Abstract
Research and development (R&D) investment is very important for firms to gain competitive advantages and sustainable development. Due to the uncertainty of the market and competitors, R&D investment is usually costly and high risk. In such circumstances, firms not only have to figure out the optimal investment timing, but also consider whether to cooperate with competitors to share the risks and costs. In this paper, a two-stage dynamic exchange option game model is proposed for two symmetric competing firms to analyze their R&D investment decision and cooperation. The results show that under uncertainty, the R&D investment timing and cooperation strategy of the two firms depend on the market fluctuation, R&D cost, opportunity benefit of free riding, and the externality of cooperation. If the opportunity benefit of free riding is less than or equal to half of the cooperative research cost, the two firms will invest as early as possible and cooperate. The technology spillover and profits of new products will positively affect the willingness of the competing firms to invest and cooperate in R&D. Moreover, we also calculate the market value thresholds of the investment strategies for the two firms. When the market value is small, the two firms wait for the R&D investment; when the value increases, the firm with a high successful R&D probability will lead the investment, and the other firm follows the investment; when the value is large enough, the two firms will invest at the beginning of the period.
1. Introduction
In the era of the knowledge economy, R&D is one of the key means for firms to obtain competitive advantages and sustainable development. This is especially true with high-tech firms, such as those producing drugs, chips, and self-driving cars. Unfortunately, firms are faced with uncertain factors, such as market demand [1], the failure of R&D projects [2], and the uncertainty of competitors’ strategies, which can cause R&D investment to be highly risky and costly. As a result, firms usually choose to cooperate with competitors to share risks and costs. How to make R&D investment decisions and whether to cooperate in an uncertain environment have become hot issues for firms and researchers.
Note that traditional evaluation methods, such as net present value (NPV) and internal rate of return (IRR), cannot incorporate the uncertainty of R&D projects [3]. Since the R&D investment opportunities held by firms are similar to long options [4], researchers introduced the real option theory to study the decision making of R&D investments with market uncertainty. In terms of the uncertainty of competitors’ strategies, a firm should consider the reactions of its competitors before determining whether to invest in R&D, which can be described as a “game” among multiple firms [5]. Therefore, real option theory and game theory are usually combined for investment decision analysis. However, existing works mainly employ real option game theory to analyze the separate investment of firms in the competitive environment but neglect the situation that two firms may cooperate in R&D investment.
Actually, the permissive American and European antitrust regulations have encouraged cooperative research and the sharing of costs and benefits of research projects among membership firms for a long time [6]. For example, Volkswagen and Ford, GM and Honda, and Renault and Nissan are cooperating in the research of self-driving cars. There exist three types of R&D cooperation: with competitors (horizontal), with suppliers or customers (vertical), and with universities and institutes (‘institutional’ cooperation) [7]. We concentrate on horizontal R&D cooperation, where firms may exhibit different market powers in the cooperative game. Relevant studies consider the determined market environment and focus on the strategic choice of firms in R&D cooperation.
To the best of our knowledge, most of the previous works discussed R&D investment timing with uncertainty and cooperative investment with certainty. To fill in this research gap, this paper investigates a two-stage exchange option game between two symmetric competing firms to study R&D investment decision making and cooperation under an uncertain environment. At each stage, a firm must decide whether to invest in R&D and once the decision is positive, it must further decide whether to cooperate with the competitor regarding the R&D investment. In addition, one firm can observe the actions taken by another firm, which induces multiple games with imperfect information. Backward induction is used to obtain the game equilibrium based on the risk dominance method [8]. The results will be more insightful than the existing research that discuss the two steps separately without considering uncertainty.
2. Literature Review
The existing research mainly studies R&D investments within a certain and uncertain environment. In a certain environment of R&D investment, Salimi and Rezaei [9] proposed a multi-criteria decision-making method called the best worst method (BWM) to determine the importance of the R&D project and weigh the R&D performance of 50 high-tech SMEs in the Netherlands. Eilat et al. [10] developed an extended data envelopment analysis (DEA) model to evaluate R&D projects by combing the balanced scorecard (BSC) and DEA. In addition, Cheng et al. [11] considered the selection of R&D projects with consistent fuzzy preference relations based on the analytic network process (CFPR-ANP) model. These researches mainly analyze the independent R&D investments of firms.
Actually, R&D cooperation is an important way of sharing risks and costs for firms with technological spillovers. Early in 1988, d’Apremont and Jacqumin [6] established an R&D cooperation model, based on the Cournot model, with technology spillover, and found that two competing firms cooperating in innovation often invest more in R&D than those conducting innovative activities independently when spillovers are significant enough. Then, Suzumura [12] and Kamien et al. [13], respectively, extended this model to investigate the effect of R&D investment and cooperation on social welfare. The role of spillovers in the stability of horizontal and vertical R&D cooperation was investigated by Zeng et al. [14], Wu et al. [15], and Yang et al. [16].
Besides spillovers in R&D cooperation, the effects of opportunism on R&D cooperation have also been studied by other researchers. Intuitively, opportunists’ free-riding behavior will hinder the willingness of firms to cooperate. Regarding this, Cabon-Dhersin and Ramani [17] considered two types of firms: opportunists and non-opportunists with incomplete information, and concluded that trust can encourage firms to initiate R&D alliances, and the higher the spillovers, the higher the level of trust required to initiate R&D cooperation for non-opportunists, while the inverse holds for opportunists. The role of trust in the initiation and success of R&D cooperation was also investigated by Cabon-Dhersin and Ramani [17] with heterogeneous agents. Dickson et al. [18] empirically analyzed the effects of opportunism on the R&D alliances of small- to medium-sized enterprises (SMEs) with samples from eight countries. Xu et al. [19] studied opportunistic behaviors in vertical R&D using game theory, and proved the inherent instability of vertical R&D, since downstream firms are more likely to break the agreement. Conti and Marini [20] found that information asymmetry may exacerbate underinvestment without R&D agreements. Ramsza et al. [21] concluded that the medium level of entry cost would make firms investing in R&D betray each other.
The aforementioned studies are all based on a certain market environment, focusing on the strategic choice of firms in R&D cooperation, without considering the impact of an uncertain environment. However, R&D investment can be influenced by many uncertain factors, such as political risks [22], Knight uncertainty [23], economic policy uncertainty [24], demand uncertainty [25], market level uncertainty changes [26], and competitor uncertainty. Risk refers to the uncertainty and severity of the consequences of activities that human beings value [27]. The public understanding of risk promotes a non-tendentious and theory-neutral approach, which is designed in such a way that we can be aware of risks, make correct judgments and take actions in terms of risk [28]. In an uncertain environment, firms will balance the benefits of obtaining more information about the future value of the project by delaying investment decisions and the benefits of immediate investment. Moreover, firms will delay making investment decisions to wait for the arrival of project information, that is, the increase of uncertainty will reduce the current investment [29]. Based on the data of foreign companies that entered the US wholesale market from 1981 to 1987, Campa [30] found that the higher suck cost and larger exchange rate changes reduced the investment of entrants. von Kalckreuth [31] took 6745 German companies from 1987 to 1997 as the research object, and examined the impact of uncertainty on company sales and cost on investment demand. The results showed that the two uncertainties have a significant negative impact on the company’s investment; the uncertainty increases by one standard deviation and the estimated investment demand will decrease by 6.5 percentage points. Drozdowski [32] found that the high unpredictability in the environment means that the risk of financial decisions remains very high.
Regarding this, Smets [33] first combined real option and game theory to describe market uncertainty and competitor uncertainty, and develop the duopoly option-game model for analyzing R&D investment. A more general framework was proposed by Dixit and Pindyck [29] to discuss the optimal R&D investment timing in an uncertain market. In recent years, related work also includes Bouis et al. [34], Ko et al. [35], and Leung and Kwok [36], etc. In addition, the latest work includes an option pricing framework proposed by Martzoukos and Zacharias [37] to demonstrate how to optimally make costly strategic pre-investment R&D decisions. Based on the jump diffusion prices, Sun et al. [38] established an option game to analyze the investment decisions of duopoly enterprises. Anzilli and Villani [39] considered the fuzzy uncertainty of market share and information, and analyzed the Nash equilibrium of real R&D options. Additionally, a more detailed overview of real option theory can be found in Trigeorgis and Tsekrekos [40]. These works mainly focus on the optimal R&D investment timing, and they only consider firms as leaders, followers, or independent investments at the same time, ignoring the strategic analysis of R&D cooperation.
To sum up, the environment of R&D activities is highly uncertain, and under uncertain conditions, firms tend to regard R&D investment as a real option to determine the optimal entry time and seek cooperation to share the risk and cost. In this process, they also have to avoid the free-riding behavior of opportunists. However, existing researches focus on the R&D investment timing with uncertainty and the R&D cooperative strategy with certain firms’ profits separately. This work contributes to figuring out the optimal strategy for two competing firms by simultaneously considering the investment and cooperation decision-making process under an uncertain environment, which is more practical than previous research.
3. Methodology
The paper uses the exchange option to describe the uncertainty of the market, and uses game theory to analyze the uncertainty of competitors’ R&D investment strategies. This paper mainly describes the market uncertainty in three aspects: the market value, the investment cost, and R&D research success. Firms should comprehensively consider the uncertainties in all aspects of the market. If the market income is large, the investment cost is low and the probability of R&D success is greater, and so firms are more willing to invest. On the contrary, firms are unwilling to invest. We use the Brownian motion process to analyze the volatility of the market value and development costs, and use probability to describe the success of the R&D project. For the R&D investment of firms, it is also important to understand the strategies adopted by competitors. For example, if the market value is small and competitors have adopted investment strategies, then the firms have to follow the investment; if competitors delay the investment, the firms may invest at this time. Competitors will also think so. Therefore, we use game theory to represent the strategic interaction between competitors in R&D investment.
3.1. Exchange Option
3.1.1. Simple European Exchange Option
Simple European exchange option was established by McDonald and Siegel [41]. This option refers to the exchange of one asset with another asset at a certain time. This is reflected in the R&D investment, i.e., the cost is invested to obtain the income . The value of simple European exchange option at time is . When the valuation date , its value is:
where:
and are the R&D project value and the investment cost, respectively;
and are the dividend yields of and , respectively;
, , ;
, ;
is the standard normal distribution;
is the correlation between and ;
and are the volatility of and , respectively.
The simple European exchange option can be used to calculate the income on this R&D investment. At the beginning of the period, firms obtain the R&D investment opportunity at some cost, and then at the end of the period, they can obtain the income V at the investment cost D, which is similar to the simple European exchange option. Here, firms are faced with the uncertainty of the market value and investment cost.
3.1.2. Compound European Exchange Option
If the underlying asset of the exchange option is another option, then the exchange option is a compound option. Carr [42] valued the compound European exchange option, the payoff of which at the valuation time is:
where is the exchange ratio of compound European exchange option and and are the expiration time of the compound European exchange option and simple European option, respectively. , , and is the standard bivariate normal distribution function. is the critical price ratio.
We can use the compound European exchange option to calculate the R&D investment income in this situation. The firms do not invest at the beginning of the period, observe the market value and the investment of competitors, and invest the next time. At this point, the investment cost is an option relative to the beginning of the period. Then, the firms choose to use the investment cost to obtain the market value at the end of the period, which is similar to the compound European exchange option. Similarly, the market value and the investment cost are volatile.
3.2. The Information Revelation
In R&D investment, firms are faced with the failure of R&D projects which has an impact on the success probability of competitors. This can be called the information revelation of the R&D investment. Suppose that the success probability of R&D by firms A and B is and , respectively, with Bernoulli distribution. Based on the definition of information revelation, if the R&D investment of leader firm A is successful, the success probability of follower firm B will change in positive information revelation , otherwise, it will change in negative information revelation . Similarly, if the R&D investment of leader firm B is successful, the success probability of follower firm A will change in positive information revelation , otherwise, it will change in negative information revelation . Based on Dias’s model of information relevance [43], there are:
In the above formula, is used to measure the degree of R&D investment information relevance of firms A and B.
3.3. Risk Dominance Equilibrium
Risk dominance equilibrium is used in this paper to obtain equilibrium in the two-stage option game model. Before introducing the model, we would like to describe how to use risk dominance in solving multiple equilibrium selection problems involving simultaneous actions. Basically, risk dominance corresponds to payoff dominance and both of them have been widely used for coordination games since they were presented by Harsanyi and Selten [8]. We will further show the selection criteria for the risk dominance equilibrium in the symmetric coordination game.
Suppose that in a symmetric coordination game, two players have pure strategies and . The strategy combination is a risk-dominated equilibrium, which means that is the optimal response of for all other equilibrium. That is, selecting strategy can obtain higher payment than selecting other strategies with equal probability. In their experiments, Van Huyck et al. [44] found that players did not always choose payoff-dominated equilibrium, but in most cases chose risk-dominated equilibrium.
For a coordination game, risk-dominant equilibrium can be identified by the risk-dominant deviation loss product law. Imagine a single-shot, two-player game, where each player has complete information and can undertake one of two pure strategies denoted by for player 1 and by for player 2. The consequent four strategy combinations can be presented in a matrix described in Table 1, and reflect corresponding payoff combinations.
Table 1.
Payoff matrix for a game.
Assume that action combinations and are pure strategic Nash equilibria here, we can directly conclude that dominates in risk if
and vice versa. Here, and , respectively, represent the players’ opportunity cost of unilaterally deviating from the equilibrium . Similarly, is associated with the equilibrium . It can be seen that the pure strategy equilibrium with the greater Nash product is risk dominant. Such determination of risk dominance is so easy to operate in reality that we will introduce it for equilibrium selection in our following work.
4. Option Game Model
4.1. Two-Stage Game
According to the real option game model proposed by Dixit et al. [28], there exist two thresholds in continuous time that, respectively, determine if the leader firm or follower firm is willing to invest in R&D. Apparently, the two thresholds divide the game into two stages and depend on factors such as market demand, R&D cost, etc. In this paper, we focus on two symmetric firms; either of which considers whether to invest and whether to cooperate with the other in R&D investment in both of the stages described in Figure 1.
Figure 1.
Dynamic two-stage game of R&D investment between two firms.
Specifically, at the time , each firm has to decide whether to invest in R&D by itself. Either firm can observe the actions taken by its competitor. If both firms choose to invest, they have to further consider whether it is appropriate to cooperate with the rival firm in R&D investment. When the R&D investment decision is made by only one firm at , the other firm has to determine whether to follow the R&D investment at . However, when neither of the firms decides to invest at , they have to consider whether to invest and cooperate again at .
4.2. Strategy Combinations
It can be seen that we establish a two-stage dynamic game consisting of six subgames, as described in Figure 1. To describe the model, denote, respectively, and as the positive decision of firm to invest in R&D at and , while and correspond to the negative decision of firm to do so at the same time points. Similarly, and indicate that firm decides to cooperate with the other in R&D investment at consecutive time points and , while and mean that firm decides not to do so at the corresponding time. It is easy to see that strategy combinations in this two-stage game can be classified into four scenarios. We can divide the strategy combinations in the game into the following four categories:
Scenario 1: Both firms decide on R&D investment at and all the strategy combinations include , , , ;
Scenario 2: Both firms decide on R&D investment at and all the strategy combinations include , , , ;
Scenario 3: One firm decides to invest in R&D at and the other invests at ; all the strategy combinations include , ;
Scenario 4: At least one firm makes no R&D investment in either time point; all the strategy combinations include , , , , .
4.3. Payoffs
We use the simple European exchange option to measure the income of the firm’s leading investment and simultaneous investment at . Because at the beginning of the period, firms obtain the R&D investment opportunity at the cost , and then at the end of the period, it can obtain the income V at the investment cost D, which is similar to the simple European exchange option. In addition, the compound European exchange option is used to describe the income of the firm’s following or simultaneous investment at . Because the firm can observe the competitor’s investment strategy or market value, and its investment cost D is equivalent to options, which is similar to the compound European exchange option. This section provides the payoffs of the two competing firms under the above four scenarios, as shown below.
4.3.1. Payoffs in Scenario 1
In this scenario, both firms make the positive decision of R&D investment at and they will further consider whether to conduct R&D cooperation with each other, which will affect the R&D costs and the R&D income for both firms. Here, let be the research costs of a firm without cooperation. When a cooperative relationship is established between the two firms, the R&D efficiency can be improved to induce a lower cost denoted by with . However, if only one firm decides to cooperate and share the R&D technology, the other firm can enjoy a free ride of R&D and reduce the cost to with . In addition, due to technology spillovers, the former firm has to invest more resources in R&D to maintain its competitive advantage, thus the higher research cost will be called as with , and . If firm A and firm B simultaneously invest in R&D projects at , they will obtain 1/2 of the market share, respectively. The R&D investment income obtained by the two firms is and , respectively. From this, it can be seen that the game results of both firms choosing R&D investment at are as follows:
Under the strategy combination , the R&D investment profits of firm A and firm B are and , respectively.
Under the strategy combination , the R&D investment profits of firm A and firm B are and , respectively.
Under the strategy combination , the R&D investment profits of firm A and firm B are and , respectively.
Under the strategy combination , the R&D investment profits of firm A and firm B are and , respectively.
4.3.2. Payoffs in Scenario 2
In scenario 2, firms A and B choose R&D investment at , and they will further consider whether to conduct R&D cooperation with each other. If firm A and firm B simultaneously invest in R&D projects at , they will obtain 1/2 of the market share, respectively. The R&D investment returns obtained by the two firms are and , respectively. Similarly, the game results of both firms choosing R&D investment at are as follows:
Under the strategic combination , the R&D investment profits of firm A and firm B are and , respectively.
Under the strategy combination , the R&D investment profits of firm A and firm B are and , respectively.
Under the strategy combination , the R&D investment profits of firm A and firm B are and , respectively.
Under the strategy combination , the R&D investment profits of firm A and firm B are and , respectively.
4.3.3. Payoffs in Scenario 3
In this scenario, only one firm decides to invest in R&D at and the other invests in R&D at under the strategy combinations , . Under the strategic combination , firm A invests in R&D at and firm B invests in R&D at . Leader A has the first mover advantage, and obtains the market share . The follower B obtains the market share . We use the simple European exchange option to describe the R&D investment profit of leader A as . If leader A’s R&D investment is successful, the success probability of follower B will change to with positive information revelation. We use the compound European exchange option to measure follower B’s R&D investment income . Similarly, if leader A’s R&D investment is a failure, follower B’s R&D investment income will be . Combining these two cases, we can obtain the R&D investment profit of the follower B is .
Under the strategic combination , firm B invests in R&D at and firm A invests in R&D at . In the same way, the R&D investment profit of leader B is , and the R&D investment profit of follower A is .
4.3.4. Payoffs in Scenario 4
In scenario 4, at least one firm makes no R&D investment at either time point. Based on the above analysis, we can use the simple European exchange option to describe the firm’s R&D investment profit at and then use the compound European exchange option to describe the firm’s profit of at . If the firm does not invest, its profit is zero. In this case, the game results between the two firms can be described in Table 2.
Table 2.
Expected payoffs in Scenario 4.
5. Analysis of Option Game
The two-stage option game between two symmetric firms about R&D investment and cooperation is a dynamic game with imperfect information. The game has six subgames, including I, II, III, IV, V, and VI. Furthermore, backward induction is introduced to analyze the six subgames, which leads to the general equilibrium.
5.1. Subgame VI
As shown in Figure 1, subgame VI describes the scenario in that two firms have to consider whether to cooperate after making the R&D investment decision at . In this subgame, both firms choose a waiting strategy at and then invest at . This dynamic game with imperfect information can be regarded as a static game with complete information illustrated in Table 3.
Table 3.
Payoff matrix of subgame VI.
As shown in Table 3, the equilibrium relies on , , , which induces three scenarios:
When , there are , , and , , then strategy combination is the unique Nash equilibrium of subgame VI. In this situation, the two firms defect to each other, that is, they choose not to cooperate in investment at .
When , there are , , and , , then the game is a symmetric coordination game. The game has two Nash equilibria and . It is easy to verify that the inequality is satisfied, then the strategy combination is the risk-dominant equilibrium based on Formula 4. In this case, the two firms still defect to each other at .
When , similarly, the game has two Nash equilibrium and . The inequality holds, then the strategic combination is the risk-dominant equilibrium based on Formula 4. In this equilibrium, the two firms prefer to cooperate in R&D investment at .
5.2. Subgame V
Assuming in subgame VI, two firms reach the consensus to prefer risk-dominant equilibrium. Then, subgame VI can be represented by its payoff vector of the equilibrium, where are respective results of the two firms in subgame VI. In this way, subgame V can be simplified to a static game with complete information, and backward induction can be used to obtain equilibrium. The payoff matrix of this simplified game can be presented in Table 4.
Table 4.
Payoff matrix of subgame V.
Because both are positive, two firms will decide to invest in R&D at . Either or will be the Nash equilibrium of subgame V, but which equilibrium will appear depends on the results of subgame VI.
5.3. Subgames IV and III
Subgame IV describes the situation that firm B decides to invest in R&D at and firm A considers whether to follow at , and the strategy combinations are and . In this case, firm A will obtain 0 if it gives up the investment opportunity, while it will earn the expected profit if it makes the investment decision. When the expected payoff is positive, will be the Nash equilibrium of subgame IV. In the equilibrium, firm B leads the investment at and firm A follows the investment at . Similarly, the Nash equilibrium of subgame III is . In this equilibrium, firm A is the leader and firm B is the follower in the R&D investment.
5.4. Subgame II
Subgame II focuses on a situation where two firms have to decide whether to cooperate after they make the R&D investment decision. In the subgame, both firms choose simultaneous investment at . By analogy with VI, the results of subgame II can be obtained as below.
When , there are , and , , then strategy combination is the unique Nash equilibrium of subgame II. In this situation, the two firms defect to each other in the R&D investment at .
When , there are , , and , , then the game is a symmetric coordination game. The game has two Nash equilibrium and . It is easy to verify that the inequality is satisfied, then the strategy combination is the risk-dominant equilibrium. In this case, the two firms still defect to each other and choose non-cooperative investment at .
When , similarly, the game has two Nash equilibria and . The inequality holds, then the strategic combination is the risk-dominant equilibrium. In the equilibrium, the two firms choose cooperative investment at .
5.5. Full Game I
Based on the above analysis, we can equivalently simplify the game from a dynamic game with imperfect information to a static game with complete information from the perspective of backward induction.
In Table 5, and indicates the payoff of firm A, respectively, obtained in subgames II and VI. and are the profits of firm A, respectively, obtained in subgames III and IV.
Table 5.
Payoff matrix of subgame I.
Similarly, and indicates the payoff of firm B, respectively, obtained in subgames II and VI. and are the profits of firm B, respectively, obtained in subgames III and IV.
To sum up, the strategy combinations of the full game are:
When the two firms are without cooperation , the strategy combinations of the full game are , , , ;
When the two firms have cooperation , the strategy combinations of the full game are , , , .
5.5.1. Non-Cooperation
In this case, the payoff matrix of the game I can be shown in Table 6.
Table 6.
The payoff matrix of the game I with .
It can be seen that the payoff of the two firms is related to the market value of R&D investment. Because there is and , the equation holds. We give two thresholds and , and assume that the success probability of firm A is higher than that of firm B, there is:
From Formula (5), when the market value is low, the two firms choose a waiting strategy at ; when the market value gradually increases, firm A leads the investment, while firm B waits for investment at ; when the market value is large, the two firms choose a leading strategy, that is, both firms invest at .
Similarly, because there is and , , the equation holds. We give two thresholds and , and there is:
From Formula (6), when the market value is low, the two firms select the following investment, that is, both firms do not invest at ; when the market value increases, firm A invests at , and firm B invests at ; when the market value is large, the two firms invest simultaneously at .
5.5.2. Cooperation
The payoff matrix of the game I with is shown in Table 7.
Table 7.
The payoff matrix of the game I with .
Similarly, the equation holds, when and , there is:
The equation holds, when and , there is:
From Formulas (7) and (8), we can see that when the market value is low, the two firms wait for investment at ; when the market value gradually increases, firm A leads the investment, while firm B follows the investment; when the market value is large, the two firms invest at .
Based on the above analysis of the two situations, it can be concluded that the market value of the R&D investment has a significant effect on the strategies of the two firms.
6. Real Applications
6.1. Parameters
The option game of R&D investment can be applied to many industries, such as new drugs, semiconductor industries, and self-driving cars. For example, in the pharmaceutical industry, new drugs are launched after years of laboratory tests and clinical trials. At this stage, firms have to pay the research cost without market benefit. If the research of the new drugs is successful, the firm decides to add the development cost at the time to obtain the market benefit. The investment opportunity can be priced by the European exchange option. In addition, in the highly competitive self-driving technology market, Daimler (Mercedes-Benz) started the self-driving project in 1986, and it increased its investment in the project and cooperated with BMW after observing the market prospect of self-driving cars. Volkswagen and Ford, GM and Honda, and Renault and Nissan are also cooperating in the research of self-driving cars. To intuitively understand the R&D investment strategies of the two firms, this paper estimates the model parameters based on Villani [45], as shown in Table 8, and conducts a simulation analysis.
Table 8.
Parameters values.
is the research cost of R&D investment at or , and is the development cost of R&D investment at . We assume that the value of is USD 150,000 and the value of is USD 400,000.
In the R&D investment, the asset and development cost are uncertain and fluctuating. We use quoted shares and traded options to measure the volatility of asset and development cost . That is, the value of is 0.9, and the value of is 0.23. There is a relationship between the asset and development cost in the R&D marketization. When the development cost is higher, the market demand for the R&D product is higher. This correlation is measured by the correlation coefficient , which is assumed to be 0.15.
Everything has an opportunity cost. In this paper, we use the expected return of stock to measure the opportunity cost of a delayed investment of asset , and use the cash return to measure the opportunity cost of the development cost . We assume is 0.23 and is 0.
years denotes the maturity date of the European exchange option, which means that the firms need to invest before this time, otherwise there will be no R&D investment opportunities. years indicates that the firm will observe the market and the investment strategy of its competitors for six months, and then decide whether to make an R&D investment.
The research on R&D investment is uncertain. We use and to represent the success probability of firms A and B, respectively. We assume that the value of is 0.6 and is 0.55. The information correlation of the two firms is 0.4.
In addition, we assume that the market share of the leading firm is 0.6. If the two firms cooperate in the R&D investment, the research cost will be reduced by 10%, that is, the value of is 0.9.
6.2. Equilibrium Computation of Non-Cooperation
Because of the previous equilibrium analysis, we know that when , firms adopt non-cooperative R&D investment. Based on the assignment of parameters, we use Matlab software to simulate and analyze the payoff values (Table 9 and Table 10) and payoff curves (Figure 2 and Figure 3) of the R&D investment strategies for the two firms in the non-cooperation situation under different market values .
Table 9.
The payoff of firm A’s four investment strategies with non-cooperation.
Table 10.
The payoff of firm B’s four investment strategies with non-cooperation.
Figure 2.
The payoff curves of firm A’s investment strategy with non-cooperation, where LA, FA, SA, and WA represent , , , , respectively.
Figure 3.
The payoff curves of firm B’s investment strategy with non-cooperation, where LB, FB, SB, and WB represent , , , , respectively.
According to the payoff curves of firm A’s and B’s investment strategies, the four critical values can be obtained: , , , . Based on the four critical values and the previous equilibrium analysis (as shown in Formulas (5) and (6)), the firm’s investment strategy is obtained:
(1) When the expected market value , the following relationship is obtained:
; ; ;
In this case, the Nash equilibrium of the game is . The two firms delay their R&D investment at , and wait for the best market evolution and simultaneously invest at with non-cooperation.
(2) When the expected market value is , there are the following inequalities:
; ; ;
In this case, the Nash equilibrium of the game is . Firm A with a higher probability of R&D success makes the R&D investment at , while firm B delays its R&D investment at and observes firm A’s R&D investment information to invest at . This equilibrium occurs because the expected value at can only make one firm with a higher success probability to be profitable.
(3) When the expected market value is , we can obtain:
; ; ;
In this case, the Nash equilibrium of the game is or , and there is a preemptive equilibrium at this time. In the first equilibrium, firm A preemptively makes R&D investment at , while firm B should wait for the best market evolution at and invest at . In the second equilibrium, firm B invests at and firm A invests at .
(4) When the expected market value is , it results that:
; ; ;
In this case, the Nash equilibrium is . Firm A with a higher probability of R&D success will invest at , while firm B observes firm A’s R&D investment information and invests at .
(5) When the expected market value is , we have that:
; ; ;
In this case, the Nash equilibrium of the game is . The two firms simultaneously make R&D investments at with non-cooperation. This equilibrium occurs because the expected value at is large enough to make two firms profitable.
To sum up, the R&D investment strategies of two firms with different market values are obtained, as shown in Figure 4.
Figure 4.
The equilibrium of the two firms with non-cooperation.
6.3. Equilibrium Computation of Cooperation
In the previous equilibrium analysis, when , firms make cooperative R&D investments. Based on the parameter assignment, we obtain the payoff values (Table 11 and Table 12) and payoff curves (Figure 5 and Figure 6) of the R&D investment strategies for the two firms with cooperation under different market values .
Table 11.
The payoff of firm A’s four investment strategies with cooperation.
Table 12.
The payoff of firm B’s four investment strategies with cooperation.
Figure 5.
The payoff curves of firm A’s investment strategy with cooperation, where LA, FA, SAC, and WAC represent , , , , respectively.
Figure 6.
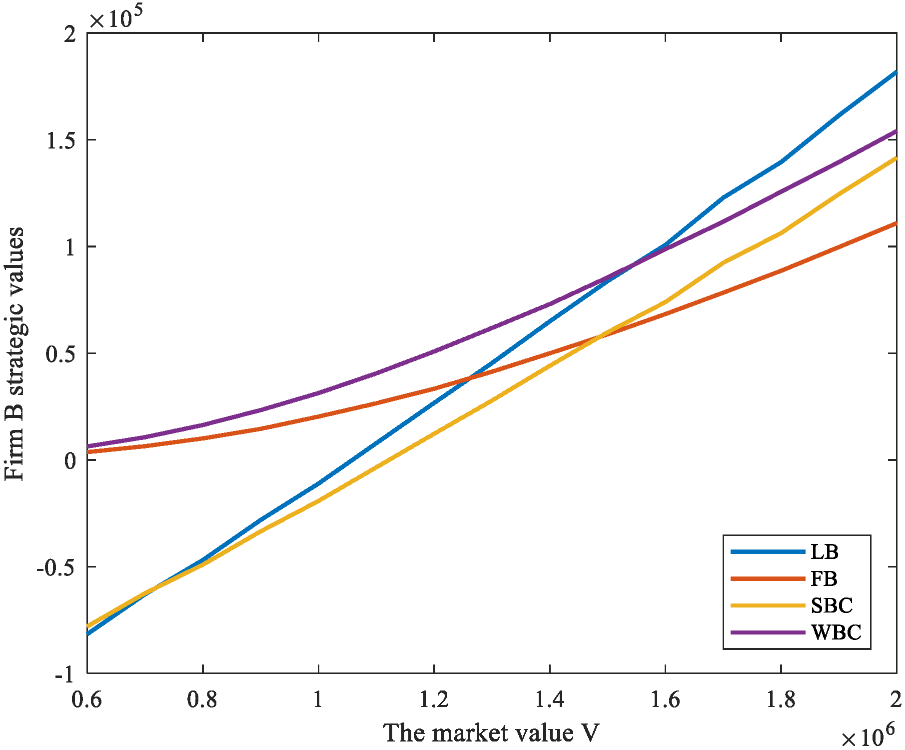
The payoff curves of firm B’s investment strategy with cooperation, where LB, FB, SBC, and WBC represent , , , , respectively.
Similarly, according to the payoff curves of firms A’s and B’s investment strategies with cooperation, the critical values can be obtained: , , , . From the four critical values and the equilibrium analysis (as shown in Formulas (7) and (8)), the firm’s R&D investment strategy is obtained:
(1) When the expected market value , we can observe that:
; ; ;
In this case, the Nash equilibrium of the game is . From the above four inequalities, the waiting strategy is optimal for the two firms at . Firms A and B prefer to wait for better market prospects, thus they delay investment at and simultaneously invest at with cooperation.
(2) When the expected market value , it can be concluded that:
; ; ;
In this case, we obtain the Nash equilibrium . Similarly, the two firms delay R&D investment at and both invest at with cooperation.
(3) When the expected market value , we can obtain that:
; ; ;
In this case, we obtain the Nash equilibrium . Firm A with the higher R&D success probability invests at , while firm B invests at .
(4) When the expected market value , we can obtain that:
; ; ;
In this case, the Nash equilibrium of the full game is . Firms A and B both make R&D investments at and cooperate.
(5) When the expected market value , we can obtain that:
; ; ;
Similarly, the result is the Nash equilibrium . The two firms simultaneously make an R&D investment decision at with cooperation.
To sum up, when (i.e. the two firms adopt a cooperation strategy), the investment decisions of the two firms with different market values can be obtained, as shown in Figure 7.
Figure 7.
The equilibrium of the two firms with cooperation.
6.4. The Effect on the Equilibrium with Cooperation
In summary, when , that is, the opportunity benefit of “free riding” is less than or equal to half of the cooperative research cost, the two firms will choose R&D investment with cooperation at or at . Otherwise, the two firms choose to make independent R&D investments. When the two firms cooperate on an R&D project, their research cost is reduced to , and can be regarded as the efficiency of cooperative R&D (the smaller the value of , the higher the efficiency). The cooperative R&D efficiency has an impact on the critical value of the investment strategy (as shown in Table 13), and has an impact on the investment equilibrium (as shown in Figure 8).
Table 13.
The critical value of investment strategy in different .
Figure 8.
R&D investment equilibrium of two enterprises with in the case of cooperation.
As can be seen from Table 13, when the cooperative efficiency decreases (the value of increases), the critical values and of R&D cooperation investment decrease, while and increase, which will affect the R&D investment strategy of firms. It can be seen from Figure 8 that when the cooperative R&D efficiency is high (i.e. ) and the expected market value is small, the two firms delay R&D investment at and choose cooperative investment at ; when the expected market value becomes large, the two firms make an R&D cooperation investment at . In this case, there is no preemptive equilibrium and leader–follower equilibrium (as shown in Figure 8a). When the cooperative R&D efficiency gradually decreases (i.e. , ) and the expected market value is the middle level, firm A with higher R&D success will invest at , while firm B will invest at . Compared with the case , leader–follower equilibrium will emerge (as shown in Figure 8b,c). When the cooperative R&D efficiency is further reduced (e.g., , ) and the market value is at the middle level, one firm will preempt the investment at , this is, the preemptive equilibrium occurs (as shown in Figure 8d,e).
To sum up, as the cooperative R&D efficiency decreases, the willingness of firms to cooperate decreases. When the expected market value is low, firms are unwilling to wait for the expected market value to improve, and will preempt investment in this situation. The lower the efficiency of cooperative R&D is, the easier it is for firms to achieve preemptive equilibrium. In addition, the decrease in cooperative R&D efficiency requires a larger market value for firms to invest at the beginning.
6.5. Discussion
In the case of non-cooperation, the equilibrium of R&D investment between the two firms is as follows: when the expected market value is low, both firms choose to delay R&D investment at the beginning; when the market value gradually increases, the firm with the higher probability of R&D success will invest first, while the firm with the lower probability has to postpone the investment at the beginning, so the leader–follower equilibrium occurs; when the market value further increases, both firms are willing to make an R&D investment at the first period, but the market can only accommodate one firm’s investment, so the preemptive equilibrium occurs; when the market value is large, both firms choose to invest at the first period.
Compared with the non-cooperative R&D investment, the cooperative R&D investment of firms have the following characteristics. Firstly, the critical market value of the leader–follower equilibrium is higher, that is, the two firms are more willing to wait for the better expect market value and make cooperative R&D investments at the next moment. Secondly, owing to cooperative R&D investment can share part of the research costs, the lower market value can accommodate the simultaneous investment of two firms at the beginning.
7. Conclusions
In the market and competitor uncertainty, R&D investment and cooperation are very important for firms to gain and maintain competitive advantages. This paper integrates the two firms’ R&D investment decision steps into a two-stage option game model between two symmetric firms. The following results are obtained in this paper.
Firstly, it is found that the firms’ strategy of R&D investment and cooperation relies on many uncertain market factors, such as market volatility, R&D cost, opportunity profit of free ride, and cooperation profit. To be specific, two firms tend to cooperate in R&D investment when one firm’s opportunity profit from the free ride is not larger than half of the cooperative R&D cost. When the efficiency of R&D cooperation is sufficiently high, R&D cooperation will be easy to achieve. However, the more the opportunity to profit from the free ride, the less likely the two competing firms will choose to cooperate.
Secondly, based on the simple and compound European exchange option, we calculate the market value thresholds of non-cooperation and cooperation in R&D investment, which determine the investment strategy of firms. In case of non-cooperation, the market value thresholds are , , , . When the value , the two firms wait for the R&D investment at the beginning of the period; when the value , the firm with a high probability of R&D success leads the investment, while the other firm follows the investment; if the market value is , the two firms will have preempted the investment; when the value , the firm with a high probability still leads the investment, while the other firm chooses the following strategy; if the market value is , the two firms will invest simultaneously at the beginning of the period. The situation is similar in the case of cooperation.
Therefore, several managerial insights can be concluded here. First, if one firm aims to lower the risk and improve the profit of the R&D investment, it had better cooperate with its rivalry regarding that R&D investment. Second, to make it further, to increase the probability of cooperation, it shall evaluate some factors associated with the opportunity profit of a free ride consisting of R&D efficiency, market volatility, and the R&D cost. Third, the firm can cooperate if it observes that the opportunity profit of a free ride for its rivalry is less than a certain threshold and undertakes no cooperation otherwise.
Author Contributions
Conceptualization, Q.H., Q.Y. and C.W.; Methodology, Q.H., Y.L., Q.Y. and C.W.; Writing—original draft, Q.H. and C.W.; Writing—review and editing, Q.H., Y.L. and Q.Y. All authors have read and agreed to the published version of the manuscript.
Funding
This research was funded by “the Fundamental Research Funds for the Central Universities (WUT: 2022VI002-03)”.
Institutional Review Board Statement
Not applicable.
Informed Consent Statement
Not applicable.
Data Availability Statement
All data presented in this article are available upon request from the corresponding author.
Conflicts of Interest
The authors declare no conflict of interest.
References
- Li, S.; Cai, H. Government incentive impacts on private investment behaviors under demand uncertainty. Transp. Res. Part E: Logist. Transp. Rev. 2017, 101, 115–129. [Google Scholar] [CrossRef]
- Cabon-Dhersin, M.L.; Ramani, S.V. Does trust matter for R&D cooperation? A game theoretic examination. Theory Decis. 2004, 57, 143–180. [Google Scholar]
- Villani, G.; Biancardi, M. Competition and strategic alliance in R&D investments: A real option game approach with multiple experiments. J. Econ. Interact. Coord. 2022, 17, 63–86. [Google Scholar]
- Odening, M.; Musshoff, O.; Hirschauer, N.; Balmann, A. Investment under uncertainty—Does competition matter? J. Econ. Dyn. Control. 2007, 3, 994–1014. [Google Scholar] [CrossRef]
- Azevedo, A.; Paxson, D. Developing real option game models. Eur. J. Oper. Res. 2014, 237, 909–920. [Google Scholar] [CrossRef]
- d’Aspremont, C.; Jacquemin, A. Cooperative and noncooperative R&D in duopoly with spillovers. Am. Econ. Rev. 1988, 78, 1133–1137. [Google Scholar]
- Belderbos, R.; Carree, M.; Diederen, B.; Lokshin, B.; Veugelers, R. Heterogeneity in R&D cooperation strategies. Int. J. Ind. Organ. 2004, 22, 1237–1263. [Google Scholar]
- Harsanyi, J.C.; Selten, R. A General Theory of Equilibrium Selection in Games; MIT Press Books: Cambridge, MA, USA, 1988; p. 1. [Google Scholar]
- Salimi, N.; Rezaei, J. Evaluating firms’ R&D performance using best worst method. Eval. Program Plan. 2018, 66, 147–155. [Google Scholar]
- Eilat, H.; Golany, B.; Shtub, A. R&D project evaluation: An integrated DEA and balanced scorecard approach. Omega 2008, 36, 895–912. [Google Scholar]
- Cheng, C.H.; Liou, J.J.; Chiu, C.Y. A consistent fuzzy preference relations based ANP model for R&D project selection. Sustainability 2017, 9, 1352. [Google Scholar]
- Suzumura, K. Cooperative and noncooperative R&D in an oligopoly with spillovers. Am. Econ. Rev. 1992, 82, 1307–1320. [Google Scholar]
- Kamien, M.I.; Muller, E.; Zang, I. Research joint ventures and R&D cartels. Am. Econ. Rev. 1992, 82, 1293–1306. [Google Scholar]
- Zeng, D.; Xu, L.; Bi, X. Effects of asymmetric knowledge spillovers on the stability of horizontal and vertical R&D cooperation. Comput. Math. Organ. Theory 2017, 23, 32–60. [Google Scholar]
- Wu, Y.; Zhang, X.; Chen, J. Cooperation of green R&D in supply chain with downstream competition. Comput. Ind. Eng. 2021, 160, 107571. [Google Scholar]
- Yang, F.; Kong, J.; Liu, T.; Ang, S. Cooperation and coordination in green supply chain with R&D uncertainty. J. Oper. Res. Soc. 2022, 73, 481–496. [Google Scholar]
- Cabon-Dhersin, M.L.; Ramani, S.V. Opportunism, trust and cooperation: A game theoretic approach with heterogeneous agents. Ration. Soc. 2007, 19, 203–228. [Google Scholar] [CrossRef]
- Dickson, P.H.; Weaver, K.M.; Hoy, F. Opportunism in the R&D alliances of SMES: The roles of the institutional environment and SME size. J. Bus. Ventur. 2006, 21, 487–513. [Google Scholar]
- Xu, L.; Liang, D.; Duan, Z.; Xiao, X. Stability analysis of R&D cooperation in a supply chain. Math. Probl. Eng. 2015, 2015, 409286. [Google Scholar]
- Conti, C.; Marini, M.A. Are you the right partner? R&D agreement as a screening device. Econ. Innov. New Technol. 2019, 28, 243–264. [Google Scholar]
- Ramsza, M.; Karbowski, A.; Platkowski, T. Process R&D investment and social dilemmas. J. Ind. Bus. Econ. 2021, 48, 315–336. [Google Scholar]
- Banerjee, P.; Dutta, S. The effect of political risk on investment decisions. Econ. Lett. 2022, 212, 110301. [Google Scholar] [CrossRef]
- Delaney, L. The impact of operational delay on irreversible investment under Knightian uncertainty. Econ. Lett. 2022, 215, 110494. [Google Scholar] [CrossRef]
- Hoang, K.; Tran, T.T. Policy uncertainty and intellectual capital investment. Appl. Econ. Lett. 2022, 15, 1369–1377. [Google Scholar] [CrossRef]
- Yang, M.; Zhang, T.; Wang, C. The optimal e-commerce sales mode selection and information sharing strategy under demand uncertainty. Comput. Ind. Eng. 2021, 162, 107718. [Google Scholar] [CrossRef]
- Baum, C.F.; Caglayan, M.; Talavera, O. On the investment sensitivity of debt under uncertainty. Econ. Lett. 2010, 1, 25–27. [Google Scholar] [CrossRef]
- Aven, T.; Renn, O. On risk defined as an event where the outcome is uncertain. J. Risk Res. 2009, 121, 1–11. [Google Scholar] [CrossRef]
- Klinke, A. Public understanding of risk and risk governance. J. Risk Res. 2021, 24, 2–13. [Google Scholar] [CrossRef]
- Dixit, A.K.; Pindyck, R.S. Investment under Uncertainty; Princeton University Press: Princeton, NJ, USA, 1994. [Google Scholar]
- Campa, J.M. Entry by foreign firms in the United States under exchange rate uncertainty. Rev. Econ. Stat. 1993, 75, 614–622. [Google Scholar] [CrossRef]
- von Kalckreuth, U. Exploring the role of uncertainty for corporate investment decisions in Germany. Schweiz. Z. Volkswirtsch. Und Stat./Swiss J. Econ. Stat. 2003, 139, 173–206. [Google Scholar]
- Drozdowski, G. Economic calculus qua an instrument to support sustainable development under increasing risk. J. Risk Financ. Manag. 2021, 14, 15. [Google Scholar] [CrossRef]
- Smets, F.R. Essays on Foreign Direct Investment; Yale University: New Haven, CT, USA, 1993. [Google Scholar]
- Bouis, R.; Huisman KJ, M.; Kort, P.M. Investment in oligopoly under uncertainty: The accordion effect. Int. J. Ind. Organ. 2009, 27, 320–331. [Google Scholar] [CrossRef]
- Ko, C.C.; Lin, T.T.; Yang, C. The venture capital entry model on game options with jump-diffusion process. Int. J. Prod. Econ. 2011, 134, 87–94. [Google Scholar] [CrossRef]
- Leung, C.M.; Kwok, Y.K. Real options game models of R&D competition between asymmetric firms with spillovers. Decis. Econ. Financ. 2016, 39, 259–291. [Google Scholar]
- Martzoukos, S.H.; Zacharias, E. Real option games with R&D and learning spillovers. Omega 2013, 41, 236–249. [Google Scholar]
- Sun, W.; Zhao, Y.; MacLean, L. Real Options in a duopoly with jump diffusion prices. Asia-Pac. J. Oper. Res. 2021, 38, 2150009. [Google Scholar] [CrossRef]
- Anzilli, L.; Villani, G. Real R&D options under fuzzy uncertainty in market share and revealed information. Fuzzy Sets Syst. 2022, 434, 117–134. [Google Scholar]
- Trigeorgis, L.; Tsekrekos, A.E. Real options in operations research: A review. Eur. J. Oper. Res. 2018, 270, 1–24. [Google Scholar] [CrossRef]
- McDonald, R.L.; Siegel, D.R. Investment and the valuation of firms when there is an option to shut down. Int. Econ. Rev. 1985, 28, 331–349. [Google Scholar] [CrossRef]
- Carr, P. The valuation of sequential exchange opportunities. J. Financ. 1988, 43, 1235–1256. [Google Scholar] [CrossRef]
- Dias, M.A.G. Real options, learning measures, and Bernoulli revelation processes. In Proceedings of the 9th Annual International Conference on Real Options, Paris, France, 23–25 June 2005. [Google Scholar]
- Van Huyck, J.B.; Battalio, R.C.; Beil, R.O. Tacit coordination games, strategic uncertainty, and coordination failure. Am. Econ. Rev. 1990, 80, 234–248. [Google Scholar]
- Villani, G. An R&D investment game under uncertainty in real option analysis. Comput. Econ. 2008, 32, 199–219. [Google Scholar]
Disclaimer/Publisher’s Note: The statements, opinions and data contained in all publications are solely those of the individual author(s) and contributor(s) and not of MDPI and/or the editor(s). MDPI and/or the editor(s) disclaim responsibility for any injury to people or property resulting from any ideas, methods, instructions or products referred to in the content. |
© 2022 by the authors. Licensee MDPI, Basel, Switzerland. This article is an open access article distributed under the terms and conditions of the Creative Commons Attribution (CC BY) license (https://creativecommons.org/licenses/by/4.0/).







