Abstract
The formation of cerium hydroxide was studied, and its capacity as a corrosion inhibitor on aluminum substrates was evaluated. These particles were deposited by immersing the substrate in a bath with cerium nitrate and hydrogen peroxide. Four different immersion times were used to determine the differences in behavior from low concentrations to an excess of particles on the surface. The coatings were analyzed morphologically by scanning electron microscope (SEM) and optical microscope, and chemically by energy dispersive spectroscopy (EDS) and X-ray photoelectron spectroscopy (XPS). Electrochemical corrosion analysis was studied using cyclic potentiodynamic polarization (CPP), electrochemical impedance spectroscopy (EIS), and electrochemical noise (EN). The results show that for 2 and 5 min of immersion, there was corrosion inhibition caused by the presence of cerium Ce3+ in the coating, but with excess cerium hydroxide particles, corrosion was favored. The presence of cerium particles favors corrosion at 30 s of immersion. This is the same case at 60 min, where corrosion was favored by the excess of Ce4+ particles on the surface.
1. Introduction
New challenges are posed by the broader use of lightweight metals, especially Al and Mg and their alloys, as structural materials that present considerable prospects for different applications, such as transport or construction [1,2,3,4]. This enormous potential continues to stimulate research in corrosion prevention and the improvement of anticorrosion treatments. Various industries have a high interest in developing materials with higher corrosion resistance, such as reinforcements in construction [5,6,7,8], automotive [9,10,11,12,13,14], aeronautics [15,16,17], steel [18,19,20], and biomedical implants [21,22].
The losses to the global economy caused by corrosion have been estimated for decades and are increasing consistently [23,24]. In its latest study, ¨IMPAC¨, NACE INTERNATIONAL estimates the annual cost of corrosion at USD 2.5 trillion. It also estimates that applying the currently available anti-corrosion measures could save between 15 and 35% of the cost of corrosion for the global economy [24].
The use of protective coatings is the most-applied strategy for corrosion protection and has seen a steady evolution. Currently, the methods include such diverse approaches as aluminum anodizing [25,26,27,28,29], electrodeposition [30], sputtering [31], sol–gel deposition [32], electrophoretic deposition [33], physical vapor deposition (PVD) [34], and corrosion inhibitors [35]. Corrosion inhibitors are compounds capable of inhibiting or reducing the corrosion rate when present in small amounts. Among the corrosion inhibitors, salts of rare earth elements, specifically lanthanides, have been identified as an environmentally friendly method and have been previously reported [36,37,38,39,40,41,42]. Hinton (1984) [43] was the first who concluded that rare earth salts act as a cathodic inhibitor on an aluminum substrate, similar to that of Zn2+ in steel.
Among salts of rare earth elements, cerium stands out because of its natural abundance; since it is the most abundant rare earth element, it is present in amounts similar to such common elements as copper, and its extraction is easy and economically viable [44,45]. In aggressive solutions, the electrolyte tends to become more alkaline near the surface due to the oxygen reduction reaction:
and the hydrogen evolution:
Under these alkaline conditions, aluminum oxide is soluble, while cerium oxide remains insoluble. Thus, the cerium oxide protects the metal by stopping the reduction reaction, preventing the pH from increasing to values where aluminum is soluble. In addition, cerium salts have presented the best results due to the ease of Ce3+ to react on the metal surface.
Yasakau et al. [42] published a review of rare earth salts as healing agents and defined self-healing materials as those that can repair themselves and recover functionality after degradation, damage, and failure. Coatings that are modified with cerium particles can acquire a self-healing capacity. This active corrosion protection occurs until pores or failure sites are filled or blocked. The effectiveness of self-healing is related to the pH at the interface, concentration of cerium, and microstructural characteristics. The oxides and hydroxides formed are insoluble and can block pitting and coating failures. In this way, its expansion is prevented, the coating is self-repaired, and the corrosion rate is diminished. The increased attention to their use arises from the pressing need for alternatives to chromium compounds, one of the most widely used corrosion inhibitors, which involves a significant environmental and health risk [46,47]. Cerium-based coatings have been deposited by different methods, mainly to take advantage of its reactivity in fuel cells encapsulating nanoparticles [48], catalytic oxidation by hydrothermal method [49], corrosion by immersion in a bath [50], solar cells by solvothermal method [51], and chemical vapor deposition (CVD) [52].
This work presents the study of cerium coatings as a single layer on aluminum. The aim is to evaluate the electrochemical behavior of the species deposited at different immersion times. Cerium species deposited at short times can function as corrosion inhibitors since they are not completely oxidized. However, at long times, deposition bath conditions oxidize Ce3+ to Ce4+.
2. Experimental Methods and Materials
The substrate was aluminum 3003 (Al 96.8–99 wt%, Cu 0.05–0.2 wt%, Fe 0.7 wt% max, Mn 1–1.5 wt%, Si 0.6 wt% max, Zn 0.1 wt% max, residuals each 0.05 wt% max, total 0.15 wt% max) [53], and was washed with deionized water and acetone to remove impurities. All reagents used are reactive grade.
2.1. Cerium Treatment by Immersion
The immersion bath was conformed with Ce(NO3)3 6H2O (Aldrich 99%), with a concentration of 50 mM, which was added to 10% by volume of H2O2 (J.T. Baker 30%) to accelerate the deposition reaction of the cerium compounds. The bath was used at a temperature of 50 °C. The treatment was carried out by immersion of the substrates for 0.5, 2, 5, and 60 min of immersion; after the immersion, the substrate was washed with deionized water.
2.2. Electrochemical Tests
Electrochemical measurements were taken in a Bio-Logic potentiostat-galvanostat, Sp-300 model, using a corrosion cell and a Faraday cage. A graphite counter electrode, Ag reference electrode || AgCl (3.5 M KCl), 375 mL of 3.5% NaCl, and bubbling N2 was used to remove dissolved oxygen. For all the tests, the samples were immersed in the solution for 1 h. Cyclic potentiodynamic polarization (CPP) was performed with a velocity of 10 mV/s from Ei (initial potential) = −0.3 V vs. OCP (open circuit potential) to 0.6 V vs. OCP, and the Ef (final potential) was 0 V vs. Ei. Tafel slopes were analyzed by extrapolating the anodic and cathodic slopes to obtain the corrosion current (Icorr) and corrosion potential (Ecorr). The corrosion rate was determined by Equation (1)
where CR is the corrosion rate in mm/year, K is 3272 mm/cm per year, Icorr is the corrosion current (A), and A the sample area (cm2), which is 2 cm2 for the experimental cell. For AA3003, the equivalent weight (EW) is 9.07 (g/eq) [54] and the density () is 2.73 g/cm3 [53].
Electrochemical impedance spectroscopy measurements were performed at open circuit potential (OCP), with an amplitude of 10 mV and a frequency of 105 to 1 Hz. From the EIS measurements, corrosion inhibition efficiency (IE) was calculated using Equation (2).
where IE is the inhibition efficiency in % and and Rct are the resistance to the transfer of untreated aluminum charge and the sample (Ω), respectively [55].
Electrochemical noise measurements were taken by measuring the potential between two nominally identical electrodes, the substrate. The current measurement between two equal working electrodes, with a negligible potential difference or zero resistance ammeter (ZRA), was performed for 15 min without applying external potential. A second-degree polynomial adjustment was used to remove the effect of the direct current component. The standard deviation of potential (σE) and current (σI) was calculated. The noise resistance (Rn) was calculated by Equation (3).
where Rn is the noise resistance in Ω, σE is the standard deviation of the potential in V, and σI is the standard deviation of the current (A).
The pitting index (PI) was calculated by Equation (4).
where PI is the pitting index, and IRMS is the root mean square of the current (A) [55].
2.3. Characterization
The surface inspection was carried out in a digital microscope, the Keyence VHX-5000 series. The depth and profile measurements were taken with the VHX software of the microscope. Scanning electronic microscopy (SEM) micrographs, energy dispersive X-ray spectroscopy (EDS) microanalysis, and elemental mapping were performed with a JEOL model JSM-6510 scanning electron microscope with built-in EDS. The X-ray photoelectron spectroscopy (XPS) was elaborated with a Thermo Scientific K-Alpha™+ spectrometer, which used an Al Kα monochromatized X-ray source (hν = 1486.6 eV). The operating pressure was approximately 10−9 mBar, with a spot size of 400 μm, step energy of 20.0 eV, with a total of 10 scans, and an erosion of 15 s to reduce adsorbed atmospheric compounds. All acquired spectra were processed using a Gaussian peak type and the references are reported from NIST Standard Reference Database 20, Version 4.1, and references of reported characterizations by XPS of cerium [56,57,58,59] and O1s spectra [60,61]. Great care was put into the baseline and deconvolution assignations for the XPS spectra to avoid misinterpretations [62].
3. Results and Discussion
Figure 1 shows the physical appearance of the samples treated with the different immersion times, and the aluminum 3003 without treatment is presented as a reference. There were no significant changes in the surface appearance in the first three times. In the case of the sample treated for 1 h, a complete change in the surface was observed, and a coating in a beige tone was appreciated, which was the first indicator of long immersion times favoring the formation of CeO2.
Figure 1.
Aluminum 3003 samples were treated with cerium nitrate at different immersion times: (a) 0 min, (b) 0.5 min, (c) 2 min, (d) 5 min, and (e) 60 min.
SEM analyses were conducted to observe the particles formed on the surface. Figure 2 shows the growth of particles on immersed surfaces. The SEM micrograph of Figure 2c shows that the formation of the particles began at short immersion times since, at 0.5 min, their presence was already observed, although in a very localized way. The rapid formation of the particles can be attributed to the addition of hydrogen peroxide in the cerium nitrate solution.
Figure 2.
Analyses of aluminum 3003 treated at different times of immersion in a cerium nitrate bath (a,b) 0 min, (c,d) 0.5 min, (e,f) 2 min, (g,h) 5 min, and (i,j) 60 min, showing their SEM micrographs (2 µm scale bar) and EDS elemental mapping, respectively.
The number of agglomerates and the height of these were considerably increased at 2 min of immersion (Figure 2e). In addition, the growth occurred around the first agglomerates and not homogeneously throughout the substrate.
Figure 2g shows that the particles covered the entire surface after 5 min, and areas with a higher number of particles were observed. Figure 2i shows that, at 60 min of immersion, a coating was formed with a higher thickness than that found at 5 min. Once the initial particles covered the entire surface, the newly deposited material started to grow particles on top of the first layer, increasing the thickness.
Figure 2b,d,f,h,j show the elemental mapping by EDS progressively with the immersion time. The quantity of blue zones attributed to cerium was increasing accordingly to the immersion time. Isolated areas of cerium were observed at the beginning. Finally, at 60 min, the areas with the presence of cerium were predominant.
Table 1 shows the surface composition, where aluminum was the predominant element. The cerium at 0.5 min had a concentration of 0.22%, at 2 min 1.75%, at 5 min 1.84%, and at 60 min, the concentration of cerium on the surface reached 17.52%. In the composition analyses, no nitrogen was found, which could be present because of the cerium salt.
Table 1.
EDS analysis at different immersion times.
XPS analyses shown in Figure 3 confirmed the presence of Ce3+ and Ce4+. It can be divided into two spin orbits, 3d 3/2 and 3d 5/2 orbitals. In the Ce3d scan, the signals found in 904 eV, 903 eV, 885 eV, and 880 eV were attributed to the Ce3+ species. The signals in 916 eV, 907 eV, 906 eV, 900 eV, 898 eV, 888 eV, and 882 eV were attributed to the Ce4+ species. The presence of OH− was shown in the signals 531 eV and 530 eV. The O2− corresponded to the 529 eV signal. The Ce3+ peaks were attributed to the presence of Ce2O3 and Ce(OH)3. At the same time, the Ce4+ signal was attributed to CeO2.
Figure 3.
Analyses of cerium coatings at 2 and 60 min of immersion time showing their (a,c) Ce3d and (b,d) O1s high-resolution XPS spectra, respectively.
Table 2 shows the atomic percentage of each oxidation state in the coating at 2 min and 60 min of immersion. In the case of 2 min of immersion, Ce3+ and OH− were in higher concentration, which indicates that the deposit was formed mainly by Ce(OH)3, with a low concentration of Ce2O3 and CeO2. For the sample with the immersion of 60 min, the atomic percentage of Ce4+ increased, and a peak of O2− appeared, so the formation of CeO2 was favored at long immersion times due to the oxidation of Ce(OH)3 and Ce2O3.
Table 2.
Atomic % of Ce species at 2 and 60 min of immersion quantified using XPS.
Electrochemical behavior was evaluated to determine the degree to which cerium hydroxide modified the corrosion process on the surface. Figure 4 shows the cyclic potentiodynamic polarization (CPP) response. The samples of 0, 0.5, 5, and 60 min had the potential for initiating and propagating pits (Epit) equal to the corrosion potential (Ecorr).
Figure 4.
CPP of aluminum 3003 at different times of immersion in the cerium bath.
This is because the increase in anodic current occurs without variations in the slope. In comparison, the 2 min sample had a variation of 1 mV between the Ecorr and the Epit. This is observed in the slight slope change of the anodic part, indicating that the pits began to spread to a more positive potential in that sample. Hysteresis cycles were formed in all samples by reversing the potential. This is attributed to the fact that, once the pits started, they spread to even more negative potentials. The potential in which hysteresis closed was attributed to the pits ceasing to spread and the aluminum becoming passive.
Table 3 shows the results of the corrosion rate. It is shown that aluminum 3003 had a corrosion rate of 1.64 × 10−3 mmpy. At 0.5, 2, and 5 min of immersion, the corrosion rate decreased by one order of magnitude. However, in the sample at 60 min, the corrosion occurred faster due to cerium excess. In the corrosion current, it was observed that the sample that presented the lowest current demand was the 2 min one, so it was the sample that presented less corrosion. The sample of 60 min of immersion had the highest Icorr. This is because the combined response of cerium hydroxide oxidation and aluminum corrosion increased the corrosion current.
Table 3.
Values of the CPP variables for aluminum 3003 at different immersion times in the cerium bath.
Figure 5 shows that the Nyquist diagram can be approximated to be a semicircle. The difference in the diameter of that semicircle can be attributed to the difference in roughness and an inhomogeneous surface that caused frequency dispersion. Using ZView 2 software, simulations were performed to obtain the equivalent circuit of the system. The obtained result is a system composed of the resistance of the electrolyte (Rs), resistance-to-charge transfer (Rct), which is the value directly related to the corrosion of the system, and a constant phase element (CPE) that is related to the capacitance of the double layer. The results of corrosion inhibition efficiency are shown in Table 4.
Figure 5.
EIS of aluminum at different immersion times in cerium bath.
Table 4.
Results of EIS measurements.
The spectrum at 0 min represents aluminum without treatment. The spectra of the samples with 0.5 and 60 min of immersion show a smaller semicircle, which indicates that there was a higher charge transfer and, therefore, higher corrosion. In the case of the spectra of 2 and 5 min, larger semicircles are observed than that of 0 min. This indicates a higher difficulty for the flow of electrons in this sample, so there was less corrosion.
The sample that presented the best corrosion inhibition is that of 2 min, which increased the resistance-to-charge transfer by 46.58%. At 5 min, the efficiency dropped considerably to 3.84%. In the samples of 0.5 and 60 min, there was a negative inhibition efficiency, which indicates that, in these samples, there was higher corrosion than in untreated aluminum. Hence, the presence of cerium favored corrosion. In the sample at 60 min, it reached a resistance-to-charge transfer of approximately 801.02% lower than the untreated aluminum.
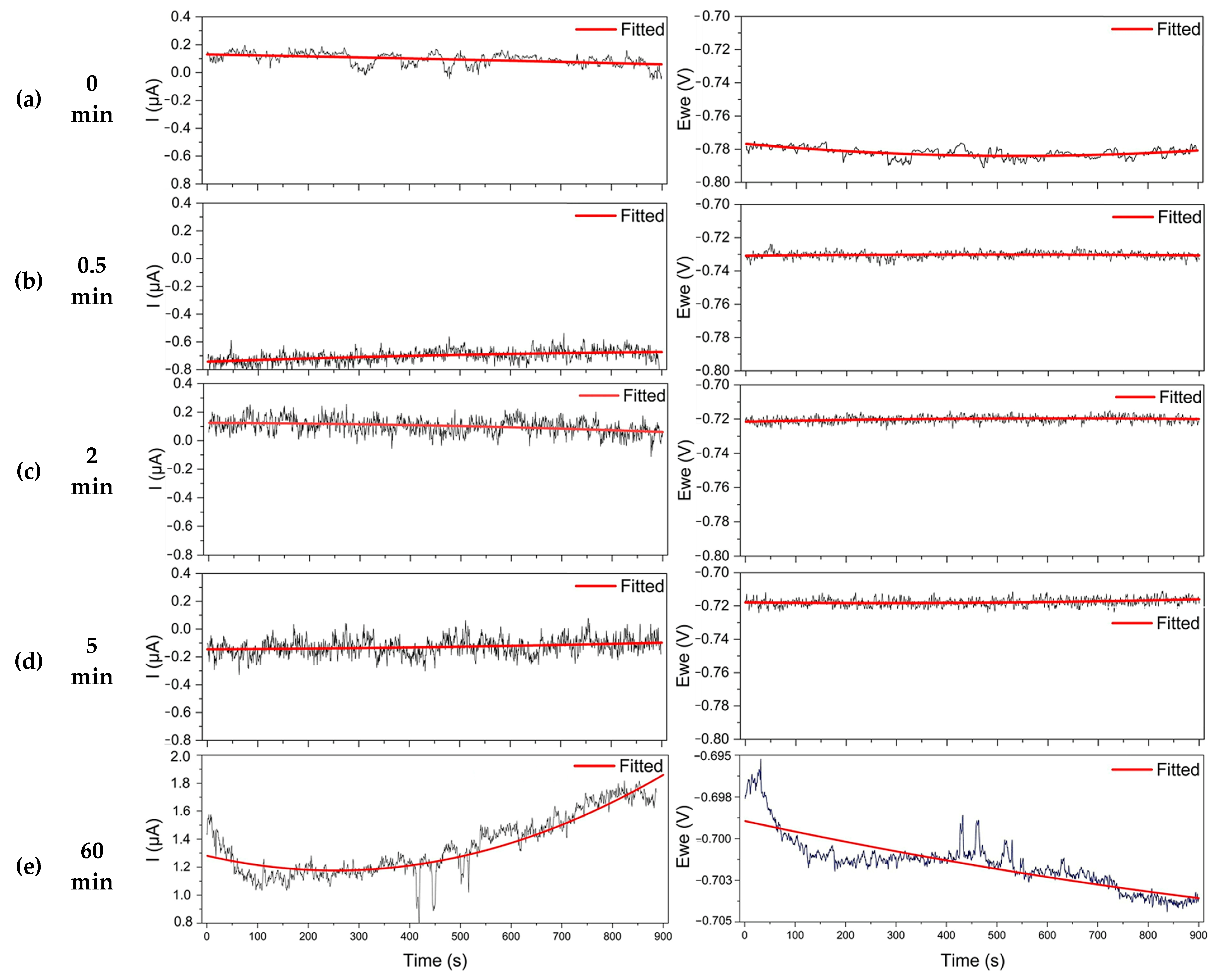
Electrochemical noise measurements are shown in Figure 6. Due to the absence of an external potential or current, these variations in current and potential were related to changes in the speed of anodic and cathodic reactions, rupture, and failures in the continuity of the surface that cause pit formation. At 0, 0.5, 2, and 5 min of immersion, the current oscillated around 0.1 μA. In comparison, the sample at 60 min had the highest current with variations around 1.5 μA. This higher demand for current was due to higher activity on the surface produced by a higher corrosion rate and increased surface area caused by pitting.
Figure 6.
Electrochemical noise measurements of aluminum 3003 at (a) 0, (b) 0.5, (c) 2, (d) 5, and (e) 60 min of immersion in the cerium bath.
Table 5 shows the results of the pitting index and noise resistance. The results of the Rn show that the 2 min of immersion gave higher resistance to corrosion. The Rn at 2 min was 112,155 Ω. This represents a higher Rn than the untreated aluminum sample, indicating a slower corrosion rate and higher resistance-to-charge transfer. However, in the sample at 60 min, the Rn value dropped considerably to 6446 Ω and shows that it was more prone to corrosion. Pitting index values between 0.1 and 1 indicate localized corrosion, values between 0.1 and 0.01 indicate mixed corrosion, and values between 0.01 and 0.001 indicate widespread corrosion. The obtained results indicated localized corrosion at all the tested times.
Table 5.
Electrochemical noise results.
Two samples were analyzed after corrosion to expound the electrochemical behavior, the longer (60 min) and shorter (2 min) testing times. The microscope images in Figure 7a,d,g show that untreated aluminum had several pits (Figure 7a,b). By analyzing the surface profile (Figure 7g), it was determined that the pits had a depth of approximately 4 μm. The images in Figure 7b,e,h visually show these areas where there was electrochemical activity. The sample at 2 min of immersion presented a lower number of pits and its depth decreased to approximately 1 μm.
Figure 7.
Analyses of aluminum 3003 of untreated and 2 and 60 min immersion samples show their (a–c) optical micrographs (100 µm scale bar), (d–f) 3D viewing (rainbow scale bar), and (g–i) surface profiles having depth valleys corresponding to part of the pitting holes.
In the case of 60 min of immersion, Figure 7c,f,i show that in cerium excess conditions, there was the most significant damage caused by corrosion. The 3D image (Figure 7f) and the surface profile (Figure 7i) show that the pitting increased its depth considerably, reaching 25 μm. This higher electrochemical activity was associated with the most intense localized corrosion favored by the cerium excess.
XPS analyses were conducted after corrosion to identify the changes in the chemical composition. Figure 8a–c and Table 6 show the analyses of XPS for 2 min of immersion after corrosion. In Figure 8a, the area studied is indicated by a red oval. The XPS analysis of the Ce3d and O1s scans shows that the atomic percentage of Ce3+ decreased by approximately 20% compared with the coating before corrosion. This is because, during corrosion, there was an increase in pH at the substrate–electrolyte interface caused by the cathodic reaction. This process resulted in the formation of CeO2, which was insoluble under these conditions and blocked the cathodic sites where pitting began, thus reducing corrosion. The process is shown below and has been reported by different authors [56,57,63,64].
Figure 8.
Analyses of cerium coatings of untreated and 2 and 60 min after corrosion showing their (a,d) optical micrographs (100 µm scale bar, red oval showing the analyzed areas), (b,e) Ce3d, and (c,f) O1s in XPS, respectively.
Table 6.
XPS analyses of coating at 2 and 60 min of immersion after corrosion.
The corrosion process occurred in two semi-reactions.
- Anodic reaction
- 2.
- Cathodic reaction
- 3.
- Active site blocking
Because of the product of the cathodic reaction, cerium(III) hydroxide was oxidized. This reaction occurred in cathodic sites where the corrosion process was happening.
The final product of the process was CeO2, which was stable in conditions where corrosion occurred and favored the blocking of cathodic sites. This result explains the electrochemical behavior of the samples with a low concentration of cerium species.
In the case of the sample with a high concentration of cerium, Figure 8d,e,f show the analyses after corrosion. Figure 8d shows the area where the analysis of the corrosion products was carried out. The high-resolution XPS spectrum of Ce3d and O1s in Figure 8e,f and Table 6 show no significant difference in the atomic percentage of the Ce3+ species before and after corrosion. This is because most of the cerium(III) hydroxide/oxide that was available to be oxidized was, in fact, oxidized during the deposition bath due to the long treatment time.
4. Conclusions
The coatings of cerium species by immersion in a bath with H2O2 are formed in short times by Ce3+ species, mainly Ce(OH)3 and Ce2O3 in lower concentrations, making them an excellent option for application as a corrosion inhibitor. At long times, the percentage of these Ce3+ species decreases, and they are mostly oxidized to CeO2, which means that long immersion times are not viable as corrosion inhibitors. Elemental analysis shows that the cerium species are homogeneously distributed in the coating. The electrochemical behavior indicates that there is susceptibility to pitting corrosion. At short immersion times, the presence of cerium slightly favors corrosion, while at long times, corrosion is significantly favored. The best result was obtained at 2 min of immersion, where electrochemical tests show that corrosion was inhibited by up to 46%.
It can be concluded that the use of cerium concentrations below 1% and in excess favor corrosion. The post-corrosion analysis shows that, on low concentration coatings, the oxidation reaction of the Ce3+ to Ce4+ species takes place. Inhibition is attributed to blocking cathode sites by cerium hydroxide particles, which oxidize to cerium oxide and stop the spread of pitting. Therefore, using a coating as a protective barrier would improve the protection against corrosion, as obtained in this work.
Author Contributions
Conceptualization, J.A.C.M. and J.d.J.P.B.; methodology, J.A.C.M. and J.d.J.P.B.; validation, J.A.C.M. and J.d.J.P.B.; formal analysis, J.A.C.M., J.d.J.P.B., Y.M.V. and B.P.M.; investigation, J.A.C.M., J.d.J.P.B. and Y.M.V.; resources, J.d.J.P.B. and Y.M.V.; data curation, J.A.C.M. and J.d.J.P.B.; writing—original draft preparation, J.A.C.M. and J.d.J.P.B.; writing—review and editing, J.A.C.M., J.d.J.P.B., Y.M.V. and B.P.M.; visualization, J.A.C.M. and J.d.J.P.B.; supervision, J.d.J.P.B. and Y.M.V.; project administration, J.d.J.P.B.; funding acquisition, J.d.J.P.B. All authors have read and agreed to the published version of the manuscript.
Funding
This work was fonal unded by the National Council of Science and Technology CONACYT (México) through the Basic and/or Frontier Science grant No. 320114; the NatiLaboratory of Graphenic Materials and the LANIAUTO are greatly appreciated. The authors appreciate the support by the “Fondo Sectorial CONACYT-SENER Sustentabilidad Energética” through Grant 207450, “Centro Mexicano de Innovación en Energía Solar (CeMIESol)”, within strategic project No. P62, “Prototype hybrid system of a supercritical CO2 expander with flat polycarbonate mirrors on automated heliostats”. Further, the authors thank The World Bank and SENER, who supported this work through grant No. 002/2017-PRODETES-PLATA.
Institutional Review Board Statement
Not applicable.
Informed Consent Statement
Not applicable.
Data Availability Statement
Not applicable.
Acknowledgments
The authors thank the CIDETEQ’s staff members who supported the processes necessary to carry out the projects and laboratory activities. The authors appreciate the technical assistance of José Germán Flores López in the SEM analyses.
Conflicts of Interest
The authors declare no conflict of interest.
References
- Blanco, D.; Rubio, E.M.; Lorente-Pedreille, R.M.; Sáenz-Nuño, M.A. Sustainable Processes in Aluminium, Magnesium, and Titanium Alloys Applied to the Transport Sector: A Review. Metals 2021, 12, 9. [Google Scholar] [CrossRef]
- Mavhungu, S.T.; Akinlabi, E.T.; Onitiri, M.A.; Varachia, F.M. Aluminum Matrix Composites for Industrial Use: Advances and Trends. Procedia Manuf. 2017, 7, 178–182. [Google Scholar] [CrossRef]
- Bin Ali, S.; Kamaris, G.S.; Gkantou, M. Flexural Behaviour of Concrete-Filled Double Skin Aluminium Alloy Tubes. Eng. Struct. 2022, 272, 114972. [Google Scholar] [CrossRef]
- Zhou, J.; Chen, C.; Zhou, Z.; Long, H.; Jia, J.; He, L.; Long, Y. Dissimilar Laser Lap Welding of Mg and Al Alloys Using a CoCrFeNi Medium-Entropy Alloy Interlayer. Opt. Laser Technol. 2023, 157, 108639. [Google Scholar] [CrossRef]
- Pan, C.; Li, X.; Mao, J. The Effect of a Corrosion Inhibitor on the Rehabilitation of Reinforced Concrete Containing Sea Sand and Seawater. Materials 2020, 13, 1480. [Google Scholar] [CrossRef]
- Xiao, Z.; Liu, Y.; Wang, Y.; Shi, J. TA/Fe(III) Anti-Chloride Coating to Protect Concrete. J. Clean. Prod. 2020, 259, 120922. [Google Scholar] [CrossRef]
- Yuan, A.; Yang, C.; Wang, J.; Chen, L.; Lu, R. Shear Behavior of Epoxy Resin Joints in Precast Concrete Segmental Bridges. J. Bridg. Eng. 2019, 24, 04019009. [Google Scholar] [CrossRef]
- Tian, Y.; Dong, C.; Wang, G.; Cheng, X.; Li, X. The Effect of Nickel on Corrosion Behaviour of High-Strength Low Alloy Steel Rebar in Simulated Concrete Pore Solution. Constr. Build. Mater. 2020, 246, 118462. [Google Scholar] [CrossRef]
- Bakhtiary-Noodeh, M.; Moradian, S.; Ranjbar, Z. Improvement of the Edge Protection of an Automotive Electrocoating in Presence of a Prepared Epoxy-Amine Microgel. Prog. Org. Coat. 2017, 103, 111–125. [Google Scholar] [CrossRef]
- Akafuah, N.; Poozesh, S.; Salaimeh, A.; Patrick, G.; Lawler, K.; Saito, K. Evolution of the Automotive Body Coating Process—A Review. Coatings 2016, 6, 24. [Google Scholar] [CrossRef]
- Wang, J.; Pang, X.; Jahed, H. Surface Protection of Mg Alloys in Automotive Applications: A Review. AIMS Mater. Sci. 2019, 6, 567–600. [Google Scholar] [CrossRef]
- Ellappan, R.; Arumugam, S. The Effect of Corrosion Inhibitor on Corrosion of Automotive Materials in Biodegradable Engine Oil. IOP Conf. Ser. Mater. Sci. Eng. 2018, 390, 012092. [Google Scholar] [CrossRef]
- Glover, C.F.; Lim, M.L.C.; Scully, J.R. The Effect of Surface Treatment on the Performance of a Zirconium-Based Conversion Coating on AA7075 Automotive Alloys for Protection against Filiform Corrosion. In TMS 2020 149th Annual Meeting & Exhibition Supplemental Proceedings; Springer: Cham, Switzerland, 2020; pp. 937–946. [Google Scholar]
- Pearce, C.D. Surface Engineering for Corrosion Protection of Underbonnet and Underbody Automotive Components. Surf. Eng. 1992, 8, 188–192. [Google Scholar] [CrossRef]
- Tiong, U.H.; Clark, G. Impact of Mechanical Strain Environment on Aircraft Protective Coatings and Corrosion Protection. J. Aircr. 2011, 48, 1315–1330. [Google Scholar] [CrossRef]
- Doublet, A.; Kjellberg, M.; Jousselme, B.; Pinault, M.; Deniau, G.; Cornut, R.; Charrier, G. Bifunctional Coatings: Coupling an Organic Adhesion Promoter with an Anticorrosion Inorganic Layer. RSC Adv. 2019, 9, 24043–24049. [Google Scholar] [CrossRef]
- Becker, M. Chromate-Free Chemical Conversion Coatings for Aluminum Alloys. Corros. Rev. 2019, 37, 321–342. [Google Scholar] [CrossRef]
- Majd, M.T.; Davoudi, M.; Ramezanzadeh, M.; Ghasemi, E.; Ramezanzadeh, B.; Mahdavian, M. Construction of a Smart Active/Barrier Anti-Corrosion System Based on Epoxy-Ester/Zinc Intercalated Kaolin Nanocontainer for Steel Substrate. Constr. Build. Mater. 2020, 247, 118555. [Google Scholar] [CrossRef]
- Chen, Z.; Zhang, G.; Yang, W.; Xu, B.; Chen, Y.; Yin, X.; Liu, Y. Superior Conducting Polypyrrole Anti-Corrosion Coating Containing Functionalized Carbon Powders for 304 Stainless Steel Bipolar Plates in Proton Exchange Membrane Fuel Cells. Chem. Eng. J. 2020, 393, 124675. [Google Scholar] [CrossRef]
- Wen, J.; Lei, J.; Chen, J.; Gou, J.; Li, Y.; Li, L. An Intelligent Coating Based on PH-Sensitive Hybrid Hydrogel for Corrosion Protection of Mild Steel. Chem. Eng. J. 2020, 392, 123742. [Google Scholar] [CrossRef]
- Rahman, M.; Balu, R.; Dutta, N.K.; Roy Choudhury, N. In Vitro Corrosion Resistance of a Layer-by-Layer Engineered Hybrid Coating on ZK60 Magnesium Alloy. Sustainability 2022, 14, 2459. [Google Scholar] [CrossRef]
- Xiang, S.; Yuan, Y.; Zhang, C.; Chen, J. Effects of Process Parameters on the Corrosion Resistance and Biocompatibility of Ti6Al4V Parts Fabricated by Selective Laser Melting. ACS Omega 2022, 7, 5954–5961. [Google Scholar] [CrossRef] [PubMed]
- Jafar Mazumder, M.A. Global Impact of Corrosion: Occurrence, Cost and Mitigation. Glob. J. Eng. Sci. 2020, 5. [Google Scholar] [CrossRef]
- Bowman, E.; Jacobson, G.; Koch, G.; Varney, J.; Thopson, N.; Moghissi, O.; Gould, M.; Payer, J. International Measures of Prevention, Application, and Economics of Corrosion Technologies Study. NACE Int. 2016, A-19, 2–6. Available online: http://impact.nace.org/documents/Nace-International-Report.pdf (accessed on 12 October 2022).
- Paz Martínez-Viademonte, M.; Abrahami, S.T.; Hack, T.; Burchardt, M.; Terryn, H. A Review on Anodizing of Aerospace Aluminum Alloys for Corrosion Protection. Coatings 2020, 10, 1106. [Google Scholar] [CrossRef]
- Ofoegbu, S.U.; Fernandes, F.A.O.; Pereira, A.B. The Sealing Step in Aluminum Anodizing: A Focus on Sustainable Strategies for Enhancing Both Energy Efficiency and Corrosion Resistance. Coatings 2020, 10, 226. [Google Scholar] [CrossRef]
- Mehdizade, M.; Soltanieh, M.; Eivani, A.R. Investigation of Anodizing Time and Pulse Voltage Modes on the Corrosion Behavior of Nanostructured Anodic Layer in Commercial Pure Aluminum. Surf. Coat. Technol. 2019, 358, 741–752. [Google Scholar] [CrossRef]
- Elabar, D.; La Monica, G.R.; Santamaria, M.; Di Quarto, F.; Skeldon, P.; Thompson, G.E. Anodizing of Aluminium and AA 2024-T3 Alloy in Chromic Acid: Effects of Sulphate on Film Growth. Surf. Coat. Technol. 2017, 309, 480–489. [Google Scholar] [CrossRef]
- Wang, R.; Wang, L.; He, C.; Lu, M.; Sun, L. Studies on the Sealing Processes of Corrosion Resistant Coatings Formed on 2024 Aluminium Alloy with Tartaric-Sulfuric Anodizing. Surf. Coat. Technol. 2019, 360, 369–375. [Google Scholar] [CrossRef]
- Liu, J.; Fang, X.; Zhu, C.; Xing, X.; Cui, G.; Li, Z. Fabrication of Superhydrophobic Coatings for Corrosion Protection by Electrodeposition: A Comprehensive Review. Colloids Surf. A Physicochem. Eng. Asp. 2020, 607, 125498. [Google Scholar] [CrossRef]
- Yi, P.; Dong, C.; Ao, M.; Xiao, K. A Study on Protection Behavior of Inorganic Coating Prepared by Magnetron Sputtering Technology for Electrochemical Migration Corrosion Failure of SAC305 Alloy. Ceram. Int. 2020, 46, 25568–25575. [Google Scholar] [CrossRef]
- Rodič, P.; Lekka, M.; Andreatta, F.; Fedrizzi, L.; Milošev, I. The Effect of Copolymerisation on the Performance of Acrylate-Based Hybrid Sol-Gel Coating for Corrosion Protection of AA2024-T. Prog. Org. Coat. 2020, 147, 105701. [Google Scholar] [CrossRef]
- Ryu, S.; Kwon, Y.J.; Kim, Y.; Lee, J.U. Corrosion Protection Coating of Three-Dimensional Metal Structure by Electrophoretic Deposition of Graphene Oxide. Mater. Chem. Phys. 2020, 250, 123039. [Google Scholar] [CrossRef]
- Hoche, H.; Pusch, C.; Oechsner, M. Corrosion and Wear Protection of Mild Steel Substrates by Innovative PVD Coatings. Surf. Coat. Technol. 2020, 391, 125659. [Google Scholar] [CrossRef]
- Chauhan, D.S.; Quraishi, M.A.; Srivastava, V.; Haque, J.; Ebrahimi, B. El Virgin and Chemically Functionalized Amino Acids as Green Corrosion Inhibitors: Influence of Molecular Structure through Experimental and in Silico Studies. J. Mol. Struct. 2020, 1226, 129259. [Google Scholar] [CrossRef]
- Ma, L.; Qiang, Y.; Zhao, W. Designing Novel Organic Inhibitor Loaded MgAl-LDHs Nanocontainer for Enhanced Corrosion Resistance. Chem. Eng. J. 2021, 408, 127367. [Google Scholar] [CrossRef]
- Oh, Y.; Han, C.H.; Wang, M.; Chun, Y.-B.; Han, H.N. Effect of Rare Earth Oxide Addition on Microstructure and Mechanical Properties of Ni-Based Alloy. J. Alloy. Compd. 2021, 853, 156980. [Google Scholar] [CrossRef]
- Li, D.; Sun, L.; Hu, L.; Zhu, J.; Shi, J.; Guo, D. Rare Earth Insitu-Doped ZIF-67 Derived N Doped C Encapsulated Sm2O3/Co Nanoparticles as Excellent Oxygen Reduction Reaction Catalyst for Al-Air Batteries. J. Power Sources 2021, 482, 229052. [Google Scholar] [CrossRef]
- Azzeddine, H.; Hanna, A.; Dakhouche, A.; Rabahi, L.; Scharnagl, N.; Dopita, M.; Brisset, F.; Helbert, A.L.; Baudin, T. Impact of Rare-Earth Elements on the Corrosion Performance of Binary Magnesium Alloys. J. Alloy. Compd. 2020, 829, 154569. [Google Scholar] [CrossRef]
- Cui, Y.; Wang, Y.; Cui, Z.; Qi, W.; Wang, J.; Ju, P.; Zhao, Y.; Liu, B.; Zhang, T.; Wang, F. Influence of Rare Earth Element (Y) on Microstructure and Corrosion Behavior of Hot Extrusion AZ91 Magnesium Alloy. Materials 2020, 13, 3651. [Google Scholar] [CrossRef]
- Zhang, J.; Dai, Y. Study on Properties of New Mg-Y-Nd-(La+Ce)-Zr Degradable Magnesium Alloy. IOP Conf. Ser. Earth Environ. Sci. 2019, 358, 052059. [Google Scholar] [CrossRef]
- Yasakau, K.A.; Ferreira, M.G.S.; Zheludkevich, M.L.; Terryn, H.; Mol, J.M.C.; Gonzalez-Garcia, Y. Novel and Self-Healing Anticorrosion Coatings Using Rare Earth Compounds; Woodhead Publishing Limited: Sawston, UK, 2014; ISBN 9780857093585. [Google Scholar]
- Hinton, B.R.W.; Arnott, D.R.; Ryan, N.E. Inhibition of Aluminum Alloy Corrosion by Cerous Cations. Met. Forum 1984, 7, 211–217. [Google Scholar]
- Deyab, M.A.; El-Rehim, S.S.A.; Hassan, H.H.; Shaltot, A.M. Impact of Rare Earth Compounds on Corrosion of Aluminum Alloy (AA6061) in the Marine Water Environment. J. Alloy. Compd. 2020, 820, 153428. [Google Scholar] [CrossRef]
- Behrsing, T.; Deacon, G.B.; Junk, P.C. The Chemistry of Rare Earth Metals, Compounds, and Corrosion Inhibitors; Woodhead Publishing Limited: Sawston, UK, 2014; ISBN 9780857093585. [Google Scholar]
- Kong, F.; Ying, Y.; Lu, S. Heavy Metal Pollution Risk of Desulfurized Steel Slag as a Soil Amendment in Cycling Use of Solid Wastes. J. Environ. Sci. 2023, 127, 349–360. [Google Scholar] [CrossRef]
- Al-Swadi, H.A.; Usman, A.R.A.; Al-Farraj, A.S.; Al-Wabel, M.I.; Ahmad, M.; Al-Faraj, A. Sources, Toxicity Potential, and Human Health Risk Assessment of Heavy Metals-Laden Soil and Dust of Urban and Suburban Areas as Affected by Industrial and Mining Activities. Sci. Rep. 2022, 12, 8972. [Google Scholar] [CrossRef] [PubMed]
- Yuk, S.; Jung, J.; Song, K.-Y.; Wook Lee, D.; Lee, D.-H.; Choi, S.; Doo, G.; Hyun, J.; Kwen, J.; Young Kim, J.; et al. Addressing the Detrimental Effect of CeO2 Radical Scavenger on the Durability of Polymer Electrolyte Membrane Fuel Cells. Chem. Eng. J. 2023, 452, 139061. [Google Scholar] [CrossRef]
- Chen, J.; Wang, C.; Lv, X.; Huang, G.; Xu, W.; Li, X.; Jia, H. Pt/CeO2 Coated with Polyoxometallate Chainmail to Regulate Oxidation of Chlorobenzene without Hazardous by-Products. J. Hazard. Mater. 2023, 441, 129925. [Google Scholar] [CrossRef]
- Mendez, J.A.C.; Vong, Y.M.; Bueno, J.d.J.P. Cerium and Other Rare Earth Salts as Corrosion Inhibitors—A Review. Prot. Met. Phys. Chem. Surf. 2022, 58, 801–810. [Google Scholar] [CrossRef]
- Dong, J.; Feng, X.; Jia, J.; Shi, B.; Wu, Y.; Cao, B. Annealing Free CeO2 Electron Transport Layer for Efficient Perovskite Solar Cells. J. Solid State Chem. 2023, 317, 123661. [Google Scholar] [CrossRef]
- Pollard, K.D.; Jenkins, H.A.; Puddephatt, R.J. Chemical Vapor Deposition of Cerium Oxide Using the Precursors [Ce(Hfac) 3 (Glyme)]. Chem. Mater. 2000, 12, 701–710. [Google Scholar] [CrossRef]
- Anderson, K.W.; Kaufman, J.; Gilbert, J. ASM Handbook®, Volume 02B—Properties and Selection of Aluminum Alloys; Anderson, K.W., Kaufman, J., Gilbert, J., Eds.; ASM International: Almere, The Netherlands, 2019. [Google Scholar]
- Baboian, R. Corrosion Testing. In Nace Corrosion Engineer’s Reference Book; Nace International: Houston, TX, USA, 2016; p. 153. ISBN 978-1-57590-321-7. [Google Scholar]
- Chira, A.; Bucur, B.; Radu, G.-L. Electrodeposited Organic Layers Formed from Aryl Diazonium Salts for Inhibition of Copper Corrosion. Materials 2017, 10, 235. [Google Scholar] [CrossRef]
- Garcia, S.J.; Mol, J.M.C.; Muster, T.H.; Hughes, A.E.; Mardel, J.; Miller, T.; Markley, T.; Terryn, H.; Wit, J.H.W.d. Advances in the Selection and Use of Rare-Earth-Based Inhibitors for Self-Healing Organic Coatings. Self-Heal. Prop. New Surf. Treat. 2011, 58, 148–184. [Google Scholar]
- Cecílio, P.; Duarte, R.G.; Simões, A.M.; Montemor, M.F.; Ferreira, M.G.S. The Effect of Cerium Nitrate on the Corrosion Behaviour of Electrogalvanised Steel Substrates, Evaluated by XPS and SVET. In Innovative Pre-Treatment Techniques to Prevent Corrosion of Metallic Surfaces; Woodhead Publishing: Sawston, UK, 2007; pp. 110–118. [Google Scholar] [CrossRef]
- Xiao, Y.; Sun, W.C.; Ma, M.; Jia, Y.P.; Liu, J.P.; Zhang, T.Q. Microstructure, Wear and Corrosion Behavior of Nano-CeO2 Doped Diamond-like Carbon (DLC) Composite Films. Diam. Relat. Mater. 2022, 126, 109087. [Google Scholar] [CrossRef]
- Li, G.; Chai, S.; Zhang, G.; Liu, J.; Zhang, Y. Journal of Environmental Chemical Engineering Deactivation Characteristics of Ce-Modified Cu-Based Carbon Materials for Catalytic Wet Air Oxidation of Phenol Wastewater. J. Environ. Chem. Eng. 2022, 10, 108228. [Google Scholar] [CrossRef]
- Jain, S.; Shah, J.; Negi, N.S.; Sharma, C.; Kotnala, R.K. Significance of Interface Barrier at Electrode of Hematite Hydroelectric Cell for Generating Ecopower by Water Splitting. Int. J. Energy Res. 2019, 43, 4743–4755. [Google Scholar] [CrossRef]
- Joshi, N.; da Silva, L.F.; Shimizu, F.M.; Mastelaro, V.R.; M’Peko, J.C.; Lin, L.; Oliveira, O.N. UV-Assisted Chemiresistors Made with Gold-Modified ZnO Nanorods to Detect Ozone Gas at Room Temperature. Microchim. Acta 2019, 186, 418. [Google Scholar] [CrossRef]
- Major, G.H.; Avval, T.G.; Moeini, B.; Pinto, G.; Shah, D.; Jain, V.; Carver, V.; Skinner, W.; Gengenbach, T.R.; Easton, C.D.; et al. Assessment of the Frequency and Nature of Erroneous X-ray Photoelectron Spectroscopy Analyses in the Scientific Literature. J. Vac. Sci. Technol. A 2020, 38, 061204. [Google Scholar] [CrossRef]
- Trabelsi, W.; Cecilio, P.; Ferreira, M.G.S.; Montemor, M.F. Electrochemical Assessment of the Self-Healing Properties of Ce-Doped Silane Solutions for the Pre-Treatment of Galvanised Steel Substrates. Prog. Org. Coat. 2005, 54, 276–284. [Google Scholar] [CrossRef]
- Davoodi, A.; Pan, J.; Leygraf, C.; Norgren, S. Multianalytical and In Situ Studies of Localized Corrosion of EN AW-3003 Alloy—Influence of Intermetallic Particles. J. Electrochem. Soc. 2008, 155, C138. [Google Scholar] [CrossRef]
Publisher’s Note: MDPI stays neutral with regard to jurisdictional claims in published maps and institutional affiliations. |
© 2022 by the authors. Licensee MDPI, Basel, Switzerland. This article is an open access article distributed under the terms and conditions of the Creative Commons Attribution (CC BY) license (https://creativecommons.org/licenses/by/4.0/).







