Soil Dynamic Constitutive Considering Post-Liquefaction Deformation and Reversible Pore-Water Pressure
Abstract
1. Introduction
2. Model Formulations
2.1. Demonstration of Test Results
2.2. Analysis of Test Results
2.3. Determine Loading and Unloading Criteria
2.3.1. The Basic Function of Stress–Strain Relationship after Liquefaction
- Initial loading curve AB
- Unloading curve BCD
- Reloading curve DA
2.3.2. Loading and Unloading Criteria
- (1)
- The BC segment satisfies IHF. The slope of point C is equal to the slope of point A. The stress–strain value of point C is related to point B. The relation can be obtained by fitting the test data.
- (2)
- CD section stress–strain relationship is linear. The line is tangent to curve BC at point C.
- (3)
- DA satisfies IHF and goes through the initial point A of the next cycle. This curve is tangent to the initial loading curve of the next cycle.
- (4)
- At the beginning of the new cycle, the tangent modulus at point A is related to soil properties and the number of cycles. The curve is symmetric with the DA curve at about point A.
2.4. The Constitutive Equation
2.4.1. Calibration Parameter
2.4.2. Constitutive Relation
3. Calculation Method
3.1. Time-Domain Seismic Response Analysis
3.2. Algorithm Implementation Process
- Read site information. For non-liquefiable clay and other soils, the constitutive parameters were . So, the saturated sand and the liquefaction of the former constitutive parameters, are the liquefied constitutive parameters after , , and .
- According to the site model, the stratification of the site, the calculated thickness of each layer, and the calculated time step are determined. Record the number of layers and time nodes.
- According to the staggered grid method, the interlayer node velocity and strain are calculated by displaying the recursive formula.
- According to the stress–strain change trend, judge whether it is the stress–strain inflection point or peak point. If so, record the stress–strain value and calculate the state parameters required in the transportation process.
- They are determining the category of the soil layer. If it is non-liquefiable soil, according to Equation (1), the stress is calculated according to Equation (1). If the saturated sand is not liquefied, the pore-water pressure is calculated according to Equation (2), and the relevant parameters are modified. The stress is calculated according to the effective stress constitutive Equation (1). In liquefied saturated sand, the stress is calculated through the large deformation constitutive Equation (9).
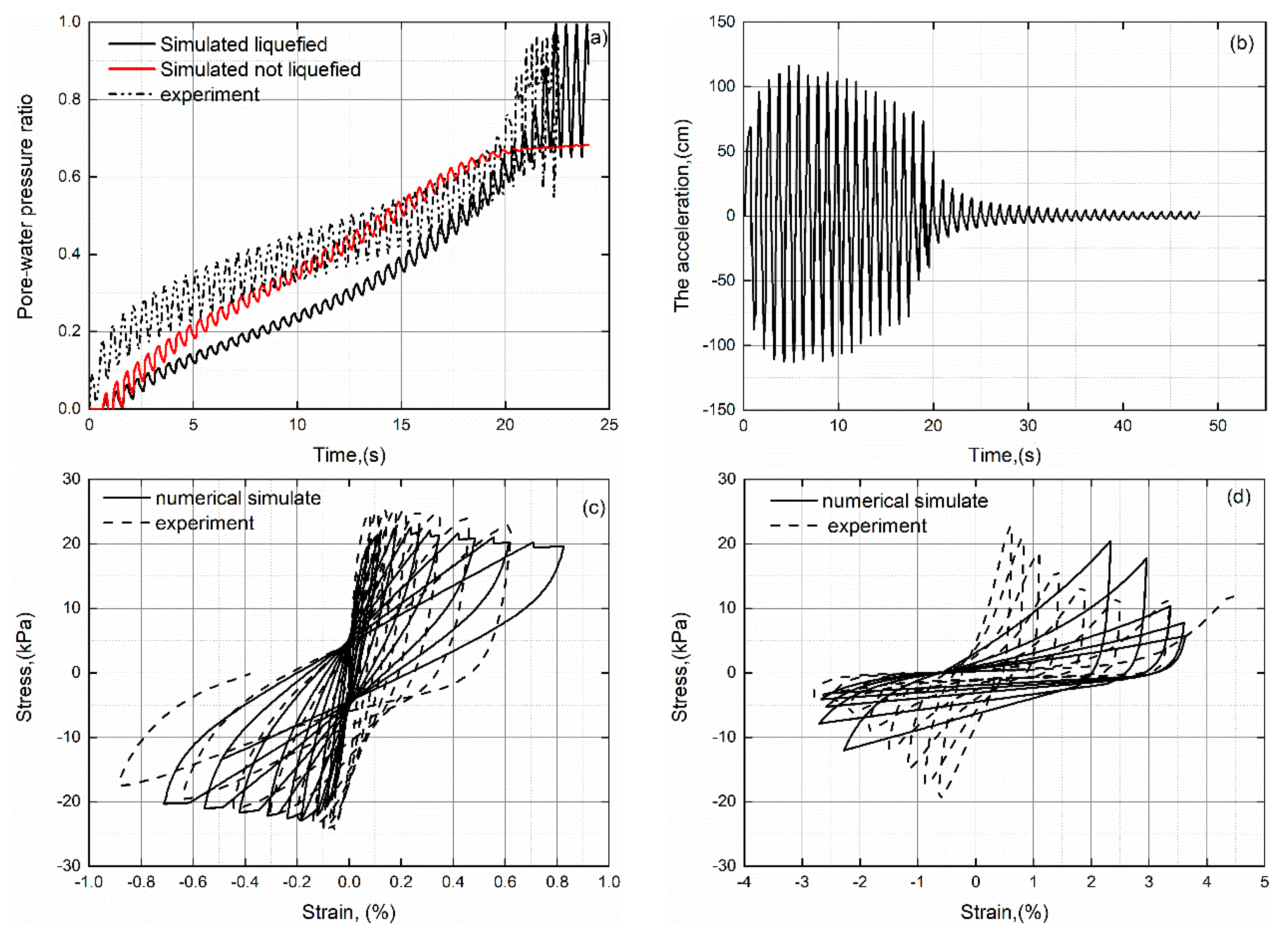
4. Verification
5. Conclusions
- (1)
- The stress–strain curve after the liquefaction can be divided into four loading and unloading stages. IHF can describe the two loading and the first unloading stages. The second unloading stage is linear.
- (2)
- The tangent modulus of the unloading curve connection point is equal to that of the initial loading point. The two unloading curves are tangent at the connection point. The reloading curve is symmetric with the initial loading curve of the next cycle about the initial loading point.
- (3)
- The tangent modulus of the initial loading point decreases linearly with the increase in the number of cycles. The test results show that the initial loading curve of the soil is close to the level after eight times of cyclic loading.
Author Contributions
Funding
Data Availability Statement
Conflicts of Interest
References
- Dobry, R.; Powell, D.J. Liquefaction potential of saturated sand-the stiffness method. In Proceedings of the Seventh World Conference on Earthquake Engineering, Istanbul, Turkey, 8–13 September 1980; Volume 3, pp. 25–32. [Google Scholar]
- Shahir, H.; Mohammadi, H.B.; Ghassemi, A. Employing a variable permeability model in numerical simulation of saturated sand behavior under earthquake loading. Comput. Geotech. 2014, 55, 211–223. [Google Scholar] [CrossRef]
- Ross, W.B.; Katerina, Z. A constitutive model for clays and plastic silts in plane-strain earthquake engineering applications. Soil Dyn. Earthq. Eng. 2019, 127, 1–15. [Google Scholar]
- Erlei, Y.; Suyang, W.; Bin, R.; Yu, M.; Luhua, Z. Numerical study on site response considering ground motion spatial variation. Soil Dyn. Earthq. Eng. 2019, 127, 361–366. [Google Scholar]
- Ishibashi, I.; Sherif, M.A.; Tsuchiya, C. Pore-Pressure Rise Mechanism and Soil Liquefaction. J. Jpn. Soc. Soil Mech. Found. Eng. 1977, 17, 17–27. [Google Scholar] [CrossRef] [PubMed]
- Ishibashi, M.; Tsuchiya, C. Pore-pressure prediction during earthquake loadings. Soils Found. 1978, 18, 19–30. [Google Scholar]
- Wang, R.; Zhang, J.M.; Wang, G. A unified plasticity model for large post-liquefaction shear deformation of sand. Comput. Geotech. 2014, 59, 54–66. [Google Scholar] [CrossRef]
- Kavazanjian, E.; Andrade, J.E.; Arulmoli, K.A.; Atwater, B.F.; Wang, Y. State of the Art and Practice in the Assessment of Earthquake-Induced Soil Liquefaction and Its Consequences; National Academies of Sciences, Engineering, and Medicine: Washington, DC, USA, 2016. [Google Scholar]
- Alba, P.D.; Seed, H.B.; Chan, C.K. Sand Liquefaction in Large-Scale Simple Shear Tests. J. Geotech. Eng. Div. 1976, 102, 909–927. [Google Scholar] [CrossRef]
- Chen, G.; Jin, D.; Zhu, J.; Shi, J.; Li, X. Nonlinear analysis on seismic site response of fuzhou basin, China. Bull. Seismol. Soc. Am. 2015, 105, 928–949. [Google Scholar] [CrossRef]
- Chen, G.; Zhao, D.; Chen, W.; Juang, C.H. Excess pore-water pressure generation in cyclic undrained testing. J. Geotech. Geoenviron. 2019, 145, 04019022. [Google Scholar] [CrossRef]
- Chen, G.; Ruan, B.; Zhao, K.; Chen, W.; Zhuang, H.; Du, X.; Khoshnevisan, S.; Juang, C.H. Nonlinear response characteristics of undersea shield tunnel subjected to strong earthquake motions. J. Earthq. Eng. 2020, 24, 351–380. [Google Scholar] [CrossRef]
- Olgun, C.; Martin, I.; LaVielle, T. Award Number 07HQGR0043; Liquefaction Susceptibility of Calcareous Sediments along the Coastal Plains of Puerto Rico. Virginia Polytechnic Institute and State University Blacksburg: Blacksburg, VA, USA, 2009.
- Finn, W.D.L. State-of-the-art of geotechnical earthquake engineering practice. Soil Dyn. Earthq. Eng. 2000, 20, 1–15. [Google Scholar] [CrossRef]
- Ruan, B.; Zhao, K.; Wang, S.; Chen, G.; Hai-Yun, W. Numerical modeling of seismic site effects in a shallow estuarine bay (Suai Bay, Shantou, China). Eng. Geol. 2019, 260, 105233. [Google Scholar] [CrossRef]
- Sturm, H. Numerical investigation of the stabilisation behaviour of shallow foundations under alternate loading. Acta Geotech. 2009, 4, 283–292. [Google Scholar] [CrossRef]
- Sfriso, A.; Weber, G. Formulation and validation of a constitutive model for sands in monotonic shear. Acta Geotech. 2010, 5, 257–272. [Google Scholar] [CrossRef]
- Mele, L.; Tian, J.T.; Lirer, S.; Flora, A.; Koseki, J. Liquefaction resistance of unsaturated sands: Experimental evidence and theoretical interpretation. Geotechnique 2019, 69, 541–553. [Google Scholar] [CrossRef]
- Cubrinovski, M.; Rhodes, A.; Ntritsos, N.; Van Ballegooy, S. System response of liquefiable deposits. Soil Dyn. Earthq. Eng. 2019, 124, 212–229. [Google Scholar] [CrossRef]
- Wu, J.; Kammerer, A.M.; Riemer, M.F. Laboratory study of liquefaction triggering criteria. In Proceedings of the 13th World Conference on Earthquake Engineering, Vancouver, BC, Canada, 1–6 August 2004. [Google Scholar]
- Sawicki, A.; Morland, L.W. Pore pressure generation in a saturated sand layer subjected to a cyclic horizontal acceleration at its base. J. Mech. Phys. Solids 1985, 33, 545–558. [Google Scholar] [CrossRef]
- Elgamal, A.; Yang, Z.H.; Parra, E. Computational modeling of cyclic mobility and post-liquefaction site response. Soil Dyn. Earthq. Eng. 2002, 22, 259–271. [Google Scholar] [CrossRef]
- Yuan, X.; Rui, S.; Chen, L.; Tang, F. A method for detecting site liquefaction by seismic records. Soil Dyn. Earthq. Eng. 2010, 30, 270–279. [Google Scholar] [CrossRef]
- Sun, R.; Li, X.F.; Chen, L.W. Effects of increase in pore water pressure on dynamic parameters of hyperbolic model describing stress-strain relation of liquefiable soil. J. Vib. Shock. 2018, 37, 1–6. [Google Scholar]
- Chen, G.; Wang, Y.; Zhao, D.; Zhao, K.; Yang, J. A new effective stress method for nonlinear site response analyses. Earthq. Eng. Struct. Dyn. 2021, 50, 1595–1611. [Google Scholar] [CrossRef]
- Wang, R.; Fu, P.; Zhang, J.M. Finite element model for piles in liquefiable ground. Comput. Geotech. 2016, 72, 1–14. [Google Scholar] [CrossRef]
- Lu, Y.; Zhu, W.X.; Ye, G.L.; Zhang, F. A unified constitutive model for cemented/non-cemented soils under monotonic and cyclic loading. Acta Geotech. 2021, 17, 1–21. [Google Scholar] [CrossRef]
- Zhi, H.; Liang, W.; Yannis, F.D.; Chih, H.; Kang, S. Bounding surface hypoplasticity model for sand. J. Eng. Mech. 1990, 116, 983–1001. [Google Scholar]
- Yang, Z.; Elgamal, A. Computational Model for Cyclic Mobility and Associated Shear Deformation. J. Geotech. Geoenviron. Eng. 2003, 129, 1119–1127. [Google Scholar] [CrossRef]
- Elgamal, A.; Yang, Z.; Parra, E.; Ragheb, A. Modeling of cyclic mobility in saturated cohesionless soils. Int. J. Plast. 2003, 19, 883–905. [Google Scholar] [CrossRef]
- Dafalias, Y.F.; Manzari, M.T. Simple Plasticity Sand Model Accounting for Fabric Change Effects. J. Eng. Mech. 2004, 130, 622–634. [Google Scholar] [CrossRef]
- Boulanger, R.W.; Ziotopoulou, K. PM4Sand Version 3: A Sand Plasticity Model for Earthquake Engineering Applications; University of California: Los Angeles, CA, USA, 2015. [Google Scholar]
- Asgaria, A.; Oliaei, M.; Bagheri, M. Numerical simulation of improvement of a liquefiable soil layer using stone column and pile-pinning techniques. Soil Dyn. Earthq. Eng. 2013, 51, 77–96. [Google Scholar] [CrossRef]
- Shamoto, Y.; Zhang, J.M.; Tokimatsu, K. New charts for predicting large residual post-liquefaction ground deformation. Soil Dyn. Earthq. Eng. 1998, 17, 427–438. [Google Scholar] [CrossRef]
- Xu, C.; Song, J.; Du, X.; Zhong, Z. A completely explicit finite element method for solving dynamic up equations of fluid-saturated porous media. Soil Dyn. Earthq. Eng. 2017, 97, 364–376. [Google Scholar] [CrossRef]
- Song, J.; Gao, Y.; Feng, T. Influence of interactions between topographic and soil layer amplification on seismic response of sliding mass and slope displacement. Soil Dyn. Earthq. Eng. 2020, 129, 1–17. [Google Scholar] [CrossRef]
- Dong, Q.; Zhou, Z.; Su, J.; Li, X. Constitutive model for effective stress based on logarithmic skeleton curve considering reversible pore pressure. Chin. J. Geotech. Eng. 2020, 42, 2322–2329. [Google Scholar]
- Chu, F.; Shao, S.J.; Chen, C.L. Experimental study of dynamic deformation and dynamic strength properties of saturated silty sand. Chin. J. Rock Mech. Eng. 2014, 33 (Suppl. S1), 3299–3305. [Google Scholar]
- Rahman, M.; Seed, H.; Booker, J. Pore pressure development under offshore gravity structures. J. Geotech. Eng. Div. 1977, 103, 1419–1436. [Google Scholar] [CrossRef]
- Sun, R.; Zhao, Q.; Yuan, X. Comparison between acceleration response spectra on liquefaction and non-liquefaction sites. Rock Soil Mech. 2014, 35 (Suppl. S1), 299–305. [Google Scholar]
- Bin, R.; Zhao, D.; Chen, G.; Zhu, X. A New Effective Stress Method Using the Integration Algorithm of the Modified Davidenkov Constitutive Model and the Byrne Pore Pressure Increment Model, and Validation and Calibration. J. Basic Sci. Eng. 2017, 25, 956–966. [Google Scholar]
- Basu, D.; Montgomery, J.; Stuedlein, A.W. Observations and challenges in simulating post-liquefaction settlements from centrifuge and shake table tests. Soil Dyn. Earthq. Eng. 2022, 153, 107089. [Google Scholar] [CrossRef]
- Ishihara, K.; Yasuda, S.; Nagase, H. Soil characteristics and ground damage. Soils Found. Tokyo 1996, 36, 109–118. [Google Scholar] [CrossRef]
- Dong, Q.; Su, J.; Zhou, Z.; Li, X. Time-domain constitutive model based on logarithmic skeleton curve and its application. Chin. J. Geotech. Eng. 2020, 42, 1491–1498. [Google Scholar]
- Ziotopoulou, K.; Boulanger, R.W.; Kramer, S.L. Site Response Analysis of Liquefying Sites. GeoCongress 2012, 2012, 1799–1808. [Google Scholar]
- Zienkiewicz, O.C.; Chan, A.; Pastor, M.; Schrefler, B.A.; Shiomi, T. Computational Geomechanics with Special Reference to Earthquake Engineering; Wiley: Hoboken, NJ, USA, 1999; p. 80. [Google Scholar]
- Moin, P. Fundamentals of engineering numerical analysis. Can. J. Civ. Eng. 2002, 29, 344–345. [Google Scholar] [CrossRef]
- Lu, T.; Zhou, Z.; Huo, J. 1D nonlinear seismic response analysis of soil layers in time domain. Rock Soil Mech. 2008, 8, 2170–2176. [Google Scholar]
- Liao, Z.P.; Yang, G. Multi-directional transmitting boundaries for steady-state SH waves. Earthq. Eng. Struct. Dyn. 2010, 24, 361–371. [Google Scholar] [CrossRef]
- Liao, Z. Introduction to Wave Motion Theories in Engineering; Science Press: Beijing, China, 2002; pp. 62–63. [Google Scholar]










| Soil | Thickness (m) | Density (t/m3) | |
|---|---|---|---|
| Clay | 6 | 120–142 | 1.95 |
| Pine fine sand | 3 | 142–153 | 1.49 |
| Clay | 21 | 153–231 | 1.95 |
| Bedrock | 2 | 511 | 2.65 |
| Soil | ||||||||||||
|---|---|---|---|---|---|---|---|---|---|---|---|---|
| pine fine sand | 0.34 | 0.75 | 0.11 | 1934 | 2.24 | 5.20 | 33.71 | 0.38 | 0.56 | 2.61 | 0.49 | 1.0 |
| clay | 1160 | 0.82 | 5.90 |
Publisher’s Note: MDPI stays neutral with regard to jurisdictional claims in published maps and institutional affiliations. |
© 2022 by the authors. Licensee MDPI, Basel, Switzerland. This article is an open access article distributed under the terms and conditions of the Creative Commons Attribution (CC BY) license (https://creativecommons.org/licenses/by/4.0/).
Share and Cite
Dong, Q.; Zhou, Z.; Li, X.; Hao, B.; Jin, L. Soil Dynamic Constitutive Considering Post-Liquefaction Deformation and Reversible Pore-Water Pressure. Sustainability 2022, 14, 16512. https://doi.org/10.3390/su142416512
Dong Q, Zhou Z, Li X, Hao B, Jin L. Soil Dynamic Constitutive Considering Post-Liquefaction Deformation and Reversible Pore-Water Pressure. Sustainability. 2022; 14(24):16512. https://doi.org/10.3390/su142416512
Chicago/Turabian StyleDong, Qing, Zhenghua Zhou, Xiaojun Li, Bing Hao, and Liguo Jin. 2022. "Soil Dynamic Constitutive Considering Post-Liquefaction Deformation and Reversible Pore-Water Pressure" Sustainability 14, no. 24: 16512. https://doi.org/10.3390/su142416512
APA StyleDong, Q., Zhou, Z., Li, X., Hao, B., & Jin, L. (2022). Soil Dynamic Constitutive Considering Post-Liquefaction Deformation and Reversible Pore-Water Pressure. Sustainability, 14(24), 16512. https://doi.org/10.3390/su142416512

