Abstract
Resolving three environmental challenges simultaneously—recycling bone waste, aggregation, oxidation of bare nZVI and benzene, toluene, ethylbenzene, and p-xylene (BTEX) contamination—was conducted by fabricating a highly stable and efficient activator of peroxymonosulfate. In this work, a novel heterogeneous catalyst, ostrich bone ash-supported nanoscale zero-valent iron (Fe0-OBA) prepared by pyrolysis of animal bones and reduced Fe2+ on the surface of it, was used for the activation of peroxymonosulfate (PMS). Advantageous properties such as extensive availability, low production cost, and high thermal stability make OBA an appealing carbonaceous material for heterogeneous catalysis. The TEM and SEM results revealed that the black ball-shaped nZVI particles were uniformly dispersed on the surface of OBA. The Fe0-OBA composite had a porous structure with a specific surface area of 109 m2 g−1 according to BET analysis. With BTEX as the refractory pollutant, the PMS-based Fe0-OBA system shows great degradation performance as compared to the homogeneous Fe2+/PMS system. The effects of various parameters, such as initial pH (2–9), temperature (25–45 °C), initial BTEX concentration (50–200 mg L−1), PMS dosage (0.5–1.25 mM), time of reaction (0–60 min), and Fe0-OBA dosage (0.5–5 g L−1) on the BTEX degradation, have been discussed in detail. The pseudo-first-order kinetic model can describe the BTEX degradation by the PMS-based Fe0-OBA system. The excellent stability of Fe0-OBA even after 10 years, while maintaining the degradation efficiency, shows the high potential of it in a wide range of practical applications. This study illustrated that Fe0-OBA could be an effective activator of PMS for the degradation of stubborn organic contaminants in water and wastewater.
1. Introduction
Wastewater can be treated up to various qualities in convincing the rising water demands for different sectors such as domestic, industry, and agriculture. If wastewater treatment is to be sustainable in the long term, better waste management strategies may have to be developed. Using sustainable wastewater management can reduce its negative effects on the environment, especially aquatic ecosystems [1]. For decades, the treatments of hydrocarbons and volatile organic compounds (VOCs) have attracted much attention due to their adverse effects on the environment and human health. VOCs are classified as carcinogenic, toxic, and flammable contaminants [2], causing irreparable environmental issues such as ozone depletion, photochemical smog, and global warming [3]. Benzene, toluene, ethylbenzene, and xylene (BTEX) is a group of monoaromatic petroleum hydrocarbons widely used as solvents in industrial syntheses and provide the raw materials for many polymers, chemicals, drugs, cosmetics, and dyes [4]. Unfortunately, large volumes of BTEX enter the surface water, soil, and even groundwater through leaks from storage tanks, improper disposal of waste, and failure to treat wastewater discharged from plants [4,5]. Hence, it is required to develop an impressive technology to remove BETX from the environment.
In recent years, advanced oxidation processes (AOPs), in which highly reactive oxygen species (ROS) such as hydroxyl radical (), superoxide radical (), sulfate radical (), and singlet oxygen (1) are generated, have been presented as a promising technology for the degradation of stubborn organic compounds [6,7,8,9]. In general, ROSs are produced via the activation of oxidants by UV irradiation [10], carbonaceous materials [11], transition metals and metal oxides [12,13,14], temperature [15,16], etc. -based advanced oxidation processes are very proportionate alternative technologies to conventional AOPs, owing to their longer half-life and more significant standard redox potential than hydroxyl radicals (, 2.5–3.1 V; OH, 1.8–2.7 V), as well as the capability to react with refractory organic compounds over a wide range of pH [17]. is generated from persulfate (PS) or peroxymonosulfate (PMS) decomposition. In contrast to PS, PMS has an asymmetric structure, so formation is more straightforward and requires less energy. What is more, the solubility of PMS (539 g L−1 at 20 °C) is higher than persulfate (250 g L−1 at 20 °C) in water; thereby, it is preferred to use PMS for the oxidative degradation reactions [18]. Among the PMS activation methods, the use of transition metals and their oxides have been broadly studied.
Iron is the second most plentiful element in the Earth’s crust, so iron-based catalysts are low cost, non-toxic, and highly efficient [19]. Separating these catalysts is also trouble-free due to their magnetic properties [20]. Recently, the use of zero-valent iron for PMS activation has been reported. The PMS activation with Fe0, compared to its homogeneous state (Fe2+), considerably improves the catalytic performance due to the sustainable supply of Fe2+ [21,22]. One of the main problems of using iron-based catalysts is the strong tendency of metal nanoparticles to agglomerate and leach into the effluent. To overcome the problems, compositing Fe0 with other materials, such as clay [23], graphene [24], active carbon [25], bio-apatite-based material [26,27], and other carbonaceous materials [28], was found to be an effective method. Biochar is one of the carbonaceous materials which can be produced by pyrolysis of different feedstocks [29]. A noteworthy point in these materials is the presence of persistent free radicals (PFRs) formed during the pyrolysis process [29], which can directly affect PMS activation. Thus, these compounds have attracted much attention as Fe0 substrates [30,31]. Animal bones are made of hydroxyapatite (Ca10(PO4)6(OH)2). Due to the presence of oxygen-containing functional groups and metal ions [32], the obtained bone char and bone ash can be an extremely efficient substrate for Fe0, which in addition to stabilizing iron nanoparticles, can also contribute to activating PMS through non-radical mechanisms (singlet oxygen generation) [31]. Iran is the second-largest producer country of ostriches after South Africa. There are nearly 120,000 ostrich farms in Iran according to the Ministry of Agriculture. Every year, a large amount of waste is generated from ostrich slaughter [2]. Nearly 60–70% of the slaughtered carcass are by-products, in which 40% of them are edible and 20% are inedible. Ostrich bone ash (OBA) can be a convenient substrate for the preparation of Fe0-based catalysts in BTEX degradation due to its lack of secondary contamination, availability, low expense, and easy preparation.
So, the main goal of this work is to simultaneously resolve the three environmental challenges, namely, aggregation and oxidation of bare nZVI, recycling bone waste, and BTEX contamination. In this context, ostrich bone ash-supported nanoscale zero-valent iron (Fe0-OBA) catalyst was proposed as an environmentally friendly catalytic composite, and its properties for the heterogeneously activated PMS process were studied for the degradation of BTEX. The specific goals of this work are listed below: (1) investigate the key operation parameters containing pH, temperature, PMS concentration, Fe0-OBA dosage, as well as common interfering species, on BTEX degradation; (2) investigate the characterization of the proposed catalyst by using several physicochemical techniques; and (3) evaluate the performance of the PMS/Fe0-OBA system even after 10 years of storage under laboratory conditions for BTEX removal. It is hoped that the results of this study will be advantageous for promoting the potential applications of Fe0-composites in PMS-based AOPs for wastewater treatment.
2. Materials and Methods
2.1. Materials and Chemicals
High purity of benzene (>99%), toluene (>99%), ethylbenzene (>99%), and p-xylene (>99%) were sourced to synthesize the BTEX solution from Sigma-Aldrich Co. For synthesizing the Fe0-based catalysts, iron(II) chloride tetrahydrate (>98%), sodium borohydride (>98%), methanol (>99%), sodium hydroxide (>98%), and potassium monopersulfate triple salt (>47%) were used without further purification from the Sigma-Aldrich corporation (St. Louis, MO, USA).
2.2. Preparation of Fe0-Composite
The Fe0-OBA nanocomposite was synthesized in two steps. At first, the purchased ostrich bones were boiled in a hot water bath for 2 h and then dried for 24 h at 70 °C. The clean and dry bones were placed in an oven at 550 °C for 24 h and completely changed to ashes. The resulting ash was pulverized to obtain particles with a 45–80-range mesh. In the next step, 10 g of FeCl3·6H2O was dissolved in 100 mL of 30% v/v ethanol solution (in water). Then 4 g of the OBA was added to the previous mixture, which was stirred vigorously on an ultrasonic shaker. This process continued for 30 min. In the following, 1.8 g of NaBH4 was dissolved in 100 mL of deionized water and dropwise added to the obtained mixture from the previous step, while the mixture was stirred using a magnetic stirrer under a nitrogen atmosphere. After adding the entire NaBH4 solution, the resulting slurry was mechanically stirred for 30 min. The synthesized product was filtered using the Buchner funnel and dried at room temperature for 48 h. More details are provided in our previous work [33].
2.3. Physicochemical Characterizations of Catalyst
Different techniques consisting of SEM–EDX (TESCAN-Vega 3, Brno, Czech Republic), TEM (Zeiss-EM10C, Oberkochen, Germany), XRD (Bruker D8 Advance, Bremen, Germany), N2 adsorption at 77 K (Belsorp mini II instrument, Osaka, Japan), and zeta potential meter (Zetasizer Nano ZS90, Malvern, UK) were employed to characterize of Fe0-composites.
2.4. Catalytic Degradation Experiments
The whole of the catalytic degradation experiments were performed in 100 mL gas-tight glass vials for minimizing air headspace inside each vial to prevent vaporization of BTEX solution under an optimized condition in the batch mode. During the experiments, the temperature was controlled with recirculation water. In a typical experiment, 50 mL of a solution containing contaminant species (BTEX) with an initial concentration in the range of 50–200 mg L−1 was freshly prepared in a solution mixture of deionized water/ethanol (80:20), and a certain amount of synthesized Fe0-OBA (0.1 g) was added to it. The desired amount of PMS as an oxidizing agent was added to the above solution up to the final concentration of PMS to reach 1 mM. The initial pH of the solutions was adjusted using 0.1 M solutions of HNO3 and NaOH to eliminate the effect of PMS on the solution pH. To investigate the contribution of adsorption on removal efficiency value, degradation experiments were also performed in the absence of the oxidizing agent. At the end of each experiment, Fe0-OBA was separated from the solution using an external magnetic field. Then, 1 mL of pure methanol, as a quenching agent to prevent the progression of the reaction, was rapidly added to the remaining solution. Residual contaminant concentrations in solutions were obtained using UV–vis spectroscopy (UV-2100 Double Beam, Beijing, China) at the maximum wavelength for each species (benzene, 252 nm; toluene, 260 nm, ethylbenzene, 262 nm; p-xylene and 267 nm). Each test was conducted in triplicate, and the average of the results was recorded. A standard calibration curve was determined by measuring the absorbance at different BTEX concentrations. The calibration curves for each BTEX compound were calculated as follows:
P-xylene concentration = 168 × absorbance (R2 = 0.998)
Ethylbenzene concentration = 156 × absorbance (R2 = 0.995)
Toluene concentration = 136 × absorbance (R2 = 0.996)
Benzene concentration = 124 × absorbance (R2 = 0.997)
The relative standard deviation of the four above equations was lower than 3.94%. The wavelength accuracy and reproducibility of the device were ±0.3 nm and 0.15 nm, respectively, and also, the wavelength resolution was 0.1 nm.
To appraise the reusability of the synthesized Fe0-OBA, the BTEX removal process was performed for multiple consecutive cycles under optimum conditions. At the end of each run, the catalyst was separated from the solution and washed with distilled water several times until neutralizing its pH. Finally, the recovered catalyst was dried in an oven at 70 °C overnight, and the removal process was repeated. The removal efficiency was calculated after each run to determine the stability of the catalyst. All measurements were conducted in triplicate to confirm the accuracy of the results. The relative standard deviation was less than 2%.
3. Results and Discussion
3.1. Characterization of Catalysts
The numerous small nanoparticles were homogeneously dispersed into the pores of OBA (Figure 1a), which can protect them from aggregation and oxidation in the aqueous solutions. Therefore, the size of these particles was decreased and consequently; the specific surface area was increased. Apart from the iron peak, the EDX image of Fe0-OBA was similar to that of OBA [34], which confirms that calcium and phosphorus are basic OBA frameworks (Figure 1b). The amount of Fe0, which was immobilized on the surface of OBA, was 20% according to EDX analysis. The presence of Fe0 in the Fe0-OBA catalyst corresponded to the sharp peak at 2θ = 45°. Several peaks at 26, 32, and 35° were assigned to calcium hydroxyapatite (Ca10(PO4)6(OH)2) (Figure 1c) [34]. The ball-shaped nZVI particles with sizes in a range of 40–60 nm were anchored on the surface of OBA (Figure 1d). The average pore diameter of the catalyst was 11 nm, which was in the range of 2 to 50 nm; thereby, the pore structure was mesoporous. The BET surface area and the pore volume of the catalyst were also 109 m2 g−1 and 0.31 cm3 g−1, respectively. The zeta potential of the catalyst was 5.8; thereby, the net charge of the catalyst is positive when pH < 5.8, and the net charge of the catalyst is negative when pH > 5.8.
Figure 1.
The characterization of Fe0-OBA catalyst: SEM (a), EDX (b), XRD (c), and TM (d).
The Fe leaching values of the Fe0-OBA composite into the solution under different pH conditions were also studied to evaluate the performance of catalyst stability after the treatment process. At initial solution pH > 3, the leaching of Fe is negligible, which shows its application for the remediation of contaminated groundwater with a pH value of 5–9. However, the highest amount of Fe leaching (68 mg L−1) was achieved at the lowest initial pH solution (pH = 1), which can considerably impact its application in heavily acidic conditions.
3.2. Effect of Key Parameters on PMS-Based Fe0-OBA System Catalytic Performance
3.2.1. Removal of BTEX by PMS-Based Fe0-OBA System at Different Initial pH
The initial pH of solutions is one of the critical factors in the oxidation of organic pollutants by PMS because it dramatically affects the surface properties of catalysts, the speciation of oxidants, and the form of pollutants in the solution [19]. Hence, the effect of the initial pH of the solution on the BTEX degradation was evaluated at pH 2–9. The results are shown in Figure 2. As can be seen, the removal efficiency of the BTEX is sharply increased by increasing the pH from 3 to 7, and the highest efficiency is obtained at neutral pH. The removal efficiency decreases with a sharp downward slope in the higher initial pH. Based on the obtained results, weakly acidic and neutral conditions are more favorable for the catalytic degradation of BTEX. As depicted in Equations (5)–(10) [7,31], under acidic and neutral conditions Fe0 is corroded by H+ and O2, producing Fe2+ and H2O2. Fe2+ produced reacts with PMS or H2O2, which leads to the production of radically oxidizing species SO4− or OH. The release of Fe2+ and the formation of oxidizing species at pH values between 2 and 7 have efficiently degraded the BTEX [35]. The remarkable fact is the hydration of Fe2+ ions in strongly acidic pH, which leads to the inactivity of Fe2+ and ultimately reduces the removal efficiency in too acidic conditions. By increasing the pH from neutral to pH 9, followed by increasing the concentration of hydroxyl ions in the solution, a layer of Fe(OH)3 complex forms on the Fe0-OBA surface, which reduces the catalytic performance [35]. In addition, the available hydroxyl groups in the alkaline medium can react with the (according to Equation (5)) and trap it, which in turn reduces the BTEX removal efficiency in the alkaline solution.
Figure 2.
Effect of pH on BTEX degradation under experimental conditions: [BTEX]0 = 100 mg L−1, T = 25 ± 2 °C, t = 60 min, PMS = 1 mM, catalyst dosage = 1 g L−1, stirring rate = 100 rpm.
3.2.2. The Kinetic Study of BTEX Degradation by Fe0-OBA in the PMS-Based System
The kinetics of BTEX degradation by Fe0-OBA in the PMS-based system is shown in Figure 3, which has two stages: the first stage (0–15 min) is likely controlled by the rate of PMS activation with the available Fe0 on the catalyst surface, and the concentration of sulfate and hydroxyl radicals. The second stage (15–60 min) has a slow degradation process with an approximate slope of nearly zero, due to the accumulation of BTEX intermediates and consummation of PMS. From Figure 3, in the first 15 min, the reaction approximately reached maximum under the conditions of neutral pH, ambient temperature, 1 g L−1 of Fe0-OBA, and 1 mM of PMS concentration, indicating the high ability of BTEX oxidation by the PMS-based Fe0-OBA system in a mild condition. The degradation of BTEX in the PMS-based Fe0-OBA system was analyzed according to the pseudo-first-order and pseudo-second-order kinetic models.
where C0 is the initial BTEX concentration, Ce and Ct are the concentration of BTEX at equilibrium and at any time t, respectively, k1 is the first-order kinetic rate constant, and k2 is the second-order kinetic rate constant. The obtained results from kinetics models indicate that the degradation of BTEX was kinetically fitted to the pseudo-first-order kinetic model and the values of k1 were 0.061, 0.085, 0.099, and 0.15 for benzene, toluene, ethylbenzene, and p-xylene, respectively. In this context, the values of k1 were 0.045, 0.063, 0.085, and 0.092 for benzene, toluene, ethylbenzene, and p-xylene, respectively. The values of the correlation coefficients (R2) for the pseudo-first-order kinetic model (>0.92) were higher than that for pseudo-second-order kinetic models (>0.85). Therefore, it seems that the pseudo-first-order kinetics model is more applicable for explaining the degradation of BTEX in the PMS-based Fe0-OBA system.
Figure 3.
Effect of reaction time on BTEX degradation under experimental conditions: [BTEX]0 = 100 mg L−1, T = 25 ± 2 °C, pH = 7, PMS = 1 mM, catalyst dosage = 1 g L−1, stirring rate = 100 rpm.
3.2.3. Removal of BTEX by PMS-Based Fe0-OBA System at Several Initial Concentrations of BTEX
The BTEX degradation in the PMS-based Fe0-OBA system was studied by the initial BTEX concentration ranging from 50 to 200 mg L−1 at pH 7 and constant catalyst dosage (1 g L−1). As seen in Figure 4, increasing the initial concentration of BTEX leads to decreases in BTEX removal efficiency. For instance, in the degradation of p-xylene, 50 mg L−1 solution concentration was utterly degraded within 60 min, while at the same time, degradation efficiency was only 93, 78, and 62% at the initial concentration of 100, 150, and 200 mg L−1, respectively. The probable reason is that when the initial concentration increases, more BTEX molecules can be adsorbed on the catalyst’s surface. A large amount of adsorbed molecules on the surface of the catalyst might have an inhibitive effect on the further catalytic degradation reaction because of the fewer free sites on the catalyst surface [6].
Figure 4.
Effect of initial BTEX concentration on BTEX degradation under experimental conditions: t = 60 min, T = 25 ± 2 °C, pH = 7, PMS = 1 mM, catalyst dosage = 1 g L−1, stirring rate = 100 rpm.
The order of the BTEX compounds degradation in the PMS-based Fe0-OBA system was as follows: benzene < toluene < ethylbenzene < p-xylene. This favorable degradation of p-xylene as compared to other compounds can be due to the higher molecular weight, higher boiling point, higher hydrophobicity, and lower water solubility [2,35]. The molecular weights of p-xylene, ethylbenzene, toluene, and benzene were 106 g mol−1, 106 g mol−1, 92 g mol−1, and 78 g mol−1, respectively. In addition, the same trend of increase in boiling point [2] (benzene, 353.1 K < toluene, 383.7 K < ethylbenzene, 409.2 K < p-xylene, 417), and hydrophobicity [36] (benzene, 2.13 < toluene, 2.73 < ethylbenzene = p-xylene = 3.15) was observed. Moreover, the water solubility of ethylbenzene, toluene, and benzene is 152 mg L−1, 530 mg L−1, and 1790 mg L−1, respectively, whereas the p-xylene is insoluble [2,36].
3.2.4. Removal of BTEX by PMS-Based Fe0-OBA System at Various PMS Concentration
To study the effect of PMS dosage on the BTEX degradation efficiency, a batch experiment with various PMS dosages (0.5–1.25 mM) was designed. Figure 5 illustrates the effect of PMS concentration on BTEX degradation. The removal efficiency of BTEX increased with increasing the PMS concentration up to 1 mM. The increase in PMS can supply more oxidizing agents, which increases BTEX removal efficiency. However, when PMS dosage increased to 1.25 mM, no significant improvement was observed, which could be due to the quenching of sulfate radicals caused by the excess PMS, according to the following Equation [31]:
Figure 5.
Effect of PMS concentration on BTEX degradation under experimental conditions: [BTEX]0 = 150 mg L−1, t = 60 min, T = 25 ± 2 °C, pH = 7, catalyst dosage = 1 g L−1, stirring rate = 100 rpm.
To further investigate the effect of PMS on the catalytic degradation reaction, oxidation of 100 mg L−1 solution of BTEX was performed in the presence and absence of PMS. It was observed that 0.1 g of Fe0-OBA could remove about 39%, 33%, 27.8%, and 25.9% of the p-xylene, ethylbenzene, toluene, and benzene, respectively, in 60 min, pH = 7, and ambient temperature, which in the presence of 1 mM of PMS reaches 93%, 82.4%, 78%, and 70% for p-xylene, ethylbenzene, toluene, and benzene, respectively, that indicates the positive and direct effect of the active radical species generated from PMS in BTEX degradation. As mentioned earlier, degradation in the absence of oxidants can also occur through non-radical pathways such as singlet oxygen formation.
3.2.5. Effect of Fe0-OBA Dosage on BTEX Degradation
The effects of various dosages of Fe0-OBA (0.5, 1, 1.5, 2, 5 g L−1) on the degradation of 200 mg L−1 BTEX solution were investigated. Figure 6 exhibits that the degradation efficiency of BTEX after 60 min treatment increased rapidly from 45% to 74%, 36% to 63%, 29% to 56%, and 17% to 46% for p-xylene, ethylbenzene, toluene, and benzene, respectively, with the increasing dosage of Fe0-OBA from 0.5 g L−1 to 2 g L−1, while it only rose to 77%, 66%, 58%, and 48%, respectively, when the dosage of Fe0-OBA was 5 g L−1. The effect of Fe0-OBA dosage on BTEX degradation was mainly due to the active sites on the Fe0-OBA surface [26,27]. Increasing the number of active sites at higher concentrations of the Fe0-OBA facilitates PMS activation. It leads to more and faster ROS generation, which effectively increases the BTEX degradation efficiency [6]. When the Fe0-OBA concentration increased from 2 to 5 mg L−1, the final degradation efficiency of p-xylene, ethylbenzene, toluene, and benzene increased by only 3%, 3%, 2%, and 2, respectively, indicating that 2 g L−1 concentration of Fe0-OBA is sufficient to activate the 1 mM solution of PMS fully. An inconsiderable increase in degradation efficiency at higher concentrations of Fe0-OBA could be due to the negligible adsorption of BTEX on the Fe0-OBA surface.
Figure 6.
Effect of Fe0-OBA concentration on BTEX degradation under experimental conditions: [BTEX]0 = 200 mg L−1, t = 60 min, T = 25 ± 2 °C, pH = 7, catalyst dosage = 1 g L−1, stirring rate = 100 rpm.
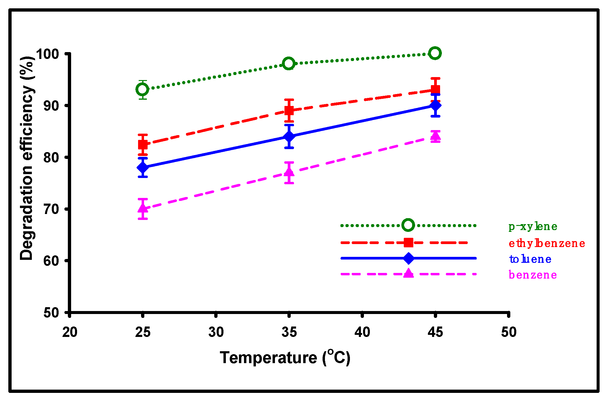
3.2.6. Effect of Reaction Temperature on BTEX Degradation
The temperature has a remarkable effect on the rate of PMS activation [18]. Figure 7 shows the effect of temperature on the BTEX degradation by the Fe0-OBA system in a 1 mM solution of PMS. It is easy to see that the degradation efficiency increases with increasing temperature from 25 to 45 °C, to the point that the degradation of BTEX was approximately completed at 45 °C. Increasing the temperature, in addition to accelerating the generation of and radicals via PMS activation can also increase the solubility of contaminants in the aqueous medium, which ultimately leads to accelerated catalytic degradation of BTEX at higher temperatures. With all the descriptions done, it is better to perform the degradation reaction at lower temperatures because the increase in temperature can entail unfavorable reactions, such as the recombination of sulfate or hydroxyl radicals.
Figure 7.
Effect of temperature on BTEX degradation under experimental conditions: [BTEX]0 = 100 mg L−1, t = 60 min, T = 25 ± 2 °C, pH = 7, catalyst dosage = 1 g L−1, stirring rate = 100 rpm.
3.3. Effect of Interfering Ions on BTEX Removal
In wastewater treatment, a variety of inorganic materials can exist in high concentrations. Some wastewater ions are able to react with ROS quickly or change the acidic/basic conditions of the solution, thereby interfering with the catalytic degradation process [6,18]. Here, some usual interfering ion, such as , , , anions and , , , cations, are considered in BTEX catalytic degradation. As can be seen in Figure 8, and ions showed less inhibitory effect on the removal of the BTEX, while and ions reduced the removal efficiency by up to 20% in the first 20 min of the reaction. The decrease in the degradation efficiency in the presence of these ions can be due to their reaction with strongly oxidizing radicals of and , and the formation of radical species with lower or even inactive oxidation capacity such as , , and..
Figure 8.
Effects of interfering anions on BTEX (p-xylene (a), ethylbenzene (b), toluene (c), and benzene (d)) degradation under experimental conditions: [BTEX]0 = 100 mg L−1, t = 60 min, T = 25 ± 2 °C, pH = 7, catalyst dosage = 1 g L−1, stirring rate = 100 rpm, anions = 5 mM.
In the presence of carbonate ions, in addition to trapping the active radicals in the side reactions, the initial pH of the solution rises, and the generation of and is performed in an alkaline environment, which leads to reduced removal efficiency. As previously observed, the slope of the degradation diagram is more severe under acidic conditions, and the removal efficiency occurs more rapidly. The catalytic degradation of BTEX in the presence of interfering cations was also investigated (Figure 9). It was observed that the cationic species also reduce the degradation efficiency. The depletion of the degradation efficiency in the first 10 min of the reaction happens less quickly for all investigated ions, which could be due to the following reasons: (I) each of these ions can activate PMS partially; thus, the concentration of and radicals increase early in the reaction. (II) as time goes on, more active radicals are trapped and become inaccessible. Since the concentration of the interfering species is constant, after reaching equilibrium, the decrease in degradation efficiency remains constant until the end of the reaction. It is noteworthy that the inhibitory effect increases with increasing ion size and charge. The impact of the cationic species on the reduction of BTEX degradation was ranked in the order of Mg2+ > Ca2+ > Na+ > K+.
Figure 9.
Effects of interfering cations on BTEX (p-xylene (a), ethylbenzene (b), toluene (c), and benzene (d)) degradation under experimental conditions: [BTEX]0 = 100 mg L−1, t = 60 min, T = 25 ± 2 °C, pH = 7, catalyst dosage = 1 g L−1, stirring rate = 100 rpm, anions = 5 mM.
A complex mechanism for the activation of PMS is suggested as [19]: (i) the corrosion process of nZVI can release Fe(II) along with the generation of H2O2 (Equation (5)); (ii) the Fe(II) was oxidized to Fe(III) and subsequently decomposed PMS or H2O2 into and (Equations (8) and (9)). Finally, the produced and contributed to BTEX degradation.
3.4. Effect of Catalyst Aging on BTEX Removal
To evaluate the influence of aging on the reactivity and the performance degradation of immobilized nZVI, the experiments were conducted using freshly produced nZVI in addition to samples aged for a period of 10 years. The performance of fresh and aged Fe0-OBA (1 g L−1) on the degradation of 100 mg L−1 BTEX solution was also investigated (Figure 10). As can be seen in Figure 10, the catalyst maintained its ability to degrade BTEX even after 10 years. As a result, OBA was satisfactorily employed for supporting nZVI to prevent aggregation, oxidation, and low durability of these particles in BTEX degradation.
Figure 10.
Degradation efficiency of BTEX using the fresh and aged Fe0-OBA under experimental conditions: [BTEX]0 = 100 mg L−1, t = 60 min, T = 25 ± 2 °C, pH = 7, catalyst dosage = 1 g L−1, stirring rate = 100 rpm.
3.5. Performance of BTEX Removal in Different PMS/Fe0-OBA Systems
A comparison of BTEX removal in different PMS/Fe0-OBA systems was investigated at 100 mg L−1 benzene concentration, the temperature of 25 ± 2 °C, pH of 7, PMS of 1 mM, and catalyst/adsorbent dosage of 1 g L−1 (Figure 11). Experiments were performed to study benzene removal performance, as the minimum removal of BTEX compounds, by OBA, PMS, nZVI, OBA-nZVI, and PMS/Fe0-OBA systems. Only 12.5 % and 18.65 of initial benzene concentrations were removed by OBA and PMS, respectively, after 60 min. The removal percentage of benzene was increased up to 25.99% and 37.12%; when OBA-nZVI and nZVI were used, respectively. Moreover, 70% of the initial benzene concentration was removed by using PMS/Fe0-OBA within 60 min of agitation and mixing, which confirms the combination of PMS and Fe0-OBA has a key role in benzene removal. To further assess the above results, the mineralization of BTEX was assessed by the total organic carbon (TOC) index. Under the above condition, the removal percentage of TOC was achieved at 66.9% after 60 min, indicating the BTEX can be partly mineralized into CO2 and H2O in the PMS/Fe0-OBA system.
Figure 11.
BTEX removal in different PMS/Fe0-OBA systems under experimental conditions: [BTEX]0 =100 mg L−1, T = 25 ± 2 °C, pH = 7, PMS = 1 mM, catalyst dosage = 1 g L−1, stirring rate = 100 rpm.
To evaluate the effect of stripping on the removal of BTEX, different percentages of the vial volume were filled and consequently, the removal of BTEX was monitored. A comparison of p-xylene removal in different volumes of solution in the vials (50, 60, 70, and 80%) was investigated at 100 mg L−1 initial concentration, the temperature of 25 ± 2 °C, pH of 7, PMS of 1 mM, and catalyst dosage of 1 g L−1. The results showed that 93%, 91%, 88%, and 86% of the p-xylene were removed when 50, 60, 70, and 80% of the vial volume were filled. So, the effect of stripping can be reduced by increasing the volume of solution in the vials.
3.6. Stability Test of PMS/Fe0-OBA System
The reusability and stability of the PMS/Fe0-OBA system were assessed after the fifth cycle towards the degradation of BTEX compounds. It was shown that the degradation rate decreased gradually in each cycle and the proposed catalyst maintained its usability even after five cycles (Figure 12). Five successive cycles of BTEX degradation were achieved and an average BTEX compounds removal of 70% was obtained at 100 mg L−1 initial concentration, the temperature of 25 ± 2 °C, pH of 7, PMS of 1 mM, and catalyst dosage of 1 g L−1 (Figure 12).
Figure 12.
Reusability study of PMS/Fe0-OBA system towards BTEX degradation under experimental conditions: [BTEX]0 = 100 mg L−1, T = 25 ± 2 °C, pH = 7, PMS = 1 mM, catalyst dosage = 1 g L−1, t = 60 min, stirring rate = 100 rpm.
3.7. Removal of BTEX from the Real Water
A versatile catalyst must be able to remove BTEX from real water in the presence of other organic compounds. In fact, the other organic compounds in real water samples may affect the BTEX removal by the PMS/Fe0-OBA system. In this context, the performance of the proposed catalyst was evaluated to remove BTEX compounds from the petrochemical wastewater according to experimental batch mode. The COD, TOC, BOD5, and pH of the real wastewater were 350 mg L−1, 135 mg L−1, 220 mg L−1, and 5.1, respectively. Before using the treatment process, the samples were filtered by a 0.45 μm filter membrane, and the concentrations of BTEX compounds were measured. Then, a certain value of BTEX compounds was spiked by the real water until the final concentration was achieved up to 50 mg L−1. The results showed that the PMS/Fe0-OBA system degraded more than 92%, 86%, 80%, and 71% of the p-xylene, ethylbenzene, toluene, and benzene, respectively, from petrochemical wastewater after 60 min. Thus, the presence of co-existing organic compounds in petrochemical wastewater has a low effect on the BTEX degradation efficiency.
3.8. Comparison with Other Catalysts
The performance of some catalysts/PMS systems was compared and the results were presented in Table 1. However, such approaches are rather scarce in the literature. A comparison of the proposed catalyst with those of the literature indicated that the Fe0-OBA catalyst behaves in a comparable way, or even better, in most cases.
Table 1.
Comparison of various Fe0 catalysts as PMS activator for target pollutant degradation.
4. Conclusions
The present study demonstrates the first endeavor in using Fe0-OBA for the activation of PMS. For this purpose, the Fe0-OBA was prepared, characterized, and used. The Fe0-OBA nanocomposite exhibited high heterogeneous catalytic activity for PMS activation, resulting in efficient BTEX degradation. At the optimal conditions (pH = 7; temperature = 45 °C; reaction time = 60 min; PMS dosage = 1 mM; and catalyst dosage = 1 g L−1), the PMS-based Fe0-OBA system degraded 100%, 93%, 90%, and 84% of p-xylene, ethylbenzene, toluene, and benzene, respectively, respectively. Hydroxyl radicals, sulfate radicals, and singlet oxygen contributed to BTEX degradation. The effect of interfering ions K+, Na+, Ca2+, Mg2+, NO3−, Cl−, CO32−, and SO42− on the removal efficiency of the substance was investigated by the PMS-based Fe0-OBA system, and it was observed that the removal efficiency in the presence of these ions has not changed much, and the system has a good ability to remove BTEX even in real effluents. The proposed system could be reused for at least five consecutive cycles with a small deterioration in its performance. The PMS/Fe0-OBA system was able to degrade more than 92%, 86%, 80%, and 71% of the p-xylene, ethylbenzene, toluene, and benzene, respectively, from petrochemical wastewater within the 60 min reaction time.
Author Contributions
Conceptualization, M.J.A., and M.A. (Mohammad Arshadi); methodology, M.J.A., and M.A. (Mohaddeseh Afshari); formal analysis, M.J.A., and M.A. (Mohammad Arshadi); writing—original draft preparation, M.J.A., M.A. (Mohaddeseh Afshari), and M.D.; writing—review and editing, M.J.A., M.A. (Mohaddeseh Afshari), and M.D.; supervision, M.A. (Mohammad Arshadi). All authors have read and agreed to the published version of the manuscript.
Funding
This research received no external funding.
Institutional Review Board Statement
Not applicable.
Informed Consent Statement
Not applicable.
Data Availability Statement
Data are available from the corresponding author on reasonable request.
Conflicts of Interest
The authors declare no conflict of interest.
References
- Amiri, M.J.; Eslamian, S.; Arshadi, M.; Khozaei, M. Water recycling and community. In Urban Water Reuse Handbook; Eslamian, S., Ed.; CRC Press: Boca Raton, FL, USA, 2015; pp. 261–273. [Google Scholar]
- Arshadi, M.; Shakeri, H.; Salvacion, J. A green adsorbent for the removal of BTEX from aqueous media. RSC Adv. 2016, 6, 14290–14305. [Google Scholar] [CrossRef]
- Zhang, S.; You, J.; Kennes, C.; Cheng, Z.; Ye, J.; Chen, D.; Chen, J.; Wang, L. Current advances of VOCs degradation by bioelectrochemical systems: A review. Current advances of VOCs degradation by bioelectrochemical systems: A review. Chem. Eng. J. 2018, 334, 2625–2637. [Google Scholar] [CrossRef]
- Fedorov, K.; Plata-Gryl, M.; Khan, J.A.; Boczkaj, G. Ultrasound-assisted heterogeneous activation of persulfate and peroxymonosulfate by asphaltenes for the degradation of btex in water. J. Hazard. Mater. 2020, 397, 122804. [Google Scholar] [CrossRef] [PubMed]
- Boczkaj, G.; Fernandes, A. Wastewater treatment by means of advanced oxidation processes at basic pH conditions: A review. Chem. Eng. J. 2017, 320, 608–633. [Google Scholar] [CrossRef]
- Amiri, M.J.; Faraji, A.; Azizi, M.; Goudarzi Nejad, B.; Arshadi, M. Recycling bone waste and cobalt-wastewater into a highly stable and efficient activator of peroxymonosulfate for dye and HEPES degradation. Process Saf. Environ. Prot. 2021, 147, 626–641. [Google Scholar] [CrossRef]
- Yang, S.; Wu, P.; Liu, J.; Chen, M.; Ahmed, Z.; Zhu, N. Efficient removal of bisphenol A by superoxide radical and singlet oxygen generated from peroxymonosulfate activated with Fe0-montmorillonite. Chem. Eng. J. 2018, 350, 484–495. [Google Scholar] [CrossRef]
- Indrawirawan, S.; Sun, H.; Duan, X.; Wang, S. Nanocarbons in different structural dimensions (0–3D) for phenol adsorption and metal-free catalytic oxidation. Appl. Catal. B 2015, 179, 352–362. [Google Scholar] [CrossRef]
- Feng, Y.; Lee, P.-H.; Wu, D.; Shih, K. Surface-bound sulfate radical-dominated degradation of 1,4-dioxane by alumina-supported palladium (Pd/Al2O3) catalyzed peroxymonosulfate. Water Res. 2017, 120, 12–21. [Google Scholar] [CrossRef]
- Aho, X.; Liu, W. Degradation of sulfamethoxazole by medium pressure UV and oxidants: Peroxymonosulfate, persulfate, and hydrogen peroxide. Chem. Eng. J. 2017, 313, 629–637. [Google Scholar]
- Duan, X.; Sun, H.; Kang, J.; Wang, Y.; Indrawirawan, S.; Wang, S. Insights into heterogeneous catalysis of persulfate activation on dimensional-structured nanocarbons. ACS Catal. 2015, 5, 4629–4636. [Google Scholar] [CrossRef]
- Mirzaee, R.; Soltani, R.D.S.; Khataee, A.; Boczkaj, G. Combination of air-dispersion cathode with sacrificial iron anode generating Fe2+Fe3+2O4 nanostructures to degrade paracetamol under ultrasonic irradiation. J. Mol. Liq. 2019, 284, 536–546. [Google Scholar] [CrossRef]
- Yang, Q.; Choi, H.; Chen, Y.; Dionysiou, D.D. Heterogeneous activation of peroxymonosulfate by supported cobalt catalysts for the degradation of 2, 4-dichlorophenol in water: The effect of support, cobalt precursor, and UV radiation. Appl. Catal. B. 2008, 77, 300–307. [Google Scholar] [CrossRef]
- Anipsitakis, G.P.; Dionysiou, D.D. Radical generation by the interaction of transition metals with common oxidants. Environ. Sci. Technol. 2004, 38, 3705–3712. [Google Scholar] [CrossRef] [PubMed]
- Liu, Y.; Wang, Y.; Wang, Q.; Pan, J.; Zhang, J. Simultaneous removal of NO and SO2 using vacuum ultraviolet light (VUV)/heat/peroxymonosulfate (PMS). Chemosphere 2018, 190, 431–441. [Google Scholar] [CrossRef] [PubMed]
- Wang, Y.; Cao, D.; Zhao, X. Heterogeneous degradation of refractory pollutants by peroxymonosulfate activated by CoOx-doped ordered mesoporous carbon. Chem. Eng. J. 2017, 328, 1112–1121. [Google Scholar] [CrossRef]
- Sheng, B.; Yang, F.; Wang, Y.; Wang, Z.; Li, Q.; Guo, Y.; Lou, X.; Liu, J. Pivotal roles of MoS2 in boosting catalytic degradation of aqueous organic pollutants by Fe(II)/PMS. Chem. Eng. J. 2019, 375, 121989. [Google Scholar] [CrossRef]
- Wang, S.; Wang, J. Activation of peroxymonosulfate by sludge-derived biochar for the degradation of triclosan in water and wastewater. Chem. Eng. J. 2019, 356, 350–358. [Google Scholar] [CrossRef]
- Li, X.; Liu, X.; Lin, C.; Zhou, Z.; He, M.; Ouyang, W. Catalytic oxidation of contaminants by Fe0 activated peroxymonosulfate process: Fe (IV) involvement, degradation intermediates and toxicity evaluation. Chem. Eng. J. 2020, 382, 123013. [Google Scholar] [CrossRef]
- Eslamian, S.; Amiri, M.J.; Abedi-Koupai, J.; Karimi, S.S. Reclamation of unconventional water using nano zero-valent iron particles: An application for groundwater. Int. J. Water 2013, 7, 1–13. [Google Scholar] [CrossRef]
- He, Y.; Zhang, J.; Zhou, H.; Yao, G.; Lai, B. Synergistic multiple active species for the degradation of sulfamethoxazole by peroxymonosulfate in the presence of CuO@ FeOx@ Fe0. Chem. Eng. J. 2020, 380, 122568. [Google Scholar] [CrossRef]
- Tan, C.; Dong, Y.; Fu, D.; Gao, N.; Ma, J.; Liu, X. Chloramphenicol removal by zero valent iron activated peroxymonosulfate system: Kinetics and mechanism of radical generation. Chem. Eng. J. 2018, 334, 1006–1015. [Google Scholar] [CrossRef]
- Xi, Y.; Sun, Z.; Hreid, T.; Ayoko, G.A.; Frost, R.L. Bisphenol A degradation enhanced by air bubbles via advanced oxidation using in situ generated ferrous ions from nano zero-valent iron/palygorskite composite materials. Chem. Eng. J. 2014, 247, 66–74. [Google Scholar] [CrossRef]
- Kumar, S.; Singh, A.K.; Dasmahapatra, A.K.; Mandal, T.K.; Bandyopadhyay, D. Graphene based multifunctional superbots. Carbon 2015, 31–40. [Google Scholar] [CrossRef]
- Mackenzie, K.; Bleyl, S.; Georgi, A.; Kopinke, F.D. Carbo-Iron–An Fe/AC composite–As alternative to nano-iron for groundwater treatment. Water Res. 2012, 46, 3817–3826. [Google Scholar] [CrossRef] [PubMed]
- Amiri, M.J.; Abedi-koupai, J.; Eslamian, S. Adsorption of Hg(II) and Pb(II) ions by nanoscale zero-valent iron supported on ostrich bone ash in a fixed-bed column system. Water Sci. Technol. 2017, 76, 671–682. [Google Scholar] [CrossRef] [PubMed]
- Amiri, M.J.; Roohi, R.; Gil, A. Numerical simulation of Cd(II) removal by ostrich bone ash supported nanoscale zero-valent iron in a fixed-bed column system: Utilization of unsteady advection-dispersion-adsorption equation. J. Water Process Eng. 2018, 25, 1–14. [Google Scholar] [CrossRef]
- Hussain, I.; Li, M.; Zhang, Y.; Li, Y.; Huang, S.; Du, X.; Liu, G.; Hayat, W.; Anwar, N. Insights into the mechanism of persulfate activation with nZVI/BC nanocomposite for the degradation of nonylphenol. Chem. Eng. J. 2017, 311, 163–172. [Google Scholar] [CrossRef]
- Amiri, M.J.; Roohi, R.; Arshadi, M.; Abbaspourrad, A. 2,4-D adsorption from agricultural subsurface drainage by canola stalk-derived activated carbon: Insight into the adsorption kinetics models under batch and column conditions. Environ. Sci. Pollut. Res. 2020, 27, 16983–16997. [Google Scholar] [CrossRef]
- Fang, G.; Liu, C.; Gao, J.; Dionysiou, D.D.; Zhou, D. Manipulation of persistent free radicals in biochar to activate persulfate for contaminant degradation. Environ. Sci. Technol. 2015, 49, 5645–5653. [Google Scholar] [CrossRef]
- Wang, j.; Wang, S. Activation of persulfate (PS) and peroxymonosulfate (PMS) and application for the degradation of emerging contaminants. Chem. Eng. J. 2018, 334, 1502–1517. [Google Scholar] [CrossRef]
- Amiri, M.J.; Arshadi, M.; Giannakopoulos, E.; Kalavrouziotis, I.K. Removal of mercury (II) and lead (II) from aqueous media by using a green adsorbent: Kinetics, thermodynamic, and mechanism studies. J. Hazard. Toxic Radioact. Waste 2018, 22, 04017026. [Google Scholar] [CrossRef]
- Amiri, M.J.; Khozaei, M.; Gil, A. Modification of the Thomas model for predicting unsymmetrical breakthrough curves using an adaptive neural-based fuzzy inference system. J. Water Health 2019, 17, 25–36. [Google Scholar] [CrossRef]
- Amiri, M.J. Synthesis and optimization of spherical nZVI (20–60 nm) immobilized in bio-apatite-based material for efficient removal of phosphate: Box-Behnken design in a fixed-bed column. Environ. Sci. Pollut. Res. 2022, 29, 67751–67764. [Google Scholar] [CrossRef] [PubMed]
- Xu, M.; Li, J.; Yan, Y.; Zhao, X.; Yan, J.; Zhang, Y.; Lai, B.; Chen, X.; Song, L. Catalytic degradation of sulfamethoxazole through peroxymonosulfate activated with expanded graphite loaded CoFe2O4 particles. Chem. Eng. J. 2019, 369, 403–413. [Google Scholar] [CrossRef]
- Shahrokhi-Shahraki, R.; Kwon, P.S.; Park, J.; O'Kelly, B.C.; Rezania, S. BTEX and heavy metals removal using pulverized waste tires in engineered fill materials. Chemosphere 2020, 242, 125281. [Google Scholar] [CrossRef] [PubMed]
- Sun, X.; Cui, C.; Yang, C.; Lyu, S. Application of recyclable nano zero-valent iron encapsulated L-cysteine catalytic cylinder product for degradation of BTEX in groundwater by persulfate oxidation. Water Supply. 2022, 22, 555–573. [Google Scholar] [CrossRef]
- Zhang, R.; Chen, Y.; Li, S.; Wei, Z.; Huang, H.; Xie, T. Remediation and optimisation of petroleum hydrocarbon degradation in contaminated water by persulfate activated with bagasse biochar-supported nanoscale zerovalent iron. Sustainability 2022, 14, 9324. [Google Scholar] [CrossRef]
Publisher’s Note: MDPI stays neutral with regard to jurisdictional claims in published maps and institutional affiliations. |
© 2022 by the authors. Licensee MDPI, Basel, Switzerland. This article is an open access article distributed under the terms and conditions of the Creative Commons Attribution (CC BY) license (https://creativecommons.org/licenses/by/4.0/).











