Abstract
In this study, novel chitosan/silica composites with different mass ratios were prepared by in-situ hydrolysis using chitosan (from shrimp shell) as a carrier, triblock copolymer (P123) as the structure-directing agent, and ethyl orthosilicate as a silicon source. These nanocomposites were characterized by different techniques, including the FT-IR, XRD, TGA, SEM, TEM and N2 adsorption–desorption. The results indicated that the morphology and properties of composites changed with the introduction of silica. When the CS/TEOS mass ratio was 0.0775, the CS−2/SiO2 composite displayed a coral-like three-dimensional porous structure with specific surface area of 640.37 m2/g and average pore size of 1.869 nm. The adsorption properties for methylene blue (MB) were investigated as well and the CS−2/SiO2 showed better adsorption performance. The removal rate for MB reached 94.01% with absorbents dosage of 6 g/L, initial concentration of 40 mg/L, initial pH value of 7, temperature of 35 °C, and adsorption time of 40 min. The adsorption process well fitted the Langmuir isothermal model and quasi-second-order adsorption kinetics model. The maximum adsorption capacity for MB was 13.966 mg/g based on Langmuir fitting. The surface functional groups of the composites can play an important role in the adsorption. The adsorption mechanism of CS−2/SiO2 on MB involved electrostatic interaction, hydrogen bonding and functional group complexation. In addition, the prepared chitosan/silica composites showed good reusability at six cycles, making them a promising material in the application of removing dyeing wastewater.
1. Introduction
With the rapid development of aquaculture and the seafood processing industry, a large amount of seafood waste is produced globally every year. Unfortunately, these sustainable biological resources (such as crab, shrimp and lobster shells) are often discarded as waste directly without treatment, resulting in a great waste of biomass and environmental pollution in coastal areas [1]. Currently, recycling and utilization of seafood wastes in the aquatic processing industry are still in the stage of rough processing and simple utilization, most of which are converted into low value-added products such as animal feed or composted to be used as fertilizers. Such low economic benefits directly restrict the utilization of these resources [2]. Chitin, a polysaccharide composed of the N-acetyl-D-glucosamine units, is the second largest biomolecular resource in nature after cellulose, which is found mainly in fungi, plankton, insect exoskeletons and crustacean shells (contains chitin up to about 30% of its volume) [3]. As the most promising abundant polysaccharide biopolymer material, it can be widely used in many fields such as the chemical industry, medicine, food and the environment [4]. Therefore, the extraction of chitin from shrimp and crab shells waste, and then deep processing of chitin to obtain a variety of chitin-derived products, is undoubtedly the development direction of shrimp and crab shell waste resources [5].
Chitosan, obtained by partial or complete deacetylation of chitin, is a natural and renewable biological resource with degradability and good biocompatibility [6,7]. Due to the presence of amino (-NH2) groups at C-2 positions, chitosan is the only natural polysaccharide with positive charge which differentiates it from others, such as chitin and cellulose [8]. Moreover, because of its unique physicochemical properties and biological functions, chitosan can effectively adsorb and capture pollutants such as ammonia nitrogen, dyes and heavy metal ions to form stable chelates [9,10,11]. Consequently, the application of chitosan as an attractive adsorbent would be a low-cost, sustainable and environmentally friendly technology in water purification or contaminant removal [12]. However, there are many disadvantages when using chitosan directly as an adsorbent, such as poor chemical resistance, low mechanical strength, low specific surface area, low solubility in acidic mediums, difficulty in separation, and lack of selectivity, which greatly affect the removal efficiency of pollutants [13]. In order to obtain chitosan-based materials with superior adsorption performance, most of the literature adopts the crosslinking method or compound formation to improve chemical stability and mechanical strength [14,15,16,17].
Organic/inorganic hybrid composite functional materials are one of the hot spots in the research and application of materials science. This kind of material not only has the flexibility and easy modification of organic matter, but also has the rigidity and stability of inorganic matter [18]. Silica is the most representative porous inorganic material, which is widely used in rubber, pesticide, paper making, plastic processing and other industries because of its advantages of high specific surface area, large pore volume, diversified pore structure and many modification methods [19,20,21]. Recently, various technologies for these hybrid materials of silica and chitosan for versatile uses have been reported. These results show that the hybrid material has high selectivity and capacity, exhibiting fast kinetics [22,23]. Tetyana et al. described the synthesis of the chitosan–silica nanocomposite by sol–gel method, and the obtained nanocomposite was used in the adsorption of highly toxic metals [24]. Ahmed et al. synthesized an ionic chitosan/silica nanocomposite and used the resulting composite as an adsorbent to remove methylene blue from wastewater [25]. Magdalena et al. described adsorption of sulfonated azo dyes by chitosan–silica hybrid composites [26]. In addition, with the number of publications on this particular topic has increased, there is a significant interest in the development of novel chitosan/silica nanocomposites and in systematic studies of their ability to remove pollutants from wastewater [27,28].
In this paper, novel coral-like chitosan/silica (CS/SiO2) porous composites with micro/nano structure were prepared by in-situ hydrolysis using chitosan as carrier, triblock copolymer (P123) as the structure-directing agent, and ethyl orthosilicate as the silicon source. Taking methylene blue as a model pollutant, the adsorption behavior of CS/SiO2 to methylene blue in aqueous solution under different conditions was investigated, and the kinetics of adsorption process and isothermal adsorption model were studied, which provided a set of parameters for reference in the engineering application of this kind of composite material.
2. Materials and Methods
2.1. Materials
Chitosan ((C6H11NO4)n, degree of deacetylation = 85%, obtained from shrimp shells), tetraethyl orthosilicate (TEOS, 98%), nonionic triblock copolymer pluronic P123 (EO20PO70EO20, Mw = 5800), hydrochloric acid (HCl, 37%), sodium hydroxide (NaOH, 96%), acetic acid (CH3COOH, 99.5%), ethanol (EtOH, 99.7%), normal butyl alcohol (n-BuOH, 99.5%) and methylene blue (MB, C16H18ClN3S, 98%) were purchased from Sinopharm Chemical Reagent Co., Ltd., Shanghai, China. All chemicals used in this study were analytical grade reagents and all solutions were prepared in ultrapure water.
2.2. Preparation of Samples
A total of 6 g P123 was dissolved in 10 mL concentrated hydrochloric acid and 170 mL deionized aqueous solution, stirred for 1 h until P123 was dissolved and formed a transparent solution, then 6 g n-butanol added to the solution and stirred for 1 h, and then the solution was placed in a water bath at 35 °C. A certain amount of ethyl orthosilicate was slowly added to the solution and stirred for 2 h. The above mentioned precursor droplets were added to 50 g 2% chitosan solution (dissolved in 1% acetic acid solution). The reaction continued at 35 °C for 22 h, then was transferred to an autoclave reactor for hydrothermal treatment at 100 °C for 24 h. After filtration, alcohol washing was performed. After repeated washing with deionized water, the obtained powder was dried at 100 °C and calcined at 550 °C to remove the surfactant. The obtained samples were denoted as CS−1/SiO2, CS−2/SiO2, CS−3/SiO2, corresponding to various CS/TEOS mass ratios (0.0388, 0.0775 and 0.1550). The preparation condition of the SiO2 sample was the same as that for the CS−2/SiO2 sample, except that chitosan was not added.
2.3. Characterization
The X-ray diffraction patterns of powder samples were conducted using an X-ray diffractometer (Panalytical X’Pert3 XRD, Malvern Panalytical, Malvern, UK). The functional groups of the sample materials were obtained using Fourier transform infrared spectrophotometer (iS50, Thermo-Nicolet, Madison, WI, USA). N2 adsorption–desorption isotherms were collected on an adsorption analyzer (TriStar II, Micromeritics, Norcross, GA, USA). The thermal stability was recorded by using a thermal gravimetric analyzer (TG209F3, NETZSCH, Selb, Bayern, Germany). The morphological structure of the sample was visualized with scanning electron microscopy (Sigma-500, Carl Zeiss AG, Oberkochen, Germany) and transmission electron microscope (JEM-2100, JEOL, Tokyo, Japan). The MB concentration was detected by ultraviolet spectrophotometry (UV-2550, Shimadzu, Kyoto, Japan). The pH value of all solutions was measured with a digital pH meter (pH-3C, (Shanghai Lei Ci Device Works, Shanghai, China). The pH zero point charge (pHZPC) of the sample was examined using a solid addition method [29].
2.4. Adsorption Experiments
At room temperature, 10 mL methylene blue solution with a certain concentration was taken into a batch of conical flasks, and a certain mass of sample was added to the solution. The solution was oscillated at 200 r/min in a constant temperature oscillation chamber at 35 °C for a period of time. The supernatant was taken and filtered through a 0.45μm one-time membrane. The absorbance of water samples was measured by ultraviolet spectrophotometer, and the influence of sample on methylene blue adsorption was compared under different experimental conditions. The calculation was as follows:
where η is the removal rate of methylene blue, qt and qe are the exchange capacity of methylene blue at time t and equilibrium, respectively, ρ0, ρt and ρe are the mass concentration of methylene blue at time t and equilibrium, respectively, W is the mass of sample and V is the volume of solution.
3. Results and Discussion
3.1. Characteristics of Samples
3.1.1. X-ray Diffraction Analysis
The XRD analysis patterns of CS, SiO2, CS−1/SiO2, CS−2/SiO2 and CS−3/SiO2 were given in Figure 1a. The diffraction peaks of CS exhibit two diffraction peaks at 2θ = 10° and 20° which are the typical finger prints for chitosan powder. These two phases correspond to the hydrated crystallization and anhydrous crystallization of chitosan, respectively. The development of crystallinity in chitosan was due to the formation of hydrogen bonds between chains, and the crystalline form of chitosan changes with the conformation of chitosan [30]. The diffraction pattern of SiO2 shows no polycrystalline peak except of the broad one centered at 2θ = 23°, indicating that the SiO2 has an amorphous-crystalline structure. In the XRD patterns of CS−1/SiO2, CS−2/SiO2 and CS−3/SiO2, with the increase of silica content, the diffraction peak at 2θ = 10° disappears, the intensity of the diffraction peak at 2θ = 20° weakens and gradually shifts to 2θ = 23°. The addition of silica will partially destroy the hydrogen bond between chitosan molecules and thus affect the crystal structure of chitosan. In addition, due to the presence of free amino groups and the spontaneous hydrophobic action of acids, chitosan is in an unstable state of loose double helices composed of polysaccharide asymmetric units, providing a large number of growth sites for amorphous silica formation [31].
Figure 1.
(a) XRD pattern and (b) FT-IR spectra of CS, SiO2, CS−1/SiO2, CS−2/SiO2, CS−3/SiO2.
3.1.2. Fourier Transform Infrared Spectroscopy Analysis
The FT-IR spectrum of CS, SiO2, CS−1/SiO2, CS−2/SiO2 and CS−3/SiO2 was given in Figure 1b. It can be seen from Figure 1b that the absorption peak of pure chitosan at 3420, 1638, 1580, 1078 and 1031 cm−1 is obvious, among which the absorption peak at 3420 cm−1 is generated by the N-H stretching vibration of the amino group and the O-H stretching vibration of the hydroxyl group. The 1580 cm−1 is caused by C-O extension vibration and N-H bending vibration of amide group. The -CH stretching vibration absorption peaks at 2921 and 2872 cm−1, -NH at 1650 and 1593 cm−1, C-O stretching vibration absorption peaks at 1424 and 1325 cm−1, C-O skeleton vibration absorption peaks at 1086 and 1027 cm−1. In the FT-IR spectrum of SiO2, there is a wide absorption peak at 3440 cm−1, which is the characteristic absorption peak of Si-OH stretching vibration of silanol in SiO2. Si-OH is mainly formed by polycondensation of silicon hydrocarbon groups on the micelle surface of P123 in the synthesis process. The absorption peak of 1078 cm−1 corresponds to the asymmetric stretching vibration and bending vibration of the Si-O tetrahedral framework, and 815 cm−1 is attributed to the symmetric stretching vibration of Si-O-Si. The absorption peak of 471 cm−1 is also the characteristic absorption peak of SiO2. Compared with the Fourier transform infrared spectra of chitosan and SiO2, the CS−1/SiO2, CS−2/SiO2, CS−3/SiO2 composites showed a significant absorption peak at 3440, 2872, 1580, 1080, 812, 471 cm−1. Therefore, the FT-IR spectrum of the synthesized CS−1/SiO2, CS−2/SiO2, CS−3/SiO2 composite has the characteristic absorption peaks of chitosan and silica at the same time.
3.1.3. The N2 Adsorption–Desorption Isotherms and Pore Diameter Distribution Analysis
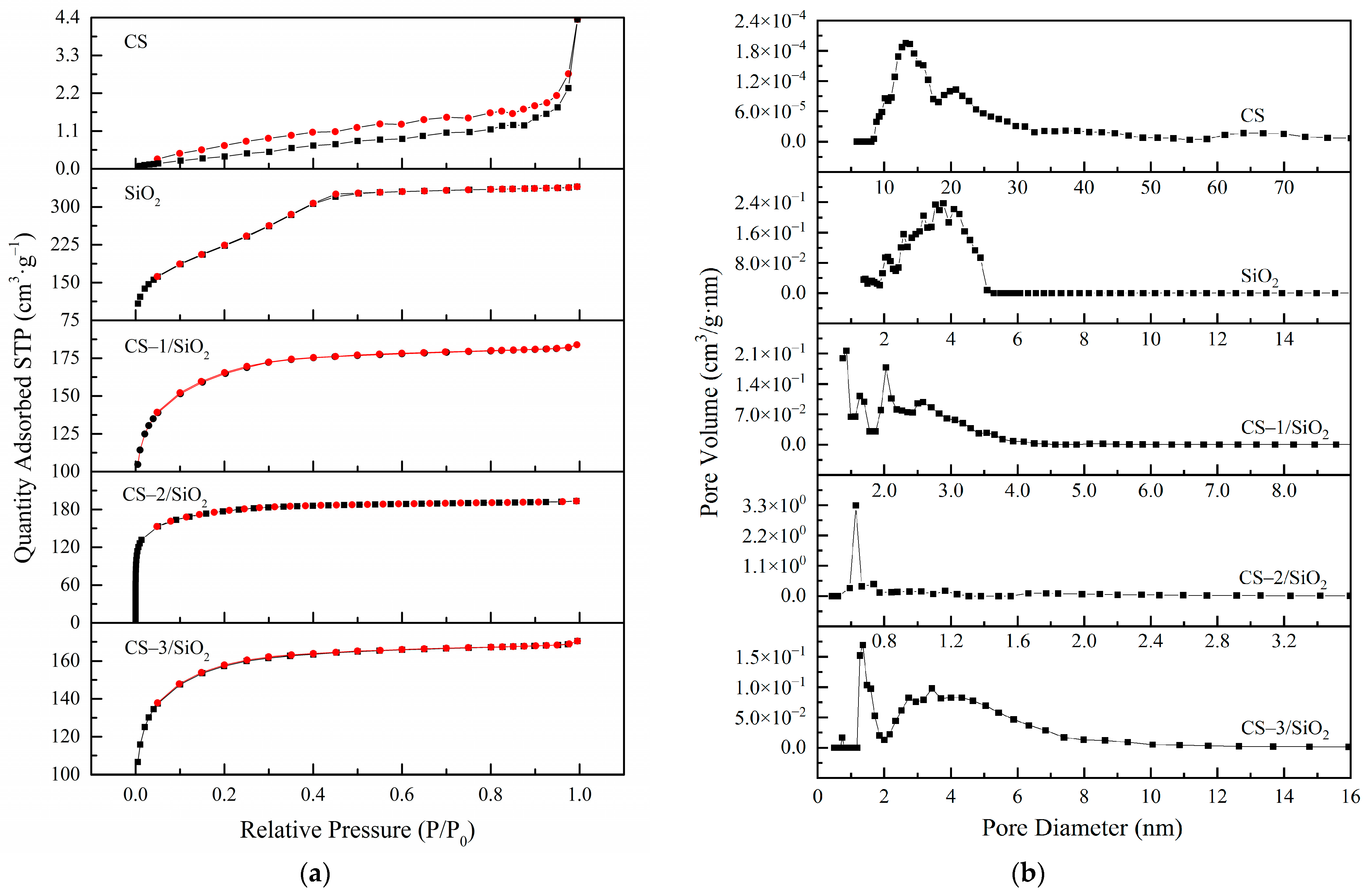
All powder samples were characterized by N2 adsorption–desorption. Figure 2a shows that the adsorption and desorption curves of chitosan do not coincide with each other, forming a hysteresis ring. This phenomenon occurs mostly in mesoporous adsorbents, which is caused by capillary condensation during the adsorption of porous solids. SiO2, CS−1/SiO2, CS−2/SiO2 and CS−3/SiO2 are classified as a typical I isotherm according to the IUPAC classification, Type I isotherm is characterized by the formation of a plateau, which is horizontal or nearly horizontal, indicating that the sample contains a large number of micropores. The initial part of the adsorption isotherm represents the micropore filling of the sample. For CS−2/SiO2, the adsorption equilibrium is basically achieved at a very low relative pressure (p/p0 < 0.1), which further indicates the existence of ultramicropores (pore width < 0.7 nm) in its structure. As the saturation pressure is reached, the isotherm shows a little tail and then intersects with p/p0 = 1, resulting from multilayer adsorption on non-microporous surfaces such as mesopores or macropores and external surfaces. The micropore areas and volume of all samples are achieved by the t-plot method. The Brunauer–Emmett–Teller (BET) surface area, total pore volume, and the average pore size are given in Table 1. SiO2 shows the highest specific surface area (813.16 m2/g), CS−1/SiO2, CS−2/SiO2 and CS−3/SiO2 have lower specific surface area (603.38, 640.37, 586.86 m2/g, respectively), The pure chitosan has wide pores and the lowest surface area (1.875 m2/g). Furthermore, the pore size distribution of samples was calculated according to the NLDFT model (Figure 2b). For CS−1/SiO2 and CS−3/SiO2 pore distributions are broad range with a complex size distribution (pore width = 1–4 nm and 1–8 nm, respectively), whereas for CS−2/SiO2 almost all pores are in the micropore and super-micropore range with a relatively uniform pore size distribution (pore width = 0.6–0.7 nm), corresponding to their nitrogen adsorption isotherm. All the results show that the addition of silica contributed significantly to the micropore formation and porosity of the composites. Under certain conditions, the increase of silica content is beneficial to the formation of uniform pore structure of the composite, but excessive silica content will cause agglomeration and reduce the specific surface area. Overall, the excellent methylene blue adsorption performance of samples can be mainly attributed to their rich microporous structure and large specific surface area.
Figure 2.
(a) N2 adsorption (black squares)/desorption (red circles) isotherms and (b) NLDFT pore diameter distribution curve of CS, SiO2, CS−1/SiO2, CS−2/SiO2, CS−3/SiO2.
Table 1.
Pore structure distribution of CS, SiO2, CS−1/SiO2, CS−2/SiO2 and CS−3/SiO2.
3.1.4. Thermogravimetric Analysis
In order to understand the thermal stability of the composite material and further verify whether there has been interaction between silica and chitosan, thermogravimetric analysis of the CS, SiO2, CS−1/SiO2, CS−2/SiO2, and CS−3/SiO2 composites was conducted, respectively, as shown in Figure 3. It can be seen that all curves have slight weight loss (about 4.5%) between 30 and 200 °C, which is caused by the evaporation of the trace amount of free and bound water contained in the samples. For SiO2, there is no obvious weight loss between 200 and 800 °C, the mass loss is only about 1.3%, which can be attributed to the weight loss of Si-O-Si bond on the silica molecule. For CS, CS−1/SiO2, CS−2/SiO2 and CS−3/SiO2, there is a significantly rapid weight loss (about 44.2%, 6.8%, 15.1%, 20.8%, respectively) between 200 and 350 °C, which can be attributed to the weight loss peak of C-C single bond, C-O single bond and C-N single bond decomposition in chitosan. When the dispersible SiO2 nanoparticles form a composite material with chitosan, the intermolecular hydrogen bonding force in the chitosan chain is weakened, and the thermal decomposition temperature of chitosan chain degradation in the composite material is reduced (Figure 3b). After 350 °C, the weight loss rate of the composite material slows down and the thermal stability is improved. It can be preliminarily considered that silica has grown onto the chitosan skeleton.
Figure 3.
TGA (a) and DTG (b) curves of CS, SiO2, CS−1/SiO2, CS−2/SiO2, CS−3/SiO2.
3.1.5. Morphology and Microstructural Analysis
The morphology of CS, SiO2, CS−1/SiO2, CS−2/SiO2 and CS−3/SiO2 were observed with SEM and TEM as shown in Figure 4. As can be seen from Figure 4a,b SEM and Figure 4 (c) TEM, the surface folds of pure chitosan, accompanied by a few holes, show a tight shape of polymeric fiber. The SEM (Figure 4d,e) and TEM (Figure 4f) of pure silica show that it is porous cube shape with smooth surface. The SEM (Figure 4g,h)) and TEM (Figure 4i) images of CS−1/SiO2 show that the composites have many irregular spheres with obvious particles and holes. From the SEM (Figure 4j,k) and TEM (Figure 4l) images of CS−2/SiO2, it can be clearly seen that CS−2/SiO2 composite presents porous coral-like micro/nano structure, and the pore size is in the nanometer range. This coral-like CS−2/SiO2 is composed of many irregular branches with numerous granular protrusions on its surface, which play an important role in the development of surface area and pore structure. The TEM (Figure 4i) image shows its morphological structure is a speckle pattern composed of irregular curved stripes and bright spots, without lattice stripes, which indicates a typical amorphous structure. The SEM (Figure 4m,n) and TEM (Figure 4o) images of CS−3/SiO2 composite show that SiO2 is deposited tightly on the surface of chitosan, forming a uniform silica nanoparticle layer locally. The differences in grain size and morphology of the composites are obvious. In the precursor solution, the alcohol hydroxyl group in chitosan can hydrogen-bond with TEOS. The presence of chitosan will increase the viscosity of the system, thus reducing the hydrolysis and crosslinking speed of silicon species, which is conducive to the generation of smaller silica particles. However, with the increase of TEOS content, excessive TEOS will continue to hydrolyze and polycondense after encountering the residual strong acid on the surface of crystal nucleus, resulting in secondary growth of primary crystal nucleus and agglomeration of nanoparticles. The SEM and TEM analysis results confirmed the conclusion from BET and XRD analyses.
Figure 4.
SEM images of CS (a,b), SiO2 (d,e), CS−1/SiO2 (g,h), CS−2/SiO2 (j,k), CS−3/SiO2 (m,n); TEM images of CS (c), SiO2 (f), CS−1/SiO2 (i), CS−2/SiO2 (l), CS−3/SiO2 (o).
3.2. Effect of Diverse Factors on the MB Dye Adsorption Process
3.2.1. Effect of Adsorbent Type
The adsorption properties of pure chitosan (CS), silica (SiO2) and composites with different mass ratios (CS−1/SiO2: 0.0388, CS−2/SiO2: 0.0775, CS−3/SiO2: 0.1550) of chitosan/TEOS were investigated. As can be seen from Figure 5, the adsorption capacity of SiO2 (5.231 mg/g) is higher than that of pure chitosan (1.110 mg/g); the amount of TEOS is a key factor determining the adsorption capacity of composite. When the mass ratio of chitosan/TEOS = 0.0775 (CS−2/SiO2), the highest removal rate is 94.01% and the adsorption capacity is 6.267 mg/g. However, when the mass ratio continues to increase, the adsorption capacity decreases, the adsorption capacity of CS−3/SiO2 is 4.512 mg/g. Therefore, according to the adsorption capacity and characterization of composite materials results, the best sample for further adsorption experiments is CS−2/SiO2.
Figure 5.
Effect of CS, SiO2, CS−1/SiO2, CS−2/SiO2 and CS−3/SiO2 on the adsorption of methylene blue (conditions: initial pH of 7; dose of 60 mg; initial CMB of 40 mg/L; V of 10 mL; contact time of 40 min; temperature of 35 °C).
3.2.2. Effect of Initial Solution pH
As a characteristic of adsorbent, pHZPC plays an important role in studying the interaction of particles in the solid–liquid adsorption process, and the pH of the dye solution is also critical to the adsorption capacity mechanisms [32,33]. Figure 6 shows the pHZPC data of CS−2/SiO2 composite (pHZPC = 6.9) and the methylene blue adsorption properties at different pH values (from 3 to 11). In Figure 6a, the adsorption rate of methylene blue increases with the increase of pH value. When the pH value is 5, the adsorption rate of methylene blue can reach about 93.6%, the adsorption capacity of CS−2/SiO2 is 6.241 mg/g. However, the adsorption rate of methylene blue basically remains unchanged when the pH value of the solution increases further. This indicates that the adsorption of methylene blue is favorable under neutral to weakly alkaline conditions. At the same time, this sample does not need to adjust the pH value and can achieve the best methylene blue adsorption effect. When the pH of the solution is low, the dimethyl amino group in the dye methylene blue is easy to protonate, and H+ in the solution will form a competitive adsorption relationship with methylene blue [34]. In addition, when the pH < pHZPC, a large amount of H+ will protonate the surface of the adsorbent and form electrostatic repulsion with methylene blue, resulting in reduced adsorption capacity of methylene blue. With the increase of pH > pHZPC, the electronegativity of the sample surface is enhanced, and the electrostatic adsorption between the sample and methylene blue is enhanced, which improves the adsorption effect of methylene blue. In this experiment, the optimal pH for CS−2/SiO2 adsorption of methylene blue in water is 7. At pH = 7 and reaction time 40 min, the removal rate of methylene blue can reach 95.04% (the adsorption capacity of is 6.370 mg/g), and the reaction equilibrium can be achieved in a short time.
Figure 6.
(a) The effect of initial pH on the adsorption of methylene blue (conditions: CS−2/SiO2 dose = 60 mg; initial CMB = 40 mg/L; V = 10 mL; contact time = 40 min; temperature = 35 °C); (b) pH zero-point charge for CS−2/SiO2 composite.
3.2.3. Effect of Temperature
The methylene blue adsorption properties of the CS−2/SiO2 composite at different temperatures (from 15 to 75 °C) were investigated under optimized experimental conditions (initial pH = 7, CS−2/SiO2 dose = 60 mg; initial CMB = 40 mg/L; V = 10 mL; contact time = 40 min). As can be seen from Figure 7a, when the adsorption temperature increased from 15 °C to 35 °C, the adsorption capacity increased, but the adsorption capacity changed little. This indicates that the increase of temperature accelerates the molecular motion, improves the adsorption rate, and increases the adsorption effect of CS−2/SiO2 on methylene blue. Therefore, at a certain temperature, the temperature rise is conducive to the adsorption process. However, the adsorption capacity decreased when the temperature continued to rise. High temperature will make part of the adsorbed methylene blue desorption, which indicates that the adsorption process is exothermic. When the temperature is 35 °C, the adsorption capacity is the highest, the removal rate is 91.54%, the adsorption capacity is 6.103 mg/g.

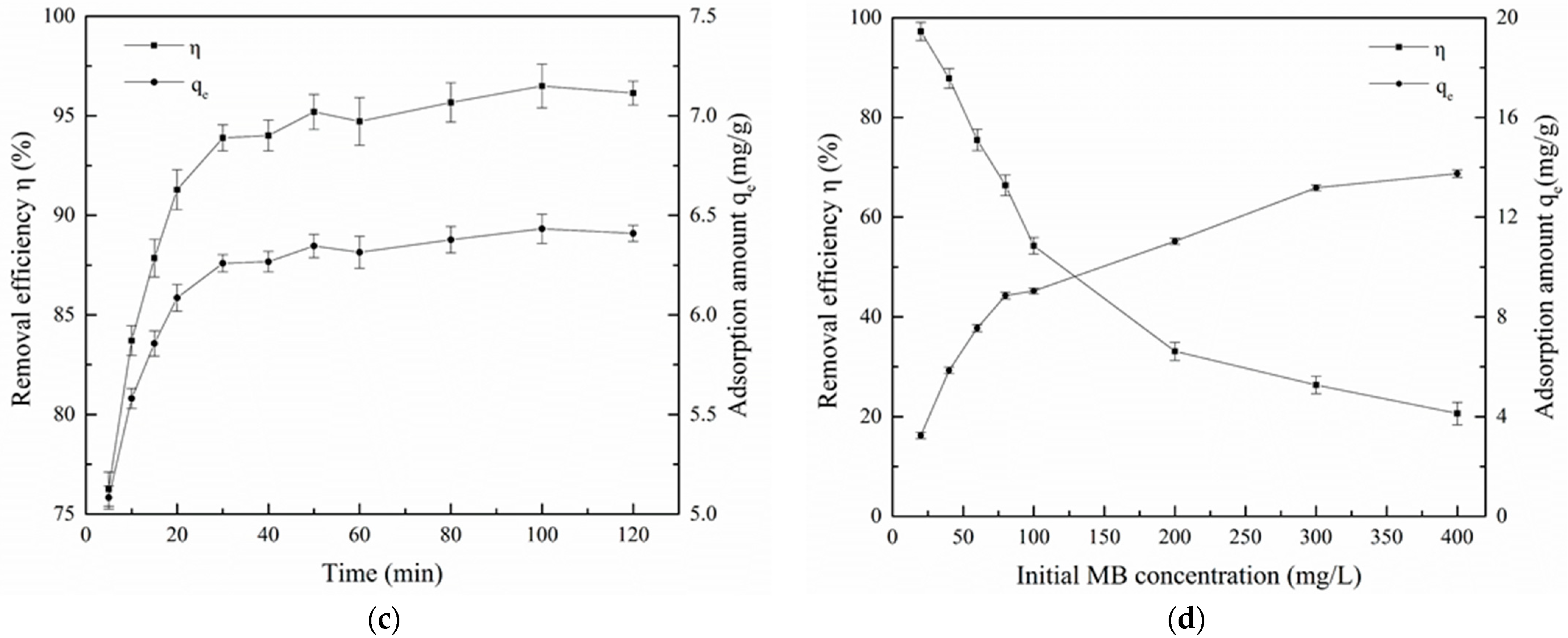
Figure 7.
(a) Effect of temperature on the adsorption of methylene blue; (b) The effect of adsorbant dose on the adsorption of methylene blue; (c) The effect of contact time on the adsorption of methylene blue; (d) The effect of initial concentration the adsorption of methylene blue.
3.2.4. Effect of CS−2/SiO2 Dosage
The methylene blue adsorption properties of the CS−2/SiO2 composite at different dose (from 2 to 12 g/L) were investigated under optimized experimental conditions (initial pH = 7; temperature: 35 °C; initial CMB = 40 mg/L; V = 10 mL; contact time = 40 min). As can be seen from Figure 7b, when CS−2/SiO2 dosage increases from 2 g/L to 12 g/L (dosage is 2, 4, 6, 8, 10 and 12 g/L in sequence), the removal efficiency of methylene blue by CS−2/SiO2 per unit mass increases from 56.07% to 98.48%. When CS−2/SiO2 dosage reached 6 g/L in the reaction process, the removal efficiency of methylene blue increased at a slower rate with the increase of dosage. When the dosage continued to increase to 6 g/L, the removal efficiency of methylene blue basically did not increase with the increase of CS−2/SiO2 dosage. The analysis of experimental results showed this may be due to the concentration of methylene blue solution and decreases as the adsorption reaction between solid phase and liquid phase mass transfer resistance becomes the main factor affecting the adsorption reaction. When the concentration of methylene blue solution gradually decreases, and cannot be overcome between solid phase and liquid phase mass transfer resistance, even continuing to increase in the volume of CS−2/SiO2 adding, providing more adsorption sites, the removal rate of methylene blue will not continue to increase. CS−2/SiO2 in this state is actually unsaturated.
3.2.5. Effect of Contact Time
The methylene blue adsorption properties of the CS−2/SiO2 composite at different time (from 0 to 120 min) were investigated under optimized experimental conditions (initial pH = 7; temperature: 35 °C; CS−2/SiO2 dose = 60 mg; initial CMB = 40 mg/L; V = 10 mL). The effect of reaction time on methylene blue removal rate is shown in Figure 7c. It can be seen from Figure 7c that CS−2/SiO2 adsorption of methylene blue is a rapid adsorption process. In the first 10 min of the reaction, the adsorption rate of CS−2/SiO2 to methylene blue increases gradually with time, and gradually becomes stable after 40 min of reaction. The removal rate of CS−2/SiO2 to methylene blue reaches 94.01%. This is because at the initial stage of the reaction, no methylene blue molecule is attached to the adsorption sites of CS−2/SiO2, and the high concentration of methylene blue in the solution at the initial stage of the reaction results in a high concentration gradient, so the adsorption rate of methylene blue is fast in the first 10 min, and the adsorption sites on CS−2/SiO2 are gradually filled up with the extension of the reaction time. The adsorption and desorption rates of methylene blue on CS−2/SiO2 are similar, and the reaction enters a state of dynamic equilibrium. At this point, it can be considered that CS−2/SiO2 reaches adsorption saturation, methylene blue removal rate is 94.01% (the adsorption capacity is 6.267 mg/g), and the adsorption time is 40 min.
3.2.6. Effect of Initial MB Concentration
The methylene blue adsorption properties of the CS−2/SiO2 composite at different initial MB concentration (from 20 to 400 mg/L) were investigated under optimized experimental conditions (initial pH = 7; temperature: 35 °C; CS−2/SiO2 dose = 60 mg; V = 10 mL; contact time: 40 min). As shown in Figure 7d, when the initial concentration of methylene blue in the solution increases from 20 mg/L to 400 mg/L (solubility is 20, 40, 60, 80, 100, 200, 300, 400 mg/L in order), after 40 min of adsorption reaction, the removal rate of methylene blue by CS−2/SiO2 decreased from 97.25% to 20.62%. At low concentrations of methylene blue solution environment, the driving force of methylene blue molecule diffusion is not enough. As the initial concentration of methylene blue solution increased, the initial mass concentration of methylene blue became the main driver of mass transfer resistance between solid phase and liquid phase. Therefore, when the adsorption of methylene blue by CS−2/SiO2 reaches a certain amount, the adsorption saturation state is reached due to the reduction of the number of effective adsorption sites. At this time, as the concentration of methylene blue continues to increase, the removal efficiency of CS−2/SiO2 on methylene blue decreases.
3.3. Statistical Analysis and Model Fitting
3.3.1. Kinetic Modeling
Adsorption kinetics is an important factor in designing suitable adsorption process. In order to better explore the mechanism of dye adsorption on adsorbents, various kinetic models have been applied. In this paper, the adsorption behavior of methylene blue by CS−2/SiO2 is discussed by using quasi-first-order and second-order kinetic models. The pseudo-first-order model is described below [35]:
where qt, qe (mg.g−1) are adsorption capacities at time t and at equilibrium, respectively, k1 (min−1) is a constant of the pseudo-first-order model.
The pseudo-second-order equation can be explained in a linear form as follows [36]:
where k2 (g·mg−1·min−1) is a constant of the pseudo-second-order model.
The kinetic experimental results of CS−2/SiO2 for methylene blue are shown in Figure 8a,b. The correlation coefficient R2 of linear fitting of the pseudo-second-order adsorption kinetics equation was 0.9999, which was much higher than that of linear fitting of the pseudo-first-order adsorption rate equation, which was 0.8584. In addition, it can be seen from Table 2 that the theoretical adsorption amount calculated by the quasi-second-order kinetic equation is close to the experimental value, which indicates that the second-order adsorption kinetics equation better fitted the results of the methylene blue adsorption experiment. Through experiments, it can be judged that methylene blue is a rapid adsorption equilibrium process on CS−2/SiO2. Through experiments with different initial concentrations and different adsorbent dosings, it can be seen that when the concentration difference of methylene blue in solution is the largest, resulting in a high concentration gradient, and no adsorption sites in CS−2/SiO2 are attached with methylene blue, CS−2/SiO2 can quickly adsorb methylene blue in solution. Then, with the progress of the reaction, the concentration of methylene blue in the solution gradually decreased, making the reaction driving force decrease, and the adsorption sites on CS−2/SiO2 gradually became full, and the adsorption process basically reached equilibrium. Therefore, the adsorption process is mainly chemical adsorption, and the adsorption rate is fast.
Figure 8.
The adsorption kinetics of CS−2/SiO2 of methylene blue; (a) pseudo-first order kinetics of adsorption of methylene blue on CS−2/SiO2; (b) pseudo-second order kinetics of adsorption of methylene blue on CS−2/SiO2.
Table 2.
Kinetic constants for CS−2/SiO2.
3.3.2. Isotherm Modeling
In order to make the most effective use of adsorbents, comprehensive research is needed to understand the essence of the interaction between adsorbates and adsorbents. In this study, the type of adsorption system was determined by fitting experimental data with Langmuir and Freundlich isotherm adsorption equations. The equations are, respectively, shown as follows [37]:
where Ce (mg/L) is the concentration of methylene blue at adsorption equilibrium, qe (mg/g) is the adsorption capacity at equilibrium, qm (mg/g) is the maximum adsorption capacity; kl (L/mg) is the Langmuir model constant, kf (L/g) and n are Freundlich model constants.
The Langmuir equation and Freundlich equation were used for the adsorption of methylene blue by CS−2/SiO2 at different concentrations. The fitting curves of two equations were shown in Figure 9, and the values of corresponding isotherm parameters are tabulated in Table 3. The results show that these two models fit the experimental data of CS−2/SiO2 adsorption methylene blue very well. However, the R2 of the Langmuir equation is 0.9912, which more accurately describes the adsorption characteristics of methylene blue on CS−2/SiO2 than Freundlich’s equation. It indicates that the adsorption process occurs on the surface of CS−2/SiO2 via homogeneous monolayer adsorption, and the maximum theoretical adsorption capacity is 13.966 mg/g. In addition to R2, the calculated n value is related to the surface interaction strength of adsorbates and adsorbents. Generally, if 1/n value is between 0.1 and 0.5, it means easy adsorption; if 1/n value is greater than 2, it means difficult adsorption [38]. For this study, the experimental n value of the Freundlich equation is 4.521, indicative of high adsorption intensity.
Figure 9.
Adsorption isotherm: (a) Langmuir; (b) Freundlich.
Table 3.
Isotherm constants for CS−2/SiO2.
3.4. Comparison of the Adsorption Capacity Obtained with Other Previously Reported Adsorbents
In order to better compare the adsorption properties of the prepared CS−2/SiO2 composite with other similar composite materials, the relevant data are summarized in Table 4. Although the adsorption capacity of the studied material is lower than that of some composite materials, it is worth noting that the chitosan/silica material in this study has the advantages of fast adsorption time, simple process and environmental friendliness.
Table 4.
Comparison of maximum adsorption capacity for MB by various adsorbents in literature.
3.5. Regenneration of CS−2/SiO2 Adsorbsent
The performance of regeneration is an important factor affecting the adsorbent. The adsorbed material was desorbed and washed by anhydrous ethanol, and dried in vacuum at 50 °C for use. The influence of regeneration times on adsorption is shown in Figure 10, which indicate the prepared composite material has excellent cyclic adsorption performance. The results show that the adsorption capacity of CS−2/SiO2 decreases from 6.24 mg/g to 5.71 mg/g after regeneration and reuse for six times. It is possible that the methylene blue adsorbed on the composite material cannot be completely desorbed, resulting in the reduction of adsorption sites of nanoparticles.
Figure 10.
Number of cycles of the CS−2/SiO2 composite when used for MB dye adsorption (conditions: initial pH = 7; dose = 60 mg; initial CMB = 40 mg/L; V = 10 mL; contact time = 40 min; temperature = 35 °C).
3.6. Real Sample Study
The complex environmental pollutants in real water have a great impact on the actual performance of the adsorbent. In order to evaluate the performance of the CS−2/SiO2 composite for removing methylene blue in real water samples, methylene blue water samples with different concentrations (10, 20 and 40 mg/L) were prepared by using local tap water. The removal efficiency of the CS−2/SiO2 composite for MB in real water samples is shown in Table 5. The removal efficiency MB dye from the tap water samples are all above 87%, which show that it is feasible to remove methylene blue from real water samples by using CS−2/SiO2 composites as adsorbent.
Table 5.
Real sample application of the CS−2/SiO2 composite adsorbent.
3.7. Mechanism Study
According to the influence factors, kinetics, isotherm and instrument characterization analysis, the adsorption of MB by CS−2/SiO2 composite is a complex process, including multiple steps and multiple mechanisms. The schematic diagram of adsorption mechanism is shown in Figure 11.
Figure 11.
Schematic diagram of proposed adsorption mechanism for the interaction between CS−2/ SiO2 composite and MB.
The adsorption experiments show that pH is the key factor affecting the removal of MB. Methylene blue is a cationic dye, which can be electrostatic adsorbed on the surface of negatively charged CS−2/SiO2 particles (pH > pHZPC). Electrostatic action is an important mechanism, but not the only one. The kinetic results (pseudo-second-order kinetic model) show that chemisorption mechanism plays an important role in the adsorption of MB by CS−2/SiO2 composite. The mechanisms involved in chemisorption are the formation of covalent bonds and ion exchange.
In addition, the prepared CS−2/SiO2 composite has a large number of microporous coral-like structures with active functional groups of chitosan and silica, providing a large number of active sites for adsorption. CS and SiO2 contain a large number of hydroxyl groups, which can produce a hydrogen bond with the highly electronegative N atom in the MB molecule, so the hydrogen bond also plays an important role in adsorption.
4. Conclusions
In this study, novel chitosan/silica composites with different mass ratios were prepared by in-situ hydrolysis method and were characterized by XRD, SEM, TGA, TEM, FT-IR and the N2 adsorption–desorption techniques. The results show that the morphology and properties of composites change with the introduction of silica. When the mass ratio of CS/TEOS was 0.0775, the CS−2/SiO2 composite had a coral-like three-dimensional porous structure with a large specific surface area (SBET = 640.37 m2/g), high porosity (VTotal = 0.299 cm3/g), uniform pore size (average pore size = 1.869 nm) and good thermal stability. These results of XRD, FT-IR, SEM and TEM indicated that the microporous-dominated coral-like CS−2/SiO2 porous composite is an amorphous structure, which is formed by the superposition of micro-nano dendritic structure through mutual cross-linking, and there are many active organic groups on its surface. Additionally, the adsorption process of methylene blue from aqueous solution over CS−2/SiO2 was investigated in detail. When the dosage is 6 g/L, the initial concentration of methylene blue solution is 40 mg/L, the initial pH value is 7, the temperature is 35 °C, and the adsorption time is 40 min, the removal rate of CS−2/SiO2 for methylene blue can reach 94.01%. The kinetic result showed that the adsorption rate follows the pseudo-second-order kinetic model with a good correlation coefficient, indicating the adsorption rate is fast and mainly chemical adsorption. Moreover, the adsorption isotherm evaluations revealed that the correlation coefficients of two isothermal linear fitting equations are high, but the Langmuir adsorption isotherm (R2 = 0.9912, the maximum adsorption capacity is 13.966 mg/g) is more suitable to describe the adsorption behavior of methylene blue on CS−2/SiO2, which confirmed that the adsorption is a homogeneous monolayer and occurs on the surface of CS−2/SiO2 porous composites. Furthermore, it not only has good adsorption performance when used for the removal of methylene blue in real water, but also has good regeneration performance after being reused for six times. In summary, the coral-like CS−2/SiO2 porous nanocomposite can be an alternative adsorbent for the removal of organic pollutants from aqueous solution.
Author Contributions
Conceptualization, M.X.; methodology, T.Z. and C.H.; writing—original draft preparation, T.Z. and C.H.; writing—review and editing, Z.Y.; supervision, M.X. All authors have read and agreed to the published version of the manuscript.
Funding
This work was supported by the Zhejiang Provincial Natural Science Foundation of China (Grant no. LY18D060005 and LTY21B070002).
Institutional Review Board Statement
Not applicable.
Informed Consent Statement
Not applicable.
Data Availability Statement
Not applicable.
Conflicts of Interest
The authors declare no conflict of interest.
References
- Mathew, G.M.; Mathew, D.C.; Sukumaran, R.K.; Sindhu, R.; Huang, C.C.; Binod, P.; Sirohi, R.; Kim, S.H.; Pandey, A. Sustainable and eco-friendly strategies for shrimp shell valorization. Environ. Pollut. 2020, 267, 115656. [Google Scholar] [CrossRef] [PubMed]
- Mao, X.; Guo, N.; Sun, J.; Xue, C. Comprehensive utilization of shrimp waste based on biotechnological methods: A review. J. Clean. Prod. 2017, 143, 814–823. [Google Scholar] [CrossRef]
- Yan, N.; Chen, X. Sustainability: Don’t waste seafood waste. Nature 2015, 524, 155–157. [Google Scholar] [CrossRef] [PubMed]
- Pakizeh, M.; Moradi, A.; Ghassemi, T. Chemical extraction and modification of chitin and chitosan from shrimp shells. Eur. Polym. J. 2021, 159, 110709. [Google Scholar] [CrossRef]
- Kandra, P.; Challa, M.M.; Kalangi Padma Jyothi, H. Efficient use of shrimp waste: Present and future trends. Appl. Microbiol. Biotechnol. 2012, 93, 17–29. [Google Scholar] [CrossRef] [PubMed]
- Bakshi, P.S.; Selvakumar, D.; Kadirvelu, K.; Kumar, N. Chitosan as an environment friendly biomaterial—A review on recent modifications and applications. Int. J. Biol. Macromol. 2020, 150, 1072–1083. [Google Scholar] [CrossRef]
- Fan, N.; Ge, L.; Zhou, Y.; Xia, M. Preparation of chitin with different degrees of deacetylation from crab shells waste and its application in the removal of Congo Red. Desalination Water Treat. 2018, 101, 301–312. [Google Scholar] [CrossRef]
- Rinaudo, M. Chitin and chitosan: Properties and applications. Prog. Polym. Sci. 2006, 31, 603–632. [Google Scholar] [CrossRef]
- Haseena, P.V.; Padmavathy, K.S.; Krishnan, P.R.; Madhu, G. Adsorption of Ammonium Nitrogen from Aqueous Systems Using Chitosan-Bentonite Film Composite. Procedia Technol. 2016, 24, 733–740. [Google Scholar] [CrossRef]
- Ibrahim, S.M.; Hassanin, H.M.; Abdelrazek, M.M. Synthesis, and characterization of chitosan bearing pyranoquinolinone moiety for textile dye adsorption from wastewater. Water Sci. Technol. 2020, 81, 421–435. [Google Scholar] [CrossRef]
- Zhang, Y.; Zhao, M.; Cheng, Q.; Wang, C.; Li, H.; Han, X.; Fan, Z.; Su, G.; Pan, D.; Li, Z. Research progress of adsorption and removal of heavy metals by chitosan and its derivatives: A review. Chemosphere 2021, 279, 130927. [Google Scholar] [CrossRef] [PubMed]
- Zhou, Y.; Ge, L.; Fan, N.; Xia, M. Adsorption of Congo red from aqueous solution onto shrimp shell powder. Adsorpt. Sci. Technol. 2018, 36, 1310–1330. [Google Scholar] [CrossRef]
- Wang, J.; Zhuang, S. Removal of various pollutants from water and wastewater by modified chitosan adsorbents. Crit. Rev. Environ. Sci. Technol. 2017, 47, 2331–2386. [Google Scholar] [CrossRef]
- Osifo, P.O.; Webster, A.; van der Merwe, H.; Neomagus, H.W.; van der Gun, M.A.; Grant, D.M. The influence of the degree of cross-linking on the adsorption properties of chitosan beads. Bioresour. Technol. 2008, 99, 7377–7382. [Google Scholar] [CrossRef] [PubMed]
- Saheed, I.O.; Da Oh, W.; Suah, F.B.M. Chitosan modifications for adsorption of pollutants–A review. J. Hazard. Mater. 2021, 408, 124889. [Google Scholar] [CrossRef]
- Xiong, Q.; Zhang, F. Study on the Performance of Composite Adsorption of Cu2+ by Chitosan/β-Cyclodextrin Cross-Linked Zeolite. Sustainability 2022, 14, 2106. [Google Scholar] [CrossRef]
- Zhou, D.; Wang, H.; Guo, S. Preparation of Cellulose/Chitin Blend Materials and Influence of Their Properties on Sorption of Heavy Metals. Sustainability 2021, 13, 6460. [Google Scholar] [CrossRef]
- Chongdar, S.; Bhattacharjee, S.; Bhanja, P.; Bhaumik, A. Porous organic–inorganic hybrid materials for catalysis, energy and environmental applications. Chem. Commun. 2022, 58, 3429–3460. [Google Scholar] [CrossRef]
- Arruebo, M. Drug delivery from structured porous inorganic materials. Wiley Interdiscip. Rev. Nanomed. Nanobiotechnol. 2012, 4, 16–30. [Google Scholar] [CrossRef]
- Brinker, C.J. Porous inorganic materials. Curr. Opin. Solid State Mater. Sci. 1996, 1, 798–805. [Google Scholar] [CrossRef]
- Ma, Q.; Xia, M. Modification of mechanical and color properties of polypropylene with colored nano-SiO2 prepared from diatomite. J. Appl. Polym. Sci. 2020, 137, 48328. [Google Scholar] [CrossRef]
- da Silva Alves, D.C.; Healy, B.; Pinto, L.A.D.A.; Cadaval, T.R.S.A., Jr.; Breslin, C.B. Recent developments in chitosan-based adsorbents for the removal of pollutants from aqueous environments. Molecules 2021, 26, 594. [Google Scholar] [CrossRef] [PubMed]
- Podust, T.V.; Kulik, T.V.; Palyanytsya, B.B.; Gun’ko, V.M.; Toth, A.; Mikhalovska, L.; Menyhard, A.; Laszlo, K. Chitosan-nanosilica hybrid materials: Preparation and properties. Appl. Surf. Sci. 2014, 320, 563–569. [Google Scholar] [CrossRef]
- Budnyak, T.M.; Pylypchuk, I.V.; Tertykh, V.A.; Yanovska, E.S.; Kolodynska, D. Synthesis and adsorption properties of chitosan-silica nanocomposite prepared by sol-gel method. Nanoscale Res. Lett. 2015, 10, 87. [Google Scholar] [CrossRef]
- Salama, A.; Abou-Zeid, R.E. Ionic chitosan/silica nanocomposite as efficient adsorbent for organic dyes. Int. J. Biol. Macromol. 2021, 188, 404–410. [Google Scholar] [CrossRef] [PubMed]
- Blachnio, M.; Budnyak, T.M.; Derylo-Marczewska, A.; Marczewski, A.W.; Tertykh, V.A. Chitosan–silica hybrid composites for removal of sulfonated azo dyes from aqueous solutions. Langmuir 2018, 34, 2258–2273. [Google Scholar] [CrossRef] [PubMed]
- Chen, G.S.; Haase, H.; Mahltig, B. Chitosan-modified silica sol applications for the treatment of textile fabrics: A view on hydrophilic, antistatic and antimicrobial properties. J. Sol-Gel Sci. Technol. 2019, 91, 461–470. [Google Scholar] [CrossRef]
- Gandhi, M.R.; Meenakshi, S. Preparation and characterization of La (III) encapsulated silica gel/chitosan composite and its metal uptake studies. J. Hazard. Mater. 2012, 203, 29–37. [Google Scholar] [CrossRef]
- Chen, B.; Ding, L.; Wang, Y.; Zhang, Y. High efficient adsorption for thorium in aqueous solution using a novel tentacle-type chitosan-based aerogel: Adsorption behavior and mechanism. Int. J. Biol. Macromol. 2022, 222, 1747–1757. [Google Scholar] [CrossRef]
- Siriprom, W.; Chantarasunthon, K.; Teanchai, K. Physical and thermal properties of Chitosan. In Advanced Materials Research; Trans Tech Publications Ltd.: Bäch, Switzerland, 2018; pp. 315–318. [Google Scholar]
- Ogawa, K.; Yui, T.; Okuyama, K. Three D structures of chitosan. Int. J. Biol. Macromol. 2004, 34, 1–8. [Google Scholar] [CrossRef]
- Babakir, B.A.; Abd Ali, L.I.; Ismail, H.K. Rapid removal of anionic organic dye from contaminated water using a poly (3-aminobenzoic acid/graphene oxide/cobalt ferrite) nanocomposite low-cost adsorbent via adsorption techniques. Arab. J. Chem. 2022, 15, 104318. [Google Scholar] [CrossRef]
- Santos, V.; do Nascimento, G.; Sales, D.S.; dos Santos, J.; Rodríguez-Díaz, J.; Duarte, M. Preparation of adsorbents from agro-industrial wastes and their application in the removal of Cd2+ and Pb2+ ions from a binary mixture: Evaluation of ionic competition. Chem. Eng. Res. Des. 2022, 184, 152–164. [Google Scholar] [CrossRef]
- Ismail, H.K.; Ali, L.I.A.; Alesary, H.F.; Nile, B.K.; Barton, S. Synthesis of a poly (p-aminophenol)/starch/graphene oxide ternary nanocomposite for removal of methylene blue dye from aqueous solution. J. Polym. Res. 2022, 29, 159. [Google Scholar] [CrossRef]
- Akpen, G.; Aho, M.; Mamwan, M. Equilibrium and kinetics of colour adsorption from textile wastewater by a novel adsorbent. Glob. J. Pure Appl. Sci. 2018, 24, 61–67. [Google Scholar] [CrossRef]
- Singh, R.; Singh, T.S.; Odiyo, J.O.; Smith, J.A.; Edokpayi, J.N. Evaluation of Methylene Blue Sorption onto Low-Cost Biosorbents: Equilibrium, Kinetics, and Thermodynamics. J. Chem. 2020, 2020, 8318049. [Google Scholar] [CrossRef]
- El Saliby, I.; Erdei, L.; Kim, J.-H.; Shon, H.K. Adsorption and photocatalytic degradation of methylene blue over hydrogen–titanate nanofibres produced by a peroxide method. Water Res. 2013, 47, 4115–4125. [Google Scholar] [CrossRef] [PubMed]
- Fan, S.; Wang, Y.; Wang, Z.; Tang, J.; Tang, J.; Li, X. Removal of methylene blue from aqueous solution by sewage sludge-derived biochar: Adsorption kinetics, equilibrium, thermodynamics and mechanism. J. Environ. Chem. Eng. 2017, 5, 601–611. [Google Scholar] [CrossRef]
- Rahmana, M.M.; Lataa, N.N.; Rimua, S.H.; Chistya, A.H. Simultaneous determination of heavy metals and cationic dyes from industrial effluent by prawn shell derived chitosan-g-poly (acrylic acid) biocomposite. Desalination Water Treat. 2021, 216, 252–262. [Google Scholar] [CrossRef]
- Kong, Q.; Wang, X.; Zhao, X.; Lou, T. Preparation of millimeter-scale hollow sphere with cationic chitosan/dimethyl diallyl ammonium chloride/carboxymethyl cellulose terpolymer and its selective removal of anionic dye. J. Clean. Prod. 2022, 331, 130017. [Google Scholar] [CrossRef]
- Sulizi, P.A.S.; Mobarak, N.N. Kinetic studies and absorption isothermal of methylene blue by using N, O-carboxymethyl chitosan. Malays. J. Anal. Sci. 2020, 24, 21–32. [Google Scholar]
- Wang, R.; Zhang, X.; Zhu, J.; Bai, J.; Gao, L.; Liu, S.; Jiao, T. Facile preparation of self-assembled chitosan-based composite hydrogels with enhanced adsorption performances. Colloids Surf. A Physicochem. Eng. Asp. 2020, 598, 124860. [Google Scholar] [CrossRef]
- Sarkar, T. Synthesis and characterization of new chitosan-based nanocomposite gel and its application towards dye removal. arXiv 2021, arXiv:2112.13532. [Google Scholar]
- Chatterjee, S.; Gupta, A.; Mohanta, T.; Mitra, R.; Samanta, D.; Mandal, A.B.; Majumder, M.; Rawat, R.; Singha, N.R. Scalable synthesis of hide substance–chitosan–hydroxyapatite: Novel biocomposite from industrial wastes and its efficiency in dye removal. ACS Omega 2018, 3, 11486–11496. [Google Scholar] [CrossRef] [PubMed]
- Ma, J.; Zhang, M.; Ji, M.; Zhang, L.; Qin, Z.; Zhang, Y.; Gao, L.; Jiao, T. Magnetic graphene oxide-containing chitosan-sodium alginate hydrogel beads for highly efficient and sustainable removal of cationic dyes. Int. J. Biol. Macromol. 2021, 193, 2221–2231. [Google Scholar] [CrossRef] [PubMed]
Disclaimer/Publisher’s Note: The statements, opinions and data contained in all publications are solely those of the individual author(s) and contributor(s) and not of MDPI and/or the editor(s). MDPI and/or the editor(s) disclaim responsibility for any injury to people or property resulting from any ideas, methods, instructions or products referred to in the content. |
© 2022 by the authors. Licensee MDPI, Basel, Switzerland. This article is an open access article distributed under the terms and conditions of the Creative Commons Attribution (CC BY) license (https://creativecommons.org/licenses/by/4.0/).











