Sensitivity Analysis of Factors Affecting the Stability of Deep Buried Tunnel
Abstract
:1. Introduction
2. Numerical Simulation
2.1. Model Parameters
2.2. Calculation Scheme
3. Results
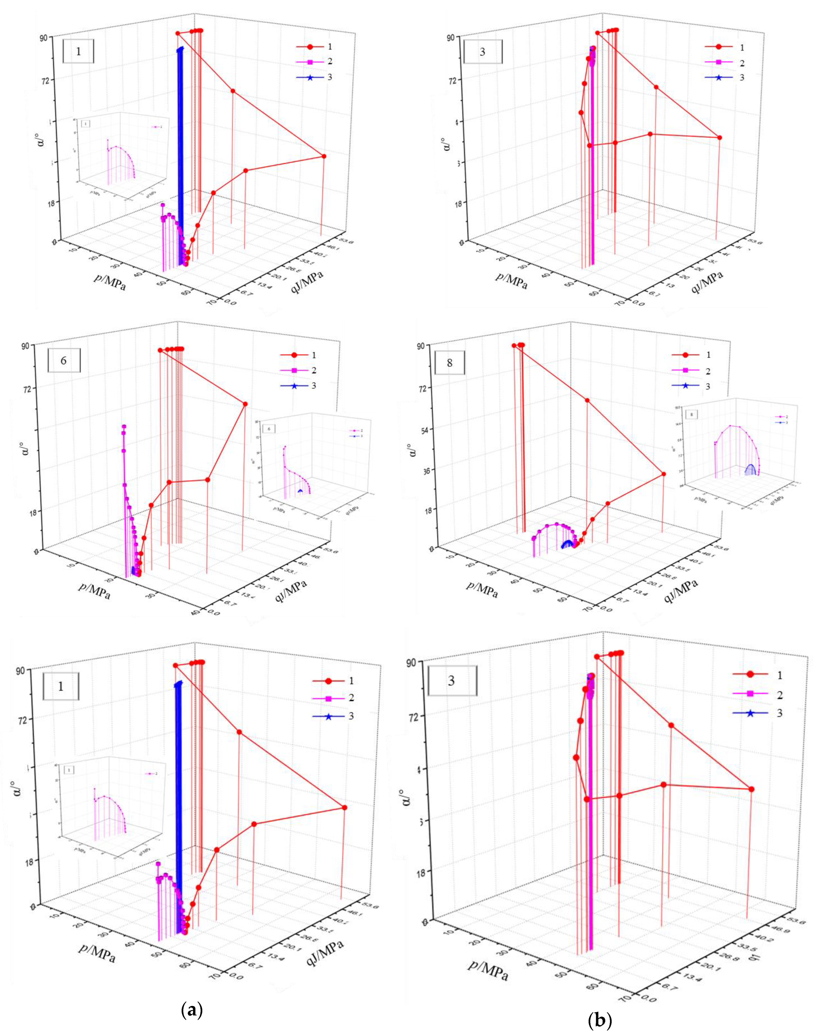
3.1. Distribution of the Stress of the Surrounding Rock
3.1.1. Along the Excavation Direction
3.1.2. Along the Depth Direction
3.2. Distribution of Surrounding Rock Plastic Zones
4. Discussion
4.1. Stress Distribution Characteristics of Surrounding Rocks
4.1.1. Partition of Surrounding Rock
4.1.2. Evolution of the Stress Path of Surrounding Rock
4.2. Sensitivity Analysis of Influencing Factors of Stress State of Surrounding Rock
5. Conclusions
- In the process of tunnel excavation, the surrounding rock stress field redistributes in both the excavation and depth direction, among which the stress magnitude and orientation change significantly.
- The surrounding rock of the tunnel was divided into a stress mutation area (0.5D~2D), perturbation area (2D~4D), and stability area (exceed 4D), with the peak and stable value of stress triaxiality as the critical point, which can reflect the influence of the principal stress orientation.
- The evolution law of the stress path of the surrounding rock in different regions was proposed, which can realize the simulation of the stress magnitude and orientation of the surrounding rock by considering the tunnel excavation disturbance in the laboratory test.
- The sensitivity of each factor was evaluated with the range coefficient and standard deviation coefficient of five target variables. The lateral pressure coefficient is a key factor affecting the peak value Rσ and the critical value H/D of the surrounding rock stress mutation area. The vertical displacement, stress ratio, and plastic zone distribution are most significantly affected by the tunnel’s buried depth.
Author Contributions
Funding
Institutional Review Board Statement
Informed Consent Statement
Data Availability Statement
Conflicts of Interest
References
- Abel, J.F.; Lee, F.T. Stress changes ahead of an advancing tunnel. Int. J. Rock Mech. Min. Sci. Geomech. Abstr. 1973, 10, 673–697. [Google Scholar] [CrossRef]
- Hoek, E.; Brown, E.T. Underground Excavations in Rock; The Institution of Mining and Metallurgy: London, UK, 1980. [Google Scholar]
- Kelsall, P.; Case, J.; Chabannes, C. Evaluation of excavation-induced changes in rock permeability. Int. J. Rock Mech. Min. Sci. Geomech. Abstr. 1984, 21, 123–135. [Google Scholar] [CrossRef]
- Diederichs, M.S.; Kaiser, P.K.; Eberhardt, E. Damage initiation and propagation in hard rock during tunnelling and the influence of near-face stress rotation. Int. J. Rock Mech. Min. Sci. 2004, 41, 785–812. [Google Scholar] [CrossRef]
- Read, R.S. 20 years of excavation response studies at AECL’s underground research laboratory. Int. J. Rock Mech. Min. Sci. 2004, 8, 1251–1275. [Google Scholar] [CrossRef]
- Martino, J.; Chandler, N. Excavation-induced damage studies at the Underground Research Laboratory. Int. J. Rock Mech. Min. Sci. 2004, 41, 1413–1426. [Google Scholar] [CrossRef]
- Bizjak, K.F.; Petkovšek, B. Displacement analysis of tunnel support in soft rock around a shallow highway tunnel at Golovec. Eng. Geol. 2004, 75, 89–106. [Google Scholar] [CrossRef]
- Malmgren, L.; Saiang, D.; Töyrä, J.; Bodare, A. The excavation disturbed zone (EDZ) at Kiirunavaara mine, Sweden-by seismic measurements. J. Appl. Geophys. 2007, 61, 1–15. [Google Scholar] [CrossRef]
- Ding, X.; Niu, X.; Pei, Q.; Huang, S.; Zhang, Y.; Zhang, C. Stability of large underground caverns excavated in layered rock masses with steep dip angles: A case study. Bull. Eng. Geol. Environ. 2019, 78, 5101–5133. [Google Scholar] [CrossRef]
- Liang, Z.; Xue, R.; Xu, N.; Dong, L.; Zhang, Y. Analysis on microseismic characteristics and stability of the access tunnel in the main powerhouse, Shuangjiangkou hydropower station, under high in situ stress. Bull. Eng. Geol. Environ. 2020, 79, 3231–3244. [Google Scholar] [CrossRef]
- Li, X.; Chen, J.; Ma, C.; Huang, L.; Li, C.; Zhang, J.; Zhao, Y. A novel in-situ stress measurement method incorporating non-oriented core ground re-orientation and acoustic emission: A case study of a deep borehole. Int. J. Rock Mech. Min. Sci. 2022, 152, 105079. [Google Scholar] [CrossRef]
- Li, Z.; Liu, H.; Dai, R.; Su, X. Application of numerical analysis principles and key technology for high fidelity simulation to 3-D physical model tests for underground caverns. Tunn. Undergr. Space Technol. 2005, 20, 390–399. [Google Scholar] [CrossRef]
- Zhu, W.; Zhang, Q.; Zhu, H.; Li, Y.; Yin, J.; Li, S.; Sun, L.; Zhang, L. Large-scale geomechanical model testing of an underground cavern group in a true three-dimensional (3-D) stress state. Can. Geotech. J. 2010, 47, 935–946. [Google Scholar] [CrossRef]
- Zhu, W.; Li, Y.; Li, S.; Wang, S.; Zhang, Q. Quasi-three dimensional physical model tests on a cavern complex under high in-situ stresses. Int. J. Rock Mech. Min. Sci. 2011, 48, 199–209. [Google Scholar]
- Sagong, M.; Park, D.; Yoo, J.; Lee, J. Experimental and numerical analyses of an opening in a jointed rock mass under biaxial compression. Int. J. Rock Mech. Min. 2011, 48, 1055–1067. [Google Scholar] [CrossRef]
- Lin, P.; Liu, H.; Zhou, W. Experimental study on failure behaviour of deep tunnels under high in-situ stresses. Tunn. Undergr. Space Technol. 2015, 46, 28–45. [Google Scholar] [CrossRef]
- Chen, K. Research on Failure Evolution and Control Mechanism of Surrounding Rock of Deep Roadways and Its Application; China University of Mining and Technology: Xuzhou, China, 2009. (In Chinese) [Google Scholar]
- Zhu, G.Q.; Feng, X.T.; Zhou, Y.Y.; Li, Z.W.; Fu, L.J.; Xiong, Y.R. Physical Model Experimental Study on Spalling Failure Around a Tunnel in Synthetic Marble. Rock Mech. Rock Eng. 2020, 53, 909–926. [Google Scholar] [CrossRef]
- Zhang, Q.; Liu, C.; Duan, K.; Zhang, Z.; Xiang, W. True three-dimensional geomechanical model tests for stability analysis of surrounding rock during the excavation of a deep underground laboratory. Rock Mech. Rock Eng. 2020, 53, 517–537. [Google Scholar] [CrossRef]
- Zhu, Q.; Li, T.; Ran, J.; Du, Y.; Zhang, H.; Jiang, H. Model test on creep deformation and failure characteristics of soft rock roadways. Eng. Fail. Anal. 2022, 141, 106670. [Google Scholar] [CrossRef]
- Gong, F.Q.; Si, X.F.; Li, X.B.; Wang, S.Y. Experimental investigation of strain rockburst in circular caverns under deep three-dimensional high-stress conditions. Rock Mech. Rock Eng. 2019, 52, 1459–1474. [Google Scholar] [CrossRef]
- Zhang, Q.Y.; Zhang, Y.; Duan, K.; Liu, C.C.; Miao, Y.S.; Wu, D. Large-scale geo-mechanical model tests for the stability assessment of deep underground complex under true-triaxial stress. Tunn. Undergr. Space Technol. 2019, 83, 577–591. [Google Scholar] [CrossRef]
- Jiang, J.; Feng, X.-T.; Yang, C.; Su, G. Failure characteristics of surrounding rocks along the radial direction of underground excavations: An experimental study. Eng. Geol. 2021, 281, 105984. [Google Scholar] [CrossRef]
- Eberhard, T. Numerical modelling of three-dimension stress rotation ahead of an advancing tunnel face. Int. J. Rock Mech. Min. Sci. 2001, 38, 499–518. [Google Scholar] [CrossRef]
- Cai, M.; Kaiser, P. Assessment of excavation damaged zone using a micromechanics model. Tunn. Undergr. Space Technol. 2005, 20, 301–310. [Google Scholar] [CrossRef]
- Chen, Y.-F.; Zheng, H.-K.; Wang, M.; Hong, J.-M.; Zhou, C.-B. Excavation-induced relaxation effects and hydraulic conductivity variations in the surrounding rocks of a large-scale underground powerhouse cavern system. Tunn. Undergr. Space Technol. 2015, 49, 253–267. [Google Scholar] [CrossRef]
- Meng, Q.; Han, L.; Xiao, Y.; Li, H.; Wen, S.; Zhang, J. Numerical simulation study of the failure evolution process and failure mode of surrounding rock in deep soft rock roadways. Int. J. Rock Mech. Min. Sci. 2016, 26, 209–221. [Google Scholar] [CrossRef]
- Chen, L.; Jin, A.; Wu, S.; Chu, C.; Li, X. Numerical study on spalling failure of rock surrounding deep buried tunnel based on DEM. Comput. Geotech. 2022, 145, 104653. [Google Scholar] [CrossRef]
- Jiang, Y.; Zhou, H.; Lu, J.; Gao, Y.; Zhang, C.; Chen, J. Analysis of Stress Evolution Characteristics during TBM excavation in Deep Buried Tunnels. Bull. Eng. Geol. Environ. 2019, 78, 5177–5194. [Google Scholar] [CrossRef]
- Zhou, H.; Gao, Y.; Zhang, C.; Yang, F.; Hu, M.; Liu, H.; Jiang, Y. A 3D model of coupled hydro-mechanical simulation of double shield TBM excavation. Tunn Undergr Space Technol. 2018, 71, 1–14. [Google Scholar] [CrossRef]
- Qi, C.Z.; Qian, Q.H.; Wang, M.Y.; Luo, J. Advance in investigation of zonal disintegration phenomenon. J. PLA Univ. Sci. Technol. (Nat. Sci. Ed. ) 2011, 12, 472–479. (In Chinese) [Google Scholar]
- Qian, Q.H.; Li, S.C. A Review of research on zonal disintegration phenomenon in deep rock mass engineering. Chin. J. Rock Mech. Eng. 2008, 27, 1278–1284. (In Chinese) [Google Scholar]
- Zhou, H.; Jiang, Y.; Lu, J.; Gao, Y.; Chen, J. Development of a hollow cylinder torsional apparatus for rock. Rock Mech. Rock Eng. 2018, 51, 3845–3852. [Google Scholar] [CrossRef]










| Parameters of Surrounding Rock | Value |
|---|---|
| Young’s modulus, E/GPa | 18.9 |
| Poisson’s ratio, υ | 0.23 |
| Intact cohesion, c/MPa | 15.6 |
| Intact friction angle, φi/° | 25.8 |
| Uniaxial compression strength, σc/MPa | 49.7 |
| Tensile strength, σt/MPa | 1.5 |
| Density, ρ/kg/m3 | 2630 |
| Residual cohesion, cres/MPa | 7.4 |
| Residual friction angle, φres/° | 39 |
| Equivalent plastic strain threshold for cohesion,/MPa | 0.45 |
| Equivalent plastic strain threshold for friction angle, /° | 0.9 |
| The internal variable corresponding to the residual internal friction, κφ | 0.6 |
| Group | Factor | Scheme | Model Parameters |
|---|---|---|---|
| Ⅰ | In-situ stress direction | 1 | along the Z direction ( |
| 2 | along the X direction ( | ||
| 3 | along the Y direction ( | ||
| Ⅱ | Rockmass type | 1 | Ⅰ~Ⅱ |
| 4 | Ⅱ | ||
| 5 | Ⅱ~Ⅲ | ||
| Ⅲ | Tunnel buried depth | 1 | 2500 m |
| 6 | 1000 m | ||
| 7 | 3000 m | ||
| Ⅳ | Lateral pressure coefficient | 1 | λx = λy = 0.78 |
| 8 | λx = λy = 0.5 | ||
| 9 | λx = λy = 1.5 |
Disclaimer/Publisher’s Note: The statements, opinions and data contained in all publications are solely those of the individual author(s) and contributor(s) and not of MDPI and/or the editor(s). MDPI and/or the editor(s) disclaim responsibility for any injury to people or property resulting from any ideas, methods, instructions or products referred to in the content. |
© 2022 by the authors. Licensee MDPI, Basel, Switzerland. This article is an open access article distributed under the terms and conditions of the Creative Commons Attribution (CC BY) license (https://creativecommons.org/licenses/by/4.0/).
Share and Cite
Jiang, Y.; Zou, W. Sensitivity Analysis of Factors Affecting the Stability of Deep Buried Tunnel. Sustainability 2023, 15, 381. https://doi.org/10.3390/su15010381
Jiang Y, Zou W. Sensitivity Analysis of Factors Affecting the Stability of Deep Buried Tunnel. Sustainability. 2023; 15(1):381. https://doi.org/10.3390/su15010381
Chicago/Turabian StyleJiang, Yue, and Wendong Zou. 2023. "Sensitivity Analysis of Factors Affecting the Stability of Deep Buried Tunnel" Sustainability 15, no. 1: 381. https://doi.org/10.3390/su15010381
APA StyleJiang, Y., & Zou, W. (2023). Sensitivity Analysis of Factors Affecting the Stability of Deep Buried Tunnel. Sustainability, 15(1), 381. https://doi.org/10.3390/su15010381
