Abstract
To overcome the limitations of soil fertility and provide high crop output, soil fertility management, including the sensible use of mixes of organic and inorganic fertilizers, is a realistic approach. The strategy of integrated nutrient usage was used since there was a decrease in soil characteristics and crop productivity as a result of the overuse of chemical fertilizers. The present study was designed in 2019–2020 and 2020–2021 at the high-tech unit, Department of Horticulture, Udaipur to investigate the integrated use of FYM and inorganic fertilizers along with silicon on the development and output parameters of cauliflower (Brassica oleracea var. botrytis L.). The field experiment was carried out with fourteen treatments as a soil application under randomized block design. The results revealed that treatment T14 (50% recommended dose of nitrogen by FYM + 50% recommended dose of fertilizers + 100 kg Silicon/ha) showed maximum plant height at harvest (65.73 cm), number of leaves per plant (24.27), leaf area index (11.83), chlorophyll content at 50 days after transplanting (1.99 mg/g), stalk length (8.23 cm) and stem girth (7.41 cm), minimum number of days to curd initiation after transplanting (66.37), minimum number of days required for marketable curd maturity after transplanting (89.17), maximum plant weight (1154.74 g), diameter of curd (15.75 cm), curd yield (277.53 q/ha) and dry weight of curd (91.41 g) as compared to control. In the end, the results showed that the growth and yield of cauliflower were better when silicon, manure, and chemical fertilizers were used together.
1. Introduction
Cauliflower is the most consumed vegetable of all the vegetables in the world. It is high in vitamin B1, B2, B6, C, and K, as well as folate and folic acid, pantothenic acid, protein, dietary fiber, and the minerals P, K, and Mn [1]. India is the second largest producer of vegetables after China, holding an area of over 10,259 thousand hectares of vegetables with a production of 184,394 thousand metric tons. In Rajasthan, vegetables are grown over a 163.22 thousand hectare area with a production of 1673.99 thousand metric tons. According to [2], India covered an area of over 452.6 thousand hectares with a production of 8668.2 thousand metric tones of cauliflower. In states like Rajasthan, cauliflower occupies an area of over 10.25 thousand hectares with a production of 51.71 thousand metric tons.
Due to its bioactive components, indole-3-carbinol1, and higher proportion of isothiocyanate, which is useful in preventing carcinogenesis, cauliflower has health advantages, medicinal value, and therapeutic effects. For growth and development, cauliflower needs a significant number of nutrients [3].
Farmyard manure improves soil qualities, lowering the need for chemical fertilizers and increasing the balance of organic material, soil moisture, and water usage effectiveness [4]. Organic manures provide all primary and secondary macronutrients as well as micronutrients, which are essential for plant growth and development [5].
Chemical fertilizers have high nutrients and are rapidly available to plants, but excess use causes a number of problems; loss of nutrients, contaminating soil water and increased insect pest activity. Globally, soils are losing fertility and productivity as a result of increased use of inorganic fertilizers, which could impact flowering and fruiting [6].
The secret to superior crops and sustainable agricultural production is soil fertility and nutrient control. Combining chemical and organic fertilizers allowed for maximum productivity to be maintained while reducing the need for inorganic fertilizers, which had detrimental effects on soil fertility, crop yield, and the environment [7,8]. Organic manures help to maintain soil properties (structure, texture, water holding capacity, etc.), soil health, and nutrient availability for plants that help to provide a favourable environment for growth, flowering, and fruiting stages [9].
A crucial ingredient for plant growth and development, silicon has been discovered to be plentiful in soils and the second most widely accessible element on Earth after oxygen [10]. Plants with silicon improved the ability of plants to withstand environmental stress and improved plant growth, production, and quality [11]. It has long been believed that silicon fertilizer is essential for promoting vegetative growth and healthy development and that the proper amount of silicon is required for cell development and differentiation [12].
Using silicon or nano-silicon on plants promotes growth and development by improving proline accumulation, nutritional content, free amino acid levels, gas exchange, antioxidant enzyme activities, and the effectiveness of the photosynthetic machinery [13]. When Si was added, K uptake went up and Na uptake went down, which were the two main ways plants grew better in salty conditions [14].
Si helps to maintain nutrients in plant-available forms by enhancing the physical and chemical qualities of the soil and the nutritional state of plants. Nitrate concentrations in edible tissues decreased as a result of the Si supply, increasing edible yield and quality [15]. The direct impact of silicon can encourage the biofortification of vegetable leaves and has a significant impact on root development, allowing for quicker root growth and improved root resilience in dry soils [16]. Silicon encourages vertical growth, precludes lodging, encourages favorable leaf exposure to light, and increases the functions of anti-oxidant enzymes which reduce biotic and abiotic stress in plants. Silicon also increases the growth and yield of all annual and vegetable crops. Draught-exposed plants that were silicon-treated kept their greater stomatal conductance, relative water content, water potential, and yield levels. It encourages leaves to grow bigger and thicker, which limits water loss through transpiration and lowers water use [17]. This study set out to determine how nutritional sources, both organic and inorganic, affected the performance of cauliflower.
2. Materials and Method
The field experiment was conducted at hi-tech unit, Rajasthan College of Agriculture, Maharana Pratap University of Agriculture and Technology, Udaipur located at 24°35′ N latitude 74°42′ longitude at 585.5 m above mean sea level of India. Seedlings were transplanted on ridge and furrow system in beds at (60 cm × 45 cm) spacing in open field circumstances with fourteen treatments and three replications under randomized block design during 2019–2020 and 2020–2021. The experimental location is located in Rajasthan’s Agro-climate zone IV A, which is sub-tropical and semi-arid with annual minimum 28.8 °C and maximum 38.3 °C temperature in summers and minimum 11.6 °C and 28.3 °C temperature in winters (Figure 1). The average annual rainfall is 760–900 mm, with the South-West monsoon bringing the majority of the rain from mid-June to September and the annual. The soil had a clay loam texture, was slightly alkaline in reactivity and was inferior in other nutrients (Table 1) and the treatment details were given in (Table 2).
Figure 1.
Mean weekly meteorological data during the experimentation years 2019–2020 and 2020–2021. “i” and “ii” shows the two different times of observations in the same year.
Table 1.
Initial fertility status of experimental soil.
Table 2.
Treatment details.
Application of treatments—Well rotten FYM was purchased from the department of animal production of RCA, Udaipur and silica as a source of silicon and chemical fertilizers were purchased from market and calculate the quantity according to treatment doses and applied in the experimental field before transplanting the seedlings in plots.
2.1. Growth Parameters
Growth attributes, like plant height (cm), number of leaves per plant, leaf area index, chlorophyll content (mg/g), stalk length (cm), stem girth (cm), minimum number of days to curd initiation, and minimum number of days required for marketable curd maturity, were measured at the time of harvesting, as determined by ocular observation. These parameters were determined from five randomly tagged plants from each replication and treatment, and an average was worked out.
2.1.1. Leaf Area Index
The leaf area of five randomly tagged plants was measured with leaf area meter and calculated by the following formula [22].
2.1.2. Chlorophyll Content in Leaves (mg/g)
The chlorophyll content of cauliflower leaves at 50 days after transplanting was determined through the method given by [23]. A 100 mg leaf sample was ground in 10 mL of 80% acetone, centrifuged for 10 min at 2000 rpm, and the final volume was 10 mL. The resultant absorbance of the clear supernatant present in test tubes was measured by Spectronic 20 at 652 nm and presented in terms of mg/g fresh weight of leaves.
where,
A = Absorbance specific wave lengths
α is the path length = 1 cm.
2.2. Yield Parameter
Yield attributes such as plant weight, curd diameter, curd yield per hectare and dry weight of curd were counted from each tagged plant of each treatment and then averaged to obtain the mean value. Plant weight was calculated on an electronic weighing balance, digital vernier calliper was used to measure curd diameter, and curd yield was determined according to curd yield per plot.
Dry Weight of Curd (g)
The dry weight of curd was estimated by 100 g fresh curd sample is taken from each selected plant and dried the sample in hot air oven at 60 °C. Weight the dried sample and average was worked out.
2.3. Statistical Analysis
The analysis of variance was used for the statistical analysis (ANOVA). The ‘F’ test was used to determine the significance of the difference within the treatment at a 5% level of significance, and the critical difference was determined wherever the findings were significant. Using Duncan’s multiple range test, the least significant difference between the treatments was determined to be (p ≤ 0.05).
3. Results
3.1. Effect of Silicon, FYM and Inorganic Fertilizers on Growth Parameters
Silicon and organic and inorganic fertilizers used together considerably improved the growth characteristics of cauliflower. The treatment T14 showed that maximum plant height at harvest (65.73 cm) as compared to control. The treatment T12, T10, T4 and T7 were significantly at par with T14 and the plant height was increased 41.26% in treatment T14 as compared to control in cauliflower. The maximum number of leaves per plant (24.27) was observed in T14 as compared to control. The treatment T1 was 25.10%, 22.68%, 19.22%, 18.19% and 15.82% lower than the treatments T14, T10, T12, T9 and T11, respectively. Maximum leaf area index (11.83) recorded in treatment T14 and minimum LAI was observed in control (Table 3 and Figure 2A–C).
Table 3.
Utilization of silicon in conjunction with manure and chemical fertilizers on cauliflower plant height (in cm), number of leaves per plant, and leaf area index (Brassica oleracea var. botrytis L.). The identical letters in the table denote no substantial difference (p ≤ 0.05). The letters from a to i shows the significant difference between the treatments.
Figure 2.
Integrated use of silicon with manure and chemical fertilizers on (A) plant height (cm), (B) number of leaves per plant, (C) leaf area index, (D) chlorophyll content (mg/g) at 50 DAT (E) stalk length (cm) and (F) stem girth (cm) of cauliflower (Brassica oleracea var. botrytis L.).
In Table 4 and Figure 2D–F, manure and chemical fertilisers along with silicon have a significant effect on chlorophyll content, stalk length and stem girth in cauliflower. In terms of the chlorophyll content treatment T14 showed maximum chlorophyll content at 50 DAT (1.99 mg/g), which was increased by 65.12% as compared to control. The chlorophyll content was increased by 60.49% in T10 as compared to control. The results revealed that treatment T14 showed a maximum stalk length of 8.23 cm which was at par with treatments T4, T7 and T12, while the minimum stalk length was found in T1. In cauliflower, treatment T1 was 33.82%, 29.59%, 28.29%, and 24.87% lower than treatments T14, T4, T7, and T12. Treatment T14 showed maximum stem girth (7.41 cm) was closely followed treatments T4 and T7. When treatments T14, T4, and T7 were compared to T1, the stem girth increased by 37.22%, 32.03%, and 31.29%, respectively.
Table 4.
Use of silicon in combination with manure and chemical fertilizers on cauliflower’s chlorophyll content (mg/g), stalk length (cm), and stem girth (cm) (Brassica oleracea var. botrytis L.). The identical letters in the table denote no substantial difference (p ≤ 0.05). The letters from a to j shows the significant difference between the treatments.
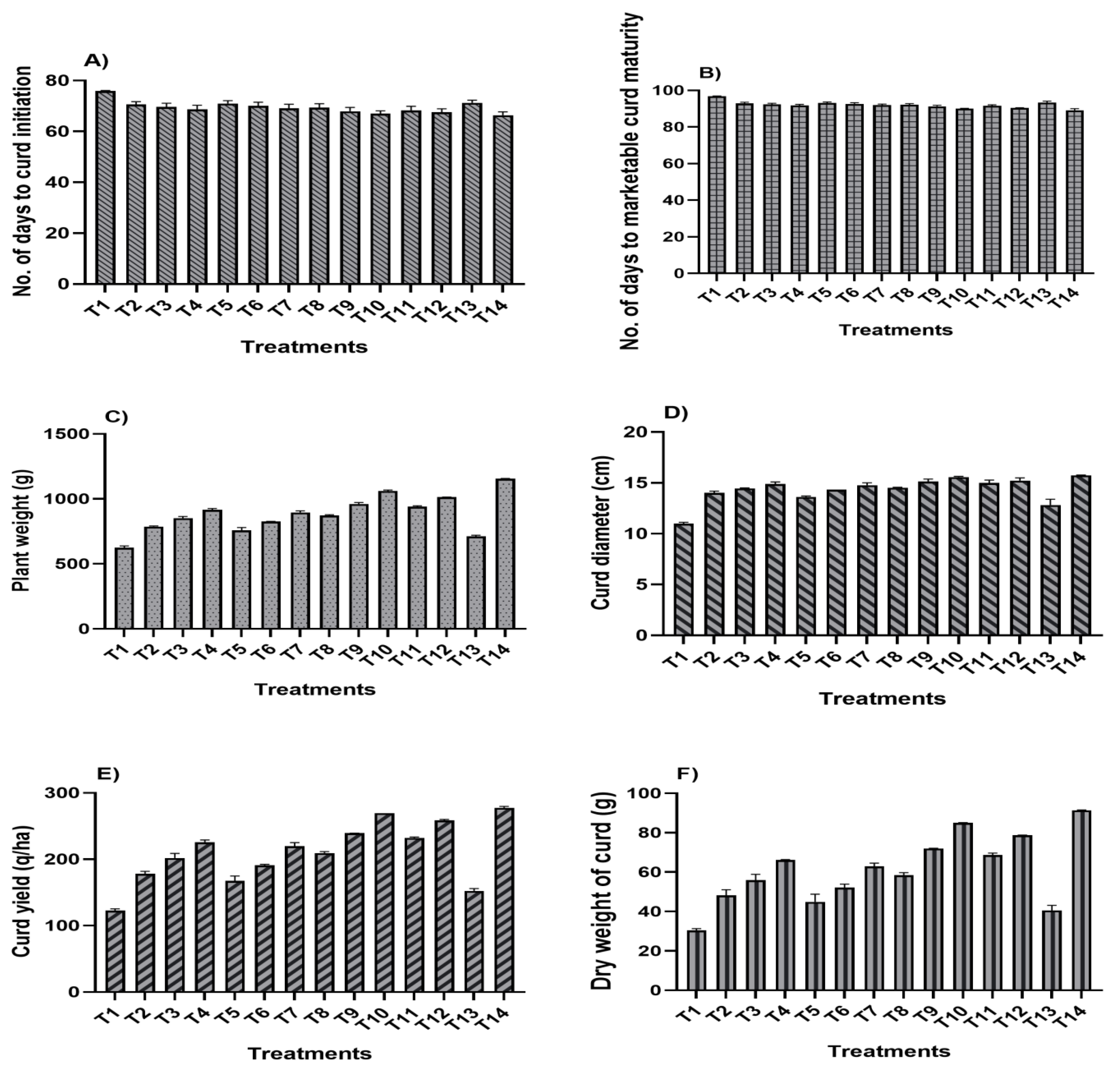
In the cauliflower plant, the application of treatment T14 minimizes the number of days to curd initiation and the number of days to marketable curd maturity as compared to T1 [Table 5 and Figure 3A,B]. The data revealed that minimum days to curd initiation after transplanting (66.37) was observed in treatment T14, which was 12.59% lower than treatment T1. In case of the minimum days required for marketable curd maturity after transplanting (89.17) were recorded in treatment T14 as compared to control. The minimum days required for marketable curd maturity was 7.94% lower in treatment T14 as compared to control. Treatments T10 and T12 were 6.91% and 6.60% lower than treatment T1, respectively, for the minimum days required for marketable curd maturity in cauliflower.
Table 5.
Integrated use of silicon with manure and chemical fertilizers on minimum number of days to curd initiation, minimum number of days required for marketable curd maturity after transplanting and plant weight (g) of cauliflower (Brassica oleracea var. botrytis L.). In the table, the same letters indicate no significant difference (p ≤ 0.05). The letters from a to k shows the significant difference between the treatments.
Figure 3.
Integrated use of silicon with manure and chemical fertilizers on (A) number of days to curd initiation, (B) number of days to marketable curd maturity, (C) plant weight (g), (D) curd diameter (cm), (E) curd yield (q/ha) and (F) dry weight of curd (g) of cauliflower (Brassica oleracea var. botrytis L.).
3.2. Effect of Silicon, Manure and Chemical Fertilizers on Yield Parameters
Integrated use of silicon, FYM and chemical fertilizers has a significant effect on yield parameters in cauliflower as presented in Table 6 and Figure 3C–F. In terms of plant weight, silicon, along with manure and chemical fertilizers showed a significant response in cauliflower and found that the treatment T14 exhibited an 84.78% increase in the plant weight as compared to the treatment T1. The highest plant weight (1154.74 g) was closely followed by treatment T10, and the minimum was observed in control. When compared to the control, treatment T14 had the largest curd diameter (15.75 cm). In cauliflower, the diameter of curd in treatment T1 was 43.31%, 41.67%, 38.48%, 37.57%, and 36.57% smaller than in treatments T14, T10, T12, T9, and T11. Treatment T14 showed a maximum yield of 277.53 q/ha, which was at par with treatment T10 and T12, respectively, while the minimum curd yield was found in control. Curd yield was 2.95% and 7.27% higher in treatment T14 than in treatments T10 and T12. The maximum dry weight of curd was (91.41 g) was observed in treatment T14 which was closely followed by treatment T10. The treatment T14 was 7.52% more effective than treatment T10.
Table 6.
Integrated use of silicon with manure and chemical fertilizers on curd diameter (cm), curd yield (q/ha) and dry weight of curd (g) of cauliflower (Brassica oleracea var. botrytis L.). In the table, the same letters indicate no significant difference (p ≤ 0.05). The letters from a to j shows the significant difference between the treatments.
4. Discussion
4.1. Effect of Silicon, FYM and Inorganic Fertilizers on Growth Parameters
The application of nutrients through chemical fertilizers and organic manures enhances the accumulation of carbohydrates in the upper portion of curd and decreases the translocation of carbohydrates to the roots. The quantity of auxin released by organic and inorganic fertilizers has an influence on plants. The concentration of auxin is lower in roots as compared to the tops of plants. Hence, between these two critical values, an increasing concentration of auxin tends to stop root growth and encourage top growth [24]. Cauliflower plants produce the most leaves per plant when 50% chemical fertilizers and composted cow dung are applied together at a rate of 20 t/ha [25]. According to [26], this may be caused by the simultaneous application of inorganic, bio, and compost fertilizers, as well as tomato plants’ strong photosynthetic activity and rapid vegetative development. The increased protein synthesis that results from the greater nitrogen concentration will eventually lead to a rise in cell size and number, which will result in longer stalks and more leaves on each plant [27].
Organic and inorganic fertilizers along with silicon increased the uptake of nutrients, water use efficiency, and other physiological processes of plants, which increased plant height as evidenced by [12] in rice. The results in terms of more leaves per plant and a higher leaf area index were corroborated with the findings of [28,29] in broccoli and [25] while working with cauliflower.
Higher photosynthetic rates cause an increase in coenzymes NADP and NADPH, which enhance the biological processes of plant, hence maximum nitrogen absorption and digestion capacity and high dry weight accumulation [30]. The increased levels of potassium silicate resulted in a smaller opening of the erect leaf angle with the stem of rice. This effect of silicon makes the plants more erect, straight and decreases the self-dropping of lower leaves of the plant canopy, which makes the plants more photosynthetically efficient and provides better availability of space for interception of solar radiation while also increasing the longevity of plants [31]. Similar findings were supported by [32,33]. Different sources of silicon might increase the bio-availability of macro and micro nutrients and their uptake and enhance rice growth by improving photosynthesis, reducing transpiration and respiration, and enhancing cell division and cell elongation, which led to enhanced plant height and good canopy, which resulted in high LAI [34]. These results were supported by [35]. The higher leaf area in plants treated with soil applied Si seems to be related to the higher number of leaves from the same treatment since one of the several effects of Si on plants is an increase in leaf number, as reported by [36] in potato.
Furthermore, silicon reduces salt stress in plants by reducing the permeability of plasma membranes, maintains the shape and structure of cells by enhancing the antioxidative enzymes superoxide dismutase and catalase, and increases the tolerance of plant leaves to salinity by raising the chlorophyll concentration and photochemical efficiency. They also [37,38] discovered significant effects of organic and inorganic fertilizers on the chlorophyll content of cauliflower. As reported by [39] in tomato, application of Si or N-Si boosted photosynthesis and decreased transpiration as a consequence of stomatal alterations as opposed to an increase in chlorophyll concentration.
Application of three different amounts of potassium silicate (25%) on Keitt mangos: 0.05%, 0.1%, and 0.20%. When compared to the control, the use of two or three potassium silicate treatments at 0.1% or 0.2% significantly boosted growth, P, K, and Mg concentrations, total chlorophyll in the leaves, first fruit set percentage, yield, and quality [40].
Bean crops cultivated in hydroponic systems dramatically enhanced their dry weight of shoots, leaf area, net photosynthetic rate, and stomatal conductance by adding silicon (1.5 mM Si) to nutrients, including 30 or 60 mM NaCl [41]. Application of Si increased the leaf area index, chlorophyll content, and nitrate reductase activity in the lower leaves of sugarcane [42].
The earliest curd initiation was obtained by using both organic and inorganic fertilizers. This may be because the production of nitrogen and phosphorus in the soil allows plants to absorb them, which increases plant hormonal activity and results in earlier head initiation, as shown by [43] in broccoli. Because organic resources enhance soil structure and productivity by enhancing soil tilth and aeration, they also boost the water holding capacity and activity of microorganisms and minimize the mining of soil nutrients. This led to a reduction in the number of days that curds took to mature [44].
4.2. Effect of Silicon, FYM and Inorganic Fertilizers on Yield Parameters
Utilizing both chemical and organic fertilizers together increased the accessibility and absorption of key and trace elements, increasing the photosynthesis process and, as a result, the weight of the plant, curd diameter, and dry matter content of the cauliflower. Additionally, by increasing cell size and volume, it improves plant growth and development [45]. The same results were reported by [46,47]. The combined application of 50% RDF along with FYM, vermicompost, and Azospirillum resulted in the highest curd weight and curd yield in cauliflower cv. Pusa Snowball K-1 as reported by [48]. Similar trends were reported by [49] in cabbage.
The increases in yield and its components in cauliflower due to supplementation of organic and inorganic resources may be referred to as beneficial effects of primary elements (NPK) in upgradation of photosynthesis and the formation of proteins, nucleic acids, carbohydrates, and other important organic components which move and escalate in edible parts of plants like the curd of cauliflower by the action mechanism of these constituents in this connection and therefore enhance the productivity of cauliflower [50]. The same results were reported by [51,52]. Combined use of 50% RDF along with vermicompost (25%) and poultry manure (25%) showed maximum curd weight on cauliflower [53]. The same results were reported by [54].
As stated by [3] in cauliflower, a rise in the number of leaves might have allowed for the storage of more carbohydrates, which would have increased the curd diameter. Due to the higher accessibility of micro and macronutrients in the soil, which led to healthy plants with greater physiological growth and yield that were reflected in head diameter, [43] also reported a beneficial reaction of organic sources of nutrients and inorganic fertilisers on head diameter. The results of [29] also showed that FYM and chemical fertilisers considerably increased the head weight of broccoli. According to [49], the use of NPK along with organic manure encouraged the efficient consumption of nutrients that were already present in the soil. This increased the activity of auxin and the growth and function of microbial saprophytes, which changed the yield per ha.
The use of silicon in conjunction with chelated iron (2 or 4 mmol K2SiO3 with 500 mg Fe-EDDHA 6% L−1) increased tomato fruit weight and yield [55].It might be due to application of silicon, alleviating biotic and abiotic stress can improve flowering and fruit set. Plants produced the greatest number of fruits, increasing the cucumber yield reported by [56].
Silicon with straw grown enriched nutrient solution increased total yield (16.15 kg/plant) and marketable yield (14.92 kg/plant) in tomato [57], while silicon with sand grown enriched nutrient solution increased mean fruit weight (158.3 g), dry weight (5.58%), and total sugars (2.73%). These findings were in agreement with [58] in tomato. It is evident from the results that the highest sugarcane yield (9 %) and sugar yield (9.7 %) were recorded in Si (720 kg/ha SiO2) treated plants. [59]. Similar results were reported by [60] in sugarcane.
According to [61]’s research on cucumber, silicon also improved the availability of macro and micronutrients, water use effectiveness, and the movement of assimilates from the source to the sink, which increased fruit weight, number of fruits, yield, and dry weight of fruit. The findings from productivity and its related parts closely match those from [62] in rice and [57] in tomato.
The influence of KSi on yield components is related to the accumulation of elements below the leaf epidermis, which produces a physical defence mechanism, boosts photosynthetic capacity, decreases lodging, and decreases transpiration losses, ultimately reducing limited space and vacant grain rates and increasing grain yield. When applying various silicon sources, such as potassium silicate, grain production rose by 2–14% compared to control. This corroborated the findings by [63,64]. According to a similar study by [12], addition of silica at 120 kg/ha showed the maximum growth and yield of rice.
5. Conclusions
The current study offers fresh experimental data comparing fourteen treatments’ effects on the parameters affecting cauliflower growth and yield. The results show that, in comparison to the control, the treatment T14 (50% RDN by FYM + 50% RDF + 100 kg Si/ha) significantly increased plant height, number of leaves per plant, leaf area index, chlorophyll content, stalk length, stem girth, minimum number of days to curd initiation, minimum number of days to marketable curd maturity, maximum plant weight, curd diameter, curd yield, and dry matter content of curd. Small, marginal, and commercial farmers are finding it increasingly difficult to afford chemical fertilizers, and their continued use degrades the health of the soil and reduces crop output. When organic manures are applied, the amount of chemical fertilizers is reduced, the chemical, biological, and physical qualities of the soil are improved, and crop yield is boosted. Silicon is an essential element and increased nutrient uptake in soil helps alleviate the toxic effect of metals and reduces biotic and abiotic stress conditions. Cauliflower’s silicon decreased transpiration rate and plasma membrane permeability and increased photosynthetic and antioxidant activities, which are beneficial to the environment.
All things considered, it is said that using silicon in conjunction with organic manure and chemical fertilizers boosted growth and production, and ensured environmental sustainability.
Author Contributions
Conceptualization, S.K. and U.K.; methodology, M.K.A.-S. and A.G.; software, B.L.D.; validation, S.K., A.C. and U.K.; formal analysis, B.L.D.; investigation, R.A.K.; resources, A.C.; data curation, U.K.; writing—original draft preparation, S.K.; writing—review and editing, U.K., M.K.A.-S. and A.G.; visualization, T.H.F.; supervision, K.D.A.; project administration, R.A.K.; funding acquisition, D.J. All authors have read and agreed to the published version of the manuscript.
Funding
Supported by Researchers Supporting Project Number (RSP2022R410), King Saud University, Riyadh, Saudi Arabia.
Institutional Review Board Statement
Not applicable.
Informed Consent Statement
Not applicable.
Data Availability Statement
All the data is available with in the paper.
Acknowledgments
The authors would like to extend their sincere appreciation to the Researchers Supporting Project Number (RSP2022R410), King Saud University, Riyadh, Saudi Arabia.
Conflicts of Interest
The authors declare no conflict of interest.
References
- Bhandari, S.R.; Kwak, J. Chemical composition and antioxidant activity in different tissue of Brassica vegetables. Molecules 2015, 20, 1228–1243. [Google Scholar] [CrossRef] [PubMed]
- Anonymous. Horticulture Statistics Division. In Horticultural Statistics at a Glance; Department of Agriculture and Cooperation, Government of India: Gurgaon, India, 2018. [Google Scholar]
- Devkota, S.; Rayamajhi, K.; Yadav, D.R.; Shrestha, J. Effects of different doses of organic and inorganic fertilizers on cauliflower yield and soil properties. J. Agric. Nat. Resour. 2021, 4, 11–20. [Google Scholar] [CrossRef]
- Wang, X.J.; Jia, Z.K.; Liang, L.Y.; Kang, S. Effect of manure management on the temporal variations of dryland soil moisture and water use efficiency of maize. J. Agric. Sci. Technol. 2013, 15, 1293–1304. [Google Scholar]
- Jaga, P.K. Effect of integrated nutrient management on wheat—A review. Innovare J. Agric. Sci. 2013, 13, 68–76. [Google Scholar]
- Tiemann, L.; Grandy, S.; Hartter, J. Impacts of land use and Ugandan farmers cultural and economic status on soil organic matter and soil fertility. EGU Gen. Assem. Conf. Abstr. 2014, 16, 14931. [Google Scholar]
- Abedi, T.; Alemzadeh, A.; Kazemeini, S.A. Effect of organic and inorganic fertilizers on grain yield and protein banding pattern of wheat. Aust. J. Crop Sci. 2010, 4, 384–389. [Google Scholar]
- Shapla, A.S. Effect of Planting Time and Organic Manure on Growth and Yield of Broccoli. Ph.D. Thesis, Department of Horticulture, Sher-e-Bangla Agricultural University, Tongi, Bangladesh, 2013. [Google Scholar]
- Ullah, M.S.; Islam, M.A.; Haque, T. Effects of organic manures and chemical fertilizers on the yield of brinjal and soil properties. J. Bangladesh Agric. Univ. 2008, 6, 271–276. [Google Scholar] [CrossRef]
- Siddiqui, M.H.; Al-Whaibi, M.H.; Firoz, M.; Al-Khaishany, M.Y. Role of nanoparticles in Plants. In Nanotechnology and Plant Sciences; Springer: Cham, Switzerland, 2015; pp. 19–35. [Google Scholar]
- Ma, J.F.; Takahashi, E. Soil, Fertilizer and Plant Silicon Research in Japan, 1st ed.; Elsevier: Amsterdam, The Netherlands, 2002; pp. 1–2. [Google Scholar]
- Wissa, M.T. Impact of potassium silicate compound as foliar application on the growth, yield and grains quality of GIZA 179 rice cultivar. J. Plant Prod. 2017, 8, 1077–1083. [Google Scholar] [CrossRef][Green Version]
- Xie, Y.; Li, B.; Zhang, Q.; Zhang, C. Effects of nano-silicon dioxide on photosynthetic fluorescence characteristics of Indocalamus barbatus McClure. J. Nanjing For. Univ. 2012, 2, 59–63. [Google Scholar]
- Kalteh, M.; Alipour, Z.T.; Ashraf, S.; Aliabadi, M.M.; Nosratabadi, A.F. Effect of silica nanoparticles on basil (Ocimum basilicum) under salinity stress. J. Chem. Health Risks 2014, 4, 49–55. [Google Scholar]
- Meena, V.D.; Dotaniya, M.L.; Coumar, V.; Rajendiran, S.; Kundu, A.S.; Rao, A.S. A case for silicon fertilization to improve crop yields in tropical soils. Proc. Natl. Acad. Sci. India Sect. B Biol. Sci. 2014, 84, 505–518. [Google Scholar] [CrossRef]
- Singh, R.J. Silicon and bone health. J. Nutr. Health Aging. 2007, 11, 99–110. [Google Scholar]
- Folnovic, T. Benefits of Silicon on Plant Growth. 2019, pp. 1–6. Available online: https://blog.agrivi.com/post (accessed on 16 September 2019).
- Walkely, A.; Black, C.A. An examination of different methods for determining soil organic matter and proposed modifications of the chromic acid titration method. Soil Sci. 1934, 37, 29–38. [Google Scholar] [CrossRef]
- Metson, A.J. Methods of chemical analysis for soil survey samples. Soil Sci. 1957, 83, 245. [Google Scholar] [CrossRef]
- Kumar, U.; Saqib, H.S.A.; Islam, W.; Prashant, P.; Patel, N.; Chen, W.; Yang, F.; You, M.; He, W. Landscape Composition and Soil Physical–Chemical Properties Drive the Assemblages of Bacteria and Fungi in Conventional Vegetable Fields. Microorganisms 2022, 10, 1202. [Google Scholar] [CrossRef] [PubMed]
- Richards, L.A. Diagnosis of improvement of saline and alkali soils. In USDA Hand Book, No. 60; US Govt. Press: Washington, DC, USA, 1954. [Google Scholar]
- Watson, D.J. The dependence of net assimilation rate on leaf area index. Ann. Bot. 1958, 22, 37–54. [Google Scholar] [CrossRef]
- Arnon, D.I. Copper enzymes in isolated chloroplast polyphenol oxidase in Beta vulgaris. Physiol. 1949, 24, 1–5. [Google Scholar]
- Jackson, M.B. Ethylene in root growth and development. In The Plant Hormone Ethylene; CRC Press: Boca Raton, FL, USA, 2018; pp. 159–181. [Google Scholar]
- Simarmata, M.; Susanti, L.; Setyowati, N. Utilization of manure and green organic composts as alternative fertilizers for cauliflower production. J. Agric. Technol. 2016, 12, 311–319. [Google Scholar]
- Prativa, K.C.; Bhattarai, B.P. Effect of integrated nutrient management on the growth, yield and soil nutrient status in tomato. Nepal J. Sci. Technol. 2011, 12, 23–28. [Google Scholar]
- Sharma, V. Effect of nutrient management on growth and yield of cauliflower (Brassica oleracea var botrytis) inside low cost polyhouse. Himachal J. Agric. Res. 2016, 42, 88–92. [Google Scholar]
- Choudhary, S.; Soni, A.K.; Jat, N.K. Effect of organic and inorganic sources of nutrients on growth, yield and quality of sprouting broccoli cv. CBH-1. Indian J. Hortic. 2012, 69, 550–554. [Google Scholar]
- Negi, E.; Punetha, S.; Pant, S.C.; Kumar, S.; Bahuguna, P.; Mekap, B.; Nautiyal, B.P. Effect of organic manures and bio-fertilizers on growth, yield, quality and economics of broccoli (Brassica oleracea L. var. italica Plenck) cv. Green Head under high-hill conditions of Uttarakhand. Int. J. Adv. Biol. Res. 2017, 7, 96–100. [Google Scholar]
- Taiz, L.; Zeiger, E. Plant Physiology, 5th ed.; Sinauer Associates: Sunderland, MA, USA, 2010; p. 782. [Google Scholar]
- Singh, K.K.; Singh, K.; Singh, R.; Singh, Y.; Singh, C.S. Response of nitrogen and silicon levels on growth, yield attributes and nutrient uptake of rice (Oryza sativa L.). Plant Prod. 2006, 43, 220–223. [Google Scholar]
- Li, Z.Q.; Chu, G.X.; Zhao, Y.Y.; Ye, J.; Liu, Q.; Liang, Y.C. Effects of slag based silicon fertilizers on the improvement of photosynthesis, growth and yield in rice. In Proceedings of the 5th International Conference on Silicon in Agriculture, Beijing, China, 13–18 September 2011; pp. 108–109. [Google Scholar]
- Ali, A.; Shahzad, M.A.B.; Javaid, I.; Safdar, H.; Subhani, M.N.; Muhammad, S.; Muhammad, A. Augmenting the salt tolerance exogenously in wheat (Triticum aestivum L.) through applied silicon. Afr. J. Biotechnol. 2012, 11, 642–649. [Google Scholar]
- Arab, R.; Dastan, S.; Mobasser, H.R.; Ghanbari, A.M. Effect of Silicon and Cycocel Application on Yield Components and Quantity Yield of Rice (Oryza sativa, L.) in Iran. In Proceedings of the 5th International Conference on Silicon in Agriculture, Beijing, China, 13–18 September 2011; p. 4. [Google Scholar]
- Ahmad, A.; Afzal, M.; Ahmad, A.U.H.; Tahir, M. Effect of foliar application of silicon on yield and quality of rice (Oryza sativa L.). Cercet. Agron. Mold. 2013, 3, 21–28. [Google Scholar] [CrossRef]
- Pilon, C.; Soratto, R.P.; Moreno, P.S. Effects of soil and foliar application of soluble silicon on mineral nutrition, gas exchange and growth of potato plants. Crop Sci. 2013, 53, 1605–1614. [Google Scholar] [CrossRef]
- Islam, S.; Chatterjee, R.; Dutta, S. Effect of bio-inoculants on the performance of cauliflower (Brassica oleracea var. botrytis L.). J. Crop Weed. 2014, 10, 93–97. [Google Scholar]
- Al-Aghabary, K.; Zhu, Z.J.; Shi, Q.H. Influence of silicon supply on chlorophyll content, chlorophyll fluorescence and antioxidative enzyme activities in tomato plants under salt stress. J. Plant Nutr. 2005, 27, 2101–2115. [Google Scholar] [CrossRef]
- Lu, M.M.D.; De Silva, D.M.R.; Peralta, E.K.; Fajardo, A.N.; Peralta, M.M. Growth and yield of tomato applied with silicon supplements with varying material structures. Philipp. E-J. Appl. Res. Dev. 2016, 6, 10–18. [Google Scholar]
- Abd El-Rahman, M.M.A. Relation of spraying silicon with fruiting of Keitte mango trees growing under upper Egypt conditions. Stem Cell 2015, 6, 1–5. [Google Scholar]
- Zuccarini, P. Effects of silicon on photosynthesis, water relations and nutrient uptake of Phaseolus vulgaris under NaCl stress. Biol. Plant. 2008, 52, 157–160. [Google Scholar] [CrossRef]
- Zeng, X.L.; Liang, J.N.; Tan, Z.W. Effects of silicate on some photosynthetic characteristics of sugarcane leaves. J. Huazhong Agric. Univ. 2007, 26, 330–334. [Google Scholar]
- Singh, S.; Chamroy, T.; Malik, S.; Kundu, S. Integrated nutrient management studies on growth and yield of broccoli (Brassica oleracea var. italica). Plant Arch. 2020, 20, 9651–9654. [Google Scholar]
- Mohanta, R.; Nandi, A.K.; Mishra, S.P.; Pattnaik, A.; Hossain, M.M.; Padhiary, A.K. Effects of integrated nutrient management on growth, yield, quality and economics of sprouting broccoli (Brassica oleracea var. italica) cv. Shayali. J. Pharmacogn. Phytochem. 2018, 7, 2229–2232. [Google Scholar]
- Srimathi, S. Effect of organic nutrients and bio regulators on growth and yield of cauliflower (Brassica oleraceae L.). Int. J. Plant Sci. 2015, 10, 53–56. [Google Scholar] [CrossRef]
- Hussain, Z.; Alam, M.; Ullah, I.; Ahmad, I.; Sajid, M.; Alam, I.; Ehman, A.U.R.; Shah, M.A.; Asif, M. Effect of organic and inorganic regimes on growth, production and quality characteristics of cauliflower. Biosci. Res. 2020, 17, 1289–1298. [Google Scholar]
- Jahan, F.N.; Shahjalal, A.T.M.; Paul, A.K.; Mehraj, H.; Jamaluddin, A.F.M. Efficacy of vermicompost and conventional compost on growth and yield of cauliflower. Bangladesh Res. Publ. J. 2014, 10, 33–38. [Google Scholar]
- Kaur, P.; Singh, H.; Kaur, R. Effect of integrated nutrient management on yield and quality of cauliflower (Brassica oleracea var. botrytis L.) and soil nutrient status. Int. J. Chem. Stud. 2020, 8, 3196–3200. [Google Scholar]
- Jha, M.K.; Jha, B.; Urraiya, P.; Sahu, M.R. Effect of organic, inorganic and biofertilizers on growth attributes of cabbage (Brassica oleracea var. capitata). J. Pharmacogn. Phytochem. 2017, 6, 502–504. [Google Scholar]
- Elahi, E.; Wali, A.; Ayub, N.G.; Ahmed, S.; Huma, Z.; Ahmed, N. Response of cauliflower (Brassica oleracea var. botrytis) cultivars to phosphorus levels. Pure Appl. Biol. 2015, 4, 187–194. [Google Scholar] [CrossRef]
- Filho, A.B.; Silva, A.L.; Mendoza-Cortez, J.W.; Barbosa, J.C. Cauliflower and broccoli productivity as influenced by phosphorus fertilizer doses in a P-rich soil. Aust. J. Crop Sci. 2015, 9, 709–712. [Google Scholar]
- Doklega, S.M.A.; Abd El-Hady, M.A. Impact of organic, mineral and bio-fertilization on broccoli. J. Plant Prod. Mansoura Univ. 2017, 8, 945–951. [Google Scholar] [CrossRef]
- Khede, K.; Kumawat, A.; Tembare, D. Effect of organic manures, fertilizers and their combinations on growth, yield and quality of radish (Raphanus sativus L.) cv. Japanese White. Int. J. Curr. Microbiol. Appl. Sci. 2019, 8, 400–405. [Google Scholar] [CrossRef]
- Metwaly, E.E. Influence of phosphorus and potassium on growth and yield of cauliflower. J. Plant Prod. Mansoura Univ. 2017, 8, 329–334. [Google Scholar] [CrossRef]
- El-Salam Shalaby, O.A.; Konopinski, M.; El-Sayed Ramadan, M. Effect of chelated iron and silicon on the yield and quality of tomato plants grown under semi-arid conditions. Acta Sci. Pol. Hortorum Cultus 2017, 16, 29–40. [Google Scholar] [CrossRef]
- Kazemi, M. Effect of foliar application of iron and zinc on growth and productivity of cucumber. Bull. Env. Pharmacol. Life Sci. 2013, 2, 11–14. [Google Scholar]
- Jarosz, Z. The effect of silicon application and type of medium on yielding and chemical composition of tomato. Acta Sci. Pol. Hortorum Cultus 2014, 13, 171–183. [Google Scholar]
- Sanchez, T.F.; Garcia, A.V.; Ferre, F.C. Effect of the application of silicon hydroxide on yield and quality of cherry tomato. J. Plant Nutr. 2012, 35, 567–590. [Google Scholar] [CrossRef]
- Jiang, Z.P.; Liao, Q.; Wei, G.P.; Tan, Y.M.; Chen, G.F.; Liu, B.; Wang, Y.N. Effects of optimum fertilization model between silicon and phosphorous on yield and quality of sugarcane in lateristic red earth area of Guangxi. J. Anhui Agric. Sci. 2011, 39, 22233–22236. [Google Scholar]
- Huang, H.R.; Xu, L.; Bokhtiar, S.M.; Manoj, K.S.; Li, Y.R.; Yang, L.T. Effect of calcium silicate fertilizer on soil characteristics, sugarcane nutrients and its yield parameters. J. South Agric. 2011, 42, 756–759. [Google Scholar]
- Abd-Alkarim, E.; Bayoumi, Y.; Metwally, E.; Rakha, M. Silicon supplements affect yield and fruit quality of cucumber (Cucumis sativus L.) grown in net houses. Afr. J. Agric. Res. 2017, 12, 2518–2523. [Google Scholar]
- Yogendra, N.D.; Prakash, N.B.; Malagi, M.T.; Kumara, B.H.; Kumar, R.M.; Chandrashekar, N. Effect of calcium silicate on yield and nitrogen use efficiency (NUE) of wetland rice. Plant Arch. 2013, 13, 89–91. [Google Scholar]
- Prakash, N.B.; Chandrashekar, N.; Mahendra, C.; Patil, S.U.; Thippeshappa, G.N.; Laane, H.M. Effect of foliar spray of soluble silicon acid on growth and yield parameters of wetland rice in hilly and Costal zone soils of Karnataka, South India. J. Plant Nutr. 2011, 34, 1883–1893. [Google Scholar] [CrossRef]
- Gholami, Y.; Falah, A. Effects of two different sources of silicon on dry matter production, yield and yield components of rice, Tarom Hashemi variety and 843 lines. Int. J. Agric. Crop Sci. 2013, 5, 227–231. [Google Scholar]
Publisher’s Note: MDPI stays neutral with regard to jurisdictional claims in published maps and institutional affiliations. |
© 2022 by the authors. Licensee MDPI, Basel, Switzerland. This article is an open access article distributed under the terms and conditions of the Creative Commons Attribution (CC BY) license (https://creativecommons.org/licenses/by/4.0/).


