Abstract
This paper uses a small watershed entity model to simulate the rainfall experiment and combines traditional water and sediment observation and terrain three-dimensional laser scanning technology to reveal the characteristics of erosion and sediment yield in small watersheds and the law of channel sediment transport and quantitatively describe the response mechanism of terrain changes in small watersheds to the layout of silt dams and rainfall intensity. Rainfall intensity with three types (30, 60, and 120 mm/h) under three soil conservation measure types (none dam, single dam, and double dams) was simulated, and a small watershed entity model was adopted. The changes in topography were recorded by a Focus 3D laser scanner (Faro) for each experiment. The main results were as follows: (1) Soil erosion under the effect of rainfall occurs on the slope of the watershed and in the gully, while deposition usually occurs on the gentle slope of the gully or in low-lying areas. (2) When the runoff volume is small, deposition occurs easily in the gully, and vice versa. (3) The increase in the number of silt dams deployed has a small effect on the rate of runoff yield on the small watershed, but the limitation on the rate of sand production is especially obvious. Silt dam measures have a good flood and sand reduction effect on small- and medium-intensity rain, but for high-intensity rain, their runoff and sand reduction effect will be reduced, so rainfall is the dominant factor in the formation of soil erosion. Our results provide the scientific basis for identifying key parts of soil erosion and for the rational arrangement of soil and water conservation measures in loess areas.
1. Introduction
In recent years, climate change has resulted in a high frequency and intensity of rainstorms [1,2,3]. Moreover, rainfall is the main driver of soil water erosion, which is the source of soil erosion hazards [4]. Severe soil erosion disasters have eroded and destroyed large amounts of fertile arable land resources and reduced food production. At the same time, the loss of large amounts of sediment also raises riverbeds and silts up reservoirs. Soil erosion has increased the potential for rainstorms and other disasters and poses a serious threat to the world’s food security and ecological safety [5,6]. Moreover, the small watershed is the basic unit of ecological environment reconstruction and management in the Loess Plateau [7,8,9]. Therefore, it is necessary to study the response mechanism of terrain change in loess small watersheds under rainstorms.
A rainstorm has great destructive power on the surface soil, which often leads to dramatic changes in the topography of small watersheds. Runoff carries a lot of sediment into the gully, and erosion and deposition occur along the channel [10,11]. From the perspective of energy and matter, a soil erosion disaster is a continuous transformation and accumulation process from the sky to the ground, from the slope to the ditch, and from the branch ditch to the main ditch. Rainfall is a conversion process from potential energy to kinetic energy and is the primary factor effecting terrain change. The runoff generation and accumulation processes are the further transformation of potential energy. At the same time, in the evolution process of runoff, some kinetic energy will be consumed due to the obstruction of silt dams, so as to reduce the erosion capacity of runoff on subsequent channels [12]. Therefore, the erosion–deposition process of small watersheds is affected by rainfall and the underlying surface, which is a dynamic response system of topography driven by rainfall. At present, some scholars have studied the topographic change characteristics of small watersheds through soil erosion models, such as using Universal Soil Loss Equation (USLE) [13] and its revised version Revised Universal Soil Loss Equation (RUSLE) [14,15,16], Water Erosion Prediction Project (WEPP) [17], and Morgan–Morgan–Finney (MMF) [18]; these models can estimate soil loss and erosion sediment yield [19,20]. However, it is difficult to explain the characteristics of erosion and sediment yield and the process of channel sediment transport in loess small watersheds. An indoor, simulated rainfall experiment has the advantages of short test cycles, adjustability, and freedom from time and space constraints [21,22]. Therefore, some scholars have made some progress in the study of the evolution law and quantitative method of soil water erosion for indoor simulated rainfall experiments [23,24,25]. However, the research object of these simulated rainfall experiments is the soil trough, and it is difficult to produce an obvious deposition phenomenon, which will reduce the research significance of small watersheds with a “slope–channel” system.
In view of the above analysis, this paper uses the small watershed entity model to simulate the rainfall experiment and combines traditional water and sediment observation and terrain three-dimensional laser scanning technology [26,27] to reveal the characteristics of erosion and sediment yield in small watersheds and the law of channel sediment transport and to quantitatively describe the response mechanism of terrain changes in small watersheds to the layout of silt dams and rainfall intensity. The research results are expected to provide a scientific basis for identifying the key parts of soil erosion and the scientific layout of soil and water conservation measures in loess areas.
2. Materials and Methods
2.1. Experimental Materials
The simulated rainfall experiments were completed in the rainfall simulation laboratory of the Key laboratory of Soil and Water Loss Process and Control on the Loess Plateau of Ministry of Water Resources, Yellow River Institute of Hydraulic Research, Zhengzhou City, China. The system of small watershed rainstorm simulation was used in this study (Figure 1a), and it consisted of a rotating sprinkler rainfall simulator [28] and a small watershed entity model. The rainfall simulator includes five nozzles and can be set to any selected rainfall intensity from 10 to 240 mm/h by adjusting the nozzle size and water pressure. The fall height is 22 m above the ground, and the rainfall uniformity is more than 85%. Thus, the simulated raindrops landing speed and size are similar to the natural raindrop. The experiments were conducted in a small watershed entity model (Figure 1b), which was built based on the Qiaogou small watershed in Suide County, Yulin City, Shanxi Province, which belongs to the Loess Plateau region. The horizontal and vertical scales of the entity model are 1:40. Filling material was taken from the Mangshan loess in the third sub-region of the loess hilly and gully region, and the soil bulk density was about 1.35 g/m3. By establishing the criteria of geometric similarity, dynamic similarity, and kinematic similarity of soil erosion and sediment yield, the coordination of rainfall and runoff similarity scale and the similarity of soil erosion and sediment transport process were solved (Table 1). The small watershed entity model was 31.5 m long, 16.5 m wide, 3 m deep, and a runoff funnel was provided at the main outlet of the basin to collect runoff sediment samples.
Figure 1.
Simulation system of rainstorm in small watershed. (a) Artificial rainfall simulation device. (b) Small watershed entity model.
Table 1.
Similarity criteria of watershed scale.
2.2. Experimental Methods
To reveal the topographic change characteristics of small watersheds under the action of the rainstorms, two control factors of rainfall intensity and silt dam layout were set up in the experiment. Among them, based on rainfall intensity combined with the law of erosive rainstorm in loess hilly and gully region, three intensities of rainfall (30, 60, and 120 mm/h) were set up, and three scenarios of silt dam layout (none dam, single dam, and double dams) were set up. A total of 6 artificial simulated rainfall experiments were designed (Table 2). The total outlet of the basin was set up with a catchment to obtain runoff and sediment samples from the small watershed. The layout positions of the silt dam and the channel are shown in Figure 2a. The silt dam A and dam B were arranged in the deputy channel 1 and the main channel 1, respectively. The digital elevation model of the physical model is shown in Figure 2b.
Table 2.
Rainfall experiment scheme.
Figure 2.
Overview of small watershed entity model. (a) Location of channel and silt dam. (b) Digital elevation model.
Firstly, terrestrial laser scanning is a survey method that can determine the three-dimensional position of a large number of points (point cloud) through the measurement of angles (azimuth and zenith) and distances [29]. Before the experiment started, the Focus 3D laser scanner (Faro) was used for terrain scanning to obtain the topography of the watershed surface before rainfall. The scanning resolution was 1/4 (i.e., the scanner acquired 240,000 laser points per second), and the scanning quality was 4× (i.e., the instrument scanned 4 times repeatedly at a station). Seven stations were evenly arranged around the small watershed in each terrain scanning, and the number of point clouds was about 100 million. Secondly, before each formal rainfall, six ring knives were used to determine the water content of the soil. In order to maintain uniform soil conditions, the experimental soil of the small watershed was subjected to approximately 10 min of pre-rain at a rainfall intensity of 15 mm/h until surface humidification. Third, during the experiment of rainfall simulations, recording the rainfall start time and flow production time, runoff and sediment were collected at an interval of two min after runoff was produced, and the runoff sampling containers were 10 L iron buckets. The rainfall duration of each test was 1 h. Finally, after the rainfall experiment was over and there was no obvious water accumulation on the surface, the 3D laser scanner was used to obtain the topographic point cloud data of the small watershed after the rainfall erosion. However, before the next experiment, the professional and technical personnel followed the original model drawings of small watershed terrain dredging and repair.
2.3. Data Processing
During each rainfall experiment, 30 runoff and sediment samples were collected at the runoff funnel of the small watershed using the real-time runoff sampling method. The runoff yield rate curve can be drawn according to the volume of the water–sand mixture of the measured iron drums, and the sediment yield rate curve can be drawn by using the drying method to obtain the mass of sediment in the iron drums [30]. Then, the total runoff yield and sediment yield of the experiments were obtained by integrating these rate curves, so as to grasp the temporal variation in runoff, sediment yield, and sediment content in the process of rainfall in the small watershed.
In order to record topographic changes, terrain scanning of the small watershed surface was conducted before and after each experiment using a laser scanner. Then, the original topographic points’ data were imported into TRW (Trimble RealWorks 11.3) software. With the help of TRW, the points data of each station were spliced, denoised, and matched with the space coordinate system, which could ensure that the points data of the two periods before and after rainfall are in the same coordinate system and that both of them could be overlapped. Limited by the computer operation ability, a digital model of the points with a resolution of 2 mm was finally obtained and exported. Then, the points were imported into ArcGIS 10.2 software, and the terrain raster data before and after rainfall of the small watershed were obtained by using the To Raster tool. Next, through the raster calculator, using the terrain raster data before rainfall minus that after rainfall, we obtained the spatial distribution data of soil erosion and deposition. A positive value indicating that the elevation value before rainfall was greater than that after rainfall meant erosion occurred in the grid. A negative value indicating that the elevation value before rainfall was less than that after rainfall meant deposition occurred. Then, taking the 3D analysis surface volume of ArcGIS, we could calculate the volume of erosion and deposition in each grid. Finally, using the reclassification tool of ArcGIS, the grid data of the spatial distribution of erosion–deposition were classified and counted, which was used to calculate the proportion of erosion–deposition at different levels in the small watershed.
3. Results
3.1. Response of Topographic Changes in Small Watershed to Silt Dam Layout
In order to effectively identify the response of topographic changes to the layout of silt dams in small watersheds, the number of silt dam layouts was varied (single or double dam) at the same rainfall intensity of 60 mm/h (Figure 3). In analyzing the process of runoff and sediment yield in the small watershed, it was found that the runoff and sediment yield rate were in the same trend of variation, and the runoff yield rate increased while the sediment yield rate also increased. Comparing the different silt dam layouts, in term of runoff yield, the average value of runoff yield rate of the single dam small watershed was 159.563 cm3/s and that of the double dam small watershed was 125.302 cm3/s, so the runoff yield rate of single dam small watershed was slightly higher than that of the double dam small watershed. In terms of sediment yield, the average value of the sediment yield rate of a single dam small watershed was 4.086 g/s and that of the double dam small watershed was 1.233 g/s, which indicates that the sediment yield rate of the single dam small watershed was about four times that of the double dam small watershed. Therefore, we can draw a conclusion: increasing the number of silt dams has little limitation on the runoff yield rate of a small watersheds, but the limitation on sediment yield rate is particularly obvious.
Figure 3.
Sediment and runoff yield rate curves with different number of dams. (a) Single dam A. (b) Double dam A + B.
From the spatial distribution map of erosion–deposition with the different numbers of dams (Figure 4), the number of silt dams was varied (none, single, double dam) at the same rainfall intensity of 60 mm/h. It can be seen that, after the deputy channel 1 and the main channel 1 were set up for silt dam A and B, there were obvious deposition phenomena in the reservoir before the dam, both of the reservoirs of the dams had produced deposition phenomena, and the deposition volume was 2.57 × 104 cm3 and 6.06 × 104 cm3, respectively, which indicates that the dam could perform a good interception function for the sand carried by runoff in front of the dam. Moreover, after the runoff in the channel was intercepted by the silt dam, the flow rate and velocity stabilized when it flowed out from the spillway and recumbent pipe, and the erosion capacity of the channel behind the dam was greatly reduced, which is consistent with the experimental results of Zhang Pan [31] and Xue Shaobo [32]. Therefore, on the one hand, the layout of silt dams can intercept the sand carried by upstream runoff, and on the other hand, it can also reduce the intensity of downstream gully erosion and deposition.
Figure 4.
Spatial distribution map of erosion–deposition with different number of dams. (a) No dam. (b) Single dam A. (c) Double dams A + B.
3.2. Response of Rainstorm Processes to Rainstorm Intensity in Small Watershed
In order to effectively identify the response of topographic changes to the rainfall intensity in a small watershed, the intensity of rainfall was varied (60, 120 mm/h) at the same underlying surface (Figure 5). In analyzing the process of runoff and sediment yield in the small watershed, it was found that the runoff sediment yield rate maintained a slow upward trend in the early stage when the rainfall intensity was 60 mm/h. However, the runoff and sediment yield rate suddenly increased rapidly at 35 min, because the water level in the reservoir of the dam had reached the elevation of the spillway, so the spillway started to release water, and the runoff yield rate rapidly increased from 83.364 cm3/s to 212.928 cm3/s. At the same time, the eroding capacity of the runoff was greatly increased, and the sediment yield rate also increased from 0.427 g/s to 2.273 g/s. The water discharge from the spillway of the dam accounted for more than 60% of the total runoff, so the erosion status of the small watershed was more related to the storage capacity of the reservoir of dam. At the rainfall intensity of 120 mm/h, the reservoir of the silt dam was quickly filled due to the high-intensity rainfall, and the discharge from the spillway of the dam had little effect on the total runoff in this experiment, so the rate of runoff and sediment yield in this test sub-basin did not change abruptly, although it was fluctuating and increasing.
Figure 5.
Sediment and runoff yield rate curves with different rainfall intensities. (a) Rainfall intensity: 60 mm/h. (b) Rainfall intensity: 120 mm/h.
From the spatial distribution map of erosion–deposition with different intensities of rainfall in a small watershed (Figure 6), the intensity of rainfall was varied (30, 60 mm/h) at the same underlying surface. It can be seen that soil erosion mainly occurred on the slope surface, and the erosion in the channel was less when the rainfall intensity was 30 mm/h. This is because the rainfall intensity was small, which cannot form runoff with scouring ability in the channel, so only a certain degree of erosion occurred on the slope surface. However, a large area of deposition formed in the main channel 1 (Region I), and the deposition volume was about 4.035 × 105 cm3. It means that, under a rainfall intensity of 30 mm/h, although the runoff velocity in the channel was slow and it did not have scouring ability, the sand produced by slope erosion could still be transported to the low depression or gentle slope of the channel. In the experiment with a rainfall intensity of 60 mm/h, due to the enhancement of rain intensity, in addition to slope erosion, erosion phenomenon also occurred at the gully head (Region III) of the deputy channel 1, and the erosion volume was about 1.397 × 105 cm3. This is because of the large rainfall bearing surface in the region, where the slope flow converged to form a large flow runoff, carrying a quantity of sand in, which was deposited at (Region II) on the gentle slope of the deputy channel 1, with a deposition volume of about 5.14 × 104 cm3. In this experiment, different from the case for a rainfall intensity of 30 mm/h, the flow and velocity of runoff in the main channel 1 became stronger, and the sand carrying capacity of runoff was also enhanced. Deposition was no longer generated in the channel (Region I), and channel erosion was generated instead. The lost volume of soil in the erosion channel was about 3.35 × 104 cm3.
Figure 6.
Spatial distribution map of erosion–deposition with different number of dams. (a) Rainfall intensity: 30 mm/h. (b) Rainfall intensity: 60 mm/h.
From the spatial distribution map of erosion–deposition with different intensities of rainfall in small watersheds (Figure 7), the intensity of rainfall was varied (60, 120 mm/h) at the same underlying surface. It can be seen that when the rainfall intensity was 120 mm/h, the intensity of erosion and deposition in the whole small watershed significantly improved, and the erosion gully phenomenon formed in deputy channel 2 (Region IV). This is because deputy channel 2 with a small catchment area also formed a certain scale of runoff under the action of heavy rainfall, and the slope of the channel was steep, and its runoff had a strong scouring ability and sand carrying capacity, which may also be the reason why there was only erosion and no deposition.
Figure 7.
Spatial distribution map of erosion–deposition with different number of dams. (a) Rainfall intensity: 60 mm/h. (b) Rainfall intensity: 120 mm/h.
4. Discussion
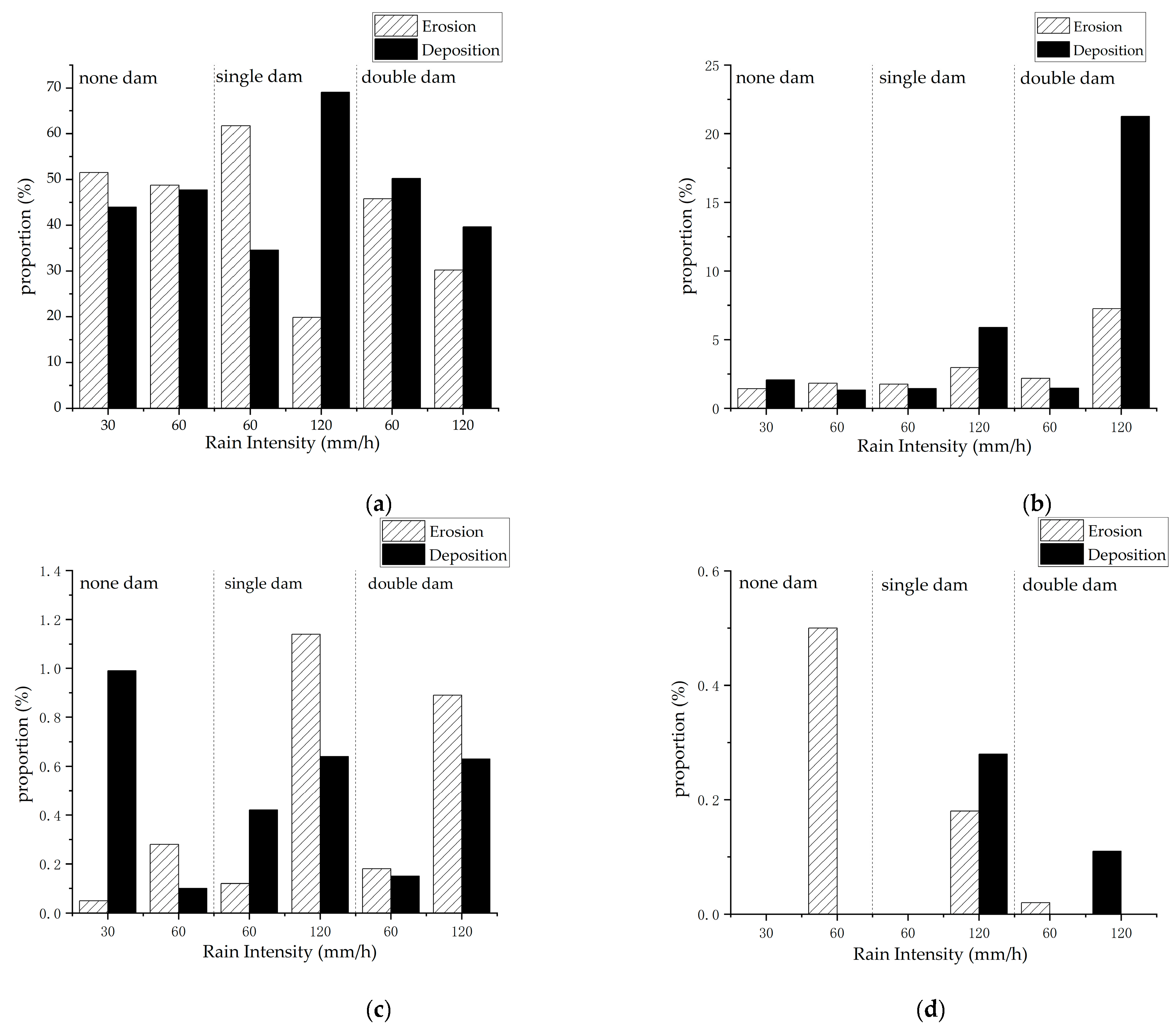
The raster data of the spatial distribution of erosion–deposition for all tests were graded using the reclassification tool of ArcGIS. To facilitate the description, erosion–deposition intensity (0~10), (10~50), (50~150), and (150~300) mm at all levels was described as mild, moderate, serious, and severe erosion of sediment, respectively. From Figure 8, it can be found that the percentage of severe and serious erosion in the small watershed was significantly reduced by increasing the number of silt dams deployed under the effect of rain intensity of 60 mm/h, so that the intensity of gully erosion in the small watershed was reduced with the increase of silt dams, which corresponds to the Figure 4. In the experiment of enhanced rainfall intensity at the same underlying surface, the percentage of moderate, severe, and serious erosion–deposition increased significantly, i.e., more drastic topographic changes and sediment transport were produced, which corresponds to the spatial distribution of erosion deposition in Figure 6 and Figure 7. Finally, combined with statistics (Table 3), it was found that the total runoff of the experiment with the double dam, 120 mm/h was 5.93 times that of experiment with the single dam, 60 mm/h, and the total sediment loss was 33.73 times. The total runoff of the experiment with the single dam, 60 mm/h was 1.26 times that of the experiment with the double dam, 60 mm/h, and the total sediment loss was 3.23 times. It can be seen that the arrangement of soil and water conservation measures in small and medium intensity rainfall has a good runoff and sediment reduction effect, but for high-intensity rainstorms, its flood and sediment reduction effect will be reduced, which is the same as the research results of Xiao Peiqing [33] and Xu Jianhua [34].
Figure 8.
Proportion of erosion–deposition at all levels of different experimental scenarios. (a) 0~10 mm. (b) 10~50 mm. (c) 50~150 mm. (d) 150~300 mm.
Table 3.
Rainfall experiment scheme.
5. Conclusions
In this paper, indoor artificial rainfall simulation and terrain 3D laser scanning technology was employed to study the corresponding mechanism of topographic change in small watersheds under the action of rain intensity and silt dam measures. The conclusions are as follows:
- (1)
- Soil erosion in small watersheds under the action of rainfall can occur not only on the slope but also in the gully, but deposition usually occurs more often on the gentle slopes of the gully or in low-lying areas.
- (2)
- The intensity of slope erosion in small watersheds is positively related to the rainfall intensity, and the greater the rainfall intensity, the deeper the depth of slope erosion. When the rain intensity is 120 mm/h, the runoff volume in the channel is high, and the channel is prone to erosion and less deposition, and conversely, when the rain intensity is 30 or 60 mm/h, the deposition phenomenon in the channel is obvious, and the erosion phenomenon is less.
- (3)
- A silt dam has a good role in the interception of ditch runoff sediment and can carry the runoff sediment effectively intercepted in front of the dam. The silt dam can also regulate the flow of runoff after the dam, from a certain degree to reduce the strength of the ditch erosion after the dam. Silt dam deployment can effectively reduce the loss of soil in the process of a rainstorm and play a role in water storage and soil preservation.
- (4)
- In a small watershed, the erosion depth and deposition thickness are mainly concentrated within 10 mm under the small and medium rainfall intensity (30, 60) mm/h. However, under heavy rainfall intensity of 120 mm/h, the proportion of soil erosion and deposition will increase greatly regardless of whether the silt dam is set in the small watershed. In other words, in small watersheds, soil and water conservation measures have a good effect on reducing runoff and sediment for medium- and small-intensity rainfall, but their effect on reducing runoff and sediment for high-intensity rainstorms will be attenuated. Therefore, rainfall is the dominant factor in the formation of erosion disasters.
Because this study is based on the rainfall erosion process of indoor simulation experiments, it is impossible to accurately simulate complex natural conditions, such as wind, light, air humidity, and other factors. Therefore, there are still some differences between this study and the natural loess plateau small watershed rainfall erosion process. In a future study, we will revise and verify this research’s conclusion combined with the observation data of the field test area.
Author Contributions
Conceptualization, Z.Y. and J.Y.; methodology, Z.Y.; software, P.Z.; validation, P.Z., Y.Z., L.L. and D.Z.; formal analysis, J.Y.; investigation, Z.Y.; resources, P.Z.; data curation, J.Y.; writing—original draft preparation, J.Y.; writing—review and editing, Z.Y.; visualization, J.Y. All authors have read and agreed to the published version of the manuscript.
Funding
This study is supported by the National Natural Science Foundation of China (No. 42041006), Natural Science Foundation of Henan Province excellent Youth Project (No. 212300410060), National Natural Science Foundation of China (No. 41971346), National Key Research Priorities program of China—Variation mechanism and trend prediction of water and sediment in the Yellow River Basin (2016YFC0402402).
Institutional Review Board Statement
Not applicable.
Informed Consent Statement
Not applicable.
Data Availability Statement
Not applicable.
Conflicts of Interest
The authors declare no conflict of interest.
References
- Easterling, D.R.; Meehl, G.A.; Parmesan, C.; Changnon, S.A.; Karl, T.R.; Mearns, L.O. Climate extremes: Observations, modeling, and impacts. Science 2019, 289, 2068–2074. [Google Scholar] [CrossRef] [PubMed] [Green Version]
- Sun, W.Y.; Mu, X.M.; Song, X.Y.; Wu, D.; Cheng, A.F.; Qiu, B. Changes in extreme temperature and precipitation events in the Loess Plateau (China) during 1960–2013 under global warming. Atmos. Res. 2016, 168, 33–48. [Google Scholar] [CrossRef]
- Farsi, N.; Mahjouri, N. Evaluating the Contribution of the Climate Change and Human Activities to Runoff Change under Uncertainty. J. Hydrol. 2019, 574, 872–891. [Google Scholar] [CrossRef]
- Niu, Y.; Wu, X.; Gao, Z.; Li, Y. Characteristics of soil erosion on engineering accumulation slope under the rainfall and inflow conditions. Trans. Chin. Soc. Agric. Eng. 2020, 36, 69–77. [Google Scholar] [CrossRef]
- Sharma, A.; Tiwari, K.N.; Bhadoria, P. Effect of land use land cover change on soil erosion potential in an agricultural watershed. Environ. Monit. Assess. 2010, 173, 789–801. [Google Scholar] [CrossRef]
- Wang, Z.J.; Jiao, J.Y.; Rayburg, S.; Wang, Q.L.; Su, Y. Soil erosion resistance of “Grain for Green” vegetation types under extreme rainfall conditions on the Loess Plateau, China. Catena 2016, 141, 109–116. [Google Scholar] [CrossRef]
- Chang, M.D. Soil Erosion in Small Watershed of Longdong Loess Plateau. Bull. Soil Water Conserv. 1986, 3, 44–49. [Google Scholar] [CrossRef]
- Gong, S.Y.; Jiang, D.L. Soil Erosion and Control of Small Watershed in Loess Hilly and Gully Area of Middle Yellow River. Sci. China 1978, 6, 671–678, 707. [Google Scholar]
- Jiang, D.L.; Zhao, C.X.; Chen, Z.L. Preliminary Analysis on Source of Runoff and Sediment in Small Watershed of Middle Yellow River. Acta Geogr. Sin. 1966, 1, 20–36. [Google Scholar]
- Chen, H.Y.; Cui, P.; Zhou, G.G.D.; Zhu, X.H.; Tang, J.B. Experimental study of debris flow caused by domino failures of landslide dams. Int. J. Sediment Res. 2014, 29, 414–422. [Google Scholar] [CrossRef]
- Cao, W.Z. The characteristics of rainstorm and flood in small watershed and its influence on river channel erosion and deposition—Taking the Gejin River and the Alingda River as examples. Water Resour. Power 2011, 29, 22–24, 43. [Google Scholar]
- Hou, J.; Liu, X.N.; Jiang, B.H.; Yang, F.G. Experimrntal study of water depth in steep channl flow carring sedients by mountain torrents. J. Hydraul. Eng. 2012, 43, 48–53. [Google Scholar] [CrossRef]
- Wischmeier, W.H.; Smith, D.D. Predicting Rainfall-Erosion Losses from Cropland East of the Rocky Mountains. 1965. Available online: https://xueshu.baidu.com/usercenter/paper/show?paperid=92bf731647ae487602f4b34368848d3d&site=xueshu_se (accessed on 22 May 2022).
- Wischmeier, W.H.; Smith, D.D. Predicting Rainfall Erosion Losses A Guide To Conservation Planning. 1978. Available online: https://xueshu.baidu.com/usercenter/paper/show?paperid=ce79cdb85a57324b5f094b598fadfb78&site=xueshu_se&hitarticle=1 (accessed on 22 May 2022).
- Imamoglu, A.; Dengiz, O. Determination of soil erosion risk using RUSLE model and soil organic carbon loss in Alaca catchment (Central Black Sea region, Turkey). Rend. Fis. Acc. Lincei 2016, 28, 11–23. [Google Scholar] [CrossRef]
- Phinzi, K.; Ngetar, N.S. The assessment of water-borne erosion at catchment level using GIS-based RUSLE and remote sensing: A review. Int. Soil Water Conserv. Res. 2019, 7, 27–46. [Google Scholar] [CrossRef]
- Verma, A.K.; Jha, M.K.; Mahana, R.K. Evaluation of HEC-HMS and WEPP for simulating watershed runoff using remote sensing and geographical information system. Paddy Water Environ. 2010, 8, 131–144. [Google Scholar] [CrossRef]
- Fernández, C.; Vega, J.A.; Vieira, D. Assessing soil erosion after fire and rehabilitation treatments in NW Spain: Performance of rusle and revised Morgan–Morgan–Finney models. Land Degrad. Dev. 2010, 21, 58–67. [Google Scholar] [CrossRef] [Green Version]
- Xu, Y.Q.; Shao, X.M. Estimation of soil erosion supported by GIS and RUSLE: A case study of Maotiaohe Watershed, Guizhou Province. J. Beijing For. Univ. 2006, 28, 67–71. [Google Scholar]
- Lazzari, M.; Gioia, D.; Piccarreta, M.; Danese, M.; Lanorte, A. Sediment yield and erosion rate estimation in the mountain catchments of the Camastra artificial reservoir (Southern Italy): A comparison between different empirical methods. Catena 2015, 139, 272–273. [Google Scholar] [CrossRef]
- Wang, J.; Hu, S.W.; Zhou, Y. Application of Artificial Simulation of Rainfall Devices to Soil and Water Conservation. Res. Soil Water Conserv. 2005, 4, 188–190, 194. [Google Scholar]
- Xu, X.Z.; Liu, D.Q.; Zhang, H.W.; Dong, Z.D.; Zhu, M.D. Experimental study on indoor simulated rainfall. J. Beijing For. Univ. 2006, 5, 52–58. [Google Scholar]
- Zhang, J.; Hu, Q.W.; Wang, S.H.; Ai, M.Y. Variation Trend Analysis of Runoff and Sediment Time Series Based on the R/S Analysis of Simulated Loess Tilled Slopes in the Loess Plateau, China. Sustainability 2018, 10, 17. [Google Scholar] [CrossRef] [Green Version]
- Zhang, P.; Yao, W.Y.; Liu, G.B.; Xiao, P.Q. Experimental study on soil erosion prediction model of loess slope based on rill morphology. Catena 2019, 173, 424–432. [Google Scholar] [CrossRef]
- Quan, X.; Shi, H.W.; Cai, Q.G.; He, J.J.; Zheng, M.G.; Sun, L.Y.; Fang, H.Y. Experimental study on the settlement of loess slope under indoor simulated rainfall. J. Shaanxi Norm. Univ. Nat. Sci. Ed. 2021, 49, 98–106. [Google Scholar] [CrossRef]
- Zhang, P.; Zheng, F.L.; Wang, B.; Chen, J.Q.; Ding, X.B. Comparative Study of Monitoring Gully Erosion Morphology Change Process by Using High Precision GPS, Leica HDS 3000 Laser Scanner and Needle Board Method. Bull. Soil Water Conserv. 2008, 5, 11–15, 20. [Google Scholar]
- Day, S.S.; Gran, K.B.; Belmont, P.; Wawrzyniec, T. Measuring bluff erosion part 1: Terrestrial laser scanning methods for change detection. Earth Surf. Process. Landf. 2013, 38, 1055–1067. [Google Scholar] [CrossRef]
- Zhang, P.; Tang, H.W.; Yao, W.Y.; Zhang, N.; Lv, X.Z. Experimental investigation of morphological characteristics of rill evolution on loess slope. Catena 2016, 137, 536–544. [Google Scholar] [CrossRef]
- Vinci, A.; Brigante, R.; Todisco, F.; Mannocchi, F.; Radicioni, F. Measuring rill erosion by laser scanning. Catena 2015, 124, 97–108. [Google Scholar] [CrossRef]
- Seeger, M. Uncertainty of factors determining runoff and erosion processes as quantified by rainfall simulations. Catena 2007, 71, 56–67. [Google Scholar] [CrossRef]
- Zhang, P.; Yao, W.Y.; Tang, H.W.; Xiao, P.Q. Rill morphology change and its effect on erosio and sediment yield on loess slope. Trans. Chin. Soc. Agric. Eng. 2018, 34, 114–119. [Google Scholar] [CrossRef]
- Xue, S.B.; Li, P.; Shen, Z.Z.; Su, Y.Y. Study on sediment deposition processes under rainfall conditions. J. Sediment Res. 2021, 46, 55–60. [Google Scholar] [CrossRef]
- Xiao, P.Q.; Wang, L.L.; Yang, J.S.; Jiao, P.; Wang, Z.H. Study on sediment reduction benefits of soil and water consrevation measures in typical watersheds in the Loess Plateau under heavy rainfall. Shuili Xuebao 2020, 51, 1149–1156. [Google Scholar] [CrossRef]
- Xu, J.H.; Jin, S.Y.; Gao, Y.J.; Gao, W.Y. Analysis of the Effect of Water and Soil Conservation Measures on Storm Water and Sediment Reduction of the Flood on July 26, 2017. Yellow River 2017, 39, 22–26. [Google Scholar]
Publisher’s Note: MDPI stays neutral with regard to jurisdictional claims in published maps and institutional affiliations. |
© 2022 by the authors. Licensee MDPI, Basel, Switzerland. This article is an open access article distributed under the terms and conditions of the Creative Commons Attribution (CC BY) license (https://creativecommons.org/licenses/by/4.0/).







