Abstract
The development of a carbon-neutral production and distribution method that minimizes the consumption of input resources and energy and facilitates resource recycling is an important global issue. Therefore, this study aimed to explore a new type of sustainable supply chain network (SSCN) that focuses on carbon neutrality and personalization. The first significance of the SSCN model is that it combines carbon neutrality and personalization problems into one research framework for the sustainable development of corporate management environments. In addition, evaluation and optimization mechanisms are crucial for decision-making in an SSCN. Thus, in this study, a creative evaluation and optimization mechanism was developed as a second significance for the sustainable development of the supply chain. The model used two evaluation indices (EIs) to measure the performance of the entire network in terms of the degree of personalization and carbon neutrality. The proposed SSCN is formulated as a mathematical model using mixed-integer nonlinear programming, and it is implemented by combining two types of approaches: hypergeometric distribution and a genetic algorithm. The results show the evaluation values and comparisons by the average values of transportation cost, handling cost, fixed costs, carbon dioxide emission cost, total cost, and average processing time. In addition to providing help for mass-customized production enterprises, this study also provided constructive suggestions for the conversion of small or venture enterprises to multi-variety and small-scale production, and it suggests the direction of job creation for such enterprises.
1. Introduction
With advancements in science and technology, the minimization of costs and labor inputs is becoming increasingly significant. In addition, As the COVID-19 pandemic continues, supply chain sustainability is imperative, especially because carbon neutrality in response to climate change acts as a major entry barrier for corporate management. Further, as an increasing number of consumers demand individual creativity and customized products, the demand for changes in the corporate management environments is on the rise.
The concept of sustainability includes both economic and environmental development [1]. This requires the participation of society as a whole, especially that of manufacturing enterprises. There are two reasons for this: (1) they are important contributors; and (2) they are also major resource users and polluters. Thus, to achieve sustainability, manufacturing enterprises’ products and services must not only enhance customer satisfaction but also address the conflict between environmental protection and social-economic development throughout their lifecycle. It is necessary to optimize resource utilization throughout the supply chain [2,3].
In addition, in response to the growing trend of individual creativity in consumption, the transition to a multi-variety, low-volume production system is emphasized [4]. A supply chain with a manufacturing system that can flexibly change production lines to meet the consumer demand for hyper-personalization acts as the core of corporate competitiveness. Accordingly, the development of a carbon-neutral production and distribution method that minimizes the consumption of input resources and energy consumption and facilitates resource recycling is an important question worldwide. Therefore, this study aims to explore a new type of sustainable supply chain network focused on personalization.
Previous research studies have proposed various optimization models considering environmental problems to improve the performance of the entire supply chain model [5,6]. In addition, several researchers have focused on personalization problems when optimizing the supply chain model [7,8]. Manufacturers have built strong supply chain models by integrating various types of supplier resources and fulfilling consumers’ personalized demands through flexible scheduling of such resources [9]. For example, Chen et al. proposed a customized model of cold chain logistics, in which the companies determined the amount of production by predicting consumer preferences and quantity to ensure high-efficiency production [4]. However, the environmental and personalization issues should be considered simultaneously in a sustainable supply chain network.
Combining the carbon neutrality and personalization problems into one research framework is of great significance for the sustainable development of corporate management environments. Sustainable supply chain management is an emerging area in both research and industry. It is considered a highly relevant subject where organizations seek to increase their competitiveness through the insertion of sustainable practices in their products and service [10,11]. Therefore, our study aims to address this gap by building a sustainable supply chain network model considering carbon neutrality and personalization problems (SSCN). In the SSCN model, manufacturers are committed to resolving the conflict between environmental protection and social and economic development throughout their entire life cycle by optimizing resource utilization across the entire supply chain, while providing products and services that can improve the quality of life.
In addition, the assessment of sustainability plays an important role in identifying the strengths and weaknesses of organizations in relation to their economic and environmental performance [12]. Measurement and optimization performance are important factors when using sustainable practices [13]. However, it is difficult to evaluate the performance of companies in terms of their sustainability because sustainability incorporates multi-criteria parameters [14].
Some studies have focused on different techniques and methods to assess corporate sustainability. Several models for SSCN analysis have been used in industrial ecology to quantify and assess the environmental impacts of waste generation, gaseous emissions, resource consumption, and water and energy produced throughout its life cycle. Most other studies are related to models for analysis, such as AHP and the decision-making trial and evaluation laboratory [15]. The mathematical model for optimization is mixed-integer linear programming (MILP), which is used for optimization in industries [16]. Heuristic methods are also used to model problems in SSCN. An example is the application of swarm intelligence, and artificial bee colony [17]. It is necessary to incorporate mathematical, analytical, heuristic, and simulation techniques to optimize sustainable supply chains [18]. For decision-making and evaluation, it is necessary to extract the current reality correctly, analyze it with consolidated metrics, and optimize quantitatively for the best decision [19]. Therefore, evaluation and optimization mechanisms are crucial for decision-making in an SSCN. In this study, a creative evaluation and optimization mechanism was developed as a second significance for the sustainable development of the supply chain.
The model uses two evaluation indexes (EIs) to measure the performance of the entire network in terms of the degree of personalization and usage of green parts. The proposed SSCN is formulated as a mathematical model using mixed-integer nonlinear programming (MINLP) [20], and it is implemented combining two kinds of approaches with hypergeometric distribution (HD) and the genetic algorithm (GA). The application of HD is extensive, especially in random selection and sampling analyses [21,22]. The HD approach has also been applied to solve a learning probability problem [23]. In this study, the degree of personalization and usage of green parts of the EI are scientifically calculated by applying the HD approach [24]. The EI represents the probability of a manufacturer choosing personalization parts and green parts. Thus, the relationship between the performance of the entire SSCN and the number of personalization products is measured. The EI results are then applied to the GA approach. Finally, the SSCN is optimized by minimizing the total transformation, handling, fixed, and carbon dioxide emission costs.
This paper is organized as follows. Section 2 presents the literature review of the relationship between carbon neutrality, personalization, and sustainable supply chain, and the optimization method of the SSCN model. In Section 3, we describe the SSCN model in detail; Section 4 presents the mathematical model for the HD and SSCN model; Section 5 proposes the GA approach by implementing the mathematical model; Section 6 considers the various scenarios, presents the computational results, and analyzes the numerical experiments using various EIs. Finally, we conclude the paper and suggest future research directions in Section 6.
2. Literature Review
2.1. Carbon Neutrality and Sustainable Supply Chain
There is serious concern regarding the global carbon neutrality target. Primarily, the green movement compelled business bodies to assess the internal supply chain for its impact on the environment. As stated in [25], decision-makers should focus on integrating economic and environmental aspects at the supply chain network design stage. Kuiti et al. (2019) contributed to the existing literature in the area of sustainable operations by combining product design, transportation, and retailing decisions with the objective of minimizing environmental waste and pollution [26]. A conceptual idea about a reconfigurable supply chain or the X-network, along with an integrated framework of digitalization, resilience, and sustainability, has been presented [27]. The average global warming impact is 202 g CO2-eq/passenger-mile, with 50% from materials and manufacturing, and 43% of impacts coming from collection and distribution [28]. Therefore, it is important to note that carbon neutrality does not just include the eco-products; the production process should also be considered.
2.2. Personalization and Sustainable Supply Chain
Personalization has attracted much attention as an important future direction for manufacturing. The reasons for this transformation include market pressure and the development of different types of technology. Zheng et al. (2019) proposed a new product development paradigm involving users in the co-creation process to achieve individual satisfaction [29]. Liu and Yao (2018) evaluated suppliers under hyper-personalization from three dimensions: strategic consistency, resource complexity, and operational synergy, and established a mathematical model for the optimization of supply chain integration [9]. These studies lay the foundation for research on supply chain optimization under hyper-personalization [30]. Specifically, if personalization is desired to generate greater value, its impact on the environment must be considered. Emphasis on the environment requires manufacturers to implement hyper-personalization to promote SSCN and provide personalized products and services while reducing damage to the environment. Tseng et al. (2019) defined the SSCN as the integration of an environmental management system into the supply chain process, including collaboration with customers, suppliers, and logistics service providers to share information and knowledge with the aim of improving environmental performance [31]. Currently, there is insufficient research on supply chain optimization under personalization. With the deepening of labor division and production outsourcing, the completion of a customized product or service must rely on the flexible scheduling of supply chain resources [8]. Therefore, it is important to improve the scale effect of the entire supply chain.
2.3. The Method of HD and GA
The determination of decision-making and evaluation intervals is critical [32]. The HD method is widely applied to determine the decision intervals. Krishnamoorthy and Lv (2020) constructed prediction intervals for HD [33]. Han (2020) used the HD model to provide a residual set of various marine quality control methods and finally selected an optimized marine data quality control method [34].
Recently, given the specific needs of customers, demand characteristics have varied from one customer to another for each product; therefore, the method of network optimization considering personalization has received attention. The GA approach is widely used in this particular area of the SSCN optimization model. Atan et al. (2018) proposed a GA to serve two types of customers in terms of high and low priority [35]. Yan et al. (2019) developed a hybrid GA to consider priority demand classes in a sparse SC with a two-echelon and multi-location inventory model [36]. Van Wijk et al. (2019) investigated an inventory model for providing repairable parts as a critical component of advanced technological systems [37].
3. The SSCN Model
The market production and demand for eco-friendly vehicles are increasing every year. They reached 740,000 vehicles in 2014 [38], and it is expected to reach 20 million eco-friendly vehicles by 2020 [39]. The number of customers who purchase eco-friendly vehicles increases by 10% every year. In South Korea, from 2005 to 2015, the share of the environmental industry in industry turnover increased sevenfold, from 0.38% to 2.82% [40]. South Korean companies have emerged as leading producers of green products such as solar cells, batteries, and electric vehicles. This is especially true in the development of fuel cell electric vehicle (FCEV) technology and industry. As of September 2020, Hyundai Motor Nexo ranked first among hydrogen fuel cell vehicle sales worldwide, followed by Toyota Mirai and Honda Clarity [41]. South Korea has the largest FCEV market and the largest global producer of FCEV.
There are four types of eco-friendly vehicles: electric vehicles (EV), hybrid electric vehicles (HEV), plug-in hybrid electric vehicles (PHEV), and fuel cell electric vehicles (FCEV), based on the charging system [42].
In this study, eco-friendly vehicles were regarded as a representative industry for sustainable development. Simultaneously, the eco-friendly vehicle utilizes much simpler components when compared with the elements of a gasoline-powered car engine. The GE company in the United States proposed a mass customization production model for automobiles based on a flexible production line [43]; therefore, the eco-friendly vehicle industry is more suitable to illustrate the solution to the problem of considering the enterprise management environment and sustainable development simultaneously.
Although eco-friendly vehicles can illustrate sustainable development, this does not mean that their production process is eco-friendly. In fact, green production engineering is as important as eco-friendliness. Therefore, parts or products produced by green engineering during the customization process are called green parts or products [44]. In this study, the decision-making of an eco-friendly vehicle production process is divided into two segments: (1) whether to customize products and (2) the degree of personalization. We hope to achieve carbon neutrality through such a personalized supply chain and optimize the SSCN through evaluation.
The proposed SSCN model considers the manufacturing and supply chain of Eco-friendly vehicles and consists of a parts supplier (PSY), non-personalization manufacturer (NMR), personalization manufacturer (PMR), non-personalization customer (NCR), ordinary personalization customer (OPR), and advanced personalization consumer (APR). The conceptual flow of the model is illustrated in Figure 1. Parts supply is categorized into two types: non-personalization parts (N-p part) and personalization parts (p part). The N-p parts, represented by α%, are shipped to the NMR, and the p parts, represented by β%, are shipped to the PMR. The finished N-p and p products are produced by the NMR and PMR, respectively. Finally, the finished N-p products are shipped to the NCR and finished p products are shipped to the OPR or APR.
Figure 1.
The conceptual flow of the proposed SSCN model.
The proposed SSCN model has two layers (Figure 1). The first layer constitutes the parts supplied by the PSY, which supplies N-p or p parts as per the customer’s order. The second layer constitutes the PMR’s production. According to the usage degree of green parts, p products are divided into two types: ordinary and advanced. The ordinary p products, denoted by γ% and the advanced p products, denoted by δ%, are produced and delivered by the PMR.
4. Mathematical Formulation
The following assumptions are used for representing the proposed SSCN model.
- A single product type each is produced by the NMR and PMR, respectively.
- The product is composed of different parts provided by the PSY in the previous stage.
- Non-p parts and p parts can be supplied simultaneously by the PSY.
- At least one p part is used in a product.
- The number of PSYs is fixed in advance.
- The number of NMRs and PMRs is fixed in advance.
- Only one facility is opened at each stage—PSY, NMR, and PMR.
- The operating costs of the PSY, NMR, and PMR are constant, different from each other, and known in advance.
- The unit handling costs (HCs) of each type of supplier and the manufacturer are different and known in advance.
- The unit transportation costs (TCs) of the PSY, NMR, PMR, NCR, OPR, and APR are different and known in advance.
- The number of consumers is fixed and known in advance.
- The EI for the p part is considered in the supply process, depending on the usage degree of PSY’s part.
- The EI for the p product is considered in the production process depending on the usage degree of green parts by the PMR.
- The proposed SSCN model is considered to be in a steady state.
The mathematical formulation is divided into two parts. The first part expresses the EI in terms of the usage degree of the p part (UDP) and the usage degree of the green part (UDG) in the p product. The second part is the objective function. Therefore, there are two sets of index sets: parameters and decision variables.
4.1. Index Sets and Decision Variables Regarding the EI
4.1.1. Index Set for UDP and UDG of the EI
- x: index of the element probability of p parts or green p parts that can be selected by the customer in one p product.
- p: index of the maximum probability of p parts or green p parts that can be selected by the customer in one p product.
- k: index of kth variable for k.
- n: index of the sum of the number of p parts or green p parts in one p product.
- N: index of the sum of the (N-p part and p part) or (p part and green part) that can be selected by the customer in one p product.
- i: index of N-p part, , I: set of p-parts.
- i′: index of p part, , I′: set of p parts.
- j: index of N-p product, .
- j′: index of ordinary level p product, .
- k′: index of advanced level p product, .
4.1.2. Decision Variable for the UDP and UDG of the EI
- f(x): takes the value of 1 if the p part is selected and 0 otherwise.
Mathematical formulation for EI
Equation (1) is determined by the sum of the UDP and UDG. Equations (2) and (3) denote the UDP and UDG, respectively. Equation (2) can be used to adjust the usage degree of the N-p part and p part and identify the different supply processes. Equation (3) can be used to adjust the UDP and UDG and identify the different production processes. The UDP and the UDG determine the personalization levels and the ordinary or advanced production levels, respectively, by tuning EI. For example, when the UDG is high, the process of advanced production personalization is considered, and when the UDG is moderate, the process of ordinary production personalization is considered.
If the value of N in Equations (2) and (3) are very large, Equation (4) is applied instead [45,46,47].
Equations (5)–(7) represent the calculation method of the maximum probability of p parts or green p parts that can be selected by the customer in one p product. Equation (8) represents whether an N-p or p part is selected. Equation (9) represents the sum of the UDP or UDG and is equal to 1. Equation (10) has two implications: (1) that the maximum number of N-p and p parts requested in one product is lower than the total production quantity of parts; and (2) that the maximum number of p parts and green p parts requested in one product is lower than the total production quantity of p parts.
Equation (11) also indicates two points: (1) the probability of p parts that can be selected by a customer in one product is less than the maximum number of p parts requested in one product, and (2) the probability of green p parts that can be selected by a customer in one product is less than the maximum number of green p parts requested in one p product.
4.2. Objective Function: Index Sets, Parameters, and Decision Variables
4.2.1. Index Set of Objective Function
- l: index of PSY, , L: set of PSYs.
- m: index of NMR, , M: set of NMRs.
- n: index of PMR, , N: set of PMRs.
- o: index of NCR, , O: set of NCRs.
- p: index of OPR, , P: set of OPRs.
- q: index of APR, , Q: set of APRs.
4.2.2. Objective Function Parameters
- : amount of N-p part i transported from PSY l.
- : amount of p part i′ transported from PSY l.
- amount of N-p product j transported from NMR m to NCR o.
- amount of ordinary p product j′ transported from PMR n to OPR p.
- amount of advanced p product k′ transported from PMR n to APR q.
- amount of N-p part i handled by PSY l.
- amount of p part i′ handled by PSY l.
- amount of N-p product j handled by NMR m for NCR o.
- amount of ordinary p product j′ handled by PMR n for OPR p.
- amount of advanced p product k′ by NMR n for APR q.
- unit TC of N-p part i from PSY l to NMR m.
- unit TC of part i′ from PSY l to PMR n.
- unit TC of N-p product j from NMR m to NCR o.
- unit TC of ordinary p product j′ from PMR n to OPR p.
- unit TC of advanced p product k′ from PMR n to APR q.
- unit HC for N-p part i at PSY l.
- unit HC for p part i′ at PSY l.
- unit HC for N-p product j at NMR m.
- unit HC for ordinary p product j′ at PMR n for OPR p.
- unit HC for advanced p product k′ at PMR n for APR q.
- FC for N-p part i at PSY l.
- FC for p product i′ at PSY l.
- FC for p product j at NMR m.
- FC for ordinary p product j′ at PMR n.
- FC for advanced p product k′ at PMR n.
- : unit CC during processing at PSY l for N-p part i.
- : unit CC during processing at PSY l for p part i′.
- : unit CC during processing at NMR m for N-p product j.
- : unit CC during processing at PMR n for ordinary p product j′.
- : unit CC during processing at PMR n for advanced p product k′.
4.2.3. Decision Variable of Objective Function
- takes a value of 1 if PSY l with N-p part i is available; 0 otherwise.
- takes a value of 1 if PSY l with p part i′ is available; 0 otherwise.
- takes a value of 1 if NMR m with N-p product j is available; 0 otherwise.
- takes a value of 1 if PMR n with ordinary p product j′ is available; 0 otherwise.
- takes a value of 1 if PMR n with advanced p product k′ is available; 0 otherwise.
The objective function aims to minimize the total cost (TTC) as shown in Equation (12). In Equation (12), the TTC is the aggregate of the total TC, HC, FC, and CC.
Equation (13) represents the sum of the TCs for the PSY, NMR, and PMR. The first term is the sum of the TCs with N-p parts. The second term is the sum of the TCs with N-p products. The third term is the sum of the TCs with p parts. The fourth term represents the sum of TCs of p products in terms of ordinary and advanced levels.
Equation (14) represents the sum of the HCs for the PSY, NMR, and PMR. In Equation (14), the first term is the sum of the HCs with N-p parts. The second term is the sum of the HCs of the N-p products. However, in the last three terms, the EI of the HCs is considered. Therefore, the third term is the sum of the HCs with p parts. The fourth and fifth terms are the sum of the HCs of p production in terms of ordinary and advanced levels, respectively.
Equation (15) represents the sum of the FCs with N-p and p parts and the FCs with N-p and p products. Similarly, Equation (16) represents the sum of the CCs considering the UDG of EI.
The objective function as shown in Equation (12) should be optimized with respect to the following constraints.
The amounts that could be transported from each supplier were subjected to Equation (17). The transportation amount between the NMR and PMR is restricted in Equation (18). Equation (19) represents the opening constraint of N-p and p parts applicable for each part of the PSY. The other two opening constraints of the N-p and p products for the NMR and PMR are shown in Equations (20) and (21). The opening and closing constraints in terms of N-p and p parts for the PSY and N-p and p products for the NMR and PMR are shown in Equation (22).
5. GA-Based Approach
This section presents a GA-based approach to the SSCN model, which is effective for solving complex optimization problems. As most complicated network problems such as the SSCN model have an NP-hard nature, meta-heuristics such as the GA have been applied to find the optimal solution [48].
The SSCN model consists of six stages: PSY, NMR, PMR, NCR, OPR, and APR. Among these, except for the NCR, OPR, and APR, the facility that should be opened is determined randomly; that is, when one of the facilities considered at a stage is determined to be opened, the remaining should be closed. In addition, in PSY, two types of parts can be selected: N-p and p parts. The detailed implementation procedure for the GA-based approach is illustrated in Table 1.
Table 1.
The Implemented Procedure of the GA-Based Approach.
6. Numerical Experiments
The values of ELI of the UDP and UDG in three scales are shown in Table 2. As mentioned in Section 3, the proposed mathematical formulation is implemented in two parts. The first pertains to the EI in terms of the UDP and UDG for the p product. To evaluate the results of the EI, we first provide an evaluation interval (ELI) to classify the UDP and UDG. The ELI of the UDP and UDG is reflected in the different scales of N and the corresponding percentage k of n, that is, the proportion of p part n in the total parts reaches 0.2, 0.4, and 0.6, which implies that the percentage of p part reaches 20%, 40%, and 60%, respectively. Thus, the sum of the number of p parts in one p product is (1,2,3), (2,4,6), and (3,6,9), respectively, in each scale. Similarly, the ELI of the UDG is obtained as 0.4, 0.6, and 0.8, that is, the proportion of green p parts (n) in the total p parts reaches 40%, 60%, and 80%, respectively. For example, when the usage of green parts reaches 40% in Scale 1, the maximum number of the green p part in one p product is 2.
Table 2.
The ELI of the UDP and UDG in three scales.
6.1. Case Study on the UDP of the EI
The UDP values of the EI are determined by the customer. To obtain these values with high reliability, we use the HD to obtain the range of the UDP values in the aforementioned ELI and attempt to find the exact values of the UDP in various ELIs according to the customer’s choice [45,51] in scale 1, 2, and 3.
In the case study, the setting values of N, n, k, x are optimized with the various changes in p and x values in each scale. For example, when [N = 10, n = 5, k = 3, x = 2], the value of BUDP is 0.416. Thus, the values of BUDP change with the setting values of [N, n, k, x]. The test results of the UDP and UDG values are obtained by introducing Equations (2)–(4) in constrains (5) to (11), and are shown in Table 3 and Table 4, respectively.
Table 3.
Experimental results of UDP of all ELIs in each scale.
Table 4.
Experimental results of UDG of all ELIs in each scale.
The results of the relative weights are obtained by implementing Equation (2) in Table 3 When the p value is 0.1, the sum of the N-p and p parts that can be selected in one product (N) is 10. Among these, the maximum number of p parts (n) is five; however, among the five p parts, customers can only request one (k) of them to be used in the product. Thus, when N-p and p parts are available for selection at the same time, the probability (BUDP) that the customer chooses a p part is 0.5 (x = 1). If the p value is 0.2, customers can request up to two (k) to produce p product among five (n) p parts. When x = 2, in the case of selecting two p parts among the 10 N-p and p parts (N), the probability (BUDP) that two of the five p parts (n) are selected by the customer simultaneously is 0.22. By analogy, the relative weights (BUDP) in all ELI cases can be found in Table 3. As the value of N becomes larger, the results of the UDP values are obtained by implementing Equation (4) in Scales 2 and 3.
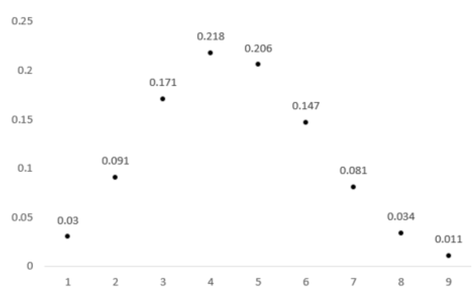
Table 4 shows the setting values of the HD of the UDG values for [(N, n, k, x)] in each scale. Taking Scale 3 as an example, within the range of p values for each group, all values present almost a normal distribution. For example, when p = 0.3, several points of are distributed on both sides of the peak value (=0.218).
Figure 2 shows the normal distribution when the p value is 0.3. When the maximum number (k) of green p parts that can be requested is the same, the number of (x) of green p parts that can be selected increases, and the choice opportunities are scatted. Therefore, there are a larger number of values whose probability (BUDG) of being selected by customers is close to 0, indicating that more and more points (BUDG) are concentrated at the bottom of the normal distribution.
Figure 2.
The normal distribution of UDG values when p value = 0.3.
The HD of the UDG values in Scales 2 is also shown in Figure 3. We can conclude that the distribution pattern is consistent with a normal distribution for each different p value mentioned above.
Figure 3.
The hypergeometric distribution of UDG values in Scale 2.
6.2. Case Study of GA-Based SSCN Model Considering the ELI
The objective function of the second part is implemented at five different scales of the SSCN model, as listed in Table 5. The results in Table 2 and Table 3 of Section 6.1 are applied to these five scales. In Table 4, there are several settings for the number of PSYs, NMRs, PMRs, NCRs, OPRs, and APRs.
Table 5.
The three scales of SSCN model.
The experimental results for the UDP and UDG values in all evaluation intervals are obtained according to the results in Section 6.1 through the following steps: (1) the accurate values of the UDP and UDG are used to calculate the ELI, and (2) cost changes are made in two types of product levels with different ELI values. This means that the value of Equation (1) is applied to calculate Equation (10).
Numerical experiments are conducted to validate the viability of the proposed GA-based SSCN model. The implementation environment is as follows:
- Operating system: macOS Big Sur.
- CPU: IBM-compatible PC 2.60 GHZ processor (Intel Core i7 CPU).
- RAM: 16 GB.
- Programming language: MATLAB R2021.
The parameters for the GA-based approach are as follows: population size of 20, crossover rate of 0.5, mutation rate of 0.2, and 1000 iterations. To eliminate the randomness in the run of the GA-based approach, all results are executed 20 times and averaged.
The remaining parameter values to implement the mathematical formulation in Section 3 are defined [52] as follows: , , , , the remaining data in terms of , , , , , , , ,, , , , , , , , , , and are randomly generated through EXCEL.
Six measures are used to compare the performance of the GA-based approach: average TC, average HC, average FC, average CC, average TTC through all trails, and average implementation time (AM).
To compare the performances of the GA-based approach in various situations, four scenarios are considered.
- Scenario 1. Both UDP and UDG values of less than 50%.
- Scenario 2. A value below 50% for UDP and above 50% for UDG.
- Scenario 3. A value above 50% for UDP and below 50% for UDG.
- Scenario 4. Both UDP and UDG values above 50%.
The UDP and UDG values for Scenario 1 are listed in Table 6. Table 7 shows the ELI values for Scenario 1. The evaluation intervals are [0 < ELI < 0.5] and [ELI ≥ 0.5], indicating that the product is rated as an ordinary p product when the ELI value is between 0 and less than 0.5 and is recorded as “O”; conversely, if the value of ELI is greater than or equal to 0.5, the product is evaluated as an advanced p product and recorded as “A”.
Table 6.
The UDP and UDG values in Scenario 1.
Table 7.
The ELI values of Scenario 1.
The UDP values used in Scenario 2 are the same as those in Scenario 1; thus the UDP values in Table 7 are used. The UDG values used are listed in Table 8. Similarly, the grades of the p products are shown in Table 9 and recorded as “O” or “A” for the respective ELI values.
Table 8.
The UDG values in Scenario 2.
Table 9.
The ELI values of Scenario 2.
The UDP values used in Scenario 3 are listed in Table 10. The UDG values used in Scenario 3 are the same as those in Table 8 of Scenario 2. Finally, the grades of the p products in Scenario 3 are shown in Table 11 and recorded as “O” or “A”, respectively.
Table 10.
The UDP values in Scenario 3.
Table 11.
The ELI values of Scenario 3.
The UDP values used in Scenario 4 are the same as those in Table 10. The UDG values used in Scenario 4 are the same as those in Table 8 of Scenario 2. Thus, the values in Table 10 and Table 8 are used as the UDP and UDG values, respectively. Finally, the grades of the p products in Scenario 4 are shown in Table 12 and recorded as “O” or “A” for respective ELI values.
Table 12.
The ELI values of Scenario 4.
The calculated values of ELI are applied to the SSCN model in the GA-based approach under three scales considering four scenarios, and the experimental results in each scenario are shown in Table 13, Table 14, Table 15 and Table 16. For example, the experimental result of TC, HC, FC, TTC, AM is [7282.5, 34,776.2, 11,308, 2,481,408.4, 2,523,775, 6.16] when the ELI value is 1.05 in Scenario 1. Similarly, all experimental results can be confirmed according to the different ELI values in each scenario. Thus, the various grades of products can be identified quickly, and the related cost in terms of TC, HC, FC, CC, and TTC can also be confirmed from Table 13, Table 14, Table 15 and Table 16.
Table 13.
Experimental results of Scenario 1.
Table 14.
Experimental results of Scenario 2.
Table 15.
Experimental results of Scenario 3.
Table 16.
Experimental results of Scenario 4.
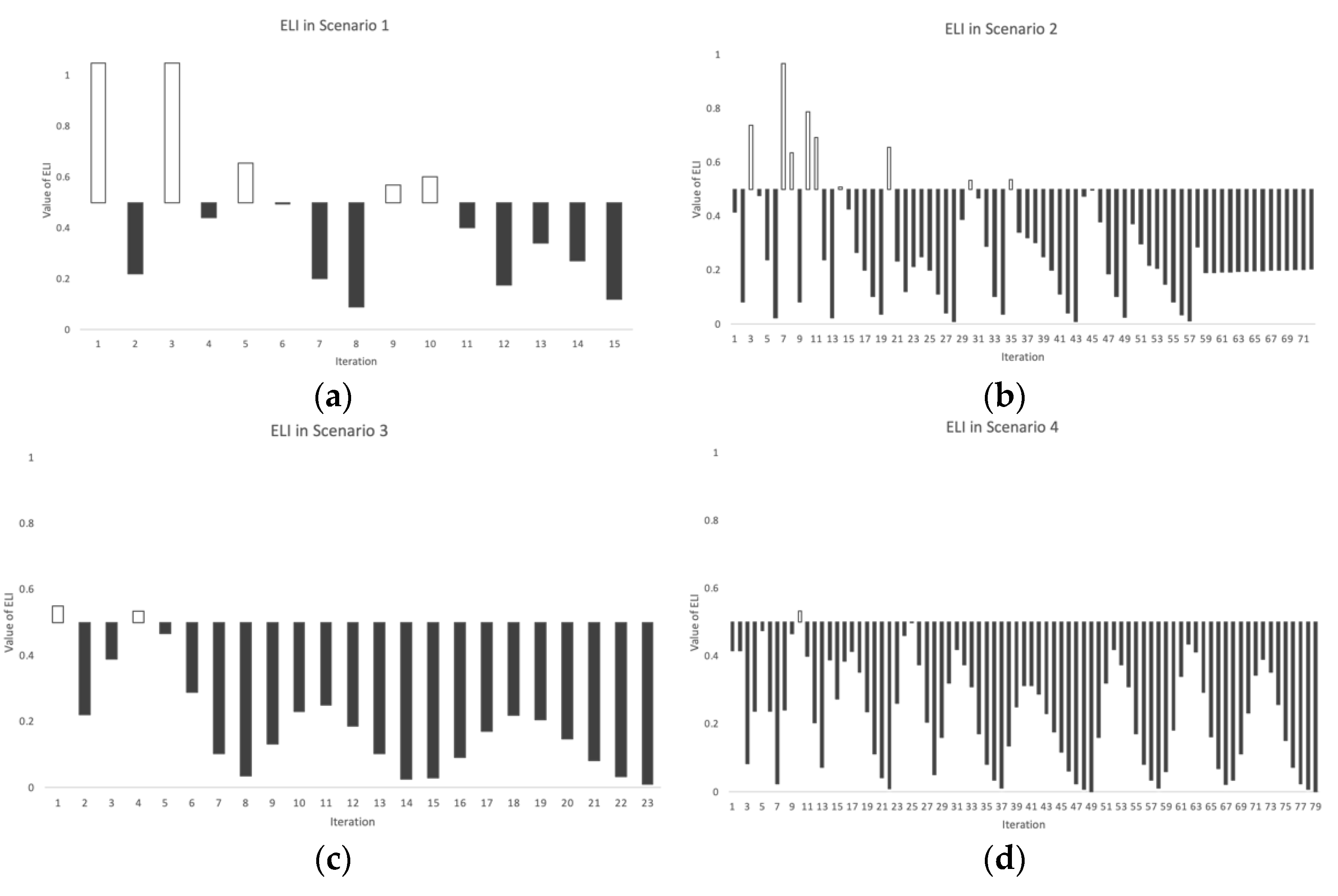
The ELI values in each scenario are also shown in Figure 4. As shown in Figure 4a, there are five advanced levels (A) and nine ordinary levels (O). The values representing level A are 1.05, 1.05, 0.655, 0.569, and 0.602, and the values representing level O are 0.22, 0.44, 0.494, 0.201, 0.088, 0.402, 0.176, 0.34, 0.27, and 0.12. The contents of Scenario 2–4 are shown in Figure 4b–d, respectively. From these figures, the level of each product can be confirmed. For example, 9 out of 73 values are shown as level A in Scenario 2, and the remaining 64 values are level O. In Scenario 3, among the 23 ELI values, two belong to level A and the remaining to level O. In Scenario 4, only two values of 73 represent level A.
Figure 4.
The experimental results of ELI for the four scenarios (a–d).
The same experimental results for the SSCN model are shown in Figure 5. The experimental results of TC in the four scenarios can be obtained in one graph as shown in Figure 5a. The experimental results for HC, FC, and CC in the four scenarios are shown in Figure 4b–d, respectively. In Figure 5a, the TC values show different curves in various scenarios in terms of the A and O levels. The HC and FC values show similar curves in the four scenarios in Figure 4b,c. In Figure 4d, the CC values show different curves in the four scenarios with various ELI values.
Figure 5.
The comparative results of TC (a), HC (b), FC (c), and CC (d) for the four scenarios.
The experimental results of TTC and AM for the four scenarios are shown in Figure 6. In Figure 6a, the values of TTC and AM values show similar curves in various scenarios for different ELI values.
Figure 6.
The comparison results of TTC (a) and AM (b) in four scenarios.
The following conclusions can be obtained through the case studies and experimental results.
- The scientifically accurate values of the UDP and UGD can be obtained using the HD.
- Consumer preferences can be judged scientifically according to the UDP and UGD values.
- An effective evaluation system can be developed for producers to efficiently formulate production and supply chain strategies.
- Customer satisfaction can be improved by the customization of products.
- The sustainable development of enterprises can be achieved through the use of green parts.
- When the ELI is determined in terms of the UDP and UDG, the corresponding TC, HC, FC, CC, and AM can be confirmed.
Personalization services enhance the competitiveness of enterprises, and production and supply chain strategies that consider carbon neutrality contribute to social responsibility. Therefore, an effective evaluation system is critical for the sustainable development of enterprises.
7. Conclusions
This study explored sustainable supply chain issues by considering carbon neutrality and personalization. The issue of carbon neutrality is reflected through the consideration of eco-friendly vehicles as a research object, and the sustainability issues in all aspects, from the production process to transportation, are considered to achieve maximum reduction of carbon emissions in the entire supply chain. To adapt to the trend from mass production to customization, the suggestion of personalization is reflected in the coordination of the balance between the customer’s personalized orders and sustainable development. Therefore, the SSCN model is proposed in this study, and the innovation of the SSCN model is reflected in two aspects. The first is to combine the carbon neutrality and personalization problems into one research framework. The second innovation is the proposal of sustainability assessment and optimization mechanisms.
In addition to providing help for mass-customized production enterprises, this study also provides constructive suggestions for the conversion of small or venture enterprises to multi-variety and small-scall production, and it suggests the direction of job creation for such enterprises. Therefore, some suggestions for the sustainable development of enterprises are as follows.
First, to adapt to the customer-centric shift, the most effective way to ensure competitiveness is to determine production and supply chain plans based on accurate prediction of customer preferences.
Second, when enterprises carry out sustainable development, they should consider environmental issues and eco-friendly production processes and products.
Third, the establishment of an evaluation and optimization mechanism can help enterprises quickly enter efficient production and supply chains.
However, the SSCN model proposed in this study has certain limitations that should be addressed in the future. First, it considers only three scales, and the model should be extended by applying larger scales. Second, it considers only the GA approach, and various metaheuristic approaches should be applied to optimization problems. Third, only two evaluation indicators were considered: <0.5 or >0.5. Therefore, more subdivided evaluation indicators should be considered. Finally, the formation of all mechanisms and systems is inseparable from the support of government policies and regulations, and attention in this area is essential. These areas should be considered in future studies.
Author Contributions
X.C. and E.J. contributed equally to the composition of the first draft, conceptualization, data collection, formal analysis, methodology, and software. All authors have read and agreed to the published version of the manuscript.
Funding
This research received no external funding.
Institutional Review Board Statement
Not applicable.
Informed Consent Statement
Not applicable.
Data Availability Statement
Not applicable.
Conflicts of Interest
The authors declare no conflict of interest.
References
- Nurjanni, K.P.; Carvalho, M.S.; Costa, L. Green Supply Chain Design: A Mathematical Modelling Approach Based on a Multi-objective Optimization Model. Int. J. Prod. Econ. 2017, 183, 421–432. [Google Scholar] [CrossRef]
- Garetti, M.; Taisch, M. Sustainable Manufacturing: Trends and Research Challenges. Prod. Plan. Control 2012, 23, 83–104. [Google Scholar] [CrossRef]
- Machado, C.G.; Winroth, M.P.; Ribeiro da Silva, E.H.D. Sustainable Manufacturing in Industry 4.0: An Emerging Research Agenda. Int. J. Prod. Res. 2018, 58, 1462–1484. [Google Scholar] [CrossRef]
- Chen, X.; Anudari, C.; Jang, J.H. Customized Model of Cold Chain Logistics Considering Hypergeometric Distribution. J. Korean Ind. Inf. Syst. Res. 2021, 26, 37–54. [Google Scholar]
- Bandenburg, M. Low Carbon Supply Configuration for a New Product-a Goal Programming Approach. J. Prod. Res. 2015, 53, 6588–6610. [Google Scholar] [CrossRef]
- Zhao, R.; Liu, Y.; Zhang, N.; Huang, T. An Optimization Model for Green Supply Chain Management by Using a Big Data Analytic Approach. J. Clean. Prod. 2017, 142, 1085–1097. [Google Scholar] [CrossRef]
- Gerald, R.; Michael, T. Customized Supply Chain Design: Problems and alternatives for a production company in the food industry. A simulation based analysis. Int. J. Prod. Econ. 2004, 89, 217–229. [Google Scholar]
- Yao, J.M.; Gu, M.J. Optimization Analysis of Supply Chain Resource Allocation in Customized Online Shopping Service Shopping Service Mode. Math. Probl. Eng. 2015, 2015, 519125. [Google Scholar] [CrossRef]
- Liu, C.; Yao, J. Dynamic Supply Chain Integration Optimization in Service Mass Customization. Comput. Ind. Eng. 2018, 120, 42–52. [Google Scholar] [CrossRef]
- Ansari, Z.N.; Kant, R. A State-of-art Literature Review Reflecting 15 Years of Focus on Sustainable Supply Chain Management. J. Clean. Prod. 2017, 142, 2524–2543. [Google Scholar] [CrossRef]
- Hassini, E.; Surti, C.; Searcy, C. A Literature Review and A Case Study of Sustainable Supply Chain with A Focus on Metrics. Int. J. Prod. Econ. 2012, 140, 69–82. [Google Scholar] [CrossRef]
- Ahi, P.; Searcy, C. Assessing Sustainability in the Supply Chain: A Triple Bottom Line Approach. Appl. Math. Model. 2015, 39, 2882–2896. [Google Scholar] [CrossRef]
- Gao, D.; Xu, Z.; Ruan, Y.Z.; Lu, H. From a Systematic Literature Review to Integrated Definition for Sustainable Supply Chain Innovation. J. Clean. Prod. 2017, 142, 1518–1538. [Google Scholar] [CrossRef]
- Ashby, A.; Leat, M.; Smith, M.H. Making Connections: A Review of Supply Chain Management and Sustainability Literature. Supply Chain. Manag. Int. J. 2012, 17, 497–516. [Google Scholar] [CrossRef]
- Ramezankhani, M.; Torabi, S.A.; Vahidi, F. Supply Chain Performance Measurement and Evaluation: A Mixed Sustainability and Resilience Approahc. Comput. Ind. Eng. 2018, 126, 531–548. [Google Scholar] [CrossRef]
- Zhang, Q.; Shah, N.; Wassick, J.; Helling, R.; Van Egerschot, P. Sustainable Supply Chain Optimization: An Industrial Case Study. Comput. Ind. Eng. 2014, 74, 68–83. [Google Scholar] [CrossRef]
- Zhang, S.; Lee, C.K.M.; Wu, K.; Choy, K.L. Multi-objective Optimization for Sustainable Supply Chain Network Design Considering Multiple Distribution Channels. Expert Syst. Appl. 2016, 65, 87–99. [Google Scholar] [CrossRef]
- Brandenburg, M.; Govindan, K.; Sarkis, J.; Seuring, S. Quantitative Models for Sustainable Supply Chain Management: Developments and Directions. Eur. J. Oper. Res. 2014, 233, 299–312. [Google Scholar] [CrossRef]
- Ji, Y.; Li, H.H.; Zhang, H.J. Risk-Averse Two-Stage Stochastic Minimum Cost Consensus Model with Asymmetric Adjustment Cost. Group Decis. Negot. 2022, 31, 261–291. [Google Scholar] [CrossRef]
- Yun, Y.S.; Chuluunsukh, A. Green Supply Chain Network Model: Genetic Algorithm Approach. J. Korea Ind. Inf. Syst. Res. 2019, 24, 31–38. [Google Scholar]
- Vapnik, V.N. Statistical Learning Theory; Wiley: New York, NY, USA, 1998. [Google Scholar]
- Don Hush, C.S.; Clint, S. Concentration of the Hypergeometric Distribution. Stat. Probab. Lett. 2015, 75, 127–132. [Google Scholar] [CrossRef]
- Cannon, A.; Mark, E.J.; Don Hush, C.S. Machine Learning with Data Dependent Hypothesis Classes. J. Mach. Learn. Res. 2002, 2, 335–358. [Google Scholar]
- Yao, J.M.; Shi, H.Y.; Liu, C. Optimising the Configuration of Green Supply Chains under Mass Personalization. Int. J. Prod. Res. 2020, 117, 197–211. [Google Scholar]
- Mogale, D.G.; Cheikhrouhou, N.; Tiwari, M.K. Modelling of Sustainable Food Grain Supply Chain Distribution System: A bi-Objective Approach. Int. J. Prod. Res. 2020, 58, 5521–5544. [Google Scholar] [CrossRef] [Green Version]
- Kuiti, M.R.; Ghosh, D.; Gouda, S.; Swami, S.; Shankar, R. Integrated Product Design, Shelf-Space Allocation and Transportation Decision in Green Supply Chains. Int. J. Prod. Res. 2019, 57, 6181–6201. [Google Scholar] [CrossRef]
- Dolgui, A.; Ivanov, D.; Sokolov, B. Reconfigurable Supply Chain: The X-Network. Int. J. Prod. Res. 2020, 58, 4138–4163. [Google Scholar] [CrossRef]
- Hollingsworth, J.; Copeland, B.; Johnson, X.J. Are E-scooters Polluters? The Environmental Impacts of Shared Dockless Electric Scooters. Environ. Res. Lett. 2019, 14, 4–14. [Google Scholar] [CrossRef]
- Zheng, P.; Lin, Y.; Chen, C.H.; Xu, X. Smart, Connected Open Architecture Product: An IT-driven Co-creation Paradigm with Lifecycle Personalization Concerns. Int. J. Prod. Res. 2019, 57, 2571–2584. [Google Scholar] [CrossRef]
- Liu, W.; Wang, Q.; Mao, Q.; Wang, S.; Zhu, D. A Scheduling Model of Logistics Service Supply Chain Based on the Mass Customization Service and Uncertainty of FLSP’s Operation Time. Transp. Res. Part E Logist. Transp. Rev. 2015, 83, 189–215. [Google Scholar] [CrossRef]
- Tseng, M.L.; Islam, M.S.; Karia, N.; Fauzi, F.A.; Afrin, S. A Literature Review on Green Supply Chain Management: Trends and Future Challenges. Resour. Conserv. Recycl. 2019, 141, 145–162. [Google Scholar] [CrossRef]
- Qu, S.J.; Li, Y.M.; Ji, Y. The mixed integer robust maximum expert consensus models for large-scale GDM under uncertain circumstances. Appl. Soft Comput. 2021, 107, 1–13. [Google Scholar] [CrossRef]
- Krishnamoorthy, K.; Shanshan, L. Prediction Intervals for Hypergeometric Distributions. Commun. Stat. 2020, 49, 1528–1536. [Google Scholar] [CrossRef]
- Han, C.Y. The Control Method of Marine Environment Monitoring Data Quality Based on Computer. J. Coast. Res. Spec. Issue 2020, 112, 390–393. [Google Scholar] [CrossRef]
- Atan, Z.; Snyder, L.V.; Wilson, G.R. Transshipment Policies for Systems with Multiple Retailers and Two Demand Classes. OR Spectr. 2018, 40, 159–186. [Google Scholar] [CrossRef] [Green Version]
- Yan, X.; Zhao, Z.; Xiao, B. Study on Optimization of a Multi-location Inventory Model with Lateral Transshipment Considering Priority Demand. In Proceedings of the 2019 International Conference on Management Science and Industrial Engineering, New York, NY, USA, 24 May 2019; pp. 104–110. [Google Scholar]
- Van Wijk, A.; Adan, I.J.; Van Houtum, G. Optimal Lateral Transshipment Policies for Decision a Two Location Invention Problem with Multiple Demand Classes. Eur. J. Oper. Res. 2019, 272, 481–495. [Google Scholar] [CrossRef]
- Trigg, T.; Telleen, P.; Boyd, R.; Cuenot, F.; D’Ambrosio, D.; Gaghen, R.; Gagne, J.F.; Hardcastle, A.; Houssin, D.; Jones, A.R. Global EV outlook: Understanding the electric vehicle landscape to 2020. Int. Energy Agency 2013, 1, 1–40. [Google Scholar]
- Ayre, J. Electric Car Demand Growing Global Market Hits 740,000 Units. Clean Technol. 2015. Available online: http://www.bcsea.org/electric-car-demand-growing-global-market-hits-740000-units (accessed on 6 April 2020).
- Ministry of Environment. Korean Environmental Industry Statistics. Available online: http://kosis.kr/index/index.do (accessed on 6 April 2020).
- Samsun, R.; Antoni, L.; Rex, M. Report on Mobile Fuel Cell Application: Tracking Market Trends; IEA Technology Collaboration Program: Paris, France, 2020. [Google Scholar]
- Ni, H. Key Factors Influencing Electric Vehicle Sales in the United States from 2014 to 2018; Washington State University: Pullman, WA, USA, 2020. [Google Scholar]
- Zhang, X.Y.; Ming, X.G.; Liu, Z.W.; Zheng, M.K.; Qu, Y.J. A New Customization Model for Enterprise Base on Improved Framework of Customer to Business: A Case Study in Automobile Industry. Adv. Mech. Eng. 2019, 2, 1–17. [Google Scholar]
- Thomas, K. The politics of climate change in a neo-developmental state: The case of South Korea. Int. Political Sci. Rev. 2021, 42, 48–63. [Google Scholar]
- Elizabeth, A.C.; Qin, R.W.; Zlatan, H. Development of an Optimization Model to Determine Sampling Levels. Int. J. Qual. Reliab. Manag. 2016, 33, 476–487. [Google Scholar]
- Chang, Y.C.; Li, J.W.; Hsieh, S.M. Application of the Genetic Algorithm in Customization Personalized E-Course. In Proceedings of the 2010 International Conference on System Science and Engineering, Taipei, Taiwan, 1–3 July 2010; pp. 221–226. [Google Scholar]
- Jeon, N.J.; Noh, J.H.; Kim, Y.C.; Yang, W.S.; Ryu, S.C. Solvent Engineering for High-performance Inorganic-organic Hybrid Perovskite Solar Cells. Nat. Mater. 2014, 13, 897–903. [Google Scholar] [CrossRef] [PubMed]
- Gen, M.; Lin, L.; Yun, Y.S.; Inoue, H. Recent Advances in Hybrid Priority-based Genetic Algorithms for Logistics and SCM Network Design. Comput. Ind. Eng. 2018, 115, 394–412. [Google Scholar] [CrossRef]
- Chen, X. Efficient Operational Strategy of a Closed-Loop Supply Chain Network Model: Focusing on Tire Industry in Kore. Ph.D. Thesis, Chosun University, Gwangju, Korea, 2018. [Google Scholar]
- Gen, M.; Cheng, R. Genetic Algorithms and Engineering Design; John-Wiley & Sons: New York, NY, USA, 1997. [Google Scholar]
- Chakraborty, A.; Ikeda, Y. Testing “Efficient Supply Chain Propositions using Topological Characterization of the Global Supply Chain Network. PLoS ONE 2020, 15, e0239669. [Google Scholar] [CrossRef] [PubMed]
- Chuluunsukh, A.; Yun, Y.S. Supply Chain Network Design Model Considering Supplier and Route Disruptions: Hybrid Genetic Algorithm Approach. J. Korean Soc. Supply Chain Manag. 2020, 21, 37–53. [Google Scholar]
Publisher’s Note: MDPI stays neutral with regard to jurisdictional claims in published maps and institutional affiliations. |
© 2022 by the authors. Licensee MDPI, Basel, Switzerland. This article is an open access article distributed under the terms and conditions of the Creative Commons Attribution (CC BY) license (https://creativecommons.org/licenses/by/4.0/).





