Abstract
External thermal insulation systems often have durability problems, including cracking, hollowing, and falling off, which seriously affect safety and energy-saving effects. Based on finite element theory and using ANSYS software, this paper studies the distribution law of the temperature field and temperature stress of the external thermal insulation system. It was found that, compared with an uninsulated wall, the temperature stress of the substrate in summer was reduced by 52.9%, and the temperature stress of the substrate in winter was reduced by 50.9%. The temperature stress is mainly concentrated in the middle position of the external wall insulation system, and the middle of the wall can appear as a hollow drum and fall off. When the temperature of the external wall surface is 60 °C, the maximum temperature stress of the insulation system is 2.46 MPa, compared with the external wall surface of 70 °C—a decrease of 22.2%; the maximum temperature stress on the substrate is 0.46 MPa—a decrease of 20.7%. When the temperature of the outer wall surface is 50 °C, the maximum temperature stress suffered by the insulation system is 1.75 MPa, compared with the outer wall surface of 70 °C—a decrease of 44.4%. Meanwhile, the maximum temperature stress suffered by the substrate is 0.34 MPa—a decrease of 41.4%. This paper investigates and numerically simulates the durability of external wall insulation systems for buildings in hot summer and cold winter regions, and studies the durability of EPS insulation, which can provide guidance for other insulation material design and durability studies.
1. Introduction
With the development of China, the total number of buildings is rising year by year and people’s demand for comfort inside buildings is increasing, leading to a sharp rise in building energy consumption. In 2018, the share of energy consumption and carbon emissions in whole-life buildings reached 46.5% and 51.2%, respectively [1]. The use of thermal insulation in residential and commercial buildings can maximize the efficiency of cooling and heating systems to reduce energy loss throughout the year, so the use of exterior insulation technology can not only reduce HVAC system power consumption, but also reduce the fixed cost of equipment installation, which is an important way to achieve energy saving in buildings. China introduced exterior wall insulation systems and developed a series of standards in the 1980s [2]. External wall insulation technology in our country has problems of durability, such as large areas of peeling and cracking. Poor durability not only reduces the building aesthetics, but also weakens the building’s energy-saving effect, and even causes property damage and safety accidents. The above problems make scholars’ eyes shift to the durability and safety of insulation materials [3,4,5].
In recent years, widely used insulation materials such as EPS, XPS, and PU have become the main insulation materials for buildings. With the recognition of related materials in different countries at home and abroad, researchers have done a lot of related research on insulation materials [6,7]. The main reasons for the current influence on the durability of the exterior insulation system of buildings are water, wind, and temperature.
There is little domestic research and study on external wall insulation technology; however, in recent years, with the introduction of building energy-saving policies, related research has begun to emerge. Relevant standards and policies have been introduced to regulate the industry market. A large number of experts and scholars have conducted weathering experiments on the external insulation system, but the experimental period is long and the cost is high. Furthermore, there is a lack of overall research on the external insulation system of buildings, so it is necessary to conduct a holistic study of external insulation systems. EOTA has published the European Technical Approval Standard for Exterior Thermal Insulation Composite Systems with Finishes (ETICS), which sets out the relevant weathering test requirements. In the study of temperature stress, weathering experiments can be a good test to detect the exterior wall insulation system [8], as evidenced by Annila [9], Daniotti [10], and others who have conducted durability experiments. Further, Kumar D [11] compared and analyzed the mechanical properties of different insulation materials, and Tavares et al. [12] predicted the service life of external wall insulation systems using ANN and fuzzy logic system calculation methods. Yu [13] analyzed three insulation materials and did weathering experiments, and the results showed that sudden temperature changes have a large impact on the external insulation walls. The thermal stress of the insulation system is high at the thermal bridge, and the irregular part of the wall (e.g., the window) will produce stress concentration [14,15]. Gao et al. investigated the durability of porous perlite polymers in humid and hot environments and found that Na ions destroy the polymer framework layer. Mahaboonpachai [16,17] modeled an external wall insulation system based on ANSYS and analyzed the interaction between insulation layers. Temperature changes and uneven forces are generated in the insulation material, which makes the insulation material deformation degree increase [18].
Durability is a very important factor to consider when evaluating the exterior wall insulation system of a building. Currently, scholars have studied the mechanical properties of exterior wall insulation, but there is a lack of analysis of the effects caused by temperature. In this paper, mainly based on the finite element principle, ANSYS software is used to model the wall insulation system, analyze the temperature field and temperature stress of the wall under different conditions through simulation, and put forward a few reasonable suggestions to improve the durability of the exterior wall insulation system.
2. Methodology
2.1. Structural Form of Exterior Walls
According to the regulations for the specimens in the weather resistance test in the technical specification for external wall insulation engineering (JGJ144-2019), the model dimensions established in this paper are: the wall length is 3 m, width is 2 m. The external wall insulation system sets ① base layer 200 mm, ② interface layer 10 mm, ③ insulation layer 50 mm, ④ plastering layer 5 mm, ⑤ finishing layer 5 mm, thickness is 270 mm. The uninsulated wall is set ① base layer 200 mm, ⑤ finish layer 10 mm, and the thickness is 210 mm, as follows in Figure 1.
Figure 1.
External thermal insulation structure. (a) Thermal insulation walls; (b) Uninsulated walls.
2.2. Mathematical Model
Based on the nature of the study subjects [19], the following hypotheses were made for the sake of simplicity of the study:
Isotropic assumption: The elastic modulus of a body is the same in all directions.
The assumption of complete elasticity: The material conforms to Hooke’s law, i.e., the stress is proportional to the strain and does not change with the magnitude and sign of the stress.
The object is assumed to be continuous: The whole volume of the object is filled without gaps. That is, the contact thermal resistance between different structural layers of materials is neglected.
Assume that the T is just a function of time t and slab thickness z, i.e.,
where T is the temperature; t is the time; z is the thickness.
Since the plane dimension of the building facade is more than 10 times the thickness of the facade, it can be regarded as a plane stress problem when solving for the temperature stress. Set the height direction of the wall panel to y, the width direction to x, and the thickness direction to z. When the temperature varies only in the thickness direction, the material has an elastic modulus of E, Poisson’s ratio of μ, heat deformation coefficient of α, and an initial temperature of T0. According to the generalized Hook’s law, it is obtained that:
where ε is the strain; E is the elastic modulus; σ is the temperature stress; μ is the Poisson’s ratio; α is the heat deformation coefficient.
In this study, the wall slab is considered free slab and the temperature stress calculation model of multi-layer composite wall slab is established.
Assuming good bonding between the insulation layers, the temperature distribution function for each layer is , is located in the middle of each structure, and is the thickness of the ith structural layer. According to the assumption of plane section, the strain ε should be a linear function of z as follows [20]:
where the temperature distribution parameters Ai, Bi per layer can be obtained from the temperature field per layer, i.e.,
Therefore, the temperature stresses to which the ith layer is subjected are:
where σiT is the fully restrained temperature stress of the ith layer plate; σi1 is the stress induced by the average temperature change of the ith layer plate; σi2 is the stress induced by a linear temperature change in the ith layer plate.
When the external wall is used as a free slab, it can be both rotatable and retractable:
2.3. Grid Division
After creating the geometry model, the meshing is carried out in ANSYS in the following steps: setting the cell properties, controlling the mesh size, and generating the mesh. The meshing methods are divided into automatic, multi-domain sweeping, and hex-dominant meshing methods.
In ANSYS finite element simulations, meshing is very important. As the dimensions of the structural layers of the external wall insulation system vary considerably in the thickness direction, it is important to ensure a reasonable mesh density when meshing. The cell size was controlled manually by Size Control, with a grid size of 5 mm for the base layer, 2.5 mm for the insulation layer, and 1 mm for the interface, plaster, and finish layers in the thickness direction. The model after dividing the grid is shown in Figure 2.
Figure 2.
Wall mesh modle.
The quality of the grid is checked, with the horizontal coordinate indicating the quality of the grid and the vertical coordinate indicating the number of grids. When the horizontal coordinate is closer to 1, the better the mesh quality is. From Figure 3, we can see that the mesh quality of this paper is not less than 0.63, and the solver can accept this mesh better.
Figure 3.
Grid quality diagram.
2.4. Grid Independence Test
The cell size is manually controlled by Size Control, and the grid size of the base layer in the thickness direction is 5 mm, the grid size of the insulation layer is 2.5 mm, and the grid size of the interface layer, plaster layer, and finish layer is 1 mm. Figure 4 shows the temperature field variation curves on both sides of the insulation layer of the external wall insulation system under different grid numbers in summer conditions, and it can be seen from the figure that when the number of grids is greater than 110,000, the changes tend to be stable. The grid is tested for independence, and the grid number 110,000 is used for the division.
Figure 4.
Grid independence test.
The simulated insulation layer material in this paper is selected from EPS panels, and the different thermal properties of different materials with thermal energy storage effects are considered when performing temperature stress calculations. Material parameters are set for different structural layer materials of the external wall insulation system, including elastic modulus, Poisson’s ratio and coefficient of thermal expansion, thickness, etc. The material parameters settings for uninsulated walls and external wall insulation systems are shown in Table 1 and Table 2. The parameters used are taken from the Code for Design of Concrete Structures (GB50010-2010) and the Code for Thermal Design of Civil Buildings (GB50176-2016).
Table 1.
Material parameters for each layer of uninsulated walls.
Table 2.
Material parameters for each layer of the external wall insulation system.
Boundary condition setting: In this study, the boundary conditions are set according to the most unfavorable boundary conditions, and in the summer condition, the outer surface temperature of the wall is set to 70 °C and the inner surface temperature is set to 26 °C; in the winter condition, the outer surface temperature of the wall is set to −20 °C and the inner surface temperature is set to 20 °C.
2.5. Model Validation
The simulation results of the temperature field of the external wall insulation system in summer conditions are compared with the results calculated through the thermal conductivity equation of the multi-layer composite flat wall, and the calculation results are shown in Table 3. It is found that the simulation results are close to the theoretical calculation results. The error is not more than 1‰, so the simulation results are reliable.
Table 3.
Simulated and theoretically calculated internal and external surface temperatures, °C.
3. Results
3.1. Comparative Analysis of Uninsulated Walls and External Wall Insulation Systems
This section focuses on setting the boundary conditions for the simulation model to obtain the simulation plots of temperature stresses and temperature field variations for uninsulated walls and external wall insulation systems.
3.1.1. Analysis of Temperature Field Simulation Results
The temperature change of each structural layer of uninsulated wall and external wall insulation system under the most unfavorable temperature in summer and winter was obtained by ANSYS Workbench simulation, and the temperature field change curve from the thickness direction is shown in Figure 5 and Figure 6. In the summer working condition, the base layer of the uninsulated wall rose to 66.91 °C; with 50 mm thick EPS board external wall insulation system protection, the surface of the base layer temperature only rose to 30.62 °C, and the heat insulation effect was obvious. The temperature change is mainly in the insulation layer, and there is a huge temperature gradient of 69.51~30.96 °C on the inside and outside surfaces of the insulation layer. Under winter conditions, the structural layer of the uninsulated wall dropped to −17.19 °C, and the surface temperature of the base layer of the external insulation system only dropped to 15.80 °C; the insulation effect is obvious. There is a huge temperature gradient between the inner and outer surfaces of the insulation layer, which is −19.56 °C to 15.49 °C. The uninsulated wall temperature varies gently along the thickness direction relative to the external wall insulation system.
Figure 5.
Summer temperature distribution of different walls.
Figure 6.
Winter temperature distribution of different walls.
In general, the thermal conductivity of the insulation is low, indicating that the temperature variation inside the insulation is large. The lower temperature variation inside the substrate provides thermal insulation and the insulation protects the durability of the substrate.
3.1.2. Analysis of Temperature Stress Simulation Results
As in Figure 7a,b, in the summer the external wall insulation system of each layer of the material properties varies greatly, due to the role of temperature. The temperature stresses on the wall are compressive stresses, which can cause bulging and spalling.
Figure 7.
Simulation results of temperature stresses. (a) Summer, uninsulated walls; (b) Summer, insulation walls; (c) Winter, uninsulated walls (d) Winter, insulation walls.
The maximum temperature stress on the uninsulated wall is 1.32 MPa, of which the maximum temperature stress on the base layer is 1.23 MPa, and the maximum temperature stress on the external wall insulation system is 3.16 MPa, of which the maximum temperature stress on the base layer is 0.58 MPa; compared with the uninsulated wall, the temperature stress on the base layer is reduced by 52.9%. At this time, in the thickness direction, the maximum temperature stress of the external wall insulation system is 0.11 MPa, which is slightly larger than the tensile bond strength of the plaster layer and the insulation layer shall not be less than 0.1 MPa as stipulated in the technical regulations of external wall insulation engineering (JGJ144-2019), indicating that the insulation system will fall off under extreme conditions in summer. The temperature stress is mainly concentrated in the middle position of the external wall insulation system, which is consistent with the actual wall middle being prone to hollow drums and peeling.
As in Figure 7c,d, due to the role of temperature and the external wall insulation system of the material properties of the layers being very different, the temperature stress on the wall in winter is tensile, too large, and likely to cause the cracking in the wall.
The maximum temperature stress on the uninsulated wall is 1.15 MPa, of which the maximum temperature stress on the substrate is 1.08 MPa, and the maximum temperature stress on the external wall insulation system is 2.85 MPa, of which the maximum temperature stress on the substrate is 0.53 MPa; compared to the uninsulated wall, the temperature stress on the substrate is reduced by 50.9%.
Although the external wall insulation system is subjected to greater temperature stress than the uninsulated wall, and the temperature stress at the substrate is not the smallest in the entire structural layer, it is less than the temperature stress at the substrate of the uninsulated wall. This indicates that the use of an external wall insulation system reduces the temperature stress of the wall substrate, protects the substrate, and increases the service life of the main body of the building.
For the external wall insulation system, from the thickness direction, without considering the stress concentration, the largest temperature stress is located in the plaster layer, and although the insulation layer has the largest temperature difference, its elastic modulus value is much lower than that of the plaster layer, so the plaster layer is affected by the largest temperature stress. For external wall insulation system, attention should be paid to the durability of the plaster layer. Therefore, it is necessary to recommend the use of polymer mortar, a material with a certain deformation capacity.
3.2. Effect of Facade Dimensions on Temperature Stresses
In practice, it was found that the east and west hillside walls are prone to large areas of shedding, so the effect of exterior wall dimensions on temperature stresses was considered. The boundary conditions were selected as the most unfavorable temperature in summer, the thickness and material selection of the model are shown in Table 2, and the model dimensions are shown in Table 4 below.
Table 4.
Dimensions of the model.
Analysis of Temperature Stress Simulation Results
From Figure 8, it can be seen that at the most unfavorable summer temperatures, with the increase of the height of the external wall, the temperature stress is still concentrated at the center of the wall, and the maximum temperature stress on the external wall insulation system is almost unchanged, but the area of the area with higher temperature stress on the external wall insulation system increases substantially. It indicates that as the size of the external wall increases, the external insulation system of the external wall is more affected by the temperature stress and more likely to fall off. This is consistent with findings from the actual project, in which the east and west hill walls fall off more seriously than the north and south walls.
Figure 8.
Simulation results of temperature stress for three models. (a) Model 1; (b) Model 2; (c) Model 3.
3.3. Effect of Temperature Changes on Temperature Stresses at the Outer Wall Surface
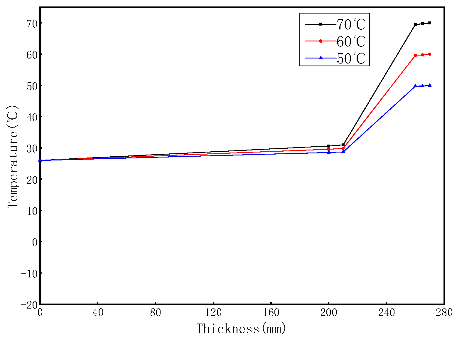
This subsection considers the effect of wall temperature variation on temperature stress. The most unfavorable external wall surface temperature in summer is set to 60 °C and 50 °C, respectively, for simulation and comparison with the working condition, with an external wall temperature of 70 °C.
3.3.1. Analysis of Temperature Field Simulation Results
As can be seen from Figure 9, when the temperature of the external wall surface is 60 °C, the temperature of the base surface of the external wall insulation system rises to 29.57 °C. There is a huge temperature gradient of 59.62 °C to 29.83 °C on the inside and outside surfaces of the insulation layer. When the temperature of the external wall surface is 50 °C, the temperature of the base surface of the external wall insulation system rises to 28.52 °C. The temperature of the inner and outer surface of the insulation layer was 49.74 °C~28.70 °C. The overall change trend is similar to that when the temperature of the external wall surface is 70 °C.
Figure 9.
Temperature distribution curves at different external wall surface temperatures.
3.3.2. Analysis of Temperature Stress Simulation Results
When the temperature of the external wall surface is 60 °C, the wall is also subjected to compressive stress, the temperature stress is mainly concentrated in the middle position, as in Figure 10. At this time, the maximum temperature stress on the insulation system is 2.46 MPa, compared with the external wall surface of 70 °C—a decrease of 22.2%; the maximum temperature stress on the substrate is 0.46 MPa—a decrease of 20.7%. When the temperature of the external wall surface is 50 °C, the maximum temperature stress to the insulation system is 1.75 MPa, compared with the external wall surface of 70 °C—a decrease of 44.4%; the maximum temperature stress to the substrate is 0.34 MPa—a decrease of 41.4%.
Figure 10.
Temperature stress distribution clouds at different external wall temperatures. (a) 70 °C; (b) 60 °C; (c) 50 °C.
This indicates that the temperature of the external wall surface has a large influence on the temperature stress suffered by the external wall insulation system, which is the reason why there are more peeling and cracking phenomena in the east and west hill walls compared to the north and south walls. In the actual engineering application, the east and west hill walls should consider using light-colored finishes or elastic coatings to reduce the heat absorption of the walls. It is also recommended that vegetation be planted in the plot to shade the east and west walls to reduce the area of direct sunlight.
4. Conclusions
In this paper, the effect of temperature on the durability of the external wall insulation system is analyzed by the finite element method to analyze the temperature field and temperature stress under different working conditions. It also analyzes the stress variation of external wall dimensions and external wall surface temperature on temperature stresses, and draws the following conclusions:
In summer, the walls are subjected to compressive stresses and are prone to bulge and peeling. In winter, the walls are subjected to tensile stresses and are prone to cracks. This is in line with the actual survey.
Under the most unfavorable conditions in summer and winter, the external insulation system is subjected to maximum temperature stress of 3.16 MPa and 2.85 MPa, respectively, with the stresses concentrated in the center of the external wall. Compared with the uninsulated walls, the temperature stresses at the base of the external wall insulation system are reduced by 52.8% and 50.9%, respectively. This indicates that the external wall insulation system plays a protective role for the base wall.
As the size of the external wall and the temperature of the external wall surface increase, the temperature stress on the external insulation system increases, so the east and west hillside walls are more likely to cause damage; therefore, the east and west hillside walls should use light-colored facing bricks or elastic paint.
This paper investigates and numerically simulates the durability of external wall insulation systems for buildings in hot summer and cold winter regions, and studies the durability of EPS insulation, which can provide guidance for other insulation material design and durability studies. It is worthwhile to continue researching how to determine the influence weights of the various influencing factors and the relationship between them.
Author Contributions
Supervision, Resources, Project administration, Writing—review & editing, Z.H.; Data curation, Methodology, Writing—original draft, Investigation, Y.S.; Investigation, Conceptualization, L.G.; Writing—review & editing, Resources, G.L.; Writing—original draft, Conceptualization, Y.Z.; Conceptualization, Investigation, T.Z. All authors have read and agreed to the published version of the manuscript.
Funding
This study was funded by National Natural Science Foundation of China (No.72001003) and Anhui Province Undergraduate Innovation and Entrepreneurship Training Program (No. S202010360441X).
Institutional Review Board Statement
Not applicable.
Informed Consent Statement
Not applicable.
Data Availability Statement
Not applicable.
Conflicts of Interest
The authors declare that they have no known competing financial interests or personal relationships that could have appeared to influence the work reported in this paper.
References
- CABEE (China Association of Building Energy Efficiency). China Building Energy Consumption Annual Report 2020. Build. Energy Effic. 2021, 49, 1–6. [Google Scholar]
- Zhang, Y.; Kang, J.; Jin, H. A Review of Green Building Development in China from the Perspective of Energy Saving. Energies 2018, 11, 334. [Google Scholar] [CrossRef] [Green Version]
- Gao, H.; Liao, L.; Liang, Y.; Tang, X.; Liu, H.; Mei, L.; Lv, G.; Wang, L. Improvement of durability of porous perlite geopolymer-based thermal insulation material under hot and humid environment. Constr. Build. Mater. 2021, 313, 125417. [Google Scholar] [CrossRef]
- Zhou, X.; Ma, W.; Wang, X.; Xian, G.; Li, H. Cause analysis and corresponding countermeasure of coating fallings and fire disasters of external wall thermal insulation system. J. Civ. Eng. Manag. 2022, 39, 14–22. [Google Scholar]
- Zhang, F.; Ju, Y.; Gonzalez, E.; Wang, A.; Dong, P.; Giannakis, M. A new framework to select energy-efficient retrofit schemes of external walls: A case study. J. Clean. Prod. 2020, 289, 125718. [Google Scholar] [CrossRef]
- Liu, K.; Zheng, X.; Hsieh, C.; Lee, S. The Application of Silica-Based Aerogel Board on the Fire Resistance and Thermal Insulation Performance Enhancement of Existing External Wall System Retrofit. Energies 2021, 14, 4518. [Google Scholar] [CrossRef]
- Zhang, L.; Hou, C.; Hou, J.; Wei, D.; Hou, Y. Optimization analysis of thermal insulation layer attributes of building envelope exterior wall based on DeST and life cycle economic evaluation. Case Stud. Therm. Eng. 2019, 14, 100410. [Google Scholar] [CrossRef]
- Sulakatko, V.; Lill, I.; Witt, E. Methodological framework to assess the significance of External Thermal Insulation Composite System (ETICS) on-site activities. Energy Procedia 2016, 96, 446–454. [Google Scholar] [CrossRef] [Green Version]
- Annila, P.J.; Pakkala, T.A.; Suonketo, J.; Lahdensivu, J. Examining of weather resistance of ETICS with stresses which correspond to weather conditions in Finland. In Proceedings of the 1st International Conference on Ageing of Materials & Structures, Johannesburg, South Africa, 24–26 November 2014; pp. 73–80. [Google Scholar]
- Daniotti, B.; Paolini, R.; Re Cecconi, F. Effects of ageing and moisture on thermal performance of ETICS cladding. In Durability of Building Materials and Components; Springer: Berlin/Heidelberg, Germany, 2013; pp. 127–171. [Google Scholar]
- Kumar, D.; Alam, M.; Zou, P.X.; Sanjayan, J.G.; Memon, R.A. Comparative analysis of building insulation material properties and performance. Renew. Sustain. Energy Rev. 2020, 131, 110038. [Google Scholar] [CrossRef]
- Tavares, J.; Silva, A.; de Brito, J. Computational models applied to the service life prediction of External Thermal Insulation Composite Systems (ETICS). J. Build. Eng. 2020, 27, 100944. [Google Scholar] [CrossRef]
- Yu, L. The study on color plate facing integrated exterior insulation system. Master’s Thesis, Taiyuan University of Technology, Taiyuan, China, 2013. [Google Scholar]
- Misiopecki, C.; Bouquin, M.; Gustavsen, A.; Jelle, B. Thermal modeling and investigation of the most energy-efficient window position. Energy Build. 2018, 158, 1079–1086. [Google Scholar] [CrossRef]
- Zhang, J. Analysis and simulation on temperature stress and energy consumption of the external thermal insulation in Hot Summer and Cold winter region. Master’s Thesis, Anhui University of Architecture, Hefei, China, 2016. [Google Scholar]
- Mahaboonpachai, T.; Matsumoto, T.; Inaba, Y. Investigation of interfacial fracture toughness between concrete and adhesive mortar in an external wall tile structure. Int. J. Adhes. Adhes. 2010, 30, 1–9. [Google Scholar] [CrossRef]
- Mahaboonpachai, T.; Kuromiya, Y.; Matsumoto, T. Experimental investigation of adhesion failure of the interface between concrete and polymer-cement mortar in an external wall tile structure under a thermal load. Oecologia 2008, 22, 2001–2006. [Google Scholar] [CrossRef]
- Zhao, Z.; Yang, X.; Qu, X.; Zheng, J.; Mai, F. Thermal insulation performance evaluation of autoclaved aerated concrete panels and sandwich panels based on temperature fields: Experiments and simulations. Constr. Build. Mater. 2021, 303, 124560. [Google Scholar] [CrossRef]
- Xu, Z. A Concise Tutorial on Elastic Mechanics; Higher Education Press: Beijing, China, 2013. [Google Scholar]
- Zhu, B. Thermal Stresses and Temperature Control of Mass Concrete; Butterworth-Heinemann: Oxford, UK, 2013. [Google Scholar]
Publisher’s Note: MDPI stays neutral with regard to jurisdictional claims in published maps and institutional affiliations. |
© 2022 by the authors. Licensee MDPI, Basel, Switzerland. This article is an open access article distributed under the terms and conditions of the Creative Commons Attribution (CC BY) license (https://creativecommons.org/licenses/by/4.0/).









