Abstract
This study conducted an extensive literature review on rice husk ash (RHA), with a focus on its particle properties and their effects on the fresh, mechanical, and durability properties of concrete when used as a partial cement replacement. The pozzolanic property of RHA is determined by its amorphous silica content, specific surface area, and particle fineness, which can be improved by using controlled combustion and grinding for use in concrete. RHA particle microstructures are typically irregular in shape, with porous structures on the surface, non-uniform in dispersion, and discrete throughout. Because RHA has a finer particle size than cement, the RHA blended cement concrete performs well in terms of fresh properties (workability, consistency, and setting time). Due to the involvement of amorphous silica reactions, the mechanical properties (compressive, tensile, and flexural strength) of RHA-containing concrete increase with increasing RHA content up to a certain optimum level. Furthermore, the use of RHA improved the durability properties of concrete (water absorption, chloride resistance, corrosion resistance, and sulphate resistance). RHA has the potential to replace cement by up to 10% to 20% without compromising the concrete performance due to its high pozzolanic properties. The use of RHA as a partial cement replacement in concrete can thus provide additional environmental benefits, such as resource conservation and agricultural waste management, while also contributing to a circular economy in the construction industry.
1. Introduction
Concrete is an essential element of civil infrastructure as no other material can match it in terms of resilience, strength, and wide availability, and is therefore the most produced construction material on the planet. In concrete production, cement is one of the main components with an annual production of more than 4.13 billion tons, and it is expected to increase to 4.68 billion tons/year by 2050 [1]. Since the cement manufacturing process has a negative impact on the climate, the 4 billion tons of production account for about 8% of global CO2 emissions [1,2]. To bring the cement industry into line with the Paris climate agreement, its annual emissions in the built environment must decrease by at least 16% by 2030 [3]. One of the most practical and economical approaches to reducing CO2 in the concrete industry is the use of large quantities of supplementary cementitious materials (SCMs) derived from agricultural by-products and industrial wastes.
Various research studies revealed that using agricultural by-products as a partial replacement for cement in concrete production improved the overall performance of concrete properties and enhanced their sustainability properties by lowering costs and improving environmental protection [4,5,6,7,8,9]. Rice husk is one of the agricultural by-products that is abundant in many rice-producing countries around the world. It is generally indigestible for humans and not recommended for use as animal feed due to its low nutritional value. Additionally, the natural degradation of rice husks is limited due to its uneven abrasive surface and high silica content, making it a potential pollution candidate [10].
According to the Food and Agricultural Organization’s rice market monitor, the global rice paddy field forecast for 2021/22 is 714.2 million tons, which equates to approximately 142.84 million tons of rice husks [11]. When burned, each ton of paddy field yields about 0.2 tons of rice husks, which yields about 0.05 tons of rice hull ash (RHA), which contains a significant amount of silica and thus contributes to pozzolanic activity [12]. For this reason, RHA can be used as a supplementary cementitious material with a color range of white, grey, and black depending on the raw material source, mode of incineration, and duration and temperature of burning [13,14]. Indeed, the use of RHA as a partial cement replacement has been extensively researched in relation to concrete properties, including the production of high-performance concrete (high-strength concrete, self-compacting concrete, self-healing concrete, etc.) [15,16,17,18,19,20,21]. It can reduce the consumption of cement and thus reduce energy and greenhouse gas emissions associated with its production. Therefore, use of RHA as a partial cement replacement in concrete production contributes to the useful disposal of agricultural by-products and reducing adverse environmental effects.
The objectives of this work are threefold: (i) to critically review the properties of RHA; (ii) to discuss the effect of RHA as a partial replacement of cement on concrete properties; and (iii) to provide insight into the effective use of RHA in concrete production.
The remainder of the paper is organized as follows. A brief background regarding the production of RHA is presented in Section 2. Section 3 provides a thorough overview of the properties of RHA. The effect of RHA on the properties of fresh concrete is critically reviewed in Section 4. An in-depth review of the effect of RHA on concrete mechanical strength properties is presented in Section 5. The influence of RHA on concrete durability properties is presented in Section 6. Finally, in Section 7, conclusions are drawn.
2. RHA Production
Rice production is dominated by Asia, because rice is the only food crop that can be grown in flooded tropical areas during the rainy season. The mills are typically larger, and disposal of the husks is a big problem. Rice husks are the coating of the seeds or grains of the rice plant to protect the seeds from physical damage and attacks by pathogens, insects, and pests during the growing season, and are separated from the grains during milling process [12]. During the milling process, the husk is removed from the grain to make brown rice; the brown rice is then further milled to remove the brown layer and become white rice [12].
Rice husk ash has many applications because of its numerous properties. It is a wonderful insulator and has applications in industrial processes that include steel foundries and the manufacturing of insulation for houses and refractory bricks. It is an active pozzolan and has numerous packages in the cement and concrete industry [22]. It is also exceedingly absorbent and is used to absorb oil on difficult surfaces, and potentially to filter arsenic from water [13,23,24].
To produce RHA, open field burning or controlled incineration of rice husks can be applied [25]. The amorphous silica and carbon content of RHA are dependent on the time and temperature of the incineration. Well-burned and well-ground RHA is very active and greatly improves the strength and durability of cement and concrete. This pozzolanic material with good and consistent properties can only be obtained by burning the rice husks under precisely defined conditions [12].
Therefore, the type of silica formed after rice husk combustion is determined by the temperature and duration of the process. According to the literature, burning rice husks at temperatures ranging from 400 °C to 1100 °C produces RHA with high pozzolanic activity that remains in the amorphous or crystalline silica form [12,23,26,27,28].
3. RHA Particle Properties
3.1. Physical Properties of RHA
The physical properties of RHA are determined by ash processing parameters such as burning methods, temperature and duration of burning, separation process, and grinding. The pozzolanic property of RHA is dependent on its amorphous silica content, specific surface area, and fineness of particles, and those can be improved by adopting controlled combustion and grinding for application in structural concrete [29,30].
The pore structures of the RHA obtained by different scholars varied, including small-sized pits and large interconnected pores, which depend on the source of rice husks, calcination temperature, burning time, holding time, etc. In addition, the combustion of rice husks after acid leaching can produce rice husk ash with high purity silica content [13].
N. K. Krishna et al. [31] confirm that the specific gravity of RHA was much lower than that of cement. The study also discovered that the bulk density of RHA was lower than that of cement. Because of the low bulk density, the volume occupied for a given mass was greater, and as a result, the RHA filled the pores in the concrete, making it impermeable. E. Mohseni et al. [32] also noted that surface area of RHA was greater than that of Portland cement (4091 cm2/g and 3105 cm2/g, respectively). Table 1 summarizes the mean particle size and specific gravity of RHA reported in various works.
Table 1.
Mean particle size and specific gravity of RHA samples.
According to A. A. Raheem and M. A. Kareem [46], the fineness of RHA blended cement increases with the further addition of RHA content (from 330 m2/kg at RHA 0% and 550 m2/kg at RHA 25%), and finer particles of RHA release more silica and have a better filler effect, resulting in higher pozzolanic reactivity. N. K. Krishna et al. [31] reported that the lower density of RHA in comparison to that of cement contributes to the higher fineness of the RHA blended cement, which increases as the RHA content increases [46]. Table 2 displays the physical properties of RHA blended cements at various replacement levels. As expected, the fineness of the blended cement increases with RHA, the residue on a 45 µm sieve decreases. The higher residue obtained for the low RHA blended cement was due to a higher content of coarser OPC clinker rather than RHA. The lower specific gravity of the blended cements can be attributed to their higher fineness when compared to the control cement. The soundness of RHA blended with cement ranges between 4 and 6 mm as the percentage replacement of RHA increases.
Table 2.
Physical properties of RHA blended cements at various replacement levels [46].
Furthermore, the color of RHA obtained by various researchers ranges from white to gray to black, with the color proportional to the carbon concentration during production. Short combustion times resulted in insufficient RHA combustion, resulting in higher carbon content [12].
3.2. Chemical Composition of RHA
3.2.1. Oxide Composition of RHA
The chemical composition of RHA varies with temperature and burning time, but the variations in the components are minor. When silica is kept in a non-crystalline state, controlled combustion can produce highly pozzolanic ash. The majority of research confirms that the burning temperature is an important factor in the production of amorphous reactive ash [29,30]. The oxide composition of RHA samples reported by various researchers is given in Table 3. The chemical composition and pozzolanic reactivity of RHA are primarily determined by its silica content. As shown in Table 3, the silica content of RHA in all studies is generally greater than 70%. The pozzolanic reactivity can, however, be improved by using controlled combustion and grinding methods.
Table 3.
Oxide composition of RHA sample from X-Ray Fluorescence (XRF) analysis.
3.2.2. Pozzolanic Properties of RHA
RHA and other supplementary cementitious materials must meet ASTM C618-19 chemical composition standards in order to be used as pozzolan. According to ASTM C618-19, any substances with a pozzolanic index of 70% or higher could be used as a supplementary cementitious material. RHA contains a small amount of CaO, along with various oxides, with a silica content of more than 70%. However, the loss on ignition of RHA products is high due to the incineration, processing, and grinding processes. Well-burned and ground rice husk ash is very active and greatly improves the strength and durability of concrete. The sensitivity of combustion conditions is the main reason preventing the widespread use of this material as pozzolan [59,60].
The efficiency of RHA as a cementitious material is determined by the proportion of cement, rice husk ash, admixtures, and water content in the mixtures, as well as the curing conditions [18]. Aside from these determining factors, the fineness of RHA controls the pozzolanic; thus, the grinding condition is critical. Indeed, grinding strategies of RHA have an additional effect on fineness, with mechanical grinding being more efficient than the recommended method (manual grinding). In addition, the calcination temperature, and thus the degree of crystallinity, have been observed to have a sturdy influence on pozzolanic activity [60,61].
3.3. Microstructure of RHA
The microstructure of RHA is dependent on the incineration, processing, and grinding methods [37,60,62]. Scanning Electron Microscope (SEM) images typically show that RHA particles are commonly irregular in shape, have a micro-porous cellular structure on the surface, and are discrete widely. Table 4 shows some of the microstructure of RHA samples.
Table 4.
Microstructure of RHA samples.
Figure 1 depicts a typical SEM image of the RHA pattern grounded for varying lengths of time. As observed from this figure, the RHA particles are porous, non-uniform in dispersion, and coarser in nature. They are also no longer of uniform length and shape. However, with the boom in grinding time, the RHA debris becomes uniform in length, shape, and texture, and disperses more uniformly with fewer pores trapped inside. A similar concept has also been demonstrated in a variety of studies.
Figure 1.
SEM images of RHA grounded for varying lengths of time, adapted from [28]. (a) Grinding time: 10 min; (b) Grinding time: 30 min; (c) Grinding time: 120 min.
3.4. Mineralogical Compositions and Morphology of RHA
Identification and quantification of the mineralogical compositions as major and minor elements present in RHA samples, X-Ray Diffraction (XRD), and Scanning Electron Microscope (SEM) analyses carried out and reported by various researchers, and the results are given in Table 5. The morphology of almost all RHA samples reviewed in this paper is amorphous (non-crystalline).
Table 5.
Mineralogical compositions of RHA samples.
4. The Effect of RHA on the Fresh Properties of Concrete
4.1. Workability
Based on results of investigators, the workability of RHA, measured from both the slump and compacting factor tests, decreased with an increase in the share of the RHA [29,34,53,66,67,68,69,70]. The most likely explanation is that RHA is a porous material with macro and mesopores inside and on the surface of the particles, resulting in a very large specific surface area, which absorbs a certain amount of mixing water on its surface, resulting in a decrease in free water and a lower slump [26,29,34,61,69,70]. Hence, to achieve the required workability, RHA containing mixes require more water, and this demand increases as the RHA percentage of the mix increases. Another study makes a similar claim [71]. According to the authors of this study, using RHA increases the cementitious material’s total specific surface area and porosity, which increases the mixture’s friction resistance and discourages flow, resulting in a decrease in concrete slump and reduced workability.
4.2. Consistency and Setting Times
The consistency and setting times (initial and final) are important in concrete hydration because they determine the rate of strength development. The findings of the studies conducted by P. Kameshwar et al. [28] and A. A. Raheem and M. A. Kareem [46] showed consistency and both initial and final setting times increasing with an increase in RHA to a certain level, as shown in Figure 2 and Table 6.

Figure 2.
Consistency and setting times of RHA blended cements, adapted from [28].
Table 6.
Setting times and consistency of RHA blended cements at various replacement levels [46].
As shown in Table 6, the consistency of the blended cement increased as the RHA percentage replacement increased. The higher values of the consistency of the blended cement compared to that of the control were attributed to the fineness of RHA.
A. A. Raheem and M. A. [46] concluded that the initial setting time decreases from a 5 to 11.25% RHA replacement level, increases by up to 15%, and then drops from a 15 to 25% RHA replacement level. Except for the blended cement with 11.25% and 25% RHA replacement levels, the initial setting time for RHA blended cement is longer than the control mix. Their low initial setting time values could be attributed to the low gypsum and clinker content when compared to the control mix and other RHA replacement levels considered. A similar result was also observed for the final setting time. This implies that the setting time is sensitive to the gypsum content (whose major purpose is to retard the setting time). The minimum initial setting time requirement (not less than 30 min) was met by the blended cement with all the RHA replacement levels considered. The maximum of 10 h (not exceeding 600 min) final setting time requirements set by the ASTM C-191 standard is also satisfied, with the exception of the 15% RHA replacement that failed to meet these requirements. Moreover, as the RHA content of the cement increases, so does its surface area. As a result, the hydration process is slow, resulting in a longer setting time.
S. P. Bawankule and M. S. Balwani [69] address experimental studies on strength characteristics of cement and cement with RHA, and find that the consistency test for cement is less than that of cement with RHA, and the initial and final setting time of cement with RHA is longer than that of cement mortar. Furthermore, S. K. Tulashie [24], N. K. Krishna et al. [31], and A. S. Gill and R. Siddique [50], confirm that the addition of RHA up to the appropriate range increases the consistency and setting time.
The presence of RHA in the mix makes it to be finer than cement; hence, more water is required for wetting the particles as the total specific surface of the particle increases. It was also confirmed that it was necessary to increase the amount of chemical admixtures (unless water-reducing) in the mixture containing RHA to obtain the same consistency with the controlled mix [28,33,52,70,72].
5. The Effect of RHA on the Mechanical Properties of Concrete
5.1. Compressive Strength
There have been studies that show the compressive strength of concrete, containing RHA as a partial cement replacement, increases as the RHA content increases to a certain level, as shown in Figure 3. According to the figure, there is a study (reference [51]) that claims the compressive strength of RHA-containing concrete is lower than normal concrete without RHA. However, the compressive strength of concrete containing RHA as a partial cement replacement increases to a certain optimal level in the remaining studies [48,67,72]. The reason why reference [51] behaves differently is unclear; it could be due to the adopted RHA property, which is controlled by its manufacturing process. In fact, depending on the type of ingredients, the curing period, and other factors, RHA-containing concrete can have a variety of properties. The addition of a superplasticizer and nanoparticles, for example, improves the mechanical properties of RHA mixtures in concrete [32,35,48,63,72,73]. According to [19,20], using nano-silica made from RHA, and nano-silica with RHA, significantly improved the mechanical properties of high-performance concrete. Indeed, their high specific surface area will provide a large number of nucleation sites for the hydration reaction, refining the pore structure in the paste and improving the weak bonding of the interfacial transition zone (ITZ) by enhancing the pozzolanic reaction effect and filling effect, thereby improving concrete compressive strength [71]. Table 7 presents the performance of RHA containing concrete in terms of comprehensive strength under various conditions.
Figure 3.
Compressive strength of concrete containing RHA, adapted from [34,37,53,57].
The particle packing density, which fills the gaps between the particles, is known to control the compressive strength of concrete. RHA with very fine particle size contributed to the packing effect of the pores in the concrete, and enhanced the hydration reaction and increased the compressive strength of the concrete [73,74,75,76,77]. The use of bulk RHA particles, on the other hand, can result in a significant loss of strength. This is because the presence of large pores in the bulk RHA particles causes a lack of C-S-H gel to fill voids, resulting in a significant reduction in strength [73,78]. Another factor in the reduction of comprehensive strength in containing RHA is the water to binder ratio. According to E. Molaei Raisi et al. [52], as the water to binder ratio increased, the compressive strength of the concrete specimen containing RHA decreased in comparison to the control concrete specimen. They reported that the compressive strength of self-compacting concrete (SCC) specimens containing 10% RHA decreased as the water to binder ratio increased from 0.38 to 0.68. Other studies have also found the same phenomenon [41,55,68].
Other factors, such as the activator used, the silica content, and specific surface area of RHA, influence the comprehensive strength of concrete. According to K. Kaur et al. [65], compression strength is directly proportional to molarity and the alkaline activator to binder ratio, as the amount of NaOH promotes RHA solution and improves particle bonding. RHA with a high specific surface area also has a positive effect on mortar strength. Though the reactive silica content of RHA determines the strength of concrete, which accelerates the hydration process, promotes pozzolanic reaction, and refines pore distribution [17], the silica structure and particle size of RHA determine the optimal cement replacement level rather than the overall silica content of RHA [61,72].
Table 7.
Compressive strength of RHA blended cements at various replacement levels.
Table 7.
Compressive strength of RHA blended cements at various replacement levels.
| References | Material/s and Method/s | Result/s |
|---|---|---|
| [41] |
|
|
| [42] |
|
|
| [44] |
|
|
| [45] |
|
|
| [79] |
|
|
| [80] |
|
|
| [81] |
|
|
| [82] |
|
|
| [83] |
|
|
| [84] |
|
|
5.2. Tensile Strength
Some studies claim that the tensile strength of RHA-containing concrete is lower than that of the control mix, while others claim that it increases as the RHA content is increased to a certain proportion. Tensile strength of concrete is controlled by several factors, similar to comprehensive strength. The effect of RHA blended cements on concrete tensile strength at various replacement levels and conditions is presented in Table 8.
The increase in tensile strength of mortar with RHA containing a high amount of crystalline silica is better justified by the filler effect (physical) than by the pozzolanic effect (chemical). After depletion of all amorphous silica by reacting with calcium hydroxide (Ca(OH)2) to produce secondary C-S-H gel, the remaining crystalline silica behaves as a filler resulting in an increased density of the mortar [73,85]. Like the compressive strength, the reactive silica content, rather than the overall silica content, determines the tensile strength of RHA-containing mortar. The optimal replacement level of cement by RHA depends more on the silica structure and particle size than the overall silica content of RHA [85]. RHA with a high specific surface area has a positive effect on mortar strength.
According to M. S. Meddah et al. [63], the increase in splitting tensile strength is due to the pozzolanic reaction of pozzolan materials of nano-particles with 10% RHA, which fills the capillary pores, densifies the concrete microstructure, and improves its strength properties, as previously stated. In addition, good particle packing effect of RHA could be the reason for the enhanced strength property [79]. This is because the particles filled the gaps between themselves. Very fine particle size of rice husk ash contributed to the packing effect of the pores in the concrete, thereby increasing the strength.
Table 8.
Tensile strength of RHA blended cements at various replacement levels.
Table 8.
Tensile strength of RHA blended cements at various replacement levels.
| References | Material/s and Method/s | Result/s |
|---|---|---|
| [42] |
|
|
| [79] |
|
|
| [82] |
|
|
5.3. Flexural Strength
Flexural strength, like comprehensive and tensile strengths, of concrete containing RHA as a cement partial replacement material, was influenced by a number of factors [15,86]. Table 9 shows the effect of RHA-containing concrete on flexural strength at various replacement levels and conditions.
Table 9.
Flexural strength of RHA blended cements at various replacement levels.
6. The Effect of RHA on the Durability Properties of Concrete
6.1. Water Absorption
P. Kameshwar et al. [28] conducted a water absorption test on concrete utilizing 20% RHA in accordance with ASTM C642-13 and compared it to a control mix. Figure 4 depicts the results. It can be noted that a significant reduction in water absorption of approximately 14% was observed in all stages of the test for RHA blended cement mortar compared to the control mix. This could be attributed to the pore refinement because of the addition of pozzolanic RHA, as well as an increase in packing density. As the specific surface area of RHA after 30 min of grinding is around 56 m2/g (more than 230 times the specific surface area of cement particles), a certain amount of mixing water is absorbed on its surface. Furthermore, the RHA filler effect could have influenced the permeability and water absorption properties of RHA blended cement mortars.
Figure 4.
Water absorption of control and 20% RHA blended cement mortar, adapted from [28].
P. Kameshwar et al. [28], also conducted the rate of water absorption of control and 20% RHA replaced specimens as per ASTM C1585-13. The result confirms that the water absorption (I) increases linearly with respect to time. The water absorption of the control mortar and RHA-blended cement mortar were almost identical for the first 6 h. In contrast, when 20% RHA is added, the rate of secondary water absorption (slope of the second curve) is reduced to half its value. The trend in the change in water absorption rate with age is also consistent with the results of the strength activity index and compressive strength tests. In this case, the matrix of both RHA blended cement mortar and control mortar has nearly the same internal pore structure at the early stages of hydration. As the pozzolanic reaction progresses, pore refinement occurs, resulting in lower permeability and less water absorption.
The studies by E. Mohseni et al. [32]; R. K. Sandhu and R. Siddique [70]; M. Zahedi et al. [87]; V. Saraswathy and H. W. Song [88]; V. Vishwakarma et al. [89]; and Y. Sombabu et al. [90] confirm that there was a definite pattern of reduction in water absorption when RHA was added to the cement matrix. This could be attributed to the pore refinement due to the addition of pozzolanic RHA, as well as an increase in packing density. Other studies, such as those conducted by S. A. Zareei et al. [48], and A. Siddika et al. [67], confirm that the water absorption values of RHA concrete are lower than the control concrete, and increase with an increasing w/c ratio, as seen in Figure 5 and Figure 6.
Figure 5.
Saturated water absorption test results, adapted from [48].
Figure 6.
Water absorption vs. RHA content, adapted from [67].
L. Hu et al. [60] conducted a water absorption test on mortars containing combustion treated RHA with the w/b ratios of 0.5 and 0.4 under two different curing conditions, the detailed results of which are shown in Figure 7. Surprisingly, mortar containing treated RHA absorbed more water than the control mortar with a w/b of 0.5. This could be explained by the comparable pore size distribution. Whereas for mortars containing 15% and 20% treated RHA, water absorption ratios were reduced by 1 and 4.5%, respectively, compared to control mortar at a w/b of 0.5, indicating that permeability would be reduced with the replacement of highly reactive RHA to promote hydration. Lowering the w/b ratio of mortars from 0.5 to 0.4 resulted in a significant reduction in permeability and thus, water absorption in treated RHA blended mortars compared to control mortar.

Figure 7.
Water absorption results with different w/b ratios and curing conditions, adapted from [60].
The effect of different curing temperatures on water absorption is also shown in Figure 7. As shown in Figure 7, both standard and high-temperature curing displayed some variation in the water uptake results of the mortars at the w/b ratios of 0.5 and 0.4. Firstly, when comparing high-temperature curing to conventional curing, there was an overall decrease in water absorption in mortars with high-temperature curing. Secondly, this declining phenomenon became more evident as the treated RHA dosages in blended mortars increased, especially with a w/b of 0.5. Therefore, a suitable high temperature during the initial curing phase was beneficial in order to reduce water absorption and permeability, while the risk of thermal cracking in mortars mixed with treated RHA was hardly increased.
M. Abdul Rahim et al. [59] also tested the water absorption of concrete containing varying amounts of RHA (5%, 15%, and 25%). In comparison to the control mix, concrete containing 5% had a higher water absorption resistance. However, it appears that as the percentage of RHA replacement increases, so does the percentage of water absorption. The higher the percentage of water absorption, the lower the compressive strength [91].
The author V. N. Kanthe et al. [92] demonstrate the relationship between particle packing density and water absorption. The result demonstrates that as the packing density increases, the water absorption decreases with the coefficient of determination (R2) of 0.93. It occurred because of dense particle packing and a reduction in pores. The correlation regression analysis leads to the conclusion that particle-packing density influences the water absorption capacity.
6.2. Chloride Resistance
F. A. Martinez Urtecho et al. [53] conducted a rapid chloride penetration test on concretes containing 0, 5, 10, and 15% RHA. According to the test results, the control concrete has a high and moderate classification of chloride ion penetrability. The concrete with the highest percentage of RHA, on the other hand, has a low and very low classification, with a difference of up to 75.9%. P. Kameshwar et al. [28] also determined the non-steady-state diffusion coefficients, and results showed that the non-steady-state chloride migration coefficient of RHA blended cement mortar was reduced by about 60% compared to the control mix. The reduced non-steady-state chloride migration coefficient can also be attributed to the refined pore structure of the RHA blended mortar specimens compared to the control mortar, due to the pozzolanic reaction. Figure 8 shows the results of the rapid chloride migration test.
Figure 8.
Rapid chloride migration test results, adapted from [28].
A study carried out by S. A. Zareei et al. [48] also confirmed that incorporating RHA into cement contributes to low ratios of chloride ion penetrations of up to 928 Coulombs by 25% RHA replacement, which is a fivefold reduction compared to the control mix, as illustrated in Figure 9. This is because rice husk ash contains 85 to 95% by weight amorphous silica. The drastic improvement in the permeability properties of concrete containing 25% RHA (78% reduction in chloride permeability), results in a 26% reduction in water permeability when compared to concrete without RHA.
Figure 9.
Permeability test result, adapted from [48].
Figure 10 shows chloride penetration and the impact of adding 10% RHA mixed with different concentrations of Alumina nanoparticles on the total charge passed at 7 and 28 days, as determined by M. S. Meddah et al. [63]. The authors adopted the RCPT method to conduct the tests. When compared to the control mix, the combination of RHA and Alumina nanoparticles considerably reduced chloride penetration at both 7 and 28 days of water curing. At 14 and 28 days, solo integration of 10% RHA resulted in total charge reductions of 6.4 and 10.1 percent above the control mix, respectively. Combining varying amounts of Alumina nanoparticles with 10% RHA has revealed greater efficiency in reducing the chloride permeability of concrete than at single incorporation of RHA as a partial replacement of Portland cement. The lower the chloride permeability of the concrete, the higher the concentration of nanoparticles Al2O3 in the sample. Nonetheless, Figure 10 demonstrates no decrease in chloride permeability, if not a slight gain, when the Alumina nanoparticles content increased from 3% to 4%, and thus 3% could be considered as an optimum amount of Alumina nanoparticles in the concrete mix.
Figure 10.
Results of the chloride penetration test on the effect of RHA and Al2O3 nanoparticles content, adapted from [63].
As shown in Figure 10, the reduction in chloride penetration for the RHA 10% with Alumina nanoparticles blends was observed at 14 and 28 days when compared to the control mixture. There is also no significant reduction in chloride permeability when the Alumina nanoparticle content exceeds 3%. In fact, a combination of 10% RHA and Alumina nanoparticles to produce modified cement concrete contributes greatly to the densification of the concrete‘s microstructure. Densification is achieved by filling large capillary pores, refining the pore network, and reducing overall pores and voids, thereby lowering the chloride permeability of concrete.
E. Mohseni et al. [32] conducted the penetration of chloride ions as per ASTM C1202-07 as shown in Figure 11. Based on the findings, the authors concluded that using both RHA and TiO2 nanoparticles improves the chloride permeability of the mixtures. The charge passed in the mixtures of RHA and NT (TiO2 nanoparticles) was lower than in the control mixture. Charge levels were lowest in mixtures containing 15% RHA. This is due to the extended pozzolanic reaction of the RHA mortar mix. Figure 11 also indicates that the chloride ion permeability in the mortars with TiO2 nanoparticles decreased after 90 days when compared to RHA mixtures. The key reason for this enhancement in durability is that TiO2 nanoparticles improve the denser microstructure and reduce the pores; thereby promoting resistance to chloride transport. The best result was achieved from a 15% RHA + 5% NT (TiO2 nanoparticles) mixture, which showed a 67% reduction in RCPT (Rapid Chloride Permeability Test) value when compared to the plain sample. It is noteworthy that all samples with TiO2 nanoparticles belong to the category of mortars with low to moderate chloride permeability. The chloride binding capacity of the mortar affects the rate of chloride penetration into the cement mortar. A portion of the chloride ions react with the mortar matrix and become either physically or chemically bound, and this binding reduces the rate of diffusion. It is worth noting that the cementing materials used in the mortar control the chloride binding capacity.
Figure 11.
Chloride permeability levels of RHA and TiO2 nanoparticles, adapted from [32].
M. Zahedi et al. [87] and T. R. Praveenkumar and M. M. Vijayalakshmi [93] demonstrated that adding RHA to concrete increases its resistance to chloride penetration. According to the authors, the decrease in the pore interconnectivity of mortars and pore water solution has resulted in a decrease in the permeability of RHA mortar. Generally, specimens incorporating RHA are classified as having moderate chloride permeability, while the control sample is classified as having high chloride permeability [94,95,96]. The utilization of nano-particles (nano SiO2 derived from RHA) can further improve the chloride penetration resistance of concrete [20].
6.3. Corrosion Resistance
V. Kannan and K. Ganesan [33] investigated the possibility of steel corrosion in RHA-containing self-compacting concrete (SCC), which is especially useful for comparing the short-term corrosion resisting characteristics. By applying a constant voltage of 12 V between the blade embedded in the concrete (the anode) and the perforated cylindrical stainless steel (the cathode) immersed in a 5% NaCl solution, the time required for the initial crack to appear on the concrete specimens and the maximum anodic current flowing at that time were recorded. The measurements show that the control mix has the earliest initial cracking (336 h) and the highest anodic current (26 mA), followed by 15% RHA blended SCC (792 h and 7 mA). According to these findings, all of the blended SCC mixes outperformed the control mix in terms of resistance to NaCl migration through the concrete medium, making them corrosion resistant.
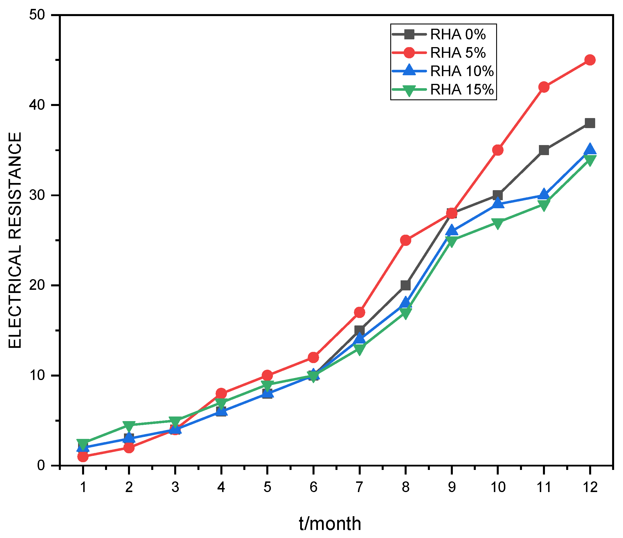
H. Wang et al. [57] examine the AC electrical resistance of steel bars in RHA cement paste with curing ages ranging from a month to 12 months and the results are illustrated in Figure 12. It can be seen from the figure that increasing the curing ages led to an increase in the electrical resistance of the samples. When cured for one month, the RHA addition had an increasing effect on the electrical resistance of steel bars in RHA cement paste (except 5% RHA had a drop tendency in electrical resistance compared to the control mix). Moreover, the AC electrical resistance results in Figure 12 show a lower value for samples with 10% and 15% RHA in comparison to the reference sample (0% RHA) after four months of curing. The most likely reason for this is that the addition of RHA could reduce electrical polarization, resulting in lower electrical resistance. Therefore, specimens containing 10% and 15% RHA are more corrosion resistant than samples with 0% RHA.
Figure 12.
Electrical resistance with curing ages, adapted from [57].
Figure 13 depicts the variation of electrical resistance with increasing curing ages. It can be seen that the increasing speed of specimens decreased in the order of 5%, 0%, 10%, and 15%, confirming that specimens with RHA of more than 5% were less corroded.
Figure 13.
Resistance-time curves of reinforcement cement paste, adapted from [57].
T. Ali et al. [42] investigated the corrosion potential on aerated concrete containing RHA. Figure 14 illustrates the corrosion potential results after 28 days of wet curing with 90 days of sodium chloride curing for control and rice husk ash aerated concrete. The results demonstrate that 90% of the corrosion in the control mixture is active. In addition, as the percentage of RHA in the aerated concrete mix increases, corrosion begins to decrease. Other studies also reveal that the corrosion potential decreases as the proportion of RHA increases [75,91,96]. RHA in reactive powder cement could also significantly improve the corrosion resistance of steel bars [97].
Figure 14.
Corrosion potential of aerated concrete, adapted from [42].
6.4. Sulphate Resistance
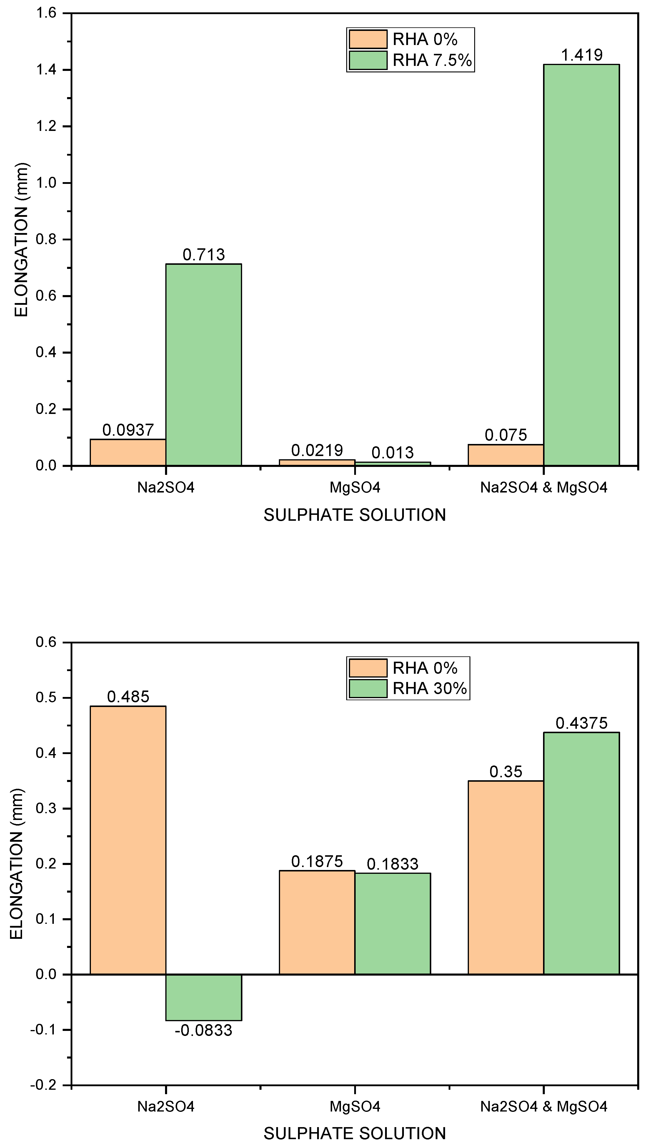
J. Kamau et al. [51] investigated the performance of concrete containing RHA in sodium sulphate (Na2SO4), magnesium sulphate (MgSO4), and a mixture of the two. The authors examined the elongation and strength deterioration in concrete with 7.5% and 30% RHA replacement by the weight of cement. The results of expansion tests are illustrated in Figure 15. It can be observed that that at 7.5% RHA replacement, RHA may be used with an advantage over the control mix in MgSO4 environments, whereas at 30% RHA replacement, RHA could be used with an advantage over the control mix in both Na2SO4 and MgSO4. The authors also reported that RHA-containing concrete outperformed cement-only concrete in all sulphate solutions, confirming their superior ability to resist surface degradation.
Figure 15.
Elongation of RHA specimens at highest compressive strength, adapted from [51].
There is another related study performed by T. Ali et al. [42] that focuses on aerated concrete containing RHA. The authors investigated the resistance of RHA-containing concrete samples to sulphate attack. They made seven different combinations (MIX1 to MIX2). MIX1 is the controlling mix, containing 0% RHA. The others include RHA with a 2.5% increase. This means that MIX2 contains 2.5% RHA and MIX7 contains 15% RHA. The sulphate resistance of concrete was determined by measuring specimen length variations. As shown in Figure 16, the expansion of the aerated concrete without RHA (MIX1) is significantly greater than the expansion of the aerated concrete with RHA (MIX2 to MIX7). This confirms that as RHA dosage is increased, the samples become more resistant to sulphate attack.
Figure 16.
Sulphate attack on aerated concrete, adapted from [42].
L. Hu et al. [98] examine the effect of sulphate attack on compressive strength losses. The compressive strengths of pastes with different RHA addition dosages at 28 days with standard curing before sulphate attack, at sulphate attack ages of 15, 90, and 120 days, are shown in Figure 17. According to the findings, all of the specimens had comparable variable characteristics. Samples had higher compressive strength after 15 days of sulphate attack compared to 28 days before sulphate attack. This strength enhancement was statistically significant for the paste control, with an increase of 17.7%, compared to 6.3% growth in a paste with 15% RHA. Almost all of the specimens at 90 days of sulphate attack lost strength after the deterioration began. The most serious degradation appeared at 120 days, when samples lost significant strength. At this age, the control mix sample was severely damaged by sulphate attack, and it lost 65% of its initial strength before sulphate attack. A mitigated damage was observed for paste containing 5% RHA, but a strength loss was noticed, indicating that there was insufficient delay capability to sulphate attack. When the RHA dosage was increased to 15%, the samples at 120 days showed a further reduction in sulphate exposure damage. This suggests that a high dose of RHA will have a positive effect on sulphate resistance improvement. Another study also reveals that the sulphate resistance increases as the proportion of RHA increases [99].
Figure 17.
Sulphate attack on loss of compressive strength, adapted from [98].
7. Conclusions
Based on the conducted comprehensive review of the properties of rice hulk ash and its effect as a partial replacement for cement on the properties of concrete, the following conclusions can be drawn.
- RHA particle properties: The microstructure of RHA particles is typically irregular in shape, with porous structures on the surface, non-uniform in dispersion, and discrete widely. The chemical composition of RHA comprises a high amount of silica content, which is well above 70%, in some cases reaching up to 97%, that gives excellent pozzolanic properties. The silica is mainly present as an amorphous phase with Quartz (SiO2) and Cristobalite (SiO2). The pozzolanic reactivity of RHA is determined not only by its amorphous content, but also by its specific surface area and particle fineness, which can be improved by using controlled combustion and grinding. The finer RHA particles release more silica and have a better filler effect, resulting in higher pozzolanic reactivity. The pore structures of RHA varied, including small size pits and large connected pores, depending on the source of rice husk, calcination temperature, burning time, holding time, and so on. As a result, in addition to selecting the type of rice, a proper incineration and grinding process should be used to produce RHA that has higher pozzolanic reactivity and can be used effectively as a material for partial cement replacement of cement.
- RHA on concrete properties: RHA has a strong potential to replace cement by up to 10% to 20% without compromising concrete performance in terms of workability, strength, and durability. The workability of concrete generally decreases with increasing RHA content. The pozzolanic reactivity and filler effect of RHA significantly enhance the strength of concrete by providing a dense microstructure through the formation of additional C-S-H gels. The densification of the concrete matrix also results in a lower rate of water absorption and penetration of chemical ions into the concrete. As the pozzolanic activity of RHA in concrete is influenced by a variety of factors, it is necessary to establish a set of criteria within which they vary, so that those interested in using RHA in concrete can obtain RHA with optimal properties in terms of influence on concrete workability, strength, and durability. Indeed, more and more experimental work under various scenarios is required to make this happen.
- RHA on concrete sustainability: RHA production uses less energy and emits fewer greenhouse gases than cement. The use of RHA as a partial cement replacement in concrete production could significantly reduce the carbon footprint of concrete. It also contributes to the beneficial disposal of agricultural byproducts, thereby reducing adverse environmental effects. Indeed, improving the pozzolanic properties of RHA is critical to achieving greater sustainability in the concrete industry. It would allow for a high proportion of cement to be replaced, resulting in green concrete, which would ultimately contribute significantly to combating climate change, achieving the Sustainable Development Goals (SDG13), and contributing to a circular economy in the construction industry.
Author Contributions
Conceptualization, S.A.E.; methodology, S.A.E.; validation, S.A.E., D.-H.V., M.D.Y. and W.Z.T.; investigation, S.A.E., D.-H.V., M.D.Y. and W.Z.T.; writing—original draft preparation, S.A.E.; writing—review and editing, S.A.E. and W.Z.T.; visualization, S.A.E.; supervision, D.-H.V., M.D.Y. and W.Z.T.; project administration, M.D.Y. All authors have read and agreed to the published version of the manuscript.
Funding
This research received no external funding.
Institutional Review Board Statement
Not applicable.
Informed Consent Statement
Not applicable.
Data Availability Statement
Not applicable.
Conflicts of Interest
The authors declare no conflict of interest.
References
- Schneider, M. The cement industry on the way to a low-carbon future. Cem. Concr. Res. 2019, 124, 105792. [Google Scholar] [CrossRef]
- Andrew, R.M. Global CO2 emissions from cement production. Earth Syst. Sci. Data 2018, 10, 195–217. [Google Scholar] [CrossRef]
- UNFCCC. Adoption of the Paris Agreement—Paris Agreement Text English. Available online: https://unfccc.int/sites/default/files/english_paris_agreement.pdf (accessed on 18 December 2022).
- Praveenkumar, S.; Sankarasubramanian, G. Stimulus of Ago-Industrial Waste to Make Eco-Concrete-A Review Stimulus of Agro-industrial Waste to Make Eco-Concrete—A Review. 2018. Available online: https://www.researchgate.net/publication/326876669 (accessed on 13 December 2022).
- Al-Mansour, A.; Chow, C.L.; Feo, L.; Penna, R.; Lau, D. Green Concrete: By-Products Utilization and Advanced Approaches. Sustainability 2019, 11, 5145. [Google Scholar] [CrossRef]
- He, J.; Kawasaki, S.; Achal, V. The Utilization of Agricultural Waste as Agro-Cement in Concrete: A Review. Sustainability 2020, 12, 6971. [Google Scholar] [CrossRef]
- Yehualaw, M.D.; Alemu, M.; Hailemariam, B.Z.; Vo, D.-H.; Taffese, W.Z. Aquatic Weed for Concrete Sustainability. Sustainability 2022, 14, 15501. [Google Scholar] [CrossRef]
- Zerihun, B.; Yehualaw, M.D.; Vo, D.-H. Effect of Agricultural Crop Wastes as Partial Replacement of Cement in Concrete Production. Adv. Civ. Eng. 2022, 2022, 5648187. [Google Scholar] [CrossRef]
- Gedefaw, A.; Yifru, B.W.; Endale, S.A.; Habtegebreal, B.T.; Yehualaw, M.D. Experimental Investigation on the Effects of Coffee Husk Ash as Partial Replacement of Cement on Concrete Properties. Adv. Mater. Sci. Eng. 2022, 2022, 4175460. [Google Scholar] [CrossRef]
- Thomas, B.S. Green concrete partially comprised of rice husk ash as a supplementary cementitious material—A comprehensive review. Renew. Sustain. Energy Rev. 2018, 82, 3913–3923. [Google Scholar] [CrossRef]
- FAO. Rice Market Monitor. Food and Agriculture Organization. United Nations. Available online: http://www.fao.org/economic/est/publications/rice-publications/rice-market-monitor-rmm/en/ (accessed on 22 August 2021).
- Ramezanianpour, A.A. Rice Husk Ash. In Cement Replacement Materials; Springer: Berlin/Heidelberg, Germany, 2013; pp. 257–298. [Google Scholar] [CrossRef]
- Kwan, W.H.; Wong, Y.S. Acid leached rice husk ash (ARHA) in concrete: A review. Mater. Sci. Energy Technol. 2020, 3, 501–507. [Google Scholar] [CrossRef]
- Siddika, A.; Al Mamun, A.; Alyousef, R.; Mohammadhosseini, H. State-of-the-art-review on rice husk ash: A supplementary cementitious material in concrete. J. King Saud Univ. Eng. Sci. 2020, 33, 294–307. [Google Scholar] [CrossRef]
- Hasan, N.M.S.; Sobuz, H.R.; Khan, M.H.; Mim, N.J.; Meraz, M.; Datta, S.D.; Rana, J.; Saha, A.; Akid, A.S.M.; Mehedi, T.; et al. Integration of Rice Husk Ash as Supplementary Cementitious Material in the Production of Sustainable High-Strength Concrete. Materials 2022, 15, 8171. [Google Scholar] [CrossRef] [PubMed]
- Amin, M.N.; Al-Hashem, M.N.; Ahmad, A.; Khan, K.; Ahmad, W.; Qadir, M.G.; Imran, M.; Al-Ahmad, Q.M.S. Application of Soft-Computing Methods to Evaluate the Compressive Strength of Self-Compacting Concrete. Materials 2022, 15, 7800. [Google Scholar] [CrossRef] [PubMed]
- Zhang, Z.; Yang, F.; Liu, J.-C.; Wang, S. Eco-friendly high strength, high ductility engineered cementitious composites (ECC) with substitution of fly ash by rice husk ash. Cem. Concr. Res. 2020, 137, 106200. [Google Scholar] [CrossRef]
- Jongpradist, P.; Homtragoon, W.; Sukkarak, R.; Kongkitkul, W.; Jamsawang, P. Efficiency of Rice Husk Ash as Cementitious Material in High-Strength Cement-Admixed Clay. Adv. Civ. Eng. 2018, 2018, 8346319. [Google Scholar] [CrossRef]
- Rajasegar, M.; Kumaar, C.M. Hybrid effect of poly vinyl alcohol, expansive minerals, nano-silica and rice husk ash on the self-healing ability of concrete. Mater. Today Proc. 2020, 45, 5944–5952. [Google Scholar] [CrossRef]
- Tran, H.-B.; Le, V.-B.; Phan, V.T.-A. Mechanical Properties of High Strength Concrete Containing Nano SiO2 Made from Rice Husk Ash in Southern Vietnam. Crystals 2021, 11, 932. [Google Scholar] [CrossRef]
- Muhammad, A.; Thienel, K.-C.; Sposito, R. Suitability of Blending Rice Husk Ash and Calcined Clay for the Production of Self-Compacting Concrete: A Review. Materials 2021, 14, 6252. [Google Scholar] [CrossRef]
- Marangu, J.M.; M’Thiruaine, C.M.; Bediako, M. Physicochemical Properties of Hydrated Portland Cement Blended with Rice Husk Ash. J. Chem. 2020, 2020, 5304745. [Google Scholar] [CrossRef]
- Thiedeitz, M.; Schmidt, W.; Härder, M.; Kränkel, T. Performance of Rice Husk Ash as Supplementary Cementitious Material after Production in the Field and in the Lab. Materials 2020, 13, 4319. [Google Scholar] [CrossRef]
- Tulashie, S.K.; Ebo, P.; Ansah, J.K.; Mensah, D. Production of Portland pozzolana cement from rice husk ash. Materialia 2021, 16, 101048. [Google Scholar] [CrossRef]
- Fapohunda, C.; Akinbile, B.; Shittu, A. Structure and properties of mortar and concrete with rice husk ash as partial replacement of ordinary Portland cement—A review. Int. J. Sustain. Built Environ. 2017, 6, 675–692. [Google Scholar] [CrossRef]
- Saad, S.A.; Shafiq, N.; Osman, M.M.; Masjuki, S.A. Compressive Strength and Microstructure Analysis of Treated Rice Husk Ash (TRHA) Incorporated Mortar. Int. J. Eng. Technol. 2018, 7, 388–391. [Google Scholar] [CrossRef]
- Umasabor, R.I.; Okovido, J.O. Fire resistance evaluation of rice husk ash concrete. Heliyon 2018, 4, 1–14. [Google Scholar] [CrossRef] [PubMed]
- Kameshwar, P.; Athira, G.; Bahurudeen, A.; Nanthagopalan, P. Suitable pretreatment process for rice husk ash towards dosage optimization and its effect on properties of cementitious mortar. Struct. Concr. 2020, 22, E501–E513. [Google Scholar] [CrossRef]
- Isberto, C.D. Optimized Preparation of Rice Husk Ash (Rha) as a Supplementary Cementitious Material. GEOMATE J. 2019, 16, 56–61. [Google Scholar] [CrossRef]
- Mosaberpanah, M.A.; Umar, S.A. Utilizing Rice Husk Ash as Supplement to Cementitious Materials on Performance of Ultra High Performance Concrete:—A review. Mater. Today Sustain. 2020, 7, 100030. [Google Scholar] [CrossRef]
- Krishna, N.K.; Sandeep, S.; Mini, K.M. Study on concrete with partial replacement of cement by rice husk ash. IOP Conf. Ser. Mater. Sci. Eng. 2016, 149, 012109. [Google Scholar] [CrossRef]
- Mohseni, E.; Naseri, F.; Amjadi, R.; Khotbehsara, M.M.; Ranjbar, M.M. Microstructure and durability properties of cement mortars containing nano-TiO2 and rice husk ash. Constr. Build. Mater. 2016, 114, 656–664. [Google Scholar] [CrossRef]
- Kannan, V.; Ganesan, K. Effect of Tricalcium Aluminate on Durability Properties of Self-Compacting Concrete Incorporating Rice Husk Ash and Metakaolin. J. Mater. Civ. Eng. 2016, 28, 04015063. [Google Scholar] [CrossRef]
- Saravanan, M.; Sivaraja, M. Mechanical Behavior of Concrete Modified by Replacement of Cement by Rice Husk Ash. Braz. Arch. Biol. Technol. 2016, 59. [Google Scholar] [CrossRef]
- Balapour, M.; Hajibandeh, E.; Ramezanianpour, A. Engineering Properties and Durability of Mortars Containing New Nano Rice Husk Ash (RHA). In High Tech Concrete: Where Technology and Engineering Meet—Proceedings of the 2017 fib Symposium, Maastricht, The Netherlands, 12–14 June 2017; Springer: Cham, Switzerland, 2017; pp. 199–206. [Google Scholar] [CrossRef]
- Wang, W.; Meng, Y.; Wang, D. Effect of Rice Husk Ash on High-Temperature Mechanical Properties and Microstructure of Concrete. Kem. u Ind. 2017, 66, 157–164. [Google Scholar] [CrossRef]
- Abiodun, Y.O.; Jimoh, A.A. Microstructural characterisation, physical and chemical properties of rice husk ash as viable Pozzolan in building material: A case study of some Nigerian grown rice varieties. Niger. J. Technol. 2018, 37, 71. [Google Scholar] [CrossRef]
- Kumar, S.; Tech, M.S.-C. Engineering. International Research Impact of Rice Husk Ash on Cement Concrete. Available online: www.ijtsrd.com (accessed on 18 December 2022).
- Hussin, T.A.R.; Parasuraman, J.A. Partial Replacement of Cement with Commercial Availabe Rice Husk Ash in Concrete. Infrastruct. Univ. Kuala Lumpur Res. J. 2018, 1, 1–9. [Google Scholar]
- Saand, A.; Ali, T.; Keerio, M.A.; Bangwar, D.K. Experimental Study on the Use of Rice Husk Ash as Partial Cement Replacement in Aerated Concrete. Eng. Technol. Appl. Sci. Res. 2019, 9, 4534–4537. [Google Scholar] [CrossRef]
- Botchway, D.N.-L.; Afrifa, R.O.; Henaku, C.Y. Effect of Partial Replacement of Ordinary Portland Cement (OPC) with Ghanaian Rice Husk Ash (RHA) on the Compressive Strength of Concrete. Open J. Civ. Eng. 2020, 10, 353–363. [Google Scholar] [CrossRef]
- Ali, T.; Saand, A.; Bangwar, D.; Buller, A.; Ahmed, Z. Mechanical and Durability Properties of Aerated Concrete Incorporating Rice Husk Ash (RHA) as Partial Replacement of Cement. Crystals 2021, 11, 604. [Google Scholar] [CrossRef]
- Kaplan, G.; Elmekahal, M.A.S. Microstructure and durability properties of lightweight and high-performance sustainable cement-based composites with rice husk ash. Environ. Sci. Pollut. Res. 2021, 28, 52936–52962. [Google Scholar] [CrossRef]
- Reddy, K.R.; Harihanandh, M.; Murali, K. Strength performance of high-grade concrete using rice husk ash (RHA) as cement replacement material. Mater. Today Proc. 2021, 46, 8822–8825. [Google Scholar] [CrossRef]
- Vijaya, S.K.; Jagadeeswari, K.; Srinivas, K. Behaviour of M60 grade concrete by partial replacement of cement with fly ash, rice husk ash and silica fume. Mater. Today Proc. 2020, 37, 2104–2108. [Google Scholar] [CrossRef]
- Raheem, A.A.; Kareem, M.A. Chemical Composition and Physical Characteristics of Rice Husk Ash Blended Cement. Int. J. Eng. Res. Afr. 2017, 32, 25–35. [Google Scholar] [CrossRef]
- Hossain, S.S.; Bhardwaj, A.; Majhi, M.R. Preparation & Characterization of Insulating Rice Husk Ash Refractory Using Rice Husk as Pore Forming Agent. Int. J. Sci. Res. 2013, 5, 457–460. [Google Scholar]
- Zareei, S.A.; Ameri, F.; Dorostkar, F.; Ahmadi, M. Rice husk ash as a partial replacement of cement in high strength concrete containing micro silica: Evaluating durability and mechanical properties. Case Stud. Constr. Mater. 2017, 7, 73–81. [Google Scholar] [CrossRef]
- Egbe, J.G.; Ettah, E.B.; Ubi, E.S.; Okon, E. Investigation of Rice Husk Ash (RHA) as a Supplement in Cement for Building Applications. Civ. Eng. Res. J. 2018, 6, 555681. [Google Scholar] [CrossRef]
- Gill, A.S.; Siddique, R. Durability properties of self-compacting concrete incorporating metakaolin and rice husk ash. Constr. Build. Mater. 2018, 176, 323–332. [Google Scholar] [CrossRef]
- Kamau, J.; Ahmed, A.; Ngong, K. Sulfate Resistance of Rice Husk Ash Concrete. MATEC Web Conf. 2018, 199, 02006. [Google Scholar] [CrossRef]
- Raisi, E.M.; Amiri, J.V.; Davoodi, M.R. Mechanical performance of self-compacting concrete incorporating rice husk ash. Constr. Build. Mater. 2018, 177, 148–157. [Google Scholar] [CrossRef]
- Urtecho, F.A.M.; Gallo, L.J.O.; Barboza, J.U.R.; Cabrera, E.C. Sustainable Concrete with Rice Husk Ash (RHA) for Marine Structures. MATEC Web Conf. 2019, 303, 05002. [Google Scholar] [CrossRef]
- Sanou, I.; Sawadogo, M.; Seynou, M.; Zerbo, L.; Ouedraogo, R. Study of the Mechanical Behaviour of Mortars Modified with Rice Husk Ash. J. Miner. Mater. Charact. Eng. 2019, 7, 373–384. [Google Scholar] [CrossRef]
- Ahmed, A.; Hyndman, F.; Kamau, J.; Fitriani, H. Rice Husk Ash as a Cement Replacement in High Strength Sustainable Concrete. Mater. Sci. Forum 2020, 1007, 90–98. [Google Scholar] [CrossRef]
- Buyondo, K.A.; Olupot, P.W.; Kirabira, J.B.; Yusuf, A.A. Optimization of production parameters for rice husk ash-based geopolymer cement using response surface methodology. Case Stud. Constr. Mater. 2020, 13, e00461. [Google Scholar] [CrossRef]
- Wang, H.; Zhang, A.-L.; Zhang, L.-C.; Wang, Q.; Han, Y.; Liu, J.-Z.; Gao, X.-J.; Shi, F.-T.; Lin, X.-Y.; Feng, L.-Y. Hydration process of rice husk ash cement paste and its corrosion resistance of embedded steel bar. J. Central South Univ. 2020, 27, 3464–3476. [Google Scholar] [CrossRef]
- Singh, N.S.; Thokchom, S.; Debbarma, R. Correlation study on microstructure and mechanical properties of rice husk ash-Sodium aluminate geopolymer pastes. Adv. Concr. Constr. 2021, 11, 73–80. [Google Scholar] [CrossRef]
- Rahim, M.A.; Ibrahim, N.M.; Idris, Z.; Ghazaly, Z.; Shahidan, S.; Rahim, N.L.; Sofri, L.A.; Isa, N.F. Properties of Concrete with Different Percentange of the Rice Husk Ash (RHA) as Partial Cement Replacement. Mater. Sci. Forum 2014, 803, 288–293. [Google Scholar] [CrossRef]
- Hu, L.; He, Z.; Shao, Y.; Cai, X.; Zhang, S. Microstructure and properties of sustainable cement-based materials using combustion treated rice husk ash. Constr. Build. Mater. 2021, 294, 12348. [Google Scholar] [CrossRef]
- Alex, J.; Dhanalakshmi, J.; Ambedkar, B. Experimental investigation on rice husk ash as cement replacement on concrete production. Constr. Build. Mater. 2016, 127, 353–362. [Google Scholar] [CrossRef]
- Rêgo, J.; Nepomuceno, A.; Figueiredo, E.; Hasparyk, N. Microstructure of cement pastes with residual rice husk ash of low amorphous silica content. Constr. Build. Mater. 2015, 80, 56–68. [Google Scholar] [CrossRef]
- Meddah, M.; Praveenkumar, T.; Vijayalakshmi, M.; Manigandan, S.; Arunachalam, R. Mechanical and microstructural characterization of rice husk ash and Al2O3 nanoparticles modified cement concrete. Constr. Build. Mater. 2020, 255, 119358. [Google Scholar] [CrossRef]
- Zunino, F.; Lopez, M. A methodology for assessing the chemical and physical potential of industrially sourced rice husk ash on strength development and early-age hydration of cement paste. Constr. Build. Mater. 2017, 149, 869–881. [Google Scholar] [CrossRef]
- Kaur, K.; Singh, J.; Kaur, M. Compressive strength of rice husk ash based geopolymer: The effect of alkaline activator. Constr. Build. Mater. 2018, 169, 188–192. [Google Scholar] [CrossRef]
- Mokhtar, M.; Fakhirah, A.; Halim, A.; Mahmod, H.; Nabila, N.; Rashdan, M. Use of Rice Husk and Coconut Shell Ash in Concrete Production. Multidiscip. Appl. Res. Innov. 2022, 3, 205–213. [Google Scholar] [CrossRef]
- Siddika, A.; Al Mamun, A.; Ali, H. Study on concrete with rice husk ash. Innov. Infrastruct. Solut. 2018, 3, 18. [Google Scholar] [CrossRef]
- Wang, J.; Xiao, J.; Zhang, Z.; Han, K.; Hu, X.; Jiang, F. Action mechanism of rice husk ash and the effect on main performances of cement-based materials: A review. Constr. Build. Mater. 2021, 288, 123068. [Google Scholar] [CrossRef]
- Bawankule, S.P.; Balwani, M.S. Effect of Partial Replacement of Cement by Rice Husk Ash in Concrete. Int. J. Sci. Res. 2015, 4, 1572–1574. [Google Scholar]
- Sandhu, R.K.; Siddique, R. Influence of rice husk ash (RHA) on the properties of self-compacting concrete: A review. Constr. Build. Mater. 2017, 153, 751–764. [Google Scholar] [CrossRef]
- Zhang, W.; Liu, H.; Liu, C. Impact of Rice Husk Ash on the Mechanical Characteristics and Freeze–Thaw Resistance of Recycled Aggregate Concrete. Appl. Sci. 2022, 12, 12238. [Google Scholar] [CrossRef]
- Varshney, H. Utilization of Rice Husk Ash in concrete as cement replacement. IOSR J. Mech. Civ. Eng. 2016, 1, 28–33. [Google Scholar] [CrossRef]
- David, J.M. Quantification of Hydration Products in Rice Husk Ash (Rha)-Blended Cement Concrete with Crumb Waste Rubber Tires (Cwrt) & Its Correlation with Mechanical Performance. GEOMATE J. 2022, 23, 126–133. [Google Scholar] [CrossRef]
- Avudaiappan, S.; Prakatanoju, S.; Amran, M.; Aepuru, R.; Saavedra Flores, E.I.; Das, R.; Gupta, R.; Fediuk, R.; Vatin, N. Experimental Investigation and Image Processing to Predict the Properties of Concrete with the Addition of Nano Silica and Rice Husk Ash. Crystals 2021, 11, 1230. [Google Scholar] [CrossRef]
- Al-Alwan, A.A.K.; Al-Bazoon, M.; Mussa, F.I.; Alalwan, H.A.; Shadhar, M.H.; Mohammed, M.M.; Mohammed, M.F. The impact of using rice husk ash as a replacement material in concrete: An experimental study. J. King Saud Univ. Eng. Sci. 2022. [Google Scholar] [CrossRef]
- Ahmed, A.; Ameer, S.; Abbas, S.; Abbass, W.; Razzaq, A.; Mohamed, A.M.; Mohamed, A. Effectiveness of Ternary Blend Incorporating Rice Husk Ash, Silica Fume, and Cement in Preparing ASR Resilient Concrete. Materials 2022, 15, 2125. [Google Scholar] [CrossRef]
- Nalli, B.R.; Vysyaraju, P. Utilization of ceramic waste powder and rice husk ash as a partial replacement of cement in concrete. IOP Conf. Ser. Earth Environ. Sci. 2022, 982, 012003. [Google Scholar] [CrossRef]
- Ahsan, M.B.; Hossain, Z. Use of Rice Husk Ash (RHA) as a Sustainable Cementitious Material for Concrete Construction. In Proceedings of the International Congress and Exhibition Sustainable Civil Infrastructures: Innovative Infrastructure Geotechnology, Sharm El Sheikh, Egypt, 15–19 July 2017. [Google Scholar] [CrossRef]
- Depaa, R.; Priyadarshini, V.; Hemamalinie, A.; Xavier, J.F.; Surendrababu, K. Assessment of strength properties of concrete made with rice husk ash. Mater. Today Proc. 2021, 45, 6724–6727. [Google Scholar] [CrossRef]
- Arivalagan, S. Eco-Friendly Study on Properties of Concrete by Partial Replacement of Cement by Rice Husk ash. Strad Res. 2020, 7, 242–253. [Google Scholar] [CrossRef]
- Dahal, D.; Banstola, R.; Baral, N.; Basnet, K.; Western Regional Campus. Evaluation of Rice Husk Ash as a Partial Replacement of Cement in Self-Compacting Concrete Using Mix Design. Int. J. Eng. Res. 2020, 9, 1402–1409. [Google Scholar] [CrossRef]
- Mukilan, K.; Irene, A.D.K.B.; Shenbagavalli, S.; Muthuprakash, P. Experimental study on steel fibre reinforced concrete with a partial replacement of cement by rice husk ash. IOP Conf. Ser. Mater. Sci. Eng. 2020, 872, 012140. [Google Scholar] [CrossRef]
- Swetha, R.; Rani, M.S.; Raju, U. Experimental Works on Self-Compacting Concrete By Partial Replacement of Rice Husk Ash with Subjected To Acid Attack. Int. J. Innov. Technol. Explor. Eng. 2020, 9, 664–667. [Google Scholar] [CrossRef]
- Neeraja, P. Experimental Investigation on Properties of Concrete Enhanced by Replacement of Cement with Rice Husk Ash as an Admixture. Int. J. Res. Appl. Sci. Eng. Technol. 2021, 9, 1512–1515. [Google Scholar] [CrossRef]
- Rasoul, B.I.; Günzel, F.K.; Rafiq, M.I. Effect of Rice Husk Ash Properties on the Early Age and Long Term Strength of Mortar. In High Tech Concrete: Where Technology and Engineering Meet—Proceedings of the 2017 fib Symposium; Springer: Berlin/Heidelberg, Germany, 2017; pp. 207–214. [Google Scholar] [CrossRef]
- Chachar, Z.A.; Ali, I.; Raza, M.S.; Das Narwani, T.; Raza, I.; Hussain, M. Flexural Behavior of Reinforced Concrete Beams by using Rice Husk Ash as Partial Replacement of Fine Aggregates in Cement Concrete. J. Kejuruter. 2022, 34, 599–604. [Google Scholar] [CrossRef]
- Zahedi, M.; Ramezanianpour, A.A.; Ramezanianpour, A.M. Evaluation of the mechanical properties and durability of cement mortars containing nanosilica and rice husk ash under chloride ion penetration. Constr. Build. Mater. 2015, 78, 354–361. [Google Scholar] [CrossRef]
- Saraswathy, V.; Song, H.-W. Corrosion performance of rice husk ash blended concrete. Constr. Build. Mater. 2007, 21, 1779–1784. [Google Scholar] [CrossRef]
- Vishwakarma, V.; Ramachandran, D.; Anbarasan, N.; Rabel, A.M. Studies of rice husk ash nanoparticles on the mechanical and microstructural properties of the concrete. Mater. Today Proc. 2016, 3, 1999–2007. [Google Scholar] [CrossRef]
- Sombabu, Y.; Prabhakar, K.; Madhuri, P. Partial Replacement of Cement with Rice Husk Ash. Int. Res. J. Eng. Technol. 2017, 4, 251–256. [Google Scholar]
- Mehdizadeh, B.; Jahandari, S.; Vessalas, K.; Miraki, H.; Rasekh, H.; Samali, B. Fresh, Mechanical, and Durability Properties of Self-Compacting Mortar Incorporating Alumina Nanoparticles and Rice Husk Ash. Materials 2021, 14, 6778. [Google Scholar] [CrossRef] [PubMed]
- Kanthe, V.N.; Deo, S.; Murmu, M. Effect of fly ash and rice husk ash as partial replacement of cement on packing density and properties of cement. Int. J. Innov. Technol. Explor. Eng. 2019, 8, 1940–1945. [Google Scholar]
- Praveenkumar, T.R.; Vijayalakshmi, M.M. Microstructural properties of nano-rice husk ash concrete. Nanotechnol. Environ. Eng. 2019, 4, 9. [Google Scholar] [CrossRef]
- Amin, M.; Tayeh, B.A.; Kandil, M.A.; Agwa, I.S.; Abdelmagied, M.F. Effect of rice straw ash and palm leaf ash on the properties of ultrahigh-performance concrete. Case Stud. Constr. Mater. 2022, 17, e01266. [Google Scholar] [CrossRef]
- Bui, L.A.-T.; Chen, C.-T.; Hwang, C.-L.; Wu, W.-S. Effect of silica forms in rice husk ash on the properties of concrete. Int. J. Miner. Met. Mater. 2012, 19, 252–258. [Google Scholar] [CrossRef]
- Rukzon, S.; Chindaprasirt, P. Use of Rice Husk-Bark Ash in Producing Self-Compacting Concrete. Adv. Civ. Eng. 2014, 2014, 429727. [Google Scholar] [CrossRef]
- Cui, L.; Wang, H. Research on the Mechanical Strengths and the Following Corrosion Resistance of Inner Steel Bars of RPC with Rice Husk Ash and Waste Fly Ash. Coatings 2021, 11, 1480. [Google Scholar] [CrossRef]
- Hu, L.; He, Z.; Zhang, S. Sustainable use of rice husk ash in cement-based materials: Environmental evaluation and performance improvement. J. Clean. Prod. 2020, 264, 121744. [Google Scholar] [CrossRef]
- Amran, M.; Fediuk, R.; Murali, G.; Vatin, N.; Karelina, M.; Ozbakkaloglu, T.; Krishna, R.S.; Kumar, A.S.; Kumar, D.S.; Mishra, J. Rice Husk Ash-Based Concrete Composites: A Critical Review of Their Properties and Applications. Crystals 2021, 11, 168. [Google Scholar] [CrossRef]
Disclaimer/Publisher’s Note: The statements, opinions and data contained in all publications are solely those of the individual author(s) and contributor(s) and not of MDPI and/or the editor(s). MDPI and/or the editor(s) disclaim responsibility for any injury to people or property resulting from any ideas, methods, instructions or products referred to in the content. |
© 2022 by the authors. Licensee MDPI, Basel, Switzerland. This article is an open access article distributed under the terms and conditions of the Creative Commons Attribution (CC BY) license (https://creativecommons.org/licenses/by/4.0/).


















