Abstract
This paper develops a statistical framework to analyze the effectiveness of vegetation management at reducing power outages during storms of varying severity levels. The framework was applied on the Eversource Energy distribution grid in Connecticut, USA based on 173 rain and wind events from 2005–2020, including Hurricane Irene, Hurricane Sandy, and Tropical Storm Isaias. The data were binned by storm severity (high/low) and vegetation management levels, where a maximum applicable length of vegetation management for each circuit was determined, and the data were divided into four bins based on the actual length of vegetation management performed divided by the maximum applicable value (0–25%, 25–50%, 50–75%, and 75–100%). Then, weather and overhead line length normalized outage statistics were taken for each group. The statistics were used to determine the effectiveness of vegetation management and its dependence on storm severity. The results demonstrate a higher reduction in damages for lower-severity storms, with a reduction in normalized outages between 45.8% and 63.8%. For high-severity events, there is a large increase in effectiveness between the highest level of vegetation management and the two lower levels, with 75–100% vegetation management leading to a 37.3% reduction in trouble spots. Yet, when evaluating system reliability, it is important to look at all storms combined, and the results of this study provide useful information on total annual trouble spots and allow for analysis of how various vegetation management scenarios would impact trouble spots in the electric grid. This framework can also be used to better understand how more rigorous vegetation management standards (applying ETT) help reduce outages at an individual event level. In future work, a similar framework may be used to evaluate other resilience improvements.
1. Introduction
Trees are one of the leading causes of outages in electric distribution systems [1], and the leading cause for some utilities [2,3]. One study over the Eastern United States and Canada found tree growth to be the most frequent cause of preventable outages [3], and these outages prove costly. A study from 2001 shows even a one-second outage can cost individual businesses an average of $1477 [4], highlighting the benefit of improving system resilience. Another report from 2015 reinforced the idea of high costs for short duration outages, as it evaluated 34 datasets from 10 utilities across 1989 to 2012 and estimated the cost of momentary outages to small commercial and industrial (C&I) customers (defined as under 50,000 kilowatt-hours annually) as $412 per event, and medium and large C&I customers as $12,952 per momentary outage event [5]. During storms in the Northeastern United States (US), trees are responsible for a particularly high percentage of outages, with Eversource (a major power utility that services more than 3 million electric customers in New England [6], and the utility whose data are used in this study) reporting about 90% of outages on their electric system in storms with heavy wind or snow, as caused by trees [7]. This is in part due to the dense vegetation of the region. The state of Connecticut, which is the domain for this study, has forest cover estimates ranging from 56% to 61% [8]. The state can be considered heavily forested compared with the United States national average of 34% forest cover [9], but is comparable to other New England States [10]. The tree canopy for the state of Connecticut compared with the rest of the contiguous United States can be seen in Figure 1.
Figure 1.
Percentage of Tree Cover over the United States and Connecticut.
When considering storm events, specifically over the Eversource Energy service territory in Connecticut, there is a large difference in impacts on the electric grid with small events causing trouble spots in the tens or hundreds, and the largest storms such as hurricanes or Tropical Storm Isaias causing trouble spots in the tens of thousands. It is of note that resilience effort efficacy may vary with the large span in intensity level observed for different storms. While the overall effectiveness of vegetation management has been demonstrated in other works [11,12,13], the possibility of diminishing returns with increasing storm strength exists and has yet to be evaluated. Improving system resilience for all severity of storms, ranging from the more frequent, lower severity events, to extreme, less frequent, events is important because in total, weather-related outages cost the US economy in the range of 18–70 billion US dollars annually [14,15]. To reduce outages from trees across the spectrum of weather from blue-sky days (nonstorm weather) to hurricanes, vegetation management strategies are employed across the industry at the cost of billions of dollars annually [16] and vegetation management is considered one of the largest recurring expenses associated with overhead utility infrastructure in North America [2]. As such, there is a good portion of existing literature that looks at understanding the reduction in trouble spots in the electric grid due to vegetation management for various weather conditions.
Some works focused on identifying areas with high vegetation risk [17,18,19] while others addressed the issue of optimizing the maintenance schedule, or frequency, of vegetation management [19,20,21]. The authors of [22] demonstrated that reducing the trimming cycle time for the electric grid of a utility in the Southeastern United States (Duke Power) by a year would reduce outages by approximately 0.9 outages/circuit/43 months for days with normal (nonstorm) operating conditions. Another topic addressed by several studies is the proposal of frameworks for analyzing system resilience including grid hardening strategies [23,24,25]. The work of [3] looked at more rigorous vegetation management techniques, examining the reduction in outages when individual hazardous trees are removed. Other literature created models to predict outages during hurricanes and examine the impact of tree trimming on reducing outages during the storms [11,26]. The authors of [26] created partial dependence plots that show that more frequent trimming results in a reduction of outages for a utility territory spanning two states in the central Gulf Coast region of the US. In another study that addressed reducing outages during storms, the authors of [27] developed a hybrid physics-based and data-informed Monte Carlo simulation (MCS) to examine how pole replacements in the electric grid would have affected outages in Connecticut during Hurricane Sandy, and suggested including vegetation conditions as a future research path. Other aspects of the interaction between vegetation and reliable power delivery that have been researched include comparing attitudes of residents about roadside vegetation management programs [28] and developing methodologies to reduce the expense of monitoring vegetation near power lines [29].
When considering vegetation management, while altering the frequency of tree trimming is one technique to reduce outages, another is instituting more rigorous vegetation management guidelines in terms of distance from electric wires. For instance, Eversource has multiple vegetation management standards, which include Scheduled Maintenance Trimming (SMT) and Enhanced Tree Trimming (ETT). SMT requires clearing any tree limbs that intrude on the space 15 feet above, 8 feet to the side, and 10 feet below electric distribution wires, and is performed on all distribution circuits once every 4 to 5 years. ETT is more rigorous, requiring the removal of all trees and brush to create an 8 foot buffer to the side of distribution lines regardless of the height of the brush and trees. While SMT is performed on roughly 10,000 miles of distribution lines each year, ETT is strategically implemented on critical circuits in a more limited manner [7]. The study conducted in [11] used Eversource data over Connecticut to analyze both ETT and SMT effectiveness during Hurricane Sandy and, similarly to [26], implements partial dependence plots as a way to measure their influence. The plots show decreases in outages for increased Enhanced Tree Trimming (ETT) performed on backbone lines and covered lateral lines, but mixed results for bare lateral lines [11]. Ref. [30] examines the effectiveness of ETT and SMT grouped together into one class of tree trimming operations (TTOs) and analyzes their effectiveness at preventing all outages of duration greater than five minutes. The results show that with 99% confidence, the outages in the distribution system were reduced by 0.117/mile of TTOs, but this study did not control for storm intensity and evaluated all outages as opposed to only those caused by storms.
There are a few other studies that, similarly to this study, focused on understanding the effectiveness of ETT in reducing outages during storm events [12,13]. Ref. [12] performed analysis by pairing segments of the electric grid where ETT was performed with nearby segments where no ETT had been performed to act as controls for tree cover, wire type, and weather. Excluding the year that trimming was performed, the outage rates for both the control and ETT sections of line were calculated for the three years before and after treatment. For the areas where ETT was performed, the results demonstrated a reduction in trouble spots in the electric grid between 0.016–0.066 outages/mile/year. ETT effectiveness was researched in [13], which included a statistical analysis evaluating circuits with various levels of ETT. The statistical analysis results showed that ETT produces a reduction in outages between 49% and 65%.
This study focuses on grid resilience during storms as it is of critical importance to understand any differences in the efficacy of vegetation management for different storm severity (lower impact, more frequent storms versus stronger, less frequent events) in order to conduct comprehensive resilience and economic analyses. This is the first of three main contributions of this study to the existing literature, as to the authors’ knowledge, it is the first study that looks at the effectiveness of vegetation management in reducing trouble spots for varying storm severity. This study addresses the gap in the existing literature by performing a statistical analysis that looks at the effectiveness of implementing more rigorous vegetation management standards (by applying ETT) in reducing trouble spots in the electric distribution grid while binning and normalizing storm events by their severity. The second contribution this study provides is a quantitative tool that provides the ability to retrospectively quantify return on investment by evaluating various scenarios of ETT for historical events and also the approximate return on investment for future climate storm scenarios. The tool can be used to analyze individual events, such as hurricanes, as well as perform more comprehensive analyses such as evaluating the total trouble spots reduced over the domain in a given year. This will help stakeholders (municipalities, utilities, regulators) to more fully understand the impacts of vegetation management, allow for more accurate economic analysis, and provide useful information to help guide resilience planning and policy decisions such as optimizing resilience budgets between activities, including reducing the time between regular maintenance tree trimming (by applying SMT more frequently), enacting more rigorous vegetation management standards (by extending ETT), performing pole upgrades, performing wire upgrades, and undergrounding lines. The third contribution of this study is the framework developed, as it is extendable to evaluate the effectiveness of other resilience and grid hardening efforts such as pole replacements/upgrades and reconductoring wires.
2. Data and Methods
2.1. Study Area
The study area for this analysis is the Eversource Energy service area in Connecticut, which serves 1.2 million electric customers [6] and covers over 4400 square miles across 149 of 169 towns in the state [31]. The topography of the state can be generally regarded as hilly with elevation ranging from sea level to approximately 750 m [12].
2.2. Data
2.2.1. Outage Data and Storm Events
The outage data used in this study were provided by Eversource Energy from their outage management system and includes starting time and grid circuit (operational units of the distribution network) on which each outage occurred. Historical storms were identified by using METeorological Aerodrome Reports (METARs) data collected at Connecticut airport stations. The identified storms were dynamically simulated at 4-km grid spacing using the 3.8.1 version of the Advanced Research (ARW) core of the Weather Research and Forecasting (WRF) model, initialized with the North American Mesoscale Forecasting System’s (NAM) initial and boundary conditions. The WRF model configuration used in this study is described in detail in [32]. Outages were analyzed for 173 storm events with varying type and size, and for each event, all outages that occurred during the storm window were analyzed. The events occurred between the years of 2005 and 2020, and include Hurricane Irene, Hurricane Sandy, and Tropical Storm Isaias. The additional events display rain and wind conditions consistent with extratropical frontal systems. The outage data from the utility have an assigned field for the circuit to which the piece of infrastructure belongs, the start date, start time, and the duration, among other information. The start date and time were used to assign outages to storm events. For each event, a window for associated outages is created based on the timing of weather conditions and the magnitude of the storms. The window length is 48 h for small events, which is increased in length for more extreme events. The outage duration is increased as for larger events, with many outages, there are often nested outages that take some time to be discovered and reported. Nested outages are those where an outage downstream (the nested outage) in the electric grid is discovered when a trouble spot upstream is repaired, and not all of the expected customers have power returned. For large storms, the window to count outages is expanded until the active outages are reduced to a background noise level. The longest window for recording outages is 240 h for Tropical Storm Isaias. To obtain the total outages for each circuit for each event, the damage locations (trouble spots) associated with each circuit during each storm window were summed.
As the focus of this study is on outage reductions due to vegetation management, it is important to understand how many of the outages analyzed are in fact caused by vegetation. Of the 118,227 trouble spots in the electric grid across the 173 storm events used in this study, 100,956 or 85.4% had vegetation-related cause labels, which is comparable to the 90% tree-caused outage value for storms with heavy rain or snowfall reported by Eversource [7]. Of the remaining outages, only 1058 or 0.89% were assigned an outage caused by lightning. The remaining outages had various causes including “unknown”, “patrolled [and] nothing found”, and “miscellaneous”. As a high percentage of outages were caused by vegetation, and knowing that some of the other outages in other categories such as “miscellaneous” and “unknown” may have also been caused by vegetation, all outages were used for the analysis conducted in this study. There were no outage data with a missing value for outage cause.
2.2.2. Infrastructure, Vegetation, and Vegetation Management Data
Infrastructure data were provided by the utility including the precise geographic position of the overhead power lines for the 957 circuits in the Eversource Connecticut domain. Additionally, the utility (Eversource) provided the vegetation management data for each circuit extending backward to the beginning of the ETT program (2009), meaning no ETT had been performed on any circuits (all values of 0). The tree height data used in the study are available at a 30 m-resolution and were developed through integration between the Global Ecosystem Dynamics Investigation (GEDI) light detection and ranging (lidar) data and Landsat analysis-ready data [33].
2.3. Methodology
For each circuit, the lengths of primary overhead lines, lateral lines, and backbone lines were measured. The overhead line locations were used in combination with the raster of vegetation height [33] to determine the maximum potential ETT length (maxETTlength) for each circuit. A mask of the raster of vegetation height was created, only keeping those cells with vegetation height above 6 m (19.69 feet), and buffering those cells out 20 m (65.62 feet) to account for any potential imprecision in the data. The overhead lines were overlaid with this raster and trimmed to keep only the overhead lines where they intersect the tree height mask. We then measured the remaining length of overhead lines for each circuit. This maximum trimmable length (maxETTlength) for each circuit is combined with the vegetation management data to create the vegetation management variable used for analysis. The vegetation management data were obtained from Eversource Energy in two formats, as the collection methodology was updated during the life of the ETT program. The length of ETT performed on each circuit was available at a monthly resolution for the most recent years of data, 2016–2019. For the earlier years of ETT data (2009–2015), the ETT data were available for each circuit at an annual resolution. These data were temporally downscaled to monthly values using weights derived from the relative percentage of tree trimming completed monthly in 2016. To perform the downscaling of the data, the miles trimmed in each month during 2016 were divided by the total miles trimmed in 2016. The monthly percentages were multiplied by the total annual trimming for each circuit in the years 2009 to 2015, to approximate the portion of annual trimming completed in each month.
The full monthly ETT dataset (2009–2019) was then used to create a variable called instETT. The instETT variable is the cumulative value of ETT that had been performed on a given circuit between the start of the ETT program in 2009 and the starting time of each storm, divided by the calculated maximum potential ETT length (maxETTlength) for that circuit. The equation for instETT for a circuit for one event can be seen in Equation (1) below, where is the cumulative ETT that had been performed on the given circuit at the time of the storm since the beginning of the program (at a monthly temporal resolution), and is the maximum applicable length of the circuit over which ETT can be applied, as previously described in this section of the paper.
In order to account for any data irregularities where the cumulative ETT performed on a circuit was greater than the calculated maximum potential ETT length for that circuit, the instETT variable was capped at a value of 1.
Over the Eversource Connecticut domain, there exist 957 circuits. However, for the purposes of this analysis, circuits with less than 1/4th of a mile of overhead line length where ETT is applicable were removed as very little trimming on these circuits leads to large swings in the instETT value, which may influence the statistical analysis. Due to having a short span of wire where ETT is applicable, when only short stretches of wire are trimmed, the instETT values for these circuits rapidly approach 100%. This results in a distribution of instETT values that is more discrete in appearance—with large gaps between values—than for the circuits with trimmable lengths above 1/4th of a mile. Moreover, below 1/4th of a mile of trimmable length there is little signal, as despite making up 6.17% of the circuits in the service territory, these low trimmable length circuits only account for 345 outages, or 0.29% of all outages in the dataset. There is also a high density of instances of circuits with less than 1/4th of a mile of trimmable length with instETT values close to 100%. Thus, in order to create a more representative statistical analysis for those circuits in the highest instETT bin (75–100%) and mitigate the analysis being skewed by an unrepresentative subset of the data in terms of trimmable length, circuits with less than 1/4th of a mile of overhead line length where ETT is applicable were removed. This results in 898 circuits for use in the analysis after removing the aforementioned circuits with short overhead line lengths where ETT is applicable.
In order to compare the effectiveness of various tree trimming levels for differing storm severity, we divided the data in several ways. First, the data for the 173 storms were split at the 90th percentile of exceedance probability in terms of trouble spots caused in the distribution network. The top ten percent, or seventeen events, are considered the high-severity events, with the other 156 classified as low-severity. The split point and trouble spots for each event are displayed in Figure 2.
Figure 2.
Exceedance Probability by Trouble Spots per Event. Exceedance probability based on the 173 storms included in the dataset. The break point in classification between low- and high-severity lines (the 90th percentile) is represented by the horizontal line.
For each storm class (high- and low-severity), the data were subset three times based on their instETT values to evaluate various percentages of applicable ETT performed. Each of the three subsets compare the outage rates of circuits from the lowest instETT bin (0–25%) to one of the higher ETT bins (25–50%, 50–75%, or 75–100%). In order to try and make the comparison more fair in terms of data samples, only circuits were kept that had instETT values in both bins at the time of one or more storms from the storm class of interest (high- and low-severity). Only keeping circuits that have data samples in both bins being compared helps to control for other factors such as location, tree cover, circuit size, and infrastructure among other variables.
This control is demonstrated by examining a comparison between two sample groups in further detail, such as the comparison of circuits with 0% to 25% ETT versus those with 25% to 50% ETT for high-severity storms, which we will call Experiment A. First, the data are subset to only include the data for each circuit from the seventeen high-severity events. Next, the data are further subset to only keep circuits that have instETT values in both of the ranges being compared (0–25% ETT and 25–50% ETT in this case). For example, if a circuit has instETT values between 0% and 25% for seven of the seventeen high-severity storms, and instETT values between 25% and 50% for another seven events, those fourteen rows of data are included in the analysis, whereas the remaining three rows of data for the given circuit where a high-severity event occurred but the instETT value was above 50% are excluded.
For high-severity events, the same binning process was used to compare circuits with instETT values between 0% and 25% to those with instETT values between 50% and 75% (Experiment B), as well as to compare circuits with instETT values between 0% and 25% to those with instETT values between 75% and 100% (Experiment C). Experiments A through C were repeated for the low-severity events (Experiments D–F) where D, E, and F correspond to the same instETT bin comparisons as Experiments A, B, and C, respectively. The resulting bin sizes for each data subset for high- and low-severity events can be seen in Table 1. For high-severity events, the number of rows of data in Experiment C, where we compare circuits that have the lowest percentages of applicable ETT performed (0% to 25%) against circuits with the highest levels of ETT (75% to 100%), is notably smaller than the other data subsets in the comparison groups, but this imbalance is a result of the available data. There are not many circuits that have had high-severity events occur at both times when a low amount of ETT had been performed and again after significant trimming. This is likely due to the fact that there are only seventeen events classified as high-severity, and a minority of circuits have reached instETT values between 75% and 100%. The average amount of applicable ETT performed on circuits has risen significantly in recent years, but was still only 32% at the time of Tropical Storm Isaias, which is the most recent storm in the data.
Table 1.
Size of comparison bins for each Experiment, A-F, and average Kinetic Energy Proxies for the instETT bins in each experiment.
To mitigate any impacts that may come from the varying average overhead line lengths in the ETT bins being compared, we normalize the outages in each circuit by miles of overhead line length to generate an outage rate per unit of infrastructure. We do this because if all else was equal, circuits with longer overhead line length would be at higher risk of outages as there is more infrastructure with the potential to be damaged.
In addition to normalizing outages by overhead line length for each circuit, for some results we also normalized by a proxy for the average kinetic energy of each storm using the wind speed 10 m above the ground. This step was taken to help control for the differences between the risk presented by various intensities of storms. This is particularly important for high-severity events, as there are only seventeen total and the events inside the high-severity category do not have homogeneous weather. Some high-severity events such as the hurricanes have much stronger winds and weather, and an order of magnitude greater impact than the other events in the same category.
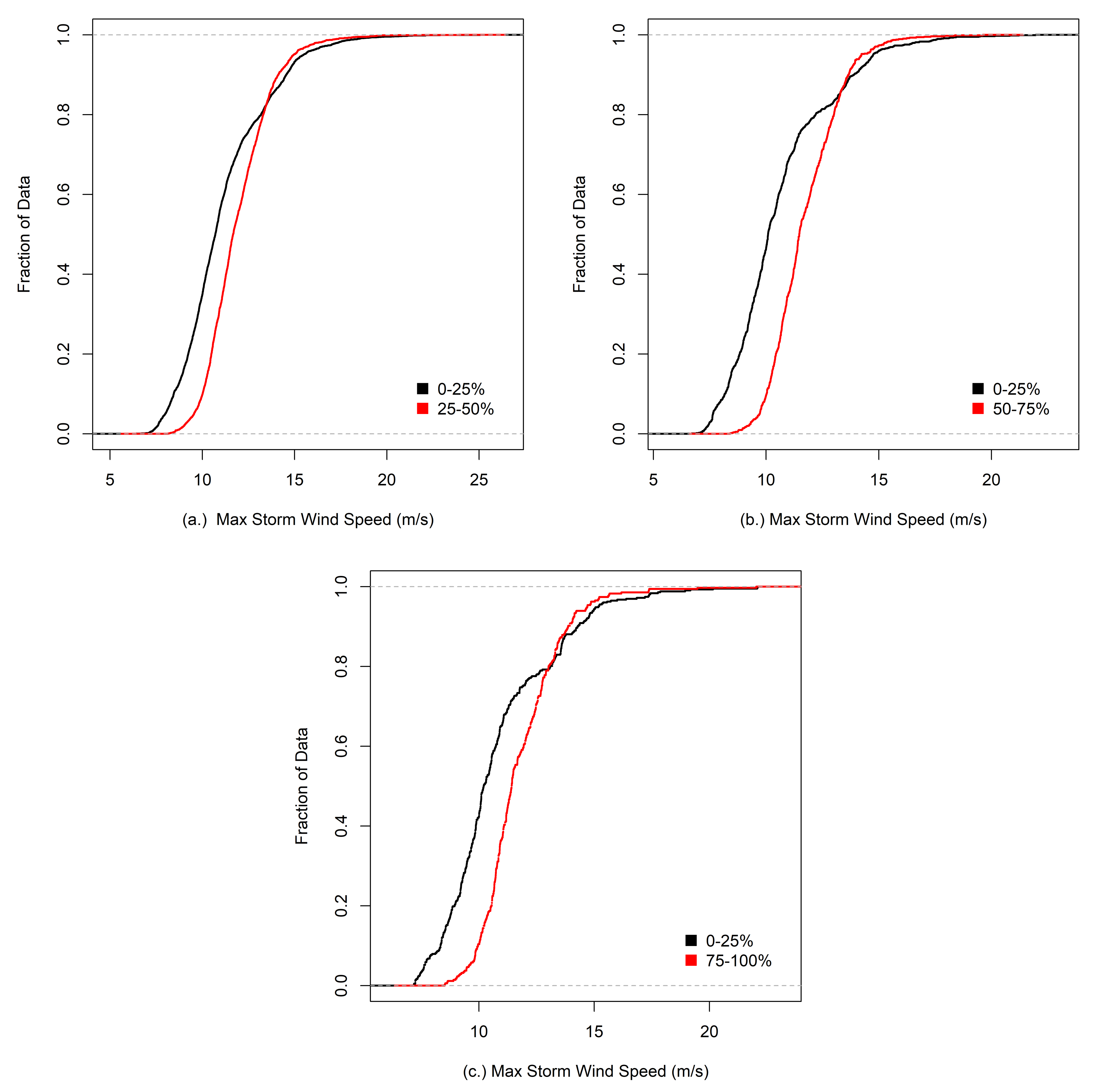
The low versus high instETT cumulative density functions for each of the three high-severity Experiments (A–C) can be seen in Figure 3. It can be seen in the figure that for approximately the lower 80% of quantiles for each of the three comparisons, the bins representing the higher instETT values have higher average kinetic energy proxy. However, the data groups with lower instETT values have the higher kinetic energy proxy for approximately the top 20% of quantiles.
Figure 3.
Cumulative distribution functions (CDFs) of Kinetic Energy Proxy. Comparisons between low and higher ETT data subsets for each comparison group for Severe Storms. (a) 0–25% vs. 25–50% ETT groups—Experiment A. (b) 0–25% vs. 50–75% ETT groups—Experiment B. (c) 0–25% vs. 75–100% ETT groups—Experiment C.
Due to the difference in kinetic energy proxy distributions for the lower and higher ETT bins in each comparison, we normalize outages by this proxy for each bin. To obtain a value to normalize by, the mean of the squared maximum 10-m wind speeds for each circuit is taken, where Equation (2) below represents the kinetic energy proxy for one circuit. The average of the kinetic energy proxies for each circuit is then taken in a given comparison bin:
In the above equation, the 10-m wind speed () is squared as velocity is in the equation for kinetic energy. Values of the average kinetic energy proxy for each instETT comparison bin for high- and low-severity events can be seen in Table 1.
Each of the data bins were also tested for the normality of the distribution, to confirm which statistical test to use for determining if the difference between trouble spots in each ETT group comparison is significant. The Shapiro–Wilk normality test was used [34,35,36,37,38]. For bins with under 5000 data samples, all data were used in the test. For the bins with over 5000 samples, 5000 data points were randomly selected and used for the analysis. All of the bins were found to not have normally distributed data. As the data subsets are not normal in their distributions, a nonparametric Wilcoxon–Mann–Whitney test (alpha of 0.05) was used to compare the means for significant differences [35,39,40,41].
To focus on the cases of the most extreme impacts, the percent changes in kinetic energy normalized trouble spots were used to estimate trouble spot values for each circuit for the three tropical storms (Irene, Sandy, Isaias) under two hypothetical conditions: 1, if no ETT had been performed prior to the storms; 2, if every circuit had an instETT value between 75% and 100% prior to the storms. For each circuit and for each of the three storms, the actual instETT bin was determined. If the instETT value was between 0% and 25%, no adjustment was made. Otherwise, the expected outages if instETT was between 0% and 25% were calculated as follows. The trouble spot value for the given circuit and event was divided by 1 minus the expected percentage decrease for the circuit’s instETT value and the storm severity, where the expected decreases are the percentages shown in Figure 4. Equation (3) outlines the trouble spot adjustment, where O is the outage value for a single circuit for a single event, and is the adjustment percentage derived from previous analysis dependent on the circuit instETT value and the event severity. In this case, the three storms being analyzed are all high-severity. The calculated values for each circuit with 0% to 25% ETT were then used to obtain outage values if the instETT values were 75–100% for each circuit by multiplying by 1 less 0.373, where 0.373 is the expected percentage decrease in trouble spots for high-severity storms if instETT is increased from 0–25% to 75–100% (Experiment C), in decimal form.
Figure 4.
Percent decrease in normalized trouble spots from low instETT to higher instETT bins for each experiment. The left (blue) three bars represent the percent change in average kinetic energy proxy and overhead line normalized trouble spots from the 0–25% instETT bin to each higher instETT bin for low-severity events (Experiments D–F). The right (red) three bars represent the percent change in average kinetic energy proxy and overhead-line-normalized trouble spots from the 0–25% instETT bin to each higher instETT bin for high-severity events (Experiments A–C).
This same calculation methodology is used for each of the 173 storms to determine the trouble spots if no ETT had been performed prior to each storm, and determine the trouble spots if every circuit had an instETT value between 75% and 100% before the storm.
A representation of the domain and methodology can be seen in Figure 5, where the data are split by event severity and then again by ETT levels to run six experiments. The expected statistical reduction in outages is calculated for each experiment, and then those values are applied on a circuit by circuit basis to evaluate the effectiveness of different vegetation management scenarios in terms of reducing trouble spots in the electric grid.
Figure 5.
Study framework. The left-hand figure depicts the domain, with the overhead lines colored by circuit ID. The experiments correspond to the groups in Table 1. The statistical outage reductions include controls for storm intensity (kinetic energy proxy) and overhead line length.
3. Results
From Experiments A–C in Table 1, it is evident that for high-severity events, the kinetic energy proxies are higher for the bins of data with higher instETT values. This is important to note, as stronger storms tend to produce more outages, so without normalizing for kinetic energy, ETT impacts may appear less beneficial than they would if the storm strength was equivalent across the comparison bins. The percentage changes in average kinetic energy from the low (0–25%) to high instETT bins from Experiments A–C are displayed in Figure 6. Conversely, for the lower-severity storms, all of the average kinetic energy proxies are higher in the lower ETT bins versus their higher ETT comparison bins.
Figure 6.
Percent Change in Average Kinetic Energy Proxies. Percentage change from Low ETT (0–25%) to High ETT Bins for Severe Storms (Experiments A–C).
The differences in trouble spots between the lower and higher ETT bins that can be seen in Figure 7 are significant when tested with a Wilcoxon–Mann–Whitney test, except for Experiment C, which compares the lowest and highest levels of ETT. This is likely due to the small size of the groupings compared in that experiment.
Figure 7.
Average outages per mile of overhead line, normalized for kinetic energy proxy. (a) Comparing 0–25% instETT to 25–50% instETT—Experiments A and D. (b) Comparing 0–25% instETT to 50–75% instETT—Experiments B and E. (c) Comparing 0–25% instETT to 75–100% instETT—Experiments C and F.
When looking at the results in Figure 4, there are several noteworthy findings. The first is that for low-severity events (Experiments D–F), ETT is effective for each of the vegetation management levels (instETT bins) analyzed, with normalized trouble spot reductions ranging between 45.8% and 63.8%. This may be due to the utility having targeted particularly vulnerable areas, or areas with particularly heavy tree cover first. Further, in smaller storms, lower winds and kinetic energy are generally experienced, making it more likely that branches fall, as opposed to entire trees uprooting and falling on power lines. As ETT is more rigorous than other vegetation management strategies at clearing branches above power lines, but not necessarily at removing entire trees that could fall on power lines during more intense storms, this may partially explain the greater effectiveness of ETT for lower-severity storms. While we do see a reduction in outages across all ETT levels for high-severity storms as well, there is a large increase in effectiveness between the two lower ETT Experiments (A,B) versus the highest ETT Experiment (C), with the results suggesting that the highest ETT level reduces trouble spots by 37.3% while the lower bins reduce outages by between 8–16.1%.
Looking at the results of the percent decreases in trouble spots for each experiment in Figure 4, the percent decreases are not monotonically increasing with higher instETT for either high- or low-severity, despite normalizing outages by miles of overhead line and kinetic energy proxy. However, this is likely due to the fact that a simple linear normalization scheme was applied to account for kinetic energy while the relationship between kinetic energy and outages is not linear [11,26], and that the interaction between storm conditions and power outages is affected by many more variables than just the kinetic energy of the storm. Some other variables that affect the number of outages in a storm include precipitation, drought, and leaf area among others [11,13,26,32,42,43,44,45,46]. In the case of severe storms, the results demonstrate a smaller reduction in trouble spots when completing 50–75% of applicable ETT versus 25–50% of applicable ETT; however, this is partly explained by Figure 6, which demonstrates that of the high-severity experiments, the largest percent difference in average kinetic energy between the low and high instETT bins of each experiment is for Experiment B. As the data in Experiment B have the highest average increase in kinetic energy between its low and high ETT comparison groups, a nonlinear relationship between kinetic energy and trouble spots may be driving the results, which show ETT is less effective for Experiment B compared with Experiment A, when only 25–50% of the applicable length of the circuit has ETT performed on it. This is a logical result if the kinetic energy disparity is not fully compensated for by the linear normalization.
4. Discussion
While the results do suggest that ETT reduces trouble spots by a greater percentage for low-severity events when compared with high-severity events, particularly at lower applicable ETT completion percentages, it is imperative to look at large and small storms in combination to understand the comprehensive benefits of ETT, as demonstrated in Figure 8. While the largest storms such as Hurricane Sandy, Hurricane Irene, and Tropical Storm Isaias produce a large number of outages that can take over a week to fully restore, these types of storms do not occur nearly as frequently as smaller storms. By improving the reliability and resilience of the electric grid to smaller storms through ETT, outages are reduced, which in turn reduces the necessary spending on crews to restore outages. As utilities may have set annual budgets, by reducing spend on restoration for many smaller storms, more resources are left available for preparing and responding to the most extreme events when they do occur. Further, when outages occur, there is an economic cost to society in addition to the utility costs, and by reducing outages for the more frequent smaller storms, this cost is reduced. Figure 8 demonstrates the annual sums of trouble spots if no ETT had been performed before each storm, and the trouble spots if the instETT value for each circuit was between 75–100% before each storm, where the values for each scenario are calculated using the expected percent differences in trouble spots dependent on the instETT value from Figure 4. Figure 8 demonstrates that when considering the low and high severity events together, there is a sizable reduction in outages for each year of the study, with annual reductions ranging between 37.3% and 57.1%. It is noted that the reductions shown in Figure 8 represent an underestimation of the actual reduction of outages, as the list of events used in the study is not comprehensive in that some storm events that are small in magnitude are not included in the dataset. Further, the system exclusively focuses on rain and wind storms, excluding thunderstorms and winter storms, which also introduce significant outage events.
Figure 8.
Sum of annual trouble spots. The left (black) bars represent the trouble spots if no ETT was performed prior to each storm. The right (light green) bars represent if the instETT value was between 75–100% before each storm occurred.
To examine the impact of high amounts of applicable ETT (instETT) on some of the most extreme storms, we similarly use the expected change in trouble spots from Figure 4 to approximate how many outages would have occurred had no applicable ETT been performed on each circuit before each storm, as well as if 75–100% of applicable ETT had been performed on every circuit. These values are compared with the actual trouble spots observed for the storms in Table 2. As seen in the table, there is not much difference between the actual instETT trouble spot value and the trouble spot value if no applicable ETTs were performed for Irene and Sandy since they took place in the early years of the study, when not much ETT had been implemented. However, as Isaias took place much more recently, we see a reduction of over 2500 trouble spots in the electric grid from the expected value had no ETT been performed. There is also a large estimated reduction in trouble spots for each of the three major storms had extensive ETT been performed for each circuit before the storm. Information on reduced trouble spots for major events for various ETT scenarios may be useful to utilities and regulators to optimize a resilience strategy between grid hardening efforts, vegetation management, and increased crew response, helping to reduce restoration times and save money. Additionally, the results give an ability to retrospectively quantify return on investment. By looking at historical storms with various ETT scenarios, it is possible to perform economic analyses on projected future return on investment under different vegetation scenarios, which can aid in development of resilience plans. This study acts as the first step in quantifying the return on investment of vegetation management while considering storm severity and provides a tool that can also be applied to future climate scenario storm events.
Table 2.
Actual and Estimated Trouble Spots for Major Storms for Various ETT Scenarios.
While the results do show reductions in trouble spots for high and low storm severity, as well as for individual extreme events, there are some limitations to the study that should be noted. First, areas with different vegetation cover or predominant storm types may see different results, as the reduction in outages is dependent upon the physical environment and storm characteristics. Secondly, normalization for other hardening techniques that may have been previously applied is not performed. Nevertheless, these techniques (pole upgrades, undergrounding in previously nonundergrounded locations) have been applied in much more isolated fashion and on a much smaller scale across the domain. Further, the stress applied to electrical infrastructures is not only dependent on wind speed, and may be dependent on other factors such as line length. To help account for this issue, the study normalized outages by overhead line length. To help control for other factors that may influence outages, such as infrastructure age or tree height in the surrounding area, each binned comparison only includes circuits that had data in each bin. This means that for the inclusion of a circuit into each binned analysis, at least one storm of the severity being analyzed must have occurred over the domain when the instETT value for the given circuit was inside each of the two instETT ranges being compared (0–25%, 25–50%, 50–75%, or 75–100%).
5. Conclusions
Through various statistical analyses, we have been able to demonstrate and statistically model the relationship between vegetation management and outages in the electric grid for storms of different severity. The results demonstrate that enhanced vegetation management is particularly helpful in reducing trouble spots for lower severity storms, with reductions between 45.8% and 63.8%, and substantially reduces trouble spots during the most severe events when vegetation management is particularly comprehensive, demonstrating a 37.3% reduction when compared with circuits with little to no enhanced tree trimming. These reductions in power outages can be seen for individual storms as well as in annual totals.
When compared with previous studies in the effectiveness of vegetation management activities, this analysis provides a better understanding of how more rigorous vegetation management standards (applying ETT) help reduce outages at an individual event level, for both the more frequent events and those less frequent, stronger storms, which may also occur more frequently in the future due to climate change. This analysis may also provide insight to be used when training machine learning outage prediction models, as future models may see benefits from including vegetation management data and focusing explicitly on low- or high-severity storms, or feature engineering new input variables that combine storm intensity and vegetation management information. The results of this study also provide useful information on annual trouble spots in the electric grid, taking into consideration vegetation management data and storm intensity, to provide a retrospective look at how different vegetation management levels and schemes would have impacted trouble spots. This information is useful to various stakeholders in performing cost-benefit analysis when developing vegetation management, or more broadly, resilience plans or budgets. Specifically, outputs from this or a similar analysis can be used in economic analysis to optimize vegetation management efforts and compare and contrast short- and long-term costs versus other resilience efforts such as wire and pole upgrades, or undergrounding wires, and is a recommended inclusion into such analyses. In future works, this model can be adapted for other types of storms such as thunderstorms and winter storms.
Another potential research focus to expand on this work is controlling for possible overlap in historical resilience upgrades to the distribution grid, including pole and wire upgrades, which may have been performed in tandem with ETT in some locations. However, these other hardening techniques are more isolated and are typically applied much less broadly than vegetation management by US power utilities. Additionally, a similar statistical framework can be used to analyze the effectiveness of other resilience efforts for varying storm intensities, where the data are similarly available at a circuit level, including efforts such as reconductoring wires and pole upgrades or replacements. These results may also be useful to stakeholders including utilities, regulators, and municipalities in understanding if it is worthwhile to partake in expensive grid hardening measures such as undergrounding wire, and where such activities may be the most impactful. In this way, the results of this study and future works utilizing the same framework can be used to optimize grid resilience to storms and climate changes ensuring the reliable delivery of power long into the future.
Author Contributions
Conceptualization, E.A. and W.O.T.; methodology, W.O.T., P.L.W., D.C., and E.A.; software, W.O.T.; validation, W.O.T., P.L.W., D.C., and E.A.; formal analysis, W.O.T.; investigation, W.O.T.; resources, W.O.T. and P.L.W.; data curation, W.O.T. and P.L.W.; writing—original draft preparation, W.O.T.; writing—review and editing, W.O.T., P.L.W., D.C., and E.A.; visualization, W.O.T.; supervision, E.A.; project administration, E.A.; funding acquisition, E.A. All authors have read and agreed to the published version of the manuscript.
Funding
This research was funded by Eversource Energy Connecticut through the Eversource Energy Center at the University of Connecticut, USA.
Institutional Review Board Statement
Not applicable.
Informed Consent Statement
Not applicable.
Data Availability Statement
Not applicable.
Acknowledgments
This publication uses classified electric utility data. The authors have full access to all of the data in this study and we take complete responsibility for the integrity of the data and the accuracy of the data analysis.
Conflicts of Interest
The funders had no role in the design of the study; in the analyses, or interpretation of data; in the writing of the manuscript, or in the decision to publish the results. P.L.W., D.C., and E.A. hold stock in Whether Inc.
References
- Appelt, P.; Goodfellow, J. Research on How Trees Cause Interruptions—Applications to Vegetation Management. In Proceedings of the Rural Electric Power Conference, Scottsdale, AZ, USA, 25–25 May 2004; pp. 6–10. [Google Scholar] [CrossRef]
- Novembri, R. Utility Vegetation Management Final Report; Technical Report FERC-03AL-30574; Federal Energy Regulatory Commission: Washington, DC, USA, 2004. [Google Scholar]
- Simpson, P.; Van Bossuyt, R. Tree-Caused Electric Outages. J. Arboric. 1996, 22, 117–121. [Google Scholar]
- Lineweber, D.; McNulty, S. The Cost of Power Disturbances to Industrial & Digital Economy Companies. 2001. Available online: https://www.epri.com/research/products/3002000476 (accessed on 13 December 2021).
- Sullivan, M.; Schellenberg, J.; Blundell, M. Updated Value of Service Reliability Estimates for Electric Utility Customers in the United States; Technical Report; Lawrence Berkeley National Lab. (LBNL): Berkeley, CA, USA, 2015. [Google Scholar]
- Eversource. Customer Profile. Available online: https://www.eversource.com/content/nh/about/about-us/about-us/customer-profile (accessed on 1 July 2021).
- Eversource. Understanding Vegetation Managment. Available online: https://www.eversource.com/content/docs/default-source/my-account/veg-mgmt-guide.pdf (accessed on 5 December 2021).
- Peracchio, D. Connecticut’s 2020 Forest Action Plan. 2020. Available online: https://portal.ct.gov/DEEP/Forestry/CT-Forest-Action-Plan (accessed on 13 December 2021).
- Forest Area (% of Land Area)—United States. Available online: https://data.worldbank.org/indicator/AG.LND.FRST.ZS?name_desc=true&locations=US (accessed on 10 June 2021).
- New England Forests: The Path to Sustainability; Technical Report Chapter 1: Keep New England Forested; New England Forestry Foundation: Littleton, MA, USA, 2014.
- Wanik, D.; Parent, J.; Anagnostou, E.; Hartman, B. Using vegetation management and LiDAR-derived tree height data to improve outage predictions for electric utilities. Electr. Power Syst. Res. 2017, 146, 236–245. [Google Scholar] [CrossRef]
- Parent, J.R.; Meyer, T.H.; Volin, J.C.; Fahey, R.T.; Witharana, C. An analysis of enhanced tree trimming effectiveness on reducing power outages. J. Environ. Manag. 2019, 241, 397–406. [Google Scholar] [CrossRef] [PubMed]
- Cerrai, D.; Watson, P.; Anagnostou, E.N. Assessing the effects of a vegetation management standard on distribution grid outage rates. Electr. Power Syst. Res. 2019, 175, 105909. [Google Scholar] [CrossRef]
- Campbell, R.J. Weather-Related Power Outages and Electric System Resiliency. 2012. Available online: https://digital.library.unt.edu/ark:/67531/metadc122249/ (accessed on 13 December 2021).
- Economic Benefits of Increasing Electric Grid Resilience to Weather Outages; Technical Report; Executive Office of the President: Washington, DC, USA, 2013.
- Simpson, P.O. Tree Damage to Electric Utility Infrastructure Assessing and Managing the Risk from Storms. Proceeding of the 10th Annual International Cold Regions Engineering Conference, Lincoln, NH, USA, 16–19 August 1999; pp. 768–778. Available online: https://cedb.asce.org/CEDBsearch/record.jsp?dockey=0118612 (accessed on 5 December 2021).
- Poulos, H.M.; Camp, A.E. Decision Support for Mitigating the Risk of Tree Induced Transmission Line Failure in Utility Rights-of-Way. Environ. Manag. 2010, 45, 217–226. [Google Scholar] [CrossRef] [PubMed]
- Poulos, H.M.; Camp, A.E. Mapping Threats to Power Line Corridors for Connecticut Rights-of-Way Management. Environ. Manag. 2011, 47, 230–238. [Google Scholar] [CrossRef] [PubMed]
- Dokic, T.; Kezunovic, M. Predictive Risk Management for Dynamic Tree Trimming Scheduling for Distribution Networks. IEEE Trans. Smart Grid 2019, 10, 4776–4785. [Google Scholar] [CrossRef]
- Kuntz, P.; Christie, R.; Venkata, S. Optimal vegetation maintenance scheduling of overhead electric power distribution systems. IEEE Trans. Power Deliv. 2002, 17, 1164–1169. [Google Scholar] [CrossRef]
- Louit, D.; Pascual, R.; Banjevic, D. Optimal interval for major maintenance actions in electricity distribution networks. Int. J. Electr. Power Energy Syst. 2009, 31, 396–401. [Google Scholar] [CrossRef]
- Guikema, S.; Davidson, R.; Liu, H. Statistical Models of the Effects of Tree Trimming on Power System Outages. IEEE Trans. Power Deliv. 2006, 21, 1549–1557. [Google Scholar] [CrossRef]
- Najafi Tari, A.; Sepasian, M.S.; Tourandaz Kenari, M. Resilience assessment and improvement of distribution networks against extreme weather events. Int. J. Electr. Power Energy Syst. 2021, 125, 106414. [Google Scholar] [CrossRef]
- Ma, S.; Chen, B.; Wang, Z. Resilience Enhancement Strategy for Distribution Systems Under Extreme Weather Events. IEEE Trans. Smart Grid 2018, 9, 1442–1451. [Google Scholar] [CrossRef]
- Bhattacharyya, A.; Yoon, S.; Hastak, M. Optimal strategy selection framework for minimizing the economic impacts of severe weather induced power outages. Int. J. Disaster Risk Reduct. 2021, 60, 102265. [Google Scholar] [CrossRef]
- Nateghi, R.; Guikema, S.; Quiring, S.M. Power Outage Estimation for Tropical Cyclones: Improved Accuracy with Simpler Models: Power Outage Estimation for Tropical Cyclones. Risk Anal. 2014, 34, 1069–1078. [Google Scholar] [CrossRef] [PubMed]
- Hughes, W.; Zhang, W.; Bagtzoglou, A.C.; Wanik, D.; Pensado, O.; Yuan, H.; Zhang, J. Damage modeling framework for resilience hardening strategy for overhead power distribution systems. Reliab. Eng. Syst. Saf. 2021, 207, 107367. [Google Scholar] [CrossRef]
- DiFalco, S.; Morzillo, A.T. Comparison of Attitudes towards Roadside Vegetation Management across an Exurban Landscape. Land 2021, 10, 308. [Google Scholar] [CrossRef]
- Gazzea, M.; Pacevicius, M.; Dammann, D.O.; Sapronova, A.; Lunde, T.M.; Arghandeh, R. Automated Power Lines Vegetation Monitoring using High-Resolution Satellite Imagery. IEEE Trans. Power Deliv. 2021. [Google Scholar] [CrossRef]
- Graziano, M.; Gunther, P.; Gallaher, A.; Carstensen, F.V.; Becker, B. The wider regional benefits of power grids improved resilience through tree-trimming operations evidences from Connecticut, USA. Energy Policy 2020, 138, 111293. [Google Scholar] [CrossRef]
- Service Territory. Available online: https://www.eversource.com/content/ct-c/about/about-us/about-us/service-territory (accessed on 5 December 2021).
- Watson, P.L.; Cerrai, D.; Koukoula, M.; Wanik, D.W.; Anagnostou, E. Weather-related power outage model with a growing domain: Structure, performance, and generalisability. J. Eng. 2020, 2020, 817–826. [Google Scholar] [CrossRef]
- Potapov, P.; Li, X.; Hernandez-Serna, A.; Tyukavina, A.; Hansen, M.C.; Kommareddy, A.; Pickens, A.; Turubanova, S.; Tang, H.; Silva, C.E.; et al. Mapping global forest canopy height through integration of GEDI and Landsat data. Remote Sens. Environ. 2021, 253, 112165. [Google Scholar] [CrossRef]
- Shapiro, S.S.; Wilk, M.B. An analysis of variance test for normality (complete samples). Biometrika 1965, 52, 591–611. [Google Scholar] [CrossRef]
- R Core Team. R: A Language and Environment for Statistical Computing; R Core Team: Vienna, Austria, 2021; Available online: https://www.gbif.org/tool/81287/r-a-language-and-environment-for-statistical-computing (accessed on 13 December 2021).
- Royston, J.P. An Extension of Shapiro and Wilk’s W Test for Normality to Large Samples. Appl. Stat. 1982, 31, 115. [Google Scholar] [CrossRef]
- Royston, J.P. Algorithm AS 181: The W Test for Normality. Appl. Stat. 1982, 31, 176. [Google Scholar] [CrossRef]
- Royston, P. Remark AS R94: A Remark on Algorithm AS 181: The W-test for Normality. Appl. Stat. 1995, 44, 547. [Google Scholar] [CrossRef]
- Mann, H.B.; Whitney, D.R. On a Test of Whether one of Two Random Variables is Stochastically Larger than the Other. Ann. Math. Stat. 1947, 18, 50–60. [Google Scholar] [CrossRef]
- Bauer, D.F. Constructing Confidence Sets Using Rank Statistics. J. Am. Stat. Assoc. 1972, 67, 687–690. [Google Scholar] [CrossRef]
- Wilcoxon, F. Individual Comparisons by Ranking Methods. Biom. Bull. 1945, 1, 80. [Google Scholar] [CrossRef]
- Cerrai, D.; Wanik, D.W.; Bhuiyan, M.A.E.; Zhang, X.; Yang, J.; Frediani, M.E.; Anagnostou, E.N. Predicting storm outages through new representations of weather and vegetation. IEEE Access 2019, 7, 29639–29654. [Google Scholar] [CrossRef]
- Yang, F.; Watson, P.; Koukoula, M.; Anagnostou, E.N. Enhancing Weather-Related Power Outage Prediction by Event Severity Classification. IEEE Access 2020, 8, 60029–60042. [Google Scholar] [CrossRef]
- Yang, F.; Wanik, D.W.; Cerrai, D.; Bhuiyan, M.A.E.; Anagnostou, E.N. Quantifying Uncertainty in Machine Learning-Based Power Outage Prediction Model Training: A Tool for Sustainable Storm Restoration. Sustainability 2020, 12, 1525. [Google Scholar] [CrossRef] [Green Version]
- Wanik, D.W.; Anagnostou, E.N.; Hartman, B.M.; Frediani, M.E.B.; Astitha, M. Storm outage modeling for an electric distribution network in Northeastern USA. Nat. Hazards 2015, 79, 1359–1384. [Google Scholar] [CrossRef]
- Guikema, S.D.; Quiring, S.M.; Han, S.R. Prestorm Estimation of Hurricane Damage to Electric Power Distribution Systems: Prestorm Estimation of Hurricane Damage. Risk Anal. 2010, 30, 1744–1752. [Google Scholar] [CrossRef] [PubMed]
Publisher’s Note: MDPI stays neutral with regard to jurisdictional claims in published maps and institutional affiliations. |
© 2022 by the authors. Licensee MDPI, Basel, Switzerland. This article is an open access article distributed under the terms and conditions of the Creative Commons Attribution (CC BY) license (https://creativecommons.org/licenses/by/4.0/).







