Abstract
Polychlorinated biphenyls (PCBs) have been detected in a variety of environmental media, and they have been continuously introduced into the environment for industrial reasons, despite their harmful impact upon ecological health. Considering the adverse effects of PCBs, many researchers have begun to analyze remediation technologies for PCB-contaminated soil. In this study, the rise and fall of PCBs, as well as their physical and chemical properties and environmental impact, were reviewed. The pollution status of PCBs in soil was summarized. Based on the analysis and comparison of various remediation technologies, the limitations of several phytoremediation technologies in PCB-contaminated soils were analyzed. The influencing factors and transformation mechanisms of the phytoremediation of PCB-contaminated soil were investigated, and the research direction of enhancing the degradation of PCBs through the use of plants was also discussed.
1. Introduction
1.1. The Production and Prohibition of PCBs
Polychlorinated biphenyls (PCBs) have 209 congeners depending on the location and number of chlorine atoms (Figure 1) [1]. PCBs were first produced in 1929 and are used on a large scale for industrial and commercial purposes due to their high chemical thermal stability and low electrical conductivity [2]. As studies found that PCBs have high toxicity, persistence, enrichment, migration, and other environmental hazard properties, as well as being involved in an increasing number of environmental pollution incidents, attention has gradually been drawn to the phenomenon of environmental pollution by PCBs [3]. The 1920s to the 1970s was the golden age of PCB production [4]. This continued until the 1980s, when countries signed the Stockholm Convention and agreed to stop the production of PCB products [5]. Although PCBs have been banned, they continue to be introduced into the environment in contexts such as oil field development, waste incineration, etc. In addition, commercial mixtures of PCBs still remain in large quantities in electrical systems, garbage dumps, and land [4]. This situation leads to the widespread detection of PCBs in the global marine environment, the terrestrial environment, animals, plants, and food [6,7]. Therefore, in the coming decades or even centuries, we will continue to be exposed to the environment containing these PCB pollutants [8].
Figure 1.
Molecular structure of PCBs (R and R′ represent H or Cl atoms).
1.2. The Physicochemical Properties and Hazards of PCBs
The harmful nature of PCBs to human beings and the environment cannot be ignored. Contact with PCB-contaminated soil threatens human health. In the past few decades, more and more studies have shown that people exposed to PCBs are more likely to suffer from chronic diseases (including endocrine, metabolic, cardiovascular, and cerebrovascular). Excessive biological contact with PCBs promotes the inflammation of inner epidermal cells and accelerates the development of arteriosclerosis [9,10]. Recent studies have shown that the developing brains of humans and animals are particularly susceptible to the effects of PCBs, which destroy the normal metabolism of the human body [11]. In addition, PCB pollutants in the soil can further harm human health through transmission within the food chain. PCBs such as PCB-138, PCB-153, and PCB-180 have been found in large proportions in eggs and meat [12]. As PCBs are insoluble in water and highly lipid-soluble, they are also easily enriched in aquatic animals and can be toxic [13]. PCBs have been detected in fish in the Songhua River basin at varying levels, with a high percentage of PCBs detected in lower chlorinated biphenyls [14]. PCBs have long degradation half-life and strong long-distance transport capability, so they have been detected in some remote areas and marine environments. It was found that these pollutants were produced in the last century and were used as raw materials for the production of high voltage capacitors and capacitors [15,16,17]. In recent years, PCBs in the ocean have also attracted close attention from researchers. Although the concentrations of PCBs in seawater are low, they can bioaccumulate through the amplification of marine food chains and food webs, reaching high levels in higher-grade marine organisms [18]. The sampling and analysis of the Ross Sea and Drake Passage around the Antarctic revealed that over 51 PCBs were found in 23 samples [19].
1.3. The Status of PCB-Contaminated Soil
As the largest receptor of PCBs, it is difficult for soil to degrade them naturally. Therefore, large amounts of PCBs remaining in soil often cause serious soil pollution events. Research shows that a whole-body PCB concentration of about 150 ppm appears to be the threshold concentration above which acute mortality is observed [20]. In the study on PCB industrial contamination in a mixed urban–agricultural area, the dl-PCBs ranged from 1.4 to 3.5 pgTE(WHO)/g (all values higher than limits of regulation EC, 2001/102), and the determination of dl-PCBs indicates that the overall toxicity equivalent is significant [21]. The analysis showed that the biodegradation rate of PCBs decreased with the degree of chlorination, from 75% for PCB-3 to 22% for PCB-77 and Aroclor 1242 [22]. This potentially reflects the toxicity accumulation of high-concentration PCBs in organisms.
Soil around the world is threatened by PCB contamination, with about 20,000 tons of PCBs in global soil and an uncountable range of site contamination [23]. In the United States, more than 300 sites have contained or still contain PCB pollution; in Europe, there are more than 242,000 sites of PCB pollution; in Canada, there are more than 100 PCB pollution sites. The contamination concentrations of PCBs in the soil of developed countries such as the United Kingdom and the United States has reached 50 mg/kg [24,25,26]. Due to improper disposal of waste transformer facilities and equipment in Nigeria, PCBs have leaked, causing great damage to local soil resources and water resources, affecting people’s normal work and life [27]. The situation of PCB soil pollution in China is also not promising. It has been reported that the degree of pollution in the southeastern coastal areas is relatively high, and the concentration of PCBs in soil reaches 80 ng/g [26]. The content of PCBs detected in some surface soils in China is about 0.05–8.69 ng/kg, and the pollution level is relatively high [28]. Urban soil is dominated by low-chlorinated PCB compounds, and the content of PCBs in the surface soil around industrial areas is significantly higher than that of ordinary farmland [29,30,31]. The detection rate of PCBs in different soil types in southern Jiangsu was different, and the detection rate was the highest in vegetable fields, but the types of PCBs detected in soil were similar [32]. The PCB pollution of farmland soil in the Yangtze River Delta is relatively serious, and the detected concentration and average value are as high as 484.5 ng/g and 35.52 ng/g, respectively [33]. The PCB pollution of the irrigated areas around the Yellow River was studied and found to be similar to that of the Yangtze River Delta; the surrounding areas of the Yellow River also had higher pollution levels. In addition, there are spatial differences in the degree of PCB pollution in China, and the pollution situation in the southwest of China is severe due to industrial distribution and other reasons [34]. Overall, the PCB-based pollution of soil in China and around the world is not promising, with a high degree of pollution in a wide range of areas. Although PCBs have been banned in countries around the world at this stage, and the trend of PCB pollution has declined, large amounts of PCBs remain in the soil environment, and there is an urgent need to study how to effectively control PCB-contaminated soil [35].
1.4. The Comparison of Remediation Technologies for PCB-Contaminated Soil
1.4.1. The Physical Methods
Physical remediation techniques include adsorption, membrane filtration, and other methods [36]. Although landfill usually creates a relatively sealed space to isolate pollutants from the outside world, it does not fundamentally eliminate pollutant contamination, and the risk of leakage increases with time. The incineration method can efficiently remove the pretreated PCB pollutants under high temperature treatment, but this method has the problems of high cost and secondary pollution [37]. In addition, other methods such as microwave treatment technology show that the degradation degree of PCBs reaches 99.999% in 10 min at 50 °C, but the shortcomings are also obvious, as it cannot be processed continuously, but rather only by batch operation. Therefore, it has high requirements on the reaction site and reaction conditions, which limits the application range of this method [38]. Supercritical fluid extraction technology is a technology for extracting solutes from raw materials. It mainly uses temperature difference or pressure difference to separate pollutants with different physical properties to complete the remediation of contaminated soil, and the removal rate can be as high as 99%, but this method also has the problem of equipment corrosion or precipitation [39]. The physical methods mainly consist of concentrating and extracting PCB pollutants in soil, rather than completely degrading them. Therefore, it is necessary to combine physical methods with other treatment methods, and the high cost and risk of secondary pollution are the main shortcomings [40].
1.4.2. The Chemical Methods
Chemical methods include chlorination, oxidation, metal reduction, and other chemical methods. Thermal decomposition dechlorination and photocatalytic degradation are among the more effective methods, as they catalyze the oxidation of stable PCBs in soil to remediate soil pollution [1,37]. The temperature of dechlorination by thermal decomposition is 300 °C, and the configuration ratio of PCBs to CaC2 is set to 2:1; the degradation rate of one hour of reaction is as high as 99% per ton [39]. The photocatalytic decomposition method needs to add a certain catalyst to catalyze the degradation of PCBs during the decomposition process. This method has problems such as secondary pollution and the easy deactivation of the catalyst, and both this method and the thermal decomposition method are in the experimental stage. Chemical methods for remediating PCB pollution have disadvantages such as an uncontrollable degradation process [41], complicated processes, and high cost [42] in practical applications.
1.4.3. The Biological Methods
Bioremediation technology methods include phytoremediation and microbial remediation, which mainly uses organisms to achieve the purpose of soil pollution remediation. With the development of science and technology, the use of this technology for pollution remediation has gradually become a hot topic. For bioremediation techniques, bio-stimulation enhancement methods can also be used to improve the activity of microbial populations, such as by providing additional nutrients or other stimulating conditions to improve the activity of indigenous microorganisms and enhance their ability to remediate PCB-contaminated soil [43]. At present, some degrading bacteria from different genera have been isolated and identified to degrade PCBs, such as Burkholderia, Arthrobacter, and Pseudomonas [43,44]; some of these bacteria can degrade PCBs preferentially. In addition, in an anoxic environment, anaerobic microorganisms can degrade PCB homologs into ortho-substituents, which can be immediately degraded by aerobic microorganisms [44,45].
In addition to microbial degradation technology, phytoremediation technology is a kind of in situ treatment technology for soil or sediment containing PCB pollutants which makes use of plants [46,47,48]. It has the advantages of simple operation, low cost, and a lack of secondary pollution. Compared with other remediation technologies, this technology has some advantages that other technologies lack for the remediation of large-scale soil pollution; however, there is a problem of a long remediation cycle [49]. Plants can not only use plant tissues to absorb and transport pollutants in soil in vivo, but also change the soil environment through their roots [50], for example, by increasing soil permeability and oxygen concentration, and releasing secondary metabolites, enzymes, surfactants, and microbial growth factors [43,49], completing the biological stimulation effect, enhancing the microbial activity of plant roots, and promoting the degradation of PCBs [51]. The plants commonly used for PCB-contaminated soil remediation include Cucurbitaceae plants (including squash and cucumber) [35] and alfalfa [52], which easily extract and absorb PCB pollutants from soil. In the practice of phytoremediation engineering, plants used for soil pollution remediation will not be used for food production or feed processing after the completion of soil remediation work. They will be used for biofuel or bioenergy production to complete the reuse of plant waste, provide economic benefit compensation for the owners of contaminated sites, and avoid the secondary treatment of residual pollutants in plants [47]. Phytoremediation as a new environmental pollution treatment technology, which has become a research hotspot of soil environmental ecological remediation technology [46].
1.4.4. Composite Repair Technology
Considering that any single remediation technology may have certain limitations, a similar combined chemical–biological process has emerged to remediate PCB-contaminated soil. The study found that using Fenton-like pre-oxidation to treat PCB-contaminated soil, and then using microbial remediation, can strengthen the ability of white rot fungi microorganisms to degrade PCBs [42]. Horváthová et al. [53] integrated chemical and biological methods, using nano-scale zero-valent iron materials as catalysts and microbial PCB-degrading bacteria in combination; in this case, the highest efficiency of the removal of PCBs from soil reached 99%. Chen et al. [52] screened four plant varieties and five amendments, and studied a scheme suitable for the combined remediation of PCB-contaminated soil by the use of plants and amendments, and the highest removal rate was 38.1%. Since most of the composite repair technologies still exist in the experimental stage, ensuring degradation efficiency and reducing costs are problems that still need to be addressed. Table 1 summarizes the characteristics of PCB-contaminated soil remediation technology.
Table 1.
Comparison of remediation technologies for PCB-contaminated soil.
2. Technical Development of the Phytoremediation of PCB-Contaminated Soil
2.1. The Phytoremediation of PCB-Contaminated Soil by Plants
In order to degrade PCBs in plants, PCBs need to be absorbed and extracted from soil into plants by their roots, and transported upward from the roots to other tissues for storage under the action of transpiration flow [54]. The extraction effect of plants on PCBs varies with their absorption capacity for PCBs [55,56,57]. Zeeb et al. [58] explored the methods of the extraction of PCBs from soil by nine different plants in a well-ventilated bowl covered with sealing film, and the results showed that the extraction methods of all nine plants involved the PCBs being directly absorbed by the roots and transmitted from the stems and leaves, from bottom to top.
After absorbing PCBs from contaminated soil, plants can degrade them into non-toxic metabolites through their own metabolism, which can be stored in plants and become part of plant tissues. Chu et al. [59] studied the transformation of PCBs through the different degradation enzymes of reed and rice under hydroponic conditions, and found that cytochrome enzyme P450 and peroxidase could promote the degradation and transformation of PCBs. In other experiments, glutathione transferase and glucose transferase have been proposed to play a crucial role in the degradation process [60].
Chekol et al. [61] compared and analyzed the remediation effects of various leguminous and grass plants on PCB-contaminated soil in laboratory simulation experiments, and found that plants could effectively improve the efficiency of the biodegradation of PCBs, and the degradation effect was the most significant. Mackova et al. [62] and Kucerova et al. [63] investigated the effects of different tissue culture types on the degradation ability of PCBs by culturing the different tissues (corpus callosum, roots and stems) of plants. The research results showed that the SNC-90 hair root tissue of Solanum nigrum had the highest metabolic ability for the PCB mixture. The mineralization degree of the PCB mixture was up to 40%, indicating that Solanum nigrum could effectively remediate PCB-contaminated soil. In 2013, Li et al. [64] tested the effects of alfalfa and Festuca arundinacea on the remediation of PCB-contaminated soil, and found that when they were planted separately, PCBs were better absorbed by alfalfa. When the two plants were planted together, the absorption rate of PCBs by both plants was significantly increased. In 2018, Qi [65] used a greenhouse pot experiment to apply PCB-contaminated sludge to soil and explore the absorption and transmission laws of PCBs by wheat and corn; it was found that the content of low-chlorine PCBs in soil, the underground parts of plants, and the above-ground parts of plants, increased successively, indicating that PCBs can be absorbed and degraded by plants.
Although the degradation of PCBs in plants has the advantages of simple operation, low cost, and no secondary pollution, it has certain limitations in the actual remediation process of PCB-contaminated soil due to the limited degradation efficiency of plants [47]. Improving the rate of the degradation of PCBs in plants will be the focus of further research in the field of phytoremediation in the future.
2.2. The Phytoremediation of PCB-Contaminated Soil by Secreting Degradation Enzymes
Plants can remediate PCB soil pollution by releasing degradation enzymes into the soil environment [66]. Among the degradation enzymes secreted by plant roots to in vitro soil, the key enzymes in remediating PCB-contaminated soil are peroxidase [67], dehydrogenase [61], and nitrate reductase [68]. Lee et al. [69] found that improving enzyme activity was the main reason for improving the remediation effect of the rhizosphere. Chekol et al. [61] confirmed this view through research indicating that the release of dehydrogenase from plants into soil can significantly improve the degradation level of PCBs in the soil environment.
In addition, PCBs can also be degraded by nitrate reductase released by alfalfa and corn, resulting in a reductive dechlorination reaction, confirming that degradation enzymes released by plants into the soil environment can effectively remediate PCB-contaminated soil [70]. As the degradation enzymes have high requirements on the growth environment, they generally need to undergo symbiosis with plants in order to play a good degradation role [71]. In addition, the free enzymes deactivate easily, for example, under the conditions of too low pH, or with a high concentration of organic pollutants or the presence of cytotoxic activity in the soil, the degrading enzymes will reduce or inactivate completely. As such, in the process of remediating PCB-contaminated soil, degradation enzymes which generally exist in plant tissues or in the rhizosphere may require effective protection. If they are released into the soil, they only last for a few days and then become inactivated. Therefore, this method is greatly affected by environmental factors and has certain limitations.
2.3. The Joint Remediation of PCB-Contaminated Soil by Plants and Microorganisms
In current studies, due to the strong hydrophobicity of PCBs, they can be closely adsorbed with soil particles. Therefore, in the process of the joint remediation of PCB-contaminated soil by plants and microorganisms, many studies have ignored the key role of plants in the remediation of PCB-contaminated soil [72]. Plant roots not only support their own growth, but can also become points of parasitic microbial production and development in the soil. At the same time, the roots of some plants release nutrients into the soil, which can promote the growth of microorganisms during their metabolic activities, which compensates for the poor survival of microorganisms in the soil environment. Substances secreted by plants, such as oxygen, organic acids, and growth factors, provide necessary carbon sources, nitrogen sources, and growth substrates for the growth and development of microorganisms, which can effectively improve the number and activity of microorganisms [73,74,75,76].
The quantitative analysis method was used to analyze the soil near the root system of ryegrass before and after planting, and the results showed that the efficiency of the removal of PCBs was improved after ryegrass planting, mainly because of the increase in microbial population in the soil after planting [77]. Currently, studies on microorganisms that can live together with plant roots have found up to two types of bacteria, namely rhizobia and mycorrhizal fungi [78]. Researchers investigating farmlands in the Yangtze River Delta region, and comparative experiments, were conducted on the remediation of many PCB-contaminated sites using alfalfa as a basis. They found that the remediation efficiency was improved after the introduction of mycorrhizal fungi into the roots. Furthermore, when rhizobia were added, the degradation of PCBs was greatly improved, demonstrating that the synergistic system of the three is beneficial to the growth and development of organisms in soil [79]. Teng et al. [80] isolated a strain, ZY1, which could use PCBs as a carbon source from Astragalus rhizobia, and combined it with Astragalus to remediate PCB-contaminated soil in a pot experiment. The results showed that the concentration of PCBs in the soil decreased by 53.1% after the combined treatment of Astragalus and rhizobia ZY1, indicating that the two could promote the extraction and degradation of PCBs synergistically. Although the plant growth in the process of remediating PCB-contaminated soil can effectively promote the growth of microorganisms, only a few microorganisms actually participate in PCB degradation; therefore, an increase in microbial numbers is not the key to the remediation of PCB pollution. Rather, it is more important is to choose the appropriate conditions to promote the expression of plant and microbial degradation enzymes [81]. Compared with experimental methods, which are expensive, time-consuming, and labor-intensive, quantitative structure–activity relationships and other computational chemical simulation methods have become one of the important tools for addressing the above problems, and also one of the widely used research methods in the field of ecology [82]. For example, Li et al. [83] used quantitative structure–activity relationship (QSAR), molecular docking, molecular dynamics, and other computational chemical simulation methods to study the removal of cyanobacteria blooms by destroying phycobilin. Chu et al. [84] used computational chemical simulation methods such as molecular docking and homology modeling to design and construct microbial enzymes that can efficiently degrade polychlorinated naphthalene and improve the degradation efficiency of petroleum-contaminated organic sites. At present, there are few reports on the application of computational chemical simulation in phytoremediation enhancement.
3. The Environmental Factors Affecting Phytoremediation of PCB-Contaminated Soil
3.1. Structure of PCBs and Their Physicochemical Properties
3.1.1. Concentrations of PCB Homologs
The concentration of PCBs in contaminated soil can affect the efficiency of their degradation by plants. A study found that Solanum nigrum can remediate up to 74% of the PCB-contaminated soil with a concentration of 25 mg/L, which is five times higher than that of the PCB-contaminated soil with a concentration of 50 mg/L [85]. PCBs will be more toxic when the chlorination of the benzene ring has a higher degree. Thus, when the concentration of PCBs in the soil is relatively high, the metabolic efficiency of plants will decrease [86]. When studying the degradation of PCBs by plants, Mackova et al. [87] found that the metabolism rate of PCBs at a concentration of 100 mg/mL was as low as 20%. They indicated that higher concentrations of PCBs would inhibit their degradation by plant cells.
3.1.2. Number and Substitution Positions of Cl in PCB Homologs
The number of PCB homolog Cl atoms affects the efficiency of the plant uptake of PCBs, and the degradation efficiency of low-chlorinated PCBs by plants is significantly higher than that of high-chlorinated PCBs. Specifically, Lee and Fletcher [88] found that pentachlorobiphenyl and hexachlorobiphenyl were not metabolized in the plant cell group they tested. Shen [89] simulated the degradation of PCBs, and found that the low-chlorinated (tetra-chlorinated and below) PCBs degraded by 29.9%, and the high-chlorinated PCBs only degraded 0.6% after one and a half months of degradation. In addition, the degradation efficiency of PCBs also varies greatly depending on the position of the Cl substitution. The benzene ring with fewer chlorine atoms can be degraded first. One study showed that the degradation efficiency order of five trichlorobiphenyls under tillage treatment was PCB22 > PCB28 + 33 > PCB16 + 32 [90].
3.1.3. The Physicochemical Properties of PCB Homologs
The various types of PCBs, result in a wide range of migration capabilities. PCBs with strong volatile capacity are more easily transferred in the air, and the volatility of low-chlorinated to high-chlorinated PCBs differs by six orders of magnitude [91]. Therefore, higher volatile PCBs can be absorbed and enriched by plant leaves, while low-volatile PCBs can be absorbed and enriched by plant roots. The different extraction efficiencies of leaves and rhizomes may affect the absorption of PCBs by plants. The migration ability can be characterized using the n-octanol-water partition coefficient for PCBs present in the air. The smaller the coefficient, the easier it is for PCBs to be released into the air and exist in the form of gas; otherwise, it may be easy for them to combine with the particulate matter in the soil [92]. The range of D = 10−8–10−10 cm2/s is the effective diffusion rate of PCBs in soil. PCBs with few chlorine atoms have certain advantages in regards to being degraded due to their fast diffusion rate and poor volatilization ability [93]. The is because PCBs can move to a relatively deep soil layer with the pore water and reach the position of plant roots, making them easier for the plants to absorb and transform [94].
In addition, water solubility is also a condition that affects the absorption of PCBs in plants. PCBs with high solubility have a higher number of chlorine atoms. For example, the solubility of PCBs with eight chlorine atoms is about 860 times that of PCBs with one chlorine atom. The octanol-water partition coefficient represents the hydrophobicity of PCBs [95]. Pollutants with a high coefficient (logKow > 3) are difficult to absorb because they can bind closely to plant roots. Contaminants with a low coefficient (logKow < 0.5) are well soluble in water, and the hydrophobic cell membrane does not easily absorb pollutants; therefore, PCBs with medium coefficients (0.5 < logKow < 3) are within the range that plants can easily absorb [96].
3.2. Effects of Plant Characteristics on Phytoremediation of PCB-Contaminated Soil
3.2.1. Impacts of Plant Physical Properties
The number of plants is one of the important factors affecting the degradation of PCBs. Researchers indicated that the survival of plants could be used as an important criterion to measure the remediation ability of PCBs pollution [61]. The transformation ability of PCBs in plant tissue cultures is related to the degree of differentiation, with tissues with a higher degree of differentiation showing better transformation [97]. In addition, the leaf area, nutrient status and absorption efficiency of plants will affect the absorption of pollutants by plant roots [98].
3.2.2. Influence of Plant Species
Nancy et al. [99] found that the removal percentage of PCB congeners in planted soils ranged from 45% to 62% compared with control soils without plants. The removal rate of deciduous grass in rhizosphere soil was up to 62%, and the removal rate of alfalfa in non-rhizosphere soil was up to 60%. Bacterial concentrations increased in both soil types after comparing the planted and the unplanted control soil, and no significant differences were found between plants. Elisa et al. [51] studied the mobility and leaching potential of PCBs in soil by different plants. They found that the soil of different plant varieties showed statistical differences in the chemical leaching of PCBs. The leaching of PCBs in alfalfa was doubled compared to other plants and unplanted controls. Wilken et al. [100] incubated cell cultures of the Rosaceae, Leguminosae, Poaceae, Solanaceae, and Chenopodiaceae in ten different homologs of PCBs. Only the first three families (i.e., Rosaceae, Leguminosae, Poaceae) of plants showed appreciable metabolic rates for three to five compounds, while carrots, tomatoes, and quinoa have a metabolic rate of up to 20% for individual PCBs [101]. In addition, the researchers found that using trees instead of smaller plants could deal with deeper pollution because tree roots penetrate deeper into the soil [102]. For example, compared with ryegrass and tall fescue, alfalfa has the highest extraction and remediation efficiency of PCBs in soil when it is single-cropped. It can be seen that plant type is one of the factors affecting the phytoremediation of PCB-contaminated soil.
3.2.3. Types of Plant Roots
Significant differences in the substances secreted by different types of plant roots were found. Different microbial species focus on other roots, resulting in various degradation rates and pathways of PCBs [103]. Differences in plant root exudates can be attributed to the secretion mechanism. For example, a study found that the root systems of two plants of the genus Nicotiana are similar to those of maize; however, the ratio of amino acids and the concentration of organic acids in the two plants are different. In addition, after research on the roots of some legume plants, it was found that their roots can produce a large number of fatty acids, which are temporarily located in the secretions of other plant roots [104].
3.3. The Effects of External Environmental Factors on Phytoremediation of PCB-Contaminated Soil
3.3.1. Soil Particles
Different soil particles have different effects on the phytoremediation efficiency of PCBs. The size of the specific surface area of soil particles plays a role in the difficulty of particles adsorbing PCB pollutants, which in turn interferes with the absorption of PCBs by plants in the soil [105]. In addition, soil particle porosity affects the amount of water in the soil. Specifically, if the porosity is too high, the soil easily loses water, and the water ensures that the pollutants are free on the surface of soil particles and are easily absorbed by plants. However, when the porosity is too low, and the amount of water is too great, the growth of plants will be inhibited due to insufficient nutrients in the rhizosphere [106].
3.3.2. Soil Temperature
Soil temperature affects plant growth status [107]. Soil surface temperature fluctuates and changes continuously over different periods [108]. For algae, temperature is one of the main factors affecting their growth rate. An increase in temperature between 25 °C and 38 °C will increase the extraction of pollutants by plants. For example, with the temperature rise, the chemical bond is broken, and the active site increases, which leads to the rise in the removal rate of heavy metal ions.
3.3.3. Soil pH
Soil acidity and alkalinity are different, resulting in various degrees of organic matter adsorption. Studies have shown that except for the heavy metals Ni and As, the ability of plants to absorb other heavy metals, and the rate of absorption, decreases under alkaline conditions [109]. Under alkaline conditions, the humus in the soil provides a large number of binding sites for the adsorption of pollutants, which affects the effectiveness of plants in absorbing organic pollutants. Under acidic conditions, the organic contaminants adsorbed by soil particles exist on the surface of soil particles in a free state and are more easily absorbed by plants [108].
4. Transformation Mechanism of Endophytic Plants in Soil for Remediation of PCB Pollution
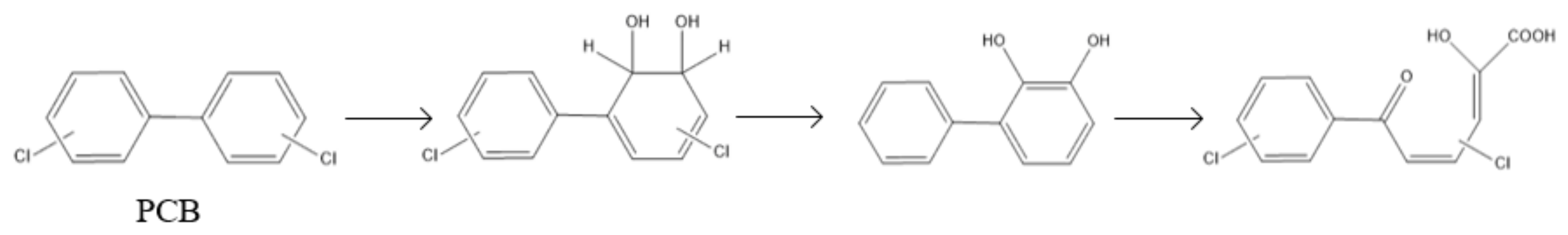
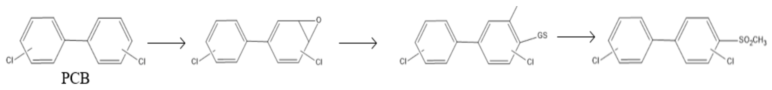
Phytoremediation is one of the most cost-effective ways to treat soil pollution, so an in-depth study of the specific mechanisms of the degradation and transformation of PCBs by endophytic plants is beneficial to improve the remediation efficiency of the phytoremediation of PCB-contaminated soil. PCBs are mainly degraded in plants by dioxygenases, cytochrome enzyme P450, and peroxidases. Dioxygenase can degrade PCBs into methoxylated or hydroxymethylated metabolites in plants (Figure 2) [110]. According to the “green liver” theory, plant cytochrome enzyme P450 can convert PCBs into hydroxylated metabolites (Figure 3) [60,111]. The products of the peroxidase metabolism of PCBs in plants include hydroxybiphenyl, chlorobenzene, and chlorinated hydroxybiphenyl [112,113]. Plants with high in vivo peroxidase concentrations were more efficient in degrading PCBs, and histoculture PCBs with low in vivo peroxidase concentrations were less efficient in degrading PCBs. Other plant enzymes with specific sparing functions, such as lignin manganese peroxidase, were not found to degrade PCBs, so further research is needed on exactly which peroxidases are involved in the degradation process of PCBs [114]. In addition, studies have shown that PCBs can also be dechlorinated and degraded in plants, and that some of the highly chlorinated PCBs molecules can be converted to lower chlorinated substitutes by willow brain or poplar [110].
Figure 2.
Possible phytodegradation pathway of PCB products.
Figure 3.
Possible dioxygenase degradation pathway of PCB products.
After the first proposal of plant endophytes in 1992, researchers found that they are microorganisms that can colonize plants and promote plant growth and coexistence [115]. Because these microorganisms have sufficient nutrients inside the plants to support the growth and protection of plant tissues, and the ability to survive longer and degrade more efficiently than microorganisms in the soil, plants exposed to this bacterium or these microorganisms in the soil have a significant advantage over this approach to the remediation of contaminated soil. The endophytic Brevundimonas, extracted from alfalfa, was found to increase the efficiency of plants in degrading aromatic hydrocarbon pollutants [116]. The endophytic bacterium Enterobacter sp. from tapewood histoculture seedlings degraded and removed 43.2% of the total PCBs in one week [39]. There are several ways in which contaminants in plants are degraded by endophytic bacteria. Firstly, pollutants are the only carbon source and energy source for the growth of some plant endophytic bacteria, which directly reduces the content of pollutants in plants [117]. Secondly, although the contaminants are degraded by the plant endophyte, the plant endophytes do use the nutrients in the plant. This kind of plant endophytic bacteria has strong degradation ability, because it can select the substances required for growth under a wide range of conditions, and can better repair some refractory pollutants. Finally, they induce other enzymes in the plant to metabolise organic pollutants such as PCBs, for example, by producing substances such as phytochemicals or phenolic compounds, which induce the plant to directly degrade organic pollutants and improve its degradation capacity [118].
At present, there is little research on the mechanism of the degradation of PCBs by plant endophytes. Most studies isolate endophytic bacteria from plants and cultivate them into soil microorganisms to study the mechanism of degrading pollutants in soil. Studies have shown that this degradation mechanism is similar to the degradation of persistent organic pollutants by environmental microorganisms [119]. The microbial degradation of PAHs, for example, starts with the hydroxylation of PAHs by aromatic ring hydroxylating dioxygenases to produce cis-diols, which are then degraded by other enzymes to obtain the intermediate products salicylic acid or phthalic acid, and finally degraded by oxidation to CO2 and H2O [120]. Studies have shown that aerobic microorganisms can metabolise PCBs to chlorobenzoic acid and finally mineralise them under the action of enzymes such as 2,3-dihydroxybiphenyl 1,2-dioxygenase (bphC) and hydroxy-oxy-phenylhexadienoate hydrolase (bphD). For PCBs in anaerobic microorganisms, they are generally dechlorinated to metabolise high chlorine to low chlorine, but there are different types of dechlorinating enzymes in microorganisms, and if we want to degrade PCBs efficiently we need to choose degrading enzymes that dechlorinate easily. Although the degradation of PCBs by microorganisms in indoor experimental conditions is satisfactory, the difference between laboratory conditions and the actual environment is significant, and once the microorganisms enter the actual environment, there is inevitably a decrease in activity due to maladaptation, which reduces the degradation efficiency.
In summary, research is still needed to isolate plant endophytes that can degrade PCBs in plants in order to screen plant endophytes that can degrade PCBs more efficiently. In addition, the mechanism of the transformation of PCBs by plant endophytes needs to be studied in-depth in future research in order to support the development of improved phytoremediation measures for PCB-contaminated soil.
5. Conclusions and Outlook
As persistent organic pollutants, PCBs have caused great damage and danger to the soil environment and biological health. This paper reviewed the treatment strategies for PCB remediation. The physical method, the chemical method, microbial remediation technology, and the combined repair technology have high remediation efficiency. However, these technologies usually require excessive costs and cause secondary pollution. Phytoremediation technology, as a simple and inexpensive green remediation technology, is now a research hotspot for soil pollution remediation, but there are still some issues that need to be studied in-depth for the phytoremediation of PCB-contaminated soil, and future research work can be investigated in the following directions. It is necessary to further study the metabolic mechanism of the plant-based absorption of PCBs, and to enrich and improve the mechanism of the plant-based absorption of PCBs. For plant endophytic bacteria capable of degrading PCBs, methods to improve their effective PCB degradation should be investigated. In addition, we recommend exploring the possibility of combining phytoremediation technology with other soil microbial remediation technologies to continue to improve the efficiency of soil pollution remediation.
Author Contributions
M.L.: Conceptualization, Investigation, Visualization, Formal analysis and Writing—original draft. S.S.: Writing—review and editing, Supervision and Validation. All authors have read and agreed to the published version of the manuscript.
Funding
This research received no external funding.
Institutional Review Board Statement
Not applicable.
Informed Consent Statement
Not applicable.
Data Availability Statement
Not applicable.
Conflicts of Interest
The authors declare no conflict of interest.
References
- Grabowska, I. Polychlorinated biphenyls (PCBs) in Poland: Occurrence, determination and degradation. Pol. J. Environ. Stud. 2010, 19, 7–13. [Google Scholar]
- Xu, C.; Niu, L.L.; Zou, D.L.; Zhu, S.; Liu, W. Congener-specific composition of polychlorinated biphenyls (PCBs) in soil-air partitioning and the associated health risks. Sci. Total Environ. 2019, 684, 486–495. [Google Scholar] [CrossRef] [PubMed]
- Aslam, S.N.; Huber, C.; Asimakopoulos, A.G.; Steinnes, E.; Mikkelsen, O. Trace elements and Polychlorinated Biphenyls (PCBs) in Terrestrial Compartments of Svalbard, Norwegian Arctic. Sci. Total Environ. 2019, 685, 1127–1138. [Google Scholar] [CrossRef] [PubMed]
- Weber, R.; Watson, A.; Forter, M.; Oliaei, F. Review Article: Persistent organic pollutants and landfills—A review of past experiences and future challenges. Waste Manag. Res. 2011, 29, 107–121. [Google Scholar] [CrossRef] [PubMed]
- Raffetti, E.; Donato, F.; Palma, G.D.; Leonardi, L.; Magoni, M. Polychlorinated biphenyls (PCBs) and risk of hypertension: A population-based cohort study in a North Italian highly polluted area. Sci. Total Environ. 2020, 714, 136660. [Google Scholar] [CrossRef]
- Kartalović, B.; Mastanjević, K.; Novakov, N.; Vraneevi, J.; Peli, D.; Pulji, L.; Habschied, K. Organochlorine Pesticides and PCBs in Traditionally and Industrially Smoked Pork Meat Products from Bosnia and Herzegovina. Foods 2020, 9, 97. [Google Scholar] [CrossRef]
- Santos, L.L.; Miranda, D.; Hatje, V.; Albergaria-Barbosa, A. PCBs occurrence in marine bivalves and fish from Todos os Santos Bay, Bahia, Brazil. Mar. Pollut. Bull. 2020, 154, 111070. [Google Scholar] [CrossRef]
- Jönsson, A.; Gustafsson, O.; Axelman, J.; Sundberg, H. Global accounting of PCBs in the continental shelf sediments. Environ. Sci. Technol. 2003, 37, 245–255. [Google Scholar] [CrossRef]
- Tesi, G.O.; Iniaghe, P.O. Polychlorinated biphenyls in canned sardines in Nigeria and health risk assessment. Food Addit. Contam. B. 2020, 13, 200–206. [Google Scholar] [CrossRef]
- Benson, N.U.; Fred-Ahmadu, O.H.; Ekett, S.I.; Basil, M.O.; Ayejuyo, O.O. Occurrence, depth distribution and risk assessment of PAHs and PCBs in sediment cores of Lagos lagoon, Nigeria. Reg. Stud. Mar. Sci. 2020, 37, 101335. [Google Scholar] [CrossRef]
- Hulin, M.; Véronique, S.; Vasseur, P.; Mahe, A.; Jean-Charles, L. Health risk assessment to dioxins, furans and PCBs in young children: The first French evaluation. Food Chem. Toxicol. 2020, 139, 111292. [Google Scholar] [CrossRef] [PubMed]
- Savvateeva, B.O.D.; Leisner, J.; Hartmann, F.; Südekum, K.H.; Bernsmann, T.; Spolders, M.; Jahnke, A.; Lüth, A.; Röhe, I.; Numata, J.; et al. Transfer of Non-Dioxin-Like Polychlorinated Biphenyls (ndl-PCBs) from Feed and Soil into Hen Eggs. J. Agric. Food Chem. 2022, 70, 8955–8962. [Google Scholar]
- Stoll, G.C.; Carreira, R.D.; Massone, C.G. Polychlorinated biphenyls (PCBs) in water: Method development and application to river samples from a populated tropical urban area. Anal. Bioanal. Chem. 2020, 412, 2477–2486. [Google Scholar] [CrossRef] [PubMed]
- Corsolini, S.; Baroni, D.; Martellini, T.; Pala, N.; Cincinelli, A. PBDEs and PCBs in terrestrial ecosystems of the Victoria Land, Antarctica. Chemosphere 2019, 231, 233–239. [Google Scholar] [CrossRef] [PubMed]
- Marsan, E.S.; Bayse, C.A. Halogen Bonding Interactions of Polychlorinated Biphenyls and the Potential for Thyroid Disruption. Chem. Eur. J. 2020, 26, 5200–5207. [Google Scholar] [CrossRef]
- Li, M.; Wang, X.; Chu, Z.; Li, Y. Multiple-Site Molecular Modification of Dioxin-Like PCBs to Eliminate Bioconcentration. Pol. J. Environ. Stud. 2020, 30, 1655–1675. [Google Scholar] [CrossRef]
- Mikolajczyk, S.; Warenik, B.M.; Maszewski, S.; Pajurek, M. Dioxins and PCBs- Environment impact on freshwater fish contamination and risk to consumers. Environ. Pollut. 2020, 263, 114611. [Google Scholar] [CrossRef]
- Daewel, U.; Yakushev, E.V.; Schrum, C.; Nizzetto, L.; Mikheeva, E. Understanding the Role of Organic Matter Cycling for the Spatio-Temporal Structure of PCBs in the North Sea. Water 2020, 12, 817. [Google Scholar] [CrossRef]
- Deng, Z.C.; Han, X.B.; Chen, C.L.; Wang, H.; Zhang, C. The distribution characteristics of polychlorinated biphenyls (PCBs) in the surface sediments of Ross Sea and Drake Passage, Antarctica: A 192 congeners analysis. Mar. Pollut. Bull. 2020, 154, 111043. [Google Scholar] [CrossRef]
- Paine, J.M.; McKee, M.J.; Ryan, M.E. Toxicity and bioaccumulation of soil PCBs in crickets: Comparison of laboratory and field studies. Environ. Toxicol. Chem. 1993, 12, 2097–2103. [Google Scholar] [CrossRef]
- Baldassarri, L.T.; Abate, V.; Alivernini, S.; Battistelli, C.L.; Carasi, S.; Casella, M.; Iacovella, N.; Iamiceli, A.L.; Indelicato, A.; Scarcella, C.; et al. A study on PCB, PCDD/PCDF industrial contamination in a mixed urban-agricultural area significantly affecting the food chain and the human exposure. Part I: Soil and feed. Chemosphere 2007, 67, 1822–1830. [Google Scholar] [CrossRef]
- Correa, P.A.; Lin, L.S.; Just, C.L.; Hu, D.; Hornbuckle, K.C.; Schnoor, J.L.; Aken, B.V. The effects of individual PCB congeners on the soil bacterial community structure and the abundance of biphenyl dioxygenase genes. Environ. Int. 2010, 36, 901–906. [Google Scholar] [CrossRef] [PubMed]
- Parada, H.; Sun, X.Z.; Tse, C.K.; Engel, L.S.; Troester, M.A. Plasma levels of polychlorinated biphenyls (PCBs) and breast cancer mortality: The Carolina Breast Cancer Study. Int. J. Hyg. Environ. Health 2020, 227, 113522. [Google Scholar] [CrossRef] [PubMed]
- Liu, W.; Zhao, J.; Xu, S.; Liu, G.B.; Li, A.M. Concentrations, Sources, and Potential Human Health Risks of PCDD/Fs, dl-PCBs, and PAHs in Rural Atmosphere Around Chemical Plants in Jiangsu Province, China. Bull. Environ. Contam. Toxicol. 2020, 104, 846–851. [Google Scholar] [CrossRef] [PubMed]
- Capanni, F.; Juan, M.A.; Marsili, L.; Fossi, M.C.; Jiménez, B. Assessment of PCDD/Fs, dioxin-like PCBs and PBDEs in Mediterranean striped dolphins. Mar. Pollut. Bull. 2020, 156, 111207. [Google Scholar] [CrossRef] [PubMed]
- Sakn, A.E.; Yücel, T. Determination of fluxes and mass transfer coefficients of polychlorinated biphenyls (PCBs). Atmos. Pollut. Res. 2020, 11, 1379–1385. [Google Scholar] [CrossRef]
- Bamidele, A.; Kuton, M.P.; Iniobong, A.D.; Uchenna, N.D.; David, U.U. Bioaccumulation of Polychlorinated Biphenyls (PCBs) in Fish Host-Parasite Bentho-Pelagic Food Chain in Epe Lagoon, Lagos, Nigeria. Bull. Environ. Contam. Toxicol. 2020, 105, 770–776. [Google Scholar] [CrossRef]
- Ren, M.H.; Lv, Z.Y.; Xu, L.; Lu, Q.; Zhang, H. Partitioning and removal behaviors of PCDD/Fs, PCBs and PCNs in a modern municipal solid waste incineration system. Sci. Total Environ. 2020, 735, 139134. [Google Scholar] [CrossRef]
- Dat, N.D.; Huang, Y.J.; Hsu, Y.C.; Chang, M.B. Emission characteristics of dl-PCNs, PCDD/Fs, and dl-PCBs from secondary copper metallurgical plants: Control technology and policy. Chemosphere 2020, 253, 126651. [Google Scholar] [CrossRef]
- Hu, K.; Yu, H.; Li, Z.H.; Jin, G.; Jia, H.; Song, M.; Liu, Y. Human CYP2E1-activated mutagenicity of dioxin-like PCBs 105 and 118-Experimental data consistent with molecular docking results. Toxicology 2020, 437, 152438. [Google Scholar] [CrossRef]
- Khammar, S.; Bahramifar, N.; Younesi, H. Optimization using the response surface methodology for adsorption of polychlorinated biphenyls (PCBs) from transformer oil by magnetic CMCD-Fe3O4@SiO2 nanoparticles. Mater. Chem. Phys. 2020, 252, 123195. [Google Scholar] [CrossRef]
- Sadaoski, M.A.; Silvana, F.B.; Juan, E.V.; Fonseca, M.I.; Villalba, L.L. Bioprocess conditions for treating mineral transformer oils contaminated with polychlorinated biphenyls (PCBs). J. Environ. Chem. Eng. 2020, 8, 104068. [Google Scholar] [CrossRef]
- Teng, Y.; Zheng, M.; Luo, Y.; Gao, J.; Wu, L. Spatial distribution of soil pcbs congeners in typical area of yangtze river delta region. Chin. J. Environ. Sci. 2008, 29, 3477–3482. [Google Scholar]
- Xiao, L.; Pei, G.; Zhang, Q. Residual characteristics and source analysis of polychlorinated biphenyls in surface soil of the Jiefangzha irrigation area, Inner Mongolia, China. J. Agro-Environ. Sci. 2019, 38, 2772–2778. (In Chinese) [Google Scholar]
- Urbaniak, M.; Lee, S.; Takazawa, M.; Mierzejewska, E.; Baran, A.; Kannan, K. Effects of soil amendment with PCB-contaminated sediment on the growth of two cucurbit species. Environ. Sci. Pollut. Res. 2020, 27, 8872–8884. [Google Scholar] [CrossRef] [PubMed]
- Shi, J.; Qu, R.; Feng, M.; Wang, X.; Wang, L.; Yang, S.; Wang, Z. Oxidative degradation of decabromodiphenyl ether (BDE 209) by potassium permanganate: Reaction pathways, kinetics, and mechanisms assisted by density functional theory calculations. Environ. Sci. Technol. 2015, 49, 4209–4217. [Google Scholar] [CrossRef]
- Zhang, T. Mechanism of Degradation of Polychlorinated Biphenyls by Peroxymonosulfate Activated by Nano-FeSe2. Ph.D. Thesis, Anhui Univeristy of Science and Technology, Huainan, China, 2019. (In Chinese). [Google Scholar]
- Zhang, Z.; Su, Y.; Bi, X. Degradation of PCBs in methanol solution by microwave irradiation. Environ. Process. Chem. Ind. 2006, 26, 5–8. (In Chinese) [Google Scholar]
- Zhang, B.; Xiao, Y.; Zhang, M. New progress in treatment technology of polychlorinated biphenyls. Guangxi J. Light Ind. 2009, 25, 98–99. (In Chinese) [Google Scholar]
- Song, G. Isolation and identification of endophytic bacteria to degrade environmental polychlorinated biphenyls. Ph.D. Thesis, Hebei Agricultural University, Hebei, China, 2015. (In Chinese). [Google Scholar]
- Liu, J.; Li, Q.; Guo, S. Treatment of 2,4,5-trichlorobipheny| in soil with nanometer zero-valent iron and Na2S2O8 coupled with ultrasonic composite method. China Environ. Sci. 2018, 16, 2646–2651. (In Chinese) [Google Scholar]
- Gao, D.; Bu, C.; Cheng, G. Study on enhancement of polychlorinated biphenyls bioremediation by Fenton-like reagent pre-oxidation in soil. Mod. Chem. Ind. 2007, 27, 190–193. (In Chinese) [Google Scholar]
- Salimizadeh, M.; Shirvani, M.; Shariatmadari, H.; Nikaeen, M.; Leili, M. Coupling of bioaugmentation and phytoremediation to improve PCBs removal from a transformer oil-contaminated soil. Int. J. Phytoremediation 2018, 20, 658–665. [Google Scholar] [CrossRef] [PubMed]
- Ye, Z.; Li, H.X.; Jia, Y.Y.; Fan, J.; Shen, C. Supplementing resuscitation-promoting factor (Rpf) enhanced biodegradation of polychlorinated biphenyls (PCBs) by Rhodococcus biphenylivorans strain TG9T. Environ. Pollut. 2020, 263, 114488. [Google Scholar] [CrossRef] [PubMed]
- Bagnati, R.; Terzaghi, E.; Passoni, A.; Davoli, E.; Guardo, A.D. Identification of sulfonated and hydroxy-sulfonated PCB metabolites in soil: New classes of intermediate products of PCB degradation. Environ. Sci. Technol. 2019, 53, 10601–10611. [Google Scholar] [CrossRef]
- Xiao, M.; Li, X. Phytoremediation for co-contaminated soils of cadmium and polychlorinated biphenyls using ornamental plant tagetes patula. Sci. Technol. Eng. 2019, 19, 361–368. (In Chinese) [Google Scholar]
- Salimizadeh, M.; Shirvani, M.; Shariatmadari, H.; Mortazavi, M. Bentonite addition to a PCB-contaminated sandy soil improved the growth and phytoremediation efficiency of Zea mays L. and Alternanthera sessilis L. Int. J. Phytoremediation 2019, 22, 176–183. [Google Scholar] [CrossRef] [PubMed]
- De-Bashan, L.E.; Hernandez, J.P.; Bashan, Y. The potential contribution of plant growth-promoting bacteria to reduce environmental degradation—A comprehensive evaluation. Appl. Soil Ecol. 2012, 61, 171–189. [Google Scholar] [CrossRef]
- Terzaghi, E.; Vergani, L.; Mapelli, F.; Borin, S.; Guardo, A.D. Rhizoremediation of weathered PCBs in a heavily contaminated agricultural soil: Results of a biostimulation trial in semi field conditions. Sci. Total Environ. 2019, 686, 484–496. [Google Scholar] [CrossRef]
- Dong, J.; Mao, W.; Zhang, G.; Wu, F. Root excretion and plant tolerance to cadmium toxicity—A review. Plant Soil Environ. 2007, 53, 193–200. [Google Scholar] [CrossRef]
- Terzaghi, E.; Vitale, C.M.; Salina, G.; Guardo, A.D. Plants radically change the mobility of PCBs in soil: Role of different species and soil conditions. J. Hazard. Mat. 2019, 388, 121786. [Google Scholar] [CrossRef]
- Chen, Y.X.; Tang, X.J.; Cheema, S.A.; Liu, W.; Shen, W. Beta-cyclodextrin enhanced phytoremediation of aged PCBs-contaminated soil from e-waste recycling area. J. Environ. Monit. 2010, 12, 1482–1489. [Google Scholar] [CrossRef]
- Horváthová, H.; Lászlová, K.; Dercová, K. Bioremediation vs. nanoremediation: Degradation of polychlorinated biphenyls (PCBs) using integrated remediation approaches. Water Air Soil Pollut. 2019, 230, 204. [Google Scholar] [CrossRef]
- Aisien, F.A.; Aisien, E.T.; Oboh, I.O. Phytoremediation of Petroleum-Polluted Soils. Phytoremediation 2014, 1, 243–252. [Google Scholar]
- Van, A.B.; Correa, P.A.; Schnoor, J.L. Phytoremediation of polychlorinated biphenyls: New trends and promises. Environ. Sci. Technol. 2010, 44, 2767–2776. [Google Scholar]
- Feng, N.X.; Yu, J.; Zhao, H.M.; Cheng, Y. Efficient phytoremediation of organic contaminants in soils using plant-endophyte partnerships. Sci. Total Environ. 2017, 583, 352–368. [Google Scholar] [CrossRef] [PubMed]
- Schwitzguébel, J.P. Phytoremediation of soils contaminated by organic compounds: Hype, hope and facts. J. Soils Sediments 2017, 17, 1492–1502. [Google Scholar] [CrossRef]
- Zeeb, B.A.; Amphlett, J.; Rutter, A.; Reimer, K. Potential for phytoremediation of polychlorinated biphenyl-(PCB)-contaminated soil. Int. J. Phytoremediation 2006, 8, 199–221. [Google Scholar] [CrossRef] [PubMed]
- Chu, W.K.; Wong, M.H.; Zhang, J. Accumulation, distribution and transformation of DDT and PCBs by Phragmites australis and Oryza sativa L.: II. Enzyme study. Environ. Geochem. Health 2006, 28, 169–181. [Google Scholar] [CrossRef]
- Tu, C.; Teng, Y.; Luo, Y.; Ma, T.; Pan, C.; Li, Z.; Liu, W. Bioremediation mechanisms and technologies of PCBs-polluted farmland soils around e-wastes disassembling sites. Acta Pedol. Sin. 2012, 49, 373–381. (In Chinese) [Google Scholar]
- Chekol, T.; Vough, L.R.; Chancy, R.L. Phytoremediation of polychlorinated biphenyl-contaminated soils: The rhizosphere effect. Environ. Int. 2004, 30, 799–804. [Google Scholar] [CrossRef] [PubMed]
- Macková, M.; Macek, T.; Kuerová, P.; Burkhard, C.J.; Demnerová, K. Plant tissue cultures in model studies of transformation of polychlorinated biphenyls. Chem. Pap.-Slovak Acad. Sci. 1998, 52, 599–600. [Google Scholar]
- Kucerová, P.; Wiesche, C.; Wolter, M.; Macek, T.; Macková, Z.M. The ability of different plant species to remove polycyclic aromatic hydrocarbons and polychlorinated biphenyls from incubation media. Biotechnol. Lett. 2001, 23, 1355–1359. [Google Scholar] [CrossRef]
- Li, Y.; Liang, F.; Zhu, Y.F.; Wang, F. Phytoremediation of a PCB-contaminated soil by alfalfa and tall fescue single and mixed plants cultivation. J. Soil Sediment 2013, 13, 925–931. [Google Scholar] [CrossRef]
- Yuan, Q. Study on the Distribution of PCBs in Polluted Environmental Matrices and Its Plant Uptake and Translocation. M.D. Thesis, Northwest University, Xi’an, China, 2018. (In Chinese). [Google Scholar]
- Sharma, J.; Bhar, S.; Veerappapillai, S. Phytoremediation of Polychlorinated Biphenyls: A Brief Review. Res. J. Pharm. Biol. Chem. Sci. 2015, 6, 1466–1471. [Google Scholar]
- Chroma, L.; Mackova, M.; Kucerova, P.; Wiesche, C.; Burkhard, J.; Macek, T. Enzymes in Plant Metabolism of PCBs and PAHs. Acta Biotechnol. 2010, 22, 35–41. [Google Scholar] [CrossRef]
- Zhuo, P.; Wang, H.; Tian, F. The research advances on phytoremediation of soil contaminated by polychlorinated biphenyls. J. Gansu Norm. Coll. 2015, 20, 53–57. (In Chinese) [Google Scholar]
- Lee, S.H.; Lee, W.S.; Lee, C.H.; Kim, J. Degradation of phenanthrene and pyrene in rhizosphere of grasses and legumes. J. Hazard. Mat. 2008, 153, 892–898. [Google Scholar] [CrossRef]
- Magee, K.D.; Michael, A.; Ullah, H.; Dutta, S.K. Dechlorination of PCB in the presence of plant nitrate reductase. Environ. Toxicol. Pharmacol. 2008, 25, 144–147. [Google Scholar] [CrossRef]
- Terzaghi, E.; Zanardini, E.; Morosini, C.; Raspa, G.; Borin, S.; Mapelli, F.; Vergani, L.; Antonio, D. Rhizoremediation half-lives of PCBs: Role of congener composition, organic carbon forms, bioavailability, microbial activity, plant species and soil conditions, on the prediction of fate and persistence in soil. Sci. Total Environ. 2018, 612, 544–560. [Google Scholar] [CrossRef]
- Ren, C.G.; Kong, C.C.; Bian, B.; Liu, W.; Li, Y.; Luo, Y.; Xie, Z. Enhanced phytoremediation of soils contaminated with PAHs by arbuscular mycorrhiza and rhizobium. Int. J. Phytoremediation 2017, 19, 789–797. [Google Scholar] [CrossRef]
- Chaudhry, Q.; Blom-Zandstra, M.; Gupta, S.; Joner, E. Utilising the synergy between plants and rhizosphere microorganisms to enhance breakdown of organic pollutants in the environment. Environ. Sci. Pollut. Res. 2005, 12, 34–48. [Google Scholar] [CrossRef]
- Ullah, R.; Hadi, F.; Ahmad, S.; Jan, A.; Qiu, R. Phytoremediation of Lead and Chromium Contaminated Soil Improves with the Endogenous Phenolics and Proline Production in Parthenium, Cannabis, Euphorbia, and Rumex Species. Water Air Soil Pollut. 2019, 230, 40. [Google Scholar] [CrossRef]
- Passatore, L.; Rossetti, S.; Juwarkar, A.A.; Massacci, A. Phytoremediation and bioremediation of polychlorinated biphenyls (PCBs): State of knowledge and research perspectives. J. Hazard. Mat. 2014, 278, 189–202. [Google Scholar] [CrossRef] [PubMed]
- Dudášová, H.; Lukáčová, L.; Murínová, S.; Dercová, K. Effects of plant terpenes on biodegradation of polychlorinated biphenyls (PCBs). Int. Biodeterior. Biodegrad. 2012, 69, 23–27. [Google Scholar] [CrossRef]
- Ding, N.; Hayat, T.; Wang, J.; Wang, H.; Liu, X.; Xu, J. Responses of microbial community in rhizosphere soils when ryegrass was subjected to stress from PCBs. J. Soils Sediments 2011, 11, 1355–1362. [Google Scholar] [CrossRef]
- Ancona, V.; Caracciolo, A.B.; Grenni, P.; Di Lenola, M.; Campanale, C.; Calabrese, A.; Uricchio, V.F.; Mascolo, G.; Massacci, A. Plant-assisted bioremediation of a historically PCB and heavy metal-contaminated area in Southern Italy. New Biotechnol. 2017, 38, 65–73. [Google Scholar] [CrossRef] [PubMed]
- Teng, Y.; Luo, Y.; Gao, J.; Li, Z. Combined remediation effects of arbuscular mycorrhizai fungi-legumes-rhizobium symbiosis on pcbs contaminated soils. J. Environ. Sci. 2008, 29, 239–244. (In Chinese) [Google Scholar]
- Teng, Y.; Li, X.F.; Chen, T.; Zhang, M.; Wang, X.; Li, Z.; Luo, Y. Isolation of the PCB-degrading bacteria Mesorhizobium sp. ZY1 and its combined remediation with Astragalus sinicus L. for contaminated soil. Int. J. Phytoremediation 2016, 18, 141–149. [Google Scholar] [CrossRef]
- Pino, N.J.; Muera, L.M.; Peuela, G.A. Bioaugmentation with Immobilized Microorganisms to Enhance Phytoremediation of PCB-Contaminated Soil. J. Soil Contam. 2016, 25, 419–430. [Google Scholar] [CrossRef]
- Zhang, Y.; Yang, X.; Sun, C.; Wang, L. QSAR prediction of antagonistic activity of PCBs towards human PXR by using heuristic method and best subset modeling. Sci. China Chem. 2012, 55, 1459–1466. [Google Scholar] [CrossRef]
- Li, M.H.; Du, M.J.; Sun, R.H.; Zhang, W.H.; Li, Y. Application of a 2D-QSAR Model with a Sine Normalization Method for the Biodegradation of Fluoroquinolones to Poison Cyanobacteria. Environ. Sci. Pollut. Res. 2021, 28, 11302–11316. [Google Scholar] [CrossRef]
- Chu, Z.H.; Li, Y. Designing modified polybrominated diphenyl ether BDE-47, BDE-99, BDE-100, BDE-183, and BDE-209 molecules with decreased estrogenic activities using 3D-QSAR, pharmacophore models coupled with resolution V of the 210-3 fractional factorial design and molecular docking. J. Hazard. Mat. 2019, 364, 151–162. [Google Scholar]
- Kucerova, P.; Mackova, M.; Chroma, L.; Burkhard, J.; Tříska, J.; Demnerová, K.; Macek, T. Metabolism of polychlorinated biphenyls by Solanum nigrum hairy root clone SNC-90 and analysis of transformation products. Plant Soil 2000, 225, 109–125. [Google Scholar] [CrossRef]
- Groeger, A.W.; Fletcher, J.S. The influence of increasing chlorine content on the accumulation and metabolism of polychlorinated biphenyls by Paul’s Scarlet Rose. Bull. Environ. Contam. Toxcol. 1988, 39, 960–965. [Google Scholar] [CrossRef] [PubMed]
- Mackova, M.; Macek, T.; Kucerova, P.; Burkhard, J.; Pazlarova, J.; Demnerova, K. Degradation of polychlorinated biphenyls by hairy root culture of Solanum nigrum. Biotechnol. Lett. 1997, 19, 787–790. [Google Scholar] [CrossRef]
- Lee, I.; Fletcher, J.S. Involvement of mixed function oxidase systems in polychlorinated biphenyl metabolism by plant cells. Plant Cell Rep. 1992, 11, 97–100. [Google Scholar] [CrossRef]
- Shen, H. Bioremediation of Pcbs Contaminated Soil Using Wetland Plants and Land Farming. Master’s Thesis, Zhejiang University, Hangzhou, China, 2014. (In Chinese). [Google Scholar]
- Zhao, X.; Ren, L.; Zhuang, H. Study on biodegradation of polychlorinated biphenyls. Environ. Sci. Technol. 2007, 30, 94–97. (In Chinese) [Google Scholar]
- Du, K.; Xu, X. Research progress of environmental estrogens. Chin. Sci. Bull. 2000, 45, 2241–2251. (In Chinese) [Google Scholar]
- Böhme, F.; Welsh-Pausch, K.; McLachlaN, M.S. Uptake of airborne semivolatile organic compounds in agricultural plants: Field measurements of interspecies variability. Environ. Sci. Technol. 1999, 33, 1805–1813. [Google Scholar] [CrossRef]
- Cheng, L. Mechanism Studv of the Environmental Transformation and Degradation of PCBs Mediated by NOM. Ph.D. Thesis, Zhejiang University, Hangzhou, China, 2012. (In Chinese). [Google Scholar]
- Bi, X.; Chu, S.; Xu, X. Transport of PCBs in contaminated paddy fields. Acta Sci. Circumstantiae 2001, 21, 454–458. (In Chinese) [Google Scholar]
- Chi, X. Effect of Tea Saponins on Plant Absorption of Polychlorinated Biphenyls. Master’s Thesis, Zhejiang Gongshang University, Hangzhou, China, 2010. (In Chinese). [Google Scholar]
- Schnoor, J.L.; Light, L.A.; Mccutcheno, S.C.; Wolfe, N. Phytoremediation of organic and nutrient contaminants. Environ. Sci. Technol. 1995, 29, 318–323. [Google Scholar] [CrossRef]
- Tomas, M.; Katerina, F.; Lucie, K.; Lovecká, P.; Ryslava, E. Phytoremediation: Biological cleaning of a polluted environment. Rev. Environ. Health 2004, 19, 63–82. [Google Scholar]
- Xu, L.; Teng, Y.; Li, Z.G.; Norton, J.M.; Luo, Y.M. Enhanced removal of polychlorinated biphenyls from alfalfa rhizosphere soil in a field study: The impact of a rhizobial inoculum. Sci. Total Environ. 2010, 408, 1007–1013. [Google Scholar] [CrossRef] [PubMed]
- Nancy, J.P.; Luisa, M.M.; Gustavo, A.P. Phytoremediation of soil contaminated with PCBs using different plants and their associated microbial communities. Int. J. Phytoremediation 2019, 21, 316–324. [Google Scholar]
- Wilken, A.; Bock, C.; Bokern, M.; Harms, H. Metabolism of different PCB congeners in plant cell cultures. Environ. Toxicol. Chem. 1995, 14, 2017–2122. [Google Scholar] [CrossRef]
- Bruno, F.C.; Claudia, B.; Peter, S. Phytoremediation to Increase the Degradation of PCBs and PCDD/Fs. Environ. Sci. Pollut. Res. 2002, 9, 73–85. [Google Scholar]
- Tu, C.; Teng, Y.; Luo, Y.M.; Sun, X.; Deng, S.; Li, Z.; Liu, W.; Xu, Z. PCB removal, soil enzyme activities, and microbial community structures during the phytoremediation by alfalfa in field soils. J. Soils Sediments 2011, 11, 649–656. [Google Scholar] [CrossRef]
- Ding, N. Dissipation Process of Polychlorinated Biphenyls in Millimeter Rhizosphere and Mechanisms of Biological Responses to Pcbs Stress. Ph.D. Thesis, Zhejiang University, Hangzhou, China, 2012. (In Chinese). [Google Scholar]
- Wu, H.; Zheng, S. Effects of Eichhornia crassipes root exudates on phenol metabolism of Enterobacter sp.nov. J. Appl. Ecol. 1993, 4, 78–84. (In Chinese) [Google Scholar]
- Miao, X.; Zhou, Q. Some research progresses in influencing factors for the efficiency of contaminated soil phytoremediation. Chin. J. Ecol. 2015, 34, 870–877. (In Chinese) [Google Scholar]
- Lin, D.; Zhu, L.; Gao, Y. Main mechanism and affecting factors of phytoremediation of organic contaminated soil. Chin. J. Appl. Ecol. 2003, 14, 1799–1803. (In Chinese) [Google Scholar]
- Qiao, X.; Ma, S.; Hou, H. Effects of soil temperature on the growth of carex duriuscula in mu us bottomland. Chin. J. Ecol. 2019, 38, 2389–2396. (In Chinese) [Google Scholar]
- Du, J. Influencing Factors of Phytoremediation of Compound Polluted Soil and Its Interaction with Nano Materials. Ph.D. Thesis, Nankai University, Tianjin, China, 2015. (In Chinese). [Google Scholar]
- López, M.L.; Peralta-Videa, J.R.; Benitez, T.; Gardea-Torresdey, J. Enhancement of lead up take by alfalfa (Medicago sativa) using EDTA and a plant growth promoter. Chemosphere 2005, 61, 595–598. [Google Scholar] [CrossRef] [PubMed]
- Mo, L.; Zhang, Y.; Lin, Z.; Xing, Q.; Wu, J.; Luo, X.; Mai, B. Absorption, Translocation and Metabolism of Halogenated Organic Pollutants (HOPs) in Plants: A Review. Ecol. Environ. Sci. 2015, 24, 1582–1590. (In Chinese) [Google Scholar]
- Zhang, C.; Gu, Z.; Long, Y.; Shen, D. Phytoremediation of polychlorinated biphenyls contaminated soils: Mechanisms, hereditary defects and transgenic technology. Acta Agric. Nucleatae Sin. 2012, 26, 1094–1099. (In Chinese) [Google Scholar]
- Chroma, L.; Moeder, M.; Kucerova, P.; Macek, T.; Mackova, M. Plant enzymes in metabolism of polychlorinated biphenyls. Fresenius Environ. Bull. 2003, 12, 291–295. [Google Scholar]
- Köller, G.; Möder, M.; Czihal, K. Peroxidative degradation of selected PCBs: A mechanistic study. Chemsphere 2000, 41, 1827–1834. [Google Scholar] [CrossRef]
- Chroma, L.; Macek, T.; Demnerova, K.; Macková, M. Decolorization of RBBR by plant cells and correlation with the transformation of PCBs. Chemosphere 2002, 49, 739–748. [Google Scholar] [CrossRef]
- Kleopper, J.W.; Schipper, B.; Bakker, P. Proposed elimination of the term endorhizosphere. Phytopathology 1992, 82, 726–727. [Google Scholar]
- Pillips, L.A.; Germida, J.J.; Farrell, R.E.; Greer, C.W. Hydrocarbon degradation potential and activity of endophytic bacteria associated with prairie plants. Soil Biol. Biochem. 2008, 40, 3054–3064. [Google Scholar] [CrossRef]
- Germaine, K.J.; Keogh, E.; Ryan, D.; Dowling, D.N. Bacterial endophyte mediated naphthalene phytoprotection and phytoremediation. FEMS Microbiol. Lett. 2009, 296, 226–234. [Google Scholar] [CrossRef]
- Li, J.H.; Wang, E.T.; Chen, W.F.; Chen, W.X. Genetic diversity and potential for promotion of plant growth detected innodule endophytic bacteria of soybean grown in Heilongjiang province of China. Soil Biol. Biochem. 2008, 40, 238–246. [Google Scholar] [CrossRef]
- Sun, K.; Li, S. Feasibility analysis for mitigating the contamination of pops in crops through inoculation with functional endophytic bacteria. J. Agric. Res. Environ. 2017, 34, 397–404. (In Chinese) [Google Scholar]
- Waigi, M.G.; Kang, F.X.; Goikavi, C.; Ling, W.; Gao, Y. Phenanthrene biodegradation by sphingomonads and its application in the contaminated soils and sediments: A review. Int. Biodeter. Biodegrad. 2015, 104, 333–349. [Google Scholar] [CrossRef]
Publisher’s Note: MDPI stays neutral with regard to jurisdictional claims in published maps and institutional affiliations. |
© 2022 by the authors. Licensee MDPI, Basel, Switzerland. This article is an open access article distributed under the terms and conditions of the Creative Commons Attribution (CC BY) license (https://creativecommons.org/licenses/by/4.0/).


