Quality Grading and Prediction of Frozen Zhoushan Hairtails in China Based on ETSFormer
Abstract
:1. Introduction
2. Materials and Methods
2.1. Sample Collection and Processing
2.1.1. Determination of Carbonyl Content
2.1.2. Determination of Sulfhydryl Content
2.1.3. Determination of TBARS Values
2.1.4. Determination of Ca2+-ATPase Activity
2.1.5. Data Preprocessing
- 1.
- Data normalization
- 2.
- Data monotonicity transformation
2.2. Muscle Quality Grading Model of Hairtail Based on K-Means++
2.3. ETSFormer-Based Quality Prediction Model of Zhoushan Frozen Hairtail
2.3.1. Quality Prediction Model for Frozen Hairtail in Zhoushan
2.3.2. Prediction Model of Zhoushan Frozen Hairtail Quality Indicator Based on ETSFormer
- 1.
- Exponential Smoothing Attention
- 2.
- Frequency Attention
3. Results
3.1. Data Set of Quality Indicators for Zhoushan Hairtail
3.2. Muscle Quality Grading of Zhoushan Hairtail
- (1)
- Figure 9 shows the distribution of the indicators of high-quality clusters, in which the carbonyl contents are concentrated around 2.1 and mainly distributed between 1.5 and 4.5; the sulfhydryl contents are concentrated around 1.0 and mainly distributed between 0.97 and 1.12; the TBARS values are concentrated around 0.18 and distributed between 0.13 and 0.3; and the Ca2+-ATPase values are concentrated around 0.05 and mainly distributed between 0.02 and 0.2.
- (2)
- Figure 10 shows the probability densities of the indicators in the medium-quality clusters, in which the carbonyl contents are concentrated around 5.5 and mainly distributed between 4.5 and 6.5; the sulfhydryl contents are concentrated around 1.18 and mainly distributed between 1.13 and 1.3; the TBARS values are concentrated around 0.33 and distributed between 0.3 and 0.4; and the Ca2+-ATPase values are concentrated around 0.47 around and mainly distributed between 0.3 and 0.9.
- (3)
- Figure 11 shows the probability densities of each indicator of the low-quality clustering, in which the carbonyl contents are concentrated around 7.5 and mainly distributed between 7 and 10; the sulfhydryl contents are concentrated around 1.36 and mainly distributed between 1.25 and 1.45; the TBARS values are concentrated around 0.77 and distributed between 0.65 and 0.82; and the Ca2+-ATPase values are concentrated around 0.45 around and mainly distributed between 0.3 and 1.0.
- (4)
- Figure 9, Figure 10 and Figure 11 reflect the quality clustering of hairtail fish in Zhoushan in turn. It can be seen that the sample center values of carbonyl, sulfhydryl, TBARS, and Ca2+-ATPase are increasing with the quality from high to low, and the fish quality is decreasing with the increase of each index value, which is consistent with the changing trend of each index with time after data pretreatment. In addition, according to Table 1, it can be found that there are many high-quality sample points and few low-quality sample points, but the sample data are widely distributed, and the low-quality hairtail fish is harmful to the human body and unfit for consumption, so it is necessary to classify and predict its quality, so as to carry out key supervision.
- (5)
- With the increase in storage time, the quality of hairtail meat is declining, so we predict the quality index according to the time and then put forward the quality grade prediction, as described in Section 3.3.
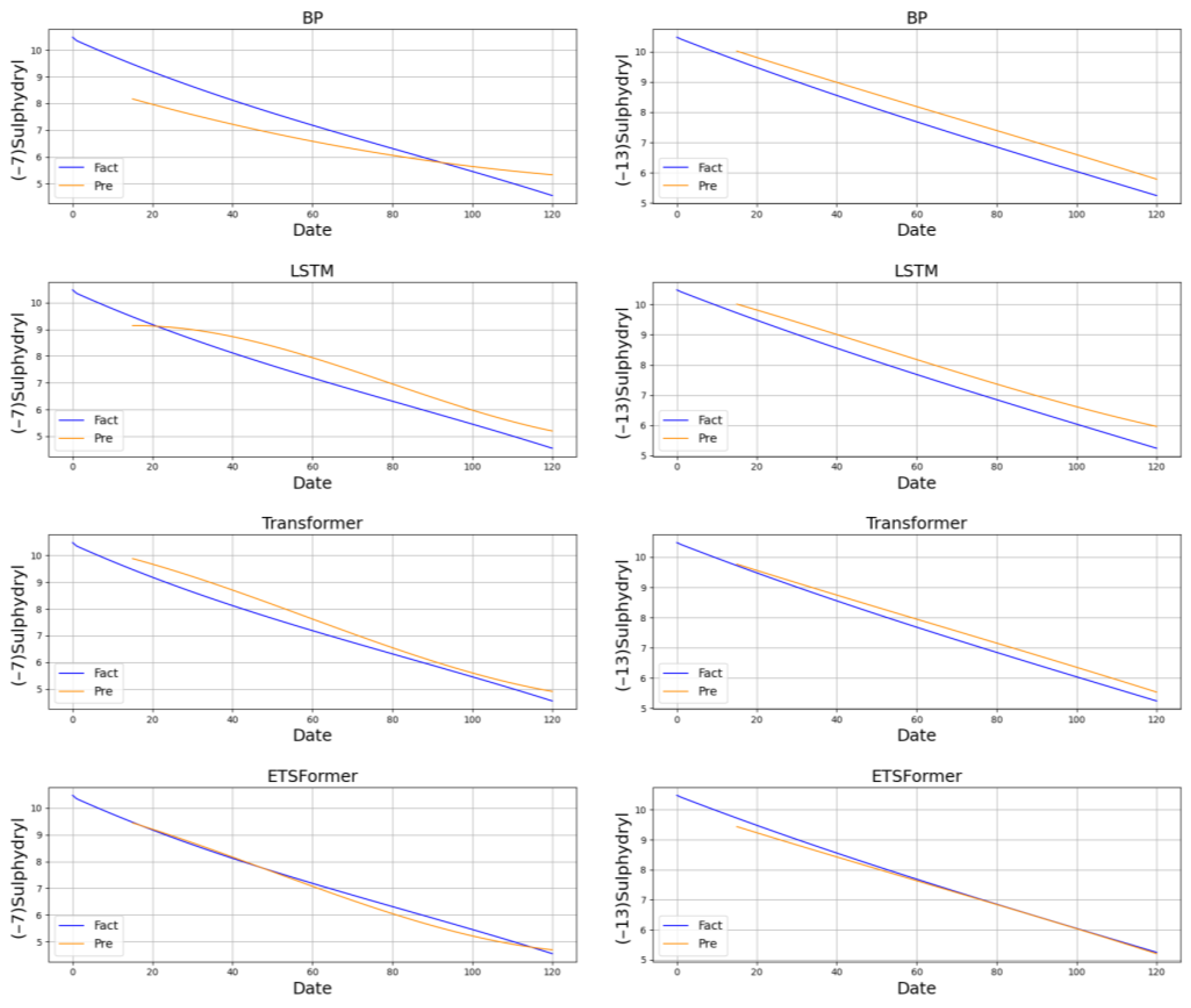
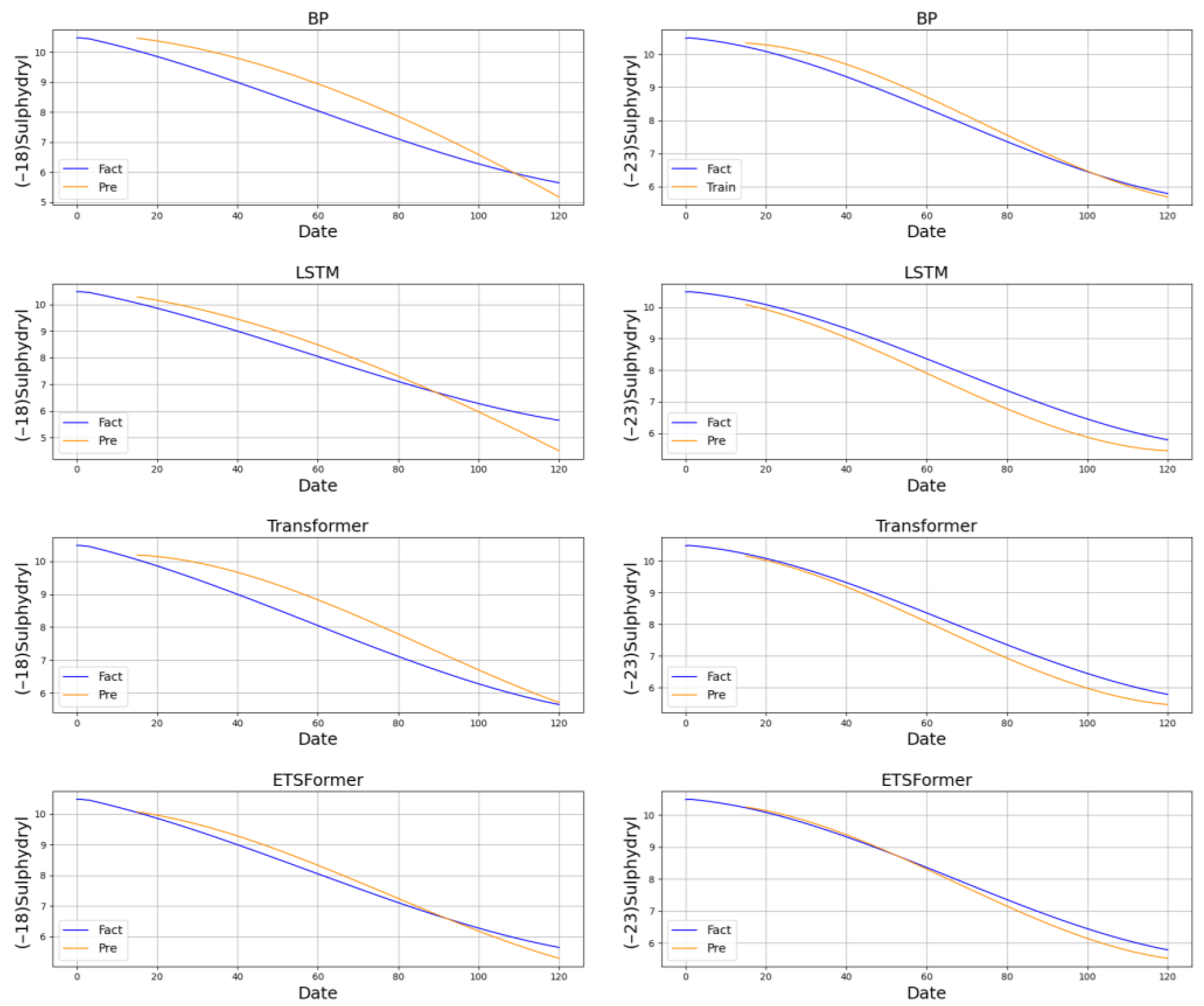
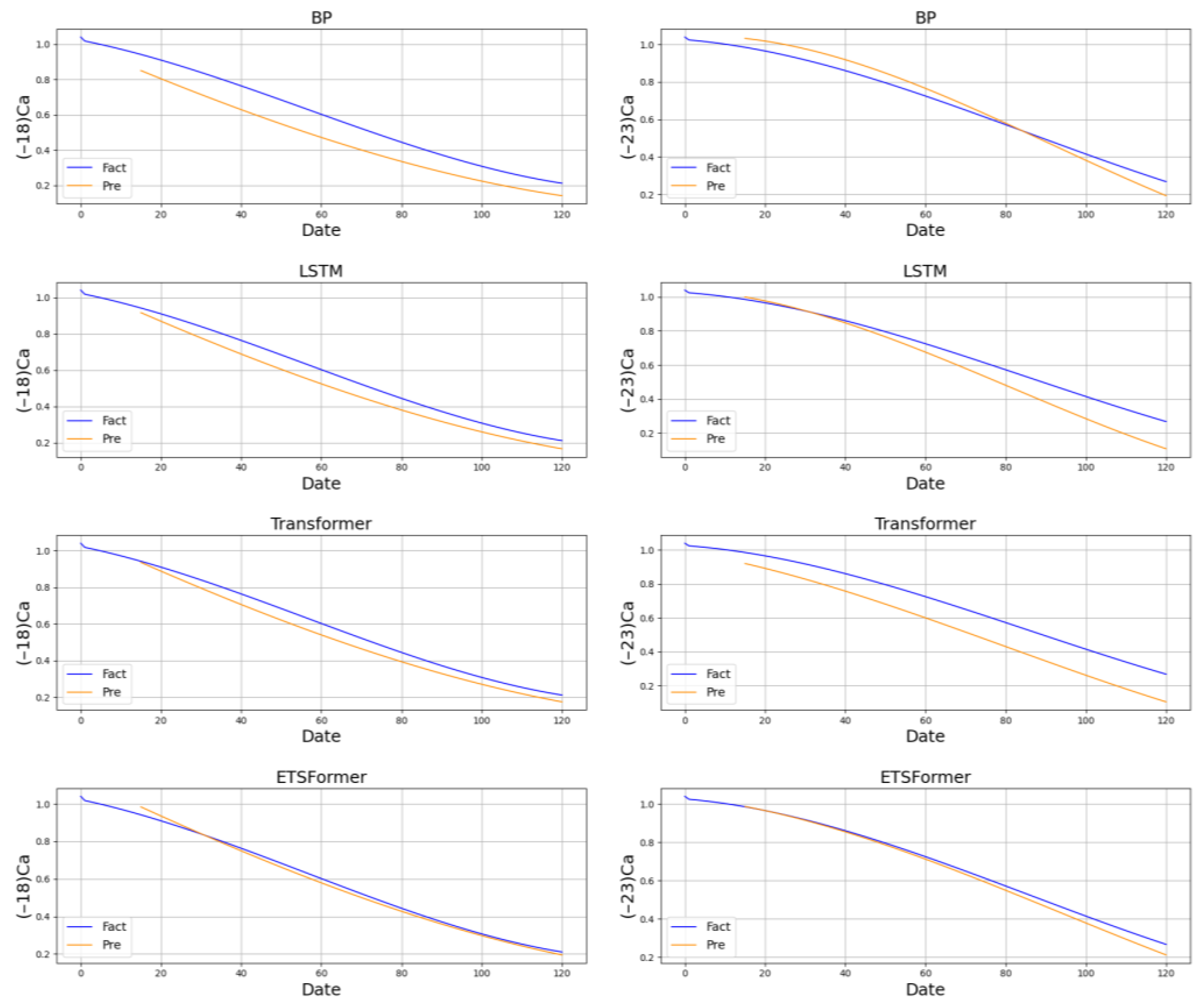
3.3. Frozen Hairtail Quality Forecast in Zhoushan
4. Conclusions
Author Contributions
Funding
Institutional Review Board Statement
Informed Consent Statement
Data Availability Statement
Conflicts of Interest
Appendix A








References
- He, X.; Luo, Z.; Zhao, C.; Huang, L.; Yan, Y.; Kang, B. Species composition, growth, and trophic traits of hairtail (Trichiuridae), the most productive fish in Chinese marine fishery. Animals 2022, 12, 3078. [Google Scholar] [CrossRef] [PubMed]
- Feng, T.; Ji, J.; Zhang, X. Research progress of phase change cold energy storage materials used in cold chain logistics of aquatic products. J. Energy Storage 2023, 60, 106568. [Google Scholar] [CrossRef]
- Ye, B.; Chen, J.; Fu, L.; Wang, Y. Application of nondestructive evaluation (NDE) technologies throughout cold chain logistics of seafood: Classification, innovations and research trends. LWT 2022, 158, 113127. [Google Scholar] [CrossRef]
- Shi, Y.; Lin, Y.; Lim, M.K.; Tseng, M.-L.; Tan, C.; Li, Y. An intelligent green scheduling system for sustainable cold chain logistics. Expert. Syst. Appl. 2022, 209, 118378. [Google Scholar] [CrossRef]
- Zhang, Y.; Liu, Y.; Jiong, Z.; Tseng, M.-L.; Tan, C.; Li, Y. Development and assessment of blockchain-IoT-based traceability system for frozen aquatic product. J. Food Process. Eng. 2021, 44, e13669. [Google Scholar] [CrossRef]
- Wei, J.; Lv, S. Research on the distribution system of agricultural products cold chain logistics based on internet of things. In Proceedings of the IOP Conference Series: Earth and Environmental Science, Seoul, Republic of Korea, 26–29 January 2019. [Google Scholar]
- Racaud, S. Low-cost Chinese goods in Tanzania: The rise of transnational trade routes peripheral branches. Crit. Afr. Stud. 2023, 15, 106–123. [Google Scholar] [CrossRef]
- Wang, S.; Wang, P.; Cui, Y.; Lu, W.; Shen, X.; Zheng, H.; Xue, J.; Chen, K.; Zhao, Q.; Shen, Q. Study on the physicochemical indexes, nutritional quality, and flavor compounds of Trichiurus lepturus from three representative origins for geographical traceability. Front. Nutr. 2022, 9, 1034868. [Google Scholar] [CrossRef]
- Nieder, R.; Benbi, D.K.; Reichl, F.X. Microelements and their role in human health. In Soil Components and Human Health, 1st ed.; Springer: Dordrecht, The Netherlands, 2018; pp. 317–374. [Google Scholar]
- Dawood, M.A.O.; Alagawany, M.; Sewilam, H. The role of zinc microelement in aquaculture: A review. Biol. Trace Elem. Res. 2021, 200, 3841–3853. [Google Scholar] [CrossRef]
- Koddy, J.K.; Miao, W.; Hatab, S.; Tang, L.; Xu, H.; Nyaisaba, B.M.; Chen, M.; Deng, S. Understanding the role of atmospheric cold plasma (ACP) in maintaining the quality of hairtail (Trichiurus lepturus). Food Chem. 2021, 343, 128418. [Google Scholar] [CrossRef]
- Yan, B.; Bai, W.; Tao, Y.; Ye, W.; Zhang, W.; Zhang, N.; Huang, J.; Chen, W.; Fan, D. Physicochemical changes and comparative proteomics analysis of hairtail (Trichiurus lepturus) fish muscles during frozen storage. Food Biosci. 2023, 55, 103021. [Google Scholar] [CrossRef]
- Kim, D.Y.; Park, S.W.; Shin, H.S. Fish Freshness Indicator for Sensing Fish Quality during Storage. Foods 2023, 12, 1801. [Google Scholar] [CrossRef]
- Song, S.; Huang, T.; Ma, J.; Ye, W.; Zhang, W.; Zhang, N.; Huang, J.; Chen, W.; Fan, D. Assessing safety of market-sold fresh fish: Tracking fish origins and toxic chemical origins. Environ. Sci. Technol. 2022, 56, 9505–9514. [Google Scholar] [CrossRef] [PubMed]
- Xing, J.; Xu, X.; Luo, X.; Zheng, R.; Mao, L.; Zhang, S.; Shen, J.; Lu, J. Characterization of microbial community in cold-chain hairtail fish by high-throughput sequencing technology. J. Food Prot. 2021, 84, 1080–1087. [Google Scholar] [CrossRef] [PubMed]
- Fang, C.; Chen, H.; Yan, H.; Shui, S.; Benjakul, S.; Zhang, B. Investigation of the changes in the lipid profiles in hairtail (Trichiurus haumela) muscle during frozen storage using chemical and LC/MS-based lipidomics analysis. Food Chem. 2022, 390, 133140. [Google Scholar] [CrossRef]
- Shui, S.; Yan, H.; Tu, C.; Benjakul, S.; Aubourg, S.P.; Zhang, B. Cold-induced denaturation of muscle proteins in hairtail (Trichiurus lepturus) during storage: Physicochemical and label-free based proteomics analyses. Food Chem. X 2022, 16, 100479. [Google Scholar] [CrossRef]
- Hu, L.; Ying, Y.; Zhang, H.; Liu, J.; Chen, X.; Shen, N.; Hu, Y.; Li, Y. Advantages of liquid nitrogen freezing in long-term frozen preservation of hairtail (Trichiurus haumela): Enzyme activity, protein structure, and tissue structure. J. Food Process. Eng. 2021, 44, e13789. [Google Scholar] [CrossRef]
- Yan, H.; Jiao, L.; Fang, C.; Benjakul, S.; Zhang, B. Chemical and LC–MS-based lipidomics analyses revealed changes in lipid profiles in hairtail (Trichiurus haumela) muscle during chilled storage. Food Res. Int. 2022, 159, 111600. [Google Scholar] [CrossRef]
- Xu, H.; Miao, W.; Zheng, B.; Deng, S.; Hatab, S. Assessment of the Effect of Cold Atmospheric Plasma (CAP) on the Hairtail (Trichiurus lepturus) Quality under Cold Storage Conditions. Foods 2022, 11, 3683. [Google Scholar] [CrossRef] [PubMed]
- Zhao, Y.; Kang, Z.; Chen, L.; Guo, Y.; Mu, Q.; Wang, S.; Zhao, B.; Feng, C. Quality classification of kiwifruit under different storage conditions based on deep learning and hyperspectral imaging technology. J. Food Meas. Charact. 2023, 17, 289–305. [Google Scholar] [CrossRef]
- Bhole, V.; Kumar, A. Mango quality grading using deep learning technique: Perspectives from agriculture and food industry. In Proceedings of the 21st Annual Conference on Information Technology Education, Omaha, NE, USA, 7–9 October 2020. [Google Scholar]
- Stasenko, N.; Chernova, E.; Shadrin, D.; Ovchinnikov, G.; Krivolapov, I.; Pukalchik, M. Deep Learning for improving the storage process: Accurate and automatic segmentation of spoiled areas on apples. In Proceedings of the 2021 IEEE International Instrumentation and Measurement Technology Conference (I2MTC), Glasgow, UK, 17 May 2021. [Google Scholar]
- Abdallah, S.E.; Elmessery, W.M.; Shams, M.Y.; Al-Sattary, N.S.A.; Abohany, A.A.; Thabet, M. Deep learning model based on ResNet-50 for beef quality classification. Inf. Sci. Lett. 2023, 12, 289–297. [Google Scholar]
- Detection of Carbonyl Content in Protein. Available online: https://www.docin.com/p-3285294660.html (accessed on 9 August 2023).
- Zhao, Z.; Wang, Q.; Yan, B.; Gao, W.; Jiao, X.; Huang, J.; Zhao, J.; Zhang, H.; Chen, W.; Fan, D. Synergistic effect of microwave 3D print and transglutaminase on the self-gelation of surimi during printing. Innov. Food Sci. Emerg. Technol. 2021, 67, 102546. [Google Scholar] [CrossRef]
- GB 5009.181-2016; National Standards for Food Safety Determination of Malondialdehyde in Food. Standard Press: Beijing, China, 2016.
- Shen, N. Protein Oxidation, Cathepsins Activity, Texture and Structure of Muscle Changes of Hairtail during Low-Temperature Storage; Zhejiang University: Hangzhou, China, 2018. [Google Scholar]
- Henderi, H.; Wahyuningsih, T.; Rahwanto, E. Comparison of Min-Max normalization and Z-Score Normalization in the K-nearest neighbor (kNN) Algorithm to Test the Accuracy of Types of Breast Cancer. Int. J. Lang. Lit. Stud. 2021, 4, 13–20. [Google Scholar] [CrossRef]
- Du, G.; Li, X.; Zhang, L.; Liu, L.; Zhao, C. Novel Automated K-Means++Algorithm for Financial Data Sets. Math. Probl. Eng. 2021, 2021, 1–12. [Google Scholar] [CrossRef]
- Woo, G.; Liu, C.; Sahoo, D.; Kumar, A.; Hoi, S. Etsformer: Exponential smoothing transformers for time-series forecasting. arXiv 2022, arXiv:2202.01381. [Google Scholar]
- Vaswani, A.; Shazeer, N.; Parmar, N.; Uszkoreit, J.; Jones, L.; Gomez, A.N.; Polosukhin, I.; Kaiser, Ł. Attention is all you need. In Proceedings of the Thirty-First Annual Conference on Neural Information Processing System, Long Beach, CA, USA, 4–9 December 2017. [Google Scholar]
- Jiang, Y.; Li, D.; Tu, J.; Zhong, Y.; Zhang, D.; Wang, Z.; Tao, X. Mechanisms of change in gel water-holding capacity of myofibrillar proteins affected by lipid oxidation: The role of protein unfolding and cross-linking. Food Chem. 2021, 344, 128587. [Google Scholar] [CrossRef] [PubMed]
- Chicco, D.; Warrens, M.; Jurman, G. The coefficient of determination R-squared is more informative than SMAPE, MAE, MAPE, MSE and RMSE in regression analysis evaluation. PeerJ Comput. Sci. 2021, 7, e623. [Google Scholar] [CrossRef]











| Cluster | Carbonyl | Sulfhydryl | TBARS | Ca2+-ATPase | Sample Points * | Quality Level |
|---|---|---|---|---|---|---|
| 1 | 0.695 | 0.689 | 0.813 | 0.647 | 58 | Low |
| 2 | 0.372 | 0.440 | 0.349 | 0.568 | 173 | Medium |
| 3 | 0.121 | 0.117 | 0.134 | 0.129 | 253 | High |
| Indicators | Carbonyl | Sulfhydryl | TBARS | Ca2+-ATPase | ||||||||||||
|---|---|---|---|---|---|---|---|---|---|---|---|---|---|---|---|---|
| Temp (°C) | −7 | −13 | −18 | −23 | −7 | −13 | −18 | −23 | −7 | −13 | −18 | −23 | −7 | −13 | −18 | −23 |
| BP | 0.94 | 0.59 | 0.72 | 0.38 | 0.60 | 0.55 | 0.66 | 0.22 | 0.14 | 0.03 | 0.22 | 0.11 | 0.54 | 0.48 | 0.77 | 0.29 |
| LSTM | 0.79 | 0.93 | 0.40 | 0.76 | 0.57 | 0.56 | 0.40 | 0.43 | 0.07 | 0.03 | 0.23 | 0.11 | 0.34 | 0.21 | 0.43 | 0.50 |
| Transformer | 0.73 | 0.72 | 0.56 | 0.50 | 0.25 | 0.37 | 0.54 | 0.29 | 0.06 | 0.02 | 0.12 | 0.12 | 0.30 | 0.18 | 0.33 | 0.89 |
| ETSFormer | 0.44 | 0.31 | 0.25 | 0.21 | 0.03 | 0.13 | 0.20 | 0.15 | 0.03 | 0.01 | 0.08 | 0.05 | 0.11 | 0.14 | 0.11 | 0.14 |
| Indicators | Carbonyl | Sulfhydryl | TBARS | Ca2+-ATPase | ||||||||||||
|---|---|---|---|---|---|---|---|---|---|---|---|---|---|---|---|---|
| Temp (°C) | −7 | −13 | −18 | −23 | −7 | −13 | −18 | −23 | −7 | −13 | −18 | −23 | −7 | −13 | −18 | −23 |
| BP | 1.51 | 0.45 | 0.68 | 0.27 | 0.48 | 0.25 | 0.51 | 0.07 | 0.02 | 8 × 10−4 | 2 × 10−3 | 3 × 10−4 | 0.01 | 0.01 | 0.01 | 2 × 10−3 |
| LSTM | 0.76 | 1.26 | 0.24 | 0.7 | 0.35 | 0.26 | 0.21 | 0.20 | 0.01 | 9 × 10−4 | 2 × 10−3 | 3 × 10−4 | 3 × 10−3 | 1 × 10−3 | 4 × 10−3 | 0.01 |
| Transformer | 0.64 | 0.75 | 0.34 | 0.45 | 0.16 | 0.07 | 0.34 | 0.11 | 4 × 10−3 | 0.01 | 4 × 10−4 | 3 × 10−4 | 3 × 10−3 | 8 × 10−4 | 2 × 10−3 | 0.02 |
| ETSFormer | 0.23 | 0.17 | 0.07 | 0.09 | 0.03 | 0.01 | 0.05 | 0.04 | 1 × 10−3 | 1 × 10−4 | 2 × 10−4 | 1 × 10−4 | 4 × 10−4 | 5 × 10−4 | 3 × 10−4 | 7 × 10−4 |
| Indicators | Carbonyl | Sulfhydryl | TBARS | Ca2+-ATPase | ||||||||||||
|---|---|---|---|---|---|---|---|---|---|---|---|---|---|---|---|---|
| Temp (°C) | −7 | −13 | −18 | −23 | −7 | −13 | −18 | −23 | −7 | −13 | −18 | −23 | −7 | −13 | −18 | −23 |
| BP | 13.1 | 13.4 | 18.4 | 10.7 | 8.25 | 6.72 | 8.37 | 2.63 | 33.1 | 8.3 | 11.8 | 7.07 | 16.2 | 25.1 | 22.3 | 7.29 |
| LSTM | 14.3 | 15.9 | 9.12 | 20.2 | 8.68 | 7.28 | 5.51 | 5.75 | 15.9 | 9.31 | 11.3 | 5.55 | 25.0 | 15.1 | 12.8 | 16.1 |
| Transformer | 12.1 | 12.8 | 14.1 | 15.6 | 5.11 | 3.62 | 7.05 | 4.08 | 11.6 | 4.90 | 5.79 | 7.56 | 13.8 | 8.53 | 9.91 | 24.0 |
| ETSFormer | 6.45 | 5.72 | 6.38 | 4.76 | 2.16 | 0.89 | 2.59 | 2.22 | 6.25 | 3.15 | 3.56 | 2.99 | 9.87 | 7.29 | 3.14 | 4.64 |
| Model | Low Quality | Medium Quality | High Quality | ||||||
|---|---|---|---|---|---|---|---|---|---|
| P*% | R*% | F1*% | P% | R% | F1% | P% | R% | F1% | |
| BP | 80.65 | 86.21 | 83.33 | 91.67 | 89.02 | 90.32 | 94.44 | 94.07 | 94.26 |
| LSTM | 82.26 | 87.93 | 85.00 | 92.57 | 93.64 | 93.10 | 96.76 | 94.47 | 95.60 |
| Transformer | 88.14 | 89.66 | 88.89 | 94.80 | 94.80 | 94.80 | 96.83 | 96.44 | 96.63 |
| ETSFormer | 90.16 | 94.83 | 92.44 | 94.83 | 95.38 | 95.10 | 98.80 | 97.23 | 98.01 |
Disclaimer/Publisher’s Note: The statements, opinions and data contained in all publications are solely those of the individual author(s) and contributor(s) and not of MDPI and/or the editor(s). MDPI and/or the editor(s) disclaim responsibility for any injury to people or property resulting from any ideas, methods, instructions or products referred to in the content. |
© 2023 by the authors. Licensee MDPI, Basel, Switzerland. This article is an open access article distributed under the terms and conditions of the Creative Commons Attribution (CC BY) license (https://creativecommons.org/licenses/by/4.0/).
Share and Cite
Hu, K.; Hu, T.; Yan, W.; Dong, W.; Zuo, M.; Zhang, Q. Quality Grading and Prediction of Frozen Zhoushan Hairtails in China Based on ETSFormer. Sustainability 2023, 15, 15566. https://doi.org/10.3390/su152115566
Hu K, Hu T, Yan W, Dong W, Zuo M, Zhang Q. Quality Grading and Prediction of Frozen Zhoushan Hairtails in China Based on ETSFormer. Sustainability. 2023; 15(21):15566. https://doi.org/10.3390/su152115566
Chicago/Turabian StyleHu, Kang, Tianyu Hu, Wenjing Yan, Wei Dong, Min Zuo, and Qingchuan Zhang. 2023. "Quality Grading and Prediction of Frozen Zhoushan Hairtails in China Based on ETSFormer" Sustainability 15, no. 21: 15566. https://doi.org/10.3390/su152115566
APA StyleHu, K., Hu, T., Yan, W., Dong, W., Zuo, M., & Zhang, Q. (2023). Quality Grading and Prediction of Frozen Zhoushan Hairtails in China Based on ETSFormer. Sustainability, 15(21), 15566. https://doi.org/10.3390/su152115566

