Abstract
The nature-based solutions (NBS) concept is an umbrella term that connects and organizes previous concepts from the ’green-concept family’. Therefore, interventions similar to NBS were used for a long time before this term was first introduced. Such pre-existing actions, to be considered as NBS, must meet the Global Standards formulated by the Union for Conservation of Nature Global Standards. One of these standards refers to the challenge-orientation of NBS. The aim of this study was to propose objective criteria that enable the assessment of the challenge-orientation of such interventions. To this end, a set of criteria referring to the seven societal challenges was presented. A Lublin city (Poland) case study was applied in relation to 24 types of interventions. The results showed that all of the analysed pre-existing actions met at least two of the challenges. The actions with the greatest challenge-orientation potential continuity for ecological networks are: protecting surface wetlands, public parks, allotment gardens, restoring waterbodies and maintaining floodplains, and the lowest potential are: creating nesting boxes for bats and insect hotels, installing apiaries and below-ground rainwater collection systems. The analysed interventions responded, to a greater extent, to challenges such as to human health, climate change adaptation and mitigation and ecosystem degradation/biodiversity loss, and, to the least extent, to food security and socioeconomic development Moreover, the study revealed that the scale of the pre-existing intervention type is too general to draw conclusions regarding its challenge-orientation: each piece of the intervention should be assessed separately in relation to the conditions in the local context.
1. Introduction
Nature-based solutions (NBS) should be understood as solutions that are inspired and/or supported by nature and cost-effective while providing environmental, social and economic benefits [1]. Such solutions introduce natural values, components, features and processes into cities and landscapes by adapting the implemented solutions to local conditions [2]. This concept represents the synthesis of several well-established ideas related to the global pursuit of sustainability. It is an umbrella term that connects and organizes previous concepts from the ’green-concept family’, such as ecological engineering, ecosystem-based adaptation, natural capital, green and blue infrastructure and ecosystem services [3]. NBS enable people to reconnect with nature through greening and ‘blueing’ strategies for the environment and society. NBS can be applied in relation to outstanding areas (e.g., conservation actions), the everyday landscape (e.g., implementation of green and blue infrastructure) and degraded areas (e.g., renaturalisation techniques), providing policymakers useful tools to resolve a set of problems [4]. Therefore, NBS have recently become a key instrument for reaching almost all of the Sustainable Development Goals (SDG) and managing a diverse set of societal challenges [5]. Therefore, it is not surprising that over the last seven years (since the first definition of NBS was published by the European Commission in 2015 [1]), urban wetlands, urban forests, parks, gardens, green roofs and façades and many other forms of nature have found their way into mainstream urban planning and policymaking [6].
In fact, actions similar to NBS have been used for a long time, before this term was introduced for the first time in 2008 [1,2]. Examples of conservation actions taken to restore degraded natural areas include the application of green and blue infrastructure (GBI) in cities and the addition of permeable surfaces and ponds [7]. Of course, not all of the pre-existing interventions from the ‘green-concept family’ can be automatically framed as NBS. The actions with the greatest chance of becoming NBS include conservation, restoration and sustainable use components [8]. To do so, these actions must meet the Global Standards for NBS forlulated by Union for Conservation of Nature [2], which are as follows: (1) NBS effectively address societal challenges; (2) the design of NBS is informed by scale; (3) NBS result in a net gain in biodiversity and ecosystem integrity; (4) NBS are economically viable; (5) NBS are based on inclusive and transparent governance processes; (6) NBS equitably balance trade-offs; (7) NBS are managed adaptively; and (8) NBS support sustainable development. The self-assessment sheet proposed by the Global Standards enables, among other things, the assessment of whether pre-existing green interventions can be framed as NBS. If the criteria are met in more than 75% of the aspects, pre-existing green interventions adhere to the IUCN Global Standard for NBS and can be called as strong NBS candidates [2].
Challenge-orientation is one of the main pillars of NBS and enables the presentation of these actions to policy planners and decision-makers as win–win or mutually beneficial solutions that simultaneously provide different benefits [9]. Challenge-orientation refers to the contributions of NBS to alleviating well-defined environmental, societal and economic challenges [10]. For any intervention to be considered an NBS, in relation to both brand new and pre-existing concepts, it is necessary to address, in an integrated manner, at least one of the seven societal challenges defined by the IUCN [2], which directly affect a specific group of people or indirectly impact society as a whole. They are also relevant to the Sustainable Development Goals (SDG) [11]. The Global Standards for NBS also emphasise that to differentiate NBS from pure conservation measures, an intervention that addresses the ecosystem degradation challenge must also address at least one other challenge. For example, renaturalisation actions should, besides improving the ecological state of water ecosystems, include an additional challenge, such as flood protection or the creation of a green area, thus enabling outdoor activities that support human health. Despite being somewhat formal, the challenges listed by the IUCN [2] have been modified or detailed by other authors. For example, Dumitru and Wendling [12] listed the following among societal challenges that are oriented towards people: place regeneration, knowledge and social capacity buildings; participatory planning and governance; social justice and cohesion; and wealth and wellbeing. Next to these, there are planet-oriented challenges such as climate resilience, water management, green space management, biodiversity and air quality, as well as prosperity-oriented ones, including natural and climate hazards, new economic opportunities and green jobs. Somarakis and Stagakis [5] also listed coastal resilience as a separate challenge area.
As pre-existing interventions can also be framed as NBS, under the IUCN Global Standards, the question of how the challenge-orientation of these ‘historical’ solutions can be determined to rise. On the one hand, conservation and management interventions that were not explicitly designed or managed to deliver societal benefits may directly or indirectly generate ancillary societal benefits and, thus, resolve a set of societal challenges [2]. On the other hand, the challenge-orientation of NBS means that they are directed at providing solutions to problem(s) detected a priori, meaning that challenges to be tackled should be detected before an action is taken and constitute the main reason behind the implementation of an NBS [13]. Therefore, post-implementation goal(s) should be treated as criteria that exclude a given solution from the NBS set [4]. A helpful tool for assessing the challenge-orientation criterion of NBS is the NBS handbook ‘Think Nature’ [5]. It presents a matrix showing the relevance of the set of different types of NBS in relation to the set of societal challenges. However, taking into account the general nature of the matrix, a lack of consideration for local differences among NBS interventions and the absence of specific assessment criteria, it should constitute a starting point for the determination of the challenge-orientation of a given solution type. The most effective way to accomplish this is to use a set of qualitative and quantitative indicators that objectively reflect different environmental, social, political and economic characteristics [8]. Such an approach, among other things, is presented in the ‘Handbook for Practitioners’ published by the European Commission [12], which includes a dozen indicators that help to assess the relevance of existing and planned NBS solutions to the set of societal challenges. A study conducted by Pirro et al. [14] adopted a different approach: The authors identified and differentiated NBS according to their capacity to provide ES and their ability to address selected challenges by adopting the performance assessment and ranging approaches. On the other hand, Croeser et al. [15] adopted the Ecosystem Services Provision and Institutional Capability criteria to determine the suitability of NBS to respond to urban challenges.
The present study aims to assess the challenge-orientation of one particular NBS type: pre-existing interventions existed at the area of Lublin city (Poland). This statement is based on the results of a Scopus database search conducted by the authors (search criteria: pre-existing AND nature-based solution in ALL Fields, June 2022) which showed that there are only 23 papers referring to those two keywords, or 6 papers if the search is limited to title, keywords and abstract. None of these papers, however, explore the challenge-orientation assessment of pre-existing solutions, and none of them refer to Polish case studies. Therefore, the search results showed that the topic discussed in the paper is not only novel and relevant to Polish conditions, but also that there is a lack of similar studies worldwide. Of course, there are studies referring to Polish urban parks, allotment gardens, urban waters, etc. in the context of considering them as NBS. Therefore, a second Scopus search (search criteria: Poland OR Polish AND nature-based solution in ALL Fields, June 2022) was performed. Despite the fact that the search results showed 224 papers, including only 2 referring to the city of Lublin [5,16], they usually referred to elements of GBI as being NBS from the definition, without taking into consideration the fact that, to be framed as an NBS, a given pre-existing intervention should meet the IUCN global criteria for NBS [2], including challenge-orientation. Such research, however, is required to contribute to future NBS implementation in Lublin and other cities facing current sustainability challenges. To achieve the goal of the paper, a set of objective criteria referring to the seven societal challenges formulated by the IUCN [2] is presented. As many of the challenge-orientation indicators proposed in previous studies are difficult to calculate due to the lack of data, the need for long-term assessment and high estimation costs [4]; the adopted approach is based on the use of objective criteria that are simple to assess. They are based on open spatial data, local documents and fieldwork. The case study on Lublin city (Poland) was applied in relation to 24 types of pre-existing NBS interventions. This city was selected as it has no solutions officially termed NBS—there are only strong NBS candidates based on pre-existing concepts [16].
2. Materials and Methods
2.1. Study Area Description
The city of Lublin is located in eastern Poland and is the centre of the Lubelskie Voivodeship, with important administrative, economic and cultural functions. The city is located in the Lublin Upland of the Bystrzyca River Valley. The Valley divides the city into two parts with different landscape features (Figure 1). The left bank is characterized by varied terrain relief. There are deep valleys and old loess ravines. The right bank is flatter and less varied in terms of relief. The ecosystem of the Bystrzyca Valley has been recognized as a key ecological corridor (on the regional scale). The fragments of river valleys located within the administrative borders of the city are situated in protected landscape areas (OCKs): the Czerniejowski OCK and the Ciemięga Valley OCK. On the local scale, the network of protected areas in the city and its nearby surroundings are complemented by larger forest complexes, including the ‘Stasin’ nature reserve [17]. The structure of green and blue city infrastructure is completed by urban parks and squares, allotment gardens, a green transport track and patches of trees of protective and/or recreational function [16].
Figure 1.
Localization of the study area and the main landcover forms of Lublin city.
In Lublin, there is a strong emphasis on the revitalization and development of green areas. Former projects include, but are not limited to, the modernisation and revalorisation of the historical Saxon Garden, the creation of the urban John Paul II Park, pro-ecological square development, and ongoing projects aiming, among other things, to introduce flower meadows and rain gardens. The works and efforts carried out by municipal services have been recognized by external institutions by being awarded several times with the titles ‘Environmentally Friendly Municipality’ and ‘Environmentally Friendly Local Government’ [18]. Lublin also received first place in the 2021 Forbes Green Cities Ranking. It was recognised for its financial contributions and involvement in the creation of green spaces for residents as well as its general activities for the benefit of the green city (Figure 1).
Despite the effort that the Lublin Municipality put into the management and development of GBI, previous studies show that different types of NBS based on the elements of GBI contribute in varied ways to sustainable development, including both ecological [16] and socioeconomic aspects [7]. Furthermore, these elements may be regarded as a kind of unsophisticated NBS, the effectiveness of which is limited. These solutions may be created as independent structures, or (historical) green/blue infrastructure may be enlarged, fitted out, linked, and improved to implement NBS projects [7]. Therefore, to fully exploit the potential of these structures, it is necessary to, first of all assess, their challenge-orientation in relation to challenges that are crucial to Lublin’s development, and, secondly, to detect which aspects of pre-existing interventions (social, ecological, economic, management, etc.) require changes or co-financing. For Lublin’s development towards a ‘green city vision’, the same level of importance should be placed on resolving both challenges referring to the socio-economic development, such as human health and neighbourhood security, as well as to ecological challenges, such as biodiversity loss and disaster risk reduction.
2.2. Mapping of Pre-Existing Interventions
The typology of pre-existing interventions (level of NBS types) was based on the division proposed by Eggermont et al. [19], which includes the level of human intervention in ecosystems and landscapes. For the purpose of this study, the typology was modified by extracting a fourth NBS type, which includes water-based interventions comprising both natural and seminatural hydrological systems (Table 1, Types 1–4). The NBS subtypes (Table 1, Columns A and B) were based on the list of potential NBS types proposed by Dumitru and Wendling [12] (pages 123–125). From that list, the subtypes that are not present in the study area due to natural conditions (e.g., mangroves, dune structures), land functions (e.g., control of erosion through the management of grazing animals) and management tactics and techniques (e.g., integrated pest/weed management, bioretention basins) were removed. The list was enriched by the pre-existing intervention types that are typical of Polish conditions (e.g., conservation zones around water intake stations and around bird breeding sites, allotment gardens). The final list of pre-existing interventions was checked on the basis of an online survey directed to the representatives of seven departments of the Lublin City Office (February 2022), who are responsible for the management of green and blue infrastructure, nature protection, revalorisation actions and energy and climate activities.
Table 1.
Analysed pre-existing interventions and the data source used for their mapping.
The data used to map pre-existing interventions include the Database of Topographic Objects for the Lublin province, vector format (BDOT 2021), the Study of Conditions and Directions of Spatial Development of Lublin, 2019 [17], the Lublin City Office (LCO) website (https://lublin.eu/urzad-miasta-lublin/, accessed on 30 May 2022), data obtained from the LCO through the online survey, data from the University of Marie Curie Sklodowska (UMCS) and an Internet search for spatial data in case of a lack of comprehensive databases for Lublin city (February–April 2022) (Table 1, Column C). The intervention was spatially mapped using QGIS software to produce a map of pre-existing interventions. As a result, 24 types of pre-existing intervention were included in the subsequent assessment.
2.3. Challenge-Orientation Assessment
The assessment was conducted in relation to the seven societal challenges (SCh) listed by the IUCN [9], which are briefly described in Table 2, referring to their link to the Sustainable Development Goals (SDG). The challenge-orientation criteria (Table 2, Column A) were based on an on-systematic review of both peer-reviewed research papers [4,7,8,11,12,16,20,21,22,23,24,25,26,27,28,29,30,31,32,33,34,35,36] and relevant reports published by the EC [1,13,37], IUCN [2,11] and UNEP [38]. Each criterion was selected on the basis of the following principles: (1) relevance to the topic under study, which is how to meet a given societal challenge; (2) universal character, so that NBS featuring different levels of human intervention in the ecosystem of different spatial extents and located in various areas can be assessed; and (3) measurability, meaning the availability of data or ease of data collection. The challenge-orientation criteria were determined in close collaboration with the representatives of different departments of the Lublin City Office (LCO) (e.g., emails, telephone interviews). The data used to assess each criterion are presented in Table 2, Column C. During the assessment, the strength (scope) of the intervention to meet a given challenge was not taken into account, as criteria are not indicators. It was only determined whether a given pre-existing intervention met a given challenge. For example, wetlands are more effective carbon sinks than flower meadows, but both biotopes provide carbon sequestration benefits and thus contribute positively to the climate change adaptation and mitigation challenge.
Table 2.
Challenge-orientation criteria.
3. Results
3.1. Mapping of Pre-Excited Interventions
The results showed that the structure of Lublin city can be distinguished by 24 types of pre-existing interventions, among which 20 are of the patch character and 4 are of the point character. Patch types cover 44.67% of the city area (without overlapping interventions), and 72.8% include overlapping interventions (Figure 2). Overlapping interventions mainly include the maintenance of floodplains and conservation zones around water intake stations/urban forests, as well as patches of trees with protection/recreational functions and ensuring the continuity of the ecological network.
Figure 2.
Map of pre-existing NBS interventions.
The largest area and, thus, the highest percentage of the city, is covered by Type 1: minimal interference with the ecosystem (45.61%) (Table 3). This type contains five pre-existing intervention types that are located in different city districts. In this type, the largest area is occupied by an intervention called ‘Ensuring the continuity of the ecological network’ (24.69%). This type consists of 63 patches that differ significantly in their area—the larger patch is 579.21 ha, whereas the smallest is only 0.06 ha. Therefore, the standard deviation is equal to 113.49 (median, 5.58), wherein the mean patch area is 579.21 ha. The smallest share is occupied by the ‘Establishment of protected areas’ (0.17%), as, in Lublin, only one nature reserve exists—the ‘Stasin’ forest reserve, which is located at the south part of the city at constating part of the urban forest.
Table 3.
Spatial characteristics of pre-existing solutions.
The smallest area and, thus, the smallest percentage of the city, is covered by Type 4: ‘Implementation of natural or seminatural water storage and transport systems’ (9.44%). It derives from the fact that one out of three of the pre-existing types that belong to this type are of the point character. Among this type, the largest area is occupied by the ‘Floodplain maintenance’ intervention (7.18%, NP = 45), and the smallest is occupied by ‘Restoration of degraded waterbodies’ (2.26%, NP = 9). Both interventions are characterised by an uneven distribution, as, due to their character, they are located along the Bystrzyca River. In addition, Type 4 includes 32-point solutions representing different rainwater collection systems, such as absorptive wells, aboveground tanks and ponds that have been installed on private plots at single-family houses. Therefore, they are mainly located in the district with the predominant share of this kind of estate.
Type 2, ‘The sustainable management and natural enrichment of existing elements of urban green and blue infrastructure’, occupies 17.83% of the city area and stands out as the large-scale solution of the urban forest, which occupies 11.87% of the city’s area (1756.280 ha) and numerous playgrounds (413) and sport fields with permeable surfaces (130). Another important part of this type constitutes urban parks of relatively large mean area (23.63 ha) as well as 70 patches of allotment gardens with a mean area of 55.57 ha, which are located in almost all the city districts. As such, they continue the important element of GBI structure of the city.
Solutions belonging to Type 3, ‘The creation of new ecosystems’, are less numerous, as they are composed of only nine points of green buildings, including green walls, rooves and bus stops. Because of the way they were mapped as point spatial features, they were not included in the total sum/percentage of pre-existing interventions. Type 3 is mainly located in the city centre, where most of the innovative solutions have been recently implemented. The spatial composition of all the detected pre-existing intervention types is irregular. They are concentrated in the south end of the city (urban forest, urban lagoon, conservation zones), along the Bystrzyca River Valley (e.g., maintenance of floodplains, allotment gardens, nesting boxes for native bats) and close to city borders (e.g., the maintenance of the agriculture areas). As a result, on the northwest and east sides of the city, there are large areas (max 2.81 km²) without any implemented green and blue solutions. Of course, some intervention types are connected to a particular natural condition, for example, conservation zones around water intake stations connected to underground water reservoirs; therefore, their localizations are predetermined.
3.2. Challenge-Orientation Assessment
The challenge-orientation assessment showed that in 7 out of the 24 pre-existing solutions in the study area, the level of each intervention type was too general to draw conclusions about its challenge-orientation. Therefore, in the assessment matrix, in relation to the selected interventions, the levels of assessment for the following types were included: (1) landcover (LC) forms—semi-natural (greenery, water) and paved surfaces; (2) access type—open (public areas) and with restrictions (private areas, entrance fee required); and (3) construction type—above- and belowground construction. Moreover, the seven criteria of challenge-orientation could not be determined in relation to all the solution types because both reference levels (the type and level of assessment) were too general: the assessment should be performed in relation to each intervention patch/point. Therefore, in the matrix, the PL (patch/point level) symbol was used to indicate that only (a) selected solution(s) from a given type meet a given challenge-orientation criterion (e.g., a given park, a given complex of the allotment gardens). As a result, the total number of societal challenges that a given pre-existing intervention met (Figure 3), as well as the sum of intervention types attributed to a given challenge (Figure 4), was provided in reference to two scales: patch level (PL), which includes intervention types from which only selected patches/points meet a given criterion, and type level (TL), which includes intervention types from which all patch/points meet the criteria.
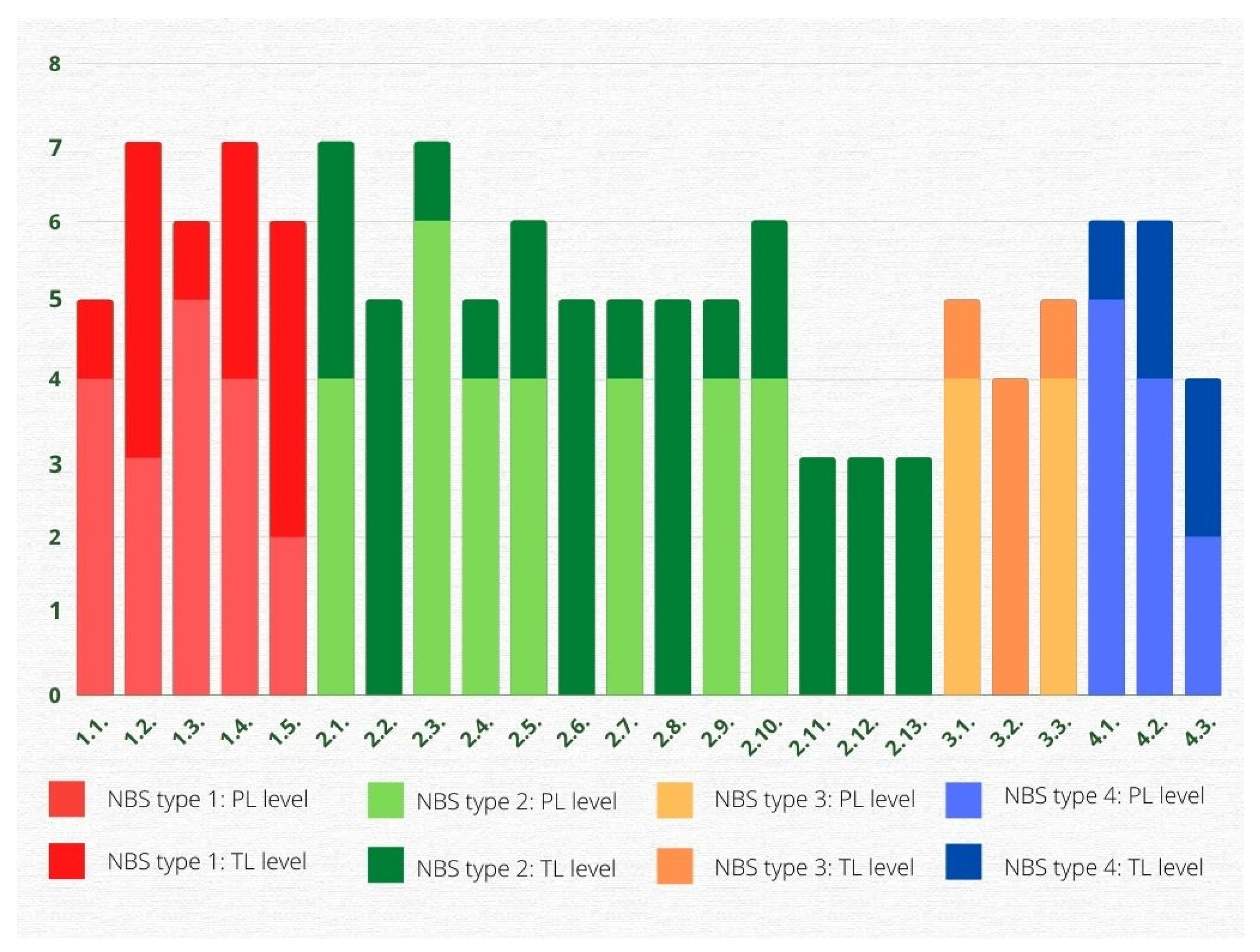
Figure 3.
The total number of societal challenges met by a given pre-existing intervention.
Figure 4.
The sum of intervention types attributed to a given challenge.
The results of the matrix showed that all of the analysed pre-existing NBS met at least two of the societal challenges formulated by the IUCN [2] (Table 4). The solutions with the highest challenge-orientation potential were: ensuring the continuity of the ecological network, meeting four challenges at patch level and seven at type level (4PL-7TL); protecting surface wetlands (5PL-6TL); maintaining public parks (4PL-7TL) and allotment gardens (6PL-7TL); planting trees with protective and recreational functions (4PL-6TL); restoring degraded waterbodies (5PL-6TL); and maintaining floodplains (4PL-6TL) (Figure 3). Their high potential, in relation to pre-existing interventions representing Type 2, mainly resulted from their positive impact on human health and positive impact on biodiversity, and in relation to Type 4, the water security challenge and disaster risk reduction. Among them, the most promising NBS are those interventions that met a similar high number of challenges both at the patch and type level. Taking into account this criterion, allotment gardens constitute one of the strongest NBS candidates. Nesting boxes for native bats, insect hotels and the installation of apiaries (3PL/TL) and belowground rainwater collection systems (2PL/4TL) showed the lowest potential (Table 4). This resulted from their point character and their targeting of one specific goal, such as biodiversity protection or water security. Therefore, taking into account the adopted criteria, they lack the impact on other challenges.
Table 4.
Matrix of pre-existing intervention orientations to societal challenges.
In reference to the societal challenges assessed, pre-existing interventions responded with the broadest scope to human health (SCh4) and ecosystem degradation and biodiversity loss, which were met by all 24 solution types (20 and 17 at the PL, respectively) and to climate change adaptation and mitigation (SCh1), which were met by all 20 solution types (18 at the PL). The analysed solutions that met the lowest scope were the challenge of food security (SCh5), which was met by 12 solution types (6 at PL), and the challenge of socioeconomic development (Sch3), which was met by 11 solution types (12 at PL) (Figure 4).
4. Discussion
4.1. Pre-Existing Interventions as NBS Candidates: A Case Study Example
The study showed that, in relation to Lublin city, pre-existing interventions belonging to all four analysed NBS types exhibited a high potential for challenge-orientation. Among them, allotment gardens, which do not fully correspond to only one of the societal challenges, stand out. The potential of Polish allotment gardens to be considered NBS was also reported in a previous study, with a reminder that they lack a clear governance process and are of limited economic efficiency [7]. Urban, open parks also make a great contribution to all of the analysed challenges. This results from the fact that they provide a set of environmental, social and economic benefits, such as contributing to carbon sequestration, erosion prevention, water and air purification, habitat creation, economic development and nature-based recreation promotion, which help to reduce many urgent problems [7,14,39,40]. A high challenge-orientation potential was also revealed in relation to different types of interventions connected to the protection, maintenance and restoration of urban waters and floodplains. These pre-existing interventions are recognized as combining ecological, social and, if well managed, economic benefits and being of high value to hydrological balance, climate regulation, energy production and the drinking water supply [2,41]. Nesting boxes for native bats, insect hotels, the installation of apiaries and belowground rainwater collection systems were revealed to have the lowest challenge-orientation potentials. The same was proved by Castellar et al. [39] in relation to offering good performance addressing challenges and providing ES by NBS. This mainly derives from the point character of such solutions, as interventions must be sufficiently large to successfully respond to challenges [22,42]. It does not mean that the positive contribution of these pre-existing interventions to tackling ecological problems should be underestimated. The study revealed that they are designed to respond, specifically, to a given challenge: biodiversity loss in the case of boxes, hotels and apiaries, and water security in the case of rainwater collection systems. The same was also reported by Pirro et al. [14] in relation to retention ponds and infiltration basins and the challenge of water management with a flood hazard.
The study also revealed that, among the seven societal challenges formulated by the IUCN, the analysed pre-existing interventions respond, in a broader scope, to human health and climate change adaptation and mitigation challenges. This is consistent with the research of Castellar et al. [39] or López et al. [26], which revealed that these challenges are responded to by several NBS types, such as gardens, parks and green corridors. Health and wellbeing have also been recognized as two of the urban (sub)challenges most frequently assessed in the literature [43] and as being in high demand by urban society [15,33]. The pre-existing NBS interventions analysed in the paper met the challenges of food security in the narrowest scope. The first results from the fact that the main food production functions have only one of the analysed types: the maintenance of agriculture areas in urban structure. Other types that meet this challenge serve the food production function as an additional benefit: wild fruits and mushrooms from urban forests, fish from urban waters, vegetables and fruits from allotment gardens and honey from urban apiaries. The fact that only 11PL/12TL of the analysed pre-existing interventions respond to the socioeconomic development challenge is surprising. The reason behind this finding lies in the fact that, due to their uneven distribution in city districts, they deepen the environmental injustice connected to the accessibility of green/blue areas by all citizen groups. Furthermore, both public and private green infrastructure are poorly equipped with renewable sources of energy, including solar panels [7].
4.2. Challenge-Orientation of Pre-Existing NBS Solutions: Scale of Assessment Implications
The present study clearly shows that the combination of local environmental, socio-political, management and economic conditions results in a level of solution type that is not enough to conclude whether a given pre-existing NBS intervention can be farmed as an NBS. For example, converting historical gardens and parks to NBS, e.g., by introducing recreational infrastructure, generally refers to the social justice/social cohesion challenge, provided that they are open access [8]. If an entrance fee is mandatory, the relevance to the societal challenge is questionable [32]. Another example deals with the dominant landcover type of pre-existing NBS interventions. Diverse types of conservation zones and controlled urban expansion strategies generally respond to climate change mitigation and human health challenges [5], provided that they are covered by seminatural landcover forms. Paved surfaces not only do not respond to these challenges but cannot be framed as NBS, as these actions must be inspired and/or powered by nature to enhance natural capital [1] and result in a net gain in biodiversity and ecosystem integrity [2]. The latest requirement is directly connected to the ecosystem degradation and biodiversity loss challenge, the fulfilment of which strongly depends on plant selection (this aspect was included in criterion SCh7_I1) [30]. Green actions based on ‘copying’ existing ecosystems into surrounding areas, such as enlarging a forest area by implementing monocultural tree plantations or planting grass in a place with favourable conditions for a flower meadow, do not fulfil the requirements posed by NBS [13]. Another vital level of challenge-orientation assessment (included in criterion SCh2_I2) deals with the scale of the solution. To be considered an NBS, a pre-existing solution should be sufficiently large to successfully respond to challenges [22,42]. To address global challenges, such as climate adaptation and mitigation or ecosystem degradation, large-scale initiatives such as ECCA 30 (which aims to restore 350 million hectares of the world’s deforested and degraded land by 2030) are required [13]. Local problems, such as environmental injustice at the city scale, may be tackled by small-scale or even point actions aimed at the creation of pocket gardens in green playgrounds [8]. The larger the intervention scale, however, the greater the contribution to the successful application and operation of NBS, and more positive outcomes for biodiversity, human wellbeing and the economy are expected [2]. Therefore, if the intervention type is composed of different spatial patches, such as surface wetland protection or the maintenance of agricultural areas in the present study, each patch of the intervention should be analysed separately in relation to the spatial configuration of patches on a landscape scale, which affects the ecological quality of a given area [16].
4.3. Limitations of the Adopted Approach and Future Outlook
The results of the matrix showed that all of the analysed pre-existing NBS solutions meet at least two of the societal challenges formulated by the IUCN [2]. As a result, in terms of the challenge-orientation, they can be considered strong NBS candidates. Of course, the paper assessed only one out of the eight criteria to frame pre-existing interventions as NBS. The adopted criteria, however, are partially connected to other IUCN criteria that refer to the appropriate scale (SCh2_I2) and a net gain in biodiversity (SCh7_I1). Of course, the analysed aspects do not fully refer to these criteria. Appropriate scale also refers to the illusion of dependencies between the area under the action and the adjusted areas, including complementary interventions, in terms of ecological and socioeconomic impacts, as NBS cannot be managed in isolation [8]. In terms of biodiversity, the IUCN criterion also includes positive impacts on ecosystem integrity, which was not assessed in this study but may be determined on the basis of the use of landscape metrics [16], and stresses the need to identify clear and measurable biodiversity conservation outcomes. Therefore, the next stage of the research is to, on the basis of the self-assessment sheet [2], assess the relevance of the analysed interventions, especially for criteria referring to the following aspects: synergies and trade-offs on the landscape scale, ecosystem integrity, economic viability, governance processes and management practices. The latter two aspects are of specific significance, as only adaptive landscape planning management and governance may ensure the effective implementation of NBS [29,44]. Only when the result of assessing all eight criteria shows that the criteria are met in more than 75% of these aspects do pre-existing green interventions adhere to the IUCN Global Standard for NBS, and only then can they be called strong NBS candidates.
5. Conclusions
The study showed that the mapping technique and the use of objective criteria are helpful to assess the challenge-orientation of pre-existing NBS. Therefore, such approaches can be used to assess whether different types of blue and green interventions can be framed as strong NBS candidates. Moreover, it is possible to identify gaps that need to be strengthened or improved in order to frame a given intervention as an NBS. For example, despite the fact that 44.67% of the area of Lublin is covered by pre-existing solutions that have the potential to become strong NBS candidates, their spatial distribution is heterogeneous, which favours environmental injustice. To overcome this problem, further local spatial plans and development strategies should be based on the detailed analysis of NBS localization among city districts, also taking into account the socioeconomic profile of their inhabitants. It is not the number and total size of interventions but the appropriate distribution and quality that determine the well-planned structure of GBI. Regarding the latter, it is crucial to remember that green and blue areas can respond to several societal challenges, not only to the human health and climate change adaptation and mitigation challenges. It is relatively easy to implement cheap solutions, such as installing hotels for insects or solar panels, which could strengthen the multi-aspect challenge-orientation of the pre-existing solutions and, thus, bring them closer to the NBS intervention.
Author Contributions
J.W.-M.: software, validation, investigation, writing—original draft preparation, visualization, project administration, funding acquisition; B.S.-Ś.: conceptualization, methodology, writing—review and editing, supervision. All authors have read and agreed to the published version of the manuscript.
Funding
This research was supported by project no. SD/64/IŚGiE/2022 provided by the University of Life Sciences in Lublin, Poland.
Institutional Review Board Statement
Not applicable.
Informed Consent Statement
Not applicable.
Data Availability Statement
Not applicable.
Acknowledgments
We would like to thank the Lublin City Office for its contribution to the research, including the completion of online questionnaires, participation in telephone interviews and spatial data sharing.
Conflicts of Interest
The authors declare no conflict of interest.
References
- European Commission. Towards an EU Research and Innovation Policy Agenda for Nature-Based Solutions & Re-Naturing Cities; European Commission: Brussels, Belgium, 2015. [Google Scholar]
- IUCN. Global Standard for Nature-Based Solutions. A User-Friendly Framework for the Verification, Design and Scaling up of NbS, 1st ed.; IUCN: Gland, Switzerland, 2020; Available online: https://portals.iucn.org/library/sites/library/files/documents/2020-020-En.pdf (accessed on 29 March 2022).
- Wendling, L.; Garcia, J.; Descoteaux, D.; Sowińska-Świerkosz, B.; McPhearson, T.; Frantzeskaki, N.; La Rosa, D.; Yiwen, Z.; Lin, T.; Fidélis, T.; et al. Editorial: Introduction to the Nature-Based Solutions journal. Nat.-Based Solut. 2021, 1, 100003. [Google Scholar] [CrossRef]
- Sowińska-Świerkosz, B.; García, J. A new evaluation framework for nature-based solutions (NBS) projects based on the application of performance questions and the indicators approach. Sci. Total Environ. 2021, 787, 147615. [Google Scholar] [CrossRef] [PubMed]
- Somarakis, G.; Stagakis, S.; Chrysoulakis, N. (Eds.) Think Nature Nature-Based Solutions Handbook, Think Nature Project Funded by the EU Horizon 2020 Research and Innovation Programme under Grant Agreement No 730338. 2019. Available online: https://www.researchgate.net/publication/339983272_ThinkNature_Nature-Based_Solutions_Handbook (accessed on 29 March 2022).
- Fastenrath, S.; Bush, J.; Coenen, L. Scaling-up nature-based solutions. Lessons from the Living Melbourne strategy. Geoforum 2020, 116, 63–72. [Google Scholar] [CrossRef]
- Sowińska-Świerkosz, B.; Michalik-Śnieżek, M.; Bieske-Matejak, A. Can Allotment Gardens (AGs) Be Considered an Example of Nature-Based Solutions (NBS) Based on the Use of Historical Green Infrastructure? Sustainability 2021, 13, 835. [Google Scholar] [CrossRef]
- Sowińska-Świerkosz, B.; García, J. What are Nature-based solutions (NBS)? Setting core ideas for concept clarification. Nat.-Based Solut. 2022, 2, 100009. [Google Scholar] [CrossRef]
- Herrmann-Pillath, C.; Hiedanpää, J.; Soini, K. The co-evolutionary approach to nature-based solutions: A conceptual framework. Nat.-Based Solut. 2022, 2, 100011. [Google Scholar] [CrossRef]
- Albert, C.; Brillinger, M.; Guerrero, P.; Gottwald, S.; Henze, J.; Schmidt, S.; Ott, E.; Schröter, B. Planning nature-based solutions: Principles, steps, and insights. Ambio 2021, 50, 1446–1461. [Google Scholar] [CrossRef]
- Cohen-Shacham, E.; Walters, G.; Janzen, C.; Maginnis, S. (Eds.) Nature-Based Solutions to Address Global Societal Challenges; IUCN: Gland, Switzerland, 2016; Available online: https://portals.iucn.org/library/sites/library/files/documents/2016-036.pdf (accessed on 29 March 2022).
- Dumitru, A.; Wendling, L. (Eds.) Evaluating the Impact of Nature-Based Solutions: A Handbook for Practitioners; European Commission: Luxembourg, 2021; Available online: https://op.europa.eu/en/publication-detail/-/publication/d7d496b5-ad4e-11eb-9767-01aa75ed71a1 (accessed on 29 March 2022).
- Science for Environment Policy. The Solution Is in Nature. Future Brief 24; Brief Produced for the European Commission DG Environment; Science Communication Unit, UWE Bristol: Bristol, UK, 2021. [Google Scholar]
- Pirro, E.D.; Sallustio, L.; Castellar, J.A.C.; Sgrigna, G.; Marchetti, M.; Lasserre, B. Facing Multiple Environmental Challenges through Maximizing the Co-Benefits of Nature-Based Solutions at a National Scale in Italy. Forests 2022, 13, 548. [Google Scholar] [CrossRef]
- Croeser, T.; Garrard, G.; Sharma, R.; Ossola, A.; Bekessy, S. Choosing the right nature-based solutions to meet diverse urban challenges. Urban For. Urban Green. 2021, 65, 127337. [Google Scholar] [CrossRef]
- Sowińska-Świerkosz, B.; Wójcik-Madej, J.; Michalik-Śnieżek, M. An Assessment of the Ecological Landscape Quality (ELQ) of Nature-Based Solutions (NBS) Based on Existing Elements of Green and Blue Infrastructure (GBI). Sustainability 2021, 13, 11674. [Google Scholar] [CrossRef]
- The Lublin City Council. Study of Conditions and Directions for Spatial Development of the City of Lublin 2019 Resolution; No. 283/VIII/2019 1 July 2019; The Lublin City Council: Lublin, Poland, 2019. [Google Scholar]
- Czupryn, P.; Szostok, A.; Ioannidis, K. Environmental Impact Assessment Development Strategy of Lublin Municipality for 2021–2030; Lublin City Hall: Lublin, Poland, 2021. Available online: https://lublin.eu/gfx/lublin/userfiles/_public/biznes/aktualnosci/konsultacje_spoleczne_ii_etap/prognoza_oddzialywania_na_srodowisko_strategii_lublin_2030.pdf (accessed on 29 March 2022).
- Eggermont, H.; Balian, E.; Azevedo, J.M.N.; Beumer, V.; Brodin, T.; Claudet, J.; Fady, B.; Grube, M.; Keune, H.; Lamarque, P.; et al. Nature-Based Solutions: New Influence for Environmental Management and Research in Europe; GAIA Ecological Perspectives for Science and Society; OekomVerlag: Munich, Germany, 2015; Volume 24, pp. 243–248. [Google Scholar]
- Xie, L.; Bulkeley, H.; Tozerd, L. Mainstreaming sustainable innovation: Unlocking the potential of nature-based solutions for climate change and biodiversity. Environ. Sci. Policy 2022, 132, 119–130. [Google Scholar] [CrossRef]
- Young, A.F.; Marengo, J.A.; Martins Coelho, J.O.; Scofield, G.B.; de Oliveira Silva, C.C.; Prieto, C.C. The role of nature-based solutions in disaster risk reduction: The decision maker’s perspectives on urban resilience in São Paulo state. Int. J. Disaster Risk Reduct. 2019, 39, 101219. [Google Scholar] [CrossRef]
- Frantzeskaki, N. Seven lessons for planning nature-based solutions in cities. Environ. Sci. Policy 2019, 93, 101–111. [Google Scholar] [CrossRef]
- Raymond, C.M.; Frantzeskaki, N.; Kabisch, N.; Berry, P.; Breil, M.; Nita, M.R.; Calfapietra, C. A framework for assessing and implementing the co-benefits of nature-based solutions in urban areas. Environ. Sci. Policy 2017, 77, 15–24. [Google Scholar] [CrossRef]
- Kolokotsa, D.; Lilli, A.A.; Lilli, M.A.; Nikolaidis, N.P. On the impact of nature-based solutions on citizens’ health & well being. Energy Build. 2020, 229, 110527. [Google Scholar] [CrossRef]
- Korkmaz, C.; Balaban, O. Sustainability of urban regeneration in Turkey: Assessing the performance of the North Ankara Urban Regeneration Project. Habitat Int. 2020, 95, 102081. [Google Scholar] [CrossRef]
- López, A.; Mabe, L.; Cantergiani, C. Integration of multiple methodologies to evaluate effects of Nature Based Solutions on urban climate mitigation and adaptation. IOP Conf. Ser. Earth Environ. Sci. 2019, 323, 012078. [Google Scholar] [CrossRef]
- MacKinnon, K.; Dudley, N.; Sandwith, T. Natural solutions: Protected areas helping people to cope with climate change. Oryx 2011, 45, 461–462. [Google Scholar] [CrossRef] [Green Version]
- Parker, J.; Simpson, G.D.; Miller, J.E. Nature-Based Solutions Forming Urban Intervention Approaches to Anthropogenic Climate Change: A Quantitative Literature Review. Sustainability 2020, 12, 7439. [Google Scholar] [CrossRef]
- Chausson, A.; Turner, B.; Seddon, D.; Chabaneix, N.; Girardin, C.A.J.; Kapos, V.; Key, I.; Roe, D.; Smith, A.; Woroniecki, S.; et al. Mapping the effectiveness of nature-based solutions for climate change adaptation. Glob. Chang. Biol. 2020, 26, 6134–6155. [Google Scholar] [CrossRef]
- Burch, S.; Berry, P.; Sanders, M. Embedding climate change adaptation in biodiversity conservation: A case study of England. Environ. Sci. Policy 2014, 37, 79–90. [Google Scholar] [CrossRef]
- Ommer, J.; Bucchignani, E.; Leo, L.S.; Kalas, M.; Vranić, S.; Debele, S.; Kumar, P.; Cloke, H.L.; Di Sabatino, S. Quantifying co-benefits and disbenefits of Nature-based Solutions targeting Disaster Risk Reduction. Int. J. Disaster Risk Reduct. 2022, 75, 102966. [Google Scholar] [CrossRef]
- Anderson, C.C.; Renaud, F.G.; Hanscomb, S.; Gonzalez-Ollauri, A. Green, hybrid, or grey disaster risk reduction measures: What shapes public preferences for nature-based solutions? J. Environ. Manag. 2022, 310, 114727. [Google Scholar] [CrossRef]
- Anderson, C.C.; Renaud, F.G. A review of public acceptance of nature-based solutions: The ‘why’, ‘when’, and ‘how’ of success for disaster risk reduction measures. Ambio 2021, 50, 1552–1573. [Google Scholar] [CrossRef] [PubMed]
- Díaz, S.; Demissew, S.; Carabias, J.; Joly, C.; Lonsdale, M.; Ash, N.; Larigauderie, A.; Adhikari, J.R.; Arico, S.; Báldi, A.; et al. The IPBES Conceptual Framework—Connecting nature and people. Curr. Opin. Environ. Sustain. 2015, 14, 1–16. [Google Scholar] [CrossRef] [Green Version]
- Howe, C.; SSuich, H..; Vira, B.; Mace, G.M. Creating win-wins from trade-offs? Ecosystem services for human well-being: A meta-analysis of ecosystem service trade-offs and synergies in the real world. Glob. Environ. Chang. 2014, 28, 263–275. [Google Scholar] [CrossRef] [Green Version]
- Hauck, J.; Schweppe-Kraft, B.; Albert, C.; Görg, C.; Jax, K.; Jensen, R.; Fürst, C.; Maes, J.; Ring, I.; Hönigová, I.; et al. The Promise of the Ecosystem Services Concept for Planning and Decision-Making. GAIA 2013, 22, 232–236. Available online: https://www.researchgate.net/publication/259214239_The_Promise_of_the_Ecosystem_Services_Concept_for_Planning_and_Decision-Making (accessed on 14 July 2022). [CrossRef]
- Wild, T.; Freitas, T.; Vandewoestijne, S. (Eds.) Nature-Based Solutions State of the Art in EU-funded Projects; European Commission: Luxembourg, 2020; Available online: https://ec.europa.eu/info/publications/nature-based-solutions-state-art-eu-funded-projects_en (accessed on 29 March 2022).
- UNEP. The Fifth Edition of the UNEP Adaptation Gap Report Looks at Progress in Planning for, Financing and Implementing Adaptation—with a Focus on Nature-Based Solutions; United Nations Avenue: Gigiri, Kenya, 2020; Available online: https://www.unep.org/resources/adaptation-gap-report-2020 (accessed on 29 March 2022).
- Castellar, J.A.C.; Popartan, L.A.; Pueyo-Ros, J.; Atanasova, N.; Langergraber, G.; Säumel, I.; Corominas, C.; Comas, J.; Acuña, V. Nature-based solutions in the urban context: Terminology, classification and scoring for urban challenges and ecosystem services. Sci. Total Environ. 2021, 779, 146237. [Google Scholar] [CrossRef]
- Dick, J.; Miller, J.D.; Carruthers-Jones, J.; Dobel, A.J.; Carver, S.; Garbutt, A.; Hester, A.; Hails, R.; Magreehan, V.; Quinn, M. How are nature based solutions contributing to priority societal challenges surrounding human well-being in the United Kingdom: A systematic map protocol. Environ. Evid. 2019, 8, 37. [Google Scholar] [CrossRef] [Green Version]
- Carvalho, P.N.; Finger, D.C.; Masi, F.; Cipolletta, G.; Oral, H.V.; Tóth, A.; Regelsberger, M.; Exposito, A. Nature-based solutions addressing the water-energy-food nexus: Review of theoretical concepts and urban case studies. J. Clean. Prod. 2022, 338, 130652. [Google Scholar] [CrossRef]
- Majidi, A.N.; Vojinovic, Z.; Alves, A.; Weesakul, S.; Sanchez, A.; Boogaard, F.; Kluck, J. Planning Nature-Based Solutions for Urban Flood Reduction and Thermal Comfort Enhancement. Sustainability 2019, 11, 6361. [Google Scholar] [CrossRef] [Green Version]
- Babí Almenar, J.; Elliot, T.; Rugani, B.; Philippe, B.; Gutiérrez, T.N.; Sonnemann, G.; Geneletti, D. Nexus between nature-based solutions, ecosystem services and urban challenges. Land Use Policy 2021, 100, 104898. [Google Scholar] [CrossRef]
- Albert, C.; Schröter, B.; Haase, D.; Brillinger, M.; Henze, J.; Herrmann, S.; Gottwald, S.; Guerrero, P.; Nicolas, C.; Matzdorf, B. Addressing societal challenges through nature-based solutions: How can landscape planning and governance research contribute? Landsc. Urban Plan. 2019, 182, 12–21. [Google Scholar] [CrossRef]
Publisher’s Note: MDPI stays neutral with regard to jurisdictional claims in published maps and institutional affiliations. |
© 2022 by the authors. Licensee MDPI, Basel, Switzerland. This article is an open access article distributed under the terms and conditions of the Creative Commons Attribution (CC BY) license (https://creativecommons.org/licenses/by/4.0/).



