Abstract
This study was conducted to assess the effectiveness of a combined green and synthetic solution for the sustainable treatment of wastewater from the paint industry. Effluent was treated with a natural plant extract (Azadarachta indica) and a silver nitrate solution (AgNO3). Three composite samples of wastewater were collected from the paint industry, transferred to the laboratory for analysis, and three case studies were applied for treatment. The parameters of the treated water were compared with the Punjab Environmental Quality Standards (PEQS). Case 1 was a control treatment in which discharged industrial effluent was collected and analyzed for various pollutants (pH, COD, TDS, TSS, and BOD). All the target parameters were higher than the limits in the PEQS. In Case 2, the wastewater was treated by reaction with an A. indica solution for a 4 to 72 h retention time. Some pollutants were remediated as a result of the reaction, while the majority of pollutants required a longer retention time and a higher concentration of A. indica extract, making this case applicable for the treatment of wastewater. In Case 3, the discharged industrial effluent was reacted with A. indica solution combined with AgNO3 solution for wastewater treatment with a 4 to 72 h retention time; after reaction, all the pollutants were remediated at high pH of 12 at a retention time of 24 h. However, a longer retention time and a better solution are required for the treatment of priority pollutants. However, Case 3 treated more pollutants, so was far superior to Cases 1 and 2. As a result, this instance is suitable for the treatment of wastewater from the paint industry.
1. Introduction
Water contamination is one of the world’s most serious problems. Water pollution not only harms the environment and human health, but also causes economic and social problems. Any industrial effluent containing dangerous and corrosive chemical, may have a negative impact on wastewater systems and biological operations [1]. Pretreatment procedures are therefore required before discharging effluent into the urban wastewater system. The aim of pretreatment is to minimize industrial wastewater contamination to the degree that it has no negative implications for drainage networks or biological treatment after the discharge of industrial wastewater into municipal wastewater [2]. Paint manufacturing plants produce wastewater with a high chemical oxygen demand (COD) and turbidity, as well as organic debris, suspended particles, and heavy metals (HMs), all of which are harmful to the environment. Treating wastewater before discharge into natural water sources is crucial for achieving the UN Sustainable Development Goals (SDGs), particularly Goal 6 (clean water and sanitation) and Goal 14 (life below water). Many studies have focused on nanomaterials such as molecular polymers (MIPs), organic and inorganic solutes of water-inducing bacteria, nanostructured catalytic membranes, nanosorbents, nanocatalysts, bioactive nanoparticles, and biomimetic membranes, as well as phytoremediation for wastewater treatment [3,4,5]. Water pollution has a negative impact on both people and animals, in addition to aquatic life. Some industries, including the food, cosmetic, pharmaceutical, and textile industries, discharge harmful dye effluents into the environment following a series of chemical operations, disrupting habitats. In addition, chemical poisons harm the central nervous system and cause blood and skin problems. Due to the intensive usage of pigments and dyes in the textile industry, large amounts of toxic pollutants cause a variety of health issues.
Numerous researchers have reported on the utilization of agricultural bioresources (such as A. indica leaves and seeds) in the remediation of hazardous metals from synthetic wastewater [6,7,8,9,10]. One of the most adaptable medicinal plants for more than 2000 years, A. indica, has a wide range of biological activities. This tree has been employed for domestic pest control and the treatment of certain human ailments since ancient times [11]. Previously, the elimination of malachite green color from dye wastewater was accomplished using neem sawdust (A. indica) by adsorption process [12]. Volatile organic pollutants were eliminated using biochar (BC) derived from the feedstock of A. indica trees, and heavy metals including Cu(II), Zn(II), Cd(II), Cr(III), Co(III), and Pb(II) were removed from mining industrial effluents [13,14]. Using activated carbon derived from the A. indica tree [13] explored the removal of fluoride ions from synthetic wastewater. In this study, our aim was to employ A. indica leaf extract as a biosorbent for the treatment of paint industry wastewater due to the plant’s widespread distribution throughout the world, including Pakistan. Examining the effectiveness of A. indica combined with silver nitrate (AgNO3) solution from paint industry effluent was our primary goal in this study. The effectiveness of A. indica leaf extract in reducing chemical as well as biological effluents from the paint industry was assessed by comparing the results of targeted parameters of treated wastewater with those listed in the Punjab Environmental Quality Standards (PEQS). Table 1 provides a breakdown of the main chemical properties of wastewater along with the PEQS.
Table 1.
Wastewater analysis methodology and Punjab Environmental Quality Standards (PEQs) for industrial effluents [15].
2. Materials and Methods
2.1. Materials Used
The experiment was carried out in the research laboratory of the Department of Environmental Sciences, The University of Lahore, during the spring, at a room temperature of 25 °C and standard atmospheric pressure. The extract was produced using A. indica leaves, collected from the native area of Lahore. 0.05 M AgNO3, provided by Sigma Aldrich (St. Louis, MO, USA). This extract was used throughout the experiment, and all Pyrex equipment was used after cleaning with triple-distilled water. The materials and methods adopted for the present study were also used in our previous study [].
2.2. Azadirachta indica (A. indica) Plant for Natural Treatment and Extract Collection
Leaves of A. indica were obtained from a natural area in Lahore, Pakistan. Using triple-distilled water and absorbent paper, the leaves were scrubbed and cleaned. They were then combined with ethanol and 100 mL of sterile water before heating at 70–80 °C for 20 min. The extract was then filtered using filter paper (Whatman’s No.1 with 11 m pore size). The filtrate was collected using a normal sterilized filtration method and put in a transparent and dry conical flask. With a normal sterilized filtration device, the filtrate was collected and deposited in a clean and dry conical container [16].
2.3. Parameter and Post-Treatment Wastewater Analysis
Wastewater samples were analyzed for parameters including pH, chemical oxygen demand (COD), biological oxygen demand (BOD), total dissolved solids (TDS), and total suspended solids (TSS) by following the procedures as described in the 10th edition of Standard Methods for the Examination of Water and Wastewater [17]. Table 1 shows the reference methods as well as PEQS. For COD, BOD, TSS and TDS analysis, the following equations were used
where A is the milliliters of FAS used in the blank, B is the milliliters of FAS used in the sample, and N is the normality of the FAS used during the reaction.
where A is the weight in grams of the empty dish, and B is the weight in grams of the beaker/dish and residue.
where A is the weight in grams of GFC filter paper, and B is the weight in grams of GFC filter paper + residue.
2.4. Treatment of Wastewater through Case Studies
Case 1 (control): Analysis of wastewater of paint industry effluents prior to treatment with retention time of 4–72 h.
After pretreatment analysis, three case studies were performed to treat the wastewater with retention times of 4 h, 8 h, 16 h, 24 h, 48 h, or 72 h. The following two cases were applied for the treatment of paint industrial wastewater.
Case 2: Addition of A. indica solution (10 mL) to sample of wastewater (200 mL).
Case 3: Addition of A. indica extract into AgNO3 solution, and addition of this mixture/solution into the pretreated wastewater in a comparative ratio of 200:10 v/v.
2.5. Statistical Analysis
The data were statistically analyzed; mean and standard deviation values were computed for the above cases using MS-Excel. Graphs were prepared to compare the results with the limits in the Punjab Environmental Quality Standards (PEQS).
3. Results
3.1. Case 1 (Control): Initial Pollution Level of Effluent from Paint Industry
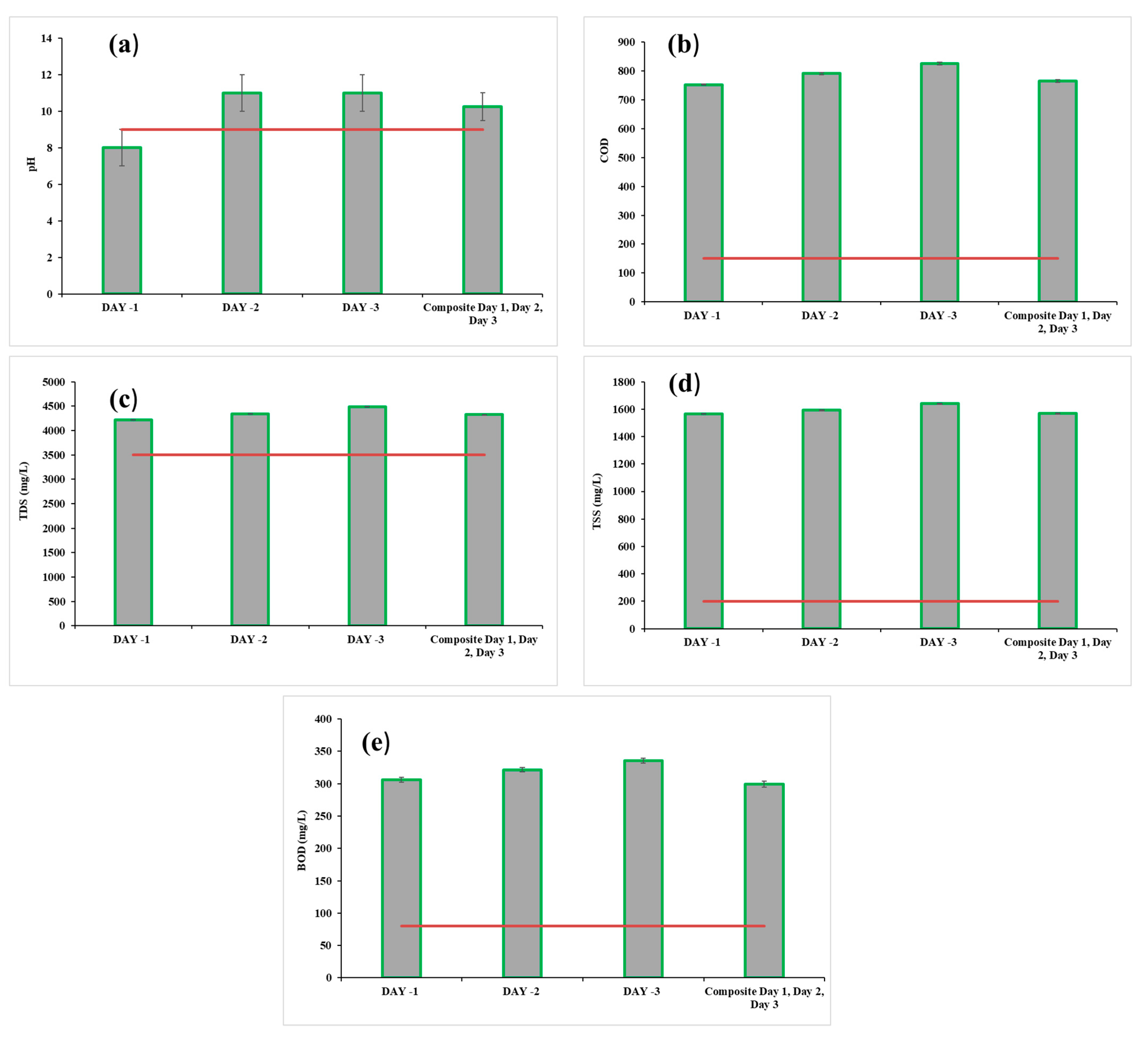
First, the pollution level caused by local paint industry effluent was analyzed. Samples were collected and maintained before transporting to the laboratory for examination of initial pollutant levels in the wastewater. In this study, three treatment cases were applied. Before the samples were treated, the average values of pH, COD, TDS, TSS, and BOD were 9.5, 760 mg/L, 4325 mg/L, 1572 mg/L, and 304 mg/L, respectively (Figure 1a–e).
Figure 1.
Average (a) pH, (b) COD, (c) TDS, (d) TSS, and (e) BOD of the samples of effluents prior to treatment from paint industrial wastewater. Red horizontal line shows PEQS.
3.1.1. pH
The pH levels of the effluent (prior to treatment) on days 1, 2, and 3, and of the composite sample (day 1, 2, and 3) were 7, 12, 10, and 9.5, respectively. All parameters were above the PEQS. In the three cases, as basic solutions are added during the manufacturing of paint, the pH in the paint industry effluent is naturally basic.
3.1.2. Chemical Oxygen Demand (COD)
The level of COD in the effluents prior to treatment on day 1, day 2, day 3 and of the composite samples on all days were 755, 795, 830, and 760 mg/L, respectively. All these results are above the PEQS limits. Our basic objective was to reduce COD through treatment with some amendments. In the paint industry, the COD is high because of pigments and dyes. These results also show the presence of organic matter in effluent waste.
3.1.3. Total Dissolved Solids (TDS)
TDS levels were 4225, 4335, 4495, and 4325 mg/L for effluent (untreated) on day 1, day 2, and day 3, and for the composite sample of those days, respectively. All values were above the PEQS limits. The TDS in paint industry effluent is basic type due to the inclusion of a basic solution during the paint-making process. Due to the inclusion of pigment and dyes, paint industry solutions frequently have high TDS levels.
3.1.4. Total Suspended Solids (TSS)
The levels of total suspended solids (TSS) for effluent (untreated), and on day 1, day 2, day 3 for the composite sample of all days were 1565, 1595, 1635, and 1572 mg/L, respectively. All values were above the PEQS limit. The TSS in paint industrial effluent is basic character due to addition of basic solutions during paint manufacturing. The TSS is frequently high in paint industry solutions due to the inclusion of pigments and dyes.
3.1.5. Biochemical Oxygen Demand (BOD)
The BOD in the effluent (untreated), and on day 1, day 2, and day 3 for the composite sample was 302, 318, 332, and 304 mg/L, respectively. All values were higher than the PEQS. Because of the COD and low level of oxygen dissolving in the effluent, BOD levels are expected to high in paint industry effluents.
3.2. Case-1: Reduction in Pollutant Parameters by the Addition of A. indica Solution to Contaminated Sample
Experiments were performed in a laboratory with different retention times to reduce the level of pollutants in paint industry effluents. Retention times of 4, 8, 16, 24, 48, and 72 h were applied for the reaction of the extract with pollutants. Firstly, 200 mL of sample was placed in a glass beaker and 10 mL of A. indica solution in a contaminated sample, then stirring the sample in a stirring chamber. The A. indica solution significantly reduced the levels of all contaminants; however, the levels did not meet the PEQS. According to the results, A. indica solution required longer retention times for subsequent effluent treatment (Figure 2a–e).
Figure 2.
Post-treatment results of paint industry wastewater by the addition of A. indica solution to contaminated sample (a) pH, (b) COD, (c) TDS, (d) TSS, and (e) BOD of the samples for different retention times. Following the addition of the A. indica solution, post-treatment findings were somewhat lowered. The remaining values, with the exception of COD and BOD, were over the PEQS-permitted level (red line).
3.2.1. Treatment of pH by the Addition of A. indica Solution to Contaminated Water
A. indica solution can be used to reduce the pH of paint manufacturing effluents. A 10 mL solution of A. indica was added to the samples for various retention periods. The pH of the sample prior to treatment was 9.9; however, when Azadirachta indica solution was added to the composite contaminated sample after 4, 8, 16, 24, 48, and 72 h, the pH drastically dropped. In terms of retention time, the pH values were 9, 8.9, 8.4, 8.1, 8, and 7.8, respectively. These findings demonstrated that the addition of Azadirachta indica solution dropped the pH to the PEQS. The solution of A. indica can be used to lower the pH of industrial paint effluents. To the restricted samples, a 10 mL solution of A. indica was applied for variable retention times. The pretreatment sample had a pH of 9.9; however, when Azadirachta indica solution was added to the composite contaminated sample after 4, 8, 16, 24, 48, and 72 h, the pH values dramatically dropped. In order of retention time, the results of pH were 9, 8.9, 8.4, 8.1, 8, and 7.8, respectively. These data showed that adding Azadirachta indica solution reduced the pH to the PEQS. These finding are consistent with those of another study [18], which evaluated the efficacy of locally accessible natural A. indica leaf powder to control the characteristics of paint wastewater for the improvement of its quality and the effect of various experimental conditions such as the early pH of the wastewater samples [19].
3.2.2. Treatment of COD by the Addition of A. indica Solution
COD was treated by adding A. indica solution (10 mL) to industrial paint effluent for various retention times to confined samples. When A. indica solution was applied to the contaminated composite sample, the COD values significantly dropped during retention times of 4, 8, 16, 24, 48, and 72 h to 720, 680, 530, 465, 310, and 190 mg/L, respectively, indicating that the addition of A. indica solution lowered COD but did not reduce it to below the PEQS limit.
According to the aforementioned circumstances, a longer retention period is needed to reduce COD at a treatment dose of 10 mL in a 200 mL contaminated sample. At a high current density, the extent of anodic dissolution of Fe or Al increases, resulting in a greater amount of precipitate and removal of COD. Moreover, the rate of bubble generation increases and the bubble size decreases with increasing current density; both of these trends are beneficial in terms of high pollutant-removal efficiency by H2 flotation. Therefore, when high current densities are applied, the time for COD removal shortens [20].
3.2.3. Treatment of TDS by Addition of A. indica Solution to Contaminated Wastewater
The A. indica solution was employed as a TDS reduction treatment in the form of 10 mL for various retention times to the restricted sample. TDS levels were 4325 mg/L in the sample prior to treatment. However, after adding A. indica solution to the composite contaminated samples, the TDS levels decreased during retention times of 4, 8, 16, 24, 48, and 72 h to 4225, 4035, 3995, 3815, 3725, and 3695 mg/L, respectively. TDS was reduced by the addition of A. indica solution however, it did not yet meet the PEQS. As such, a longer retention period is needed to reduce the TDS with a 10 mL addition of the treatment to a 200 mL contaminated sample. The TDS decreased after 72 h, but more time and homogenization are needed to achieve the desired results. High concentrations of TDS are responsible for the excessive scaling in water pipes, boilers, heaters, and household appliances. High concentrations of TDS can result in the dehydration of aquatic animals [21].
3.2.4. Treatment of TSS by Addition of A. indica Solution
TSS reduction was achieved by adding a 10 mL solution of A. indica to the polluted water for various retention periods. TSS was 1572 mg/L in the sample prior to treatment however, when A. indica solution was added to the composite contaminated sample, TDS increased during retention durations of 4, 8, 16, 24, 48, and up to 72 h to 1580, 1595, 1605, 1613, 1620, and 1625 mg/L, respectively. These values do not meet the PEQS. According to the results, a longer retention period is needed to reduce the TDS with a 10 mL addition to a 200 mL contaminated sample. The TSS increased after a retention time of 72 h. The suspended solids in the effluent are within the typical ranges given in the literature for similar industrial manufacturing of paints and textiles. Individuals exposed to water with high concentrations of TSS and TDS are at risk of cancer [21].
3.2.5. Treatment of BOD by Addition of A. indica Solution
A 10 mL solution of A. indica was added to the confined samples as a BOD-lowering treatment for with various retention times (4, 8, 16, 24, 48 and 72 h). BOD level in the sample prior to treatment was 288 mg/L. However, after adding A. indica solution to the composite contaminated sample, BOD levels decreased. The combined action of AgNO3 and A. indica solution was shown to be effective, reducing BOD levels to 288, 272, 212, 186, 124, and 76 mg/L. The addition of A. indica solution reduced BOD but not to the PEQS. A longer retention duration is required to reduce BOD with a 10 mL addition to a 200 mL contaminated sample, according to the aforementioned results. BOD levels dropped after 48 h, but additional time and homogenization are required to obtain the desired outcomes. The presence of organic compounds, such as pure acrylic and styrene acrylic binders, cellulose thickener, and organic pigments, in the effluent might be attributed to the availability of organic compounds that can be broken down by microbes [21].
3.3. Case-3: Post-Treatment Analysis by Addition of 0.05 M AgNO3 in A. indica Solution for Contaminated Sample
Experiments with various retention times were carried out to lower the levels of pollutants in paint industry effluents. The reaction was held for 4, 8, 16, 24, 48, and 72 h. First, a 200 mL sample was obtained in a glass beaker, then 10 mL of A. indica solution and 0.05 M (1 mL) AgNO3 solution were added to a contaminated sample and swirled for 20 min. The results showed that all the pollutants were treated by the A. indica and AgNO3 solution. This is an easy and cost-effective method to treat wastewater to meet the PEQS. A. indica solution combined with AgNO3 provides a suitable solution for wastewater treatment with a 24 h retention time (Figure 3a–e).
Figure 3.
Post-treatment results by addition of A. indica solution and 0.05 M AgNO3 to contaminated sample: (a) pH, (b) COD, (c) TDS, (d) TSS, and (e) BOD of the samples for different retention times. In comparison with the aforementioned two examples, the outcomes of the combination of A. indica and AgNO3 were favorable. Every value is below the permissible level in the PEQS (red line).
3.3.1. Treatment of COD by Addition of A. indica and 0.05 M AgNO3 Solution
The combination of A. indica solution and AgNO3 was also used to treat the Chemical Oxygen Demand (COD) of the paint industrial effluents. We added 1 mL of AgNO3 and 10 mL of A. indica solution at various retention times to a specific sample. The COD for the sample prior to treatment was 760 mg/L, but after adding 1 mL of AgNO3 from A. indica to the composite contaminated sample, the COD drastically reduced: 295, 210, 145, 95, 55, and 35 mg/L at retention times of 4, 8, 16, 24, 48, and 72 h, respectively. These findings showed that the addition of AgNO3 in A. indica solution at a retention time of 16 h reduced COD to levels within the PEQS. Effective results can be obtained under the aforementioned circumstances, but long-lasting effects require a treatment that is cost-effective. Natural coagulants including A. indica can be extracted from plants and are basically organic-based and can used to reduce COD, turbidity, color, and organic matter content [22,23].
3.3.2. Treatment of pH by Addition of A. indica and 0.05 M AgNO3
AgNO3 mixed with A. indica solution lowered the pH of the contaminated sample for a range of retention times. The pH of the sample prior to treatment was 9.5, but after adding this solution to the composite polluted sample, the pH drastically decreased during the retention times of 4, 8, 16, 24, 48, and 72 h to 8.9, 8.2, 7.9, 7.2, 6.9, and 6.2, respectively, which are lower than the PEQS. We found that pH changed with various retention times. The acidic nature of wastewater is attributed to the presence of acidic compounds such as phosphoric acid as well as organic matter from the coating components. These components are then broken down by microorganisms to release carbon dioxide gas, which in turn leads to a reduction in the pH level [24,25,26].
3.3.3. Treatment of TDS by Addition of A. indica and 0.05 M AgNO3 to Contaminated Samples
TDS was treated with an A. indica solution containing AgNO3. 10 mL solution of A. indica was added for various retention times to confined samples. The TDS prior to treatment of the sample was 1572 mg/L. However, after adding A. indica solution to the composite contaminated sample, TDS decreased during the retention times of 4, 8, 16, 24, 48, and 72 h to 2400, 2133, 1905, 1820, 1695, and 1515 mg/L, respectively. The PEQS requirements were met. According to the results, a longer retention period is needed to reduce the TDS with a 10 mL addition to a 200 mL contaminated sample.
3.3.4. Treatment of TSS by the Addition of A. indica and 0.05 M AgNO3 to Contaminated Samples
The combination of A. indica solution and AgNO3 was used for TSS removal. The TSS level was 1572 mg/L prior to treatment, but when the composite contaminated sample was treated with A. indica solution, TSS decreased for retention times of 4, 8, 16, 24, 48, and 72 h to 150, 135, 115, 95, 75, and 35 mg/L, respectively, meeting the PEQS. According to the results, a longer retention period is needed to reduce TDS with a 10 mL addition to a 200 mL contaminated sample. The TSS decreased after 4 h. High levels of TSS indicate the turbidity of wastewater from coating industries due to the use of various pigments, inorganic salts, and other chemical species containing heavy metals [27,28].
3.3.5. Treatment of BOD by the Addition of A. indica and 0.05 M AgNO3 to Contaminated Samples
BOD was treated with A. indica solution containing silver nitrate. We added a 10 mL solution of A. indica for various retention durations to confined samples. The BOD level prior to treatment was 288 mg/L, but after adding A. indica solution to the composite polluted sample, the BOD reduced at retention times of 4, 8, 16, 24, 48, and 72 h to 118, 84, 58, 38, 22, and 14 mg/L, respectively. These results showed that BOD decreased as a result of the addition of AgNO3 and A. indica solution, although the PEQS were not met. A longer retention period was needed to reduce the BOD with a 10 mL addition to a 200 mL contaminated sample. BOD decreased after 16 h, but further time and homogenization are needed to obtain the desired outcomes. The elevated BOD levels are due to the presence of large amounts of organic matter and its anaerobic fermentation processes due to the consumption of dissolved oxygen. This, in turn, produces ammonia and organic acids, which generate foul smells in the wastewater [29,30]. Tesfalem and Abdrie (2017) obtained mean BOD concentrations of 246, 350, and 360 mg/L for three paint manufacturing industries in Ethiopia, which agrees with our result [31,32]. Our earlier study showed that the combination of AgNO3 and A. indica is a green and sustainable method for the treatment of wastewater from the textile sector [5]. Similarly, in the paint sector, this green and synthetic solution also has a positive effective regarding the sustainable treatment of wastewater from the paint industry and on environmental quality management.
3.4. Other Biological Methods of Paint Industry Wastewater Treatment
Paint industry wastewater is highly contaminated so requires quick attention for effective treatment approaches before disposal. For emulsions in water, several treatment strategies such as physicochemical processes, biological processes, and combinations of chemical and biological processes have been investigated. Coagulation, flocculation, sedimentation, filtration, electrocoagulation, radiation, biosorption, and adsorption are the most common physicochemical processes that have been employed by various researchers for the effective treatment of contaminants from wastewater [33,34,35]. Table 2 presents the most efficient biological methods for the treatment of paint industry effluents. Contaminants were removed at a high rate using the processes investigated in our study. In our previous work [5], textile industry effluents were removed to the greatest degree possible by combining A. indica leaf extract with AgNO3 solution. Furthermore, this method is simple and environmentally acceptable and sustainable. Similarly, for appropriate wastewater treatment, this combined biochemical approach must be employed on a wide scale for paint industry effluents.
Table 2.
Efficient biological methods for the treatment of industrial effluents.
4. Conclusions
We found that a combination of green and synthetic techniques is an effective and sustainable solution to manage wastewater released from the paint industry. With the exception of pH and COD, which required a longer retention time and a higher concentration of A. indica extract, all pollutants were removed after a retention time of 4 to 72 h by using the combination of A. indica and AgNO3 solution. However, using the A. indica solution alone (Case 2) did not reduce the contaminants to the permissible limits/PEQS. However, this treatment significantly reduced pollutant levels over the 4 to 72 h retention times, far superior to Case 1 (sample prior to treatment). Case 3 (combination of A. indica and AgNO3 solution) is therefore the cost-effective and environmentally friendly treatment option for wastewater treatment released by the paint industry. However, there are additional opportunities in the future to add more reactive species to achieve better outcomes in the large-scale wastewater treatment of the paint industry. There is considerable potential for pollution removal using green and chemical solutions with distinct physical and chemical features. Poor water balance management and maintenance, as well as a lack of wastewater treatment and management technologies, pose major challenges. Treatment design for industrial-scale application is required to achieve the best wastewater purification. More research is required to solve the problems associated with green and chemical wastewater management technologies. An engineering management system should be designed and operated on an industrial scale for application in industrial ecology.
Author Contributions
Conceptualization, M.A.I. and R.N.; methodology, M.A.I.; software, B.A.; validation, I.N., M.L., and B.A.; formal analysis, B.A.; investigation, M.A.I.; resources, M.A.I.; data curation, A.I. and S.A.A.-H.; writing—original draft preparation, I.N.; writing—review and editing, M.L., A.I., and M.E.A.Z.; visualization, A.I., S.A.A.-H.; supervision, M.A.I.; project administration, M.A.I. and M.E.A.Z.; funding acquisition, A.I., S.A.A.-H., and M.E.A.Z. All authors have read and agreed to the published version of the manuscript.
Funding
This research was supported by the Deanship of Scientific Research, Imam Mohammad Ibn Saud Islamic University (IMSIU), Saudi Arabia.
Institutional Review Board Statement
Not applicable.
Informed Consent Statement
Not applicable.
Data Availability Statement
Data is available in the manuscript.
Acknowledgments
The authors acknowledge the Department of Environmental Sciences, The University of Lahore, for providing technical support during this work. This paper is extracted from research thesis of 2nd author of this paper. Thanks are extended to Hammad Nazir Zaki, Department of English Language and Literature, the University of Lahore, for improving the language of the manuscript.
Conflicts of Interest
The authors declare no conflict of interest.
References
- Akpor, O.B.; Muchie, M. Remediation of heavy metals in drinking water and wastewater treatment systems: Processes and applications. Int. J. Phys. Sci. 2010, 5, 1807–1817. [Google Scholar]
- Mason, S.A.; Garneau, D.; Sutton, R.; Chu, Y.; Ehmann, K.; Barnes, J.; Fink, P.; Papazissimos, D.; Rogers, D.L. Microplastic pollution is widely detected in US municipal wastewater treatment plant effluent. Environ. Pollut. 2016, 218, 1045–1054. [Google Scholar] [CrossRef]
- Irshad, M.A.; Nawaz, R.; Wojciechowska, E.; Mohsin, M.; Nawrot, N.; Nasim, I.; Hussain, F. Application of Nanomaterials for Cadmium Adsorption for Sustainable Treatment of Wastewater: A Review. Water Air Soil Pollut. 2023, 234, 54. [Google Scholar] [CrossRef]
- Irshad, M.A.; Shakoor, M.B.; Ali, S.; Nawaz, R.; Yasmeen, T.; Saleem, M.; Rizwan, M.; Rehman, M.Z.; Ahmad, S.R.; Latif, M.; et al. Green and eco-friendly synthesis of TiO2 nanoparticles and their application for removal of cadmium from wastewater: Reaction kinetics study. Z. Phys. Chem. 2022, 236, 637–657. [Google Scholar] [CrossRef]
- Irshad, M.A.; Humayoun, M.A.; Al-Hussain, S.A.; Nawaz, R.; Arshad, M.; Irfan, A.; Zaki, M.E. Green and Eco-Friendly Treatment of Textile Wastewater by Using Azadirachta indica Leaf Extract Combined with a Silver Nitrate Solution. Sustainability 2022, 15, 81. [Google Scholar] [CrossRef]
- Manjunatha, K.R.; Vagish, M. Study on adsorption efficiency of neem leaves powder in removal of reactive red dye color from aqueous solution. Int. Res. J. Eng. Technol. (IRJET) 2016, 3, 437–440. [Google Scholar]
- Ibrahim, M.B.; Sani, S. Neem (Azadirachta indica) leaves for removal of organic pollutants. Int. J. Geosci. Environ. Prot. 2015, 3, 55196. [Google Scholar] [CrossRef]
- Sulaiman, M.S. Azadiarchta indica (neem): An alternative biosorbent. Appl. Res. J. 2015, 1, 265–270. [Google Scholar]
- Kariuki, Z.; Kiptoo, J.; Onyancha, D. Biosorption of lead and copper using rogers mushroom biomass ‘Lepiota Hystrix’. S. Afr. J. Chem. Eng. 2017, 23, 62–70. [Google Scholar] [CrossRef]
- Smily, J.R.M.B.; Sumithra, P.A. Optimization of chromium biosorption by fungal adsorbent, Trichoderma sp. BSCR02 and its desorption studies. Hayati J. Biosci. 2017, 24, 65–71. [Google Scholar] [CrossRef]
- Deshpande, P.K.; Gothalwal, R.; Pathak, A.K. Phytochemical analysis and evaluation of antimalarial activity of Azadirachta indica. Pharma Innov. J. 2014, 3, 12–16. [Google Scholar]
- Khattri, S.D.; Singh, M.K. Removal of malachite green from dye wastewater using neem sawdust by adsorption. J. Hazard. Mater. 2009, 167, 1089–1094. [Google Scholar] [CrossRef] [PubMed]
- Kumar, A.; Singh, E.; Khapre, A.; Bordoloi, N.; Kumar, S. Sorption of volatile organic compounds on non-activated biochar. Bioresour. Technol. 2020, 297, 122469. [Google Scholar] [CrossRef] [PubMed]
- Adetoro, E.A.; Ojoawo, S.O. Optimization study of biosorption of toxic metals from mining wastewater using Azadirachta indica bark adsorbents. Water Sci. Technol. 2020, 82, 887–904. [Google Scholar] [CrossRef] [PubMed]
- EPD, 2016. Govt. of Punjab. Punjab Environmental Quality Standards (PEQS). Environmental Protection Department (EPD). Available online: https://epd.punjab.gov.pk/system/files/Punjab%20Environmental%20Quality%20Standards%20for%20Muncipal%20And%20Liquid%20Industrial%20Effluents%20final_0.pdf (accessed on 20 November 2022).
- Katsoyiannis, A.; Samara, C. The fate of dissolved organic carbon (DOC) in the wastewater treatment process and its importance in the removal of wastewater contaminants. Environ. Sci. Pollut. Res.—Int. 2007, 14, 284–292. [Google Scholar] [CrossRef]
- Rice, E.W.; Bridgewater, L. Standard methods for the examination of water and wastewater; American Public Health Association: Washington, DC, USA, 2012; Volume 10. [Google Scholar]
- Das, R.; Mukherjee, A.; Sinha, I.; Roy, K.; Dutta, B.K. Synthesis of potential bio-adsorbent from Indian Neem leaves (Azadirachta indica) and its optimization for malachite green dye removal from industrial wastes using response surface methodology: Kinetics, isotherms and thermodynamic studies. Appl. Water Sci. 2020, 10, 117. [Google Scholar] [CrossRef]
- Dutta, S.; Bhattacharjee, J. A comparative study between physicochemical and biological methods for effective removal of textile dye from wastewater. In Development in Wastewater Treatment Research and Processes; Elsevier: Amsterdam, The Netherlands, 2022; pp. 1–21. [Google Scholar]
- Akyol, A. Treatment of paint manufacturing wastewater by electrocoagulation. Desalination 2012, 285, 91–99. [Google Scholar] [CrossRef]
- Aniyikaiye, T.E.; Oluseyi, T.; Odiyo, J.O.; Edokpayi, J.N. Physico-chemical analysis of wastewater discharge from selected paint industries in Lagos, Nigeria. Int. J. Environ. Res. Public Health 2019, 16, 1235. [Google Scholar] [CrossRef]
- Viktoryová, N.; Szarka, A.; Hrouzková, S. Recent Developments and Emerging Trends in Paint Industry Wastewater Treatment Methods. Appl. Sci. 2022, 12, 10678. [Google Scholar] [CrossRef]
- Irfan, M.; Butt, T.; Imtiaz, N.; Abbas, N.; Khan, R.A.; Shafique, A. The removal of COD, TSS and colour of black liquor by coagulation–flocculation process at optimized pH, settling and dosing rate. Arab. J. Chem. 2017, 10, S2307–S2318. [Google Scholar] [CrossRef]
- Ahenda, S.; Wangeci, A.N.; Nyang’au, J.O. Physicochemical and heavy metal assessment of paint industry effluents in Nairobi County, Kenya. Glob. Sci. J. 2020, 8, 2573–2580. [Google Scholar]
- Lokhande, R.S.; Singare, P.U.; Pimple, D.S. Study on physico-chemical parameters of waste water effluents from Taloja industrial area of Mumbai, India. Int. J. Ecosyst. 2011, 1, 1–9. [Google Scholar] [CrossRef]
- Aboulhassan, M.A.; Souabi, S.; Yaacoubi, A.; Baudu, M. Treatment of paint manufacturing wastewater by the combination of chemical and biological processes. Int. J. Sci. Environ. Technol. 2014, 3, 1747–1758. [Google Scholar]
- Ahsan, A.M.; Satter, F.; Siddique, A.M.B.; Akbor, A.M.; Ahmed, S.; Shajahan, M.; Khan, R. Chemical and physicochemical characterization of effluents from the tanning and textile industries in Bangladesh with multivariate statistical approach. Environ. Monit. Assess. 2019, 191, 575. [Google Scholar] [CrossRef]
- Ejimofor, M.I.; Ezemagu, I.G.; Menkiti, M.C. Biogas production using coagulation sludge obtained from paint wastewater decontamination: Characterization and anaerobic digestion kinetics. Curr. Res. Green Sustain. Chem. 2020, 3, 100024. [Google Scholar] [CrossRef]
- Ighalo, J.O.; Adeniyi, A.G.; Oke, E.O.; Adewoye, L.T.; Motolani, F.O. Evaluation of Luffa cylindrica fibers in a biomass packed bed for the treatment of paint industry effluent before environmental release. Eur. J. Sustain. Dev. Res. 2020, 4, em0132. [Google Scholar] [CrossRef]
- Ejimofor, M.I.; Ezemagu, I.G.; Menkiti, M.C. Physiochemical, Instrumental and thermal characterization of the post coagulation sludge from paint industrial wastewater treatment. S. Afr. J. Chem. Eng. 2021, 37, 150–160. [Google Scholar] [CrossRef]
- Tesfalem, W.; Abdrie, H.S. Toxicity study of heavy metals pollutants and physicochemical characterization of effluents collected from different paint industries in Addis Ababa, Ethiopia. J. Forensic Sci. Crim. Investig. 2017, 5, 55568. [Google Scholar]
- Rana, A.; Haseeb, Z.; Baig, A.; Naseer, N.; Bilal, S. Monitoring of Environment and Human Health Impact Assessment of Paint Industry. SSRG Int. J. Agric. Environ. Sci. 2022, 9, 54–61. [Google Scholar]
- Nair, S.; Manu, B.; Azhoni, A. Sustainable treatment of paint industry wastewater: Current techniques and challenges. J. Environ. Manag. 2021, 296, 113105. [Google Scholar] [CrossRef]
- Ahmad, S.; Imran, M.; Natasha; Amin, M.; Al-Kahtani, A.A.; Arshad, M.; Nawaz, R.; Shah, N.S.; Schotting, R.J. Potential of magnetic quinoa biosorbent composite and HNO3 treated biosorbent for effective sequestration of chromium (VI) from contaminated water. Int. J. Phytoremediation 2022, 1–11. [Google Scholar] [CrossRef] [PubMed]
- Irshad, M.A.; Shakoor, M.B.; Ali, S.; Nawaz, R.; Rizwan, M. Synthesis and application of titanium dioxide nanoparticles for removal of cadmium from wastewater: Kinetic and equilibrium study. Water Air Soil Pollut. 2019, 230, 278. [Google Scholar] [CrossRef]
- Satyanarayan, S.; Kaul, S.N. Performance evaluation of a pure oxygen-based activated sludge system treating a combined paint industry wastewater and domestic sewage. Int. J. Environ. Stud. 2001, 58, 445–457. [Google Scholar] [CrossRef]
- Krithika, D.; Philip, L. Treatment of wastewater from water based paint industries using submerged attached growth reactor. Int. J. Biodeterior. Biodegrad. 2016, 107, 31–41. [Google Scholar] [CrossRef]
- Salihoglu, N.K.; Ucaroglu, S.; Salihoglu, G. Bioconversion of industrial wastes: Paint sludge from automotive manufacturing. J. Mater. Cycles Waste Manag. 2018, 20, 2100–2109. [Google Scholar] [CrossRef]
- Güven, D.; Hanhan, O.; Aksoy, E.C.; Insel, G.; Çokgor, E. Impact of paint shop decanter effluents on biological treatability of automotive industry wastewater. J. Hazard. Mater. 2017, 330, 61–67. [Google Scholar] [CrossRef]
Disclaimer/Publisher’s Note: The statements, opinions and data contained in all publications are solely those of the individual author(s) and contributor(s) and not of MDPI and/or the editor(s). MDPI and/or the editor(s) disclaim responsibility for any injury to people or property resulting from any ideas, methods, instructions or products referred to in the content. |
© 2023 by the authors. Licensee MDPI, Basel, Switzerland. This article is an open access article distributed under the terms and conditions of the Creative Commons Attribution (CC BY) license (https://creativecommons.org/licenses/by/4.0/).


