Abstract
Rural areas provide unique amenities for recreational purposes which are highly appreciated by urban inhabitants. This generates an important but often hidden relationship between the urban and the rural. The aim of our study is first to provide empirical evidence for this linkage and then to identify for Italy, at the municipal level, those rural areas which actually function as nature-based attractive clusters. We used the data coming from a participatory webGIS survey that asked 1632 Italian respondents to mark attractive nature related places locally, regionally, nationally and world-wide to explain quantitatively and qualitatively the relationship between urban and rural. From the survey, indicators were developed to rank the nature-based attractive clusters. Our results pointed out a major (almost double) flow from urban to rural for natural amenities, which increased with the spatial level at which attractive nature areas were marked. This analysis allowed for the identification rural clusters of Italian municipalities that form nodal points for nature-based urban well-being; shedding light on an often neglected urban-rural relationship. The method is applicable in other countries and may stimulate better planning and management strategies for improving rural areas, taking an urban-rural perspective.
1. Introduction
Urban and rural areas are interconnected places [1,2,3]. With the increase in complexity of the macro-economic context in which rural areas are located, rural territory, from an almost exclusively agricultural space, has become a place of interaction of an increasingly diversified economic and social fabric.
Several authors have identified the challenges stemming from the spatio-temporal variability of the rurality concept itself [3,4,5]. Woods [3] writes:
‘The theoretical innovation of conceptualizing the rural as a hybrid or networked space has been accompanied by renewed interest in the empirical investigation of the spatial settings in which rural and urban identities are most entangled (…)’.
According to a report of the OECD [6], a large set of links connect urban to rural areas. In order to rationalize urban-rural connections, five main categories have been identified, which help to identify the different factors of interaction: demographic linkages, economic transactions and innovation activity, delivery of public services, exchange in amenities and environmental goods and multi-level governance interactions.
In particular, the greatest empirical attention is given to assessing the flows from rural to urban, mainly in the workplace, shopping and commerce, education and training [6,7,8]. The urban dominance in understanding the urban-rural is also reflected in different classifications in the field of territorial development policies. Both on the international level [7] and the national level within National Inner Areas Strategy [9], these classifications are based on the identification of urban centres where people, jobs and services are concentrated. They act as gravity bases for the surrounding territories classified on the basis of socio-demographic profile or degree of remoteness. More specifically, Functional Urban Areas (FUAs), identified by the OECD and the European Commission, are of relevance because of their international comparability and increased popularity [7,10]. From a simple urban-rural dichotomy perspective, FUAs encompass the space covered by ‘rural’ -to- ‘urban’ relationships, identified through the commuting flows to the urban centre.
Rural areas also provide amenities for recreational purposes and symbolic values (often public goods) different from urban ones, which both urban and rural dwellers demand; they can be highly valued as factors to increase wellbeing also via the potential for tourism [6].
Different studies have shown the positive relationship between natural areas and human well-being [11,12,13,14], highlighting the repair effect of natural landscape with respect to urban environment [15] and emphasizing preferences of people for natural landscapes as recovery for mental fatigue [16,17]. In this context, rural areas have been linked to various aspects of well-being [18]: wild experiences can be physically active [19,20], be a vacation, a challenge [21], or they can be lived as collective experience, which provides social bonds and support [22], feelings of protection [17], experiences of equality and community [23].
In this context, knowledge focuses on the density of attractive resources, rather than the real dimension of the services offered by rural areas. In fact, it often results in a distance between potential and strategic actions moved by economic agents. Therefore, the aim of our study is (1) to empirically provide evidence for urban-rural linkage concerning nature-based wellbeing and (2) to identify, at the spatial level, rural areas which actually function as nature-based attractive clusters. It could represent an important tool to improve understanding the role of these areas.
To achieve the objectives described, the proposed work is divided into a methodological section, which defines the data collection of the greenmapper survey, and the approach used to determine the nature-based attractive clusters within the study area. Finally, the results obtained are reported and discussed.
2. Materials and Method
2.1. Study Area
The empirical analysis focuses on Italy. The highly anthropized Italian soil has various characteristics from volcanic, to endolagunar and calcareous (Figure 1a), while the hilly areas are predominant compared to the mountainous and flat areas (Figure 1b). The average altitude of the territory is around 337 m a.s.l. There are 871 protected natural areas in Italy for a total of about 31,000 km2 of land area (equal to 10.5% of the Italian surface) and about 28,000 km2 of sea surface according to the data of MEPTS (Ministry of the Environment and the Protection of the Territory and Sea (MEPTS), https://www.minambiente.it/sites/default/files/archivio/normativa/dm_27_04_2010.pdf accessed on 15 July 2022). Italy is the country that holds the record for the largest number of UNESCO’ s natural and cultural heritage in the world, with 55 assets on the list in 2019. With a surface area of 301.338 km2 and population density of 200 inhabitants per km2, Italy is divided into five so called ‘groups of regions’ (NUTS I) and twenty administrative regions (NUTS II) (Figure 1c). Within the NUTS II regions, Eurostat since 2011 classifies municipalities (LAU, Local Administrative Units) according to three degrees of urbanization (high, medium and low) using the DEGree of URBAnisation (DEGURBA), a new tool based on population density and the number of inhabitants assessed within regular grids with cells of one square kilometre. In 2021, in Italy it appears that 64% of the municipalities fall into the low urbanization class, mainly rural area, where 17.1% of the population is located on 60.8% of the area. Highly urbanized municipalities, which represent only 3.2% of the national total number of municipalities and only 6.2% of the territorial area, hold 35.3% of the Italian population. In the remaining 33% of the medium-sized municipalities of urbanization, on a territorial extension of 32.99%, 47.7% of the total population is concentrated (Figure 1d).
Figure 1.
(a) Study area with soil regions, (b) height, (c) regional boundaries (NUTS II), and (d) degree of urbanisation.
2.2. Data Collection: Greenmapper Survey
To identify areas with nature attractiveness we turned to the field of (online) place value mapping or soft GIS [24,25,26]. The “attractive” capacity of nature was evaluated using the survey conducted through greenmapper platform (www.greenmapper.org accessed on 5 March 2022), a participatory webGIS survey [27]. This is an innovative, value mapping, soft GIS approach that overcomes the use of GIS indicators for the endowment of natural areas (measured especially in terms of surface), since it is based on subjective judgments of the nature attractiveness. Thus, it allowed us to obtain both quantitative and qualitative information on the appreciation of highly valued natural amenities and to derive empirical evidence of urban-rural interconnection. Then, the collected data were parametrized for ranking and clustering of rural municipalities to identify the nature-based attractive clusters.
In particular, in our study we emphasize the utility of greenmapper for spatial planning and development programmes. The greenmapper tool has already been applied in other countries, including the Netherlands, Germany, Denmark, Switzerland, South Korea, Brazil. Among the different uses of the tool, it has supported the systematic assessment of non-monetary values in landscape impact evaluations, the assessment of property pricing effects of attractive nature [28], measures of well-being [29], and ecosystem services assessment [30]. The mapping of values is a spatially explicit multi-scale procedure, in which respondents mark the natural places (using a XY-point location marker) they find most attractive on a digital map. In particular, the starting point is the address where people live, marked by a red flag. respondents who fill in the online questionnaire are free to mark their favourite natural places, marking the point on the map.
Four spatial levels are identified on which to mark an attractive, valuable or important nature-related place:
- -
- level I—“Neighbourhood”: a circle with a radius of 2 km from home;
- -
- level II—“Living area”: a circle with a radius of 20 km from home;
- -
- level III—“Country”: the whole nation;
- -
- level IV—“Worldwide”: the world.
For all these four places, the same set of questions is asked. Respondents assign a score from 1 to 10 to the quality of the place, they indicate the visiting frequency (daily, weekly, monthly, few times per year, yearly, rarely, or never) and the favourite activities to be selected among 39 activities (indicated by icons), grouped into 9 categories (See Table A1). Respondents can mark 4 attractive nature places (one mark for level): Neighbourhood, Living Area, Country, Worldwide.
Finally, respondents answer an open question why they find the marked place attractive. The advantage is to obtain information that is not known a priori, giving the interviewee the possibility to respond in detail, adding unique information and clarifications. These aspects are significant in place-based (the place-based approach advances the involvement of local communities, using their knowledge, collaborating with all local actors and promoting inter-institutional cooperation) decisions, so it is crucial to try to grasp them.
The dataset collected among the members of an online panel (Demetra opinions—www.opinioni.net January 2018, accessed on 21 January 2018) includes 1,632 respondents (Figure 2). The sample was aimed to be representative, considering demographic profile (age, gender and geographical area) of the Italian population, (see Table A2 and Table A3). The data of an online survey are related to the ‘Internet population’ only, and thus exclude people who do not use the internet. In 2021, 90% of Italian households had access to internet (https://www.statista.com/statistics/377722/household-internet-access-in-italy/, accessed on 12 July 2022).
Figure 2.
Respondents’ locations by geographical area (NUTS 1). The collected data were analysed, both in quantitative and qualitative terms, to highlight the relationship between urban and rural areas, or rather areas with different degrees of urbanization (see Section 2.1), as regards nature-based well-being.
2.3. Nature-Based Attractive Clusters
Our analysis focuses on the nature-based attractive capacity of rural areas to generate well-being for urban and rural dwellers. For this purpose, we believe that the most appropriate unit of analysis is the municipal level. Besides we have developed five indicators to quantify the attractive capacity:
- -
- the number of markers that fall in each municipality;
- -
- the visit frequency of the marked places, since it allows us to discriminate the direct and indirect value linked to the preferences and if and how much the visit frequency and the preference rate are related. The visit frequency is divided into 7 classes; each class has been assigned a progressive number value: daily = “1”, weekly = “2”, monthly = “3”, few times a year = “4”, year = “5”, rarely = “6”, never = “7”;
- -
- the preference rate gives a measure of the satisfaction degree of places; it is expressed on a scale from 1 to 10 (1 as extremely unattractive and 10 as perfect);
- -
- the diversification of activities ranges between 1 and 39. It indirectly gives a measure of the offer of attraction in the different territories;
- -
- the diversification of cultural services gives a measure of Cultural Ecosystem Services (CES) categories linked to the most attractive natural areas. We have coded the expressions of the open section on the basis of the categories proposed by the international classification systems (they include the Millennium Ecosystem Assessment, the Economics of Ecosystems and Biodiversity and the Common International Classification of Ecosystem Services). Table 1 shows the 9 ecosystem services components marked by an acronym, a description and an example of a typical answer for that category.
Table 1. Categories of Cultural Ecosystem Services (CES).
The identified indicators were normalized with respect to the variation field (min-max) and aggregated to obtain a single measure ranging from 0 to 1. On the basis of the value assumed by each municipality, we obtained a ranking of municipalities, where 0 means an inability for nature-based attractiveness and 1 the maximum capability.
Finally, the presence of local spatial association was tested within the analysed data, for clustering geographically the hotspots, by applying the Getis-Ord Gi* statistic [31]. The Getis-Ord Gi* statistic is a tool of local spatial autocorrelation analysis, used in several contexts, such as cluster regions in the transportation equipment industry [32], forest fire management [33] active school travel (i.e., walking) clusters [34], industrial clusters [35], road accidents analysis [36,37].
The expression characterizing the Getis-Ord Gi* is as follows:
where is value attributed to feature j, is spatial weight between features i and j, n is equal to the total number of features and: , .
More specifically, it identifies those nature-based attractive clusters with values higher in magnitude than one might expect to find by random chance; thus, it is possible to calculate the degree of similarity with respect to other nearby observations, counting - at the same time - the statistical significance. A common practice is to group those units with Gi* greater than 1 into clusters [38,39].
3. Results
3.1. Quantitative and Qualitative Analysis
In the quantitative analysis, the collected data were analysed to highlight the role of rural areas within the urban-rural context. For the identification of the linkage between urban and rural areas, or rather areas with different degrees of urbanization, as regards the nature-based well-being, we analysed the survey of 1,632 respondents. They placed 3,715 markers on the national territory, decreasing in the number from level I (“Neighbourhood”) to IV (“Worldwide”), since not all users completed the survey.
The results show for the “Neighbourhood” level (places within 2 km from home) the natural amenities, mainly parks and gardens, which fall within one’ s own municipality are obviously chosen (>90% of dwellers’ markers). For later levels, cities and suburbs dwellers behaved similarly with respect to the choice of the most attractive natural places. More precisely, for the “Living area” level (places within 20 km from home) the flow from cities and suburbs to the outside is major (respectively, 46% and 49% of markers), differently the flow from rural areas to the outside is less (35% of rural areas dwellers’ markers). For “Country” level, the flow outside its municipal boundaries is mainly oriented towards rural areas, with a percentage of 36% both from cities and suburbs dwellers. Furthermore, a substantial percentage of markers (percentage that increases as the level increases) are placed in the sea, which indicates the strong influence of this biophysical factor on the choice of favourite natural places, as shown also in other studies [15,27,40] (see Table A4). Figure 3 shows schematically the total linkages between urban (cities and towns and suburbs) and rural. The thickness of the connecting lines shows the strength of the relationship, and the arrows show the direction and the percentage refers to the number of answers given (shown in round brackets). The figure highlights (1) the presence of a flow related to natural amenities in both directions urban and rural, and (2) an asymmetrical flow, with a major flow from urban (“Cities” and “Towns and suburbs”) to rural (“Rural areas”).
Figure 3.
Flows among “Cities”, “Towns and suburbs” and “Rural areas”.
From a qualitative point of view, everyday recreational behaviours within “Cities” are mainly oriented towards walking or running (24%), relaxing and playing (mainly picnic/BBQ) (21%). Moving from “Cities” to “Rural areas”, these activities decrease in favour of various activities related to the wildlife observation, and more generally, to the nature observation (17%), mountain (4%) or winter sports (4%); within the “other sports” category, the photo shooting prevails, although in “Rural areas”, preferences for activities such as fishing, hunting and mushroom picking, are more significant (13%, see Figure 4).
Figure 4.
Favourite activities categories within cities, towns and suburbs, rural areas and the sea.
The preference rate for a recreation area outside the city is less tied to a direct use of the resource, which indicates that certain recreation areas had a symbolic option or existence value besides their use value. Indeed, the preference rate is less than 6 on a scale from 1 to 10 for unvisited places within “Cities” and around 6 within “Towns and suburbs”; while the preference rate remains around 8 within “Rural areas” and 9 within “Sea”, despite a direct use (see Figure 5). Consequently, it is more appropriate to value the overall qualities of cultural ecosystem services and not only the use-related recreational component.
Figure 5.
Relationship between visiting frequency and preference rate within cities, towns and suburbs, rural areas and sea.
Figure 6 depicts the CES categories affecting human well-being and the division among urban and rural. We identified the aesthetic value as the most relevant wellness component, which increased from “Cities” (19%) to “Rural areas” (25%) and “Sea” (33%). The connection with nature increased from “Cities” (14%) to “Rural areas” (20%); while the recreation and ecotourism, mainly linked to outdoor activities for weekend family fun, and the mental refreshment services, slightly prevail within “Towns and suburbs” (both 18%), the knowledge and educational value slightly prevail within “Rural areas” (4%). Aspects related to the possibility of regenerating oneself physically enjoying clean air, the possibility of having social relationships and sense of place, slightly prevail within “Cities” (respectively, with 8%, 4% and 7%); enriching one’ s cultural linked to the presence of historical and artistic element are more significant within “Cities” (16%).
Figure 6.
Distribution of CES categories within cities, towns and suburbs, rural areas and sea.
3.2. Nature-Based Attractive Clusters within Rural Areas
3.2.1. Frequency Distribution of Indicators
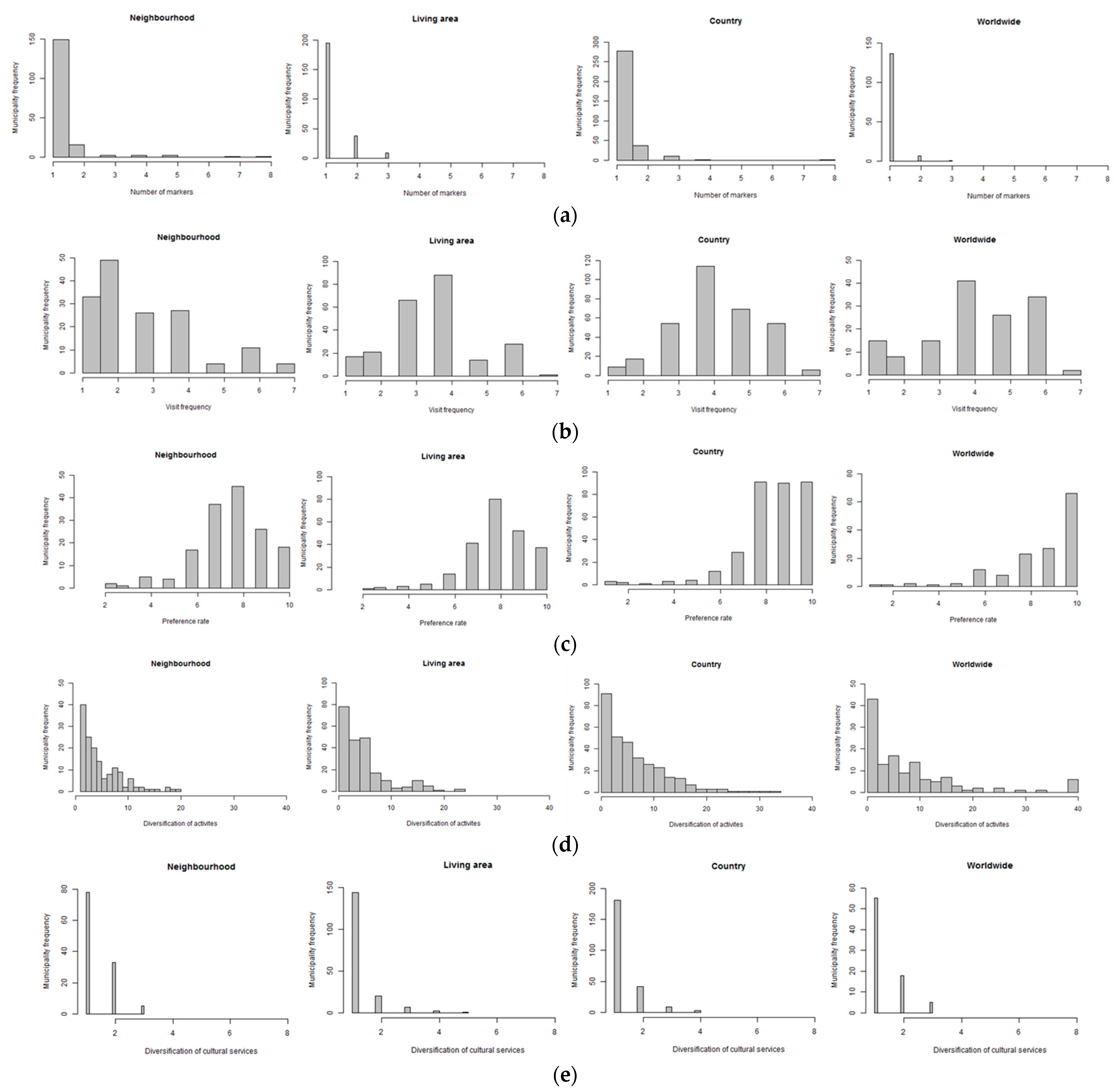
On average, a frequency of one marker for each municipality was detected, even if some municipalities were found in which a higher number of markers were positioned (maximum 8 markers per each municipality for “Neighbourhood” and “Country” levels) (see Figure 7a).
Figure 7.
(a) Municipality frequency of number of markers from level I to IV within rural areas; (b) Municipality frequency of visit frequency from level I to IV within rural areas; (c) Municipality frequency of preference rate from level I to IV within rural areas; (d) Municipality frequency of diversification of activities from level I to IV within rural areas; (e) Municipality frequency of diversification of cultural services from level I to IV within rural areas.
The visit frequency ranges, for “Neighbourhood” level, mainly from daily to few times a year with the prevalence of weekly visit frequency; it tends to decrease for “Living area” level with the prevalence of few times a year frequency, as well as in the last two levels, it spreads especially towards an annual or rare visit frequency (see Figure 7b).
The preference rate tends to have a greater value as the level increases, with an average value of 8 for the first (“Neighbourhood”) and second (“Living area”) level, between 8 and 10 for the third (“Country”) level and a prevalence of 10 for the last (“Worldwide”) level (see Figure 7c).
The diversification of activities has a prevalence of one activity for “Neighbourhood” level (maximum 20 activities), at least five activities are mainly carried out for “Living area” (maximum 23 activities) and “Country” (maximum 34 activities) levels; several cases with a maximum number of activities are recorded for the “Worldwide” levels (see Figure 7d).
The diversification of cultural services ranges between 1 and 9, even on average, from the first level to the last spatial level, one or two cultural services prevail for each municipality (see Figure 7e).
3.2.2. Spatial Distribution of Nature-Based Attractive Municipalities and Clusters
The application of the methodology, as reported in Section 2.3, has led to the identification of nature-based attractive municipalities. We found 173 rural municipalities (3.2% of Italian rural municipalities) with an attractive index in a range 0.1–0.7 for the “Neighbourhood” level, 242 rural municipalities (4.5% of Italian rural municipalities) with an attractive index in a range 0.1–0.8 for the “Living area” level, 328 rural municipalities (6.1% of Italian rural municipalities) with an attractive index in a range 0.1–0.66 for the “Country” level, and finally 144 rural municipalities (2.7% of Italian rural municipalities) with an attractive index in a range 0.1–0.8 for the “Worldwide” level (Table 2).
Table 2.
Percentage of municipalities which form nature-based attractive clusters within rural areas per regions.
Starting from the attractiveness indices, the presence of clustered municipalities (Gi* greater than 1) for each level was detected (see Table 2). There was a total of 672 municipalities for the “Neighbourhood”, 727 municipalities for the “Living area”, 688 municipalities for the “Country” level and finally 673 municipalities for the “Worldwide” level generate cluster (respectively, Figure 7a, Figure 7b, Figure 7c, Figure 7d).
Diversified situations are found in the Italian regions (NUTS II) (see Table 2; see Figure 8). In the North of Italy, the attractive municipalities were 5% on average (of the total of northern rural municipalities).

Figure 8.
(a) Nature-based attractive clusters for “Neighbourhood” level, (b) the “Living area” level, (c) “Country” level and (d) “Worldwide” level within rural areas.
In the Centre of Italy, we found a higher percentage of attractive municipalities (on average 8% of central rural municipalities). In the South of Italy, the country level prevails with a percentage of attractive municipalities between 4% and 13% (respect to regional rural municipalities). As for the two islands (Sicily and Sardinia), it is possible to highlight several common attractions that make up clusters; for “Worldwide” level they tend to affect large portions of the regional territory.
4. Discussion
The results empirically highlight the flow between urban and rural as regards natural amenities. Moreover, our results point out a major (almost double) flow from urban to rural, which increases with the spatial level. Indeed, with a continued increase in urbanization and a higher share of people living in high-density settlements, nature has become a scarcer and less accessible, thus increasing its appreciation, even well beyond city and town limits [27,41]. In particular, [27] suggest that a deeper understanding of use and appreciation of different types of green space will shed light on their role in the well-being of urban and rural dwellers. The results of their study indicate that people view landscapes differently in terms of quality of their experience and that most people have a “portfolio of places” for different needs and moods. As confirmed in other studies [42], everyday recreational behaviours within cities are mainly oriented towards walking or running, relaxing and playing. In this context, the accessibility is specifically mentioned, mainly for neighbourhood level (5.4% of markers), as a choice factor, through statements such as “Near where I live”, “A place to find contact with nature while being very close to home”, “Green area a few steps from home”, “Near the house and easy to reach on foot or by bike”, “Very large green area, very panoramic and easily accessible”, “Calm, quiet, accessible without a car”.
Moving from cities to rural areas, these activities decrease in favour of various activities related to the wildlife observation, and more nature observation in general. Moreover, our results, similarly to what is highlighted by [43], reveal the preference rate for natural amenities outside the city is less tied to a direct use of the resource, which indicates that certain favourites areas have a symbolic option or existence value besides their use value.
Therefore, within rural areas we identified priority hotspots for society to protect and valorise because of their global importance to human well-being.
More specifically, we found an overlap among levels below 30% (about 4% for all levels, see Figure 9a); this supports the importance of distinguishing the choice of favourite places by level (mainly a local/regional level and a wider level of national or supranational interest), as it implies the emergence of areas with different management values and therefore to calibrate the actions and funds to be concentrated on the different attractive cluster categories. In this context, clustering allows us to consider those municipalities that could benefit from proximity to highly attractive municipalities, as they might invest in natural amenities to (re)-enter a nature-based cluster.
Figure 9.
(a) All levels overlap, (b) “Neighbourhood”–“Living area” level overlap, (c) “Country”–“Worldwide” level overlap.
We found a higher overlap between the first two levels (about 39%) (see Figure 9b) and between the last two levels (about 30%) (see Figure 9c).
In general, for the first two levels our study documents that people find various cultural values in their daily environment and not only in landscapes of exceptional biodiversity. Our analysis also suggests that the concept of naturalness for respondents differs from an ecological definition. Dwellers have chosen natural places with varying degrees of human influence when taking into account the naturalness and human influence. Therefore, the perceived naturalness of entire landscapes does not seem to depend directly on the intensity of land use; it can rather be assumed that a landscape that is “green” and without disturbing views of infrastructures and buildings is perceived as natural by most people. Indeed, it is also possible to identify specific expressions related to the rural environment such as: “It is also interesting for the vineyards on the hills”, “They are places where there is everything, hill, vineyards, woods and small rivers, hiking on horseback immerses you in nature”, “The fields”, etc.
Moreover, the management, the provision of service facilities and built-up features are particularly important for the first two levels, namely the presence of seating, fountains, area for dogs, playgrounds for children, places for recreation, etc. Indeed, the quality of these areas is not automatically protected. Particular attention should be given to rural areas close to city, since disorganized development of the settlements (urban sprawl) may easily alter the urban-rural balance on the territory [44], with perhaps little economic or social benefits to the local community and to the detriment of the (non-sprawling) urban population [45].
For the last two levels, identifying potential nature-based attractive clusters, we have made more explicit the territorial framework for regional and national spatial and economic policies oriented to the rural development for recreational and tourist purposes. Recreation and natural tourism (ecotourism) are increasingly important activities with many economic and environmental implications [46,47,48]. As society changes, the demands and trends for recreational and naturalistic tourism are continuously changing and evolving. This poses many challenges for planners and managers of recreational areas and service providers. A key reason for studying patterns of recreation and tourism is the economic significance of this industry. According to World Travel &Tourism Council (https://wttc.org/Portals/0/Documents/Reports/2021/Global%20Economic%20Impact%20and%20Trends%202021.pdf?ver=2021-07-01-114957-177, accessed on 17 July 2022), before the pandemic, Travel & Tourism (including its direct, indirect and induced impacts) accounted for 1 in 4 of all new jobs created across the world, 10.3% of all jobs (333 million), and 10.3% of global GDP (US$9.6 trillion). International visitor spending amounted to US$1.8 trillion in 2019 (6.8% of total global exports). Growth will come mainly from nature-based tourism [49]. The World Tourism Organization estimates that ecotourism represents 2–4% of the entire world tourism market and has an annual growth potential of around 20%. Therefore, the high economic value associated with it could have considerable potential to generate resources that could in theory be reinvested in the conservation and enhancement of natural areas. A recent study [50] highlights that for every dollar governments invest in protected areas and support for nature-based tourism, the economic rate of return is at least six-times the original investment. Of course, economic impacts (on GDP) are only one way of measuring the importance of recreation. As we highlighted in the analysis, natural places are critical contributors to several aspects of human well-being. In this sense, the most interesting aspect of our results lies in the possibility to identify nature-based attractive clusters, and therefore to discriminate those areas that may represent “nodal points” on which to identify tools and territorial policies for the enhancement of natural resources and rural territories. Indeed, zoning should not be considered a tedious or useless exercise, but instead an indispensable activity in order to correctly identify the territories and implement correct policies on them that are consistent with their specific cities [45,51,52].
The results may have major implications for the management of recreation and touristic destinations. Current destinations should be aware of the way they are nature-based attractive municipalities. This awareness may be the basis for neighbouring destinations to strategically initiate collaboration agreements, integrate their tourism policies and even create new tourism destination brands, which can be more meaningful for visitors and satisfying for the travel patterns they want.
Using these results, this study can draw some policy implications for regional or interregional economy and social changes in rural tourism areas. Policymakers may focus more on the spatial relationship of a community’ s natural amenities. For example, the nature-based attractive clusters can be used as the core areas of rural tourism networks. At the same time, the regions wherein these amenities are more widely dispersed can develop network strategies among neighbouring communities.
5. Conclusions
In our study, a place-based approach is recommended as an integrated approach towards balanced regional development [53]. With regards to more specifically the organization of the geographical space, Ref [54] explained that not only large cities but also territories characterized by the presence of a variety of medium and small cities and rural areas have all the potential to make a significant contribution to overall economic growth. In this light, it is not strictly necessary to focus on large urban areas for the development of the regions, but rather to know how to adequately exploit the assets of regional systems of different sizes and densities.
Based on this assumption, we provided empirical evidence of an asymmetrical flow related to natural amenities between urban and rural, with a flow almost double from urban to rural. Rural areas, indeed, provide amenities for recreational purposes and symbolic values different from urban ones, highly appreciated by urban and rural inhabitants. However, not all rural areas really have this function, and it is essential to study the specific attractive potentiality of different rural areas.
The identification of nature-based attractive clusters represents a useful methodology in a process of “integrated planning”. The co-operation (partnership) among rural municipalities is often justified by the low density and low size of the administrative units, which often do not have economic and financial autonomy able to improve their services offer. Thus, for the identified clusters the co-operation can play a major role in satisfying the need to achieve economies of scale for the provision of services, to diversify the economy and to improve the capacity of administration. In addition, the co-ordination between rural areas, where these resources are located, and cities, which host strategic functions and competences, can help rural communities retain the benefits of the exploitation of resources [6].
Despite the fact that the survey is not specifically designed to account for differences between urban and rural areas, the analysis allows us to obtain the number of markers in each area and therefore a measure of natural places preference in one’s own area or outside, giving interesting results. Finally, as has been shown, the model shows very well the spatial clusters on which to set development and balancing policies between cities and rural territories. A potential limit is represented by the spatial distribution of the marks, as it could lead to an over or underestimation of the values. An increase in the sample of markers would, certainly, allow for further insights and developments on the matter.
Further research may also focus on the incidence analysis of the objective factors (biophysical features, environmental appearance, land use changes, cultural features, built features, management functions) on the subjective judgments. Once drivers and trends are understood, policymakers, planners and managers can understand likely changes in behaviour and demand that may affect the choice of specific areas and the actions necessary to improve the offer of cultural ecosystem services.
Author Contributions
Data curation, M.C., C.P., F.S. and P.V.; Formal analysis, M.V.; Funding acquisition, S.R.; Methodology, M.V.; Project administration, S.R.; Resources, F.S. and P.V.; Software, C.P.; Supervision, M.C.; Writing—original draft, M.C. All authors have read and agreed to the published version of the manuscript.
Funding
This research received no external funding.
Institutional Review Board Statement
Not applicable.
Informed Consent Statement
Not applicable.
Data Availability Statement
All the data generated or analyzed during this study are fully available in the manuscript.
Conflicts of Interest
The authors declare no conflict of interest.
Appendix A
Table A1.
Activities grouped into 9 categories.
Table A1.
Activities grouped into 9 categories.
| Walking | Cycling | Journey by Car or Motorcycle | Nature Observation | Relax and Playing |
| Running | Cycling | Journey by car | Animal observation | Cafè/terrace |
| Walking | Drive/cycle | Journey by motorbike | Bird-watching | Picnic/BBQ |
| Walking the dog | Mountain biking | Nature observation | Playing | |
| Road racing | Plants observation | Sunbathing | ||
| Watersports | Mountain sports | Winter sports | Other sports | |
| Canoeing | Hiking | Crosscountry skiing | Sport fishing | |
| Golf surfin | Mountaineering | Ice skating | Geocaching | |
| Kitesurfing | Powerboating | Horseback riding | ||
| Rafting | Skiing | Rollerskating | ||
| Sailing | Sledding | Hunting | ||
| Scuba diving | Meditation | |||
| Swimming | Mushroom picking | |||
| Photo shooting |
Table A2.
Respondent’ s demographic profiles by age and gender compared to Italian population.
Table A2.
Respondent’ s demographic profiles by age and gender compared to Italian population.
| Age | Italian Sample (n. Respondents) | Italian Sample (% of Respondents) | Italian Population (n.) | Italian Population (%) | ||||
|---|---|---|---|---|---|---|---|---|
| male | female | male | female | male | female | male | female | |
| 18–30 | 166 | 187 | 21.0% | 22.2% | 3,536,272 | 3,338,048 | 19.5% | 18.2% |
| 31–45 | 286 | 290 | 36.2% | 34.4% | 6,042,858 | 6,032,116 | 33.3% | 32.8% |
| 46–55 | 184 | 206 | 23.3% | 24,5% | 4,794,119 | 4,933,107 | 26.4% | 26.8% |
| 56–65 | 154 | 159 | 19.5% | 18.9% | 3,794,554 | 4,069,703 | 20.9% | 22.2% |
| Total | 790 | 842 | 100.0% | 100,00% | 18,167,803 | 18,372,974 | 100,00% | 100,00% |
Table A3.
Respondent’ s demographic profiles by geographical area compared to Italian average.
Table A3.
Respondent’ s demographic profiles by geographical area compared to Italian average.
| Geographical Area (NUTS 1) | Italian Sample (n. Respondents) | Italian Sample (% of Respondents) | Italian Population (n.) | Italian Population (%) |
|---|---|---|---|---|
| North-west | 408 | 26.2% | 16,095,306 | 26.6% |
| North-east | 320 | 19.0% | 11,640,852 | 19.6% |
| Center | 369 | 19.8% | 12,050,054 | 19.9% |
| South | 353 | 23.7% | 14,022,596 | 23.2% |
| Islands | 182 | 11.3% | 6,675,165 | 11.0% |
| Total | 1632 | 100.0% | 60,483,973 | 100.0% |
Table A4.
Linkages between urban and rural related to attractive natural amenities.
Table A4.
Linkages between urban and rural related to attractive natural amenities.
| Neighbourhood Level Attractive Nature | Living Area Level Attractive Nature | Country Level Attractive Nature | Worldwide Level Attractive Nature | Total | ||||||
|---|---|---|---|---|---|---|---|---|---|---|
| Cities to cities | 535 | 94% | 278 | 54% | 160 | 33% | 18 | 14% | 991 | 58% |
| Cities to towns and suburbs | 16 | 3% | 132 | 25% | 95 | 20% | 14 | 11% | 257 | 15% |
| Cities to rural areas | 3 | 1% | 67 | 13% | 174 | 36% | 62 | 49% | 306 | 18% |
| Cities to sea | 17 | 3% | 42 | 8% | 58 | 12% | 32 | 25% | 149 | 9% |
| Subtotal | 571 | 100% | 519 | 100% | 487 | 100% | 126 | 100% | 1703 | 100% |
| Towns and suburbs to cities | 10 | 2% | 68 | 17% | 86 | 23% | 13 | 10% | 177 | 13% |
| Towns and suburbs to towns and suburbs | 427 | 93% | 201 | 51% | 107 | 29% | 24 | 19% | 759 | 56% |
| Towns and suburbs to rural areas | 13 | 3% | 105 | 26% | 134 | 36% | 53 | 42% | 305 | 22% |
| Towns and suburbs to sea | 9 | 2% | 24 | 6% | 48 | 13% | 36 | 29% | 117 | 9% |
| Subtotal | 459 | 100% | 398 | 100% | 375 | 100% | 126 | 100% | 1358 | 100% |
| Rural areas to cities | 0 | 0% | 23 | 12% | 44 | 25% | 5 | 7% | 72 | 11% |
| Rural areas to towns and suburbs | 14 | 6% | 43 | 22% | 25 | 14% | 8 | 12% | 90 | 14% |
| Rural areas to rural areas | 203 | 93% | 126 | 65% | 90 | 52% | 37 | 55% | 456 | 70% |
| Rural areas to sea | 2 | 1% | 2 | 1% | 15 | 9% | 17 | 25% | 36 | 5% |
| Subtotal | 219 | 100% | 194 | 100% | 174 | 100% | 67 | 100% | 654 | 100% |
| Total | 1249 | 1111 | 1036 | 319 | 3715 | |||||
References
- Egal, F.; Forster, T. Biodiversity, food systems and urban-rural linkages. In Biodiversity, Food and Nutrition: A New Agenda for Sustainable Food Systems; Routledge: London, UK, 2020; pp. 189–205. [Google Scholar] [CrossRef]
- Hugo, G.; Champion, A.; Lattes, A. Toward a New Conceptualization of Settlements for Demography. Popul. Dev. Rev. 2003, 29, 277–297. [Google Scholar] [CrossRef]
- Woods, M. Rural geography: Blurring boundaries and making connections. Prog. Hum. Geogr. 2009, 33, 849–858. [Google Scholar] [CrossRef]
- Rosenqvist, O. Deconstruction and hermeneutical space as keys to understanding the rural. J. Rural Stud. 2020, 75, 132–142. [Google Scholar] [CrossRef]
- Midgley, J.; Ward, N.; Atterton, J. City Regions and Rural Areas in the North East of England; Centre for Rural Economy: Newcastle, UK, 2005; Available online: https://www.ncl.ac.uk/media/wwwnclacuk/centreforruraleconomy/files/city-regions-full.pdf (accessed on 10 May 2022).
- OECD Rural-Urban Partnerships. An Integrated Approach to Economic Development; OECD Publishing: Berlin, Germany, 2013. [Google Scholar] [CrossRef]
- Nasir, J.; Khan, M. Redefining Urban; A Case for Multi-Criteria Definition of Urban Areas in Pakistan. In 2 Urban; The Urban Unit: Lahore, Pakistan, 2018. [Google Scholar] [CrossRef]
- Prete, C.; Cozzi, M.; Viccaro, M.; Romano, S.; Ventura, G. Well-being and rurality: A spatial tool for rural development programs evaluation. Ital. Rev. Agric. Econ. 2017, 72, 267–287. [Google Scholar] [CrossRef]
- Fondazione IFEL. I Comuni della Strategia Nazionale Aree Interne. 2015. Available online: http://www.fondazioneifel.it/studi-ricerche-ifel/item/3110-i-comuni-della-strategia-nazionale-aree-interne (accessed on 10 January 2022).
- Dijkstra, L.; Poelman, H.; Veneri, P. The EU-OECD Definition of a Functional Urban Area; OECD Regional Development Working Papers, No. 2019/11; OECD Publishing: Paris, France, 2019. [Google Scholar] [CrossRef]
- Baumeister, C.F.; Gerstenberg, T.; Plieninger, T.; Schraml, U. Exploring cultural ecosystem service hotspots: Linking multiple urban forest features with public participation mapping data. Urban. For. Urban. Green. 2019, 48, 126561. [Google Scholar] [CrossRef]
- Hartig, T.; Mitchell, R.; de Vries, S.; Frumkin, H. Nature and Health. Annu. Rev. Public Health 2014, 35, 207–228. [Google Scholar] [CrossRef] [PubMed]
- Keniger, L.E.; Gaston, K.J.; Irvine, K.N.; Fuller, R.A. What are the Benefits of Interacting with Nature? Int. J. Environ. Res. Public Health 2013, 10, 913–935. [Google Scholar] [CrossRef]
- Viccaro, M.; Romano, S.; Prete, C.; Cozzi, M. Rural planning? An integrated dynamic model for assessing quality of life at a local scale. Land Use Policy 2021, 111, 105742. [Google Scholar] [CrossRef]
- Hartig, T.; Evans, G.W.; Jamner, L.D.; Davis, D.S.; Gärling, T. Tracking restoration in natural and urban field settings. J. Environ. Psychol. 2003, 23, 109–123. [Google Scholar] [CrossRef]
- Pasanen, T.P.; Neuvonen, M.; Korpela, K.M. The Psychology of Recent Nature Visits: (How) Are Motives and Attentional Focus Related to Post-Visit Restorative Experiences, Creativity, and Emotional Well-Being? Environ. Behav. 2017, 50, 913–944. [Google Scholar] [CrossRef]
- Staats, H.; Hartig, T. Alone or with a friend: A social context for psychological restoration and environmental preferences. J. Environ. Psychol. 2004, 24, 199–211. [Google Scholar] [CrossRef]
- Schnorr-Bäcker, S. Well-being in urban and rural areas in the european union: Challenges, policies, monitoring, and some practical examples. In The European Union: Policies, Perspectives and Politics; Moldovan, L., Ed.; Nova Science: Hauppauge, NY, USA, 2020; pp. 153–185. [Google Scholar]
- Gasser, K.; Kaufmann-Hayoz, R. Wald und Volksgesundheit (Woods, Trees and Human Health & Well-Being); Literatur und Projekte aus der Schweiz; Interfakultäre Koordinationsstelle für Allgemeine Okologie (IKAO): Bern, Switzerland, 2004. [Google Scholar]
- Pretty, J.; Peacock, J.; Sellens, M.; Griffin, M. The mental and physical health outcomes of green exercise. Int. J. Environ. Health Res. 2005, 15, 319–337. [Google Scholar] [CrossRef] [PubMed]
- Frumkin, H. Healthy Places: Exploring the Evidence. Am. J. Public Health 2003, 93, 1451–1456. [Google Scholar] [CrossRef] [PubMed]
- Fredrickson, L.M.; Anderson, D.H. A Qualitative Exploration of the Wilderness Experience as A Source of Spiritual Inspiration. J. Environ. Psychol. 1999, 19, 21–39. [Google Scholar] [CrossRef]
- Sharpe, E.K. Delivering Communitas: Wilderness Adventure and the Making of Community. J. Leis. Res. 2005, 37, 255–280. [Google Scholar] [CrossRef]
- Kytta, M.; Broberg, A.; Tzoulas, T.; Snabb, K. Towards contextually sensitive urban densification: Location-based softGIS knowledge revealing perceived residential environmental quality. Landsc. Urban. Plan. 2013, 113, 30–46. [Google Scholar] [CrossRef]
- Brown, G.; Kyttä, M. Key issues and priorities in participatory mapping: Toward integration or increased specialization? Appl. Geogr. 2018, 95, 1–8. [Google Scholar] [CrossRef]
- Brown, G.; Reed, P.; Raymond, C.M. Mapping place values: 10 lessons from two decades of public participation GIS empirical research. Appl. Geogr. 2020, 116, 102156. [Google Scholar] [CrossRef]
- Bijker, R.A.; Sijtsma, F.J. A portfolio of natural places: Using a participatory GIS tool to compare the appreciation and use of green spaces inside and outside urban areas by urban residents. Landsc. Urban. Plan. 2017, 158, 155–165. [Google Scholar] [CrossRef]
- Daams, M.N.; Sijtsma, F.J.; Veneri, P. Mixed monetary and non-monetary valuation of attractive urban green space: A case study using Amsterdam house prices. Ecol. Econ. 2019, 166, 106430. [Google Scholar] [CrossRef]
- Daams, M.N.; Veneri, P. Living Near to Attractive Nature? A Well-Being Indicator for Ranking Dutch, Danish, and German Functional Urban Areas. Soc. Indic. Res. 2016, 133, 501–526. [Google Scholar] [CrossRef] [PubMed]
- Scholte, S.S.; Daams, M.; Farjon, H.; Sijtsma, F.J.; van Teeffelen, A.J.; Verburg, P.H. Mapping recreation as an ecosystem service: Considering scale, interregional differences and the influence of physical attributes. Landsc. Urban. Plan. 2018, 175, 149–160. [Google Scholar] [CrossRef]
- Getis, A.; Ord, K. The Analysis of Spatial Association by Use of Distance Statistics. Geogr. Anal. 1992, 24, 189–206. [Google Scholar] [CrossRef]
- Carroll, M.C.; Reid, N.; Smith, B.W. Location quotients versus spatial autocorrelation in identifying potential cluster regions. Ann. Reg. Sci. 2007, 42, 449–463. [Google Scholar] [CrossRef]
- Rossi, F.; Becker, G. Creating forest management units with Hot Spot Analysis (Getis-Ord Gi*) over a forest affected by mixed-severity fires. Aust. For. 2019, 82, 166–175. [Google Scholar] [CrossRef]
- Mitra, R.; Buliung, R.N.; Faulkner, G.E. Spatial clustering and the temporal mobility of walking school trips in the Greater Toronto Area, Canada. Health Place 2010, 16, 646–655. [Google Scholar] [CrossRef]
- Brachert, M.; Titze, M.; Kubis, A. Identifying industrial clusters from a multidimensional perspective: Methodical aspects with an application to Germany. Pap. Reg. Sci. 2011, 90, 419–439. [Google Scholar] [CrossRef]
- Prasannakumar, V.; Vijith, H.; Charutha, R.; Geetha, N. Spatio-temporal clustering of road accidents: GIS based analysis and assessment. Procedia. Soc. Behav. Sci. 2011, 21, 317–325. [Google Scholar] [CrossRef]
- Hazaymeh, K.; Almagbile, A.; Alomari, A.H. Spatiotemporal Analysis of Traffic Accidents Hotspots Based on Geospatial Techniques. ISPRS Int. J. Geo-Inf. 2022, 11, 260. [Google Scholar] [CrossRef]
- Hendry, C.; Brown, J. Dynamics of clustering and performance in the UK opto-electronics industry. Reg. Stud. 2006, 40, 707–725. [Google Scholar] [CrossRef]
- Miller, P.; Botham, R.; Martin, R.; Moore, B. Business Clusters in the UK: A First Assessment. Report for the Department of Trade and Industry, A Consortium Led by Trends Business Research; Department of Trade and Industry: London, UK, 2001.
- Korpela, K.; Hartig, T. Restorative Qualities of Favorite Places. J. Environ. Psychol. 1996, 16, 221–233. [Google Scholar] [CrossRef]
- Sijtsma, F.J.; de Vries, S.; van Hinsberg, A.; Diederiks, J. Does ‘grey’ urban living lead to more ‘green’ holiday nights? A Netherlands Case Study. Landsc. Urban. Plan. 2012, 105, 250–257. [Google Scholar] [CrossRef]
- Žlender, V.; Thompson, C.W. Accessibility and use of peri-urban green space for inner-city dwellers: A comparative study. Landsc. Urban. Plan. 2017, 165, 193–205. [Google Scholar] [CrossRef]
- Boll, T.; von Haaren, C.; von Ruschkowski, E. The preference and actual use of different types of rural recreation areas by urban dwellers—The Hamburg Case Study. PLoS ONE 2014, 9, e108638. [Google Scholar] [CrossRef]
- Hasse, J.E.; Lathrop, R.G. Land resource impact indicators of urban sprawl. Appl. Geogr. 2003, 23, 159–175. [Google Scholar] [CrossRef]
- Cattivelli, V. Defining periurban areas: La previsione di questi territori negli strumenti urbanistici di alcune regioni italiane. Aestimum 2014, 64, 79–93. [Google Scholar] [CrossRef]
- Bell, S.; Tyrväinen, L.; Sievänen, T.; Pröbstl, U.; Simpson, M. Outdoor Recreation and Nature Tourism: A European Perspective. Living Rev. Landsc. Res. 2007, 1, 1–46. [Google Scholar] [CrossRef]
- Winter, P.L.; Selin, S.; Cerveny, L.; Bricker, K. Outdoor recreation, nature-based tourism, and sustainability. Sustainability 2019, 12, 81. [Google Scholar] [CrossRef]
- Kataya, A. The Impact of Rural Tourism on the Development of Regional Communities. J. East. Eur. Res. Bus. Econ. 2021, 1–10. [Google Scholar] [CrossRef]
- Balmford, A.; Beresford, J.; Green, J.; Naidoo, R.; Walpole, M.; Manica, A. A Global Perspective on Trends in Nature-Based Tourism. PLoS Biol. 2009, 7, e1000144. [Google Scholar] [CrossRef]
- World Bank Group. Banking on Protected Areas: Promoting Sustainable Protected Area Tourism to Benefit Local Economies; World Bank Group: Washington, DC, USA, 2021; Available online: https://openknowledge.worldbank.org/bitstream/handle/10986/35737/Banking-on-Protected-Areas-Promoting-Sustainable-Protected-Area-Tourism-to-Benefit-Local-Economies.pdf?sequence=5&isAllowed=y (accessed on 10 February 2022).
- Prete, C.; Cozzi, M.; Viccaro, M.; Romano, S. Quality of Life and Social Inclusion of Inland Areas: A Multidimensional Approach to Performance Policies and Planning Assessment. In Proceedings of the Computational Science and Its Applications—ICCSA 2017, Trieste, Italy, 3–6 July 2017; pp. 485–500. [Google Scholar] [CrossRef]
- Cozzi, M.; Prete, C.; Viccaro, M.; Riccioli, F.; Fagarazzi, C.; Romano, S. Towards sustainable and inclusive communities: An integrated approach to assess sustainability in rural areas. Aestimum 2021, 81–102. [Google Scholar] [CrossRef]
- Commission of the European Communities. Green Paper on Territorial Cohesion Turning Territorial Diversity into Strength; communication from the commission to the council, the European Parliament, the committee of the regions and the european economic and social committee. Available online: http://eur-lex.europa.eu/LexUriServ/LexUriServ.do?uri=COM:2008:0616:FIN:EN:PDF (accessed on 10 February 2022).
- Barca, F.; McCann, P.; Rodríguez-Pose, A. The Case for Regional Development Intervention: Place-Based Versus Place-Neutral Approaches. J. Reg. Sci. 2012, 52, 134–152. [Google Scholar] [CrossRef]
Publisher’s Note: MDPI stays neutral with regard to jurisdictional claims in published maps and institutional affiliations. |
© 2022 by the authors. Licensee MDPI, Basel, Switzerland. This article is an open access article distributed under the terms and conditions of the Creative Commons Attribution (CC BY) license (https://creativecommons.org/licenses/by/4.0/).









