Abstract
Soilborne pathogen infections are increasingly reported globally in recent years. Infectious agents have contaminated most of seasonal frozen zone and have been found in permafrost due to the effects of intensified human activities on global warming. Therefore, in regard to sustainable agriculture, it is particularly important to assess the environmental behavior of those pathogens in frozen soils. Due to high pathogenicity and low infection threshold, E. coli O157:H7 (EcO157) is a worldwide public health concern, and recent studies have focused more on its fate in the environment. The survival of this serotype in a large variety of environmental media under temperature above 0 °C has been investigated, while its persistence in frozen soils has received less attention. In this study, we collected soils with different textures from a seasonally frozen zone in northeast China and investigated the persistence of EcO157 in soils at freezing temperatures (−5 °C and −15 °C) and moisture content (30% and 60% water holding capacity (WHC)) of the soils. By fitting the survival data with a Weibull model, we obtained three parameters: first log reduction time (δ in days), survival curve shape parameters (p), and monthly average reduction in EcO157 (MAR, log·gdw−1·mon−1). The results showed that temperature has a major impact on persistence, while moisture content has less effect on the survival of EcO157. Further multi-variable analysis revealed that the physical and chemical properties (e.g., sand fraction) of soil play an important role in survival. Certain bacterial groups are significantly correlated with the survival of EcO157 in frozen soils at −5 °C but not for the ones incubated at −15 °C. Our data could provide background data to evaluate the health risk associated with EcO157. The results could be helpful to improve sustainable soil practices and to develop regulations and policies aiming to achieve sustainable agriculture.
1. Introduction
Soilborne illnesses are occurring worldwide at a faster pace than ever before [1]. Global warming shortens the duration and reduces the area of frozen soil in the Northern Hemisphere, which may accelerate the expansion of arable land [2]. Intensified human activities in those areas may result in more environmental contamination, e.g., infectious agents, which may inhibit the sustainable development of the lands. Human pathogenic microbes may enter into the frozen soils via different pathways, however the fate and transport of typical pathogens, e.g., virus, protists, parasites, pathogenic bacteria, and fungi, in frozen soils were largely unknown [1]. As a result, potential pathogenic microorganisms in the frozen soil have attracted a great deal of attention among worldwide scientists, policy makers, and the general public [3]. Definitely, more data are needed to evaluate their health risks, in order to develop effective regulation strategies for sustainable land practices, farm regulations, and agricultural policies.
In recent decades, Shiga toxin-producing E. coli has attracted worldwide attention as an important zoonotic pathogen capable of causing diarrhea, hemorrhagic enteritis, thrombotic thrombocytopenic purpura, and hemolytic uremic syndrome (Hus) in humans, and may even endanger human lives [4,5]. Since it was first confirmed as a human pathogen in 1982, most countries in the world have reported its infections [5,6]. According to statistics from the European Food Safety Agency, there were 2739 cases of E. coli infection in European countries in 2014 [7]. EcO157 infections have been reported from 2006 to present by the CDC (Centers for Disease Control and Prevention). It has been found that the feces of ruminants are a major source of EcO157, containing up to 108 CFU (colony forming units)·g−1 [8,9]. Manure carrying EcO157 may pollute soils and irrigation water in agricultural farms [10]. Thus, soil is most likely to be directly contaminated by feces carrying EcO157 [10], which in turn contaminates fruits and vegetables and eventually enters the food chain, and finally cause human infection [11]. Thus, research into the environmental behaviors of EcO157 in soils is essential for the assessment and control of the health risks associated with such pathogens.
Frozen soil refers to various rocks and soils containing ice at or below 0 °C, covering 50% of the earth’s land surface and has attracted lots of attention due to the large amounts of organic matter released upon its melting, which further contributes to global warming [12,13]. Depending on the duration of freezing, frozen soils can be classified as permafrost or seasonally frozen soils [14]. Seasonally frozen soil, which generally freezes in winter and melts in summer, is more common than permafrost globally and is widely distributed in the Northern Hemisphere [15]. It is widely exploited because of its rich mineral resources and abundant water, energy and gas resources, and is inhabited by the population of many of the world’s countries [14].
Currently, there are fewer studies on the survival behavior of pathogenic bacteria, especially EcO157, in frozen soil [16,17]. Existing studies have shown that freezing temperature is a key determinant of the activity of EcO157 under frozen conditions. Hrishikesh noted that most serotypes of EcO157 survived in frozen soil for more than 6 months and that the survival of EcO157 strains decreased with increasing moisture content and temperature [16]. Panikov found that changes in microbial activity could be adequately explained by the relationship between temperature and unfrozen water content in permafrost [16,17]. There are few studies on the persistence of pathogenic microorganisms in frozen soils, while studies on frozen food were frequently reported, e.g., the persistence of EcO157 could be improved in frozen apple juice [18], and the survival of EcO157 and Salmonella was significantly lower in frozen stored raspberries [19]. Numerous studies have shown that EcO157 populations in frozen foods were slow to die off [20,21,22,23,24,25]. In addition, different frozen foods and the different handling of frozen foods can also affect EcO157 survival [26,27]. It could be deduced that EcO157 also survives longer in frozen soil, and that different freezing temperatures and water content may have different effects on its persistence. Since the longer the survival of EcO157, the greater the potential for transmission of this pathogen to humans. Therefore, additional efforts are required to better understand the mechanisms that are involved in the survival of such pathogens in frozen soils.
In order to bridge the knowledge gap regarding the fate of EcO157 in frozen soils, we investigated the persistence of EcO157 in frozen soils samples collected from a seasonally frozen zone located in northeastern China. The objectives of this study were to (1) investigate the persistence profile of EcO157 in frozen soils, (2) test the effect of freezing temperature (−5 °C and −15 °C) and soil moisture (30% water holding capacity, 60% water holding capacity) on the persistence of EcO157, and (3) discuss the potential mechanisms involved in the persistence of EcO157 in frozen soils. Definitely, more data are needed to evaluate their health risks in order to develop effective regulation strategies for sustainable soil practices, farm management, and agricultural development.
2. Materials and Methods
2.1. Soil Sampling and Characterization
Soil samples were collected from Jilin and Inner Mongolia, NE China. The sampling area ranges from 119°51′21″ E to 124°59′1″ E and 42°52′24″ N to 43°56′6″ N (Table S1 and Figure 1). Surface soils (0–20 cm) were collected with sterile stainless steel. Each sample was made up of 3 separate soil cores taken at 5 m intervals. Soil samples were transported to the laboratory on ice after an in situ sieving (2 mm) to remove stones and animal and plant residues. The samples were divided into two subsamples. One subsample was air dried to determine physical and chemical properties, the other one was stored in a −80 °C refrigerator for community DNA extraction.
Figure 1.
Map of study area and sample distribution.
Soil moisture content was measured by the weight loss under 105 °C [28]. Soil particle content was measured using a laser particle size analyzer (Bettersize 2000, Dandong, China). Total nitrogen (TN) content was measured using an elemental analyzer (vario MACRO cube, Elementar, Frankfurt, Germany). The pH and electrical conductivity salinity (EC, μS/cm, soil to water = 1:2.5) were measured using a pH meter (FE20, Mettler, Shanghai, China) and digital conductivity meter (DDS-11A, Rex, Shanghai, China), respectively. Total dissolved phosphorus (TDP, mg/kg) was determined using the antimony-molybdenum colourimetric method [29]. Ammonium nitrogen (NH4+-N, mg/kg) was determined using the Nessler reagent colourimetric method [30]. Nitrate nitrogen (NO3−-N, mg/kg) was determined by dual wavelength UV spectrophotometry [30]. Water soluble organic carbon (WSOC, mg/kg, soil to water = 1:2.5) was determined using the TOC instrument (TOC-VCPH, Shimazu, Kyoto, Japan) [28]. The results of soil samples characterization are shown in Table S2.
2.2. Soil DNA Extraction and Sequencing
Total soil community DNA was extracted from soil samples using a DNA Isolation Kit (Omega, Carlsbad, CA, USA), overall DNA quality was examined by 0.8% agarose gel electrophoresis, and the concentration of soil DNA was evaluated using NanoDrop 2000 (Thermo Scientific, Waltham, MA, USA). The V3-V4 region of 16S rRNA gene was amplified using 338F (5′-ACTCCTACGGGAGGCAGCA) and 806R (5′-GGACTACHVGGTWTCTAAT) primers. The sequencing library was then constructed by TruSeq Nano DNA LT Library Prep Kit (Illumina, San Diego, CA, USA). High throughput sequencing was finally conducted on an Illumina MiSeq platform (Illumina, San Diego, CA, USA) using the double-end (2 × 300 bp) sequencing protocol. OTU (Operational Taxonomic Unit) is a method of classifying microorganisms based on the degree of similarity of gene sequencing results. Most sequencing of community structural diversity based on the 16SRNA gene uses a set threshold of 97% similarity. The sequenced OTU representative sequences are compared with the respective corresponding databases to obtain information on the corresponding microorganisms. All bacterial community DNA was extracted from unfrozen soils, as it did not differ significantly from frozen soils.
2.3. Bacteria Strains
The strain used in this study was E. coli O157:H7 EDL931 (ATCC 35150). It was originally isolated from human feces [31]. In order to facilitate colony counting in persistence experiments, simultaneous mutants of a wild-type strain was screened by firstly plating cells on LB agar containing rifampicin (100 mg/L), and rifampicin resistant cells were plated on medium containing nalidixic acid (25 mg/L). The rifampicin and nalidixic acid cells were finally confirmed by plating on medium containing both rifampicin and nalidixic acid [30].
2.4. Persistence Experiment
EDL931 on cryobeads saved in a −80 °C freezer was streaked on a LB agar, and the plates were incubated at 37 °C for cell resuscitation. Then, single colonies were restreaked on a LB agar containing 20 mg/L nalidixic acid and 100 mg/L rifampicin, and cultured at 37 °C overnight. Single colonies were selected and inoculated into 100 mL LB broth for 14–16 h. The cell culture was centrifuged at 18,000× g at 4 °C. The cell pellet was washed with 0.9% NaCl, resuspended in deionized water, and left in dark under 4 °C overnight as a starvation treatment. The wash and starvation procedures were required to remove the nutrients on and inside the cells to simulate the realistic environmental conditions [30].
Cell suspension and deionized water were supplemented into the soils to adjust the soil moisture to 30% and 60% WHC, respectively. Final concentration corresponds to approximately 108 colony forming units (CFU) per gram dry soil [4,32]. Then, each soil was further divided into two parts and packed into 5 mL sterile plastic centrifuge tubes with small holes on caps to allow for air exchange. The centrifuge tubes containing the soil samples were then put into freezers maintained at −5 °C and −15 °C, respectively. Therefore, 4 treatments were made as following: Treat1 (−5 °C and 30% WHC), Treat 2 (−5 °C and 60% WHC), Treat3 (−15 °C and 30% WHC), and Treat4 (−15 °C and 60% WHC). Triplicate samples were prepared for each of the sample in all treatments. Freezing speed stays the same for all experiments, 1 °C/min, and it takes 25 min and 35 min to reach −5 °C and −15 °C from room temperature (20 °C), respectively. Centrifuge tubes were taken from the freezers at a fixed sampling interval. About 1.0 g of soil sample (dry soil equivalent) was taken from the central part of the whole soil samples, weighed in 15 mL test tubes, thawed at 4 °C. After the frozen soil samples were fully thawed, 4 mL of 0.1% buffered peptone water was added to the test tubes and vortexed by using a multi-tube vortexer (vortex meters) (Kylin-Bell 5, Haimen, Jiangsu China). The soil (cell) suspension was then subjected to 10× serial dilution. A 50 μL soil suspension of the two highest dilution was plated onto SMAC-BCIG agar supplemented with 20 mg/L nalidixic acid and 100 mg/L rifampicin and then incubated at 37 °C overnight to count the CFU using a colony counter (LK97-A, Kangning, Shanghai, China).
2.5. Survival Data Modeling
Firstly, the concentration data were log transformed to obtain log (CFU·gdw−1) and standard deviation. The excel plug-in Ginafit v1.5 was applied to fit the experimental data [33]. The following equation can be used to calculate p and δ:
where t is the sampling time (day), N0 is the initial concentration of EcO157 in soil, and p is the shape parameter of the persistence curve. Depending on whether they are greater than, equal to, or less than 1, the persistence curves could display a convex, linear, and concave curves, respectively. δ is the scale parameter of the persistence curve, indicating the time needed for the first log reduction in EcO157 population.
Additionally, monthly average reduction rates (MAR, log·gdw−1·mon−1) were calculated using the equation below. MAR could be used as the key parameter to represent the persistence in frozen soils.
where MAR are the monthly average reduction rates (log·gdw−1·mon−1), t is the sampling time (day), N0 is the inoculation size (log CFU·gdw−1), and Nt is the cell counts at time t. In this study, the first and last sampling times were used for the calculation of MAR.
2.6. Statistical Analysis
Origin 2018 (Origin Lab Corp, Northampton, MA, USA) was used for graphics rendering, such as persistence curves and box plots. Multivariate analysis of variance was performed using SPSS 22.0 (IBM, Armonk, NY, USA). Principal coordinate analysis (PCoA), dissimilarity analysis, Mantel and partial Mantel tests, and coexistence network analysis were performed using R 3.5.2 [34]. PCoA analysis was performed using the vegan package to visualize the similarities or differences between samples [34]. Dissimilarity analysis was used to explore the difference among samples based on various distance algorithms. The Mantel test was used to calculate the correlation between two distance matrices. The psych and hmisc package were used in coexistence with network analysis to analyze the interaction between soil properties, bacterial communities, and persistence parameters based on Pearson correlation. Only connections with significant correlations (p < 0.05) were retained, and finally, the network was visualized by Gephi 0.10.1 [32,35]. Structural equation model (SEM) is a statistical analysis method based on the lavaan package in R 3.5.2 and was used to analyze the direct or indirect standardized path coefficients (λ) between soil physicochemical properties, bacterial communities, and EcO157 persistence parameters [30]. Several parameters are used to correct as well as to judge the fitness of the model (χ2, chi-square; p value; the ratio of χ2 and degrees of freedom (CMIN/DF); goodness-of-fit index (GFI); root-mean-square error of approximation (RMSEA); and Akaike information criterion (AIC)). The range of parameters for which the model fits well is as follows: CMIN/DF < 3, p > 0.05, GFI > 0.90, RMSEA < 0.08. AIC is used for comparison when different models are selected; the smaller the value, the better [36,37].
3. Results
3.1. EcO157 Persistence in Frozen Soils
The persistence curves of EcO157 for 15 soil samples under the 4 treatments are shown in Figure 2. The results showed that at −5 °C (Figure 2A,B), the cell numbers dropped sharply during the first 2 weeks post inoculation, and then declined slowly afterwards. In contrast, at −15 °C (Figure 2C,D), the number of cells decreased at a smaller rate during the same period and continue to die off at an even small step.
Figure 2.
The persistence curves under the four treatments are as follows: Treat1 (A), −5 °C, 30% WHC; Treat2 (B), −5 °C, 60% WHC; Treat3 (C), −15 °C, 30% WHC, Treat4 (D), −15 °C, 60% WHC. The standard error is the average of triplicate measurements.
A detailed comparison of EcO157 persistence parameters obtained under 4 treatments is shown in Figure 3. In Treat1 (−5 °C, 30% WHC; Figure 3A), MAR for EcO157 ranged from 0.61 to 0.88 log·gdw−1·mon−1, with the average being 0.75 log·gdw−1·mon−1. δ ranged from 0.20 to 7.53 days, with a mean of 3.13 days. In Treat2 (−5 °C, 60% WHC), MAR values ranged from 0.59 to 0.94 log·gdw−1·mon−1 with a mean of 0.83 log·gdw−1·mon−1, and δ ranged from 6.5 to 15.19 days, with a mean of 10.06 days. In Treat3 (−15 °C, 30% WHC), MAR values ranged from 0.24 to 0.54 log CFU·gdw−1 · mon−1, with a mean of 0.39 log CFU·gdw−1·mon−1. δ ranged between 0.95 and 74.76 days with a mean of 21.72 days. In Treat4 (−15 °C, 60% WHC), MAR values ranged between 0.15 and 0.38 log CFU·gdw−1·mon−1, with a mean of 0.26 log CFU·gdw−1·mon−1. δ ranged between 0.57 and 90.62 days with a mean of 42.86 days. All curves had a shape parameter p less than 1 and showed concave curves. Further statistical analysis revealed that Treat1 and 2 shared a larger MAR, while Treat3 and 4 shared a smaller MAR, although the MAR obtained at the same freezing temperature was significantly different.
Figure 3.
Box plots of comparison of persistence parameters MAR (A), p (B) and δ (C) under the four treatments. MAR, monthly average reduction (log·gdw−1·mon−1). p, shape parameter. δ, scale parameter (day). The four treatments were Treat1 (−5 °C, 30% WHC), Treat2 (−5 °C, 60% WHC), Treat3 (−15 °C, 30% WHC), and Treat4 (−15 ° C, 60% WHC). The standard error is the average of triplicate measurements. ** p < 0.01, *** p < 0.001.
3.2. Effects of Soil Freezing Temperature and Moisture on the Persistence of EcO157
To further explore the influence of freezing temperature and soil moisture on MAR, Multi-factor Analysis of Variance (MANOVA) was used. As seen in Table 1, for MAR, freezing temperature and the interaction of freezing temperature and soil moisture had a significant effect on MAR (F = 20.24, p < 0.001; F = 30.66, p < 0.001). However, moisture had no significant effect on MAR (F = 0.34, p = 0.565). For both δ and p, there were significant effects for different freezing temperatures (F = 7.33, p = 0.009; F = 199.39, p < 0.001), and different soil moisture (F = 4.43, p = 0.04; F = 20.24, p < 0.001). In addition, the interaction between freezing temperatures and moisture also had a significant effect on the survival parameter p (F = 30.66, p < 0.001). Overall, it was shown that the effect of freezing temperatures on the survival of EcO157 under freezing conditions was significantly greater than that of soil moisture on MAR. Therefore, in the following data analysis, more efforts were put on the effect of freezing temperature but not soil moisture, i.e., higher freezing temperature (−5 °C, Treat1 and 2), lower freezing temperature (−15 °C, Treat3 and 4).
Table 1.
Results of multi-factor analysis of variance (MANOVA) for persistence parameters. MAR, mean monthly reduction log value (log·gdw−1·mon−1); δ, scale parameter (days); and p, shape parameter.
3.3. Factors Influencing the Persistence of EcO157 in Frozen Soils
At different freezing temperatures (−5 °C, −15 °C), the results of the Pearson correlation analysis showed that MAR was significantly different from environmental factors and bacterial phyla correlations (Table 2). The relative abundance data of the bacteria were presented in Table S3. In Treat1 and 2, most of the physicochemical properties were significantly correlated with MAR, except pH and TDP (p < 0.05). Among the bacterial phyla with relative abundance greater than 1%, Actinobacteria, Acidobacteria, Gemmatimonadetes, Firmicutes were significantly correlated with MAR (p < 0.05). However, at −15 °C (Treat3 and 4), MAR was not significantly correlated with physicochemical properties and bacterial phyla (p > 0.05).
Table 2.
The results of Pearson correlation between MAR and soil physicochemical properties, and the relative abundance of bacterial taxa (Pearson’s p < 0.05). * p < 0.05, ** p < 0.01, *** p < 0.001.
The Mantel and partial Mantel tests were carried out on the persistence parameters of EcO157 (δ, p, and MAR) in relation to soil physicochemical properties and bacterial phyla with a relative abundance of more than 1%. The partial Mantel tests could control for one of these factors and more accurately reveal the exact relationship between persistence parameters and soil physicochemical properties or the indigenous bacterial community structure. The results (Table 3) showed that MAR under Treat1 and 2 were all significantly correlated with soil physicochemical properties and soil bacterial communities (p < 0.05), while δ, p, and MAR for Treat3 and 4 were not significantly correlated with soil physicochemical properties and soil bacterial community structure.
Table 3.
Mantel test results of soil physicochemical properties, soil bacterial community structure, and persistence parameters. MAR, monthly average reduction (log·gdw−1·mon−1); δ, scale parameter (days); and p, shape parameter. env is a matrix of environmental factors (sand, silt, clay, pH, EC, NO3−-N, NH4+-N, TDP, WSOC, and TN) for each sample site. bac is indigenous bacterial communities with relative abundance greater than 1%.
There was a direct interaction between soil physicochemical properties and bacterial communities, and their influence on the persistence of EcO157 is complex. Further coexistence network analysis could clearly visualize the factors influencing the persistence of EcO157 (Figure 4). At −5 °C, there were more connections between MAR and the other nodes, indicating a significant correlation with soil physicochemical properties and indigenous bacterial phyla (p < 0.05). In contrast, at −15 °C, there was no connection between MAR and any other nodes, indicating that the survival of EcO157 was not related to soil physicochemical properties and indigenous bacterial communities at this temperature (p > 0.05).
Figure 4.
Based on the two freezing temperatures, the relationship between the persistence parameters (δ, p, and MAR) of EcO157, soil physical and chemical properties, and the phylum with relative abundance > 1%. Treat1 and 2 (A) −5 °C, Treat2 and 3 (B) −15 °C. The green nodes represent the persistence parameter, the blue nodes represent the physical and chemical properties of soil, and the red nodes represent each phylum of bacteria. The size of each circle is proportional to the number of connections. The larger the circle, the closer the connection with other factors in the coexistence network. The red line represents a significant positive correlation (p < 0.05), the green line represents a significant negative correlation (p < 0.05), and the thickness of the line represents the correlation strength of the nodes at both ends.
Structural equation model (SEM, Figure 5) revealed that environmental variables and soil bacterial communities had direct and indirect effects on EcO157 persistence parameters at −5 °C (Treat1 and 2). In this case, clay, sand, and EC had a significant direct positive effect on MAR. TN had a significant direct negative effect on MAR. In addition, TN and sand had a significant negative effect on the bacterial community. However, no physicochemical properties had a significant effect on δ and p, and there was no significant association between soil bacterial community and persistence parameters.

Figure 5.
Structural equation model (SEM) was based on the covariance matrix being used to show the direct and indirect effect of soil physical and chemical properties (sand, clay, EC, NO3−-N, and TN) and bacterial community structures (PCo1) on the MAR (monthly average reduction) (A,B), δ (C,D) and p (E,F) of EcO157. The thickness of the paths represents the absolute value of the significance of the coefficient. The solid and broken lines indicate the positive and negative path coefficients, respectively. The total effect is the sum of the direct and indirect effects. * p < 0.05, ** p < 0.01, *** p < 0.001. χ2 is chi-square. The p is for testing the hypothesis that the model fits perfectly in the population. CMIN/DF is the ratio of χ2 to degrees of freedom. GFI is goodness-of-fit index. RMSEA is root-mean-square error of approximation.
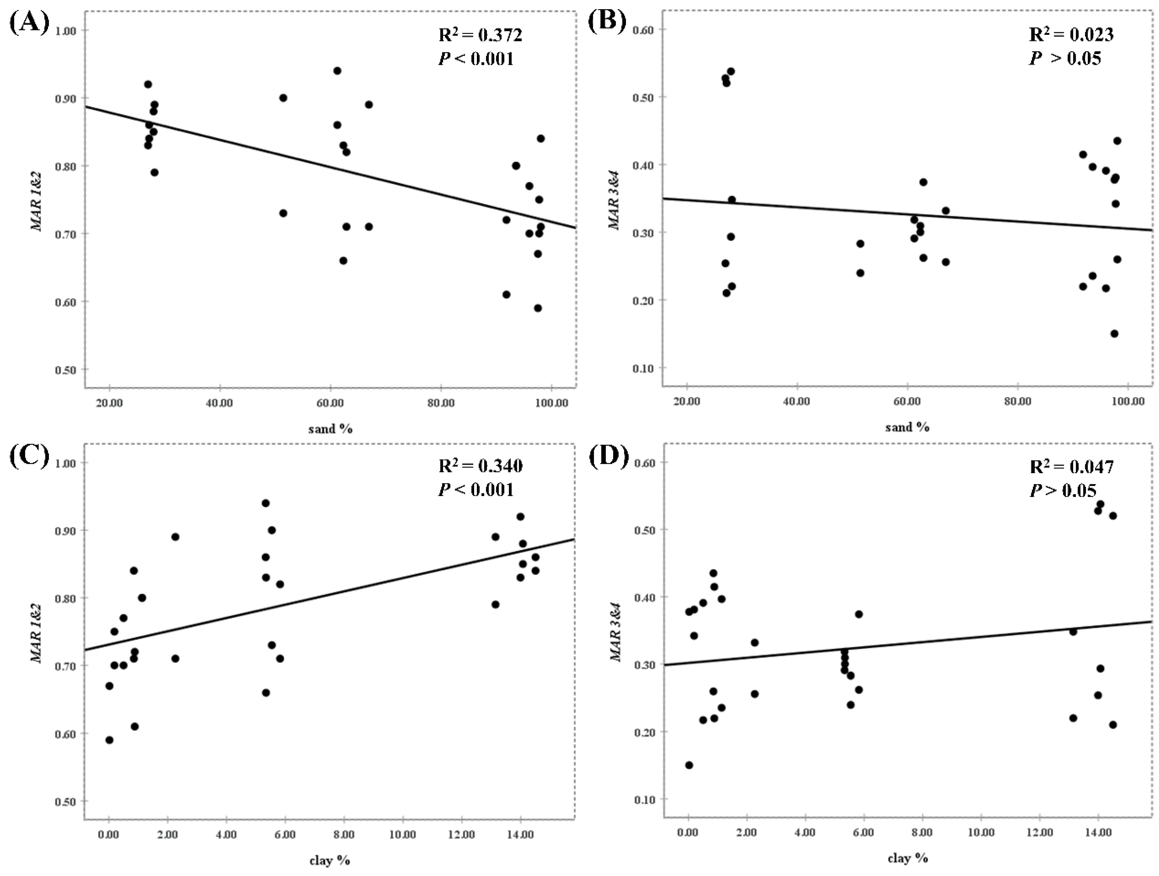
Further regression analysis showed that the sand and clay content had different effects on EcO157 survival at different freezing temperatures (Figure 6). At −5 °C (Treat1 and 2), sand content and MAR were significantly negatively correlated (Figure 6A, p < 0.001), indicating that the greater the sand content, the less the decay rate of EcO157, i.e., sand content favored the persistence of EcO157 in frozen soils. On the contrary, the clay content was positively correlated with MAR 1 and 2 (Figure 6C, p < 0.001), indicating that the greater the clay content, the greater the decline rate of EcO157, i.e., clay content promoted the decline of EcO157. At −15 °C (Treat3 and 4), both sand and clay contents displayed a similar trend in the determination of MAR 3 and 4 but were statistically not significant (Figure 6B,D, p > 0.05).
Figure 6.
The results of linear regression analysis between soil sand content (A,B), clay content (C,D) and monthly average reduction (MAR). MAR 1 and 2 are the parameter under the conditions of −5 °C, MAR 3 and 4 are under the conditions of −15 °C.
4. Discussion
4.1. EcO157 Persists Longer at −15 °C Than at −5 °C under Freezing Conditions
This study found that EcO157 cells in frozen soils could survive for a long time, and the MAR obtained at −5 °C was significantly greater than those found at −15 °C (Figure 2 and Figure 3), which implied that EcO157 persists longer at−15 °C than at −5 °C. MAR was used to indicate the persistence of EcO157 in frozen soil in this study. Our data showed that the MARs of EcO157 were 0.59–0.94 log·gdw−1·mon−1 when the freezing temperature was kept at −5 °C, while at −15 °C, the values were between 0.15 and 0.54 log·gdw−1·mon−1. Similarly, a study showed that when incubated at −5 °C, the MARs of EcO157 in frozen soils ranged from 0.25 to 0.50 log·gdw−1·mon−1. When soils were incubated at −15 °C, the values were between 0.25 and 0.38 log·gdw−1·mon−1 [16]. Overall, the MARs obtained in the current study were well in line with the literature, although the other study used different soils and experimental conditions, especially counting methods (MPN vs. viable cell plate count) [16]. The persistence of EcO157 in frozen soils was scarcely reported, while such studies were frequently found for food samples (e.g., minced meat and hamburger patties; tryptophan soy broth) [22,23]. In minced meat and hamburger patties incubated at −18 °C, the monthly average reduction in EcO157 was approximately 0.088 log·g−1·mon−1 and 0.148 log·g−1·mon−1, respectively [23]. It was found that EcO157 decreased by approximately 0.63 log·ml−1·mon−1 and 0.15 log·ml−1·mon−1 in tryptophan soy broth at −5 °C and −15 °C, respectively [22]. The greater MAR of EcO157 in our soil samples in comparison to those found in food samples may be due to the harsher soil environments, where there is a lack of sufficient nutrients and better niches, resulting in the more difficult colonization and survival of EcO157 in soils. The δ may be a function of an array of variables, including soil properties, freezing temperature, moisture, and the capability of EcO157 cells to adapt to the environmental conditions. All these factors might result in a wide range of δ values.
4.2. Frozen Temperature Not Moisture Determines Persistence of EcO157 under Freezing Conditions
This study found that freezing temperature played a more significant role in determining the persistence of EcO157 cells in frozen soils, while the role of soil water content is negligible (Table 1). This might due to the fact that the reduction in EcO157 population in frozen soils might occur during the following sequential three phases, namely cooling, freezing and frozen stages. In the first stage, cells suffered cold stress until the temperature dropped from room temperature to 0 °C. At this stage, the soil samples’ temperature started to decrease, and microbial cells became less active compared to those at room temperature. In order to adapt to this change, EcO157 cells might overexpress a series of proteins, including cold-adapted proteins, which were used to maintain physiological activities of organisms [38]. In the cooling stage, EcO157 cells were not likely to become severely damaged considering the fact that steady phase cells were used in our study; these cells are believed to better adapt to cooling than those in exponential phase [39].
The second stage, i.e., freezing stage, refers to the time period when the temperature drops from 0 °C to subzero temperatures. During this stage, the EcO157 population declined more rapidly due to two major stresses, one is potentially thermal stress, and the other is osmotic stress [40,41]. EcO157 cells might actively reduce enzyme activity and minimize metabolic activity when temperatures dropped below zero [40]. A faster decline in the viable cell count of EcO157 was found at −5 °C than that at −15 °C, indicating that the cells were subjected to more stress at relatively a higher freezing temperature (−5 °C). When the external temperature fell below the freezing point, the water in the cell did not freeze immediately, but entered a supercooling state [40]. The water around the cell froze before the cell contents, and unfrozen water might have presented as a thin film around soil and ice particles [42,43]. When the osmotic pressure in the environment was higher than in the cell, the cell is in a state of dehydration, leading to membrane damage and protein denaturation, which ultimately led to the death of EcO157 [31,44,45]. It was shown that salt is harmful to the survival of EcO157 [46]. When cells suffered potential thermal stress, heat flowed from the inside cells to outside cells, causing intracellular water crystallization, which was also lethal to the cells [44]. In contrast, when the freezing temperature lowered to −15 °C, potential thermal stress and osmotic stress were also major factor leading to a reduction in the EcO157 population. It was shown that the degree of cellular osmotic contraction depended on the predominant temperature [41]. As the freezing temperature was much lower, the faster the latent heat dissipated, and therefore, the greater protective effect for the cells [47]. At this time, the unfrozen water content was low, and the damage to the cells caused by the high osmotic environment was limited [44], so there was less damage to the cells. Consistently, less damage to the microorganisms was observed at a lower freezing temperature, since the cells began to freeze and might have even been in a “glassy state” with no ice crystals being formed intracellularly [48].
The final and long-lasting stage is the frozen stage, during which the temperature is maintained at −5 °C or −15 °C. At −5 °C, our results show that EcO157 cells were still able to maintain some microbial activity, including cross talk with neighboring microbial cells and basal metabolism, as evidenced by Table 2 and Table 3 and Figure 4, which strongly indicates the existence of microbial activity in both EcO157 and microbial communities. This may be due to changes in gene expression known collectively as the cold shock response [40]. Within this change, EcO157 cells may adjust several physiological responses by gene regulation in order to persist in cold environment. The responses might include, but are not limited to, increasing enzyme activities and membrane bilayer changes that maintain membrane fluidity and enable solute transport [49,50]. Moreover, EcO157 cells needed to resist intracellular icing by absorbing or producing solutes, thereby lowering the freezing point, in order to survive in a high osmotic stress environment [49,50,51]. The EcO157 cells that cannot adjust to the freezing environment in time would gradually die off. Conversely, at −15 °C, EcO157 cells became dormant with extremely low enzymatic and metabolic activity [52], which made them highly persistent and had a higher chance for resuscitation upon melting.
In our study, freezing speed stays the same for all experiments. Therefore, it may not significantly correlate to the persistence of EcO157 [42]. Considering the fact that the persistence of EcO157 in deep-frozen soil (Figure 3A) was greater than that of shallow-frozen soils, the frozen stage may play a more important role in the determination of EcO157 persistence in soils.
Although we did not assess the morphological and physiological changes of EcO157 cells during the freezing process, such as membrane damage, and intracellular as well as intercellular ice crystal formation during refreezing, significant changes were observed in the morphological features of E. coli [53]. Definitely, the results of those characterizations would be of great value to understand the mechanisms of EcO157 persistence in frozen soils. As a next step, we are committed to reviewing more literature to further explore the effects caused by freezing on EcO157 cells.
4.3. More Sand Favored the Persistence of EcO157 in Frozen Soils
Previous studies have shown that soil physical and chemical properties and bacterial community factors were important factors affecting the persistence of EcO157 cells [4,32]. In this study, it was found that persistence is mainly affected by physical and chemical properties. From the soil texture perspective, soil particle size had long been considered to have an important influence on the survival of soil pathogens [54,55]. EcO157 cells had different attachment preferences for particles with different sizes [56]. In general, clay particles more readily absorbed various nutrients and had attachment sites needed for bacterial colonization and growth, so they were often considered to be the key factors affecting the survival of bacteria in the soil at room temperatures [4]. Different clay minerals had distinct effects on EcO157 cells survival due to their specific physicochemical and mineralogical properties (porosity, specific surface area, hygroscopicity, ion adsorption, cation exchange capacity (CEC), crystal structure, water content, etc.) [54,55]. In this study, we found that the reduction in EcO157 concentration was rather slower in frozen soils with higher sand content, indicating that a higher sand content may be beneficial for EcO157 persistence (Figure 6A,B). In contrast, the decrease in EcO157 population was faster in soils with more clay particles, indicating that more clay was detrimental for EcO157 persistence (Figure 6C,D). This phenomenon was more striking at −5 °C. This may be due to differences in the amount of unfrozen water in sand and clay-grained soils. At freezing temperatures, clay grains had more unfrozen water than sand grains [57], and the freezing process caused the redistribution of salt in the soil, resulting in higher salt content on the surface of the clay grains [58]. This ultimately led to faster cell death under osmotic stress and potential thermal stress on soil aggregates. Therefore, EcO157 cells in sandy soils were more persistence, while in clayey soils, EcO157 cells die faster.
4.4. Other Factors That Influence the Persistence of EcO157 under Freezing Conditions
Nutrients in soil, such as organic carbon and nitrogen sources, had a key influence on the survival of EcO157 cells in soil and were an important source of nutrients for metabolism [4,32]. Ma et al. found that EC salinity was significantly and negatively correlated with EcO157 survival (p < 0.001) [4]. These were similar to the results of this study. The results of Pearson correlation analysis and structural equation analysis showed that TN, soil texture, and EC were the key factors affecting MAR (Table 2 and Figure 5). It might be because most of the water in the soil under freezing conditions exists in the form of ice, and some of the water was scattered in the soil in a free state, forming a micro-habitat near the soil particles. The nutrients absorbed by the particles and the osmotic stress affected the persistence of EcO157 cells, which was similar to the results of Mazur’s research [41].
In the soil, microorganisms are the key components that determine the function of life support [52,59,60]. They play a vital role in the material circulation and energy flow of the soil, and also affect the function of the soil ecosystem [61]. In this study, bacterial community structure and composition was obtained in unfrozen soils immediately before persistence experiments started (temperature drops from room temperature to freezing temperature). The microbial community might not vary significantly during freezing or frozen phases [53]. There was significant microbial activity at −5 °C and a significant effect of the bacterial community in the soil on MAR at this time, but not at −15 °C (Table 2 and Table 3 and Figure 4). Certain relatively abundant bacteria (such as Acidobacteria and Firmicutes) had an effect on EcO157′s persistence (Table 2). Firmicutes might be one of the bacterial groups most closely related to the persistence of EcO157 under freezing conditions. This might be related to the characteristics of Firmicutes that can produce spores and resist dehydration and extreme environments. The Acidobacteria might play an important role in carbon turnover in soils [46]. These bacteria that had a significant impact on persistence might affect persistence through competition with microorganisms or mutually beneficial symbiosis, this especially might be the case for soils incubated at −5 °C.
5. Conclusions
Based on the Weibull model and a variety of statistical methods, this study set two freezing temperatures and two moisture levels to explore the effects of temperature and moisture on the persistence of EcO157. Temperature had a significant impact on persistence, while moisture had no significant impact on persistence. The physical and chemical properties of soil, such as texture, had a significant impact on persistence. The bacterial community as a whole did not have a significant impact on persistence, but some groups of bacteria were closely correlated with the persistence of EcO157. The results of the experiment might provide a scientific basis for predicting the potential of pathogenic bacteria to pollute the soils.
The findings of the current study revealed the higher persistence of EcO157 in agricultural frozen soils, highlighting the need to reduce the health risks associated with this pathogen in frozen soils widely found in seasonal freeze–thaw zone and permafrost areas. In order to improve the sustainability of agroecosystems that have been contaminated by human pathogens, the integration of some agricultural practices, soil environmental monitoring, as well as policymaking processes is required, with the ultimate goal of achieving sustainable agriculture.
Supplementary Materials
The following supporting information can be downloaded at: https://www.mdpi.com/article/10.3390/su151713249/s1.
Author Contributions
All authors contributed to the design and development of this manuscript. Conceptualization, formal analysis, writing—original draft preparation, J.W., J.L. and J.M. (Jinhua Ma); methodology, writing—reviewing and editing, J.W. and G.L.; data analysis, J.W. and X.Y.; methodology—reviewing, A.M.I.; funding acquisition, writing—reviewing and editing J.M. (Jincai Ma). All authors have read and agreed to the published version of the manuscript.
Funding
The research was financed by the National Natural Science Foundation of China (No. 41571304).
Data Availability Statement
The data presented in this study are available on request.
Acknowledgments
We are grateful to all those who have contributed to this study.
Conflicts of Interest
The authors declare no conflict of interest.
References
- Rohr, J.R.; Barrett, C.B.; Civitello, D.J.; Craft, M.E.; Delius, B.; DeLeo, G.A.; Hudson, P.J.; Jouanard, N.; Nguyen, K.H.; Ostfeld, R.S.; et al. Emerging human infectious diseases and the links to global food production. Nat. Sustain. 2019, 2, 445–456. [Google Scholar] [CrossRef] [PubMed]
- Li, T.; Chen, Y.Z.; Han, L.J.; Cheng, L.H.; Lv, Y.H.; Fu, B.J.; Feng, X.M.; Wu, X. Shortened duration and reduced area of frozen soil in the Northern Hemisphere. Innovation 2021, 2, 109–117. [Google Scholar] [CrossRef] [PubMed]
- Yanai, Y.; Okazaki, K. Effects of successive soil freeze-thaw cycles on soil microbial biomass and organic matter decomposition potential of soils. Soil Sci. Plant Nutr. 2004, 50, 821–829. [Google Scholar] [CrossRef]
- Ma, J.; Ibekwe, A.M.; Crowley, D.E.; Yang, C.H. Persistence of Escherichia coli O157:H7 in major leafy green producing soils. Environ. Sci. Technol. 2012, 46, 12154–12161. [Google Scholar] [CrossRef] [PubMed]
- Chase-Topping, M.; Gally, D.; Low, C.; Matthews, L.; Woolhouse, M. Super-shedding and the link between human infection and livestock carriage of Escherichia coli O157. Nat. Rev. Microbiol. 2008, 6, 904–912. [Google Scholar] [CrossRef]
- Lee, W. Hemorrhagic colitis associated with a rare Escherichia coli serotype. N. Engl. J. Med. 1983, 308, 681–685. [Google Scholar] [CrossRef]
- Lin, L.; Wang, X.; Li, C.; Cui, H. Inactivation mechanism of E. coli O157:H7 under ultrasonic sterilization. Ultrason. Sonochem. 2019, 59, 104751. [Google Scholar] [CrossRef]
- Fukushima, H.; Seki, R. High numbers of Shiga toxin-producing Escherichia coli found in bovine faeces collected at slaughter in Japan. FEMS Microbiol. Ecol. 2004, 238, 189–197. [Google Scholar] [CrossRef]
- Arthur, T.M.; Nou, X.; Kalchayanand, N.; Bosilevac, J.M.; Wheeler, T.; Koohmaraie, M. Escherichia coli O157:H7 survival on cattle hides. Appl. Environ. Microbiol. 2011, 77, 3002–3008. [Google Scholar] [CrossRef]
- Ibekwe, A.M.; Grieve, C.M. Changes in developing plant microbial community structure as affected by contaminated water. FEMS Microbiol. Ecol. 2004, 48, 239–248. [Google Scholar] [CrossRef]
- Williams, M.L.; Lejeune, J.T.; McSpadden Gardener, B. Soil conditions that can alter natural suppression of Escherichia coli O157:H7 in Ohio specialty crop soils. Appl. Environ. Microbiol. 2015, 81, 4634–4641. [Google Scholar] [CrossRef] [PubMed]
- Fouché, J.; Christiansen, C.T.; Lafrenière, M.J.; Grogan, P.; Lamoureux, S.F. Canadian permafrost stores large pools of ammonium and optically distinct dissolved organic matter. Nat. Commun. 2020, 11, 4500. [Google Scholar] [CrossRef] [PubMed]
- Turetsky, M.R.; Abbott, B.W.; Jones, M.C.; Anthony, K.W.; Olefeldt, D.; Schuur, E.A.G.; Grosse, G.; Kuhry, P.; Hugelius, G.; Koven, C.; et al. Carbon release through abrupt permafrost thaw. Nat. Geosci. 2020, 13, 138–143. [Google Scholar] [CrossRef]
- Lachenbruch, A.H.; Marshall, B.V. Changing climate: Geothermal evidence from permafrost in the alaskan arctic. Science 1986, 234, 689–696. [Google Scholar] [CrossRef]
- Nikrad, M.P.; Kerkhof, L.J.; Häggblom, M.M. The subzero microbiome: Microbial activity in frozen and thawing soils. FEMS Microbiol. Ecol. 2016, 92, fiw081. [Google Scholar] [CrossRef]
- Adhikari, H.; Barnes, D.L.; Schiewer, S.; White, D.M. Total coliform survival characteristics in frozen soils. J. Environ. Eng. 2007, 133, 1098–1105. [Google Scholar] [CrossRef]
- Panikov, N.S.; Flanagan, P.W.; Oechel, W.C.; Mastepanov, M.A.; Christensen, T.R. Microbial activity in soils frozen to below −39 °C. Soil Biol. Biochem. 2006, 38, 785–794. [Google Scholar] [CrossRef]
- Yamamoto, S.A.; Harris, L.J. Phosphate buffer increases recovery of Escherichia coli O157:H7 from frozen apple juice. J. Food Protect. 2001, 64, 1315–1319. [Google Scholar] [CrossRef]
- Xu, W.Q.; Chen, H.Q.; Wu, C.Q. Salmonella and Escherichia coli O157:H7 Inactivation, Color, and Bioactive Compounds Enhancement on Raspberries during Frozen Storage after Decontamination Using New Formula Sanitizer Washing or Pulsed Light. J. Food Protect. 2016, 79, 1107–1114. [Google Scholar] [CrossRef]
- Lowder, A.C.; Waite-Cusic, J.G.; DeWitt, C.A.M. High pressure-low temperature processing of beef: Effects on survival of internalized E-coli O157:H7 and quality characteristics. Innov. Food Sci. Emerg. 2014, 26, 18–25. [Google Scholar] [CrossRef]
- Manios, S.G.; Skandamis, P.N. Effect of frozen storage, different thawing methods and cooking processes on the survival of Salmonella spp. and Escherichia coli O157:H7 in commercially shaped beef patties. Meat Sci. 2015, 101, 25–32. [Google Scholar] [CrossRef] [PubMed]
- Chou, C.C.; Cheng, S.J.; Wang, Y.C.; Chung, K.T. Behavior of Escherichia coli O157:H7 and Listeria monocytogenes in Tryptic soy broth subjected to various low temperature treatments. Food Res. Int. 1999, 32, 1–6. [Google Scholar] [CrossRef]
- Ciftcioglu, G.; Arun, O.O.; Vural, A.; Aydin, A.; Aksu, H. Survival of Escherichia coli O157:H7 in minced meat and hamburger patties. J. Food Agric. Environ. 2008, 6, 24–27. [Google Scholar]
- Zhao, T.; Doyle, M.P.; Kemp, M.C.; Howell, R.S.; Zhao, P. Influence of freezing and freezing plus acidic calcium sulfate and lactic acid addition on thermal inactivation of Escherichia coli O157:H7 in ground beef. J. Food Protect. 2004, 67, 1760–1764. [Google Scholar] [CrossRef] [PubMed]
- Rey, M.D.A.; Racca, A.R.; Ribeiro, L.R.; Cruz, F.D.; Cap, M.; Mozgovoj, M.V.; Cristianini, M.; Vaudagna, S.R. High-pressure processing treatment of beef burgers: Effect on Escherichia coli O157 inactivation evaluated by plate count and PMA-qPCR. J. Food Sci. 2022, 87, 2324–2336. [Google Scholar] [CrossRef]
- Ansay, S.E.; Darling, K.A.; Kaspar, C.W. Survival of Escherichia coli O157:H7 in ground-beef patties during storage at 2, −2, 15 and then −2 °C, and −20 °C. J. Food Protect. 1999, 62, 1243–1247. [Google Scholar] [CrossRef]
- Bollman, J.; Ismond, A.; Blank, G. Survival of Escherichia coli O157:H7 in frozen foods: Impact of the cold shock response. Int. J. Food Microbiol. 2001, 64, 127–138. [Google Scholar] [CrossRef]
- Holliday, V.T. Methods of soil analysis, part 1, physical and mineralogical methods (2nd edition), A. Klute, Ed., 1986, American Society of Agronomy, Agronomy Monographs 9(1), Madison, Wisconsin, 1188 pp., $60.00. Geoarchaeology 1990, 5, 87–89. [Google Scholar] [CrossRef]
- Sharma, P.; Tripathi, S.; Vadakedath, N.; Chandra, R. In-situ toxicity assessment of pulp and paper industry wastewater on Trigonella foenum-graecum L: Potential source of cytotoxicity and chromosomal damage. Environ. Technol. Innov. 2021, 21, 101251. [Google Scholar] [CrossRef]
- Liao, J.; Li, J.; Han, Z.; Lyu, G.; Ibekwe, A.M.; Ma, J. Persistence of Salmonella Typhimurium in apple-pear (Pyrus bretschneideri Rehd.) orchard soils influenced by bacterial communities and soil properties. Sci. Total Environ. 2021, 768, 144458. [Google Scholar] [CrossRef]
- Mackey, B.M. Lethal and sublethal effects of refrigeration, freezing and freeze-drying on micro-organisms. Soc. Appl. Bacteriol. Symp. Ser. 1984, 12, 45–75. [Google Scholar]
- Han, Z.; Huang, G.; Liao, J.; Li, J.; Lyu, G.; Ma, J. Disentangling survival of Escherichia coli O157:H7 in soils: From a subpopulation perspective. Sci. Total Environ. 2020, 749, 141649. [Google Scholar] [CrossRef] [PubMed]
- Blaxter, M.; Mann, J.; Chapman, T.; Thomas, F.; Abebe, E. Defining operational taxonomic units using DNA barcode data. Philos. Trans. R. Soc. B 2005, 360, 1935–1943. [Google Scholar] [CrossRef]
- Dixon, P. VEGAN, a package of R functions for community ecology. J. Veg. Sci. 2003, 14, 927–930. [Google Scholar] [CrossRef]
- Bastian, M.; Heymann, S.; Jacomy, M. Gephi: An open source software for exploring and manipulating net-works. In Proceedings of the International AAAI Conference on Weblogs and Social Media, San Jose, CA, USA, 17–20 May 2009. [Google Scholar]
- Hopper, D.; Coughlan, J.; Mullen, M.R. Structural equation modeling: Guidelines for determining model fit. Electron. J. Bus. Res. Methods 2008, 6, 53–60. [Google Scholar] [CrossRef]
- Schermelleh-Engel, K.; Moosbrugger, H.; Müller, H. Evaluating the fit of structural equation models: Tests of significance and descriptive goodness-of-fit measures. Methods Psychol. Res. Online 2003, 8, 23–74. [Google Scholar]
- Kim, J.; Ha, S.; Park, W. Expression and deletion analyses of cspE encoding cold-shock protein E in Acinetobacter oleivorans DR1. Res. Microbiol. 2018, 169, 244–253. [Google Scholar] [CrossRef]
- Meynell, G.G. The effect of sudden chilling on Escherichia coli. J. Gen. Microbiol. 1958, 19, 380–389. [Google Scholar] [CrossRef]
- Jefferies, R.L.; Walker, N.A.; Edwards, K.A.; Dainty, J. Is the decline of soil microbial biomass in late winter coupled to changes in the physical state of cold soils? Soil Biol. Biochem. 2010, 42, 129–135. [Google Scholar] [CrossRef]
- Mazur, P. Kinetics of water loss from cells at subzero temperatures and the likelihood of intracellular freezing. J. Gen. Physiol. 1963, 47, 347–369. [Google Scholar] [CrossRef]
- Steven, B.; Léveillé, R.; Pollard, W.H.; Whyte, L.G. Microbial ecology and biodiversity in permafrost. Extremophiles 2006, 10, 259–267. [Google Scholar] [CrossRef] [PubMed]
- Dumont, F.; Marechal, P.A.; Gervais, P. Influence of cooling rate on Saccharomyces cerevisiae destruction during freezing: Unexpected viability at ultra-rapid cooling rates. Cryobiology 2003, 46, 33–42. [Google Scholar] [CrossRef] [PubMed]
- Li, H.; Yang, Z.; Wang, J. Unfrozen water content of permafrost during thawing by the capacitance technique. Cold Reg. Sci. Technol. 2018, 152, 15–22. [Google Scholar] [CrossRef]
- Peter, M. Physical-Chemical Basis of Injury from Intracellular Freezing in Yeast. Cryobiology 1967, 3, 171–189. [Google Scholar] [CrossRef]
- Ma, J.; Ibekwe, A.M.; Yang, C.-H.; Crowley, D.E. Influence of bacterial communities based on 454-pyrosequencing on the survival of Escherichia coli O157:H7 in soils. FEMS Microbiol. Ecol. 2013, 84, 542–554. [Google Scholar] [CrossRef] [PubMed]
- Dumont, F.; Marechal, P.-A.; Gervais, P. Cell size and water permeability as determining factors for cell viability after freezing at different cooling rates. Appl. Environ. Microbiol. 2004, 70, 268–272. [Google Scholar] [CrossRef]
- Parker, L.V.; Martel, C.J. Long-Term Survival of Enteric Microorganisms in Frozen Wastewater; Technical Report TR-02-16; U.S. Army Corps of Engineers, Engineer Research and Development Center, Cold Regions Research and Engineering Laboratory (ERDC/CRREL): Hanover, NH, USA, 2002; pp. 1–65. [Google Scholar]
- Franks, F.; Mathias, S.F.; Hatley, R.H.M.; Baust, J.G.; Hvidt, A.; Chapman, D.; Jaenicke, R. Water, temperature and life [and discussion]. Philos. Trans. R. Soc. B Biol. Sci. 1990, 326, 517–533. [Google Scholar] [CrossRef]
- Beales, N. Adaptation of microorganisms to cold temperatures, weak acid preservatives, low pH, and osmotic stress: A review. Compr. Rev. Food Sci. Food Saf. 2004, 3, 1–20. [Google Scholar] [CrossRef]
- Wolfe, J.; Bryant, G. Physical principles of membrane damage due to dehydration and freezing. Mech. Swelling 1992, 64, 205–224. [Google Scholar] [CrossRef]
- Walker, V.K.; Palmer, G.R.; Voordouw, G. Freeze-thaw tolerance and clues to the winter survival of a soil community. Appl. Environ. Microbiol. 2006, 72, 1784–1792. [Google Scholar] [CrossRef]
- Wang, X.; Zhang, D.; Chen, W.; Tao, J.; Xu, M.; Guo, P. Effects of fulvic acid and fulvic ions on Escherichia coli survival in river under repeated freeze-thaw cycles. Environ. Pollut. 2019, 247, 1100–1109. [Google Scholar] [CrossRef] [PubMed]
- Robert, M.; Chenu, C.; Heijnen, C.E. Micro-morphological studies on clay-amended and unamended loamy sand, relating survival of introduced bacteria and soil structure. Geoderma 1993, 56, 195–207. [Google Scholar] [CrossRef]
- Brennan, F.P.; Moynihan, E.; Griffiths, B.S.; Hillier, S.; Owen, J.; Pendlowski, H.; Avery, L.M. Clay mineral type effect on bacterial enteropathogen survival in soil. Sci. Total Environ. 2014, 468–469, 302–305. [Google Scholar] [CrossRef] [PubMed]
- Oliver, D.M.; Clegg, C.D.; Heathwaite, A.L.; Haygarth, P.M. Preferential attachment of Escherichia coli to different particle size fractions of an agricultural grassland soil. Water Air Soil Poll. 2007, 185, 369–375. [Google Scholar] [CrossRef]
- Williams, P.J. Experimental determination of apparent specific heats of frozen soils. Géotechnique 1964, 14, 133–142. [Google Scholar] [CrossRef]
- Stähli, M.; Stadler, D. Measurement of water and solute dynamics in freezing soil columns with time domain reflectometry. J. Hydrol. 1997, 195, 352–369. [Google Scholar] [CrossRef]
- Trap, J.; Bonkowski, M.; Plassard, C.; Villenave, C.; Blanchart, E. Ecological importance of soil bacterivores for ecosystem functions. Plant Soil. 2016, 398, 1–24. [Google Scholar] [CrossRef]
- Ranjard, L.; Dequiedt, S.; Jolivet, C.; Saby, N.P.A.; Thioulouse, J.; Harmand, J.; Loisel, P.; Rapaport, A.; Fall, S.; Simonet, P.; et al. Biogeography of soil microbial communities: A review and a description of the ongoing french national initiative. Agron. Sustain. Dev. 2010, 30, 359–365. [Google Scholar] [CrossRef]
- Van Elsas, J.D.; Chiurazzi, M.; Mallon, C.A.; Elhottovā, D.; Krištůfek, V.; Salles, J.F. Microbial diversity determines the invasion of soil by a bacterial pathogen. Proc. Natl. Acad. Sci. USA 2012, 109, 1159–1164. [Google Scholar] [CrossRef]
Disclaimer/Publisher’s Note: The statements, opinions and data contained in all publications are solely those of the individual author(s) and contributor(s) and not of MDPI and/or the editor(s). MDPI and/or the editor(s) disclaim responsibility for any injury to people or property resulting from any ideas, methods, instructions or products referred to in the content. |
© 2023 by the authors. Licensee MDPI, Basel, Switzerland. This article is an open access article distributed under the terms and conditions of the Creative Commons Attribution (CC BY) license (https://creativecommons.org/licenses/by/4.0/).






