Symbiotic Mechanism of Multiple Subjects for the Resource-Based Disposal of Medical Waste in China in the Post-Pandemic Context
Abstract
1. Introduction
- (1)
- What is the symbiotic state among governments, medical institutions, and disposal enterprises, and what are its characteristics?
- (2)
- What factors influence symbiosis among governments, medical institutions, and disposal enterprises?
- (3)
- How best can we achieve and maintain the symbiosis among governments, medical institutions, and disposal enterprises?
- (1)
- Different from the existing studies on medical waste disposal during the pandemic [60], this study investigates the resource-based disposal of medical waste in the post-pandemic era in order to broaden the theoretical research perspective.
- (2)
- This study establishes a tripartite evolutionary game model, which consists of governments, medical institutions, and disposal enterprises, and combines it with symbiosis theory. The study also divides the subjects’ states into three major categories and investigates the symbiotic mechanism of multiple subjects. Additionally, the results obtained widen the application of symbiosis theory and evolutionary game theory.
- (3)
- This study sets several parameters affecting the symbiotic state. From the results, corresponding countermeasures to three subjects can be proposed, respectively. Hence, it might be said the paper provides insights for the future development of the resource-based disposal of medical waste.
2. Problem Description and Underlying Assumptions
2.1. Problem Formulation
- (1)
- The strategies of governments are “insist” and “not insist”, abbreviated as , respectively. The “insist” strategy refers to the requirement for governments to intervene in the behavior of medical institutions and disposal enterprises. Governments provide medical institutions and disposal enterprises with incentive subsidies when they actively participate in resource-based classification or disposal processes. In contrast, governments will penalize them accordingly. The “not insist” strategy means that governments do not take any action.
- (2)
- The strategies of medical institutions are “classify strictly” and “classify simply”, abbreviated as , respectively. The “classify strictly” strategy refers to medical institutions sorting the generated waste according to resource-based criteria, with the valuable part of medical waste being sorted and categorized in advance. Under this strategy, medical institutions have to pay for staff training, sorting equipment, and other costs. The amount of sorted waste meeting resource-based disposal standards correlates with their sorting efforts. The “classify simply” strategy means that medical institutions only sort according to the conventional criteria.
- (3)
- The strategies of disposal enterprises are “agree” and “disagree”, abbreviated as , respectively. The “agree” strategy refers to disposal enterprises being willing to pay additional costs for equipment updates and personnel training based on conventional disposal. Medical waste is converted into other resources or energy through technical methods. The profits generated from resource-based disposal will be returned to governments and medical institutions in the form of tax and price reductions, respectively. The “disagree” strategy means that disposal enterprises only carry out conventional medical waste disposal.
2.2. Basic Assumptions of the Model
3. Construction and Analysis of the Model
3.1. Model Parameters and Payment Matrix
3.2. Construction of Tripartite Evolutionary Game Model
3.3. Analysis of Evolutionary Stabilization Strategies of Different Subjects
3.4. Equilibrium Point Stability Analysis
4. Situational Simulation and Numerical Simulation Analysis
4.1. Analysis of the Evolutionary Path of Partial Symbiosis
4.2. Analysis of Factors Influencing the Symbiotic State of the Three Subjects
4.2.1. Effect of and on the Results of Evolutionary Game
4.2.2. Effect of and on the Results of the Evolutionary Game
4.2.3. Effect of and on the Results of the Evolutionary Game
4.2.4. Effect of , , and on the Results of the Evolutionary Game
4.3. Results and Discussion
5. Conclusions
- (1)
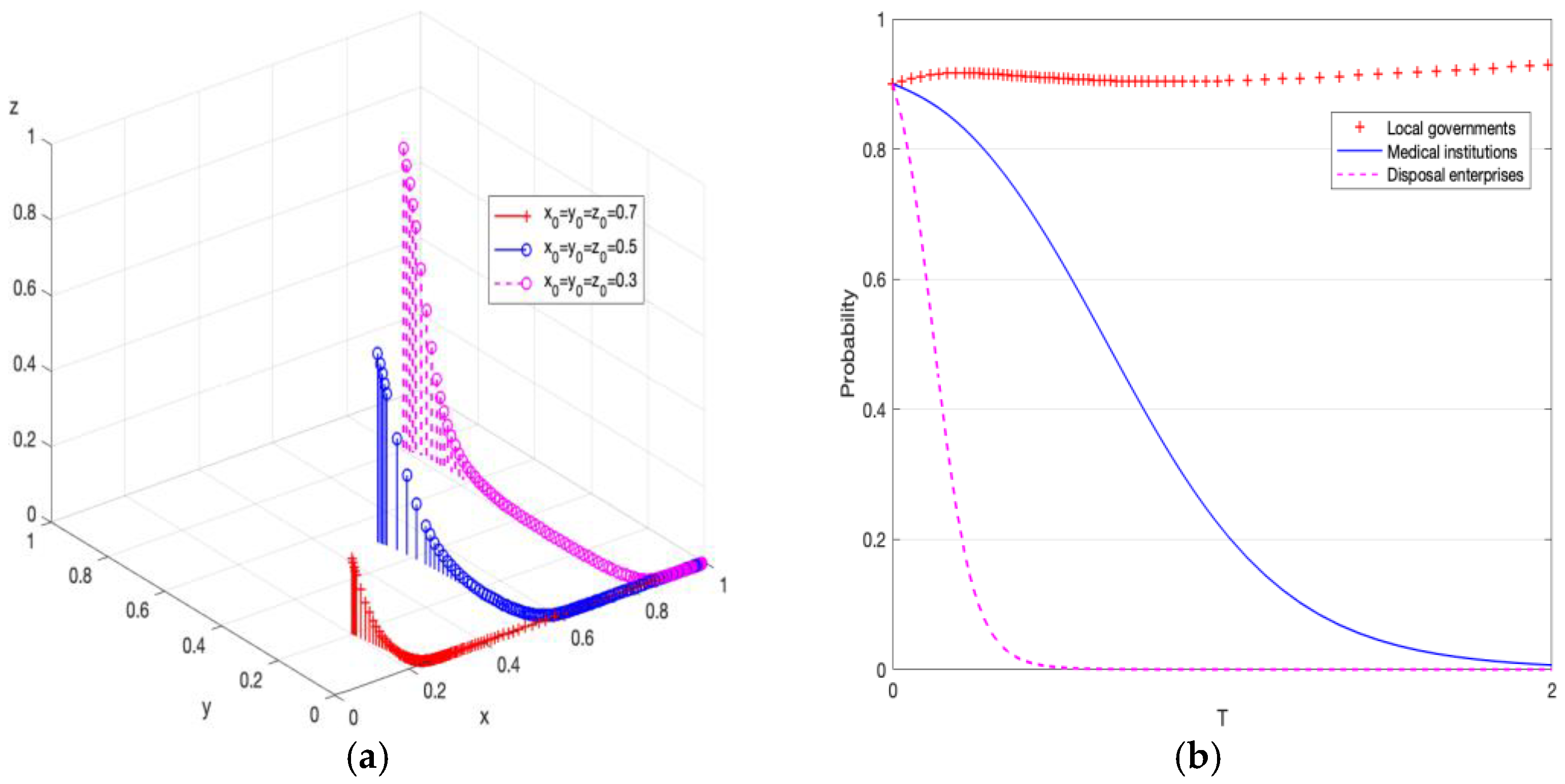
- The resource-based medical waste disposal system can be divided into three states: “no symbiosis”, “partial symbiosis”, and “symbiosis”. Considering the current reality in China, most of the resource-based medical waste disposal projects are still in the state of “partial symbiosis” due to the differences in interests between governments and enterprises. In this situation, the government chooses the “insist” strategy, while medical institutions choose the “simply classify” strategy and disposal enterprises choose the “disagree” strategy. There is a clear inflection point in the evolution of the strategy choices of medical institutions and disposal enterprises, which shows that there is room for the development of tripartite symbiosis. Therefore, the resource-based disposal project of medical waste needs some guidance from the government to promote the evolution of the strategic choice of the three parties (insist, strictly classify, and agree), in order to realize the “symbiosis” of the three parties.
- (2)
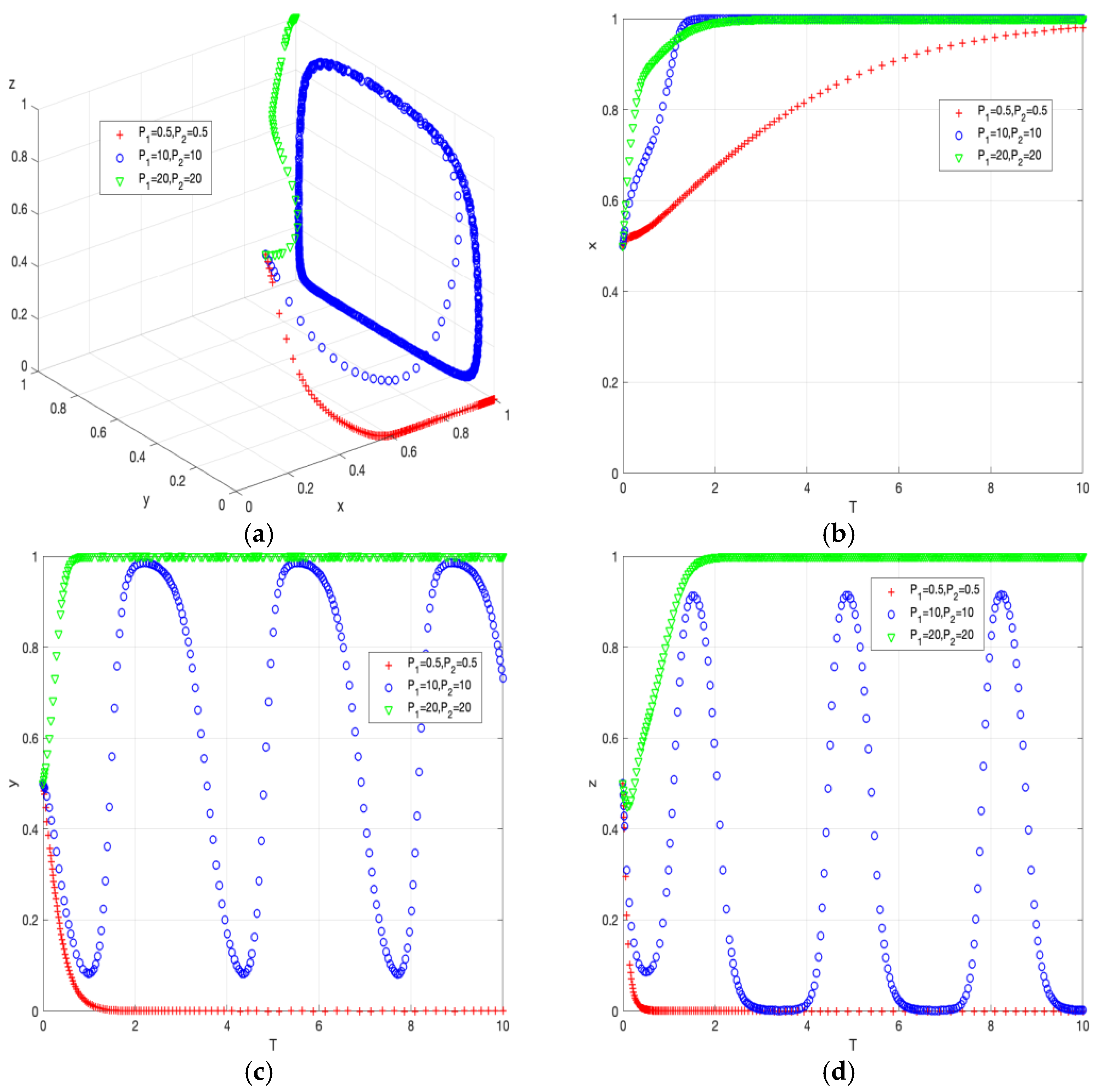
- The evolution of the tripartite subjects involved in resource-based medical waste disposal from the “partial symbiosis” to “symbiosis” state is directly influenced by two factors. On the one hand, government subsidies and penalties can promote the symbiosis of the three parties. On the other hand, the resource-based disposal efficiency of the disposal enterprises and the probability of the government identifying the benefits of resource-based disposal also have an influence. When these two factors reach a high level, the tripartite subjects are locked in the symbiosis state. Therefore, in order to achieve and maintain symbiosis, this paper puts forward the following suggestions. The government should build a platform for the resource-based disposal of medical waste and improve the corresponding operation mechanism. Moreover, the government needs to encourage each subject to participate in resource-based disposal projects through tax incentives and other policies, and appropriately supervise and punish those who do not participate. By strengthening industry guidance, the implementation of resource-based disposal projects can be promoted and the development of the symbiotic relationship between medical institutions and disposal enterprises is guided. Disposal enterprises should take measures such as equipment renewal and technological innovation to expand production capacity and improve the efficiency and revenue of resource-based disposal, in order to actively promote the development of the symbiotic relationship between the three parties.
- (3)
- The level of resource-based classification of medical institutions and their cost-sensitive coefficients do not directly promote the tripartite system from “partial symbiosis” to “symbiosis”. However, when the system is in a “symbiotic” state, it can effectively improve the willingness of medical institutions and disposal companies to choose the resource-based strategy in cooperation with other factors, which can also promote the system to gradually evolve to the ideal “symbiosis” state, requiring less government intervention. In order to achieve this state, medical institutions need to improve the training budget for the personnel involved in resource classification and enhance the level of the relevant resource classification standards. Moreover, they ought to specify and improve the classification system of medical waste, so as to promote the stable development of the resource-based classification network.
Author Contributions
Funding
Institutional Review Board Statement
Informed Consent Statement
Data Availability Statement
Conflicts of Interest
References
- Aydemir-Karadag, A. Bi-Objective Adaptive Large Neighborhood Search Algorithm for the Healthcare Waste Periodic Location Inventory Routing Problem. Arab. J. Sci. Eng. 2022, 47, 3861–3876. [Google Scholar] [CrossRef] [PubMed]
- He, X.; Quan, H.; Lin, W.; Deng, W.; Tan, Z. AGV Scheduling Optimization for Medical Waste Sorting System. Sci. Program. 2021, 2021, 4313749. [Google Scholar] [CrossRef]
- Zhu, P.; Qian, M.; Wu, Q.; Liu, X. Challenges Faced in Large-Scale Nucleic Acid Testing during the Sudden Outbreak of the B.1.617.2 (Delta). Int. J. Environ. Res.Public Health 2022, 19, 1573. [Google Scholar] [CrossRef] [PubMed]
- Li, H.; Dietl, H.; Li, J. Identifying Key Factors Influencing Sustainable Element in Healthcare Waste Management Using the Interval-Valued Fuzzy DEMATEL Method. J. Mater. Cycles Waste Manag. 2021, 23, 1777–1790. [Google Scholar] [CrossRef]
- Yang, M.; Gu, Y.; Wu, Y.; Pan, D.; Gong, Y. Research progress of energy-environment-economy comprehensive performance assessment for solid waste recycling. Mater. Rev. 2021, 35, 17103–17110, 17124. (In Chinese) [Google Scholar] [CrossRef]
- Zhang, Z.; Sun, N.; Ren, Z.; Xu, S.; Wang, J. Present Situation and Development Trend of Charging Policy of Medical Waste Disposal. Ecol. Econ. 2016, 32, 131–134. (In Chinese) [Google Scholar] [CrossRef]
- Voudrias, E.A. Technology Selection for Infectious Medical Waste Treatment Using the Analytic Hierarchy Process. J. Air Waste Manag. Assoc. 2016, 66, 663–672. [Google Scholar] [CrossRef]
- Feo, G.D.; Gisi, S.D. Using MCDA and GIS for Hazardous Waste Landfill Siting Considering Land Scarcity for Waste Disposal. Waste Manag. 2014, 34, 2225–2238. [Google Scholar] [CrossRef]
- Wang, P.; Gu, X.; Xue, M.; Li, Y.; Dong, S.; Chen, G.; Zhang, J. Resource Utilization of Medical Waste under COVID-19: Waste Mask Used as Crude Oil Fluidity Improver. J. Clean Prod. 2022, 358, 131903. [Google Scholar] [CrossRef]
- Defeuilley, C.; Godard, O. The Economics of Packaging Waste Recycling in France: Institutional Framework and Technological Adoption. Int. J. Environ. Pollut. 1997, 7, 538–546. [Google Scholar] [CrossRef]
- Zhao, H.L.; Wang, L.; Liu, F.; Liu, H.Q.; Zhang, N.; Zhu, Y.W. Energy, Environment and Economy Assessment of Medical Waste Disposal Technologies in China. Sci. Total Environ. 2021, 796, 148964. [Google Scholar] [CrossRef] [PubMed]
- Wang, L.; Yan, D.; Xiong, Y.; Zhou, L. A Review of the Challenges and Application of Public-Private Partnership Model in Chinese Garbage Disposal Industry. J. Clean Prod. 2019, 230, 219–229. [Google Scholar] [CrossRef]
- Ali, M.; Geng, Y. Accounting Embodied Economic Potential of Healthcare Waste Recycling—A Case Study from Pakistan. Environ. Monit. Assess. 2018, 190, 678. [Google Scholar] [CrossRef]
- Oulhen, N.; Schulz, B.J.; Carrier, T.J. English Translation of Heinrich Anton de Bary’s 1878 Speech, ‘Die Erscheinung Der Symbiose’ (‘De La Symbiose’). Symbiosis 2016, 69, 131–139. [Google Scholar] [CrossRef]
- Hirsch, A. Plant-Microbe Symbioses: A Continuum from Commensalism to Parasitism. Symbiosis 2004, 37, 345–363. [Google Scholar]
- Wang, D.; Zhu, W.; Zhang, C.; Li, H.; Wu, Y. Stakeholder Symbiosis in the Context of Corporate Social Responsibility. Symmetry 2020, 12, 1897. [Google Scholar] [CrossRef]
- Mao, C.; Cai, A. Symbiosis Governance of Rural Waste: Realistic Challenges, Practice Mechanism and Path Optimization. J. Agrofor. Econ. Manag. 2020, 19, 761–768. (In Chinese) [Google Scholar] [CrossRef]
- Korkut, E.N. Estimations and Analysis of Medical Waste Amounts in the City of Istanbul and Proposing a New Approach for the Estimation of Future Medical Waste Amounts. Waste Manag. 2018, 81, 168–176. [Google Scholar] [CrossRef]
- Ceylan, Z.; Bulkan, S.; Elevli, S. Prediction of Medical Waste Generation Using SVR, GM (1,1) and ARIMA Models: A Case Study for Megacity Istanbul. J. Environ. Health Sci. Eng 2020, 18, 687–697. [Google Scholar] [CrossRef]
- Kumar, N.M.; Mohammed, M.A.; Abdulkareem, K.H.; Damasevicius, R.; Mostafa, S.A.; Maashi, M.S.; Chopra, S.S. Artificial Intelligence-Based Solution for Sorting COVID Related Medical Waste Streams and Supporting Data-Driven Decisions for Smart Circular Economy Practice. Process Saf. Environ. Protect. 2021, 152, 482–494. [Google Scholar] [CrossRef]
- Zhou, H.; Yu, X.; Alhaskawi, A.; Dong, Y.; Wang, Z.; Jin, Q.; Hu, X.; Liu, Z.; Kota, V.G.; Abdulla, M.H.A.H.; et al. A Deep Learning Approach for Medical Waste Classification. Sci. Rep. 2022, 12, 2159. [Google Scholar] [CrossRef] [PubMed]
- Liu, Z.; Li, Z.; Chen, W.; Zhao, Y.; Yue, H.; Wu, Z. Path Optimization of Medical Waste Transport Routes in the Emergent Public Health Event of COVID-19: A Hybrid Optimization Algorithm Based on the Immune–Ant Colony Algorithm. Int. J. Environ. Res. Public Health 2020, 17, 5831. [Google Scholar] [CrossRef] [PubMed]
- Eren, E.; Rıfat Tuzkaya, U. Safe Distance-Based Vehicle Routing Problem: Medical Waste Collection Case Study in COVID-19 Pandemic. Comput. Ind. Eng. 2021, 157, 107328. [Google Scholar] [CrossRef]
- Dharmaraj, S.; Ashokkumar, V.; Pandiyan, R.; Halimatul Munawaroh, H.S.; Chew, K.W.; Chen, W.H.; Ngamcharussrivichai, C. Pyrolysis: An Effective Technique for Degradation of COVID-19 Medical Wastes. Chemosphere 2021, 275, 130092. [Google Scholar] [CrossRef] [PubMed]
- Ling, J.; Lin, M.; Zhang, L. Medical Waste Treatment Scheme Selection Based on Single-Valued Neutrosophic Numbers. AIMS Math. 2021, 6, 10540–10564. [Google Scholar] [CrossRef]
- Yao, L.; Xu, Z.; Zeng, Z. A Soft-Path Solution to Risk Reduction by Modeling Medical Waste Disposal Center Location-Allocation Optimization. Risk Anal. 2020, 40, 1863–1886. [Google Scholar] [CrossRef]
- Su, E.C.Y.; Chen, Y.T. Policy or Income to Affect the Generation of Medical Wastes: An Application of Environmental Kuznets Curve by Using Taiwan as an Example. J. Clean Prod. 2018, 188, 489–496. [Google Scholar] [CrossRef]
- Hong, J.; Zhan, S.; Yu, Z.; Hong, J.; Qi, C. Life-Cycle Environmental and Economic Assessment of Medical Waste Treatment. J. Clean Prod. 2018, 174, 65–73. [Google Scholar] [CrossRef]
- Li, X.; Yan, M.; Chen, T.; Lu, S.; Yan, J.; Cen, K. Levels of PCDD/Fs in Soil in the Vicinity of a Medical Waste Incinerator in China: The Temporal Variation during 2007–2009. J. Hazard. Mate. 2010, 179, 783–789. [Google Scholar] [CrossRef]
- Windfeld, E.S.; Brooks, M.S.-L. Medical Waste Management—A Review. J. Environ. Manage. 2015, 163, 98–108. [Google Scholar] [CrossRef]
- Lavee, D. Is Municipal Solid Waste Recycling Economically Efficient? Environ. Manage. 2007, 40, 926–943. [Google Scholar] [CrossRef] [PubMed]
- Dutta, S.; He, M.; Xiong, X.; Tsang, D.C.W. Sustainable Management and Recycling of Food Waste Anaerobic Digestate: A Review. Bioresour. Technol. 2021, 341, 125915. [Google Scholar] [CrossRef] [PubMed]
- Tam, V.W.Y.; Soomro, M.; Evangelista, A.C.J. A Review of Recycled Aggregate in Concrete Applications (2000–2017). Constr. Build. Mater. 2018, 172, 272–292. [Google Scholar] [CrossRef]
- Ferdous, W.; Manalo, A.; Siddique, R.; Mendis, P.; Zhuge, Y.; Wong, H.S.; Lokuge, W.; Aravinthan, T.; Schubel, P. Recycling of Landfill Wastes (Tyres, Plastics and Glass) in Construction—A Review on Global Waste Generation, Performance, Application and Future Opportunities. Resour. Conserv. Recycl. 2021, 173, 105745. [Google Scholar] [CrossRef]
- Echegaray, F.; Hansstein, F.V. Assessing the Intention-Behavior Gap in Electronic Waste Recycling: The Case of Brazil. J. Clean Prod. 2017, 142, 180–190. [Google Scholar] [CrossRef]
- Yu, Z.; Khan, S.A.R.; Ponce, P.; Zia-ul-haq, H.M.; Ponce, K. Exploring Essential Factors to Improve Waste-to-Resource Recovery: A Roadmap towards Sustainability. J. Clean Prod. 2022, 350, 131305. [Google Scholar] [CrossRef]
- Sakai, S.; Yoshida, H.; Hirai, Y.; Asari, M.; Takigami, H.; Takahashi, S.; Tomoda, K.; Peeler, M.V.; Wejchert, J.; Schmid-Unterseh, T.; et al. International Comparative Study of 3R and Waste Management Policy Developments. J. Mater. Cycles Waste Manag. 2011, 13, 86–102. [Google Scholar] [CrossRef]
- Li, Y.; Zhang, X.; Yang, Y.; Guo, X.; Zhi, J.; Zhao, Y.; Guo, J. Synergic Optimization of Pollution Prevention and Resource Recovery of Secondary Lead Smelting Industry Based on Two-Stage BPNLP Network Model. J. Clean Prod. 2021, 284, 124717. [Google Scholar] [CrossRef]
- Gu, F.; Guo, J.; Zhang, W.; Summers, P.A.; Hall, P. From Waste Plastics to Industrial Raw Materials: A Life Cycle Assessment of Mechanical Plastic Recycling Practice Based on a Real-World Case Study. Sci. Total Environ. 2017, 601–602, 1192–1207. [Google Scholar] [CrossRef]
- Chauhan, A.; Jakhar, S.K.; Chauhan, C. The Interplay of Circular Economy with Industry 4.0 Enabled Smart City Drivers of Healthcare Waste Disposal. J. Clean Prod. 2021, 279, 123854. [Google Scholar] [CrossRef]
- van Straten, B.; van der Heiden, D.R.; Robertson, D.; Riekwel, C.; Jansen, F.W.; van der Elst, M.; Horeman, T. Surgical Waste Reprocessing: Injection Molding Using Recycled Blue Wrapping Paper from the Operating Room. J. Clean Prod. 2021, 322, 129121. [Google Scholar] [CrossRef]
- Lee, B.-K.; Ellenbecker, M.J.; Moure-Eraso, R. Analyses of the Recycling Potential of Medical Plastic Wastes. Waste Manag. 2002, 10, 461–470. [Google Scholar] [CrossRef] [PubMed]
- Liu, H.; Yao, Z. Research on Mixed and Classification Simulation Models of Medical Waste—A Case Study in Beijing, China. Sustainability 2018, 10, 4226. [Google Scholar] [CrossRef]
- Zhu, J.; Saberian, M.; Perera, S.T.; Anupiya, M.; Roychand, R.; Li, J.; Wang, G. Reusing COVID-19 Disposable Nitrile Gloves to Improve the Mechanical Properties of Expansive Clay Subgrade: An Innovative Medical Waste Solution. J. Clean Prod. 2022, 375, 134086. [Google Scholar] [CrossRef] [PubMed]
- Chen, H.; Li, J.; Li, T.; Xu, G.; Jin, X.; Wang, M.; Liu, T. Performance Assessment of a Novel Medical-Waste-to-Energy Design Based on Plasma Gasification and Integrated with a Municipal Solid Waste Incineration Plant. Energy 2022, 245, 123156. [Google Scholar] [CrossRef]
- Yatsunthea, T.; Chaiyat, N. A Very Small Power Plant—Municipal Waste of the Organic Rankine Cycle and Incinerator from Medical and Municipal Wastes. Therm. Sci. Eng. Prog. 2020, 18, 100555. [Google Scholar] [CrossRef]
- Giakoumakis, G.; Politi, D.; Sidiras, D. Medical Waste Treatment Technologies for Energy, Fuels, and Materials Production: A Review. Energies 2021, 14, 8065. [Google Scholar] [CrossRef]
- Bourtsalas, A.C.T.; Seo, Y.; Tanvir Alam, M.; Seo, Y.C. The Status of Waste Management and Waste to Energy for District Heating in South Korea. Waste Manag. 2019, 85, 304–316. [Google Scholar] [CrossRef]
- Wang, Z.; Wang, Q.; Chen, B.; Wang, Y. Evolutionary Game Analysis on Behavioral Strategies of Multiple Stakeholders in E-Waste Recycling Industry. Resour. Conserv. Recycl. 2020, 155, 104618. [Google Scholar] [CrossRef]
- Xu, Z.; Cheng, Y.; Yao, S. Tripartite Evolutionary Game Model for Public Health Emergencies. Discret. Dyn. Nat. Soc. 2021, 2021, 6693597. [Google Scholar] [CrossRef]
- Fan, R.; Wang, Y.; Lin, J. Study on Multi-Agent Evolutionary Game of Emergency Management of Public Health Emergencies Based on Dynamic Rewards and Punishments. Int. J. Environ. Res. Public Health 2021, 18, 8278. [Google Scholar] [CrossRef] [PubMed]
- Elliott, S.W.; Marianne, S.B. Medical waste management: A review. J. Environ. Manag. 2015, 163, 98–108. [Google Scholar] [CrossRef]
- Hao, X.; Liu, G.; Zhang, X.; Dong, L. The Coevolution Mechanism of Stakeholder Strategies in the Recycled Resources Industry Innovation Ecosystem: The View of Evolutionary Game Theory. Technol. Forecast. Soc. Change 2022, 179, 121627. [Google Scholar] [CrossRef]
- Liu, Z.; Lang, L.; Li, L.; Zhao, Y.; Shi, L. Evolutionary Game Analysis on the Recycling Strategy of Household Medical Device Enterprises under Government Dynamic Rewards and Punishments. Math. Biosci. Eng. MBE 2021, 18, 18. [Google Scholar] [CrossRef]
- Lv, Y.; Ma, G.; Ding, J. Evolutionary Game Analysis of Medical Waste Disposal in China under Different Reward and Penalty Models. Sustainability 2022, 14, 4658. [Google Scholar] [CrossRef]
- Ma, L.; Zhang, L. Evolutionary Game Analysis of Construction Waste Recycling Management in China. Resour. Conserv. Recycl. 2020, 161, 104863. [Google Scholar] [CrossRef]
- Shan, H.; Yang, J.; Wei, G. Industrial Symbiosis Systems: Promoting Carbon Emission Reduction Activities. Int. J. Environ. Res. Public Health 2019, 16, 1093. [Google Scholar] [CrossRef]
- Zhao, X.; Xue, Y.; Ding, L. Implementation of Low Carbon Industrial Symbiosis Systems under Financial Constraint and Environmental Regulations: An Evolutionary Game Approach. J. Clean Prod. 2020, 277, 124289. [Google Scholar] [CrossRef]
- Zhang, W.; Liu, P.; Zhang, J. Multi-Group Symbiotic Evolution Mechanism in an Innovative Ecosystem: Evidence from China. Rev. Cercet. Interv. Soc. 2019, 66, 249–277. [Google Scholar] [CrossRef]
- Singh, N.; Tang, Y.; Zhang, Z.; Zheng, C. COVID-19 waste management: Effective and successful measures in Wuhan, China. Resour. Conserv. Recycl. 2020, 163, 105071. [Google Scholar] [CrossRef]
- Chen, J.; Liang, L.; Yao, D.Q.; Sun, S. Price and Quality Decisions in Dual-Channel Supply Chains. Eur. J. Oper. Res. 2017, 259, 935–948. [Google Scholar] [CrossRef]
- Chen, X.; Wang, Y.; Li, X. Research on Green Technology Transformation Strategy of Inter-Regional Enterprises under Environmental Regulation Based on Evolutionary Game Theory. Sys. Eng. Theor. Pract. 2021, 41, 1732–1749. (In Chinese) [Google Scholar] [CrossRef]
- Friedman, D. On economic applications of evolutionary game theory. J. Evol. Econ. 1998, 8, 15–43. [Google Scholar] [CrossRef]
- Du, Y.; Wang, Y.; Lu, W. Research on the Symbiotic Logic of Multiple Subjects in Rural Environmental Governance under the PPP Model-Based on the Three-Party Evolution Game. J. Huazhong Agric. Univ. 2019, 144, 89–96. (In Chinese) [Google Scholar] [CrossRef]
- He, M.; Jin, Y.; Zeng, H.; Cao, J. Pricing Decisions about Waste Recycling from the Perspective of Industrial Symbiosis in an Industrial Park: A Game Model and Its Application. J. Clean Prod. 2020, 251, 119417. [Google Scholar] [CrossRef]
- Filimonau, V.; Ermolaev, V.A. Exploring the Potential of Industrial Symbiosis to Recover Food Waste from the Foodservice Sector in Russia. Sustain. Prod. Consump. 2022, 29, 467–478. [Google Scholar] [CrossRef]
- Glew, D.; Stringer, L.C.; McQueen-Mason, S. Achieving Sustainable Biomaterials by Maximising Waste Recovery. Waste Manag. 2013, 33, 1499–1508. [Google Scholar] [CrossRef]
- Costa, I.; Massard, G.; Agarwal, A. Waste Management Policies for Industrial Symbiosis Development: Case Studies in European Countries. J. Clean Prod. 2010, 18, 815–822. [Google Scholar] [CrossRef]
- Huang, L.; Zhen, L.; Yin, L. Waste Material Recycling and Exchanging Decisions for Industrial Symbiosis Network Optimization. J. Clean Prod. 2020, 276, 124073. [Google Scholar] [CrossRef]
- Rathore, P.; Sarmah, S.P. Modeling and identification of suitable motivational mechanism in the collection system of municipal solid waste supply chain. Waste Manag. 2021, 129, 76–84. [Google Scholar] [CrossRef]
- Patwary, M.A.; O’Hare, W.T.; Sarker, M.H. An illicit economy: Scavenging and recycling of medical waste. J. Environ. Manag. 2011, 92, 2900–2906. [Google Scholar] [CrossRef] [PubMed]







| Subject | Parameter | Definition |
|---|---|---|
| Governments | Primary revenue of disposal | |
| Regulatory costs under a “not insist” strategy | ||
| Degree of adherence to resource-based disposal | ||
| Subsidies for medical institutions’ resource-based classification | ||
| Subsidies for disposal enterprises’ resource-based disposal | ||
| Penalties for medical institutions not carrying out resource-based classification | ||
| Penalties for waste disposal enterprises not carrying out resource-based disposal | ||
| Medical institutions | Level of effort in resource-based classification | |
| Sensitivity coefficient of the waste volume | ||
| The amount of medical waste with resource-based disposal potential | ||
| Basic disposal fee | ||
| Cost coefficient of medical waste classification | ||
| Disposal enterprises | Conventional disposal cost | |
| Cost coefficient affected by the waste volume | ||
| Benefit coefficient affected by disposal efficiency | ||
| Probability of benefits being transferred | ||
| Benefits transferred to governments | ||
| Benefits transferred to medical institutions |
| Strategy Portfolio | Governments | Medical Institutions | Disposal Enterprises |
|---|---|---|---|
| Equilibrium Point | Eigenvalues | Stability | ||
|---|---|---|---|---|
| Uncertain | ||||
| Uncertain | ||||
| Unstable | ||||
| Uncertain | ||||
| Uncertain | ||||
| Uncertain | ||||
| Uncertain | ||||
| Uncertain | ||||
| Variable | Initial Value | Variable | Initial Value |
|---|---|---|---|
| 10 | 0.8 | ||
| 1.2 | 15 | ||
| 0.5 | 15 | ||
| 0.5 | 18 | ||
| 1 | 0.2 | ||
| 1 | 0.1 | ||
| 0.8 | 0.3 |
Disclaimer/Publisher’s Note: The statements, opinions and data contained in all publications are solely those of the individual author(s) and contributor(s) and not of MDPI and/or the editor(s). MDPI and/or the editor(s) disclaim responsibility for any injury to people or property resulting from any ideas, methods, instructions or products referred to in the content. |
© 2023 by the authors. Licensee MDPI, Basel, Switzerland. This article is an open access article distributed under the terms and conditions of the Creative Commons Attribution (CC BY) license (https://creativecommons.org/licenses/by/4.0/).
Share and Cite
Zhao, S.; Ma, G.; Ding, J. Symbiotic Mechanism of Multiple Subjects for the Resource-Based Disposal of Medical Waste in China in the Post-Pandemic Context. Sustainability 2023, 15, 805. https://doi.org/10.3390/su15010805
Zhao S, Ma G, Ding J. Symbiotic Mechanism of Multiple Subjects for the Resource-Based Disposal of Medical Waste in China in the Post-Pandemic Context. Sustainability. 2023; 15(1):805. https://doi.org/10.3390/su15010805
Chicago/Turabian StyleZhao, Shuwen, Guojian Ma, and Juan Ding. 2023. "Symbiotic Mechanism of Multiple Subjects for the Resource-Based Disposal of Medical Waste in China in the Post-Pandemic Context" Sustainability 15, no. 1: 805. https://doi.org/10.3390/su15010805
APA StyleZhao, S., Ma, G., & Ding, J. (2023). Symbiotic Mechanism of Multiple Subjects for the Resource-Based Disposal of Medical Waste in China in the Post-Pandemic Context. Sustainability, 15(1), 805. https://doi.org/10.3390/su15010805

