Abstract
In this work, an in situ carbonization technique was employed using a dehydration reaction to construct an evaporator with a bilayer structure using polyvinyl alcohol (PVA) sponge as the raw material for solar-driven interfacial evaporation. Its top layer was uniformly covered with carbon species prepared from dehydration of the PVA sponge, which promoted light capture to warm water for steam generation. Meanwhile, its interconnected porous structure remained intact after carbonization of the PVA sponge and was accompanied by the presence of some oxygen-containing functional groups, which preserved its hydrophilicity. Furthermore, its bottom layer shared the micro-scale porous characteristic and favorable hydrophilicity of the pristine PVA sponge. The results illustrated that the prepared CS-3 evaporator was provided with remarkable evaporation performance, mirroring an evaporation rate of 1.38 kg m−2 h−1. Additionally, a stable evaporation rate at around 1.36 kg m−2 h−1 was observed during the 10-cycle test. More importantly, the water desalinated from seawater was drinkable, which met the World Health Organization (WHO) standard. Consequently, it can be concluded that the evaporator developed using in situ carbonization of PVA sponge possessed many development prospects in the field of seawater desalination.
1. Introduction
Increasing population size and worsening environment has led to severe freshwater shortages, which has driven considerable advances in high-performance technologies for the production of drinking water [1,2]. Preferentially, solar steam generation based on inexhaustible seawater represents an economical and effective strategy to alleviate the scarcity of clean water because it utilizes green abundant solar energy to evaporate water without carbon emissions [3,4,5,6]. Nevertheless, conventional solar evaporation systems frequently employ the harvested solar energy to warm bulk water for steam generation [7,8,9], thus, exhibiting poor evaporation efficiency due to heat dissipation to the surrounding by thermal convection or/and irradiation. In contrast, a solar-driven interfacial evaporation system enabled highly efficient solar evaporation by heating water at the air–water interface to generate vapor.
At present, a high-performance solar-driven interfacial evaporator is considered to possess these following features: (1) a high sunlight absorptivity for harvesting solar energy in a broad-spectrum range; (2) sufficient water supply during evaporation; and (3) efficient thermal management by localizing heat at the evaporation interface [10,11,12]. Thus, it was concluded that the materials with photothermal conversion characteristics diametrically associated with optical trapping, water transmission, steam escape, and long-term stable operation, could significantly affect the evaporation performance, which has received extensive attention [13,14].
Currently, precious metal nanoparticles are considered to be more effective for improving solar-to-steam performance due to their localized surface plasmon resonances (LSPRs) [15,16,17]. As described by Mu et al. [18], gold nanoparticle composite film was developed for solar evaporation and enabled better thermal conversion efficiency to 77% under an illumination of 3.4 kW m−2. Li et al. [19] prepared a multifunctional cotton with silver nanoparticles and its evaporation rate was 1.37 kg m−2 h−1 at 1.0 kW m−2 due to an improvement in optical harvest. Although considerable solar-to-vapor efficiencies have been achieved using precious metal-based solar-driven interfacial evaporators, these precious metal nanoparticles tend to fuse together at high temperature due to the prolonged solar irradiation, resulting in a decrease in solar-to-vapor efficiency over time. Simultaneously, the expensive price of precious metals significantly restricted their further large-scale application. In contrast, carbon-based materials, such as carbon nanotube, carbon black, and bio-derived carbon, exhibited better development potential in solar steam generation due to their comparable water evaporation performance, higher cost-effectiveness, and wider source of raw materials [20,21,22]. Especially, carbon-based porous materials with high porosity, which can lift water to the evaporation interface through capillary action, were regarded as efficient evaporators. For example, the umbrella-like carbonized mushrooms were reported as solar evaporative generators, which enabled conversion of solar energy into heat energy for generating steam, achieving 78% photothermal conversion efficiency at 1.0 kW m−2 irradiation [23]. A loofah sponge evaporator with a rich porous structure was developed using compression and carbonization at 800 °C, achieving an evaporation efficiency of up to 80.7% under 1.0 kW m−2 illumination [24]. Liu et al. [25] developed an artificial tree using a procedure of surface carbonization of wood, which was employed for solar steam generation to attain water evaporation efficiency of 89% at 10 kW m−2. Although stately evaporation efficiency has been achieved on carbon-based evaporators, the high-temperature carbonization process required more energy and made its original structure defective to a certain extent, thus, limiting its wide application. Based on these statements mentioned above, the current priority is still to develop highly efficient carbon-based solar-driven interfacial evaporators.
In this work, we successfully fabricated a porous evaporator with a bilayer structure using a facile in situ carbonization technique using the dehydration reaction for solar-driven interfacial evaporation. A bilayer structure with a carbonized top layer and pristine bottom layer was constructed on a porous polyvinyl alcohol (PVA) sponge. A series of characterizations were employed to investigate the light absorption properties, hydrophilic properties, surface properties, morphological structure and composition, as well as crystal structure. Additionally, solar desalination experiments were carried out to determine the optimal carbonization level. Our work demonstrated that the developed evaporator was believed as a prospective candidate for alleviating water scarcity through seawater desalination.
2. Materials and Methods
2.1. Materials
Concentrated sulfuric acid with a mass concentration of 98% was received from Shanghai Suyi Chemical Reagent Co., Ltd., Shanghai, China. Sodium chloride (NaCl) was purchased from Sinopharm Chemical Reagent Co., Ltd., Shanghai, China. PVA sponge and extruded polystyrene (XPS) board were supplied by Qiaolin Car Product Store and Qianjiang Energy-Saving Building Materials Store on Taobao.com, respectively. Homemade deionized (DI) water was provided in our laboratory.
2.2. In Situ Carbonization of PVA Sponge
Initially, 1.47 mL concentrated sulfuric acid was slowly poured into a certain amount of DI water under stirring. The resulting solution was transferred into a 50 mL volumetric flask using a glass rod and made up to the mark to obtain 5 wt% sulfuric acid. Subsequently, the PVA sponge was cut into 40 × 40 mm2 pieces and placed in a 60 mm diameter petri dish containing 6 mL sulfuric acid (5 wt%) until it was completely absorbed by the PVA sponge. Then, the sulfuric-acid-impregnated PVA sponge was carbonized using the dehydration reaction at 100 °C for 50, 70, 90, and 100 min, and the corresponding samples were named as CS-1, CS-2, CS-3, and CS-4. In addition, the PVA sponge without sulfuric acid impregnation was not carbonized, which was noted as CS-0.
2.3. Characterization
Before and after in situ carbonization, X-ray diffraction (XRD) patterns and surface functional groups of PVA sponges were measured using a SmartLab3KW diffractometer and a VERTEX 80V attenuated total reflection Fourier transform infrared (FTIR) spectrometer, respectively. A scanning electron microscope (SEM; Quanta 250, FEI, USA) was used to investigate the morphology and porous structure with elemental analysis on the PVA sponge using an energy dispersive spectrometer (EDS). The wettability was probed by a DSA30S contact angle measuring instrument. A Lambda 750 ultraviolet–visible–near infrared (UV-Vis-NIR) spectrophotometer was employed to analyze the optical absorption properties. An infrared thermal imager (TI100, Fluke, USA) was used to obtain thermograms. Light intensity was recorded using a CEL-NP2000 optical power meter. Ion concentrations of seawater before and after desalination were monitored using a Model iCAP 6500 laser ablation inductively coupled plasma mass spectrometer (LA-ICP-MS).
2.4. Evaporation Experiment
Evaporation experiments were performed at 1 kW m−2 to evaluate the evaporation performance of these in situ carbonized PVA sponges. As shown in Figure 1, a cylindrical container with an inner diameter of 36 mm and a height of 35 mm was used to hold 3.5 wt% NaCl solution. The in situ carbonized PVA sponge embedded in an XPS board was able to float on salt solution, with one end in contact with the salt solution and the other end in contact with sunlight. At the same time, the XPS board acted as heat insulation. The PVA sponge had a hydrophilic property, which ensured adequate water supply during evaporation. Further, a CEL-HXF300 Xenon lamp was used for simulating sunlight, which was coupled with an AM1.5 filter to irradiate the top layer of the prepared evaporator for generation of heat. The mass change of the evaporation system was monitored in real time using a JJ224BF electronic balance and recorded using a computer. The ambient temperature and relative humidity were kept at 25 °C and 45%, respectively.
Figure 1.
Solar-driven interfacial evaporation system diagram.
The evaporation rate and evaporation efficiency of the evaporator were regarded as the major indicators of evaporation performance. The evaporation rate was calculated according to the following equation [26]:
where Re represents the evaporation rate (kg m−2 h−1), ∆m, A, and t represent weight loss (kg), illumination area (m2), and time (h), respectively.
Further, evaporation efficiency of the evaporator was described using the following expression [26]:
in which η is the evaporation efficiency (%) and q indicates the optical power received per unit irradiation area (kW m−2). Moreover, hlv was affected by the sensible and latent heat during steam generation, which was expressed as follows [26]:
where ∆h, C, and ∆T symbolize evaporation enthalpy, corresponding to a value of 2257 kJ kg−1, specific heat capacity of 3.5 wt% NaCl solution (3.99 kJ kg−1 K−1), and temperature rise (K), respectively.
3. Results and Discussion
3.1. Characteristics
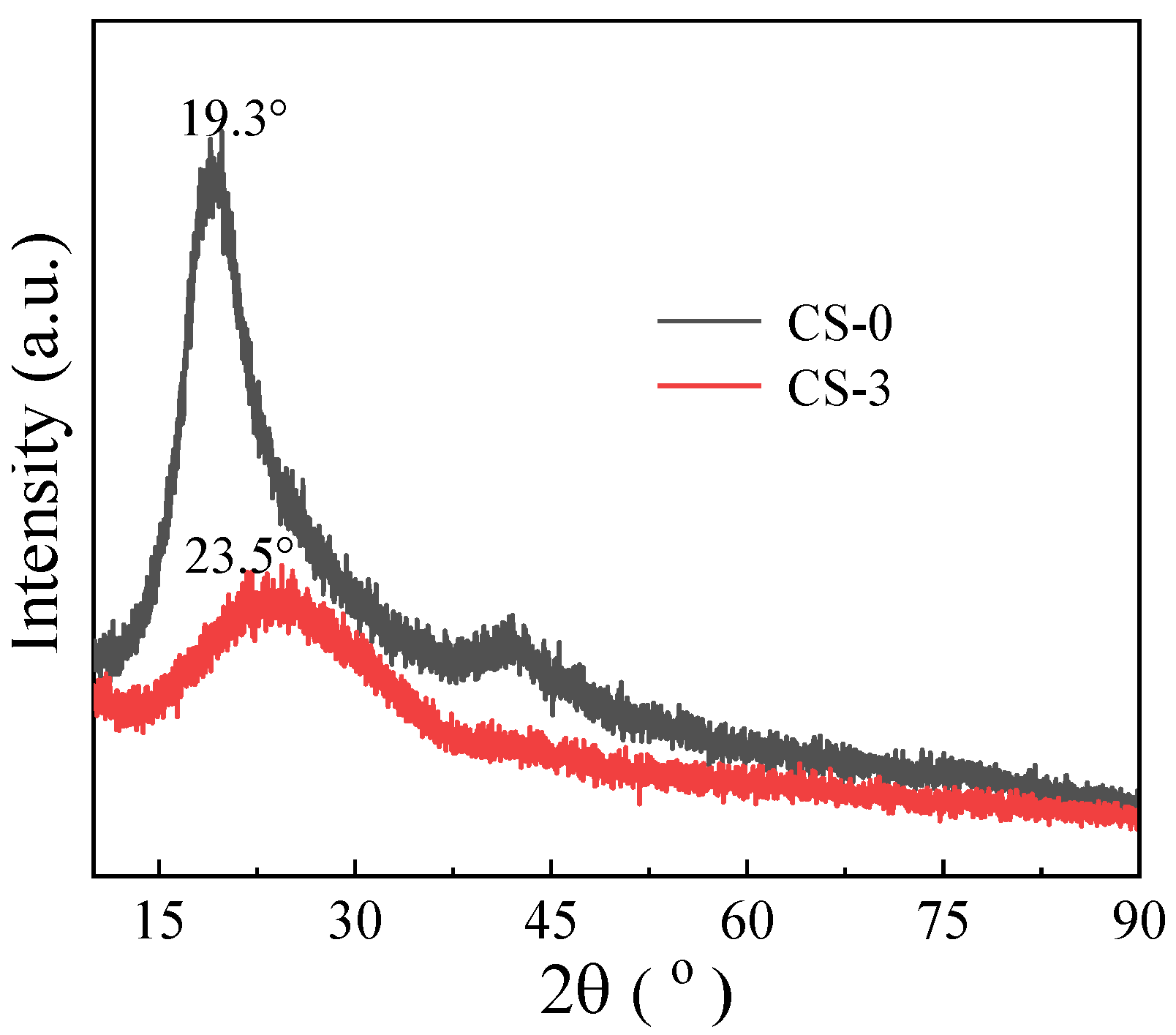
The XRD patterns of the CS-0 and the CS-3 are displayed in Figure 2. Obviously, a strong and sharp XRD peak located at 2θ of 19.3° on the CS-0 pattern suggests the amorphous character of the original PVA sponge [27]. After in situ carbonization, the XRD profile of the CS-3 exhibited a broad peak in the range of 20–30°, mirroring the presence of amorphous carbon [13]. The above analysis further confirmed a successful in situ carbonization of the pristine PVA sponge.
Figure 2.
The XRD spectra of CS-0 and CS-3.
In order to identify the chemical composition of the PVA sponges before and after in situ carbonization, the FTIR spectra of the CS-0 and the CS-3 are illustrated in Figure 3. The broad absorption peak of the pristine PVA sponge at 3403 cm−1 was due to the O-H stretching vibration [27], reflecting that the PVA sponge was hydrophilic. The broad C-H alkyl stretching bands were observed around 2861–2941 cm−1. The characteristic peak at 1647 cm−1 was assigned to C=O stretching [28], which was caused by incomplete decomposition of the carboxyl group. The peak at 1406 cm−1 referred to C-H bending vibration, while the peak at 1008 cm−1 was assigned to the stretching vibration peak of C-O [29]. Several absorption peaks were located at 1173, 1130, and 1066 cm−1, corresponding to the C-O-C-C-O-C acetal structure in the PVA sponge [30]. The -CH2 stretching vibration occurred at 796 cm−1. A similar FTIR curve but accompanied by weaker peak intensities was observed on the CS-3 as compared to the CS-0, indicating the feasibility of in situ carbonization of the PVA sponge.
Figure 3.
FTIR spectra of CS-0 and CS-3.
Solar absorption ranging from 250 to 2500 nm indicated the optical absorption capabilities of the pristine and carbonized PVA sponges, as shown in Figure 4. As expected, these carbonized PVA sponges were in possession of superb optical absorption characteristics over the entire spectral range relative to that of the pristine PVA sponge. The pristine PVA sponge absorbed less light, with an absorbance as low as 30%, particularly in the visible and near-infrared regions. As the carbonization time was prolonged, more light was captured and converted into heat to generate steam, corresponding to an absorbance of up to 75% for the CS-3. The excellent optical absorption ability of the CS-3 was due to the successful in situ doping of carbon materials into the PVA sponge that possessed first-rate light absorption, which can accelerate steam generation. However, the extension of further carbonization time resulted in the deterioration of light absorption ability, which was attributed to the destruction of partial pore structure of the PVA sponge. All in all, the intact porous structure and successful carbonization endowed the PVA sponge with favorable light absorption properties.
Figure 4.
Solar absorption of pristine and carbonized PVA sponges.
The morphologies and pore structures of the pristine and carbonized PVA sponges were analyzed using low- and high-magnification SEM pictures. The pristine PVA sponge exhibited micron-scale porous structure features in Figure 5a,b, which were connected with each other to form interpenetrating channels. Further, different cavities with rough surfaces appeared on part of the sponge skeleton in the magnified SEM picture, which increased the interfacial area. This unique porous structure, along with the increased interfacial area, significantly expanded the light path and heightened optical harvesting, while acted as highways for water and salt transport as well as channels for rapid steam escape. Moreover, the porous structure with a rough surface analogous to the original PVA sponge appeared on the carbonized PVA sponge in Figure 5c,d, indicating that the in situ carbonization did not destroy the skeleton structure of the PVA sponge. Additionally, as shown in Figure 5e,g, the carbon element was uniformly covered on the carbonized PVA sponge, indicating the formation of a uniform carbon-containing photothermal layer. Moreover, there was also a large oxygen element distribution, which was attributed to the incomplete decomposition of oxygen-containing functional groups. This was consistent with the previous FTIR analysis. The well-developed porous structure combined with uniform carbon distribution was beneficial to the subsequent photothermal conversion and water evaporation.
Figure 5.
SEM images: (a,b) pristine PVA sponge and (c,d) carbonized PVA sponge at different magnifications; EDS mapping of carbonized PVA sponge: (e) electronic image and the element distribution of (f) C, (g) O on carbonized PVA sponge.
The wetting properties of the carbonized PVA sponge were directly related to water transport capability, which was characterized by water contact angle. As shown in Figure 6, the water contact angle of the pristine PVA sponge was 59.5° at 0 s, which represented its hydrophilic nature. After resting for 1.5 s, its initial water contact angle abruptly decreased from 59.5° to 52.0°, indicating that the capillary action and abundant hydrophilic functional groups induced the diffusion of water into the porous channels (see previous SEM and FTIR profile). After in situ carbonization, the water contact angle varied from 64.9° at 0 s to 54.8°, reflecting comparable hydrophilic performance as that of pristine PVA sponges. On the one hand, the porous structure played a key role in its hydrophilic properties. On the other hand, some undecomposed hydrophilic groups should not be ignored regarding the aid of water transport. The hydrophilicity intensified the water flow through the carbonized PVA sponge to the thermal accumulation area and guaranteed an adequate water supply during evaporation, thereby boosting evaporation performance.
Figure 6.
Water contact angles of (a) pristine PVA sponge and (b) carbonized PVA sponge.
3.2. Solar Water Evaporation
The carbonation time of the PVA sponge has a decisive influence on evaporation performance, as described in Figure 7. With the prolongation of illumination time, the water in the evaporation system was gradually evaporated and changed into vapor. For the system with the original PVA sponge, mass loss was barely 0.59 g after 30 min of illumination. However, mass change of the system was significantly elevated due to the intensified optical absorption capacity accompanied by the carbonized PVA sponges. Further, weight loss of the system increased with carbonation time, corresponding to a maximum mass change of 0.96 g in the CS-3 system. This was because more carbon species were dispersed on the sponge skeleton, which was able to capture more solar energy to heat for steam generation, in line with the previous FTIR and UV-Vis-NIR analysis. Surprisingly, a decline trend in mass loss was accompanied by a further increase in the carbonization time, which responded to a 0.87 g mass loss in the CS-4 system. This was because the ultra-long carbonization destroyed the skeleton structure of the PVA sponge, which severely affected light harvesting and water transport during evaporation, resulting in poor evaporation performance. Intentionally, the optimal carbonization time was considered to be 90 min; in other words, this was also equivalent to the CS-3. In addition, the evaporation rate and evaporation efficiency were analogous to mass change when the PVA sponge was in situ carbonized at different periods. Interestingly, the CS-3 system possessed the optimum evaporation performance due to its superior light trapping, unique porous structural features, and hydrophilicity, corresponding to an evaporation rate of 1.38 kg m−2 h−1 and an evaporation efficiency of 81.6%.
Figure 7.
(a) Mass change; (b) evaporation rate and efficiency.
Since surface temperature of the carbonized PVA sponge was critical for adequate heat accumulation at the evaporation interface, it was monitored in this section and the results are shown in Figure 8. It can be seen that when the systems were exposed to sunlight for 30 min, their surface temperatures were 35.5, 37.6, 43.3, 45.8, and 43.4 °C. Among them, the difference between the maximum and the minimum surface temperature was above 10 °C. Meanwhile, the CS-3 system presented an optimal surface temperature due to the elevated light absorption and poor heat dissipation, consequently stimulating more vapor generation. However, a lower surface temperature occurred on the CS-4 system, which was attributed to its poor light absorption ability due to the damaged porous structure. The results indicated that better heat localization of the CS-3 system was beneficial for the conversion of water to vapor, thus, boosting evaporation performance.
Figure 8.
Images of surface temperature of carbonized PVA sponges.
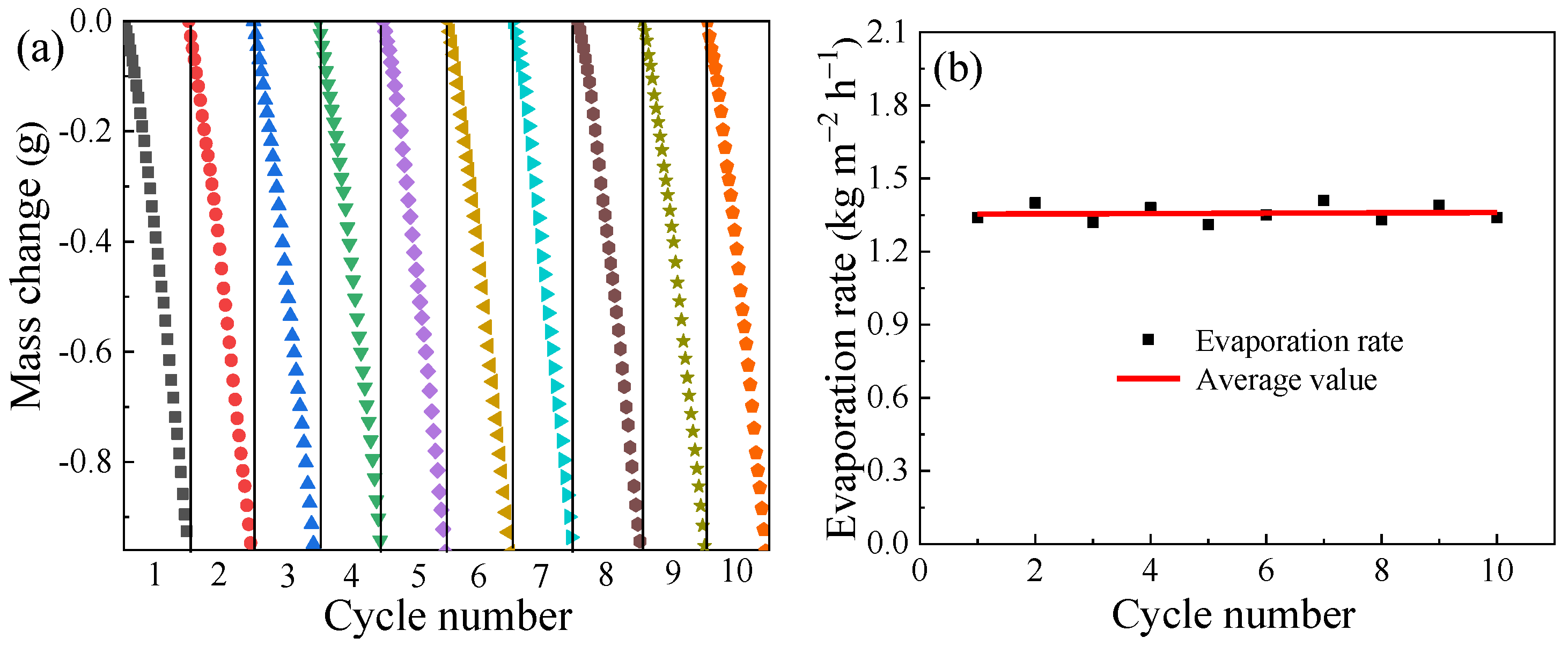
3.3. Reusability
Considering the stability of the carbonized PVA sponge in practical applications, the durability of the evaporation system with the CS-3 was investigated using a 10-cycle test. During the entire cycle test, mass change of the CS-3 system did not decrease with each cycle, while the corresponding evaporation rate at 1 kW m−2 remained almost constant at an average value of 1.36 kg m−2 h−1 without any performance decay (see Figure 9). After the 10-cycle test, no salt accumulation appeared on the surface of the CS-3, reflecting its superior salt resistance owing to its porous characteristic. The reason was based on this fact that the remarkable hydrophilicity of the CS-3 facilitated the dissolution of salt, and its micron-scale porous structure shaped a transport channel for salt, resulting in good salt tolerance performance. These results demonstrated that the CS-3 as an evaporator has exceptional stability and durability for seawater desalination.
Figure 9.
(a) Mass change; (b) evaporation rate for the 10-cycle test.
3.4. Seawater Desalination
The experiment on desalination was performed using real seawater obtained from Lianyungang, Jiangsu, China, where the CS-3 was exposed to 1 kW m−2 illumination for 30 min. It was well known that the seawater principally contained Na+, K+, Ca2+, and Mg2+. Therefore, the ions mentioned above were measured before and after seawater desalination, and the results are shown in Figure 10. It can be seen that, after desalination, the corresponding ion concentrations in the condensed water quickly dropped by 3–4 orders of magnitude, which also conformed to the drinking water standard of the World Health Organization (WHO) [31]. This further reflected that the evaporator developed using the in situ carbonization technique was a potential candidate in the field of seawater desalination.
Figure 10.
Images of the surface temperature of carbonized PVA sponges.
4. Conclusions
In this work, we successfully fabricated an evaporator using PVA sponge as the raw material using an in situ carbonization scheme and applied it to solar desalination for freshwater production. The developed evaporator with a bilayer structure had interconnected porous channels and a carbonized top layer with evenly distributed carbon elements, which can convert solar energy into thermal energy to evaporate water. More importantly, the micron-scale porous structure of the pristine bottom layer and plentiful oxygen-containing functional groups provided bidirectional channels for water transmission and dissolution-diffusion of salt, which significantly encouraged long-term stable operation. After in situ carbonization for 90 min, the resulting sample named as the CS-3 was regarded as an efficient vaporizer and demonstrated a first-rate evaporation rate (1.38 kg m−2 h−1) and evaporation efficiency (81.6%) at 1 kW m−2 illumination for 30 min with a remarkable durability in 10 cycle tests. Importantly, the water desalinated from seawater was drinkable according to the WHO standard. Our research revealed that the in situ carbonized PVA sponge by dehydration reaction was expected to be a potential alternative for solar-driven interfacial evaporation.
Author Contributions
Conceptualization, H.C.; formal analysis, D.W.; investigation, D.W.; data curation, Z.S.; writing—original draft preparation, H.C.; writing—review and editing, Y.Z.; project administration, H.C. All authors have read and agreed to the published version of the manuscript.
Funding
This research was funded by Anhui Provincial Natural Science Foundation (2108085QB52), the Fourth Batch of Outstanding Academic and Technical Backbone Projects of Suzhou University (2020XJGG05), Key Project of Anhui Province Education Department (KJ2021A1114), Anhui Provincial College Students Innovation and Entrepreneurship Training Program (S202110379079), Suzhou University School-level Scientific Research Platform (2021XJPT09).
Institutional Review Board Statement
Not applicable.
Informed Consent Statement
Not applicable.
Data Availability Statement
Not applicable.
Acknowledgments
The authors sincerely appreciate Tongxing Zhang and Ke Liu from China University of Mining and Technology for their suggestion on the evaporation experiment.
Conflicts of Interest
The authors declare no conflict of interest.
References
- Meng, F.; Ju, B.; Zhang, S.; Tango, B. Nano/microstructured materials for solar-driven interfacial evaporators towards water purification. J. Mater. Chem. A 2021, 9, 13746–13769. [Google Scholar] [CrossRef]
- Zhou, X.; Li, J.; Liu, C.; Wang, F.; Chen, H.; Zhao, C.; Sun, H.; Zhu, Z. Carbonized tofu as photothermal material for highly efficient solar steam generation. Int. J. Energy Res. 2020, 44, 9213–9221. [Google Scholar] [CrossRef]
- Zhang, T.X.; Zhao, J.X.; Liang, L.; Guo, C.L. Constructing a solar evaporator with salt-collecting paper by stacking hydrophilic sponges for freshwater production and salt collection. ACS Appl. Mater. Interfaces 2022, 14, 668–676. [Google Scholar] [CrossRef]
- Zhu, L.M.; Li, J.H.; Zhong, L.S.; Zhang, L.; Zhou, M.L.; Chen, H.; Hou, Y.P.; Zheng, Y.M. Excellent dual-photothermal freshwater collector with high performance in large-scale evaporation. Nano Energy 2022, 100, 107441. [Google Scholar] [CrossRef]
- Guo, Q.J.; Yi, H.; Jia, F.F.; Song, S.X. Vertical porous MoS2/hectorite double-layered aerogel as superior salt resistant and highly efficient solar steam generators. Renew. Energy 2022, 194, 68–79. [Google Scholar] [CrossRef]
- Guo, C.; Zhao, J.; Zhang, W.; Miao, E.; Xie, Y. Constructing 3D optical absorption holes by stacking macroporous membrane for highly efficient solar steam generation. Renew. Energy 2020, 159, 944–953. [Google Scholar] [CrossRef]
- Tong, Y.; Boldoo, T.; Ham, J.; Cho, H. Improvement of photo-thermal energy conversion performance of MWCNT/Fe3O4 hybrid nanofluid compared to Fe3O4 nanofluid. Energy 2020, 196, 117086. [Google Scholar] [CrossRef]
- Wang, K.; Xing, J.; Kan, A.; Kan, A.; Xie, H.; Yu, W. Investigation of enhanced volumetric solar steam generation by a lower concentration of ZrC nanofluid. Nano 2020, 15, 2050030. [Google Scholar] [CrossRef]
- Zhang, W.; Li, Z.; Zhang, C.; Lin, Y.; Zhu, H.; Meng, Z.; Wu, D. Improvement of the efficiency of volumetric solar steam generation by enhanced solar harvesting and energy management. Renew. Energy 2022, 183, 820–829. [Google Scholar] [CrossRef]
- Guo, C.L.; Zhao, J.X.; Zhang, T.X. Development of a modified composite structure from polyurethane sponge for desalinating seawater polluted by oil. Desalination 2022, 524, 115471. [Google Scholar] [CrossRef]
- Cao, H.X.; Zhang, S.; Jiang, T.; Wang, D.; Zhu, Y.Y.; Bian, Z.T. Preparing photo-thermal conversion membrane with CuS-Multi walled carbon nanotube (MWCNT) composite for solar-driven interfacial evaporation. Mater. Lett. 2022, 317, 132145. [Google Scholar] [CrossRef]
- Jin, M.T.; Wu, Z.T.; Guan, F.Y.; Zhang, D.; Wang, B.X.; Sheng, N.; Qu, X.Y.; Deng, L.L.; Chen, S.Y.; Chen, Y.; et al. Hierarchically designed three-dimensional composite structure on a cellulose-based solar steam generator. ACS Appl. Mater. Inter. 2022, 14, 12284–12294. [Google Scholar] [CrossRef] [PubMed]
- Cao, H.X.; Jiao, S.K.; Zhang, S.; Xu, J.G.; Wang, H.Y.; Guo, C.L. In situ synthesizing C-CuO composite for efficient photo-thermal conversion and its application in solar-driven interfacial evaporation. Int. J. Energy Res. 2020, 45, 7829–7839. [Google Scholar] [CrossRef]
- Sun, B.; Han, Y.; Li, S.; Xu, P.; Han, X.; Nafady, A.; Ma, S.; Du, Y. Cotton cloth supported tungsten carbide/carbon nanocomposites as a Janus film for solar driven interfacial water evaporation. J. Mater. Chem. A 2021, 9, 23140–23148. [Google Scholar] [CrossRef]
- Chen, J.; Feng, J.; Li, Z.; Xu, P.; Wang, X.; Yin, W.; Wang, M.; Ge, X.; Yin, Y. Space-confined seeded growth of black silver nanostructures for solar steam generation. Nano Lett. 2019, 19, 400–407. [Google Scholar] [CrossRef] [PubMed]
- Cao, H.; Cui, T.; Wang, W.; Li, S.; Tang, X.; Wang, H.; Zhu, G. Green-synthesizing Ag nanoparticles by watermelon peel extract and their application in solar-driven interfacial evaporation for seawater desalination. Mater. Res. Express 2020, 7, 045005. [Google Scholar] [CrossRef]
- Chen, M.; He, Y.; Zhu, J. Preparation of Au-Ag bimetallic nanoparticles for enhanced solar photothermal conversion. Int. J. Heat Mass Transf. 2017, 114, 1098–1104. [Google Scholar] [CrossRef]
- Mu, S.; Nan, J.; Shi, C.; Tang, X.; Liu, S.; Chen, H.; Zhang, J.; Yang, B. A Flexible Polymer Nanofiber-Gold Nanoparticle Composite Film for Solar-Thermal Seawater Desalination. Macromol. Rapid Commun. 2020, 41, 2000390. [Google Scholar] [CrossRef]
- Li, R.; Zhou, C.; Yang, L.; Li, J.; Zhang, G.; Tian, J.; Wu, W. Multifunctional cotton with PANI-Ag NPs heterojunction for solar-driven water evaporation. J. Hazard. Mater. 2022, 424, 127367. [Google Scholar] [CrossRef]
- Miao, E.D.; Ye, M.Q.; Guo, C.L.; Liang, L.; Liu, Q.; Rao, Z.H. Enhanced solar steam generation using carbon nanotube membrane distillation device with heat localization. Appl. Therm. Eng. 2019, 149, 1255–1264. [Google Scholar] [CrossRef]
- Sun, S.J.; Sun, B.B.; Wang, Y.M.; Antwi-Afaric, M.F.; Mi, H.Y.; Guo, Z.H.; Liu, C.T.; Shen, C.Y. Carbon black and polydopamine modified non-woven fabric enabling efficient solar steam generation towards seawater desalination and wastewater purification. Sep. Purif. Technol. 2021, 278, 119621. [Google Scholar] [CrossRef]
- Wang, W.S.; Li, D.Y.; Zuo, S.Y.; Guan, Z.Y.; Xu, H.M.; Ding, S.; Xia, D.S. Discarded-leaves derived biochar for highly efficient solar water evaporation and clean water production: The crucial roles of graphitized carbon. Colloid Surf. A 2022, 639, 128337. [Google Scholar] [CrossRef]
- Xu, N.; Hu, X.; Xu, W.; Li, X.; Zhou, L.; Zhu, S.; Zhu, J. Mushrooms as efficient solarsteam-generation devices. Adv. Mater. 2017, 29, 1606762. [Google Scholar] [CrossRef]
- Zhang, Q.; Ye, Q.; Zhang, Y.S.; Cai, Q.L.; Dang, Y.Y.; Pang, H.Q.; Wu, X. High efficiency solar interfacial evaporator for seawater desalination based on high porosity loofah sponge biochar. Sol. Energy 2022, 238, 305–314. [Google Scholar] [CrossRef]
- Liu, H.; Chen, C.; Chen, G.; Kuang, Y.; Zhao, X.; Song, J.; Jia, C.; Xu, X.; Hitz, E.; Xie, H.; et al. High-performance solar steam device with layered channels: Artificial tree with a reversed design. Adv. Energy Mater. 2018, 8, 1701616. [Google Scholar] [CrossRef]
- Guo, C.L.; Miao, E.D.; Zhao, J.X.; Liang, L.; Liu, Q. Paper-based integrated evaporation device for efficient solar steam generation through localized heating. Sol. Energy 2019, 188, 1283–1291. [Google Scholar] [CrossRef]
- He, Z.W.; Wu, H.Q.; Shi, Z.; Kong, Z.; Ma, S.Y.; Sun, Y.P.; Liu, X.G. Facile preparation of robust superhydrophobic/superoleophilic TiO2-decorated polyvinyl alcohol sponge for efficient oil/water separation. ACS Omega 2022, 7, 7084–7095. [Google Scholar] [CrossRef]
- Liang, X.C.; Pei, X.P.; Yang, Y.; Jia, E.; Zhou, H.; Xiang, S.; Lin, F.; Tan, Y. A robust PVA/C/sponge composite hydrogel with improved photothermal interfacial evaporation rate inspired by the chimney effect. Desalination 2022, 531, 115720. [Google Scholar] [CrossRef]
- Aziz, S.B.; Hassan, A.Q.; Mohammed, S.J.; Karim, W.O.; Kadir, M.F.Z.; Chan, N.N.M.Y.; Chan, N.M.Y. Structural and optical characteristics of PVA: C-dot composites: Tuning the absorption of ultra violet (UV) region. Nanomaterials 2019, 9, 216. [Google Scholar] [CrossRef]
- Chang, Y.I.; Chen, J.W.; Cheng, W.Y.; Jang, L. The reinforcement of the physical strength of PVA sponge through the double acetalization. Sep. Purif. Technol. 2018, 198, 100–107. [Google Scholar] [CrossRef]
- World Health Organization. Guidelines for Drinking-Water Quality, 4th Editon, Incorporating the 1st Addendum; World Health Organization: Geneva, Switzerland, 2017. [Google Scholar]
Publisher’s Note: MDPI stays neutral with regard to jurisdictional claims in published maps and institutional affiliations. |
© 2022 by the authors. Licensee MDPI, Basel, Switzerland. This article is an open access article distributed under the terms and conditions of the Creative Commons Attribution (CC BY) license (https://creativecommons.org/licenses/by/4.0/).









