094 | |
| 96 | 2 March 2006 | 4.8 | 25 | BAL | 310 | 0.0185 | Not available |
| 97 | 2 March 2006 | 4.8 | 28 | BAF | 310 | 0.01 | |
| 98 | 2 March 2006 | 4.8 | 33 | ABT | 360 | 0.0047 | |
| 99 | 2 March 2006 | 4.8 | 52 | MUR | 760 | 0.00076 | |
| 100 | 2 March 2006 | 4.8 | 161 | CHT | 900 | 0.00046 | |
| 101 | 19 March 2006 | 5.1 | 14 | BAL | 310 | 0.0135 | ![]() |
| 102 | 19 March 2006 | 5.1 | 44 | ABT | 360 | 0.00248 | |
| 103 | 19 March 2006 | 5.1 | 77 | MUR | 760 | 0.0126 | |
| 104 | 19 March 2006 | 5.1 | 146 | CHT | 900 | 0.00178 | |
| 105 | 19 March 2006 | 5.1 | 161 | PWR | 310 | 0.0018 | |
| 106 | 20 March 2006 | 5.4 | 60 | BAL | 310 | 0.025 | ![]() |
| 107 | 20 March 2006 | 5.4 | 83 | ABT | 360 | 0.01262 | |
| 108 | 20 March 2006 | 5.4 | 93 | MUR | 760 | 0.00262 | |
| 109 | 20 March 2006 | 5.4 | 211 | CHT | 900 | 0.00126 | |
| 110 | 3 May 2006 | 4.9 | 9 | BAF | 310 | 0.08 | Not available |
| 111 | 3 May 2006 | 4.9 | 34 | ABT | 360 | 0.008 | |
| 112 | 3 May 2006 | 4.9 | 70 | MUR | 760 | 0.0024 | |
| 113 | 3 May 2006 | 4.9 | 140 | CHT | 900 | 0.00048 | |
| 114 | 12 August 2007 | 5.0 | 40 | GHB | 310 | 0.012 | |
| 115 | 12 August 2007 | 5.0 | 32 | BAF | 310 | 0.014 | |
| 116 | 12 August 2007 | 5.0 | 146 | CHT | 900 | 0.0009 | |
| 117 | 6 February 2008 | 4.1 | 32 | GHB | 310 | 0.0191 | Not available |
| 118 | 3 June 2009 | 4.2 | 18 | BAF | 310 | 0.023 | Not available |
| 119 | 3 June 2009 | 4.2 | 112 | FAG | 560 | 0.0001 | |
| 120 | 3 June 2009 | 4.2 | 233 | THW | 760 | 0.00009 | |
| 121 | 13 July 2009 | 4.7 | 22 | BAF | 310 | 0.03 | Not available |
| 122 | 13 July 2009 | 4.7 | 116 | FAG | 560 | 0.00023 | |
| 123 | 13 July 2009 | 4.7 | 234 | THW | 760 | 0.00002 | |
| 124 | 10 October 2010 | 5.2 | 38 | FAG | 560 | 0.0207 | Not available |
| 125 | 10 October 2010 | 5.2 | 43 | NIL | 760 | 0.0033 | |
| 126 | 10 October 2010 | 5.2 | 88 | CET | 310 | 0.0183 | |
| 127 | 10 October 2010 | 5.2 | 93 | DHN | 310 | 0.0013 | |
| 128 | 10 October 2010 | 5.2 | 142 | PAL | 310 | 0.0036 | |
| 129 | 10 October 2010 | 5.2 | 160 | THW | 760 | 0.0011 | |
| 130 | 10 October 2010 | 5.2 | 171 | SAK | 310 | 0.0011 | |
| 131 | 10 October 2010 | 5.2 | 213 | CRB | 310 | 0.0018 | |
| 132 | 10 October 2010 | 5.2 | 216 | SAG | 310 | 0.0012 | |
| 133 | 24 September 2013 | 7.8 | 373 | Bampoor | 310 | 0.0121 | ![]() |
| 134 | 24 September 2013 | 7.8 | 352 | Chabahar | 310 | 0.0093 | |
| 135 | 24 September 2013 | 7.8 | 270 | Gosht | 310 | 0.0075 | |
| 136 | 24 September 2013 | 7.8 | 327 | Qasr-e-Qand | 310 | 0.0114 | |
| 137 | 24 September 2013 | 7.8 | 301 | Negoor | 310 | 0.0178 | |
| 138 | 24 September 2013 | 7.8 | 262 | Rask | 310 | 0.0117 | |
| 139 | 24 September 2013 | 7.8 | 212 | Saravan | 310 | 0.0131 | |
| 140 | 24 September 2013 | 7.8 | 466 | Zar Abad | 310 | 0.0081 | |
| 141 | 24 September 2013 | 7.8 | 351 | Iran Shahr | 310 | 0.0158 | |
| 142 | 24 September 2013 | 7.8 | 153 | Sirkan | 310 | 0.0127 | |
| 143 | 9 May 2018 | 5.29 | 108.8 | NCEG | 310 | 0.0121 | Not available |
| 144 | 9 May 2018 | 5.29 | 42 | NCEG | 310 | 0.0093 | |
| 145 | 9 May 2018 | 5.29 | 27 | NCEG | 310 | 0.0075 | |
| 146 | 9 May 2018 | 5.29 | 26 | NCEG | 310 | 0.0114 | |
| 147 | 9 May 2018 | 5.29 | 42 | NCEG | 310 | 0.0178 |
References
- Sabetta, F.; Waseem, M.; Khan, N.A.; Lodi, S.H.; Rafi, M.M.; Asif, M.A.; Briseghella, B.; Nuti, C. A proposal for a new formulation of the Pakistan seismic design action. In Proceedings of the 1st South Asia Conference on Earthquake Engineering (SACEE’19), Karachi, Pakistan, 21–22 February 2019. Paper No. 51. [Google Scholar]
- Joyner, W.B.; Boore, D.M. Peak horizontal acceleration and velocity from strong motion records including records from the 1979 Imperial Valley California Earthquake. Bull. Seismol. Soc. Am. 1981, 71, 2011–2038. [Google Scholar] [CrossRef]
- Joyner, W.B.; Boore, D.M. Methods of regression analysis of strong motion data. Bull. Seismol. Soc. Am. 1993, 83, 469–487. [Google Scholar] [CrossRef]
- Shah, M.A.; Iqbal, T.; Qaiser, M.; Ahmed, N.; Tufail, M. Development of Attenuation for North Pakistan. In Proceedings of the 15th World Earthquake Conference on Earthquake Engineering (15WCEE), Lisbon, Portugal, 24–28 September 2012. [Google Scholar]
- Scherbaum, F.; Cotton, F.; Smit, P. On the use of response spectral reference data for the selection and ranking of ground-motion models for seismic hazard analysis in regions of moderate seismicity: The case of rock motion. Bull. Seismol. Soc. Am. 2004, 94, 1–22. [Google Scholar] [CrossRef]
- Scherbaum, F.; Delavaud, E.; Riggelsen, C. Model selection in seismic hazard analysis: An information-theoretic perspective. Bull. Seismol. Soc. Am. 2009, 99, 234–3247. [Google Scholar] [CrossRef]
- Danciu, L.; Kale, Ö.; Akkar, S. The 2014 earthquake model of middle east: Ground motion model and uncertainties. Bull. Earthq. Eng. 2018, 16, 3497–3533. [Google Scholar] [CrossRef]
- Kale, O.; Akkar, S. A novel procedure for selecting and ranking candidate ground motion prediction equations for seismic hazard analysis: Euclidean distance based ranking (EDR) method. Bull. Seismol. Soc. Am. 2013, 103, 1069–1084. [Google Scholar] [CrossRef]
- Zafarani, H.; Farhadi, A. Testing ground motion prediction equations for small to moderate earthquakes magnitude data in Iran. Bull. Seismol. Soc. Am. 2007, 107, 912. [Google Scholar] [CrossRef]
- Anbazhagan, P.; Sreenivas, M.; Ketan, B.; Moustafa, S.S.R.; Al-Arifi, N.S.N. Selection of Ground Motion Prediction Equations for Seismic Hazard Analysis of Peninsular India. J. Earth Eng. 2015, 20, 699–737. [Google Scholar] [CrossRef]
- Giardini, D.; Danciu, L.; Erdik, M.; Şeşetyan, K.; Tümsa, M.B.D.; Akkar, S.; Gülen, L.; Zare, M. Seismic hazard map of the Middle East. Bull. Earthq. Eng. 2018, 16, 3567–3570. [Google Scholar] [CrossRef]
- Farahani, S.; Behnam, B.; Tahershamsi, A. Macrozonation of seismic transient and permanent ground deformation of Iran. Nat. Hazards Earth Syst. Sci. 2020, 20, 2889–2903. [Google Scholar] [CrossRef]
- Allen, M.; Jackson, J.; Walker, R. Late Cenozoic reorganization of the Arabia-Eurasia collision and the comparison of short-term and long-term deformation rates. Tectonics 2004, 23, 1–16. [Google Scholar] [CrossRef] [Green Version]
- Kazmi, A.H.; Jan, M.Q. Geology and Tectonics of Pakistan; Graphic Publishers: Karachi, Pakistan, 1997. [Google Scholar]
- Douglas, J.; Boore, D.M. Peak ground accelerations from large (M ≥ 7.2) shallow crustal earthquakes: A comparison with predictions from eight recent ground-motion models. Bull. Earthq. Eng. 2018, 16, 1–21. [Google Scholar] [CrossRef] [Green Version]
- Allen, T.I.; Wald, D.J. Topographic Slope as a Proxy for Global Seismic Site Conditions (VS 30) and Amplification around the Globe; U.S. Geological Survey Open-File Report 2007-1357; USGS: Reston, VA, USA, 2007; 69p.
- Boore, D.M.; Stewart, J.P.; Seyhan, E.; Atkinson, G.M. NGA West 2 equations for predicting PGA, PGV, and 5% damped PSA for shallow crustal earthquakes. Earthq. Spectra 2014, 30, 1057–1085. [Google Scholar] [CrossRef] [Green Version]
- Idriss, I.M. An NGA-West 2 empirical model for estimating the horizontal spectral values 724 generated by shallow crustal earthquakes. Earthq. Spectra 2014, 30, 1155–1177. [Google Scholar] [CrossRef]
- Campbell, K.W.; Bozorgnia, Y. NGA-West2 ground motion model for the average horizontal components of PGA, PGV, and 5%-damped linear acceleration response spectra. Earthq. Spectra 2014, 30, 1087–1115. [Google Scholar] [CrossRef]
- Chiou, B.; Youngs, R.R. Update of the Chiou and Youngs NGA model for the average horizontal component of peak ground motion and response spectra. Earthq. Spectra 2014, 30, 1117–1153. [Google Scholar] [CrossRef]
- Akkar, S.; Sandıkkaya, M.A.; Bommer, J.J. Empirical ground motion models for point-and extended-source crustal earthquake scenarios in Europe and the Middle East. Bull. Earthq. Eng. 2014, 12, 359–387. [Google Scholar] [CrossRef] [Green Version]
- Akkar, S.; Bommer, J.J. Empirical equation for prediction of PGA, PGV and Spectral Acceleration in Europe, the Mediterranean region and the Middle East. Seismol. Res. Lett. 2010, 81, 173–215. [Google Scholar] [CrossRef] [Green Version]
- Bindi, D.; Massa, M.; Luzi, L.; Ameri, G.; Pacor, F.; Puglia, R.; Augliera, P. Pan-European ground-motion prediction equations for the average horizontal component of PGA, PGV, and 5%-damped PSA at spectral periods up to 3.0 s using the RESORCE dataset. Bull. Earthq. Eng. 2014, 12, 391–430. [Google Scholar] [CrossRef] [Green Version]
- Zafarani, H.; Luzi, L.; Lanzano, G.; Soghart, M.R. Empirical equations for the prediction of PGA and pseudo spectral accelerations using Iranian strong-motion data. J. Seismol. 2018, 22, 263–285. [Google Scholar] [CrossRef]
- Graizer, V.; Kalkan, E.O. Update of the Graizer-Kalkan Ground Motion Prediction Equations for Shallow Crustal Continental Earthquakes; U.S. Geological Survey Open-File Report; USGS: Reston, VA, USA, 2015; 79p. [CrossRef]
- Raghukanth, S.T.G.; Kavitha, B. Ground Motion Relations for Active Regions in India. Pure App. Geop. 2014, 171, 2241–2275. [Google Scholar] [CrossRef]
- Cauzzi, C.; Faccioli, E.; Vanini, M.; Bianchini, A. Updated predictive equations for broadband (0.01–10 s) horizontal response spectra and peak ground motions, based on a global dataset of digital acceleration records. Bull. Earthq. Eng. 2015, 13, 1587–1612. [Google Scholar] [CrossRef]
- Kanno, T. A New Attenuation Relation for Strong Ground Motion in Japan Based on Recorded Data. Bull. Seism. Soc. Am. 2006, 96, 879–897. [Google Scholar] [CrossRef]
- Scasserra, G.; Stewart, J.P.; Bazzurro, P.; Lanzo, G.; Mollaioli, F. A comparison of NGA ground-motion prediction equations to Italian data. Bull. Seismol. Soc. Am. 2009, 99, 2961–2978. [Google Scholar] [CrossRef] [Green Version]





| S. No | GMPEs | Distance Metrics | Target Regions | Magnitude Range | Distance Range (km) |
|---|---|---|---|---|---|
| 1 | Boore et al. [17] (BA14) | RJB | Worldwide | 3.0–7.9 | 0–400 |
| 2 | Idriss et al. [18] (ID14) | Rrup | Worldwide | 5.0–8.0 | 0–150 |
| 3 | Campbell and Bozorgnia [19] (CB14) | Rrup | Worldwide | 3.3–8.5 | 0–300 |
| 4 | Chiou and Youngs [20] (CY14) | Rrup | Worldwide | 3.5–8.5 | 0–300 |
| 5 | Akkar et al. [21] (AK14) | Repi, RJB, Rhyp | Europe and Middle East | 4.0–7.6 | 0–200 |
| 6 | Akkar and Bommer [22] (AB10) | RJB | Europe and Middle East | 5.0–7.6 | 0–100 |
| 7 | Bindi et al. [23] (BI14) | Repi, RJB, Rhyp | Europe and Middle East | 4.0–7.6 | <300 |
| 8 | Zafarani et al. [24] (ZF18) | Repi/RJB | Iran | 4.0–7.3 | <200 |
| 9 | Graizer and Kalkan [25] (GK15) | Rrup | Worldwide | 5.0–8.0 | 0–250 |
| 10 | Raghukanth and Kavitha [26] (RK14) | Rhyp | India | 3.4–7.8 | <300 |
| 11 | Cauzzi et al. [27] (CZ15) | Rrup | Worldwide | 4.6–7.9 | <150 |
| 12 | Shah et al. [4] (SH12) | Repi | Northern Pakistan | 4.1–7.6 | 9–265 |
| 13 | Kanno et al. [28] (KAN06) | Rrup | Japan | 5.2–8.2 | 0–300 |
| S. No | GMPEs | MEDLH | MEDNNR | MEANNR | STDNR | Grade |
|---|---|---|---|---|---|---|
| 1 | AK14 | 0.76 | 0.01 | 0.06 | 0.61 | A |
| 2 | AB10 | 0.06 | 0.27 | 0.12 | 2.95 | D |
| 3 | BA14 | 0.34 | 0.4 | 0.39 | 1.55 | D |
| 4 | BI14 | 0.13 | 1.45 | 1.56 | 1.29 | D |
| 5 | CY14 | 0.05 | 0.05 | 0.09 | 2.77 | D |
| 6 | CB14 | 0.41 | 0.11 | 0.30 | 1.50 | D |
| 7 | CZ15 | 0.57 | 0.33 | 0.51 | 1.21 | B |
| 8 | GK15 | 0.55 | 0.38 | 0.54 | 0.71 | C |
| 9 | ID14 | 0.36 | 0.32 | 0.59 | 1.41 | C |
| 10 | KAN06 | 0.16 | 0.02 | 0.14 | 2.10 | D |
| 11 | RV14 | 0.56 | 0.38 | 0.56 | 1.08 | C |
| 12 | SH12 | 0.74 | 0.04 | 0.10 | 0.64 | A |
| 13 | ZF18 | 0.11 | 1.18 | 1.30 | 1.70 | D |
| S. No | GMPEs | LHH | Ranking |
|---|---|---|---|
| 1 | CZ15 | 1.42 | I |
| 2 | AK14 | 1.63 | II |
| 3 | CB14 | 1.67 | III |
| 4 | SH12 | 1.68 | IV |
| 5 | ID14 | 1.78 | V |
| 6 | BA14 | 1.88 | VI |
| 7 | GK15 | 2.59 | VII |
| 8 | RK14 | 4.05 | VIII |
| 9 | CY14 | 4.39 | IX |
| 10 | AB10 | 4.79 | X |
| 11 | BI14 | 10.96 | XI |
| 12 | KAN06 | 13.19 | XII |
| 13 | ZF18 | 14.56 | XIII |
| S. No | GMPEs | EDR | Ranking |
|---|---|---|---|
| 1 | AK14 | 0.75 | II |
| 2 | AB10 | 0.96 | IV |
| 3 | CZ15 | 0.57 | I |
| 4 | KAN06 | 0.94 | III |
| 5 | BI14 | 0.95 | V |
| 6 | CB14 | 1.12 | VI |
| 7 | GK15 | 1.12 | VII |
| 8 | ZF18 | 1.23 | VIII |
| 9 | BA14 | 1.31 | IX |
| 10 | ID14 | 1.34 | X |
| 11 | RK14 | 1.35 | XI |
| 12 | SH12 | 1.77 | XII |
| 13 | CY14 | 2.25 | XIII |
| S. No | GMPEs | EDR | LHH | LH (Grade) | Remarks |
|---|---|---|---|---|---|
| 1 | AK14 | II | II | A | Category I |
| 2 | AB10 | IV | X | D | |
| 3 | BA14 | IX | VI | D | |
| 4 | BI14 | V | X | D | |
| 5 | CY14 | XII | IX | D | |
| 6 | CB14 | VI | III | D | Category II |
| 7 | CZ15 | I | Is | B | Category I |
| 8 | GK15 | VII | VII | C | |
| 9 | ID14 | X | V | C | Category II |
| 10 | KAN06 | III | XII | D | |
| 11 | RK14 | XI | VIII | D | |
| 12 | SH12 | XII | IV | A | |
| 13 | ZF18 | VIII | XIII | D |
Publisher’s Note: MDPI stays neutral with regard to jurisdictional claims in published maps and institutional affiliations. |
© 2022 by the authors. Licensee MDPI, Basel, Switzerland. This article is an open access article distributed under the terms and conditions of the Creative Commons Attribution (CC BY) license (https://creativecommons.org/licenses/by/4.0/).
Share and Cite
Waseem, M.; Rehman, Z.U.; Sabetta, F.; Ahmad, I.; Ahmad, M.; Sabri, M.M.S. Evaluation of the Predictive Performance of Regional and Global Ground Motion Predictive Equations for Shallow Active Regions in Pakistan. Sustainability 2022, 14, 8152. https://doi.org/10.3390/su14138152
Waseem M, Rehman ZU, Sabetta F, Ahmad I, Ahmad M, Sabri MMS. Evaluation of the Predictive Performance of Regional and Global Ground Motion Predictive Equations for Shallow Active Regions in Pakistan. Sustainability. 2022; 14(13):8152. https://doi.org/10.3390/su14138152
Chicago/Turabian StyleWaseem, Muhammad, Zia Ur Rehman, Fabio Sabetta, Irshad Ahmad, Mahmood Ahmad, and Mohanad Muayad Sabri Sabri. 2022. "Evaluation of the Predictive Performance of Regional and Global Ground Motion Predictive Equations for Shallow Active Regions in Pakistan" Sustainability 14, no. 13: 8152. https://doi.org/10.3390/su14138152
APA StyleWaseem, M., Rehman, Z. U., Sabetta, F., Ahmad, I., Ahmad, M., & Sabri, M. M. S. (2022). Evaluation of the Predictive Performance of Regional and Global Ground Motion Predictive Equations for Shallow Active Regions in Pakistan. Sustainability, 14(13), 8152. https://doi.org/10.3390/su14138152

















