Abstract
Solidification/stabilization (S/S) of acid waste using Ordinary Portland Cement (OPC) is widely implemented, but, due to the impact on climate change, alternative methods are being investigated. In this work, first, the feasibility of using coal fly-ash/clay-based geopolymers for the S/S of Zn plant residues (ZPR), Cadmium Sponge (CS), and Anode Mud (AM) is proposed as a treatment prior to disposal in landfills. Different variables, such as the type of processing, molding (as-received waste), and pressing (dried waste), and activators, a commercial and an alternative residual sodium carbonate, have been studied. The technical and environmental assessments of the S/S process by means of compressive strength and the leaching of critical pollutants have been monitored. Immobilization efficiencies of Cd and Zn higher than 99% have been obtained by dosing 50% of the acid waste, 6 M NaOH solution (20 min contact time), cured at 75 °C (48 h) and at room temperature (28 days), achieving in the leachates pH values of 7 to 10 and [Cd] and [Zn] < 1 and 2.5 mg/kg, respectively. However, alkaline activation increases As leaching, mainly associated with the clay. Secondly, removing clay from the geopolymer formulation, the optimization of geopolymer parameters, acid waste/geopolymer ratio, liquid/solid ratio, and NaOH molar concentration enables obtaining a significant reduction in the release of As and Cd, and Zn is kept at acceptable values that meet the non-hazardous waste landfill disposal limits for the S/S of both acid wastes.
1. Introduction
Zn is essential for modern day life and, in tonnage produced, stands fourth among all metals in world production—being exceeded only by iron, aluminum, and copper. Zn is predominantly used for galvanizing steel for the construction and automotive industries, as well as for the production of brass, bronze, chemicals, and zinc-based alloys [1,2]. Zinc production has steadily increased by 4% per annum in the last decade. In 2020, the global production of zinc was approximately 13 Mt [3]. The increase in the zinc production also implies that the amount of generated waste (e.g., sludge, dust, and precipitated) and energy consumption rises [1]. Therefore, the management of heavy metal solid wastes is a key factor to take into account in the environmental sustainability of the zinc industry [3].
Currently, approximately 80% of zinc is produced from Sphalerite, a zinc sulfide mineral, by the roasting–leaching–electrowinning (RLE) process, which is a combination of pyrometallurgy and hydrometallurgy [4,5]. The process of the roasting of zinc sulfide concentrates is a substantially cost-effective technology due to its self-sufficiency, a satisfactory removal of harmful impurities for the subsequent electrolysis, and the associated production of sulfuric acid [6]. In the leaching stage with strong hot sulfuric acid, other metals present in the calcine concentrate are also leached in addition to zinc [7]. As metallic zinc electrolysis requires an electrolyte that is free from these pollutants, the sulfuric acid liquor needs a purification step to remove them [7]. The purification of the leached liquor in these processes is carried out by adding zinc powder that removes the more noble impurities. As a result, the excess zinc powder, together with compounds of other metals (mainly cadmium and lead), form a residue known as Cadmium Sponge (CS) [8,9]. On the other hand, during electrolysis, to protect lead anodes from excessive corrosion, manganese compounds are added [7,10,11]. On the surface of the anodes, lead dioxide is formed by electro-oxidation and manganese (present in the bath) deposits as manganese oxide. The deposited oxides are powdery in nature and fall off to the bottom of the bath. At the end of the electrowinning cycle, the powder is removed from the bottom of the cell, an acid residue known as Anode Mud (AM) [10,12,13,14].
The Cadmium Sponge (CS) from the purification stage and the Anode Mud (AM) from the electrolysis stage represent significant zinc plant residues (ZPR) [15]. ZPR are hazardous wastes because of their strong acidities, poor stabilities, and high heavy metal content [4]. In the production of one ton of zinc refined by the RLE process, between 80 and 100 kg of Cadmium Sponge [9] and 40 to 50 kg of Anode Mud are generated [3]. These residues contain considerable amounts of valuable metals, such as zinc, cadmium, copper, and nickel [4,6]. Several studies have investigated the recovery of cadmium and copper from Cadmium Sponge [8,9,16,17,18] and the recovery of noble metals from Anode Mud [11,19,20]. However, the global demand of Zn and the lack of development of recovery technologies on an industrial scale, due to technical problems or because they may give rise to secondary pollution, make it necessary for ZPR to be previously treated and disposed of in sanitary landfills [14]. Due to the high concentration of heavy metals and great acidity, these residues present potential environmental risks because of their significant heavy metals solubilization. Therefore, ZPR are categorized as hazardous wastes according to the European Waste Catalogue (110207*) [1], and they cannot be directly landfilled.
The immobilization of heavy metals in Ordinary-Portland-Cement (OPC)-based materials is widely investigated and implemented because of its low processing cost and ability to meet stringent technical requirements [21]. However, it presents a low effectiveness in several situations, such as in the case of various toxic wastes, especially those containing salts of magnesium, tin, zinc, copper, and lead, and also for solidification of residues with high sulfide contents [22,23]. On the other hand, from an environmental point of view, the production of OPC consumes a large amount of natural resources and energy in addition to contributing significant greenhouse gas emissions into the atmosphere: approximately 0.66 to 0.82 kg of CO2 is produced per kg of OPC manufactured. With this emission level, the cement industry is responsible for 8 to 10% of the anthropogenic emissions around the world [24].
Nowadays, the great challenge in the solidification/stabilization of hazardous waste focuses on the use of new ecological and sustainable binders for the immobilization of heavy metals. In this context, alkali-activated binders (AABs) or geopolymers turn up as a feasibility binder’s solution to the OPC. The production of geopolymers consists of the reaction of a powder precursor, with a high content of amorphous silico-aluminates, with high or low calcium content, and a strongly alkaline activating solution. The result after a curing time is a compact solid with good mechanical properties, which can be disposed of in a landfill or used in construction applications [25,26]. These binders have received much attention in the last decade as their production offers significant economic and environmental benefits, such as having a lower CO2 footprint and reusing of industrial wastes or by-products as precursors in the formulations of geopolymers. Another important advantage of the performance of these new binders in the immobilization of certain chemical species is due to their three-dimensional microstructure, with an abundance of very small pores, very high alkalinity, and very good chemical stability [24,27]. For these reasons, they are also proposed as adsorbents in waste treatment [28].
In this way, recent investigations on the use of geopolymer matrices to solidify/stabilize different hazardous waste-containing heavy metals have been reported: electric arc furnace dust [29,30,31], municipal solid waste incineration fly ash (MSWI) [26], lead–zinc smelting slag [14,32,33,34], chromite ore processing residues [35,36], hexavalent chromium [37,38], or galvanic solid waste [39], among others. Immobilization efficiency is measured mainly by the mechanical strength and the leaching reduction as indicators of solidification and stabilization, respectively. Thus, the selection of the leaching test method is key to assess the degree of the heavy metal immobilization of geopolymer matrices [40,41]. There are two leaching procedures commonly used in the literature: the Toxicity Characteristic Leaching Procedure (TCLP, 1992), which uses as a leaching reagent an acetic acid solution buffered to a pH of 3 to 5, and the Equilibrium Batch Leaching Test (EN-12457, 2002), which employs distilled water as a leaching solution. The results from these tests are compared, respectively, to the threshold limits established by the Environmental Protection Agency (EPA, Washington, WA, USA) and the 2003/33/EC Council Decision (EU, 2003), respectively, for accepting waste in landfills. In previous studies, the authors of this work have carried out the stabilization of Electric Arc Furnace Dust (EAFD) into ceramic geopolymers based on coal fly ash and quarry clay as the precursor and aggregate (as an adsorbent), respectively, assessing the environmental behavior in different scenarios, disposal, and utilization using leaching tests [29].
It is important to note that there are no published studies regarding the immobilization of pollutants from ZPR through their introduction into ceramic geopolymers. Consequently, the aim of this work is the immobilization of heavy metals from this type of acid waste as a treatment prior to disposal in a landfill using sustainable binders. First, the feasibility study of the S/S of Cadmium Sponge (CS) and Anode Mud (AM) in coal fly-ash/clay-based geopolymers using different processing techniques and activators was performed. The S/S products were evaluated by technical and environmental assessment according to EU Landfill regulation limits for the compressive strength and release of hazardous metals. Second, to optimize the geopolymer parameters, a factorial experimental design was performed using as response variables the release of critical pollutants for the stabilization of zinc plant acid residues.
2. Materials and Methods
2.1. Acid Wastes
Two different ZPR were used, the Cadmium Sponge (CS) and the Anode Mud (AM) produced in the purification [42] and electrowinning stages [10], respectively, of the RLE process. The CS has a greyish color, a wide particle size distribution, and even forms large rocks. For a representative sample, the moisture content is 41%, the pH value is 4.2, and the conductivity is 2174 μS/cm, whereas the AM is black, also presents particles with different sizes, and has bad smell that is difficult to work with. A representative sample of AM has a moisture content of 30% and a pH value of 2.0. The visual appearance of both acid wastes is shown in Figure 1.
Figure 1.
Acid wastes used in this work: (A) Cadmium Sponge (CS); (B) Anode Mud (AM).
The concentrations of trace elements released after the application of EN 12457-2 leaching test are listed in Table 1. As the acid wastes are produced on an industrial process, a high variability on the composition is expected. To represent this fact, Table 1 collects the maximum and minimum trace elements’ leaching values of the acid wastes produced during one year. Cd and Zn are the elements with the highest concentrations and present the major hazardousness in both acid wastes. Pb and Ni are other elements to consider for immobilization in Cadmium Sponge, while only Pb in the case of Anode Mud.
Table 1.
Trace elements concentration in leachates obtained in EN 12457-2 leaching test of Cadmium Sponge (CS) and Anode Mud (AM).
2.2. Geopolymer Precursors and Activators
For the immobilization of the hazardous elements, in this work, geopolymerization has been proposed. For the synthesis of geopolymers, two precursors have been used together and two alternative alkaline activators have been applied.
Precursors used in this study were obtained from different sources of the same region (Cantabria, Spain). Low calcium fly ash (ASTM class F) (FA) was supplied by coal combustion company located in Cantabria, Spain) and was used as the main silicoaluminate agent. Quarry clay was collected from a Spanish industrial ceramic and was used as secondary silicoaluminate source, with an aggregate role mainly.
Two different activating solutions were used: a commercial solution based on sodium hydroxide and sodium silicate (SiO2 25.5–28.5%, Na2O 7.5–8.5%, density 1.345–1.382 g/mL), and an alternative solution, an industrial by-product based on sodium carbonate (Na2CO3), was supplied by Solvay Química S.L.)—(Barreda, Cantabria, Spain), substituting the commercial sodium silicate.
The compositions of fly ash and clay were determined by inductively coupled plasma atomic emission spectrometry (ICP-AES) and X-ray fluorescence (XRF) in Activations Laboratories (Ancaster, ON, Canada). The elemental major and minor oxides and trace element concentrations in raw materials are given in Table 2. Both precursors, FA and clay, are mainly constituted by silica (SiO2) and alumina (Al2O3), key compounds in the manufacture of geopolymers.
Table 2.
Major, minor oxides, and trace elements in fly ash (FA) and clay.
2.3. Geopolimeric Matrices Preparation
The base formulation of the matrix was developed by the authors in previous works [29], and samples were developed at laboratory scale, as shown in Figure 2. Table 3 shows the formulations carried out in the laboratory for the solidification/stabilization of the acid waste.
Figure 2.
The methodology applied for the geopolymeric formulations development.
Table 3.
Formulations for solidification/stabilization of each acid waste, CS, and AM.
FA, clay, and acid waste were mixed for 10 min to obtain a homogeneous mixture. The 6 M NaOH solution was prepared and cooled to room temperature. Then, Na2SiO3 and/or Na2CO3 was added up to Na2SiO3/NaOH ratio fixed, depending on if commercial or alternative activator were used. At the end, activator solution was added into the mixture of FA–clay–acid waste and mixed for 10 additional minutes. A sample without acid wastes was developed as reference sample. Furthermore, these formulations were studied with and without a drying pretreatment for the two acid wastes. The drying pretreatment were carried out at 105 °C for 48 h.
To obtain the final specimens, two different process were applied due to the behavior of mixtures when wastes were or were not pretreated. When acid wastes were dried, specimens were obtained by uniaxial pressing under 50 bar with a Mignon SS/EA (Nanetti) laboratory hydraulic press in a rectangular mold with 80 mm in length, 30 mm in width, and 16 mm in height. On the other hand, when acid waste was mixed without a drying pretreatment, molds were used to process the samples due to the mixture being very fluid and unable to be pressed.
The samples were stored at ambient temperature (18–20 °C) for 48 h. After this time, they were cured in an oven for 48 h at 75 °C. Then, the samples were cooled and left for an additional 28 days at ambient temperature prior to performing any test.
2.4. Flexural Strength and Leaching Test
The EN 843-1 standard was used to determine the flexural strength of the cured pieces. This test was conducted by a servo-hydraulic mechanical equipment of pressure cell Suzpecar MES-150, 15-ton cap. and an electronic control module MIC-101H.
The compliance leaching test EN 12457-2:2003 was used to determine the release of metals from the acid waste and S/S products in equilibrium conditions. According with this test, samples were milled to obtain a material with a grain size of at least 95% less than 4 mm to promote contact between phases and consequent mobility of trace elements. In polyethylene bottles of 1 L, 90 ± 5 g of each sample (dry mass) was weighed and mixed with the leaching agent, deionized water, at a liquid to solid ratio L/S = 10 L/kg. The bottle was introduced into a rotating equipment at 10 rpm for 24 h. The solid was separated by filtration over a 0.45 µm membrane filter using a vacuum filtration device.
The pH values of the leachates were measured, and they were analyzed for the critical elements included in the Landfill Decision 2003/33/CE, As, Ba, Cd, Cr, Cu, Hg, Mo, Ni, Pb, Sb, Se, and Zn. They were analyzed using Inductive Coupled Plasma Atomic Emission Spectrometry (ICP-AES) in an accredited laboratory, Agrolab Ibérica SLU (Burgos, Spain).
The leaching of trace elements and the flexural strength of the geopolymers were analyzed in triplicate, and the results show the mean and its standard deviation.
2.5. Mathematical Modelling and Experimental Design
A factorial experimental design was carried out to optimize the retention of critical pollutants of the two zinc plant acid residues. Two-level, three-factor experimental design was conducted, and five response variables were analyzed.
The experimental design was mathematically adjusted according to second-order polynomial equations. In total, eleven experiments had to be completed, as shown in Equation (1).
The mathematical adjustment and the response surface graphics were completed by Stat graphics software using Box–Behnken design. Analysis of variance (ANOVA) was carried out, and the main individual and multiple effects were assessed through second-order polynomial equations as follows in Equation (2).
3. Results and Discussion
3.1. Feasibility of the Solidification/Stabilization (S/S) Process
As a result of the alkali activation process, different monolithic samples of solidified/stabilized waste have been obtained. With the purpose that these products could fulfill the landfill policy framework, monolithic wastes need to accomplish both technological and environmental requirements.
3.1.1. Technical Behavior of S/S Products
The European Union, through Decision 2003/33/EC, establishes that the member states will determine the criteria for the deposition of monolithic waste. In this way, the Spanish law (RD 646/2020) establishes that, to dispose of in a landfill a hazardous waste previously S/S as a non-hazardous monolithic waste, it must support a minimum compressive strength of 3 MPa for 28 days. In Table 4, the results of the compressive strength and density of the S/S products developed are presented.
Table 4.
Compressive strength and density of fly ash/clay geopolymer incorporating acid waste: Cadmium Sponge (CS) or Anode Mud (AM).
The results show that all the samples developed enough strength to fulfill the landfill requirement of 3 MPa. The incorporation of acid waste does not favor the development of the compressive strength of geopolymers, and this effect is greater in the case of AM. Density is a key parameter in waste disposal as well since it determines the landfill space to be used. In this case, the product density is much higher in the CS monoliths (around 1900 kg/m3) with both activators compared to the AM monoliths (1337–1500 kg/m3). In both cases, with the commercial activator, a slightly higher density is obtained than with the alternative. Both properties, compressive strength and density, have a direct relationship. Moreover, they indicate that the incorporation of the waste to the geopolymer matrix reduces the strength almost by half in relation to the reference geopolymers with both activators, while the density is slightly reduced.
3.1.2. Environmental Behavior of S/S Products
The environmental behavior of the samples has been evaluated through equilibrium leaching tests. The pH values of the leachates obtained of both types of monoliths from molded and pressed products are represented in Figure 3.
Figure 3.
pH values of leachates of acid wastes Cadmium Sponge (CS) and Anode Mud (AM) S/S: (a) as-received waste, processed by molding; (b) pretreated waste, processed by pressing.
The leachates from the CS products have alkaline pH values due to the release of alkali from the geopolymers when immersed in deionized water [29]. The pH values remain approximately constant regardless of the activator used, or the pretreatment of the waste, when the dosage of the waste is 50% with values between 11.46 and 11.77. However, at higher waste additions, the pH values with the commercial activator are slightly lower than with the alternative activator. On the other hand, the leachates from the AM products present a moderate alkalinity due to the initial higher acidity of the waste. This initial acidity represents a significant problem to their disposal in a landfill; therefore, geopolymer binders can be a good alternative to traditional binders [43]. In this case, there is a difference of one unit between the pH values of the products obtained with pretreated or non-pretreated waste. The pH value differs also with the dosage of the waste and the activator used, between 6.54 and 8.77.
All the elements analyzed in the leachates of the Compliance Leaching test: As, Ba, Cd, Cr, Cu, Mo, Ni, Pb, Sb, Se, Zn, and Cd, except Hg, present a concentration higher than the quantification limit. The concentration values (average of three replicates) are represented in Figure 4 (CS products) and Figure 5 (AM products).
Figure 4.
Mobility of contaminants of Cadmium Sponge (CS) S/S—commercial (C)/alternative (A) activator: (a,b) as-received waste and molded; (c,d) dried waste and pressed.
Figure 5.
Mobility of contaminants of Anode Mud (AM) S/S—commercial (C)l/alternative (A) activator: (a,b) as-received waste and molded; (c,d) dried waste and pressed.
The mobility of the elements analyzed incorporating CS as-received waste and produced by molding is represented in Figure 4a,b. As can be observed, in general, the mobility of the elements increases as the amount of CS added increases. The elements with the highest mobility in the CS waste, Cd, Ni, Pb, and Zn (Table 1), have different behaviors in the S/S products. While Ni, Pb, and Cd increase their leaching with a greater amount of waste added, in the case of Zn, the behavior is the opposite. The mobility of Ni, Pb, and Cd varies 56%, 67%, and 85% as the amount of waste increases (from 50 to 70%), respectively. The mobility of Zn decreases as the amount of CS waste increases. The immobilization of Zn in FA-clay-based geopolymers may be due to a physical microencapsulation mechanism [44,45,46,47,48]. Another element to highlight is As, which has the highest concentration value and hardly varies with the amount of waste added.
Considering the type of activator used, the majority elements, As and Mo, present very similar values of mobility, while the minority elements, Cu, Ni, and Pb, present the most significant variations between the two activators. The commercial activator can immobilize Cu, Ni, and Pb 34%, 56%, and 22% more than the alternative one, respectively.
Figure 4c,d shows the leaching results of the products obtained by pressing when the waste has been pretreated. No significant decrease in the mobility of the contaminants obtained with pretreated waste versus as-received waste is observed. Cd and Zn, the main contaminants from CS waste, have different behaviors. There is no influence on the leaching of the activator type in the S/S products with dried and pressed waste in relation to major elements.
The mobility of the elements analyzed incorporating Anode Mud (AM) as-received is represented in Figure 5a,b. As can be observed, the tendency of the mobility of the elements is to increase with the amount of AM waste added. Cu, Pb, Cd, and Zn, which are the elements with the highest mobility in the Anode Mud, present the most significant variation as the amount of waste increases in the S/S product. The mobility of these elements varies 32%, 42%, 53%, and 84% as the amount of waste increases, respectively. The rest of the elements do not present significant mobility regardless of the waste added.
Considering the type of activator used, in relation to the elements associated with the waste, Cu, Pb, Cd, and Zn present slightly higher mobility using the alternative activator than the commercial one, except for Cd. The rest of the elements present similar variations in mobility regardless of the type of activator used, less than 10%.
Figure 5c,d shows the leaching results of the products obtained by dried and pressing. Cr, Cu, Cd, and Zn, with the highest mobility in the AM waste, present a similar behavior: the mobility increases with the amount of dried waste added 25.5%, 36%, 70%, and 53%, respectively. The rest of the elements show small variations in mobility regardless of the amount of dried waste added.
Regarding the activator used, the mobility of the elements presents a tendency similar to the products of dried waste added. The type of activator does not significantly affect the mobility of the major elements, while the minor elements present variations in mobility between both activators.
Finally, comparing the results of mobility of both wastes, CS and AM, introducing as-received/molded or dried/pressed, the elements do not show significant variations. In relation to the main contaminants associated with acid waste, Cd and Zn, they present an irregular behavior with the increase in the amount of waste. However, for both elements, the immobilization rate in the geopolymer matrices is very high. In the case of Cd, the leaching results of Cd2+ in deionized water can be attributed to the presence of Cd as a discrete hydroxide or similar alkali salt in the geopolymer matrix, and, with little calcium presence, as in the case of matrices based on fly ash type F, the most stable phases host Cd2+. At high pH values, the solubility of Cadmium hydroxide is very low, although it also appears to be sufficiently low at neutral pH values, which provides a reasonable degree of immobilization, as observed in the results obtained [49]. On the other hand, the immobilization of Zn in alkali-activated fly ash may occur by a chemical retention in combination with physical encapsulation [44,45,46,47,48]. The reaction of dissolved Zn with silica species present in the reaction medium of the geopolymer system leads to the formation of an insoluble Zn silicate phase [31]. Other authors suggest that cationic species such as Zn2+ are adsorbed on geopolymer surfaces, and, the more geopolymer gel is formed, the more cations can be adsorbed, increasing physical microencapsulation [48]. Few detailed studies of Zn immobilization in alkali-activated fly ash matrices have yet been published. The results shown are relatively good, such as the immobilization of a Zn-rich electric arc furnace dust using this type of binder obtained by Fernandez Pereira et al. [30,49].
On the other hand, the significant leaching of As, and, to a lesser extent, the leaching of Mo in all the S/S products of both wastes, may be due to the fact that it does not come from the residue but from the precursors, fly ash and clay (Table 2). Some authors reported that the incorporation of As from multicomponent mixed wastes into geopolymers mobilized more arsenic than that available from untreated fly ash [50]. It was observed that arsenic was associated with the iron-rich regions of fly ash particles through the sorption of arsenic on iron hydroxide surfaces. It was also indicated that, when the pH values vary towards alkaline range, the presence of excess alkali can lead to arsenic (III) solubility as arsenious acid or sodium arsenate [26,29,51,52]. In this way, Molybdenum, a trace element in coal and during the combustion process, becomes more concentrated in fly ash by-products and does not show any effect on the immobilization, neither with the pretreatment of the waste nor with the amount added. Molybdenum, as a transition metal, forms oxyanionic species, so its immobilization in this type of matrix tends to be problematic. Although most molybdenum compounds have low solubility in water, the presence of excess alkali can solubilize it as a molybdate ion (MoO4−2). Finally, Selenium is also found as a trace element in coal ashes and presents a leaching behavior similar to As. As metalloids, the mobility of both increases when the pH values vary towards high alkalinity. In some geopolymerization studies with coal fly ash, it has been shown that, while there is a significant immobilization of other trace elements, there is no notable effect on the leachable selenium concentration. The Se mobility results showed higher leaching from geopolymer samples than from untreated ash. It may be due to the availability of the inorganic phases of Se, mainly in alkaline medium as selenate (SeO42−), while in acid medium as selenite (SeO32−), being the selenate more soluble. As and Se, metalloids, together with Mo, a transition metal, are considered as elements “bound with limited or mixed success” [49]; that is, their availability to the environment has not been observed to be markedly reduced by geopolymerization processes.
The immobilization efficiency of Cd and Zn, major contaminants in both acid wastes, was determined according to the percentage of the release of the contaminants of the S/S products in respect to the initial waste. The results for CS waste and AM waste are shown in Table 5 and Table 6, respectively.
Table 5.
Immobilization efficiency of Cd and Zn from Cadmium Sponge (CS).
Table 6.
Immobilization efficiency of Cd and Zn from Anode Mud (AM).
As the amount of waste added to the FA-clay-based geopolymer increases, the efficiency decreases slightly. On the other hand, the commercial activator presents higher efficiency than the alternative activator. Even so, the immobilization efficiency for Cd and Zn reaches values of efficiency above 99.40%. Similar high efficiencies, values higher than 90% immobilization, are described for Zn-rich waste in fly-ash-based geopolymers in different studies [30,49,52].
3.1.3. Accomplishment of Landfill Requirements
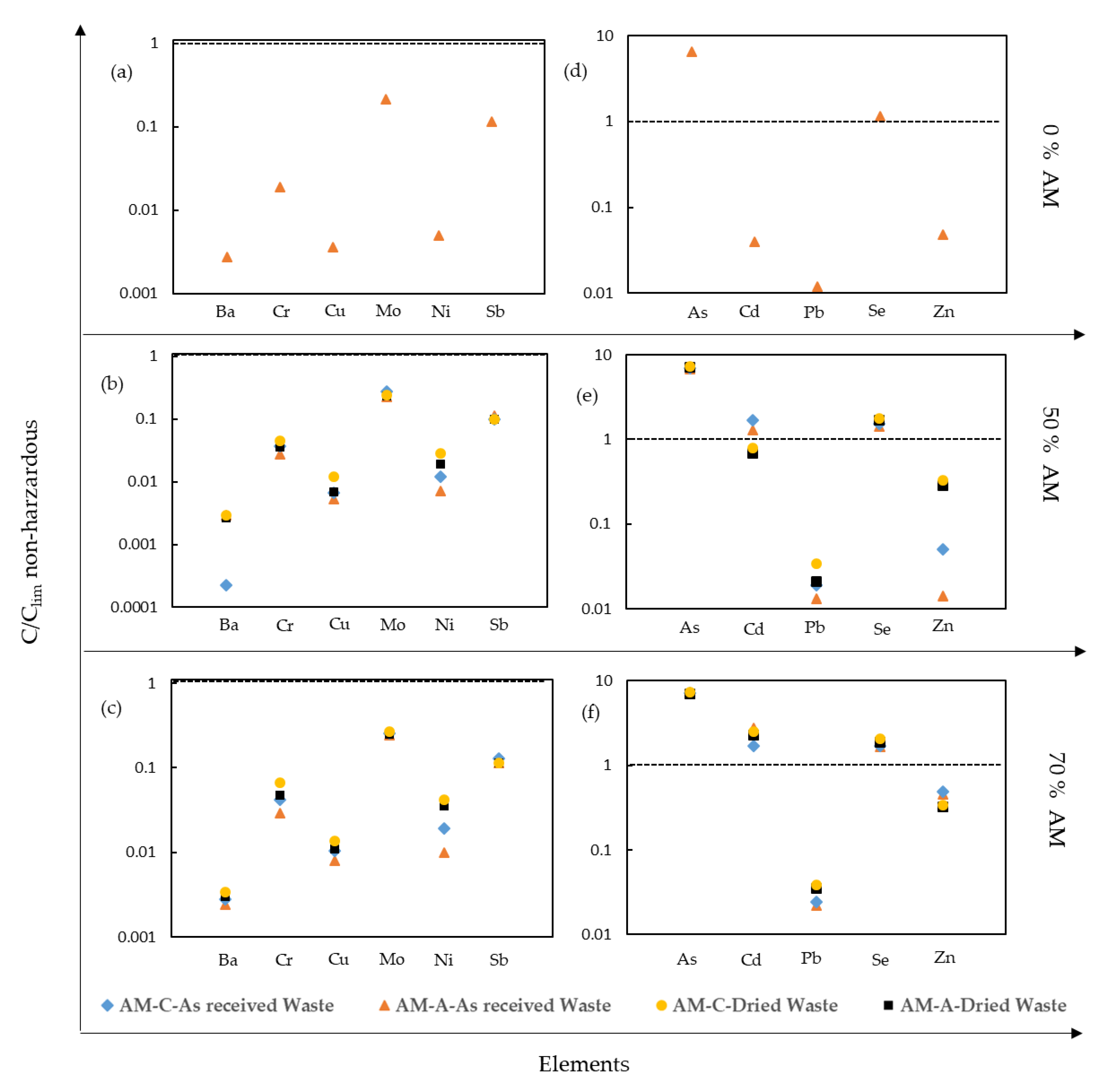
Once both acid wastes are S/S in the geopolymer matrix, giving retention values greater than 99%, the possibility of being disposed of in a controlled landfill based on the limits of non-hazardous wastes established in Decision 2003/33/EC is analyzed in this section. Concentrations of contaminants at 0, 50, and 70% dosages of Cadmium Sponge (CS) and Anode Mud (AM) are represented in Figure 6 and Figure 7, respectively.
Figure 6.
Contaminant concentration of geopolymers using commercial (C) or alternative (A) activator incorporating Cadmium Sponge (CS) with/without pretreatment regarding the non-hazardous waste landfill disposal limits: Ba, Cr, Cu, Mo, Ni, and Sb with 0%, 50%, and 70% (CS), (a–c), respectively; As, Cd, Pb, Se, and Zn with 0%, 50%, and 70% Cadmium Sponge (CS), (d–f), respectively.
Figure 7.
Contaminant concentration of geopolymers using commercial (C) or alternative (A) activator incorporating Anode Mud (AM) with/without pretreatment regarding the non-hazardous waste landfill disposal limits: Ba, Cr, Cu, Mo, Ni, and Sb with 0%, 50%, and 70% Anode Mud (AM), (a–c), respectively; As, Cd, Pb, Se, and Zn with 0%, 50%, and 70%, Anode Mud (AM), (d–f), respectively.
Ba, Cr, Cu, Mo, Ni, Pb, Sb, and Zn present concentrations below the non-hazardous limits for waste disposal regardless of the CS waste dosage, the treatment, or the type of activator used, as can be observed in Figure 6. Cd is below the non-hazardous limits when the Cadmium Sponge was immobilized as received by molding using both types of activators. Nevertheless, Cd is above the non-hazardous limit when the waste was dried and pressed. Therefore, the dried treatment of the waste favors the mobility of Cd. As can be observed in 3.1, as the amount of waste incorporated increases, the mobility of Cd increases since Cd is one of the elements most representative of the Cadmium Sponge. Hence, Cd is above the non-hazardous limit for a dosage of 70% regardless of the treatment of waste or the type of activator used.
As and Se overcome the non-hazardous limits even at 0% of waste dosage, demonstrating that these elements do not proceed from the Cadmium Sponge but from precursors, the aluminosilicate sources used for the formation of geopolymer, coal fly ash, and clay. In fact, As and Se exceed the non-hazardous limit regardless of the activator and the pretreatment of waste.
In Figure 7, the concentration of the contaminants in the leachate after S/S of Anode Mud is represented in relation to the non-hazardous waste disposal limits. The two geopolymer activators, with and without drying treatment at different Anode Mud (AM) dosages, 0, 50, and 70%, are plotted.
Ba, Cr, Cu, Mo, Ni, Pb, Sb, and Zn present concentrations below the non-hazardous limits for waste disposal regardless of the waste dosage, the treatment, or the type of activator used. In addition, Zn presented less mobility when the 50% Anode Mud was used as received for the two types of activators. In the other elements, a similar tendency can be observed, although it is most significant in the case of Zn.
Cd is below the non-hazardous limits when the Anode Mud waste was immobilized and dried for the two types of activators. Nevertheless, Cd is above the non-hazardous limit when the waste was used as received, although it is close to the limit for the two activators.
As and Se overcome the non-hazardous limits even at 0% of waste dosage, demonstrating that these elements do not proceed from the Anode Mud, the same as for Cadmium Sponge. Finally, it can be concluded that the presence of As and Se is practically negligible in both residues, while their mobility is associated with the precursors used in the geopolymer matrix, in the case of As, in both fly ash and clay, and Se only with carbon by-products.
On the other hand, the mobility of Cd and Zn are associated with the addition of waste, obtaining a high immobilization rate in the geopolymer matrix. In the case of Cd, in both CS and AM waste, with a dosage of 50% of waste, the landfill disposal limit is met, and, with a dosage of 70%, the values of concentrations are very close to the limits. Furthermore, the leaching of Zn is always below the limit.
Considering the activator used, the mobility of the elements decreases using the commercial activator, although the concentrations of elements using the alternative activator (NaOH/Na2CO3) are close to those obtained with the commercial activator (NaOH/Na2SiO3). In relation to the treatment of waste, the pretreatment of the acid waste, far from improving the leaching results, for some elements, it even worsens them. Therefore, in general, neither the type of activator nor the pretreatment of the acid residues had a significant influence on the mobility of the contaminants.
For these reasons, in the next step of this study, the optimization and mathematical modelling, the geopolymeric matrices are going to be developed using only coal fly ash as a precursor, the alternative activator (NaOH/Na2CO3), and removing the pretreatment step in the immobilization of the acid waste.
3.2. Optimization and Mathematical Modelling of the S/S Process
The immobilization efficiency of both acid wastes in geopolymer matrices has been demonstrated in the previous section. In all the cases studied, a high retention of the major pollutants, Cd and Zn, present in both acid wastes has been observed. However, it is advisable to optimize the process through a statistical analysis to determine the validity of the process variables in a greater range.
3.2.1. Optimization of S/S Formulations
A factorial experimental design to optimize the retention of critical pollutants of the two zinc plant acid residues, with three independent variables or factors and five dependent variables or response variables, was analyzed.
The three independent variables or factors are acid-waste-to-geopolymer ratio (X1); liquid/solid ratio (X2), where solids are the sum of the acid waste and the coal fly ash; and the molar concentration of NaOH (X3). In X1, the values studied in Section 3.1 are maintained and an intermediate point is added. In addition, clay has been removed for the geopolymer formulations; therefore, only coal fly ash is used as a precursor. Due to the removal of clay, for processing the samples in this stage of the study, only molds were used. For this reason, the L/S ratio has been able to be increased (X2). The objective of increasing the L/S ratio is to promote the increase in Si and Al concentrations in the aqueous phase and thus improve the process of the formation of the geopolymer system [40,53,54]. Finally, the variable X3, different molar concentrations of the alkaline activator NaOH, were studied. By increasing the concentration of NaOH in the aqueous phase of the geopolymer system, the dissolution rate of the Si and Si–Al phases of the aluminosilicate sources increases, improving the efficiency of the geopolymer system. In Table 7, the three levels of the three selected independent variables or factors are shown.
Table 7.
Experimental factorial design of the S/S process.
The five dependent variables or response variables studied were density of S/S products and pH values and the concentrations of As, Cd, and Zn in the leachate, chosen because they form oxyanionic species that present the higher release from the geopolymer matrix [55]. Cd and Zn are the elements present at the highest concentrations in the acid waste. The acid waste was used as received and processed by molding, so a pretreatment step can be removed.
The results obtained for each of the experiments proposed in the factorial design of experiments for the S/S of CS and AM waste are shown in Table 8. The main difference with respect to the results obtained in the feasibility stage, using the mixture of fly ash and clay as precursors, is the drastic reduction in the leaching of arsenic and cadmium. All the leaching results are below the landfill limits established for non-hazardous waste, <2 mg/kg and <1 mg/kg, respectively. In the case of CS products, for As, it is observed that samples that leach below the detection limit are associated with lower [NaOH] concentrations, which favor a lower solubility of sodium arsenate. In the case of S/S products with Anode Mud waste, the high reduction in As may be due to the increased presence of fly ash particles in the matrix that provide regions rich in Fe, which favors the sorption of arsenic on iron hydroxide surfaces. While the immobilization of Cd is associated with a significant increase in the range of pH values of the leachates of these materials in relation to the previous stage, at high pH values, the solubility of cadmium hydroxide (Cd(OH)2) is very low. The concentration of Zn in the leachates in both acid wastes does not exceed the limit, except in a single sample. On the other hand, the densities of these products are in the same order as the products developed using clay.
Table 8.
Results of Cadmium Sponge (CS) and Anode Mud (AM) S/S in terms of pH values, geopolymer density, and concentrates of As, Cd, and Zn in the leachates (leaching test EN 12457-2).
3.2.2. Mathematical Modelling of the S/S Process
Once the results obtained from the factorial design of experiments (Table 8) were analyzed, the next step was to determine the mathematical model coefficients. Individual coefficients (a·X1; b·X2; c·X3) and the combined ones (d·X1X2; e·X1X3; f·X2X3; g·X12; h·X22; i·X32) were considered in the second-order polynomial equations. Nevertheless, only coefficients presenting statistically significant p-values below 0.05 were included in the equations, meaning that the inlet variable significantly affects the response variable with a confidence level of 95% (Table 9). As and Cd were not plotted nor mathematically adjusted since most of the experiments resulted in values below the detection limit of the ICP-AES.
Table 9.
Mathematical adjustment of the response variables of the experimental factorial design.
According to the mathematical adjustment for Cadmium Sponge, the highest influence on the pH values relies on the NaOH molar concentration (X3) and the combined effect of CS waste/geopolymer matrix ratio and NaOH concentration (X1·X3). The variable (X3) has a positive effect on pH due to the alkalinity, while the combined effect of CS/geopolymer ratio and NaOH concentration has a negative effect due to the acidity of the Cadmium Sponge. The Zn leachate concentration is affected by all the variables. The highest effect was observed in the NaOH concentration, and the combination of CS/geopolymer ratio and liquid/solid ratio (X1·X2) presents the highest coefficient. This combined effect favors the leaching of Zn due to the highest content of Zn that the CS has, while the other observed combined effect decreases the leaching of Zn.
In relation to Anode Mud waste, the pH values decrease mainly by the amount of acid residue added to the geopolymer matrix (X1). The mathematical adjustment of the Zn concentration in the leachate shows quantitative effects of the variables X1 and X2 individually, which is neutralized with the combined effect of both. Therefore, the results do not allow trends, so it is necessary to perform response surface graphs.
Deviations between the predicted values, estimated using the statistical model, and the experimental values are below 2% in the case of the pH of the CS and AM leachates. Deviations below 5% are in the case of AM geopolymer density and the Zn concentration of the AM leachate. The worst adjustment (<20%), and, consequently, the highest difference between the predicted and experimental values, is the Zinc concentration of the CS leachate. In general, all the errors are very small, demonstrating the adequate statistical data analysis.
In Figure 8 and Figure 9, the response surfaces are plotted for Cadmium Sponge and Anode Mud. The pH values in the leachates, S/S products density, and mobility of Zn are represented as a function of the two inlet variables that affect them more.
Figure 8.
Response surface of Cadmium Sponge (CS): pH values and Zn concentration versus waste–geopolymer ratio and NaOH concentration, (a,b), respectively.
Figure 9.
Response surface of Anode Mud (AM): pH values (a), geopolymer density (b), and Zn concentration (c) versus waste–geopolymer ratio, liquid–solid ratio, and NaOH concentration.
From the results shown for both acid wastes, when the amount of acid waste added increases, there is a decrease in the mobility of Zn in the leachate. While the concentration of NaOH slightly influences the Zn mobility for CS products, no influence for the AM products is found.
Considering the non-hazardous waste landfill disposal limit established by Decision 2003/33/EC and Figure 8a,b for Cadmium Sponge (CS), it can be concluded that the optimal operating range conditions for all the dependent variables is: acid waste/geopolymer ratio between 0.55 and 0.65, liquid/solid ratio above 0.55, and NaOH concentration of 6 M. In the case of the Anode Mud waste according with the response surfaces of Figure 9, the optimal conditions are: acid waste/geopolymer ratio of 0.7, liquid/solid ratio above 0.6, and NaOH concentration between 6 and 10 M.
4. Conclusions
In this work, a more sustainable strategy for the solidification and stabilization (S/S) of acid waste from the zinc production industry—Cadmium Sponge (CS) and Anode Mud (AM) as a treatment prior to disposal in a landfill—has been addressed.
For the development of geopolymers, they have been tested: (i) as precursors: coal fly ash and clay; (ii) as activators: a commercial one, based on sodium silicate and sodium hydroxide, and an alternative one, in which the silicates are partially replaced by a sodium carbonate by-product; (iii) two dosages of acid waste (50% and 70%); and (iv) two processing methods: molding (with as-received waste) and pressing (with dried waste).
The acid waste S/S values need to be evaluated both technically and environmentally to assess whether they meet the criteria for landfill disposal. All the samples meet the compressive strength limit required in landfills for monoliths (3 MPa). From the environmental point of view, in general, neither the type of activator nor the pretreatment of the acid waste had a significant influence on the mobility of the contaminants.
The contents of As and Se are practically negligible in both wastes, so their mobility in the S/S products is associated with the precursors used in the geopolymer matrix, in the case of As, in both fly ash and clay, and Se only with carbon by-products. On the other hand, the mobility of Cd and Zn is associated with the addition of waste, obtaining a high immobilization rate greater than 99%. In the case of Cd, in both wastes, CS and AM, with a dosage of 50%, the non-hazardous waste landfill disposal limit is met. Furthermore, the leaching of Zn is always below the limit.
Once the feasibility of the S/S process has been demonstrated, the optimization has been carried out, removing clay from the geopolymer formulation, using only coal fly ash as a precursor, the alternative activator (NaOH/Na2CO3), and without pretreatment of the acid waste. The geopolymer parameters, acid waste/geopolymer ratio, liquid/solid ratio, and NaOH molar concentration allow to obtain a significant reduction in the release of As and Cd, and Zn is kept at acceptable values for both acid wastes. According to the mathematical adjustment and response surfaces, it can be concluded that the optimal operating range conditions for CS S/S products are a waste/geopolymer ratio between 0.55 and 0.65, liquid/solid ratio above 0.55, and NaOH molar concentration of 6, while, for the AM S/S products, these values are a waste/geopolymer ratio above 0.7, liquid/solid above 0.6, and NaOH concentration in the interval 6 to 10 M, which meet the non-hazardous waste landfill disposal limits for the S/S of zinc plant residues (ZPR).
Author Contributions
J.D., Writing—Original Draft Preparation, methodology, and investigation; T.L. software, formal analysis, writing—original draft preparation, E.C., Methodology, investigation, and writing—review and editing; A.A., Writing—Review & Editing, project administration, and funding acquisition. All authors have read and agreed to the published version of the manuscript.
Funding
This work has been partially supported by the Spanish Ministry of Economy and Competitiveness and the European Regional Development Fund by means of the research project RTI2018-097612-B-C22.
Institutional Review Board Statement
Not applicable.
Informed Consent Statement
Not applicable.
Data Availability Statement
Not applicable.
Acknowledgments
Acknowledge the technical support and supplying the materials used in this work to the companies Reciclados de Cabezón SL, FCC ámbito, SA. and Solvay Química SL.
Conflicts of Interest
The authors declare no conflict of interest.
References
- Martínez-Sánchez, M.; Solan-Marín, A.; Hidalgo, A.; Pérez-Sirvent, C. Characterization and mobilization of toxic metals from electrolytic zinc waste. Chemosphere 2019, 233, 414–421. [Google Scholar] [CrossRef] [PubMed]
- Mohr, S.; Giurco, D.; Retamal, M.; Mason, L.; Mudd, G. Global Projection of Lead-Zinc Supply from Known Resources. Resources 2018, 7, 17. [Google Scholar] [CrossRef] [Green Version]
- Zhang, C.-M.; Shi, Y.; Jiang, L.-H.; Hu, Y.-Y.; Li, Q.; Li, H.-Q. Analysis of lead pollution control in anode slime micromorphology evolution induced by Mn2+ ions for cleaner production of zinc electrolysis. J. Clean. Prod. 2021, 297, 126700. [Google Scholar] [CrossRef]
- Wang, R.; Yan, Q.; Su, P.; Shu, J.; Chen, M.; Xiao, Z.; Han, Y.; Cheng, Z. Metal mobility and toxicity of zinc hydrometallurgical residues. Process Saf. Environ. Prot. 2020, 144, 366–371. [Google Scholar] [CrossRef]
- Hu, J.-L.; Yang, X.-S.; Liu, T.; Shao, L.-N.; Zhang, W. Adsorption characteristic of As(III) on goethite waste generated from hydrometallurgy of zinc. Water Sci. Technol. 2017, 75, 2747–2754. [Google Scholar] [CrossRef]
- Grudinsky, P.; Pankratov, D.; Kovalev, D.; Grigoreva, D.; Dyubanov, V. Comprehensive Study on the Mechanism of Sulfating Roasting of Zinc Plant Residue with Iron Sulfates. Materials 2021, 14, 5020. [Google Scholar] [CrossRef]
- Ayala, J.; Fernández, B. Reuse of Anode Slime Generated by the Zinc Industry to Obtain a Liquor for Manufacturing Electrolytic Manganese. JOM 2013, 65, 1007–1014. [Google Scholar] [CrossRef]
- Aparajith, B.; Kumar, A.; Hodder, D.; Gupta, M. Recovery of cadmium from hydrometallurgical zinc smelter by selective leaching. Hydrometallurgy 2010, 102, 31–36. [Google Scholar] [CrossRef]
- Li, B.; Wang, X.; Wei, Y.; Wang, H.; Barati, M. Extraction of copper from copper and cadmium residues of zinc hydrometallurgy by oxidation acid leaching and cyclone electrowinning. Miner. Eng. 2018, 128, 247–253. [Google Scholar] [CrossRef]
- Chandra, N.; Amritphale, S.; Pal, D. Manganese recovery from secondary resources: A green process for carbothermal reduction and leaching of manganese bearing hazardous waste. J. Hazard. Mater. 2011, 186, 293–299. [Google Scholar] [CrossRef]
- Mahon, M.; Alfantazi, A. Manganese consumption during zinc electrowinning using a dynamic process simulation. Hydrometallurgy 2014, 150, 184–191. [Google Scholar] [CrossRef]
- Jaimes, R.; Miranda-Hernández, M.; Lartundo-Rojas, L.; González, I. Characterization of anodic deposits formed on Pb–Ag electrodes during electrolysis in mimic zinc electrowinning solutions with different concentrations of Mn(II). Hydrometallurgy 2015, 156, 53–62. [Google Scholar] [CrossRef]
- Huang, T.; Zhou, L.; Chen, L.; Liu, W.; Zhang, S.; Liu, L. Mechanism exploration on the aluminum supplementation coupling the electrokinetics-activating geopolymerization that reinforces the solidification of the municipal solid waste incineration fly ashes. Waste Manag. 2020, 103, 361–369. [Google Scholar] [CrossRef] [PubMed]
- Zhang, P.; Muhammad, F.; Yu, L.; Xia, M.; Lin, H.; Huang, X.; Jiao, B.; Shiau, Y.; Li, D. Self-cementation solidification of heavy metals in lead-zinc smelting slag through alkali-activated materials. Constr. Build. Mater. 2020, 249, 118756. [Google Scholar] [CrossRef]
- Hoang, J.; Reuter, M.; Matusewicz, R.; Hughes, S.; Piret, N. Top submerged lance direct zinc smelting. Miner. Eng. 2009, 22, 742–751. [Google Scholar] [CrossRef]
- De Barros, F.C.; Abreu, C.S.; de Lemos, L.R. Separation of Cd(II), Cu(II) and zinc sulfate from waste produced in zinc hydrometallurgy cementation. Sep. Sci. Technol. 2021, 56, 1360–1369. [Google Scholar] [CrossRef]
- Moradkhani, D.; Rasouli, M.; Behnian, D.; Arjmandfar, H.; Ashtari, P. Selective zinc alkaline leaching optimization and cadmium sponge recovery by electrowinning from cold filter cake (CFC) residue. Hydrometallurgy 2012, 115–116, 84–92. [Google Scholar] [CrossRef]
- Gharabaghi, M.; Irannajad, M.; Azadmehr, A.R. Leaching behavior of cadmium from hazardous waste. Sep. Purif. Technol. 2012, 86, 9–18. [Google Scholar] [CrossRef]
- Xing, W.D.; Sohn, S.H.; Lee, M.S. A Review on the Recovery of Noble Metals from Anode Slimes. Miner. Process. Extr. Met. Rev. 2020, 41, 130–143. [Google Scholar] [CrossRef]
- Dreisinger, D.; Glück, T.; Lu, J.; Xie, F.; Marte, K.; Parada, F. New Developments in the Recovery of Copper, Cobalt, Zinc and Manganese in the Boleo Process. In Proceedings of the 2012 SME Annual Meeting and Exhibit 2012, SME 2012, Meeting Preprints, Seattle, WA, USA, 19–22 February 2012; pp. 191–201. [Google Scholar]
- Niu, M.; Li, G.; Wang, Y.; Li, Q.; Han, L.; Song, Z. Comparative study of immobilization and mechanical properties of sulfoaluminate cement and ordinary Portland cement with different heavy metals. Constr. Build. Mater. 2018, 193, 332–343. [Google Scholar] [CrossRef]
- Shi, C.; Fernández-Jiménez, A.M. Stabilization/solidification of hazardous and radioactive wastes with alkali-activated cements. J. Hazard. Mater. 2006, 137, 1656–1663. [Google Scholar] [CrossRef] [PubMed]
- Paz-Gómez, D.C.; Vilarinho, I.S.; Pérez-Moreno, S.M.; Carvalheiras, J.; Guerrero, J.L.; Novais, R.M.; Seabra, M.P.; Ríos, G.; Bolívar, J.P.; Labrincha, J.A. Immobilization of Hazardous Wastes on One-Part Blast Furnace Slag-Based Geopolymers. Sustainability 2021, 13, 13455. [Google Scholar] [CrossRef]
- Vu, T.H.; Gowripalan, N. Mechanisms of Heavy Metal Immobilisation using Geopolymerisation Techniques—A review. J. Adv. Concr. Technol. 2018, 16, 124–135. [Google Scholar] [CrossRef] [Green Version]
- Nguyen, T.A.; Guo, X.; You, F.; Saha, N.; Wu, S.; Scheuermann, A.; Ren, C.; Huang, L. Co-solidification of bauxite residue and coal ash into indurated monolith via ambient geopolymerisation for in situ environmental application. J. Hazard. Mater. 2021, 422, 126925. [Google Scholar] [CrossRef] [PubMed]
- Maldonado-Alameda, À.; Giro-Paloma, J.; Alfocea-Roig, A.; Formosa, J.; Chimenos, J.M. Municipal Solid Waste Incineration Bottom Ash as Sole Precursor in the Alkali-Activated Binder Formulation. Appl. Sci. 2020, 10, 4129. [Google Scholar] [CrossRef]
- Palomo, A.; Fuente, J.L.D.; Palomo, A.; Fuente, J.L.D. Alkali-activated cementitous materials: Alternative matrices for the immobilisation of hazardous wastes: Part I. Stabilisation of boron. Cem. Concr. Res. 2003, 33, 281–288. [Google Scholar] [CrossRef]
- Harja, M.; Buema, G.; Bulgariu, L.; Bulgariu, D.; Sutiman, D.M.; Ciobanu, G. Removal of cadmium(II) from aqueous solution by adsorption onto modified algae and ash. Korean J. Chem. Eng. 2015, 32, 1804–1811. [Google Scholar] [CrossRef]
- Cifrian, E.; Dacuba, J.; Llano, T.; Díaz-Fernández, M.D.C.; Andrés, A. Coal Fly Ash–Clay Based Geopolymer-Incorporating Electric Arc Furnace Dust (EAFD): Leaching Behavior and Geochemical Modeling. Appl. Sci. 2021, 11, 810. [Google Scholar] [CrossRef]
- Pereira, C.F.; Luna, Y.; Querol, X.; Antenucci, D.; Vale, J. Waste stabilization/solidification of an electric arc furnace dust using fly ash-based geopolymers. Fuel 2009, 88, 1185–1193. [Google Scholar] [CrossRef]
- Nikolić, I.; Đurović, D.; Marković, S.; Veselinović, L.; Janković-Častvan, I.; Radmilović, V.V.; Radmilović, V.R. Alkali activated slag cement doped with Zn-rich electric arc furnace dust. J. Mater. Res. Technol. 2020, 9, 12783–12794. [Google Scholar] [CrossRef]
- Ogundiran, M.B.; Nugteren, H.W.; Witkamp, G.J. Immobilisation of lead smelting slag within spent aluminate—Fly ash based geopolymers. J. Hazard. Mater. 2013, 248–249, 29–36. [Google Scholar] [CrossRef] [PubMed]
- Mao, Y.; Muhammad, F.; Yu, L.; Xia, M.; Huang, X.; Jiao, B.; Shiau, Y.; Li, D. The Solidification of Lead-Zinc Smelting Slag through Bentonite Supported Alkali-Activated Slag Cementitious Material. Int. J. Environ. Res. Public Health 2019, 16, 1121. [Google Scholar] [CrossRef] [PubMed] [Green Version]
- Li, S.; Huang, X.; Muhammad, F.; Yu, L.; Xia, M.; Zhao, J.; Jiao, B.; Shiau, Y.; Li, D. Waste solidification/stabilization of lead–zinc slag by utilizing fly ash based geopolymers. RSC Adv. 2018, 8, 32956–32965. [Google Scholar] [CrossRef] [Green Version]
- Huang, X.; Zhuang, R.; Muhammad, F.; Yu, L.; Shiau, Y.; Li, D. Solidification/stabilization of chromite ore processing residue using alkali-activated composite cementitious materials. Chemosphere 2017, 168, 300–308. [Google Scholar] [CrossRef]
- Yu, L.; Fang, L.; Zhang, P.; Zhao, S.; Jiao, B.; Li, D. The Utilization of Alkali-Activated Lead–Zinc Smelting Slag for Chromite Ore Processing Residue Solidification/Stabilization. Int. J. Environ. Res. Public Health 2021, 18, 9960. [Google Scholar] [CrossRef] [PubMed]
- Nikolić, V.; Komljenović, M.; Džunuzović, N.; Ivanović, T.; Miladinović, Z. Immobilization of hexavalent chromium by fly ash-based geopolymers. Compos. Part B Eng. 2017, 112, 213–223. [Google Scholar] [CrossRef]
- Zhang, M.; Yang, C.; Zhao, M.; Yang, K.; Shen, R.; Zheng, Y. Immobilization potential of Cr(VI) in sodium hydroxide activated slag pastes. J. Hazard. Mater. 2016, 321, 281–289. [Google Scholar] [CrossRef]
- Barreto, L.S.S.; Ghisi, E.; Godoi, C.; Oliveira, F.J.S. Reuse of ornamental rock solid waste for stabilization and solidification of galvanic solid waste: Optimization for sustainable waste management strategy. J. Clean. Prod. 2020, 275, 122996. [Google Scholar] [CrossRef]
- Galiano, Y.L.; Pereira, C.F.; Vale, J. Stabilization/solidification of a municipal solid waste incineration residue using fly ash-based geopolymers. J. Hazard. Mater. 2011, 185, 373–381. [Google Scholar] [CrossRef]
- El-Eswed, B.I. Chemical evaluation of immobilization of wastes containing Pb, Cd, Cu and Zn in alkali-activated materials: A critical review. J. Environ. Chem. Eng. 2020, 8, 104194. [Google Scholar] [CrossRef]
- Bakhshi, M.; Mohammad, S.; Hosseini, R.; Rahimi, M. Cadmium Filter Cake of a Hydrometallurgical Zinc Smelter as a New Source for the Biological Synthesis of CdS Quantum Dots Using AASX (Air-assisted solvent extraction) for dilute solution View project. Int. J. Biotechnol. Bioeng. 2017, 11, 148–152. [Google Scholar]
- Shi, C.; Jimenez, A.F.; Palomo, A. New cements for the 21st century: The pursuit of an alternative to Portland cement. Cem. Concr. Res. 2011, 41, 750–763. [Google Scholar] [CrossRef]
- Izquierdo, M.; Querol, X.; Phillipart, C.; Antenucci, D.; Towler, M. The role of open and closed curing conditions on the leaching properties of fly ash-slag-based geopolymers. J. Hazard. Mater. 2010, 176, 623–628. [Google Scholar] [CrossRef] [PubMed]
- Yılmaz, H. Characterization and comparison of leaching behaviors of fly ash samples from three different power plants in Turkey. Fuel Process. Technol. 2015, 137, 240–249. [Google Scholar] [CrossRef]
- Komonweeraket, K.; Cetin, B.; Aydilek, A.H.; Benson, C.H.; Edil, T.B. Effects of pH on the leaching mechanisms of elements from fly ash mixed soils. Fuel 2015, 140, 788–802. [Google Scholar] [CrossRef]
- Loncnar, M.; van der Sloot, H.A.; Mladenovič, A.; Zupančič, M.; Kobal, L.; Bukovec, P. Study of the leaching behaviour of ladle slags by means of leaching tests combined with geochemical modelling and mineralogical investigations. J. Hazard. Mater. 2016, 317, 147–157. [Google Scholar] [CrossRef]
- Wan, Q.; Rao, F.; Song, S.; Zhang, Y. Immobilization forms of ZnO in the solidification/stabilization (S/S) of a zinc mine tailing through geopolymerization. J. Mater. Res. Technol. 2019, 8, 5728–5735. [Google Scholar] [CrossRef]
- Provis, J.L.; van Deventer, J.S.J. Alkali Materials Activated RILEM-State-of-the-Art Report; Springer: Dordrecht, The Netherlands, 2014; Volume 13. [Google Scholar]
- Álvarez-Ayuso, E.; Querol, X.; Plana, F.; Alastuey, A.; Moreno, N.; Izquierdo, M.; Font, O.; Moreno, T.; Díez, S.; Vázquez, E.; et al. Environmental, physical and structural characterisation of geopolymer matrixes synthesised from coal (co-)combustion fly ashes. J. Hazard. Mater. 2008, 154, 175–183. [Google Scholar] [CrossRef]
- Chen, Y.; Chen, F.; Zhou, F.; Lu, M.; Hou, H.; Li, J.; Liu, D.; Wang, T. Early solidification/stabilization mechanism of heavy metals (Pb, Cr and Zn) in Shell coal gasification fly ash based geopolymer. Sci. Total Environ. 2022, 802, 149905. [Google Scholar] [CrossRef]
- Provis, J.L.; van Deventer, J.S.J. Geopolymers: Structures, Processing, Properties and Industrial Applications; Woodhead Publishing: Waltham, MA, USA, 2009. [Google Scholar]
- Panias, D.; Giannopoulou, I.P.; Perraki, T. Effect of synthesis parameters on the mechanical properties of fly ash-based geopolymers. Colloids Surf. A Physicochem. Eng. Asp. 2007, 301, 246–254. [Google Scholar] [CrossRef]
- Rickard, W.D.; Williams, R.; Temuujin, J.; van Riessen, A. Assessing the suitability of three Australian fly ashes as an aluminosilicate source for geopolymers in high temperature applications. Mater. Sci. Eng. A 2011, 528, 3390–3397. [Google Scholar] [CrossRef]
- Izquierdo, M.; Querol, X.; Davidovits, J.; Antenucci, D.; Nugteren, H.; Pereira, C.F. Coal fly ash-slag-based geopolymers: Microstructure and metal leaching. J. Hazard. Mater. 2009, 166, 561–566. [Google Scholar] [CrossRef] [PubMed]
Publisher’s Note: MDPI stays neutral with regard to jurisdictional claims in published maps and institutional affiliations. |
© 2022 by the authors. Licensee MDPI, Basel, Switzerland. This article is an open access article distributed under the terms and conditions of the Creative Commons Attribution (CC BY) license (https://creativecommons.org/licenses/by/4.0/).








