Abstract
Prickly pear (Rosa roxburghii Tratt), a shrub mainly distributed in South China, is an economically essential plant for helping the local people out of poverty. To efficiently provide sufficient nutrients to the plant in the soil for the ecological cultivation of prickly pear, we studied the aerobic composting of a prickly pear litter with three agents, including AC (Bacillus natto, Bacillus sp., Actinomycetes sp., Saccharomyces sp., Trichoderma sp., Azotobacter sp., and Lactobacillus sp.), BC (Bacillus subtilis, Lactobacillaceae sp., Bacillus licheniformis, Saccharomyces sp., and Enterococcus faecalis), and CC (Bacillus sp., Actinomycetes sp., Lactobacillaceae sp., Saccharomyces sp., and Trichoderma sp.) and a control without microbial agents. The results show that the physicochemical and microbial traits of three resultant prickly pear composts were different after the inoculation with AC, BC, or CC. The pH values of three composts ranged from 8.0 to 8.5, and their conductivity values were between 1.6 and 1.9 mS/cm. The seed germination index of all three composts exceeded 70%. The contents of volatile solids and organic matter of the three composts both decreased significantly. The BC maximally increased the total N (18%) of the compost, whereas the CC maximally increased the total P (48%) and total K (38%) contents. Contents of available P and available K of the three composts increased significantly, and the available N content in compost after BC inoculation increased by 16%. The physicochemical features showed that three composts were non-hazardous to plants, and the microbial agents improved nutrient availability. The richness, Chao1, and Shannon index in the bacterial communities of three composts increased significantly. At the phylum level, Proteobacteria, Bacteroidetes, and Firmicutes bacterium became dominant in the three composts, whereas at the family level, Microscillaceae and A4b (phylum Chloroflexi) became the dominant groups. Abundant cellulose-degrading bacteria existed at the dominant phylum level, which promoted fiber degradation in composts. Organic matter and the available N content regulated the composting bacterium. The inoculants enhanced the efficiency of composting: agents B and C were more suitable exogenous inoculants for the composting of a prickly pear litter.
1. Introduction
Litter is not only the link between vegetation and soil; it is also the medium required to complete the aboveground and underground material cycle [1]. Litter utilization essentially functions for improving soil fertility and sustaining nutrient cycling in economic forest ecosystems [2]. A previous study found that the litter produced in citrus orchards can significantly change the soil C, N, and P contents and cause a differential response in soil enzymes [3]. The management of orchard litter has become an important practice for plantation farmers.
Prickly pear (Rosa roxburghii Tratt) is a perennial deciduous shrub of Rosaceae, mainly distributed on the Yunnan-Guizhou Plateau and on the western plateau of Sichuan, China [4,5]. Rosa roxburghii fruits contain beneficial substances, including vitamin C, superoxide dismutase, flavonoids, polysaccharides, and diverse essential amino acids. Furthermore, the extracts of R. roxburghii fruit have been used in Chinese medicine and can cure various human health disorders [6]. In recent years, the Rosa roxburghii plantations have brought huge economic benefit to local farmers [7]. Statistics show that the land area of the R. roxburghii plantation in Guizhou has expanded up to 133,000 ha by 2020, making Guizhou the province with the highest degree of R. roxburghii planting in China [8]. However, many dry branches and fallen leaves of R. roxburghii were produced in orchard during intensive cultivation, leading to the retention of R. roxburghii litter in the plantation, which delayed waste recycling and impeded soil nutrient cycling.
Aerobic composting has been widely used in the utilization of agricultural waste. Compost obtained from the aerobic microbial decomposition of agriculture waste always contains available nutrients such as C, N, P, and K, which can effectively meet the nutrient requirements of crops [9]. One previous study found that compost generated through the aerobic decomposition of corn straw, slag, and cow dung could improve apple yield and fruit quality and that the available nutrients in orchard soil were also significantly increased [10]. However, forestry waste often contains a certain amount of cellulose and lignin, affecting the speed of composting and quality of the final fertilizer [11,12]. It has been suggested that exogenous microbial agents can improve the decomposition efficiency of compost materials containing cellulose and lignin [13]. Aerobic composting combined with exogenous agents is a potential approach to accelerate the decomposing rate and conversion efficiency of forestry waste. Rapid fertilization has been achieved in the organic waste of Jatropha curcas meal [14], sawdust [15], and palm oil [16] using aerobic composting combined with exogenous microbial agents, indicating that the exogenous microbial community is closely related to the process in which the macromolecular organic matter is decomposed into small molecules.
The contemporary research on Rosa roxburghii mainly focuses on growth and development, seedling cultivation, fruit quality, processing technology, disease resistance, and health care [17,18,19,20,21]. As a shrub, the litter of R. roxburghii is abundant in cellulose and lignin. Aerobic composting with exogenous agent may enable the reuse of the litter of R. roxburghii. However, there is still a lack of attempts at resource utilization of R. roxburghii litter, and the responses of its microbial community are unknown. Therefore, we applied exogenous agents for the aerobic composting of R. roxburghii litter and analyzed its microbial diversity, which has been considered a powerful tool for developing the understanding of the microbial community in composting [4,22]. We asked the following questions: (1) Does exogenous microbial agents help promote nutrient release from R. roxburghii compost containing lignin and cellulose? (2) Does the bacterial community structure of R. roxburghii compost containing lignin and cellulose respond differently after inoculation? This study analyzed the physical, chemical, and microbial properties of the R. roxburghii compost, and selected the optimal microbial agent. This study represents a practical reference for agroforest waste compost.
2. Materials and Methods
2.1. Compost Materials and Device
The litter (branches and leaves) was collected from a Rosa roxburghii Tratt plantation located in Bazhai Village of Bijie City, Guizhou Province (27.45° N, 105.39° E). The age of R. roxburghii trees was 3 years. The 2~3 cm debris of branches and leaves was obtained through a disintegrator. Chicken feces were retrieved from the Teaching Base of South China Agricultural University (23.16° N, 113.36° E). The physicochemical properties of the two compost materials are shown in Table 1. The litter and chicken feces were air-dried under laboratory conditions (25 ± 2 °C) before obtained a constant weight at 80 °C. The litter was fully mixed with chicken feces at a ratio of 2:1 (w/w). The moisture of compost material was adjusted to 60–65%.
Table 1.
Physicochemical properties of raw materials used for composting.
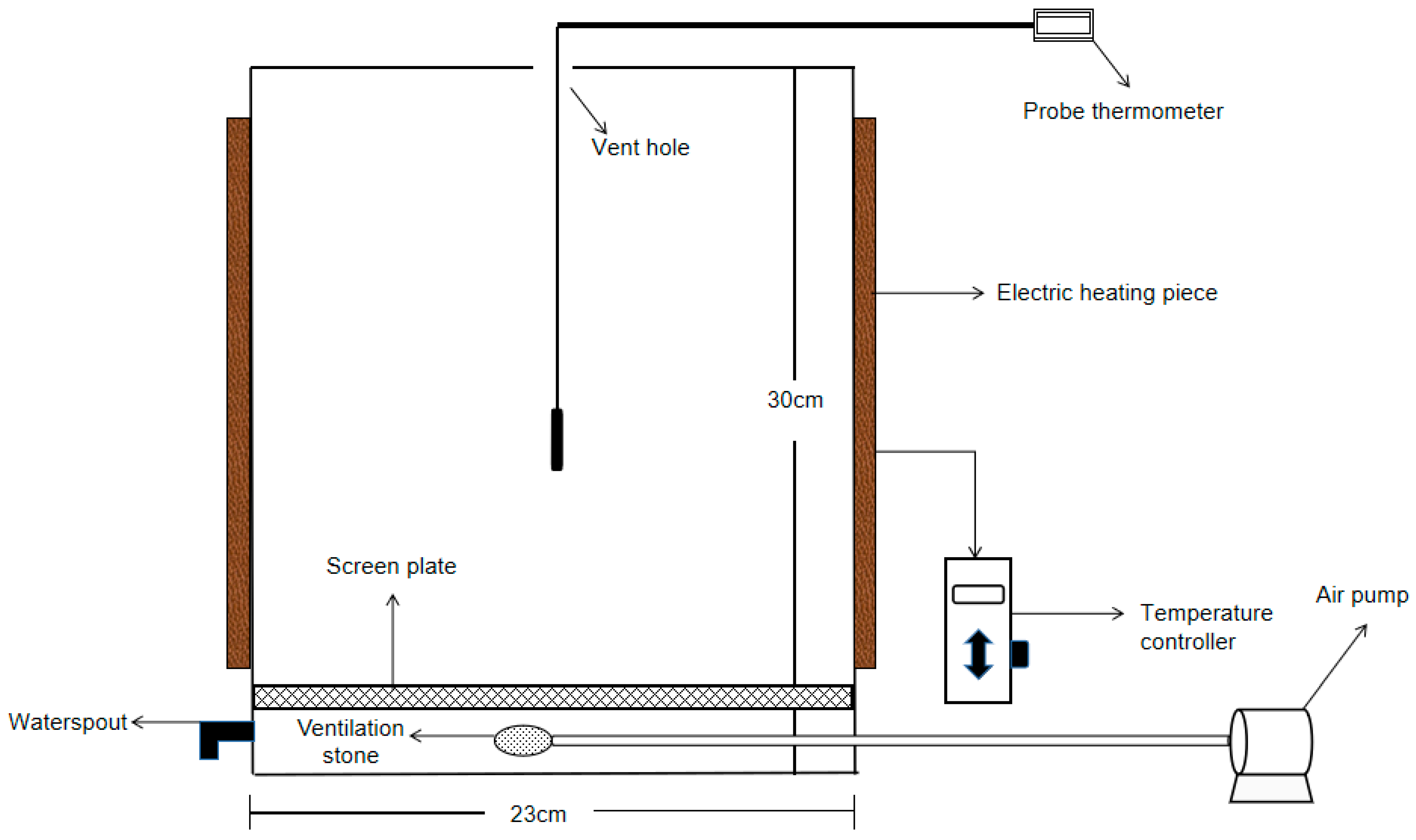
A self-made compost bucket was used to treat the litter of Rosa roxburghii (Figure 1). The top of the compost bucket was covered with a plastic cap with an air hole. An electric heating piece was wrapped around the bucket. The heating piece temperature was set to 30 °C over the first 2 days. A plastic filter plate was fixed at the bottom of the bucket, and air was pumped under the filter plate using an air pump. Air was constantly pumped throughout the experimental period to supply the oxygen. The bottom of the bucket was fitted with a drainage valve.
Figure 1.
Schematic diagram of the compost device.
2.2. Treatment and Sample Collection
Three treatments and a control were established in the experiment. Three treatments (AC, BC, and CC) were added with microbial agents to promote the degradation of cellulose and lignin (Table 2). To the control was applied the pure, sterilized water. Agent A, composed of Bacillus natto, Bacillus sp., Actinomycetes sp., Saccharomyces sp., Trichoderma sp., Azotobacter sp., and Lactobacillus sp., was mainly used for the fermentation of conventional organic materials containing cellulose and lignin. Agent B was composed of Bacillus subtilis, Lactobacillaceae sp., Bacillus licheniformis, Saccharomyces sp., and Enterococcus faecalis and was mainly used for the fermentation of livestock and poultry waste containing cellulose and lignin. Agent C was composed of Bacillus sp., Actinomycetes sp., Lactobacillaceae sp., Saccharomyces sp., and Trichoderma sp. and was mainly used for the fermentation of kitchen waste containing cellulose and lignin. The number of microbial colonies of three agents measured by the plate colony counting method all exceeded 109 CFU·mL−1.
Table 2.
Description of microbial agents.
The R. roxburghii litter was evenly mixed with dry chicken feces before being transferred into the compost bucket. The ratio of microbial agents to the total weight of the material was 10 mL kg−1 (V/W), and the materials without any microbial agents were used as a control. The total weight of each bucket was 3 kg, with 4 replicates per treatment.
2.3. Determination of Physical and Chemical Properties
The compost materials were fully mixed before sampling. For the upper, middle, and lower layers, a 10 g sample was collected according to the five-point method [23]. The retrieved samples were placed in a sealed bag at −20 °C for the analyses of the physical and chemical traits. The samples for bacterial community analysis were stored at −80 °C. The composting temperature (°C) was measured every day, and the samples were collected at 5-day intervals for the determination of volatile solid (VS) content, pH, and electrical conductivity (EC). At the end of composting, the extraction solution was prepared to determine the seed germination index. Temperature was measured using a probe thermometer (YH-101, China). The pH and conductivity were determined using a portable pH meter (SX-610, China) and a portable conductivity meter (SX-650, China). To obtain the compost extract, fresh 5 g samples were added in distilled water at a ratio of 1:10 and shaken at 180 r/min for 2 h. The resultant liquid was centrifuged at 10,000 r/min for 5 min. The filtered extract was stored at 4 °C for analyses of the VS, pH, conductivity, and seed germination index. The VS content was calculated according to Equation (1). The samples were dried in an oven at 105 °C for 6 h and then cooled in a dryer before obtaining the weight (m1, g). After reaching a constant weight, the crucible containing the samples was placed in a muffle furnace and dried at 600 °C for 2 h. After cooling in a dryer to room temperature, the weight (m2, g) was used to calculate the VS content.
The organic matter content was determined by the external heating K2Cr2O4 volumetric method [24]. Total N contents were determined with the concentrated sulfuric acid digestion–distillation titration method [24]. Total P contents were determined with the sodium hydroxide melting–molybdenum antimony colorimetric method [25]. Total K contents were determined with the sodium hydroxide melting-flame photometric method [25]. Alkaline N contents were determined with the diffusion method [24]. Available P content was determined with the NaHCO3 extraction–molybdenum antimony colorimetric method [25]. Available K contents were determined with the ammonium acetate extraction-flame photometer method [25].
Lettuce (Lactuca sativa L. var. ramosa Hort.) was used to determine the germination percentage (GP) and the germination index (GI) of the seeds. A 7 mL drop of sterilized distilled water was added to a Petri dish as the control. The treatments and the control were replicated four times. The seeds were cultured at 25 °C for 48 h before determination. The seed germination test, in which high GI values indicate high rates of seed germination and radicle growth [26], is commonly used to evaluate the toxicity or maturity of compost.
2.4. High-Throughput Sequencing and Analysis
The samples before and after composting were both obtained during the experiment. Three kinds of decomposing microbial agents, A, B, and C, and the samples in the AC, BC, and CC treatments and control, were subjected to high-throughput sequencing analyses. The DNA of samples was extracted using OMEGA Soil DNA Isolation Kit (Omega Bio-Tek, Inc., Norcross, GA, USA), and the genomic DNA was detected with 1% agarose gel electrophoresis. The purity and concentration of DNA were detected with a Thermo NanoDrop One spectrophotometer. The specific primers with barcodes and TaKaRa PremixTaq® Version 2.0 (TaKaRa Biotechnology Co., Dalian, China) were used for PCR amplification, using genomic DNA as a template. The 16S rRNA gene V3-V4 was amplified by PCR [27]. The primer sequences used in microbial community analysis were 357F (5′-ACTCCTACGGRAGGCAGCAG-3′) and 806R (5′-GGACTACHVGGTWTCTAAT-3′) [28]. The amplification conditions were: 94 °C for 5 min and 30 cycles, including 94 °C for 30 s, 52 °C for 30 s, 72 °C for 30 s, 72 °C for 10 min, and 4 °C cooling. The PCR products detected through 1% agarose gel electrophoresis were recovered with the E.Z.N.A.® Gel Extraction Kit (Omega, Norcross, GA, USA). The target DNA fragments were eluted by the TE buffer. The library was built according to the standard process of NEB Next®UltraTM II DNA Library PrepKit for Illumina® (New England Biolabs, Ipswich, MA, USA). The sequencing was performed on the high-throughput sequencing platform (Hiseq).
2.5. Biological Information Processing
The original sequences were filtered and removed to obtain the optimized sequence using Mothur (version 1.31.2) [29]. The optimized sequences with similarity values over 97% were divided into operational taxonomic units (OTUs). The representative sequences of each OTU were compared in the SILVA (16S), RDP (16S), Greengenes (16S), SILVA (18S), and Unite (ITS) databases to obtain species annotation information using Usearch. Based on the OTU abundance table, richness, Chao1, Shannon, Simpson diversity index, and Rarefaction curve were calculated using arch-alpha_div (V10, http://www.drive5.com/usearch/) (accessed on 25 June 2021). The Chao1 index is often used to estimate the total number of species in a community. The ace index can be used to estimate the number of OTUs in a community. Shannon and Simpson indexes consider the richness and evenness of a community, respectively, and can reflect the diversity of the microbial community. Based on the OTU abundance table, Bray–Curtis distance matrix and UPGMA (unweighted pair-group method with arithmetic mean) clustering was used to construct the clustering tree. Heat map analysis based on the sample distance was performed with the vegan package in R software, using nine distance algorithms and the hclust function [30,31].
2.6. Statistical Analysis
All statistical analyses were performed in SPSS 19.0 (SPSS, Inc., Chicago, IL, USA) and R software [32]. A Kolmogorov–Smirnov test and Levene’s test were used to assess the homogeneity of variances and normality of the data. ANOVAs (Duncan’s or Tamhane’s T2) were performed on the physical and chemical traits of compost materials (p = 0.05 or 0.01). Based on the OTU abundance table, combined with environmental factor data, canonical correspondence analysis (CCA) with collinearity tests were performed using the R packages ‘vegan’, ‘ggplot2’, and ‘ggrepel’ [30,32]. The environmental factors comprised pH, conductivity, VS, organic matter content, organic matter change rate, total N content, total N change rate, C/N ratio, total P content, total P change rate, total K content, total K change rate, available N content, available N change rate, available N/total N, available P content, available P/total P, available K content, available K change rate, and available K/total K. The figures were generated using Origin Pro 2017 (USA).
3. Results
3.1. Microbial Composition of Decomposition Agent
The number of viable bacteria in compost agents A, B, and C was greater than 109 CFU/mL, which meets the standard for agricultural microbial agents (GB20287-2006).
At the 97% level of similarity, the sequences of bacteria were uniformly set to 77,652. There were obvious differences in the species of bacteria in the three composting agents at the family level. The bacterial sequence could be divided into 17 phyla, 33 classes, 75 orders, and 125 families, mainly distributed in Lactobacillaceae, with relative abundances of 44–67%.
At the family level, compost agents can be divided into the top eight groups according to the relative abundance (Figure 2). The main bacteria in agents A, B, and C were Lactobacillaceae, which accounted for 62.73%, 44.73%, and 67.13%, respectively. The Acetobacteraceae (24.98%) was the second most common bacteria in agents A and C, whereas it only accounted for 1.23% in agent B. The Venn diagram showed the number of shared and unique OTUs in three microbial agents (Figure 3). The number of shared OTUs in the three microbial agents was 197.
Figure 2.
Bacterial community composition and relative abundance at family level in microbial agents A, B, and C.
Figure 3.
Number of unique and shared OTUs in microbial agents A, B, and C.
3.2. Effects of Microbial Agents on Temperature, pH, Conductivity, and VS
The temperature in the AC and CC treatments all increased in 2 d and reached a peak value over 55 °C in 5 d, whereas that in the BC treatment attained the peak value in 2 d (Figure 4A). The temperature of all treatments showed a similar trend, and the high-temperature period lasted over 8 days. In the initial 5 days, the pH of the compost ranged from 6.8 to 7.0 (Figure 4B). After 10 days of composting, the pH rapidly increased, and the rate of pH increase slowed down in the later stage. The final pH values in the three treatments ranged from 8.0 to 8.5, which were significantly higher than that in the control. The conductivity of each treatment increased significantly compared with that in the control, and the final value ranged from 1.6 to 1.9 mS·cm−1. The VS contents of three treatments decreased, and the final values were significantly lower than that in the control (Figure 4D).
Figure 4.
Changes in temperature (A), pH (B), conductivity (C), and volatile solid (VS) (D) content of AC, BC, and CC during composting; AC, BC, and CC represented three treatments with microbial agents. No agents were applied in the control. Different letters indicate significant differences between treatments and the control (p < 0.05).
3.3. Effects of Microbial Agents on Organic Matter and Nutrients in Compost
There were significant differences in organic matter content among the AC, BC, and CC treatments (AC > CC, the control > BC) after composting (Figure 5). The contents of total N, available N, available P, total K, and available K in the three treatments were significantly higher than those in the control (p < 0.05). The contents of total N, available N and available P in the BC treatment were the highest, whereas the contents of total K and available K in the CC treatment were the highest. There was a significant difference in the total P content between BC and CC treatments (p < 0.05).
Figure 5.
Organic matter and nutrients contents of AC, BC, CC, and the control after composting; AC, BC, and CC represented the three treatments of microbial agents; The comparisons were performed in the organic matter or nutrient indicators among the three treatments and the control. Different letters indicate significant differences between treatments and the control (p < 0.05).
The organic matter content in the AC, BC, and CC treatments decreased significantly compared with that in the three treatments before composting (p < 0.05). The BC treatment showed the maximum decrease in the organic matter (7%) (Figure 6). For total N, total P, total K, available N, available P, and available K in the BC treatment, the increase rates were significantly different in the three treatments and the control. The rate of increase in N content in the BC treatment (18%) was significantly higher than that in AC and CC treatments (p < 0.05). The rates of increase in total P (48%) and total K (38%) in the CC treatment were the highest (p < 0.05). The content of available N (16%) and available P (61%) increased most in the BC treatment. The CC treatment showed the maximum increase in available K (42%) (p < 0.01).
Figure 6.
Changes in N, K, and P contents after composting; AC, BC, CC represented A, B, C treatment; the comparisons were performed on a nutrient indicator among three treatments and the control. Different letters indicate significant differences between treatments and the control (p < 0.05, p < 0.01).
3.4. Effects of Microbial Agents on Seed Germination Index
The germination index (GI) is a biological indicator of compost maturity evaluation, which considers both the germination percentage of seeds and the influence of toxic substances on seed rooting. After composting, the GI of each treatment exceeded 80% (115–121%), indicating that the composting had reached complete maturity (Figure 7). The germination indexes of the AC, BC, and CC treatments were significantly higher than those of the control (p < 0.05). The germination indexes of the BC and CC treatments were significantly higher than those of AC treatment (p < 0.05). The germination percentage (GP) of the AC, BC, and CC treatments was also significantly higher than those of the control (p < 0.01) after composting. There was no significant difference between the three treatments.
Figure 7.
Changes in germination index (A) and percentage of germination (B) after composting; AC, BC, and CC represented A, B, and C treatment, respectively. Different letters indicate significant differences between treatments and the control (p < 0.05, p < 0.01).
3.5. Abundance, Diversity, and Structural Differences of Bacterial Communities in Compost
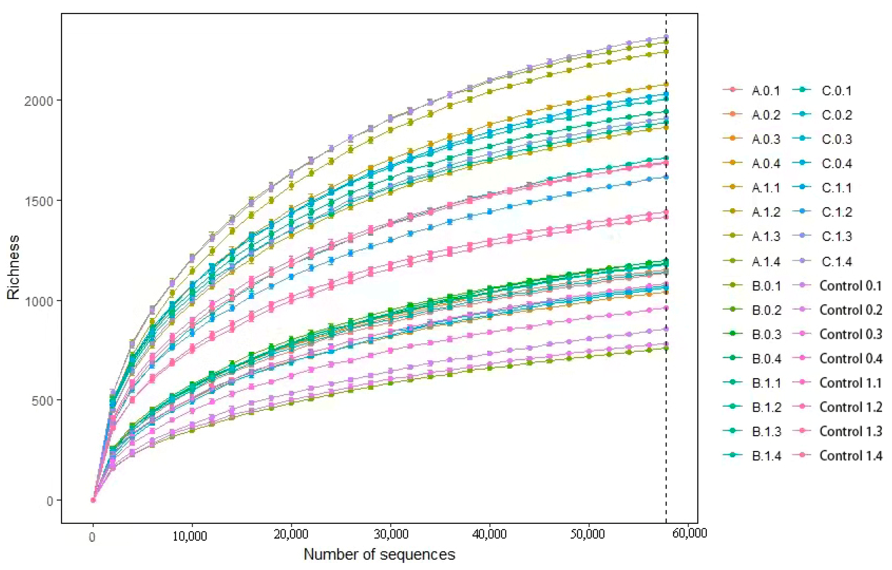
A total of 2,257,224 high-quality sequences were obtained, including 1,224,456 sequences before composting and 1,032,768 sequences after composting. A total of 47,130 effective OTUs were obtained. The species richness curve observed by 97% homology reached an asymptotic line (Figure 8), indicating that the sequencing depth could sufficiently represent most species richness in each sample. The effective sequence coverage of the samples before and after composting and the control reached over 99% (Table 3), indicating that the sequencing depth can be used to describe the changes in bacterial community structure. There were no significant differences in richness, Chao1, Shannon, and Simpson indexes between three treatments and the control before composting. There was a significant difference in the Shannon index among the three treatments and the control after composting (AC > BC, CC > the control) (p < 0.01). The Shannon index of the AC treatment was the highest (7.86) among the three treatments. The microbial diversity indexes of richness, Chao1, and Shannon in the three treatments after composting were significantly higher than those in the three treatments before composting, whereas the Simpson index values of the AC and CC treatments were decreased significantly after composting (p < 0.01).
Figure 8.
Rarefaction curves for OTUs of each sample in compost; A.1.1–A.1.4, B.1.1–B.1.4, and C.1.1–C.1.4 represented AC, BC, CC samples after composting; A.0.1–A.0.4, B.0.1–B.0.4, and C.0.1–C.0.4 represented AC, BC, and CC samples before composting; AC, BC, and CC represent A, B, and C treatments, respectively.
Table 3.
Microbial diversity of compost under different agents.
Hierarchical clustering and heat map analysis were used to analyze the composition of OTUs in the three treatments and the control (Figure 9). In the AC treatment, the nearest distance was observed between the sample A.1.3 and A.1.4 (0.2790), indicating a similar microbial composition in these two samples. Samples A.1.3 and C.1.1 showed the largest distance (0.6882), suggesting that the composition of OTUs was significantly different between these two samples. The distances of three treatments ranged from 0.6263 to 0.8198, indicating that the microbial compositions in these three treatments were significantly different from that in the control. The distance between samples C.1.3 and Control1.3 was the largest (0.8198) among all the comparisons.
Figure 9.
Hierarchical clustering tree and heat map on OTU level of composting samples; A.1.1–A.1.4, B.1.1–B.1.4, and C.1.1–C.1.4 represented AC, BC, and CC samples after composting; A.0.1–A.0.4, B.0.1–B.0.4, and C.0.1–C.0.4 represented AC, BC, and CC samples before composting; AC, BC, and CC represent A, B, and C treatments.
3.6. Bacterial Community Structure before and after Composting
The main dominant phyla (relative abundance > 1%) in the three treatments and the control consisted of Proteobacteria, Bacteroidetes, Firmicutes, Actinobacteria, Chloroflexi, Verrucomicrobia, Gemmatimonadetes, and Patescibacteria. The relative abundances of these dominant phyla in treatments changed significantly before and after composting (Figure 10). In the AC treatment, the relative abundances of Chloroflexi (9.7%), Patescibacteria (1.2%), and Verrucomicrobia (2.5%) increased significantly (p < 0.05, p < 0.01) after composting. The relative abundance of Proteobacteria decreased significantly by 35% (p < 0.01). In the BC treatment, the relative abundance of Proteobacteria decreased by 39% (p < 0.01), whereas the relative abundances of Chloroflexi, Gemmatimonadetes-Bacillus, and Patescibacteria increased significantly (p < 0.05). In the CC treatment, Proteobacteria decreased significantly, whereas Chloroflexi, Gemmatimonadetes, Verrucomicrobia, and Patescibacteria all increased significantly (p < 0.01).


Figure 10.
Bacterial community composition and the relative abundance of dominant phylum before and after compost; AC0, BC0, CC0, and Control0 represented the treatment and the control before composting, respectively. AC1, BC1, CC1, and Control1 represented the treatment and the control after composting, respectively. The letter symbols indicated that the comparisons were performed between the three treatments and the control. The * symbols indicated that the comparisons were performed before and after composting of the treatments and Control. Different lowercase letters indicate significant differences between treatments and the control before compost (p < 0.05, p < 0.01). Different uppercase letters indicate significant differences between treatments and the control after compost (p < 0.05, p < 0.01). The symbols * and ** indicated that the significant comparisons (p < 0.05, p < 0.01) were found before and after composting of the treatments and the control. The ‘ns’ indicated that no significant differences existed between the treatments and the control before and after composting.
After composting, the relative abundance of Bacteroidetes in the AC and BC treatments was significantly lower than that in the control (p < 0.05). The relative abundances of Chloroflexi in the AC and BC treatments were six and eight times higher than those in the control (p < 0.05), respectively, but there was no significant difference between the AC and BC treatments after composting. The relative abundance of Firmicutes in the AC treatment was five times higher than that in the control (p < 0.05), and there were no significant differences between BC, CC, and the control.
A total of 26 phyla and 252 families were detected during composting. The top 50 families (>0.1%) in terms of relative abundance were selected for analysis. Relative abundances (<0.1%) were included in other bacteria (Figure 11). The bacteria community changed at the family level after composting. The dominant families of the three treatments and the control were Sphingobacteriaceae, Xanthomonadaceae, Burkholderiaceae, and Pseudomonadaceae before composting. Their relative abundances in A0, B0, and C0 treatments and Control0 ranged from 10 to 20%, 10 to 15%, 7 to 17%, and 4 to 18%, respectively. After composting, the dominant families of the AC treatment were Burkholderiaceae, Microscillaceae, Dysgonomonadaceae, and A4b except for other families. The dominant families of the BC treatment were Burkholderiaceae, Microscillaceae, and A4b. The dominant families of the CC treatment were Microscillaceae, A4b, and Chitinophagaceae. Especially, A4b belonged to Anaerolineae Chloroflexi. The dominant families in the control were Microscillaceae and MWH-CFBk5, among which MWH-CFBk5 belonged to Bacteroidetes of Cytophagales.
Figure 11.
Bacterial community composition and relative abundance at family level before and after composting; AC0, BC0, CC0, and Control0 represented the treatment and the control before composting, respectively. AC1, BC1, CC1, and Control1 represented the treatment and the control after composting, respectively.
3.7. Correlation Analysis between the Community Structure and Physicochemical Factors
CCA was used to analyze the relationship between the structure of bacterial community and physical and chemical factors of samples after composting (Figure 12). The community structure of three treatments and the control were evidently different. The community structure of AC was different from that of BC and CC. The community structures of BC and CC were similar. The two observed components explained 40% and 25% of the variation, respectively. The physical and chemical traits significantly affected the bacterial community structure during aerobic composting. In the three treatments, the content of organic matter and available N were important positive factors for composting. The content of available N explained 7.3% of the variation (p = 0.04), and the content of organic matter explained 8.1% of the variation (p = 0.01). The alkaline N content/total N ratio and the C/N ratio were also closely related to the bacterial community of the control. Regulating on the content of total N and total P benefited the final compost quality of the R. roxburghii litter.
Figure 12.
CCA analysis between physicochemical properties and bacteria community of the compost; AC, BC, and CC represented the treatment after composting, respectively.
4. Discussion
4.1. Effect of Microbial Agents on Physical Properties of Composting
The final pH values (8.0–8.5) of three composts were all in accordance with the National Organic Fertilizers Standard of China (NY525-2021) (5.5–8.5). The rapid increase in temperature in the early stage was caused by the heat released from the decomposition of degradable organic matters, whereas the slow increase in temperature was due to the decomposition of lignin and cellulose in the late stage [33]. This result was verified by the rapid decline in VS content within the first 25 days, which reflected the degradation rate of organic matters in the compost [34]. Meanwhile, the VS content of CC treatment reduced more rapidly compared with other treatments, indicating that the microbial activity was more intense at the initial stage after inoculation.
pH is one of the key factors affecting microbial activity and enzyme activity in compost, and it is also an indicator for determining compost maturity [35]. In this study, the initial pH values were neutral, which was suitable for microbial growth at the early composting stage [36]. The pH quickly increased, to about 7.7 within 15 days, and the increase slowed down thereafter. The organic N was mineralized and decomposed by exogenous microbial agents and was then converted into NH4+, which possibly increased the alkalinity of the compost. With the depletion of the N source, organic acids from the decomposition of organic matter were gradually accumulated, resulting in a slow increase in pH at the late stage [37]. The conductivity could indicate the conversion rates of NH4+ and NO3− and the concentrations of soluble salt in the compost [38]. Excessive electrical conductivity leads to adverse effects on plant growth [39]. Exogenous agents promote the decomposition of organic matter and the accumulation of soluble salts, which lead to an increase in electrical conductivity in compost. The final conductivity of the three treatments all met the requirements of the National Standards of China ≤5.5 mS·cm−1). Values of temperature, pH, and electrical conductivity all exhibited the typical features of compost, and the three composts could be considered as non-hazardous according to the National Standards (NY525-2021).
4.2. Effect of Microbial Agents on Nutrient Content
Previous research has shown that the soluble sugar and organic acid in compost are degraded to CO2 and H2O, and cellulose and lignin are degraded to glucose, releasing the energy and nutrients needed for the growth of microorganisms [40]. A phenomenon of enriched nutrients (N, P, and K) was observed in the three treatments with the exogenous agents. The total N and total K contents of the CC treatment increased significantly, and the application of B and C agents increased the total P content. According to a meta-analysis concerning the microbial inoculation of compost, microbial inoculants showed a strong beneficial effect on the total nitrogen (+30%) and total phosphorus (+46%) contents of the reported composts [41]. The increase in total nutrient contents was possibly due to the mineralization and decomposition of organic matter during composting, the loss of carbon dioxide and material moisture. The decrease in dry matter was greater than the loss of nitrogen caused by NH3 volatilization [42]. Available N mainly includes ammonium N and nitrate N [43]. The increase in the available N content in the AC, BC, and CC treatments was higher than that in the control. The increase (15%) in the available N content of the CC treatment was significantly higher than that of the other treatments. The increase in the available N was related to the rapid mineralization of organic N and the accumulation of ammonium due to the intense microbial activity [44]. The addition of the C agent was conducive to the retention of available N in the compost. Aerobic composting with agents can be utilized to convert insoluble P into an easily absorbed form by plants [45]. The increase in available P contents in the three treatments exceeded 45%. Three microbial agents all showed positive effects on improving the nutrient availability of compost.
4.3. Changes in Microbial Diversity during Composting
Microbial agents significantly improved the community structure at the early stage and changed the bacterial community before and after composting. The microbial diversity indexes of richness, Chao1, and Shannon in each treatment after composting were significantly increased. The bacterial community diversity in the compost was not high before inoculation. After inoculation, the available substrate was abundant, and the reproduction of exogenous microbes was rapid under suitable conditions, forming dominant communities in the compost pile. The microbial species in the three agents functioned differently during the composting. The Shannon index of the AC treatment after composting was significantly higher than that of the BC and CC treatments, which may be related to the more complex microbial species composition of agent A. The abundance of bacteria in the Chitinophagaceae family of Bacteroidetes in the CC treatment was much higher than that in the AC and BC treatments. The Chitinophagaceae family generally contains aerobic or facultative bacteria that could degrade chitin and hydrolyze cellulose. Chitin is the main component of fungal cell walls, and the bacteria of the Chitinophagaceae family in the CC treatment might be associated with fungal activity during composting [46].
The addition of Azotobacter can reduce the loss of N in the composting process, which was related to the initial inoculation amount and internal microbial cooperation [47]. In this study, the relative abundance of Azotobacter from the agent A was low after composting. High temperature in the thermophilic stage may negatively affect the N-fixing activity. A previous study found that at 45 °C, the 20 strains of Azotobacter were slowed, and growth ceased in 4 strains [48]. The bacteria of Proteobacteria and Bacteroidetes in the three agents became dominant groups after composting. Pseudomonadaceae constituted the majority of Proteobacteria in samples of the three treatments. Pseudomonadaceae is composed of some strict aerobic cellulose-degrading bacteria and can degrade organic matter in the early stage of composting [49,50,51]. The Flavobacteriaceae family in Bacteroidetes includes many cellulose-degrading bacteria, among which Flavobacterium can degrade complex organic matters such as cellulose, hemicellulose, and chitin [52,53,54]. The abundance of bacteria in Chloroflexi increased significantly after composting. The growth of facultative anaerobic bacteria in Chloroflexi phylum was always affected by the substrate moisture content and compactness of compost pile [55].
The composting effect and bacterial community composition are closely related to environmental factors. The formation of the BC and CC treatments was regulated by the available N content, indicating that B and C agents played an important role in the transformation between ammonium N, nitrate N, and organic N. The relative abundance of the Flavobacteriaceae family in Bacteroidetesa phylum in BC and CC treatments was higher than that in the AC treatment. The majority of the Flavobacteriaceae family were Flavobacterium genus (Flavobacterium), with heterotrophic nitrification and denitrification functions [56], suggesting a close relationship between the activity of bacterium in Flavobacteriaceae bacteria and N transformations in the BC and CC treatments.
5. Conclusions
An efficient microbial agent is beneficial for the nutrient cycle in soil of R. roxburghii plantation. In this study, we aimed to obtain three kinds of compost of R. roxburghii litter after inoculation. We achieved three kinds of R. roxburghii litter compost adhered to the national standard based on the physical and chemical properties of the compost. The bacterial community structure of the inoculation treatment was demonstrably different. The nutrient contents of the R. roxburghii litter increased during composting. Considering the thermophilic duration, germination index, nutrients, and bacterial response, we think that the B and C agents were suitable for R. roxburghii litter compost. There were significant differences in the final contents of total N, available N, and available P of the three treatments, suggesting that the three agents reconstructed the bacterial web in different ways. A detailed functional gene analysis related to nutrients is needed to further the understanding of compost processes.
Author Contributions
Conceptualization: Y.L. and B.Z.; formal analysis: Y.L. and C.L.; investigation: Y.L. and C.L.; supervision: B.Z., J.Z. and R.Q.; writing—original draft: Y.L.; writing—review & editing: B.Z., J.Z. and R.Q. All authors have read and agreed to the published version of the manuscript.
Funding
This work was supported by Laboratory of Lingnan Modern Agriculture Project (NT2021010, LNSYSZX001); Natural Science Foundation of China (31770484, U1701236), Science and Technology Planning Project of Guangdong Province of China (2019B030301007).
Data Availability Statement
The datasets analyzed during the study are available from the corresponding author on reasonable request.
Conflicts of Interest
The authors declare no conflict of interest.
References
- Li, N.; Nie, M.; Li, B.; Wu, J.; Zhao, J. Contrasting effects of the aboveground litter of native Phragmites australis and invasive Spartina alterniflora on nitrification and denitrification. Sci. Total Environ. 2020, 764, 144283. [Google Scholar] [CrossRef] [PubMed]
- Ventura, M.; Scandellari, F.; Bonora, E.; Tagliavini, M. Nutrient release during decomposition of leaf litter in a peach (Prunus persica L.) orchard. Nutr. Cycl. Agroecosyst. 2010, 87, 115–125. [Google Scholar] [CrossRef]
- Zeng, Q.; Chen, Z.; Tan, W. Plant litter quality regulates soil eco-enzymatic stoichiometry and microbial nutrient limitation in a citrus orchard. Plant Soil 2021, 466, 179–191. [Google Scholar] [CrossRef]
- Xu, J.; Vidyarthi, S.K.; Bai, W.; Pan, Z. Nutritional constituents, health benefits and processing of Rosa Roxburghii: A review. J. Funct. Foods 2019, 60, 103456. [Google Scholar] [CrossRef]
- Wen, X.; Deng, X. Characterization of genotypes and genetic relationship of Cili (Rosa roxburghii) and its relatives using RAPD markers. J. Agric. Biotechnol. 2003, 11, 605–611. [Google Scholar] [CrossRef]
- Chen, Y.; Liu, Z.J.; Liu, J.; Liu, J.; Zhang, E.; Li, W. Inhibition of metastasis and invasion of ovarian cancer cells by crude polysaccharides from Rosa Roxburghii Tratt in vitro. Asian Pac. J. Cancer Prev. Prev. 2014, 15, 10351–10355. [Google Scholar] [CrossRef] [Green Version]
- Zhu, J.; Zhang, B.; Wang, B.; Li, C.; Xiong, F.; Huang, Q. In-vitro inhibitory effects of flavonoids in Rosa roxburghii and R. sterilis fruits on α-glucosidase: Effect of stomach digestion on flavonoids alone and in combination with acarbose. J. Funct. Foods 2019, 54, 13–21. [Google Scholar] [CrossRef]
- Li, H.; Fang, W.; Wang, Z.; Chen, Y. Physicochemical, biological properties, and flavour profile of Rosa roxburghii Tratt, Pyracantha fortuneana, and Rosa laevigata Michx fruits: A comprehensive review. Food Chem. 2022, 366, 130509. [Google Scholar] [CrossRef]
- Zhang, M.; Shi, A.; Ajmal, M.; Ye, L.; Awais, M. Comprehensive review on agricultural waste utilization and high-temperature fermentation and composting. Biomass Convers. Biorefin. 2021, 7046, 1–24. [Google Scholar]
- Liang, B.; Chang, Q.; Fan, L.; Wang, Y.; Yuan, Y. Soil amendment alters soil physicochemical properties and bacterial community structure of a replanted apple orchard. Microbiol. Res. 2018, 216, 1–11. [Google Scholar] [CrossRef]
- Hu, T.; Wang, X.; Zhen, L.; Gu, J.; Zhang, K.; Wang, Q.; Ma, J.; Peng, H.; Lei, L.; Zhao, W. Effects of inoculating with lignocellulose-degrading consortium on cellulose-degrading genes and fungal community during co-composting of spent mushroom substrate with swine manure. Bioresour. Technol. 2019, 291, 121876. [Google Scholar] [CrossRef] [PubMed]
- Jurado, M.; López, M.J.; Suárez-Estrella, F.; Vargas-García, M.C.; Moreno, J. Exploiting composting biodiversity: Study of the persistent and biotechnologically relevant microorganisms from lignocellulose-based composting. Bioresour. Technol. 2014, 162, 283–293. [Google Scholar] [CrossRef] [PubMed]
- Wei, Y.; Wu, D.; Wei, D.; Zhao, Y.; Wu, J.; Xie, X.; Zhang, R.; Wei, Z. Improved lignocellulose-degrading performance during straw composting from diverse sources with actinomycetes inoculation by regulating the key enzyme activities. Bioresour. Technol. 2018, 71, 66–74. [Google Scholar] [CrossRef] [PubMed]
- Chaturvedi, S.; Kumar, A.; Singh, B.; Nain, L.; Joshi, M.; Satya, S. Bioaugmented composting of Jatropha de-oiled cake and vegetable waste under aerobic and partial anaerobic conditions. J. Basic Microbiol. 2013, 53, 327–335. [Google Scholar] [CrossRef] [PubMed]
- Jia, X.; Qin, X.; Tian, X.; Zhao, Y.; Huang, J. Inoculating with the microbial inoculums to start up the aerobic composting of mushroom residue and wood chips at low temperature. J. Environ. Chem. Eng. 2021, 9, 105294. [Google Scholar] [CrossRef]
- Yeoh, C.Y.; Chin, N.L.; Tan, C.S.; Ooi, H.S. Acceleration effects of microbial inoculum on palm oil mill organic waste composting. Compost. Sci. Util. 2011, 19, 135–142. [Google Scholar] [CrossRef]
- Zhu, J.; Zhang, B.; Tan, C.; Ding, L.; Shao, M.; Chen, C.; Fu, X.; Huang, Q. Effect of Rosa Roxburghii juice on starch digestibility: A focus on the binding of polyphenols to amylose and porcine pancreatic α-amylase by molecular modeling. Food Hydrocoll. 2021, 123, 106966. [Google Scholar] [CrossRef]
- Pan, H.; Nie, S.; Kou, P.; Wang, L.; Wang, Z.; Liu, Z.; Zhao, C.; Wang, X.; Fu, Y. An enhanced extraction and enrichment phytochemicals from Rosa roxburghii Tratt leaves with ultrasound-assist CO2-based switchable-solvent and extraction mechanism study. J. Mol. Liq. 2021, 337, 116591. [Google Scholar] [CrossRef]
- Xu, Y.; Yu, C.; Zeng, Q.; Yao, M.; Zhang, A. Assessing the potential value of Rosa Roxburghii Tratt in arsenic-induced liver damage based on elemental imbalance and oxidative damage. Environ. Geochem. Health 2021, 43, 1165–1175. [Google Scholar] [CrossRef]
- Wang, L.; Lv, A.J.; Fan, X.; Dong, M.; Zhang, S.; Wang, J.; Wang, Y.; Cai, Z.; Fu, Y. Botanical characteristics, phytochemistry and related biological activities of Rosa roxburghii Tratt fruit, and its potential use in functional foods: A review. Food Funct. 2021, 12, 1432–1451. [Google Scholar] [CrossRef]
- Wu, P.; Han, S.; Wu, M. Beneficial effects of hydroalcoholic extract from Rosa Roxburghii Tratt fruit on hyperlipidemia in high-fat-fed rats. Acta Cardiol. Sin. 2020, 36, 148–159. [Google Scholar] [CrossRef] [PubMed]
- Ma, S.; Fang, C.; Sun, X.; Han, L.; He, X.; Huang, G. Bacterial community succession during pig manure and wheat straw aerobic composting covered with a semi-permeable membrane under slight positive pressure. Bioresour. Technol. 2018, 59, 221–227. [Google Scholar] [CrossRef] [PubMed]
- Tang, Z.; Xi, B.; Huang, C.; Tan, W.; Yuan, W. Linking phytoavailability of heavy metals with microbial community dynamics during municipal sludge composting. Process Saf. Environ. Prot. 2019, 130, 288–296. [Google Scholar] [CrossRef]
- Lu, R.K. Agrochemical Analysis Methods of Soil; China Agricultural Science and Technology Press: Beijing, China, 2000. [Google Scholar]
- Bao, S.D. Soil and Agriculture Chemistry Analysis; China Agriculture Press: Beijing, China, 2000. [Google Scholar]
- Zhao, H.; Li, J.; Liu, J.; Lv, Y.; Wang, X.; Cui, Z. Microbial community dynamics during biogas slurry and cow manure compost. J. Integr. Agric. 2013, 12, S2095–S3119. [Google Scholar] [CrossRef]
- Kebrom, T.H.; Woldesenbe, S.; Bayabil, H.K.; Garcia, M.; Gao, M.; Ampim, P.; Awal, R.; Fares, A. Evaluation of phytotoxicity of three organic amendments to collard greens using the seed germination bioassay. Environ. Sci. Pollut. Res. 2019, 26, 5454–5462. [Google Scholar] [CrossRef] [Green Version]
- Dennis, K.L.; Wang, Y.; Blatner, N.R.; Wang, S.; Saadalla, A.; Trudeau, E.; Roers, A.; Weaver, C.T.; Lee, J.J.; Gillbert, J.A.; et al. Adenomatous polyps are driven by microbe- instigated focal inflammation and are controlled by IL-10 producing T cells. Cancer Res. 2013, 73, 5905–5913. [Google Scholar] [CrossRef] [Green Version]
- Wang, K.; Chu, C.; Li, X.; Wang, W.; Ren, N. Succession of bacterial community function in cow manure composing. Bioresour. Technol. 2018, 267, 63–70. [Google Scholar] [CrossRef]
- Hill, M.O. Diversity and evenness: A unifying notation and its consequences. Ecology 1979, 54, 427–432. [Google Scholar] [CrossRef] [Green Version]
- Oksanen, J.; Kindt, R.; Legendre, P.; O’Hara, R.B. Vegan: Community Ecology Package Version 2007, 1.8-6. Available online: https://cran.r-project.org/src/contrib/Archive/vegan/ (accessed on 5 June 2021).
- Core, R.; Rdct, R.; Team, R.A. Language and Environment for Statistical Computing. Computing 2015, 1, 12–21. [Google Scholar] [CrossRef]
- Caceres, R.; Flotats, X.; Marfa, O. Changes in the chemical and physicochemical properties of the solid fraction of cattle slurry during composting using different aeration strategies. Waste Manag. 2006, 26, 1081–1091. [Google Scholar] [CrossRef]
- Varma, V.S.; Prasad, R.; Deb, S.; Kalamdhad, A.S. Effects of aeration during pile composting of water hyacinth operated at agitated, passive and forced aerated condition. Waste Biomass Valorization 2018, 9, 1339–1347. [Google Scholar] [CrossRef]
- Wang, J.; Chen, X.; Zhang, S.; Wang, Y.; Shao, X.; Wu, D. Analysis of raw materials and products characteristics from composting and anaerobic digestion in rural areas. J. Clean. Prod. 2022, 338, 130455. [Google Scholar] [CrossRef]
- Laubr, C.L.; Hamady, M.; Knight, R.; Fierer, N. Pyrosequencing-based assessment of soil pH as a predictor of soil bacterial community structure at the continental scale. Appl. Environ. Microbiol. 2009, 75, 5111–5120. [Google Scholar] [CrossRef] [PubMed] [Green Version]
- Liu, D.; Zhang, R.; Wu, H.; Xu, D.; Zhu, T.; Yu, G.; Xu, Z.; Shen, Q. Changes in biochemical and microbiological parameters during the period of rapid composting of dairy manure with rice chaff. Bioresour. Technol. 2011, 102, 9040–9049. [Google Scholar] [CrossRef] [PubMed]
- Shi, X.; Wang, H.; Song, J.; Lv, X.; Li, W.; Li, B.; Shi, J. Impact of saline soil improvement measures on salt content in the abandonment-reclamation process. Soil Tillage Res. 2021, 208, 104867. [Google Scholar] [CrossRef]
- Rodrigues, L.C.; Puig-Ventosa, I.M.; López, M.; Martínez, F.X.; Bertrán, T.G. The impact of improper materials in biowaste on the quality of compost. J. Clean. Prod. 2019, 251, 119601. [Google Scholar] [CrossRef]
- Zhu, N.; Zhu, Y.; Kan, Z.; Li, B.; Cao, Y.; Jin, H. Effects of two-stage microbial inoculation on organic carbon turnover and fungal community succession during co-composting of cattle manure and rice straw. Bioresour. Technol. 2021, 341, 125842. [Google Scholar] [CrossRef]
- Nigussie, A.; Dume, B.; Ahmed, M.; Mamuye, M. Effect of microbial inoculation on nutrient turnover and lignocellulose degradation during composting: A meta-analysis. Waste Manag. 2021, 125, 220–234. [Google Scholar] [CrossRef]
- Fang, M.; Wong, J.; Ma, K.; Wong, M. Co-composting of sewage sludge and coal fly ash: Nutrient transformations. Bioresour. Technol. 1999, 67, 19–24. [Google Scholar] [CrossRef]
- Li, C.; Li, H.; Yao, T.; Su, M.; Gun, S. Effects of microbial inoculation on enzyme activity, available nitrogen content, and bacterial succession during pig manure composting. Bioresour. Technol. 2020, 306, 123167. [Google Scholar] [CrossRef]
- Li, C.; Li, H.; Yao, T.; Su, M.; Gun, S. Microbial inoculation influences bacterial community succession and physicochemical characteristics during pig manure composting with corn straw. Bioresour. Technol. 2019, 289, 121653. [Google Scholar] [CrossRef] [PubMed]
- Wei, Y.; Zhao, Y.; Fan, Y.; Lu, Q.; Li, M.; Wei, Q.; Zhao, Y.; Cao, Z.; Wei, Z. Impact of phosphate-solubilizing bacteria inoculation methods on phosphorus transformation and long-term utilization in composting. Bioresour. Technol. 2017, 241, 134–141. [Google Scholar] [CrossRef] [PubMed]
- Rosenberg, E. The Family Chitinophagaceae. In The Prokaryotes: Other Major Lineages of Bacteria and the Archaea; Springer: Berlin/Heidelberg, Germany, 2014. [Google Scholar] [CrossRef]
- Yan, Y.; Yang, J.; Dou, Y.; Chen, M.; Ping, S.; Peng, J.; Lu, W.; Zhang, W.; Yao, Z.; Li, H.; et al. Nitrogen fixation island and rhizosphere competence traits in the genome of root-associated Pseudomonas stutzeri A1501. Proc. Natl. Acad. Sci. USA 2008, 105, 7564–7569. [Google Scholar] [CrossRef] [PubMed] [Green Version]
- Jain, D.; Sharma, J.; Kaur, G.; Bhojiya, A.A.; Maharjan, E. Phenetic and molecular diversity of nitrogen fixating plant growth promoting Azotobacter isolated from semiarid regions of India. BioMed Res. Int. 2021, 2021, 6686283. [Google Scholar] [CrossRef]
- Yang, J.; Zhang, J.; Yu, H.; Cheng, J.; Miao, L. Community composition and cellulase activity of cellulolytic bacteria from forest soils planted with broad-leaved deciduous and evergreen trees. Appl. Microbiol. Biotechnol. 2014, 98, 1449–1458. [Google Scholar] [CrossRef] [PubMed]
- Beguin, P. Molecular biology of cellulose degradation. Annu. Rev. Microbiol. 1990, 44, 219–248. [Google Scholar] [CrossRef]
- Spiers, A.J.; Deeni, Y.Y.; Folorunso, A.O.; Koza, A.; Moshynets, O.; Zawadzki, K. Cellulose expression in Pseudomonas fluorescens SBW25 and other environmental Pseudomonads. In Cellulose: Medical, Pharmaceutical and Electronic Applications; InTech: Dundee, UK, 2013. [Google Scholar] [CrossRef] [Green Version]
- Kirchman, D.L. The ecology of Cytophaga-Flavobacteria in aquatic environments. FEMS Microbiol. Ecol. 2002, 39, S0168–S6496. [Google Scholar] [CrossRef]
- Herrera, L.M.; Braña, V.; Fraguas, L.F.; Castro-Sowinski, S. Characterization of the cellulase-secretome produced by the Antarctic bacterium Flavobacterium sp. AUG42. Microbiol. Res. 2019, 223–225, 13–21. [Google Scholar] [CrossRef]
- Williams, T.J.; Wilkins, D.; Long, E.; Evans, F.; DeMaere, M.Z.; Raftery, M.J.; Cavicchioil, R. The role of planktonic Flavobacteria in processing algal organic matter in coastal East Antarctica revealed using metagenomics and metaproteomics. Environ. Microbiol. 2013, 15, 1302–1317. [Google Scholar] [CrossRef]
- Wang, C.; Dong, D.; Wang, H.S.; Müller, K. Metagenomic analysis of microbial consortia enriched from compost: New insights into the role of Actinobacteria in lignocellulose decomposition. Biotechnol. Biofuels 2016, 9, 22. [Google Scholar] [CrossRef] [Green Version]
- Castignetti, D.; Hollocher, T.C. Heterotrophic nitrification among denitrifiers. Appl. Environ. Microbiol. 1984, 47, 620–623. [Google Scholar] [CrossRef] [PubMed] [Green Version]
Publisher’s Note: MDPI stays neutral with regard to jurisdictional claims in published maps and institutional affiliations. |
© 2022 by the authors. Licensee MDPI, Basel, Switzerland. This article is an open access article distributed under the terms and conditions of the Creative Commons Attribution (CC BY) license (https://creativecommons.org/licenses/by/4.0/).













