Abstract
Climate change has increased the vulnerability of many communities and ecosystems, including those on islands. This study evaluates the patterns of scientific publication and visualises network connections between countries and keywords by presenting four sets of bibliometric analyses of publications related to “climate change and vulnerability”, “climate change and island”, “vulnerability and island”, and “vulnerability, climate change, and island”, as obtained from the Scopus database. Based on the combinations of keywords in the article, the study retrieved 1768 documents for “climate change and vulnerability”, 501 documents for “climate change and island”, 270 documents for “vulnerability and island”, and 37 documents for “vulnerability, climate change, and island” for further analysis using various tools. Microsoft Excel was used to conduct the frequency analysis, and Harzing’s Publish or Perish and VOSviewer were used for the citation metrics analysis and data visualisation, respectively. The results are reported using standard bibliometric indicators, such as the annual growth of publications, publications by subject, prolific authors, most active institutions, active journals, highly cited articles, co-authorship by countries, and co-occurrence keyword analysis. The findings revealed that there has been continuous growth in the number of publications on all four research topics since the first publication, and the main subject found on Scopus for all topics in Environmental Science. For “climate change and vulnerability”, the most productive author is James D. Ford, and the most active journal is Climatic Change. The most-cited document has received 3243 citations. Meanwhile, for “climate change and islands”, the most productive author and most active journals are Patrick D. Nunn and Regional Environmental Change, respectively, while the most cited document has received 285 citations. Subsequently, the most productive authors for “vulnerability and island” and “climate change, vulnerability, and island” received 627 citations and 154 citations, respectively. The country with the most links and highest total link strength was the United States of America, according to co-occurrence analysis between countries. Current themes are discussed, and future possible research is suggested based on the clustering of the keywords. Among the clusters that emerged from the network visualisations are those focused on the ecosystem, adaptation, water resources, human and health risk assessments, coastal vulnerability and management, and agricultural and resource management. This study will benefit policymakers, researchers, environmental practitioners, and the public because it provides a comprehensive overview of existing research, potential research directions, and the current state of knowledge on the topic, allowing a better understanding of the research landscape.
1. Introduction
Climate change is defined as long-term shifts in the Earth’s climate that involve average temperatures, precipitation, and wind patterns. Although it is a natural process in climate systems, climate change has become critical over time because of human activity. Climate change is mainly caused by rising levels of greenhouse gases in the atmosphere, such as carbon dioxide, methane, and nitrous oxide. Climate change has an impact on rising sea levels, the increased frequency and extremity of heat waves, hurricanes, wildfires, the escalation of landslides, and changes in precipitation patterns [1,2,3,4,5,6]. Furthermore, climate change can influence the natural ecosystem and biodiversity due to the difficult adaptation process to changing temperatures and weather patterns [7,8]. Furthermore, it exacerbates existing social and economic inequalities, disproportionately affecting low-income and developing countries. Climate change can also affect physical and economic infrastructure, such as homes, businesses, and transportation systems, resulting in significant economic losses [9]. Moreover, climate change can cause greater conflict and displacement due to the difficulty communities face in adapting to the changing conditions and the scarcity of resources [10,11]. Climate change also has direct impacts on human health through, for example, the increased spread of infectious diseases, air pollution, and heat stress [12,13]. The impacts of climate change on health and food security can have profound implications for communities by deteriorating their well-being and increasing their vulnerability [14,15].
Vulnerability is the “propensity or predisposition to be adversely affected and encompasses a variety of concepts and elements, including sensitivity or susceptibility to harm and a lack of capacity to cope and adapt” [16]. Many people’s vulnerabilities are shifting and amplifying, but their ability to cope is deteriorating. Vulnerability to climate change is commonly recognised to vary within communities as well as across societies, regions, and countries and to change over time [17]. Various factors, including social, economic, and environmental conditions, determine a community’s vulnerability to the effects of climate change [18]. Social aspects of systems cause disproportionate risk exposure by making some people more vulnerable to disaster than others. From an economic point of view, low-income and marginalised communities are frequently the most vulnerable because they may have limited resources to adapt to changing conditions [19]. This includes those living in remote areas and indigenous people. Taking physical attributes into account, certain geographical factors may lead to greater vulnerability to the effects of climate change. Among the geographically vulnerable regions are coastal areas [20], islands [21], lakes [22], and mountainous areas [23]. The identification of vulnerability and its assessment are urgently needed, considering the well-being of communities living in these areas.
Identifying and assessing communities’ vulnerability to the effects of climate change is critical for developing effective adaptation and mitigation strategies [24]. Understanding the unique circumstances of different communities, including their social, economic, and environmental conditions, can help target resources and efforts more effectively. Additionally, identifying a community’s vulnerability can help prioritise action and prevent the most severe impacts of climate change [25]. In addition, the identification of vulnerability in biodiversity can enable further action to prevent species from becoming extinct. From a health sector perspective, it is essential to understand the vulnerability of one’s community and environment to the changing climate so that the best medical support and preparation can be provided. As some communities are more vulnerable than others, vulnerability identification and assessment need to be localised, especially for those living in hazard-prone areas such as islands.
Islands are especially susceptible to the ramifications of climate change because they encounter various specific problems, such as rising sea levels, increased disaster frequency, limited resources, and isolation, in addition to the impacts on flora and fauna diversification [21,26,27,28]. Climate change can cause sea levels to rise, potentially leading to erosion, the loss of coastal land, and the salinisation of freshwater aquifers. Climate change can also increase the frequency and severity of extreme weather events, such as hurricanes and typhoons, which can devastate island communities. In terms of resources, many islands have limited resources and infrastructure, so they find it difficult to respond to and recover from disasters. Moreover, islands isolated from the mainland cannot easily access resources such as food, water, and medical supplies in times of crisis. Island tourism also faces challenges because of climate change [29]. These situations make islands and their communities more vulnerable to any changes in climate.
Bibliometric analysis is one type of analysis tool that can effectively explain overall trends in the development of publications or research trends in any subject. Several bibliometric analyses have been carried out emphasising climate change [30], risks [31], adaptation [32], and vulnerability [33]. However, to the best of the current authors’ knowledge, limited bibliometric analysis has involved climate change or vulnerability with respect to islands. This limitation is addressed in this research, which combines four different but related topics: (1) climate change vulnerability, (2) climate change on islands, (3) the vulnerability of islands, and (4) the climate change vulnerability of islands. The aim was to illustrate the current research patterns in these fields as well as examine network collaboration and thematic focus areas to inform current and future research.
2. Materials and Methods
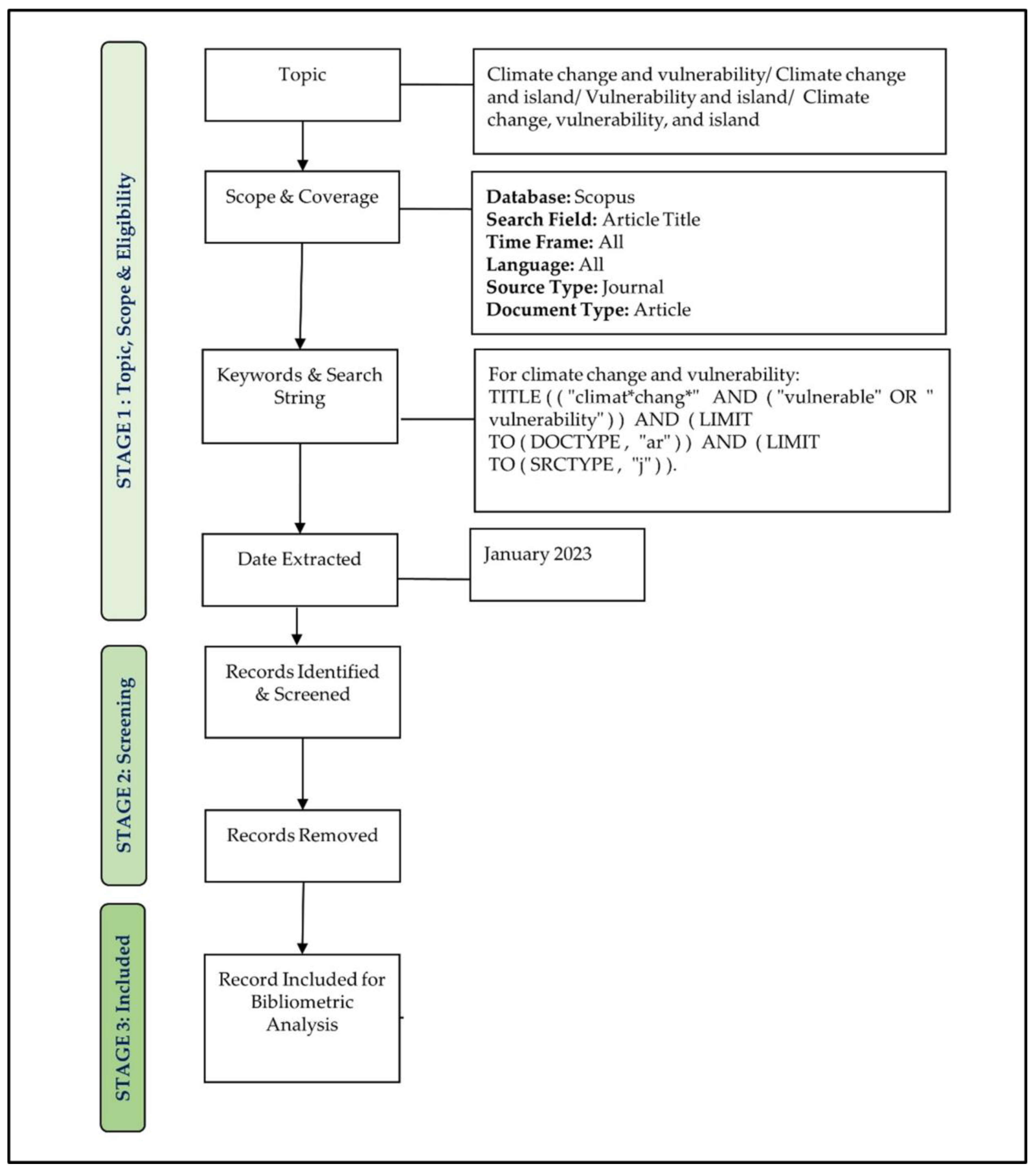
The methodology in this study was conducted in phases. Phase 1 was the scoping of scientific literature records, and Phase 2 was bibliometric analysis. Phase 1 was conducted in stages: Stage 1 consisted of scoping the topics in a selected peer-reviewed journal database, while Stages 2 and 3 consisted of screening articles and removing unrelated records. The overall strategy for Phase 1 is illustrated in Figure 1.
2.1. Data Collection
The total number of scientific articles was collected from a peer-reviewed journal database, Scopus, in Stage 1. This study only focuses on Scopus, as it is one of the databases that offers extensive publication coverage and a wide number of articles [34]. At this stage, the identification of topics involved four different sets of keywords: (1) climate change and vulnerability; (2) climate change and islands; (3) vulnerability and islands; and (4) climate change, vulnerability, and islands. For scope and coverage, the search used the “Article Title” field to ensure the keyword results were more relevant to the topic. The time frame and language were not framed so that the evolution of publication trends could be identified. However, for the source and document type, the search was restricted to article journals only with a specific search string. The results from Stage 1 were screened in Stage 2 to ensure the articles were connected to the intended topics. The final selected articles can be found in Stage 3, where only selected papers are included for the bibliometric analysis. The topic on climate change and vulnerability obtained 1768 articles for further analysis; climate change and islands covered 501 articles; vulnerability of islands covered 270; and the last topic, focused on climate change, vulnerability, and islands, recorded 37 articles. The exclusion of some articles on climate change and islands and the vulnerability of islands is because the word “island” in the articles refers to the urban heat island effect or the name of a place, such as Rhode Island. The articles might have covered more than one topic. For example, an article retrieved from the topic of “vulnerability and islands” might also exist in “climate change and vulnerability.” Table 1 shows the search string for all topics, the number of initial records, and the number of publications accepted for analysis in Phase 2.
Table 1.
Search string and number of records.
2.2. Bibliometric Analysis
In this study, a bibliometric analysis was developed to review the existing literature on climate change, vulnerability, and islands. A bibliometric analysis is used to analyse scientific publications that focus on the contribution, relationship pattern, trend, and development of publications over a specific publication period [35]. This analysis was conducted through performance evaluation and science mapping.
2.3. Science Mapping
In science mapping, several tools are frequently used by researchers; one of the tools used in this study was VOSviewer, which was developed by Nees Jan van Eck and Ludo Waltman [36]. VOSviewer is used to create maps based on network data as well as visualise and explore maps. In this study, VOSviewer was utilised to explore co-authorship by country and conduct co-occurrence analysis. The visualisation obtained was demonstrated in the form of network visualisation, as presented in the Results section.
Figure 1.
Flow diagram of the search strategy. Sources: [37,38]. Note: The colour gradient, ranging from light to darker green in three variations corresponds to the different stages of the search strategy process.
Figure 1.
Flow diagram of the search strategy. Sources: [37,38]. Note: The colour gradient, ranging from light to darker green in three variations corresponds to the different stages of the search strategy process.

3. Results
3.1. Annual Publications
The number of annual publications was used to understand the growth in the number of publications on each topic: vulnerability to climate change, climate change on islands, vulnerability on islands, and vulnerability to climate change on islands. Since the years when documents first become available are different, Figure 2a–d show the annual publications on the four topics. The earliest available publication on vulnerability to climate change was produced in 1985 (Figure 2a), and no research was available after that until 1991. After 1991, publications were available every year except 1993, 1994, and 1998. The most productive year was 2021, with 181 articles produced. For the annual publications on climate change and islands, as shown in Figure 2, the earliest related article was produced in 1955. However, no related publications were available until 1964. The number of articles grew year by year after 1989, with 1991 and 1994 being the only years when no articles were produced. The year when the most articles (54) were published was 2021. For vulnerability and islands, the first publication was traced to 1986, while the highest number of articles published in one year was 33 in 2021. Annual publications on climate change, vulnerability, and islands started in 1995, somewhat later than the other topics. Despite the fairly low number of publications each year, the research expanded year on year, with 2021 seeing the most papers produced. Remarkably, 2021 was the most productive year for all four topics.
Figure 2.
Annual publications by topic: (a) climate change and vulnerability; (b) climate change and islands; (c) vulnerability and islands; and (d) climate change, vulnerability, and islands. Each colour variation represents a different topic.
The publications on all four topics over the last thirty years indicate a large gap between the topic of climate change and vulnerability and the other three topics (Figure 3). Nevertheless, the number of articles grew from year to year, showing the scientific community’s interest in all these topics. Climate change is an important matter that is being discussed globally. Several treaties or conventions have been signed and agreed upon by countries around the world as part of a general attempt to reduce the impact of climate change. The United Nations Framework Convention on Climate Change (UNFCCC) treaty, signed in 1992, provides the overarching framework for international climate action and lays the groundwork for future action to reduce greenhouse gas emissions. Secondly, an amendment to the UNFCCC known as the Kyoto Protocol was signed in 1997, which established legally binding emission-reduction targets for developed countries. Furthermore, the Paris Agreement, which was established in 2015, seeks to boost the global response to the dangers of climate change by maintaining the average temperature rise to considerably lower than 2 °C above pre-industrial levels, in addition to furthering efforts to restrict the temperature increase to 1.5 °C. All of these conventions, treaties, and agreements reflect the urgency of climate change, which may also have affected the number of publications per year.
Figure 3.
Number of publications from 1992 to 2022.
3.2. Publications by Subject
Table 2 shows the leading five subject areas of publications. The subject category of the article is classified according to the Scopus category subject. The main subject covered by all topics is Environmental Science, which is the subject of more than half of the documents. This is followed by Social Sciences, as the second-leading subject. Social Sciences is followed by Agricultural and Biological Sciences, Earth and Planetary Science, and Engineering in the theme of climate change and vulnerability. Meanwhile, the other three topics have the same subjects in third and fourth place: Earth and Planetary Sciences and Agricultural and Biological Sciences. However, they have different subjects in fifth place, namely Arts and Humanities for climate change and islands; Engineering for vulnerability and islands; and Biochemistry, Genetics, and Molecular Biology for climate change, vulnerability, and islands. Each article may apply to more than one subject, based on the publisher’s subject scope. Figure S1 displays the top five subjects in the Scopus database for each topic, according to the number of publications.
Table 2.
Number of publications by subject from Scopus database.
3.3. Most Productive Authors
The five most productive authors for each topic represent the authors with the most publications produced (Table 3). In research on climate change and vulnerability, Prof. James D. Ford from the University of Leeds authored 19 articles. Meanwhile, for research on climate change and islands, Patrick D. Nunn produced 11 articles. For vulnerability and islands, the leading three authors published four articles each. They are Stephane Blancard, Jean-François Hoarau, and Nobuo Mimura. For articles focusing on climate change, vulnerability, and islands, the number of publications was not significant, as the leading authors contributed only two papers.
Table 3.
Most productive authors according to topic.
3.4. Publications by Institutions
The most productive institution for research on climate change and vulnerability (Table 4) was the Chinese Academy of Sciences, followed by the USDA Forest Service, Universidad Nacional Autónoma de México, Université McGill, and CNRS (Centre National de la Recherche Scientifique, or National Centre for Scientific Research). Meanwhile, the top five institutions for climate change and island research were the University of the South Pacific, the Australian National University, the Centre National de la Recherche Scientifique (CNRS), the Universidad de la Laguna, and the University of the Sunshine Coast. Based on institutions active in producing articles, one institute appeared in the top five places for all topics: the CNRS (Centre National de la Recherche Scientifique) in France. Established in 1939, this is the largest fundamental science agency in Europe.
Table 4.
Most productive institutions according to topic.
3.5. Publications by Journal
For climate change and vulnerability, the top five most active journals were Climate Change, Sustainability, Global Change Biology, Mitigation, and Adaptation Strategies for Global Change, as well as Regional Environmental Change. The publisher of three of the source titles was Springer Nature, while MDPI and Wiley-Blackwell published one of the source titles each (Table 5). Subsequently, Regional Environmental Change, Climatic Change, Climate and Development, Climate Research, and Environmental Science and Policy were the leading journals on the topic of climate change and islands. For the topic of vulnerability and islands, the top journals were Water (Switzerland), Ocean and Coastal Management, Natural Hazards, and Environmental Earth Science. Due to the low number of publications, the source titles for the topics of climate change, vulnerability, and islands were not significant because the highest number of publications was two, by Geografisk Tidsskrift.
Table 5.
Most productive journals.
3.6. Citation Metrics
Research publications with more citations indicate their greater impact and the relevance of the topics. The citation metrics (Table 6) for the four topics show that the years of coverage for each topic differ (38, 68, 37, and 28 years) because of the availability of the papers from when they began to be published until 2022. Articles related to climate change and vulnerability received 67,085 citations, with an average of 1765 per year. On average, every paper received 38 citations, and every author received 24,000 citations. The h-index and g-index values were 114 and 202, respectively. For the topic of climate change and islands, the 501 papers received 11,746 citations. The citations per year, paper, and author were numbered 172.74, 23.45, and 5222, respectively. The h-index and g-index values were 55 and 81, respectively. Although the topic of vulnerability and islands covered one year less than climate change and vulnerability, the number of citations was only 6563. However, the number of citations per year and per paper for vulnerability and islands (177.38 and 24.31, respectively) was higher than the equivalent for climate change and islands. For vulnerability and islands, the number of citations per author was 3119.86, while the h-index and g-index values were 38 and 70, respectively. On the other hand, the number of citations over 28 years was 916 for the topics of climate change, vulnerability, and islands. The number of citations per year, papers, and authors was 32.71, 24.76, and 448.03, respectively.
Table 6.
Citation metrics.
3.7. Highly Cited Documents
Highly cited papers are those receiving the most citations compared to other papers. For climate change and vulnerability, the five most frequently cited documents are listed in Table 7. The most cited document, entitled “Global Water Resources: Vulnerability from Climate Change and Population Growth”, and written by Vorosmarty et al., received 3243 citations. It was published by the American Association for the Advancement of Science. The paper identified the contributions made by climate change, human development, and the two aspects in combination to the future state of global water resources. The quality, accessibility, and distribution of water resources can all be impacted by climate change [39,40]. Changes in precipitation patterns, streamflow, and river discharge can affect water resources. Rising sea levels due to climate change can cause saltwater intrusion into coastal aquifers, disrupting freshwater resources. The second to fifth most frequently cited papers received 1947, 1035, 983, and 807 citations, respectively. The average citations per year of the fourth paper, written by H.M. Füssel, were higher than the average for the third paper, which received 61.4 citations annually.
Table 7.
Most cited documents for climate change and vulnerability.
Jon Barnett from the University of Melbourne, Australia, authored a document on the topic of climate change and islands (Table 8), which had the highest number of citations of 285 at the time of publication. The title was “Adapting to Climate Change in Pacific Island Countries: The Problem of Uncertainty”, and it was published by the World Development Journal under Elsevier. The paper focuses on climate change and rising sea levels, recommending a complementary method to enhance the resilience of island social-ecological systems. The fourth most frequently cited paper, which was published in 2016, received the most average citations per year. For the topic of vulnerability and islands (Table 9), the most frequently cited document on the topic of vulnerability and islands was “Small Island Developing States and Their Economic Vulnerabilities”, authored by Lino Briguglio from the University of Malta. This paper discussed the major economic vulnerabilities faced by Small Island Developing States (SIDS) and proposed a method for constructing an index to measure economic vulnerability. Interestingly, in all of the most frequently cited documents, the research subjects involved the vulnerability of Small Island Developing States. The second to fifth most frequently cited documents received 420, 240, 189, and 165 citations, respectively.
Table 8.
Most cited documents for climate change and islands.
Table 9.
Most cited documents for vulnerability and islands.
Nobuo Mimura from Ibaraki University, Japan, wrote the most frequently cited paper on the topic of islands’ vulnerability to climate change (Table 10). The paper, entitled “Vulnerability of island countries in the South Pacific to sea level rise and climate change”, garnered 154 citations and was published in 1999 by Climate Research. The paper reviewed the characteristics and degree of risk posed to South Pacific Island governments by sea level rise and climate change. It also identified conceptual options for adapting to threats through a synthesis of the existing studies. The other four papers received 95, 86, 80, and 50 citations, respectively.
Table 10.
Most cited documents for climate change, vulnerability, and islands.
3.8. Co-Authorship Analysis by Countries
Co-authorship analysis involves evaluating relationships between items based on the number of co-authored documents [59]. The focus of co-authorship networks is primarily to analyse patterns of scientific collaboration, capture collaborative statistics, and recommend valid and reliable measures for identifying influential authors [60]. The current paper presents co-authorship by country. Co-authorship analysis refers to a publication collaboration analysis that examines co-authorship between researchers from different countries. In this type of analysis, links between countries indicate co-authorship connections between researchers from different countries. The nodes represent the countries, and the node size reflects the number of documents that a country produces. This study demonstrates that each country had a minimum of two documents.
The network visualisations for co-authorship by country are presented in Figure 4. For climate change and vulnerability research (Figure 4a), of the 143 countries, 102 met the criteria, but the largest number of connected items was 99, with 17 clusters, 745 links, and a total link strength of 1770. The largest cluster consists of 20 countries, including Spain, the Netherlands, Belgium, Portugal, Cameroon, Brazil, Uganda, Singapore, Indonesia, Colombia, Angola, Cote d’Ivoire, the Democratic Republic of the Congo, Peru, Nicaragua, Bolivia, Costa Rica, Chile, Israel, and Tunisia. The country with the most links and the highest total link strength was the United States of America, which was grouped under Cluster 12 with Jamaica and Puerto Rico. As shown in Figure 4b, the network visualisation of co-authorship by country for climate change on islands consists of 62 connected countries. These make up 11 clusters, 11 links, and a total link strength of 610. The United States of America had the highest number of publications, links, and total link strength. Each cluster consists of two to twelve countries. Cluster 1 consists of the highest number of countries (12): the United Kingdom, Japan, India, the Netherlands, Malaysia, Indonesia, Norway, Saudi Arabia, Taiwan, the Philippines, Thailand, and Turkey.
Figure 4.
Co-authorship by countries for (a) climate change and vulnerability; (b) climate change and islands; (c) vulnerability and islands; and (d) climate change, vulnerability, and islands. The nodes represent the countries, and the node size reflects the number of documents that a country produces. Note: The nodes represent the countries, and the node size reflects the number of documents that a country produces. The colours represent different clusters of co-authorship by countries.
The network visualisation of co-authorship analysis for island vulnerability is presented in Figure 4c. All 34 connected countries have 111 links, for a total link strength of 163. The largest cluster contains seven countries: the United States, New Zealand, Switzerland, the Solomon Islands, Fiji, South Korea, and Denmark. The smallest cluster consists of two countries: Australia and Indonesia. The main countries influencing the literature were the United States, Malta, Japan, Greece, France, the United Kingdom, China, and Australia. For the topic of climate change, vulnerability, and islands, Figure 4d presents the network collaboration between countries through co-authorship analysis. There are eight countries in three clusters, with 13 links and a total link strength of 15. Cluster 1 consists of the United States, Fiji, and Denmark. Australia, France, and the United Kingdom are in Cluster 2, while Cluster 3 is made up of Japan and India. The number of items (per country), clusters, links, and total link strength are summarised in Table S1. The highest total link strength was identified for climate change and vulnerability, indicating collaborative relationships between the countries involved. The countries represent the locations with which the authors were affiliated, not where research was conducted.
3.9. Co-Occurrence Analysis of Keywords
For the co-occurrence analysis, both the author’s keywords and index keywords were chosen as the units of analysis. Nodes in the co-occurrence analysis indicate keywords. The co-occurrence analysis node colour reflects the clustering of related keywords based on their co-occurrence pattern. Each cluster is represented using a different colour to recognise groups of related keywords. The size of the nodes is determined by how frequently they appear or how strongly they connect with other nodes in the network. The full counting method was used. The minimum number of occurrences of a keyword was set to five, and for climate change and vulnerability (Figure 5a), 822 items met the threshold. The aggregated strength of the co-occurrence links to other keywords was evaluated for every one of the 822 keywords, and the keywords that demonstrated the highest total link strength were determined. The network visualisation for the topic of climate change and vulnerability consists of six clusters, 52,361 links, and 114,235 total link strengths. The clusters are numbered 1 (red), 2 (green), 3 (blue), 4 (yellow), 5 (purple), and 6 (light blue).
Figure 5.
Network visualisations of co-occurrence of keywords for (a) climate change and vulnerability; (b) climate change and islands; (c) vulnerability and islands; and (d) climate change, vulnerability, and islands. Note: The co-occurrence analysis node colour reflects the clustering of related keywords based on their co-occurrence pattern. Each cluster is represented using a different colour to allow groups of related keywords to be recognised. The size of the nodes is dictated by the frequency with which they occur or the strength with which they are associated with other nodes in the network.
Cluster 1 possessed the highest number of keywords regarding ecosystems, as well as the influence of climate change on ecosystems and conservation efforts. The keywords relate to various aspects of ecosystems, biodiversity, and the conservation of natural resources, such as habitat loss and endangered species. The themes for Cluster 2 are climate change adaptation, vulnerability, and resilience. Cluster 3’s focal point is climate change and water resources, in addition to climate modelling, all of which can refine our understanding of the impact of climate change. The themes for Cluster 4 are related to human health and risk assessment. The cluster includes keywords related to public health, risk assessment, vulnerable populations, and disease transmission. Cluster 5 features the theme of coastal vulnerability and management. This encompasses vulnerability assessment due to factors such as sea level rise, erosion, storms, and saline intrusion. Management approaches also feature among the keywords, with terms such as coastal zone management, fisheries management, and coastal reef habitats. Interestingly, the theme also includes the use of tools, such as geographic information systems, remote sensing, and satellite data, to identify areas of vulnerability as well as the socioeconomic factors that contribute to coastal vulnerability. The keywords for the last cluster are climate change adaptation and vulnerability assessment, as well as agricultural and natural resource management.
The network visualisation for the co-occurrence of keywords related to climate change and islands is shown in Figure 5b. The visualisation reveals 225 keywords with 5739 links and 11,545 total link strengths. The keywords are grouped into six clusters, the largest of which consists of 48 keywords. The themes in the first cluster are keywords associated with the effects of climate change on vulnerable communities, notably Small Island Developing States. The second cluster focuses on biodiversity and conservation in island areas. The keywords highlight the impact of global warming on the species that inhabit islands. The theme of the next cluster is the history of climate effects, or paleoclimate, because the keywords contain terms such as Holocene, with the Atlantic and Arctic being among the most important regions for studying past climate change. The theme for Cluster 4 contains 38 keywords related to climate modelling to measure risk assessment, including the assessment of water resources. Cluster 5 focuses on the challenges faced by small islands, such as rising sea levels and coastal erosion. Lastly, the sixth cluster centres on the conservation of natural resources to attract tourists, which may also involve the local community’s use of traditional knowledge.
With the minimum number of keywords set to five, 118 keywords were found to be correlated with one another in the theme of vulnerability and islands (Figure 5c). The number of links was 2313, and the total link strength was 4757. From all of the connected keywords, six clusters were formed. The largest cluster had 29 items, followed by clusters with 28, 20, 19, 17, and 5 keywords. The suggested theme for Cluster 1 centres on groundwater issues related to the intrusion of salt water, which affect many Small Island Developing States. Cluster 2 focuses on coastal hazards such as rising sea levels, storms, earthquakes, and shoreline change. It also contains tools and methods for analysing hazards, such as geographic information systems. For the third cluster, the focus is on island biodiversity related to conservation and management. The fourth cluster addresses climate change vulnerability, particularly in emerging countries and Small Island Developing States. It also focuses on risk assessment to adapt to the changing climate. Cluster 5 focuses on the impact of human activity on the environment. The last cluster centres on climate change risk in India.
The network visualisation of the occurrence of keywords for climate change, vulnerability, and islands consists of only eight keywords (Figure 5d). For each of the eight keywords, the total strength of the co-occurrence links with other keywords was calculated. Only two clusters emerged, with 26 links and a total link strength of 120. The keywords in Cluster 1 are adaptation, article, climate change, Pacific Islands, and sea level. Meanwhile, the keywords in Cluster 2 are vulnerability, climate effects, and Small Island Developing State. Cluster 1 focuses on the impact of climate change and adaptation to its effects on the Pacific Islands. For Cluster 2, the themes centre on the vulnerability to climate change of Small Island Developing States. Keyword clustering can be seen in Tables S2–S5.
4. Discussion
This study establishes global trends and patterns from a bibliometric analysis on the topics of climate change and vulnerability, climate change and islands, vulnerability and islands, and climate change, vulnerability, and islands, using a well-known database, Scopus. The annual publication figures indicate that all four topics grew year over year. This demonstrates the scientific community’s understanding of the critical need for studies on climate change, vulnerability, and islands, in addition to public education. This is crucial because climate change issues have become crises for many countries. The first paper related to climate change and islands was produced in 1955 by Crary et al. [61], which mentioned evidence of climatic change from Arctic Ocean ice islands. The current articles available in 2022 imply that the changing climate is an ongoing issue that needs further exploration.
The growing importance of natural science and social research for climate change, vulnerability, and island studies reflects an increasing awareness among scholars and policymakers that tackling the intricate issues of climate change requires a multidisciplinary approach through the integration of the natural and social sciences. In this study, Environmental Science and Social Science being the main subjects for all topics in Scopus illustrates that research on climate change, vulnerability, and islands involves multiple factors and that a multidisciplinary approach is needed because of the complexity of the environment and social connections. The categories of publications can also be categorised into the social sciences, ecological sciences, and socio-ecological sciences. The top five most cited publications on climate change and vulnerability are focused on ecological and socio-ecological sciences. Looking at the content of the publications, the role of social science is bigger than that of ecological sciences in the socio-ecological paper.
Most of the papers are classified as socio-ecological science because of the interdisciplinary aspects involving both ecology and social science. Some of the papers integrate social and ecological concepts, for instance, addressing social trends such as population growth and ecological factors such as inundation and flooding.
The main authors of these studies are affiliated with developed countries such as the United Kingdom, the United States of America, and Japan. Most of the top institutions that produce articles on the topic of climate change and vulnerability are also situated in developed countries. Authors and institutions from economies in transitioning countries and countries with developing economies are increasing the production of articles related to this field of study. However, more research is needed in these countries because they are more impacted by climate change and are more vulnerable to its economic and social consequences [62].
The metric of total publications by journal indicates that the top journals also receive a high number of citations, demonstrating the quality of the journals. This is exhibited by the climate change and vulnerability, climate change and islands, and vulnerability and islands topics. The total number of citations depends on the accessibility of the articles to researchers, so any research can gain greater benefits and more citations if the journals can be openly accessed by researchers, especially researchers from developing and underdeveloped countries. According to the citation metrics, the number of citations per paper received by papers on the topic of climate change and vulnerability can be considered to be relatively high, indicating that they have attracted significant attention and recognition compared to the other three topics. Meanwhile, the other three topics are rather similar in the number of citations per paper, showing the equal importance of these topics in the literature.
The network visualisation conducted in this study was used to present co-authorship by country, co-occurrence by keywords, and citation analysis. The co-authorship by country analysis could be used to understand global research collaboration patterns and evaluate the effects of such collaboration on research outputs and impacts. Furthermore, the analysis could also be used to identify countries with similar research interests and promote partnerships. In all topics, developed countries or high-income countries, such as the United States, the United Kingdom, and Australia, were the most active. Researchers are encouraged to collaborate with those from other countries to improve how they can learn from each other, besides boosting the impact of publications. Such partnerships aid knowledge sharing and technology transfer from more developed or high-income countries to low-income countries.
Future climate change vulnerability research should focus on the possible effects on the psychological well-being and mental health of vulnerable individuals. Other focus areas should be the social, economic, and political consequences and implications of climate-induced migration; the role of social networks; governance structures; and community engagement in building resilience to climate change. In addition, policy interventions and effective adaptations to climate change need to be evaluated by exploring, for example, regulations, incentives, or funding mechanisms. Regarding climate change and islands, future investigations should delve into the potential effects of climate change on islanders’ cultural and traditional heritage, along with methods of preserving and upholding these values. Moreover, a future focus of research regarding the vulnerability of islands could be finding affordable and natural-based solutions to reduce islands’ vulnerability to coastal erosion and flooding. In addition, it would be useful to investigate the potential for social innovation and entrepreneurship to reduce vulnerability on islands.
More research needs to be conducted related to climate change on islands because islands are vulnerable due to a variety of factors, including geography, proximity to the nearest mainland, healthcare facilities, and the intensity of meteorological features such as frequent and intense heatwaves, floods, storm surges, and hurricanes. Future studies could focus on investigating the potential for circular economy approaches to reduce islands’ vulnerability to climate change, particularly those that rely heavily on imports and exports. The effects of climate change on human health, including the transmission of infectious diseases, could form the basis of possible future research projects to be undertaken in island areas, which often have limited healthcare capacities. Because the effects of climate change on islands are both significant and concerning, research should cover all islands rather than focusing solely on Small Island Developing States. More research on all islands is required because the effects, vulnerabilities, and adaptations vary from one island to the next.
Prospective research encompassing both ecological and social sciences may lead to a more thorough knowledge of the intricate relationship between natural ecosystems and human societies in the context of climate change. Among the integration studies that can be applied, one approach is to investigate the ecological resilience of island ecosystems, which can influence and interact with social factors to shape effective adaptation plans. Furthermore, vulnerability mapping that covers socio-ecological vulnerability can help policymakers intervene in targeted and context-specific spots. The application of remote sensing and geographical information systems can be utilised to further integrate ecology, social vulnerability, and resilience [63,64,65].
Nevertheless, this research is subject to certain limitations that could be addressed in future research. While this study was limited to one database, Scopus, future researchers could include other databases, such as Web of Science and Google Scholar, to enhance the comprehensiveness of the research outcomes. Secondly, other analysis methods, such as citation analysis, co-citation analysis, and bibliographic coupling, could be included to examine the broader aspects of bibliometric reviews that were not presented in this paper. Thirdly, future reviews can focus on collecting more localised and specific data, including unique vulnerabilities, adaptation strategies, and socioeconomic impact, to provide a more comprehensive analysis and contribute to a deeper understanding of the obstacles faced by vulnerable communities. Subsequently, further analysis by country of full or partial insular collaboration could be considered for these topics. The next step is to consider the spatial focus or scale of the publications in order to enhance the interpretation and generalisability of research findings. The incorporation of such analysis in future research will also be considered to enhance the comprehensiveness of this work.
5. Conclusions
Climate change vulnerability is a global issue with which many communities are concerned, particularly those living in susceptible and sensitive areas such as islands. A practical effort to ascertain the worldwide response is to clearly capture the status of research on climate change vulnerability, climate change on islands, and the vulnerability of islands, which should encourage more studies that focus on climate change vulnerability on islands. The purpose of this study was to review the publication trends in these research areas using bibliometric analysis, including yearly publications, research subjects, the most productive authors, countries, and journals, and the most frequently cited papers. Network collaboration assessments were conducted using VOSviewer to explore co-authorship among authors and countries. Additionally, the themes were clustered, and the thematic evolution of the topics over time and area was analysed through co-occurrence analysis using author names and index keywords.
The number of publications on all topics was increasing, illustrating the trends of concern to the research community; however, publication numbers differed. The issue of vulnerability to climate change had the greatest number of publications compared with the other topics. More research on the climate change vulnerability of islands is needed, as this topic has had the fewest publications despite the critical vulnerability of islands to impacts associated with climate change. The network visualisation illustrates the co-authorship among countries, showing that more active collaboration is needed, especially with and between researchers from low-income countries, because they are the most vulnerable to the impacts of climate change due to limited resources and dependence on climate-sensitive sectors, such as fisheries and agriculture. In addition, more localised data will help to understand the unique ecosystems and economies of these countries. Researchers from high-income countries can help in capacity building, knowledge sharing, technology transfer, and policy advocacy by working with their counterparts in low-income countries.
These findings will be of interest to academics, researchers, policymakers, and communities, as they offer insights into climate change vulnerability, climate change on islands, the vulnerability of islands, and the climate change vulnerability of islands. Academics could educate the public by presenting the basics of these topics. Meanwhile, aided by this study, researchers could focus on undertaking work with appropriate, important, and adequate research themes. This study lays the foundations for future research into issues of migration, island health sectors, and the potential for island circular economies. It is also recommended to investigate the effect of climate change on traditional and cultural heritage. Researchers could also collaborate with productive authors or add more suitable research. Policy-makers and local communities can learn from the most impactful and productive research to potentially adopt suitable measures for living and coping with climate change.
Supplementary Materials
The following supporting information can be downloaded at: https://www.mdpi.com/article/10.3390/su151713064/s1, Figure S1: The proportion of publications by subject; Table S1: Summary of co-authorship by countries; Table S2: Co-occurrence of keywords for climate change and vulnerability; Table S3: Co-occurrence of keywords for climate change and island; Table S4: Co-occurrence of keywords for vulnerability and island; Table S5: Co-occurrence of keywords for climate change and vulnerability and island.
Author Contributions
Conceptualisation, J.J.P. and N.M.; methodology, N.A.Z.; validation, N.A.Z.; formal analysis, N.A.Z.; investigation, N.A.Z.; resources, N.M. and N.A.Z.; data curation, N.M. and N.A.Z.; writing—original draft preparation, N.A.Z.; writing—review and editing, N.M. and J.J.P.; supervision, J.J.P.; funding acquisition, J.J.P. All authors have read and agreed to the published version of the manuscript.
Funding
This research received support from the grant number XX-2014-007 Cambridge Malaysian Education and Development Trust (CMEDT).
Institutional Review Board Statement
Not applicable.
Informed Consent Statement
Not applicable.
Data Availability Statement
Not applicable.
Acknowledgments
We would like to express our gratitude to the entire research team that has been involved in this publication.
Conflicts of Interest
The authors declare no conflict of interest.
References
- Kopec, R.J. Global Climate Change and the Impact of a Maximum Sea Level on Coastal Settlement. J. Geog. 1971, 70, 541–550. [Google Scholar] [CrossRef]
- Lazrus, H. Sea Change: Island Communities and Climate Change. Annu. Rev. Anthropol. 2012, 41, 285–301. [Google Scholar] [CrossRef]
- Mariano, C.; Marino, M.; Pisacane, G.; Sannino, G. Sea Level Rise and Coastal Impacts: Innovation and Improvement of the Local Urban Plan for a Climate-Proof Adaptation Strategy. Sustainability 2021, 13, 1565. [Google Scholar] [CrossRef]
- Ehsan, S.; Ara Begum, R.; Ghani Md Nor, N.; Nizam Abdul Maulud, K. Current and Potential Impacts of Sea Level Rise in the Coastal Areas of Malaysia. IOP Conf. Ser. Earth Environ. Sci. 2019, 228, 012023. [Google Scholar] [CrossRef]
- Pei, Y.; Qiu, H.; Yang, D.; Liu, Z.; Ma, S.; Li, J.; Cao, M.; Wufuer, W. Increasing Landslide Activity in the Taxkorgan River Basin (Eastern Pamirs Plateau, China) Driven by Climate Change. Catena 2023, 223, 106911. [Google Scholar] [CrossRef]
- Zhu, G.; Liu, Y.; Wang, L.; Sang, L.; Zhao, K.; Zhang, Z.; Lin, X.; Qiu, D. The Isotopes of Precipitation Have Climate Change Signal in Arid Central Asia. Glob. Planet. Chang. 2023, 225, 104103. [Google Scholar] [CrossRef]
- Bhattacharjee, A.; Anadón, J.D.; Lohman, D.J.; Doleck, T.; Lakhankar, T.; Shrestha, B.B.; Thapa, P.; Devkota, D.; Tiwari, S.; Jha, A.; et al. The Impact of Climate Change on Biodiversity in Nepal: Current Knowledge, Lacunae, and Opportunities. Climate 2017, 5, 80. [Google Scholar] [CrossRef]
- Wyllie de Echeverria, V.R.; Thornton, T.F. Using Traditional Ecological Knowledge to Understand and Adapt to Climate and Biodiversity Change on the Pacific Coast of North America. Ambio 2019, 48, 1447–1469. [Google Scholar] [CrossRef]
- Gravitiani, E.; Fitriana, S.N.; Bernadeta, R.; Pratiwi, S.R. Climate Change Impact to Socio-Economy Vulnerability in Northern Java Coastal Area. IOP Conf. Ser. Earth Environ. Sci. 2018, 200, 012058. [Google Scholar] [CrossRef]
- Přívara, A.; Přívarová, M. Nexus between Climate Change, Displacement and Conflict: Afghanistan Case. Sustainability 2019, 11, 5586. [Google Scholar] [CrossRef]
- Tabe, T. Climate Change Migration and Displacement: Learning from Past Relocations in the Pacific. Soc. Sci. 2019, 8, 218. [Google Scholar] [CrossRef]
- Ligsay, A.; Telle, O.; Paul, R. Challenges to Mitigating the Urban Health Burden of Mosquito-Borne Diseases in the Face of Climate Change. Int. J. Environ. Res. Public Health 2021, 18, 5035. [Google Scholar] [CrossRef]
- Ford, J.D.; Sherman, M.; Berrang-Ford, L.; Llanos, A.; Carcamo, C.; Harper, S.; Lwasa, S.; Namanya, D.; Marcello, T.; Maillet, M.; et al. Preparing for the Health Impacts of Climate Change in Indigenous Communities: The Role of Community-Based Adaptation. Glob. Environ. Chang. 2018, 49, 129–139. [Google Scholar] [CrossRef]
- Galappaththi, E.K.; Ford, J.D.; Bennett, E.M.; Berkes, F. Adapting to Climate Change in Small-Scale Fisheries: Insights from Indigenous Communities in the Global North and South. Environ. Sci. Policy 2021, 116, 160–170. [Google Scholar] [CrossRef]
- Savage, A.; Schubert, L.; Huber, C.; Bambrick, H.; Hall, N.; Bellotti, B. Adaptation to the Climate Crisis: Opportunities for Food and Nutrition Security and Health in a Pacific Small Island State. Weather. Clim. Soc. 2020, 12, 745–758. [Google Scholar] [CrossRef]
- Maiti, S.; Jha, S.K.; Garai, S.; Nag, A.; Bera, A.K.; Paul, V.; Upadhaya, R.C.; Deb, S.M. An Assessment of Social Vulnerability to Climate Change among the Districts of Arunachal Pradesh, India. Ecol. Indic. 2017, 77, 105–113. [Google Scholar] [CrossRef]
- Thornton, P.K.; Ericksen, P.J.; Herrero, M.; Challinor, A.J. Climate Variability and Vulnerability to Climate Change: A Review. Glob. Chang. Biol. 2014, 20, 3313–3328. [Google Scholar] [CrossRef]
- Hare, W.L.; Cramer, W.; Schaeffer, M.; Battaglini, A.; Jaeger, C.C. Climate Hotspots: Key Vulnerable Regions, Climate Change and Limits to Warming. Reg. Environ. Chang. 2011, 11, 1–13. [Google Scholar] [CrossRef]
- Otto, I.M.; Reckien, D.; Reyer, C.P.O.; Marcus, R.; Le Masson, V.; Jones, L.; Norton, A.; Serdeczny, O. Social Vulnerability to Climate Change: A Review of Concepts and Evidence. Reg. Environ. Chang. 2017, 17, 1651–1662. [Google Scholar] [CrossRef]
- Mack, E.A.; Theuerkauf, E.; Bunting, E. Coastal Typology: An Analysis of the Spatiotemporal Relationship between Socioeconomic Development and Shoreline Change. Land 2020, 9, 218. [Google Scholar] [CrossRef]
- Hay, J.E.; Forbes, D.L.; Mimura, N. Understanding and Managing Global Change in Small Islands. Sustain. Sci. 2013, 8, 303–308. [Google Scholar] [CrossRef]
- Zhou, J.; Wang, L.; Zhong, X.; Yao, T.; Qi, J.; Wang, Y.; Xue, Y. Quantifying the Major Drivers for the Expanding Lakes in the Interior Tibetan Plateau. Sci. Bull. 2022, 67, 474–478. [Google Scholar] [CrossRef] [PubMed]
- Li, H.; Hui, Y.; Pan, J. Evolution and Influencing Factors of Social-Ecological System Vulnerability in the Wuling Mountains Area. Int. J. Environ. Res. Public Health 2022, 19, 11688. [Google Scholar] [CrossRef] [PubMed]
- Metcalf, S.J.; van Putten, E.I.; Frusher, S.; Marshall, N.A.; Tull, M.; Caputi, N.; Haward, M.; Hobday, A.J.; Holbrook, N.J.; Jennings, S.M.; et al. Measuring the Vulnerability of Marine Social-Ecological Systems: A Prerequisite for the Identification of Climate Change Adaptations. Ecol. Soc. 2015, 20, 35. [Google Scholar] [CrossRef]
- Zeleňáková, M.; Blistan, P.; Purcz, P. Assessment of Flood Vulnerability in the Bodva Catchment Using Multicriteria Analysis and Geographical Information Systems. River Basin Manag. VIII 2015, 1, 51–59. [Google Scholar] [CrossRef]
- Veron, S.; Mouchet, M.; Govaerts, R.; Haevermans, T.; Pellens, R. Vulnerability to Climate Change of Islands Worldwide and Its Impact on the Tree of Life. Sci. Rep. 2019, 9, 14471. [Google Scholar] [CrossRef]
- Mimura, N. Vulnerability of Island Countries in the South Pacific to Sea Level Rise and Climate Change. Clim. Res. 1999, 12, 137–143. [Google Scholar] [CrossRef]
- Rovisham, J.; Doorga, S. Climate Change and the Fate of Small Islands: The Case of Mauritius. Environ. Sci. Policy 2022, 136, 282–290. [Google Scholar] [CrossRef]
- Song, W. Climate Change and Tourism Sustainability in Jeju Island Landscape. Sustainability 2023, 15, 88. [Google Scholar] [CrossRef]
- Pathmanandakumar, V.; Chenoli, S.N.; Goh, H.C. Linkages between Climate Change and Coastal Tourism: A Bibliometric Analysis. Sustainability 2021, 13, 10830. [Google Scholar] [CrossRef]
- Fan, J.; Liu, G.; Xia, Z.; Cai, S. A Bibliometric Analysis of Climate Change Risk Perception: Hot Spots, Trends and Improvements. Front. Environ. Sci. 2022, 10, 917469. [Google Scholar] [CrossRef]
- Nalau, J.; Verrall, B. Mapping the Evolution and Current Trends in Climate Change Adaptation Science. Clim. Risk Manag. 2021, 32, 100290. [Google Scholar] [CrossRef]
- Wang, B.; Pan, S.Y.; Ke, R.Y.; Wang, K.; Wei, Y.M. An Overview of Climate Change Vulnerability: A Bibliometric Analysis Based on Web of Science Database. Nat. Hazards 2014, 74, 1649–1666. [Google Scholar] [CrossRef]
- Echchakoui, S. Why and How to Merge Scopus and Web of Science during Bibliometric Analysis: The Case of Sales Force Literature from 1912 to 2019. J. Mark. Anal. 2020, 8, 165–184. [Google Scholar] [CrossRef]
- Donthu, N.; Kumar, S.; Mukherjee, D.; Pandey, N.; Lim, W.M. How to Conduct a Bibliometric Analysis: An Overview and Guidelines. J. Bus. Res. 2021, 133, 285–296. [Google Scholar] [CrossRef]
- Jan van Eck, N.; Waltman, L. VOSviewer Manual. 2022. Available online: https://www.vosviewer.com/documentation/Manual_VOSviewer_1.6.18.pdf (accessed on 1 March 2023).
- Zakaria, R.; Ahmi, A.; Ahmad, A.H.; Othman, Z. Worldwide Melatonin Research: A Bibliometric Analysis of the Published Literature between 2015 and 2019. Chronobiol. Int. 2021, 38, 27–37. [Google Scholar] [CrossRef]
- Moher, D.; Liberati, A.; Tetzlaff, J.; Altman, D.G. Preferred Reporting Items for Systematic Reviews and Meta-Analyses: The PRISMA Statement. BMJ 2009, 339, 332–336. [Google Scholar] [CrossRef]
- Van Der Laan, E.; Pedro, J.; Filipe, L.; Carvalho, S.; Mendonça, F. Assessing the Climate Change Adaptability of Sustainable Land Management Practices Regarding Water Availability and Quality: A Case Study in the Sorraia Catchment, Portugal. Sci. Total Environ. 2023, 897, 165438. [Google Scholar] [CrossRef]
- Yuan, L.; Wu, X.; He, W.; Mulugeta, D.; Kong, Y.; Yang, Y.; Xu, S.; Stephen, T. Utilizing the Strategic Concession Behavior in a Bargaining Game for Optimal Allocation of Water in a Transboundary River Basin during Water Bankruptcy. Environ. Impact Assess. Rev. 2023, 102, 107162. [Google Scholar] [CrossRef]
- Vörösmarty, C.J.; Green, P.; Salisbury, J.; Lammers, R.B. Global Water Resources: Vulnerability from Climate Change and Population Growth. Science 2016, 289, 284–288. [Google Scholar] [CrossRef]
- Lindner, M.; Maroschek, M.; Netherer, S.; Kremer, A.; Barbati, A.; Garcia-Gonzalo, J.; Seidl, R.; Delzon, S.; Corona, P.; Kolstrom, M.; et al. Climate Change Impacts, Adaptive Capacity, and Vulnerability of European Forest Ecosystems. For. Ecol. Manag. 2010, 259, 698–709. [Google Scholar] [CrossRef]
- Kelly, P.M.; Adger, W.N. Theory and Practice in Assessing Vulnerability to Climate Change and Facilitating Adaptation. Clim. Chang. 2000, 47, 325–352. [Google Scholar] [CrossRef]
- Füssel, H.-M. Vulnerability: A Generally Applicable Conceptual Framework for Climate Change Research. Glob. Environ. Chang. 2007, 17, 155–167. [Google Scholar] [CrossRef]
- Brien, K.O.; Leichenko, R.; Kelkar, U.; Venema, H.; Aandahl, G.; Tompkins, H.; Javed, A.; Bhadwal, S.; Barg, S.; Nygaard, L.; et al. Mapping Vulnerability to Multiple Stressors: Climate Change and Globalization in India. Glob. Environ. Chang. 2004, 14, 303–313. [Google Scholar] [CrossRef]
- Barnett, J. Adapting to Climate Change in Pacific Island Countries: The Problem of Uncertainty. World Dev. 2001, 29, 977–993. [Google Scholar] [CrossRef]
- Uyarra, M.C.; Cote, I.M.; Gill, J.A.; Tinch, R.R.; Viner, D.; Watkinson, A.R. Island-Specific Preferences of Tourists for Environmental Features: Implications of Climate Change for Tourism-Dependent States. Environ. Conserv. 2005, 32, 11–19. [Google Scholar] [CrossRef]
- Hiwasaki, L.; Luna, E.; Shaw, R. International Journal of Disaster Risk Reduction Process for Integrating Local and Indigenous Knowledge with Science for Hydro-Meteorological Disaster Risk Reduction and Climate Change Adaptation in Coastal and Small Island Communities. Int. J. Disaster Risk Reduct. 2014, 10, 15–27. [Google Scholar] [CrossRef]
- Weigelt, P.; Steinbauer, M.J.; Cabral, J.S.; Kreft, H. Late Quaternary Climate Change Shapes Island Biodiversity. Nature 2016, 532, 99–102. [Google Scholar] [CrossRef]
- Briguglio, L. Small Island Developing States and Their Economic Vulnerabilities. World Dev. 1995, 23, 1615–1632. [Google Scholar] [CrossRef]
- Pelling, M.; Uitto, J.I. Small Island Developing States: Natural Disaster Vulnerability and Global Change. Environ. Hazards 2002, 3, 49–62. [Google Scholar] [CrossRef]
- Woodroffe, C.D. Reef-Island Topography and the Vulnerability of Atolls to Sea-Level Rise. Glob. Planet. Chang. 2008, 62, 77–96. [Google Scholar] [CrossRef]
- Mercer, J.; Dominey-howes, D.; Kelman, I.; Lloyd, K. The Potential for Combining Indigenous and Western Knowledge in Reducing Vulnerability to Environmental Hazards in Small Island Developing States. Environ. Hazards 2007, 7, 245–256. [Google Scholar] [CrossRef]
- Schwarz, A.-M.; Bene, C.; Bennett, G.; Boso, D.; Hilly, Z.; Paul, C.; Posala, R.; Sibiti, S.; Andrew, N. Vulnerability and Resilience of Remote Rural Communities to Shocks and Global Changes: Empirical Analysis from Solomon Islands’ Ne. Glob. Environ. Chang. 2011, 21, 1128–1140. [Google Scholar] [CrossRef]
- Mciver, L.; Kim, R.; Woodward, A.; Hales, S.; Spickett, J.; Katscherian, D. Health Impacts of Climate Change in Pacific Island Countries: A Regional Assessment of Vulnerabilities and Adaptation Priorities. Environ. Health Perspect. 2016, 124, 1707–1714. [Google Scholar] [CrossRef]
- Lebouvier, M.; Laparie, M.; Hulle, M.; Maraus, A.; Lalouette, L.; Vernon, P.; Candresse, T.; Frenot, Y.; Renault, D. The Significance of the Sub-Antarctic Kerguelen Islands for the Assessment of the Vulnerability of Native Communities to Climate Change, Alien Insect Invasions and Plant Viruses. Biol. Invasions 2011, 13, 1195–1208. [Google Scholar] [CrossRef]
- Kelman, I. No Change from Climate Change: Vulnerability and Small Island Developing States. Geogr. J. 2013, 180, 120–129. [Google Scholar] [CrossRef]
- Rasmussen, K.; May, W.; Birk, T.; Mataki, M.; Mertz, O.; Yee, D. Climate Change on Three Polynesian Outliers in the Solomon Islands: Impacts, Vulnerability and Adaptation. Geogr. Tidsskr. Danish J. Geogr. 2009, 109, 1–13. [Google Scholar] [CrossRef]
- Wu, H.; Wang, Y.; Tong, L.; Yan, H.; Sun, Z. Global Research Trends of Ferroptosis: A Rapidly Evolving Field With Enormous Potential. Front. Cell Dev. Biol. 2021, 9, 646311. [Google Scholar] [CrossRef]
- Uddin, S.; Hossain, L.; Abbasi, A.; Rasmussen, K. Trend and Efficiency Analysis of Co-Authorship Network. Scientometrics 2012, 90, 687–699. [Google Scholar] [CrossRef]
- Crary, A.P.; Kulp, J.L.; Marshall, E.W. Evidences of Climatic Change from Ice Island Studies. Science 1955, 122, 1171–1173. [Google Scholar] [CrossRef]
- Birkmann, J.; Jamshed, A.; McMillan, J.M.; Feldmeyer, D.; Totin, E.; Solecki, W.; Ibrahim, Z.Z.; Roberts, D.; Kerr, R.B.; Poertner, H.O.; et al. Understanding Human Vulnerability to Climate Change: A Global Perspective on Index Validation for Adaptation Planning. Sci. Total Environ. 2022, 803, 150065. [Google Scholar] [CrossRef] [PubMed]
- Ahmed, S. Assessment of Urban Heat Islands and Impact of Climate Change on Socioeconomic over Suez Governorate Using Remote Sensing and GIS Techniques. Egypt. J. Remote Sens. Sp. Sci. 2018, 21, 15–25. [Google Scholar] [CrossRef]
- Liu, Z.; Xu, J.; Liu, M.; Yin, Z.; Liu, X.; Yin, L.; Zheng, W. Remote Sensing and Geostatistics in Urban Water-Resource Monitoring: A Review. Mar. Freshw. Res. 2023, 74, 747–765. [Google Scholar] [CrossRef]
- Marzouk, M.; Attia, K.; Azab, S. Assessment of Coastal Vulnerability to Climate Change Impacts Using GIS and Remote Sensing: A Case Study of Al-Alamein New City. J. Clean. Prod. 2021, 290, 125723. [Google Scholar] [CrossRef]
Disclaimer/Publisher’s Note: The statements, opinions and data contained in all publications are solely those of the individual author(s) and contributor(s) and not of MDPI and/or the editor(s). MDPI and/or the editor(s) disclaim responsibility for any injury to people or property resulting from any ideas, methods, instructions or products referred to in the content. |
© 2023 by the authors. Licensee MDPI, Basel, Switzerland. This article is an open access article distributed under the terms and conditions of the Creative Commons Attribution (CC BY) license (https://creativecommons.org/licenses/by/4.0/).



